Spandidos Publications Logo
  • About
    • About Spandidos
    • Aims and Scopes
    • Abstracting and Indexing
    • Editorial Policies
    • Reprints and Permissions
    • Job Opportunities
    • Terms and Conditions
    • Contact
  • Journals
    • All Journals
    • Oncology Letters
      • Oncology Letters
      • Information for Authors
      • Editorial Policies
      • Editorial Board
      • Aims and Scope
      • Abstracting and Indexing
      • Bibliographic Information
      • Archive
    • International Journal of Oncology
      • International Journal of Oncology
      • Information for Authors
      • Editorial Policies
      • Editorial Board
      • Aims and Scope
      • Abstracting and Indexing
      • Bibliographic Information
      • Archive
    • Molecular and Clinical Oncology
      • Molecular and Clinical Oncology
      • Information for Authors
      • Editorial Policies
      • Editorial Board
      • Aims and Scope
      • Abstracting and Indexing
      • Bibliographic Information
      • Archive
    • Experimental and Therapeutic Medicine
      • Experimental and Therapeutic Medicine
      • Information for Authors
      • Editorial Policies
      • Editorial Board
      • Aims and Scope
      • Abstracting and Indexing
      • Bibliographic Information
      • Archive
    • International Journal of Molecular Medicine
      • International Journal of Molecular Medicine
      • Information for Authors
      • Editorial Policies
      • Editorial Board
      • Aims and Scope
      • Abstracting and Indexing
      • Bibliographic Information
      • Archive
    • Biomedical Reports
      • Biomedical Reports
      • Information for Authors
      • Editorial Policies
      • Editorial Board
      • Aims and Scope
      • Abstracting and Indexing
      • Bibliographic Information
      • Archive
    • Oncology Reports
      • Oncology Reports
      • Information for Authors
      • Editorial Policies
      • Editorial Board
      • Aims and Scope
      • Abstracting and Indexing
      • Bibliographic Information
      • Archive
    • Molecular Medicine Reports
      • Molecular Medicine Reports
      • Information for Authors
      • Editorial Policies
      • Editorial Board
      • Aims and Scope
      • Abstracting and Indexing
      • Bibliographic Information
      • Archive
    • World Academy of Sciences Journal
      • World Academy of Sciences Journal
      • Information for Authors
      • Editorial Policies
      • Editorial Board
      • Aims and Scope
      • Abstracting and Indexing
      • Bibliographic Information
      • Archive
    • International Journal of Functional Nutrition
      • International Journal of Functional Nutrition
      • Information for Authors
      • Editorial Policies
      • Editorial Board
      • Aims and Scope
      • Abstracting and Indexing
      • Bibliographic Information
      • Archive
    • International Journal of Epigenetics
      • International Journal of Epigenetics
      • Information for Authors
      • Editorial Policies
      • Editorial Board
      • Aims and Scope
      • Abstracting and Indexing
      • Bibliographic Information
      • Archive
    • Medicine International
      • Medicine International
      • Information for Authors
      • Editorial Policies
      • Editorial Board
      • Aims and Scope
      • Abstracting and Indexing
      • Bibliographic Information
      • Archive
  • Articles
  • Information
    • Information for Authors
    • Information for Reviewers
    • Information for Librarians
    • Information for Advertisers
    • Conferences
  • Language Editing
Spandidos Publications Logo
  • About
    • About Spandidos
    • Aims and Scopes
    • Abstracting and Indexing
    • Editorial Policies
    • Reprints and Permissions
    • Job Opportunities
    • Terms and Conditions
    • Contact
  • Journals
    • All Journals
    • Biomedical Reports
      • Information for Authors
      • Editorial Policies
      • Editorial Board
      • Aims and Scope
      • Abstracting and Indexing
      • Bibliographic Information
      • Archive
    • Experimental and Therapeutic Medicine
      • Information for Authors
      • Editorial Policies
      • Editorial Board
      • Aims and Scope
      • Abstracting and Indexing
      • Bibliographic Information
      • Archive
    • International Journal of Epigenetics
      • Information for Authors
      • Editorial Policies
      • Editorial Board
      • Aims and Scope
      • Abstracting and Indexing
      • Bibliographic Information
      • Archive
    • International Journal of Functional Nutrition
      • Information for Authors
      • Editorial Policies
      • Editorial Board
      • Aims and Scope
      • Abstracting and Indexing
      • Bibliographic Information
      • Archive
    • International Journal of Molecular Medicine
      • Information for Authors
      • Editorial Policies
      • Editorial Board
      • Aims and Scope
      • Abstracting and Indexing
      • Bibliographic Information
      • Archive
    • International Journal of Oncology
      • Information for Authors
      • Editorial Policies
      • Editorial Board
      • Aims and Scope
      • Abstracting and Indexing
      • Bibliographic Information
      • Archive
    • Medicine International
      • Information for Authors
      • Editorial Policies
      • Editorial Board
      • Aims and Scope
      • Abstracting and Indexing
      • Bibliographic Information
      • Archive
    • Molecular and Clinical Oncology
      • Information for Authors
      • Editorial Policies
      • Editorial Board
      • Aims and Scope
      • Abstracting and Indexing
      • Bibliographic Information
      • Archive
    • Molecular Medicine Reports
      • Information for Authors
      • Editorial Policies
      • Editorial Board
      • Aims and Scope
      • Abstracting and Indexing
      • Bibliographic Information
      • Archive
    • Oncology Letters
      • Information for Authors
      • Editorial Policies
      • Editorial Board
      • Aims and Scope
      • Abstracting and Indexing
      • Bibliographic Information
      • Archive
    • Oncology Reports
      • Information for Authors
      • Editorial Policies
      • Editorial Board
      • Aims and Scope
      • Abstracting and Indexing
      • Bibliographic Information
      • Archive
    • World Academy of Sciences Journal
      • Information for Authors
      • Editorial Policies
      • Editorial Board
      • Aims and Scope
      • Abstracting and Indexing
      • Bibliographic Information
      • Archive
  • Articles
  • Information
    • For Authors
    • For Reviewers
    • For Librarians
    • For Advertisers
    • Conferences
  • Language Editing
Login Register Submit
  • This site uses cookies
  • You can change your cookie settings at any time by following the instructions in our Cookie Policy. To find out more, you may read our Privacy Policy.

    I agree
Search articles by DOI, keyword, author or affiliation
Search
Advanced Search
presentation
Oncology Letters
Join Editorial Board Propose a Special Issue
Print ISSN: 1792-1074 Online ISSN: 1792-1082
Journal Cover
April-2025 Volume 29 Issue 4

Full Size Image

Sign up for eToc alerts
Recommend to Library

Journals

International Journal of Molecular Medicine

International Journal of Molecular Medicine

International Journal of Molecular Medicine is an international journal devoted to molecular mechanisms of human disease.

International Journal of Oncology

International Journal of Oncology

International Journal of Oncology is an international journal devoted to oncology research and cancer treatment.

Molecular Medicine Reports

Molecular Medicine Reports

Covers molecular medicine topics such as pharmacology, pathology, genetics, neuroscience, infectious diseases, molecular cardiology, and molecular surgery.

Oncology Reports

Oncology Reports

Oncology Reports is an international journal devoted to fundamental and applied research in Oncology.

Experimental and Therapeutic Medicine

Experimental and Therapeutic Medicine

Experimental and Therapeutic Medicine is an international journal devoted to laboratory and clinical medicine.

Oncology Letters

Oncology Letters

Oncology Letters is an international journal devoted to Experimental and Clinical Oncology.

Biomedical Reports

Biomedical Reports

Explores a wide range of biological and medical fields, including pharmacology, genetics, microbiology, neuroscience, and molecular cardiology.

Molecular and Clinical Oncology

Molecular and Clinical Oncology

International journal addressing all aspects of oncology research, from tumorigenesis and oncogenes to chemotherapy and metastasis.

World Academy of Sciences Journal

World Academy of Sciences Journal

Multidisciplinary open-access journal spanning biochemistry, genetics, neuroscience, environmental health, and synthetic biology.

International Journal of Functional Nutrition

International Journal of Functional Nutrition

Open-access journal combining biochemistry, pharmacology, immunology, and genetics to advance health through functional nutrition.

International Journal of Epigenetics

International Journal of Epigenetics

Publishes open-access research on using epigenetics to advance understanding and treatment of human disease.

Medicine International

Medicine International

An International Open Access Journal Devoted to General Medicine.

Journal Cover
April-2025 Volume 29 Issue 4

Full Size Image

Sign up for eToc alerts
Recommend to Library

  • Article
  • Citations
    • Cite This Article
    • Download Citation
    • Create Citation Alert
    • Remove Citation Alert
    • Cited By
  • Similar Articles
    • Related Articles (in Spandidos Publications)
    • Similar Articles (Google Scholar)
    • Similar Articles (PubMed)
  • Download PDF
  • Download XML
  • View XML
Article Open Access

Association between triglyceride‑glucose index as a marker of insulin resistance and the risk of malignant melanoma: A retrospective study

  • Authors:
    • Jiukang Sun
    • Zhihang Han
    • Chuanjun Song
  • View Affiliations / Copyright

    Affiliations: Department of Oncology, The First Affiliated Hospital of Nanjing Medical University, Nanjing, Jiangsu 210029, P.R. China, Department of Oncology, Shanghai Jiao Tong University Affiliated Sixth People's Hospital South Campus, Shanghai 201499, P.R. China, Department of Oncology, Xinghua People's Hospital Affiliated to Yangzhou University, Xinghua, Jiangsu 225700, P.R. China
    Copyright: © Sun et al. This is an open access article distributed under the terms of Creative Commons Attribution License.
  • Article Number: 173
    |
    Published online on: February 7, 2025
       https://doi.org/10.3892/ol.2025.14919
  • Expand metrics +
Metrics: Total Views: 0 (Spandidos Publications: | PMC Statistics: )
Metrics: Total PDF Downloads: 0 (Spandidos Publications: | PMC Statistics: )
Cited By (CrossRef): 0 citations Loading Articles...

This article is mentioned in:



Abstract

Malignant melanoma, a highly malignant tumor predominantly found on the skin surface, has exhibited an alarming rise in both incidence and mortality rates annually since 2012. Despite its relatively low occurrence among skin malignancies, the mortality rate of malignant melanoma remains disproportionately high. The prognosis relies heavily on early stage detection, with a significant disparity in survival rates between stage I and stage IV patients. Studies exploring insulin resistance (IR) as a potential risk factor for malignant melanoma are scarce. The present study therefore investigated the association between the triglyceride glucose (TyG) index, an indicator of IR, and malignant melanoma incidence. Retrospective data from patients diagnosed with malignant melanoma at the First Affiliated Hospital of Nanjing Medical University (Nanjing, China) between January 2019 and January 2024 were collected. Basic information, including age, sex and body mass index, and hematological test results, such as those for fasting triglycerides and fasting blood glucose, were analyzed. Logistic regression analysis and receiver operating characteristic (ROC) curve analysis were employed to explore the association between melanoma risk and the TyG index. A total of 403 participants, including 272 patients with malignant melanomas and 131 patients with nevi, were included in the study. The melanoma group exhibited significantly higher levels of the TyG index compared with the control group (P<0.001). Univariate and multivariable logistic regression analyses revealed the TyG index as an independent risk factor for melanoma incidence (OR, 6.33; 95% CI, 3.56‑11.27; P<0.001). Incidence rates of melanoma significantly increased across tertiles of the TyG index (P<0.001). The ROC curve analysis identified a clinically acceptable predictive cutoff point for the TyG index. The present study therefore provides evidence that the TyG index is a significant risk factor for the incidence of malignant melanoma. The findings underscore the potential utility of the TyG index as a biomarker for diagnosing melanoma and suggest new avenues for melanoma treatment strategies.

Introduction

Malignant melanoma is a highly malignant tumor that typically arises on the skin surface, with a minority of lesions occurring in locations such as the intestines, nasal cavity and uveal tract (1). Both the incidence and mortality rates of malignant melanoma have shown a rising trend year by year between 2012 and 2020 (2). Although malignant melanoma accounts for <1% of all skin malignancies, its mortality rate accounts for 75% of all associated deaths from skin malignancies (2). The prognosis of patients with malignant melanoma is closely associated with the stage at diagnosis, with a 5-year survival rate of >90% for stage I patients, which is markedly superior to that of stage IV patients (35%) (2,3). Major risk factors for malignant melanoma include exposure to ultraviolet radiation, large congenital nevi and genetic mutations in cyclin-dependent kinase inhibitor 2A (CDKN2A) and CDK4, among others (4–6). Given the generally poor prognosis of patients with melanoma, greater emphasis should be placed on this disease.

Insulin resistance (IR) is a response in which the body's insulin-mediated regulation of blood glucose diminishes due to energy surplus, and is closely linked with obesity, type 2 diabetes and fatty liver disease (7–9). In recent years, an increasing body of research has suggested that the impact of IR extends beyond endocrinology and cardiovascular fields, also promoting the progression of malignant tumors, including breast, colorectal, thyroid and lung cancer (10–13). However, studies on the association between IR and malignant melanoma are currently lacking. The hyperglycemic clamp technique serves as the gold standard for diagnosing IR, but its complexity and high cost mean that it is difficult to widely adopt in clinical practice (14). By contrast, the TyG index has been proven to be a simple and accurate marker of IR, more suitable for clinical application (15). Therefore, the present study aimed to explore the association between the TyG index, a marker of IR, and malignant melanoma.

Patients and methods

Study population

Basic information and hematological test results, including age, gender, body mass index (BMI), medical history, fasting triglyceride level and fasting blood glucose level, were retrospectively collected from patients diagnosed with malignant melanoma at the First Affiliated Hospital of Nanjing Medical University (Nanjing, China) between January 2019 and January 2024. All included patients underwent standard surgical treatment (consisting of laparoscopic colectomy and lymphadenectomy). Inclusion criteria comprised histopathological diagnosis of a malignant melanoma or nevus, age >18 years, no prior treatment, and sufficient baseline and hematological information. Exclusion criteria included a history of other tumors, use of lipid-lowering or blood glucose-lowering medications within a month of diagnosis, other disorders or conditions affecting lipid or glucose metabolism, and acute inflammation at the time of diagnosis. Diabetic patients were also excluded for the following reasons: i) To reduce the confounding effects of IR: Diabetic patients typically experience IR and glucose metabolism abnormalities, leading to significantly elevated IR and TyG index values (16). Including diabetic patients in the study would introduce additional variability in the TyG index, which could obscure the true association between the TyG index and melanoma, thereby reducing the specificity and reliability of the results. ii) To avoid reverse causality interference: Diabetes may increase the risk of malignancies through metabolic inflammation (17). Therefore, diabetes could play a role in the mechanisms underlying melanoma development. Without excluding diabetic patients, the results could be confounded by the potential impact of diabetes itself on melanoma risk, making it difficult to establish an independent association between the TyG index and melanoma. iii) To enhance homogeneity of the study sample: Diabetic patients differ significantly from non-diabetic individuals in terms of metabolic characteristics, medication use and other factors (18). By excluding diabetic patients, sample heterogeneity was reduced, thereby increasing the consistency of the data. This allowed the changes in the TyG index among non-diabetic melanoma patients to be more representative.

To minimize potential confounding effects from undiagnosed diabetes or metabolic syndrome, the following patients were excluded: i) All patients with a fasting glucose level >7.0 mmol/l; ii) those patients with HbA1c >6%; iii) patients with marked symptoms such as polydipsia, polyphagia, polyuria and unexplained weight loss; iv) those with a family history of diabetes in first-degree relatives; and v) patients with severe obesity (BMI >30 kg/m2). All relevant examinations were completed and data collected within 3 days prior to diagnosis. Initially, 301 patients were enrolled in this study, 10 of whom were excluded due to pre-existing diabetes, 16 due to recent use of lipid-lowering medications and 3 due to insufficient information, resulting in a final inclusion of 272 patients with melanoma. Additionally, 131 patients with pathological diagnoses of nevi were included as the control group. The same exclusion criteria were applied to the control patients.

This study received approval from the Ethics Committee of the First Affiliated Hospital of Nanjing Medical University and adheres to the principles outlined in the Declaration of Helsinki (protocol code, 2024-SR-066; date of approval, 2024-02-27).

Measurements

In a fasting state, 3–5 ml of blood was drawn from the median cubital vein into a vacuum tube. The blood sample was centrifuged at 1,000 × g for 10–15 min at 20°C to separate plasma from blood cells (centrifuge model no. 5804/5804R; Eppendorf SE). Glucose concentration was measured using the glucose oxidase method with photometric detection [PGI-101; Glucose Colorimetric Detection Kit; Thermo Fisher Scientific, Inc.] according to the manufacturer's instructions. Triglyceride concentration was measured using the glycerol oxidase-peroxidase method (TR22421; Triglyceride Reagent; Thermo Fisher Scientific, Inc.) according to the manufacturer's instructions. Blood was collected from the individuals enrolled in the study for the purpose of diagnosis and treatment. The method of calculating the TyG index was: TyG=ln [TG (mg/dl) × fasting blood glucose (mg/dl)/2].

Statistical analysis

The statistical analysis was conducted using IBM SPSS (version 27.0; IBM Corp.). Data normality was assessed using the Shapiro-Wilk test. Categorical variables were described using numbers and percentages, while continuous variables were described using means and standard deviations. Continuous variables were compared using either independent t-tests or Mann-Whitney U tests. χ2 tests were utilized for comparing categorical variables. Univariate and multivariate logistic regression analysis was employed to investigate the association between melanoma risk and the TyG index. The optimal cutoff value of the TyG index was determined using a receiver operating characteristic (ROC) curve, with calculations of area under the curve, sensitivity and specificity. Patients were stratified into three groups based on tertiles of the TyG index, and χ2 tests were used to compare incidence rates among the three groups. P<0.05 (two-sided) was used to indicate a statistically significant difference.

Results

Baseline characteristics

A total of 403 participants were included in this study. Among them, there were 272 patients with malignant melanoma and 131 patients with nevi, defined as the melanoma group and the control group, respectively. The age range of patients in the melanoma group was 19 to 76 years (mean ± SD, 59.07±13.70), while that in the control group was 35 to 78 years (mean ± SD, 57.79±12.09). In the melanoma group, 188 (69.1%) patients had the acral histological type, 26 (9.6%) the mucosal type and 44 (16.2%) the cutaneous type, while 14 (5.1%) were of unknown type. Compared with the control group, the melanoma group exhibited a higher TyG index (P<0.001). There was also a difference in the drinking history between the two groups (P=0.037). However, there were no significant differences between the two groups in terms of age, gender, BMI, smoking history, presence of hypertension or presence of hyperlipidemia (P>0.05). Demographic and clinical characteristics of all participants are presented in Table I.

Table I.

Baseline clinicopathological characteristics of patients.

Table I.

Baseline clinicopathological characteristics of patients.

VariablesAll patients (n=403)Melanoma group (n=272)Control group (n=131)P-value
Age, years
  <65259 (64.3)180 (66.2)79 (60.3)0.120
  >65144 (35.7)92 (33.8)52 (39.7)
Sex
  Male207 (51.4)146 (53.7)61 (46.6)0.181
  Female196 (48.6)126 (46.3)70 (53.4)
Mean BMI ± SD22.28±2.4922.39±2.5622.17±2.290.527
Histology
  Acral/188 (69.)//
  Mucosal/26 (9.6)//
  Cutaneous/44 (16.2)//
  Unknown/14 (5.1)//
Clinical stage
  I/46 (16.9)//
  II/82 (30.1)//
  III/112 (41.2)//
  IV/32 (11.8)//
Smoking
  Yes100 (24.8)68 (25.0)32 (24.4)0.9.1
  No303 (75.2)204 (75.0)99 (75.6)
Drinking
  Yes64 (15.9)36 (13.2)28 (21.4)0.037
  No339 (84.1)236 (86.8)103 (78.6)
Hypertension
  Yes132 (32.8)98 (36.0)34 (26.0)0.054
  No271 (67.2)174 (64.0)97 (74.0)
Hyperlipemia
  Yes156 (38.7)114 (41.9)42 (32.1)0.058
  No247 (61.3)158 (58.1)89 (67.9)
Mean fasting blood glucose ± SD4.89±1.115.05±1.314.86±0.710.124
Mean fasting triglycerides ± SD1.46±0.811.49±0.911.41±0.65
Mean TyG index ± SD8.56±0.598.80±0.548.31±0.52<0.001

[i] BMI, body mass index; TyG, triglyceride-glucose.

Association between malignant melanoma risk and the TyG index

The optimal cutoff value of the TyG index was 8.87. The TyG index was categorized into high and low groups according to the cutoff value. The results of univariate logistic regression analysis indicated that the melanoma group had a significantly higher TyG index (OR, 6.45; 95% CI 3.64–11.43; P<0.001; Table II). Variables with P<0.1 were further included in the multivariate logistic regression analysis. This analysis demonstrated that the TyG index (OR, 6.33; 95% CI, 3.56–11.27; P<0.001; Table II) was independently associated with the melanoma incidence.

Table II.

Univariate and multivariate analysis of risk factors for melanoma.

Table II.

Univariate and multivariate analysis of risk factors for melanoma.

Univariate analysisMultivariate analysis


CharacteristicsOR95% CIP-valueOR95% CIP-value
Age (>65/<65 years)0.780.47–1.280.320
Sex (female/male)0.250.47–1.220.752
BMI (18.5–23.9/>24 kg/m2)1.050.95–1.150.350
Smoking status (yes/no)1.030.59–1.800.914
Drinking status (yes/no)0.560.29–1.070.0810.580.29–1.180.134
Hypertension (yes/no)1.610.95–2.720.0761.470.83–2.610.186
Hyperlipemia (yes/no)1.530.93–2.520.106
TyG index (>8.87/<8.87)6.453.64–11.43<0.0016.333.56–11.27<0.001

[i] BMI, body mass index; TyG, triglyceride-glucose; OR, odds ratio; CI, confidence interval.

Since the most common pathological type in this study was acral melanoma (69.1%), a logistic regression analysis was performed for patients with acral melanoma alone. The results of univariate logistic regression analysis indicated that there were differences in hypertension (OR, 1.85; 95% CI, 1.05–3.27; P=0.034; Table III) and TyG index (OR, 6.09; 95% CI, 3.26–11.37; P<0.001; Table III) between the two groups. The results of multivariate logistic regression showed that TyG index was also independently associated with the onset of acral melanoma (OR, 6.33; 95% CI, 3.34–11.97; P<0.001; Table III).

Table III.

Univariate and multivariate analysis of risk factors for acral melanoma.

Table III.

Univariate and multivariate analysis of risk factors for acral melanoma.

Univariate analysisMultivariate analysis


CharacteristicsOR95% CIP-valueOR95% CIP-value
Age (>65/<65 years)0.590.50–1.490.861
Sex (female/male)0.670.39–1.150.147
BMI (18.5–23.9/>24 kg/m2)1.100.99–1.230.0891.141.01–1.280.044
Smoking status (yes/no)0.950.51–1.760.859
Drinking status (yes/no)0.590.29–1.210.151
Hypertension (yes/no)1.851.05–3.270.0341.590.86–2.960.142
Hyperlipemia (yes/no)1.570.91–2.720.108
TyG index (>8.87/<8.87)6.093.26–11.37<0.0016.333.34–11.97<0.001

[i] BMI, body mass index; TyG, triglyceride-glucose; OR, odds ratio; CI, confidence interval.

Given the differences in insulin sensitivity between sexes (19), the TyG index was analyzed separately for males and females. The results of univariate logistic regression analysis indicated that the melanoma group had a significantly higher TyG index in both males (OR, 6.63; 95% CI, 2.85–15.41; P<0.001; Table IV) and females (OR, 9.09; 95% CI, 3.44–24.06; P<0.001; Table V). The multivariate logistic regression results also indicated that the TyG index was an independent predictor of malignant melanoma in both males (OR, 6.44; 95% CI, 2.75–15.06; P<0.001; Table IV) and females (OR, 10.04; 95% CI, 3.71–27.17; P<0.001; Table V). Notably, in females, the univariate logistic regression results indicated that there was no difference in hypertension (OR, 2.08; 95% CI, 0.98–4.42; P=0.058; Table V) between the two groups, but the multivariate logistic regression results showed that hypertension was an independent predictor of malignant melanoma (OR, 2.53; 95% CI, 1.10–5.83; P=0.029; Table V).

Table IV.

Univariate and multivariate analysis of risk factors for melanoma in male patients.

Table IV.

Univariate and multivariate analysis of risk factors for melanoma in male patients.

Univariate analysisMultivariate analysis


CharacteristicsOR95% CIP-valueOR95% CIP-value
Age (>65/<65 years)0.690.35–1.370.285
BMI (18.5–23.9/>24 kg/m2)1.090.95–1.260.209
Smoking status (yes/no)0.700.35–1.410.321
Drinking status (yes/no)0.510.24–1.060.0700.550.25–1.230.144
Hypertension (yes/no)1.250.59–2.590.559
Hyperlipemia (yes/no)1.440.72–2.880.300
TyG index (>8.87/<8.87)6.632.85–15.41<0.0016.442.75–15.06<0.001

[i] BMI, body mass index; TyG, triglyceride-glucose; OR, odds ratio; CI, confidence interval.

Table V.

Univariate and multivariate analysis of risk factors for melanoma in female patients.

Table V.

Univariate and multivariate analysis of risk factors for melanoma in female patients.

Univariate analysisMultivariate analysis


CharacteristicsOR95% CIP-valueOR95% CIP-value
Age (>65/<65 years)0.820.39–1.710.593
BMI (18.5–23.9/>24 kg/m2)1.010.88–1.160.936
Smoking status (yes/no)1.780.59–5.310.303
Drinking status (yes/no)a//////
Hypertension (yes/no)2.080.98–4.420.0582.531.10–5.830.029
Hyperlipemia (yes/no)1.540.74–3.220.247
TyG index (>8.87/<8.87)9.093.44–24.06<0.00110.043.71–27.17<0.001

a There were no female drinkers. BMI, body mass index; TyG, triglyceride-glucose; OR, odds ratio; CI, confidence interval.

Incidence of malignant melanoma compared across the tertiles of the TyG index

Dividing the data into tertiles (from low to high based on the variable) can help identify the association between the levels of the variable (TyG index) and disease risk. This method allows the observer to assess whether there is a gradient change in the incidence rate across the low (tertile 1), medium (tertile 2) and high groups (tertile 3). Additionally, tertile grouping is a commonly used statistical method that evenly distributes sample sizes, preventing an imbalance in group distribution that could affect the robustness of the statistical results. This method has also been applied in a study exploring the risk factors for non-small cell lung cancer (NSCLC), where the incidence of NSCLC was observed to consistently increase along the tertiles of the TyG index (10). To further investigate the incidence rates among populations with different levels of the TyG index, all patients in the present study were divided into three groups based on tertiles of the TyG index (tertile 1, minimum to 8.29; tertile 2, 8.29 to 8.83; tertile 3, 8.83 to maximum). Fig. 1 indicates a rising trend in the incidence rates across the three groups, with statistically significant differences observed (27.9 vs. 48.9 vs. 77.3%; P<0.001).

Figure 1.

Incidence of malignant melanoma compared using the tertiles of the triglyceride-glucose index.

Value of the TyG index for predicting the incident of malignant melanoma

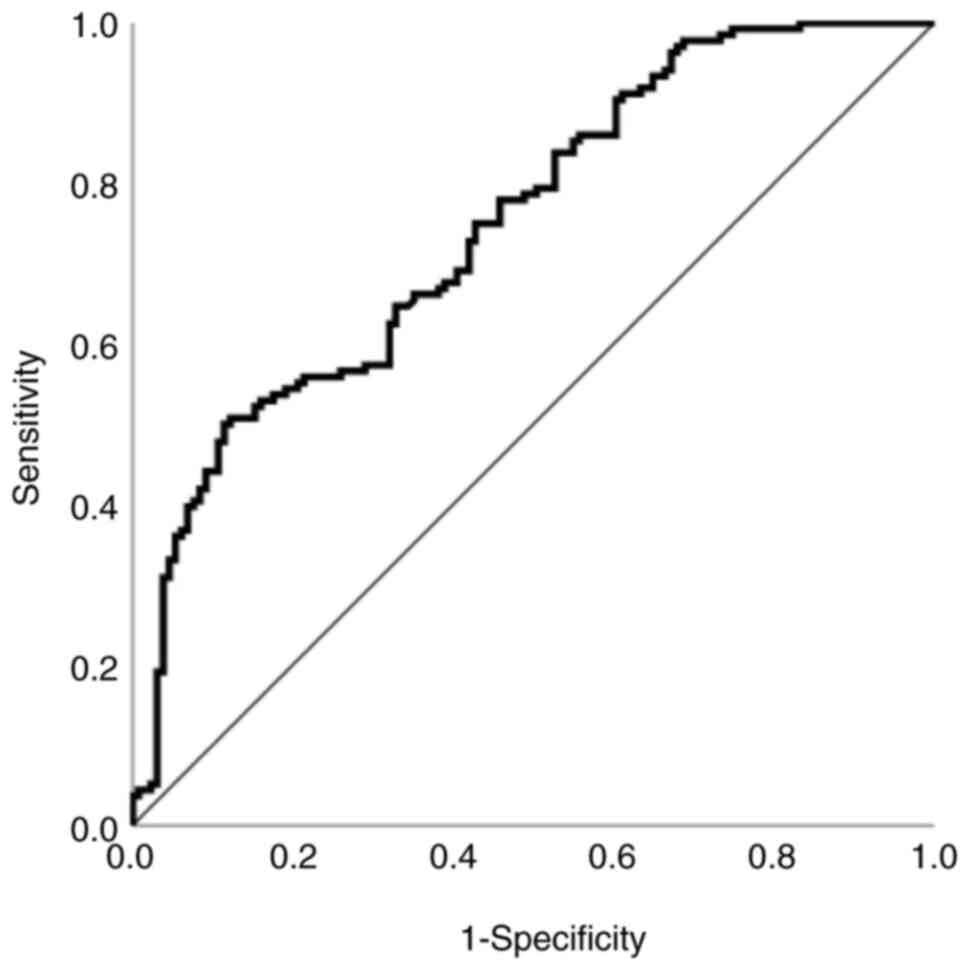
An ROC curve was generated for the TyG index (area under the curve, 0.748; standard error, 0.03; P<0.001; 95% CI, 0.69–0.806; Fig. 2), with the optimal cut-off point for the TyG index determined to be 8.87 (sensitivity, 50%; specificity, 88.5%). This implies that the TyG index is a clinically acceptable predictive indicator for the risk of malignant melanoma.

Figure 2.

Receiver operative characteristic curves of the triglyceride-glucose index for predicting the incidence of malignant melanoma.

Discussion

Malignant melanoma stands as one of the most malignant tumors, and despite advancements in immunotherapeutic and targeted approaches that have somewhat ameliorated the prognosis, the 5-year survival rate for late-stage malignant melanoma patients remains poor (35.1%) (2). Established high-risk factors for malignant melanoma include exposure to ultraviolet radiation, large congenital nevi and certain genetic mutations (4–6). However, despite measures taken to address these high-risk factors, the incidence of malignant melanoma continues to rise annually (2). This prompts the exploration of new high-risk factors for malignant melanoma occurrence. The present study suggested that the TyG index, indicative of IR, is an independent risk factor for malignant melanoma occurrence. IR is a potential mechanism underlying elevated TyG index values, and TyG index may serve as a surrogate marker for IR (15). Although the hyperinsulinemic-euglycemic clamp technique is considered the gold standard for diagnosing IR, its high cost and complexity limit its routine application (14). Therefore, the present study utilized the TyG index as a substitute for IR and elaborated on the underlying mechanisms. The study was retrospective in nature, and fasting insulin levels could not be obtained, limiting the ability to provide direct evidence of IR. These aspects will carefully be considered in future research. To the best of our knowledge, this is the first study to investigate the association between the TyG index and malignant melanoma incidence.

Independent t-tests, Mann-Whitney U tests and χ2 tests were used to analyze baseline variables. Other than TyG index, there was also a significant difference between the two groups in terms of drinking history (P=0.037). Multiple studies have long established that alcohol consumption is a high-risk factor for the development of malignant tumors (20). Recent studies have also shown a close association between alcohol consumption and MM. Alcohol intake may increase the severity of sunburn, which is a well-known high-risk factor for MM, and this could be a potential mechanism by which alcohol promotes MM (21). A Mendelian randomization analysis in 2023 suggested that alcohol consumption had a positive effect on the development of skin MM (OR, 2.23; 95% CI, 1.11–4.47; P=0.02) (22). A meta-analysis also indicated that alcohol consumption might be associated with an increased risk of melanoma, but residual confounding factors and bias could not be ruled out (23). This is contrary to the present findings, where an initial rank-sum test revealed that the control groups had a higher drinking rate (P=0.037). However, subsequent univariate and multivariate logistic regression analyses did not show an association between alcohol consumption and MM (P=0.081 and P=0.134, respectively). Therefore, the association between alcohol consumption and MM requires further exploration through large-scale prospective studies. However, it is important to note that this variable was not the primary focus of the present study, and its significance does not alter the central conclusions regarding the association between the TyG index and melanoma risk.

IR arises from diminished responsiveness to insulin in the body. Initial research predominantly focused on the association of IR with cerebrovascular and cardiovascular diseases, diabetes and other endocrine disorders (such as Cushing's syndrome and hyperuricemia) (7,9,24). However, subsequent studies have revealed significant implications of IR in the onset and progression of tumors. A comparative study by Panigoro et al (11) involving 212 patients with breast cancer and 212 healthy individuals demonstrated a non-linear correlation between the TyG index and breast cancer risk, with individuals having a TyG index >8.87 facing a three-fold increase in breast cancer risk. This finding aligns with results from a large-scale study indicating a correlation between IR and breast cancer incidence in postmenopausal women (25). Furthermore, research by Li et al (13) on patients with colorectal cancer suggested an association between elevated TyG index and an increased risk of colorectal cancer. Similarly, Yan et al (10) demonstrated that a higher TyG index elevated the risk of NSCLC. The value of the TyG index is also reflected in renal cell carcinoma. A retrospective study by Qin et al (26) showed that individuals with a higher TyG index had a higher incidence of renal cell carcinoma, and that patients with renal cell carcinoma had a poor prognosis. This is consistent with the present study showing the predictive value of IR (TyG index) for cancer. To the best of our knowledge, this is the first study to explore the association between TyG index and melanoma incidence. These studies corroborate our conclusion that IR, or a higher TyG index, represents a significant risk factor for malignant melanoma incidence.

IR leads to hyperinsulinemia, which is one of the mechanisms through which IR promotes tumor onset and progression (27). Insulin binding to the insulin receptor (INSR) activates the PI3K/Akt/mTOR pathway, thereby exerting its effects on promoting angiogenesis, cell proliferation and differentiation (28). Additionally, INSR-A has been shown to be upregulated in various tumors (such as breast and lung cancer) (29). Therefore, the interaction between elevated insulin levels and upregulated INSR-A plays a crucial role in promoting tumor onset and development. For instance, in an animal model study by Zhang et al (30), a decrease in insulin levels significantly reduced the incidence of pancreatic cancer precursor lesions. Similarly, a 16-year observational study found that individuals with higher blood insulin concentrations had a significantly higher risk of pancreatic cancer compared with those with lower blood insulin concentrations (31). By contrast, the indirect reduction of blood insulin levels by metformin demonstrated anticancer effects (32). The anticancer properties of metformin stem from its ability to activate adenosine 5′-monophosphate-activated protein kinase, thereby inhibiting mTOR signaling and protein synthesis, ultimately suppressing cell proliferation (33). Several studies have indicated that metformin can inhibit the proliferation of various tumors, including lung and breast cancer (34,35). This highlights the importance of not only recognizing the role of IR in promoting tumor growth, but also considering the improvement of IR as a potential target for cancer therapy.

In addition, under the state of IR, there is a decrease in insulin-like growth factor (IGF) binding protein production, leading to an increase in circulating IGF-1, which is another mechanism through which IR promotes tumor onset and development (36). On the one hand, IGF-1 binds to the IGF-1 receptor (IGF-1R) and exerts its effects on promoting cell proliferation and inhibiting apoptosis through the PI3K/Akt/mTOR pathway (37). Use of a hybrid mouse model in the study by Wang et al (38) suggested that elevated IGF-1 levels led to increased incidence and invasiveness of prostate cancer. Additionally, Yakar et al (39) observed that implantation of colon cancer tissue into IGF-1 gene-deleted (LID) mice and normal mice showed significantly higher tumor incidence in the control mice compared with that in the LID mice, with lower circulating IGF-1 levels in the LID mice. However, after administration of IGF-1 to the LID mice, there was no difference in tumor growth between the two groups (39). IGF-1 can also bind to INSR-1 and, through the aforementioned mechanism, promote tumor onset (40).

IR can also inhibit PTEN function. As a negative regulator of the PI3K/Akt signaling pathway, PTEN plays a critical role in tumor suppression. PTEN induces oxidative phosphorylation and reduces glycolysis, thereby decreasing energy metabolism in cancer cells, which may be a key mechanism underlying its tumor-suppressive effects (41). Inactivation of PTEN leads to increased PIP3 recruitment and excessive activation of Akt and downstream signaling cascades, promoting cell survival and tumorigenesis (42). Enhanced Akt activity may increase immune evasion by downregulating the expression of programmed death ligand 1 on the tumor cell surface, thereby promoting cancer development and progression (43). Additionally, excessive activation of the PI3K/Akt pathway can further impair insulin sensitivity and contribute to the development of IR, establishing a vicious cycle of IR and PTEN inactivation that ultimately leads to tumorigenesis (44). In hepatic malignancies, IR and hyperinsulinemia lead to upregulation of the IGF axis (including IGF-1, IGF-2, IGF-1R, IGF-2R, and IGF binding proteins IGFBP1-6 and INRS-1), subsequently promoting activation and phosphorylation of the PI3K/PTEN/Akt signaling pathway, inducing cell proliferation and inhibiting apoptosis, which together drive tumorigenesis (45). Given that PTEN mutations are a significant susceptibility factor for malignant melanoma, greater attention should be paid to the risks associated with IR (46).

The tumor-promoting effects of IR are also related to inflammation. IR causes adipocyte dysfunction, increasing the infiltration of M1-type pro-inflammatory macrophages in adipose tissue, thereby enhancing the secretion of pro-inflammatory cytokines from adipocytes, including tumor necrosis factor-α (TNF-α), interleukin-6 (IL-6) and IL-1β (47–49). These cytokines further inhibit insulin signaling, exacerbating IR. IL-6, as an inflammatory cytokine, can induce cancer cell proliferation through STAT signaling and simultaneously block host antitumor immune responses (50). Elevated levels of IL-6 have been observed in overweight and obese women with IR and early stage breast cancer (51). Additionally, circulating IL-6 levels are higher in men with prostate cancer compared with those in men with benign conditions (52). TNF-α, a key pro-inflammatory factor, is involved in maintaining immune system homeostasis, inflammation and host defense. TNF-α promotes and amplifies IR by inhibiting INSR signaling, and plays a crucial role in the formation and progression of various tumors (53). For instance, serum TNF-α levels are significantly associated with tumor stage in patients with prostate cancer (54). TNF-α also promotes tumor progression and metastasis in breast cancer by facilitating epithelial-mesenchymal transition (55). Furthermore, elevated circulating TNF-α levels can activate the NF-κB pathway, exerting anti-apoptotic effects that promote tumorigenesis in overweight patients with IR (56). As melanoma is an immunogenic tumor, it is not unexpected that this phenomenon is also observed in malignant melanoma (57). A study by Molinelli et al (58) indicated that TNF-α expression was significantly elevated in the peritumoral tissue of melanoma samples compared with that in controls, suggesting that the upregulation of TNF-α may contribute to the growth and local invasiveness of cutaneous melanoma. Therefore, the interaction between IR and inflammation should be evaluated as a risk factor in tumor diagnostics.

The present study also had several limitations: Firstly, it was a retrospective study with a limited number of participants, and due to excessive missing data and as it was not a primary focus of this study, high-density lipoprotein (HDL) was removed. Secondly, an association was not found between the TyG index and BMI, which may be due to the limited sample size. Thirdly, there was no direct evidence of IR or hyperinsulinemia due to the limitations of a retrospective study. Finally, the dynamic changes in the TyG index were not observed. Furthermore, we also acknowledge the potential influence of insulin deficiency on the TyG index (15). However, the present study was retrospective, and diabetic patients were excluded to minimize the confounding effect. Fasting insulin is not routinely measured due to its limited clinical applicability and cost in patients without specific diseases (59), so we did not have access to fasting insulin data in the analysis. In future prospective studies, greater emphasis will be placed on assessing fasting insulin levels to better elucidate the underlying mechanisms of TyG index variations. Therefore, further basic research and large-scale observational studies are needed to further substantiate the association between IR and the incidence of malignant melanoma.

In conclusion, the present study provides the first evidence that the TyG index, representing IR, is a significant risk factor for the incidence of malignant melanoma. This finding has significant clinical implications, including the following: i) Early risk assessment: The TyG index can help identify individuals at higher risk for melanoma, enabling early detection and more frequent skin monitoring. ii) Comprehensive risk evaluation: The TyG index provides a tool for assessing the risk of melanoma. iii) Guiding interventions: High TyG index can prompt lifestyle and therapeutic interventions to improve insulin sensitivity, potentially reducing melanoma risk. iv) Prognostic value: The index may serve as a marker for monitoring metabolic health and treatment outcomes in patients with melanoma. Overall, the TyG index offers a simple, cost-effective approach to melanoma risk assessment and metabolic health management.

Acknowledgements

Not applicable.

Funding

Funding: No funding was received.

Availability of data and materials

The data generated in the present study may be requested from the corresponding author.

Authors' contributions

JS, ZH and CS contributed to the study conception and design. JS was responsible for the methodology, and ZH performed the formal analysis and investigation JS and ZH prepared the original draft, and CS and JS reviewed and edited the manuscript. Resources and study supervision were provided by CS. All authors have read and approved the manuscript. All authors have read and approved the manuscript. JS and CS confirm the authenticity of all the raw data.

Ethics approval and consent to participate

Written informed consent was not sought from the patients, as this study was retrospective in nature and involved only the analysis of existing medical records. No direct patient contact or intervention occurred, and all patient data were anonymized to ensure confidentiality. Therefore, only verbal informed consent was obtained from the patients for participation in this study. Additionally, the study protocol, including the waiver of written informed consent, was reviewed and approved by the Ethics Committee of the First Affiliated Hospital of Nanjing Medical University (protocol code, 2024-SR-066; date of approval, 2024-02-27).

Patient consent for publication

Verbal informed consent was obtained from all subjects involved for publication of the study.

Competing interests

The authors declare that they have no competing interests.

References

1 

Raimondi S, Suppa M and Gandini S: Melanoma epidemiology and sun exposure. Acta Derm Venereol. 100:adv001362020. View Article : Google Scholar : PubMed/NCBI

2 

Waseh S and Lee JB: Advances in melanoma: Epidemiology, diagnosis, and prognosis. Front Med (Lausanne). 10:12684792023. View Article : Google Scholar : PubMed/NCBI

3 

Eisemann N, Schumann L, Baltus H, Labohm L, Kraywinkel K and Katalinic A: Longer survival from melanoma in Germany. Dtsch Arztebl Int. 121:45–51. 2024.PubMed/NCBI

4 

Toussi A, Mans N, Welborn J and Kiuru M: Germline mutations predisposing to melanoma. J Cutan Pathol. 47:606–616. 2020. View Article : Google Scholar : PubMed/NCBI

5 

Holly EA, Kelly JW, Shpall SN and Chiu SH: Number of melanocytic nevi as a major risk factor for malignant melanoma. J Am Acad Dermatol. 17:459–468. 1987. View Article : Google Scholar : PubMed/NCBI

6 

Fears TR, Scotto J and Schneiderman MA: Mathematical models of age and ultraviolet effects on the incidence of skin cancer among whites in the United States. Am J Epidemiol. 105:420–427. 1977. View Article : Google Scholar : PubMed/NCBI

7 

Chen S, Chen Y, Liu X, Li M, Wu B, Li Y, Liang Y, Shao X, Holthöfer H and Zou H: Insulin resistance and metabolic syndrome in normal-weight individuals. Endocrine. 46:496–504. 2014. View Article : Google Scholar : PubMed/NCBI

8 

Fracanzani AL, Valenti L, Bugianesi E, Andreoletti M, Colli A, Vanni E, Bertelli C, Fatta E, Bignamini D, Marchesini G and Fargion S: Risk of severe liver disease in nonalcoholic fatty liver disease with normal aminotransferase levels: A role for insulin resistance and diabetes. Hepatology. 48:792–798. 2008. View Article : Google Scholar : PubMed/NCBI

9 

Czech MP: Mechanisms of insulin resistance related to white, beige, and brown adipocytes. Mol Metab. 34:27–42. 2020. View Article : Google Scholar : PubMed/NCBI

10 

Yan X, Gao Y, Tong J, Tian M, Dai J and Zhuang Y: Association between triglyceride glucose index and non-small cell lung cancer risk in Chinese population. Front Oncol. 11:5853882021. View Article : Google Scholar : PubMed/NCBI

11 

Panigoro SS, Sutandyo N, Witjaksono F, Siregar NC, Ramli R, Hariani R, Pangarsa EA, Prajoko YW, Puruhita N, Hamdani W, et al: The association between triglyceride-glucose index as a marker of insulin resistance and the risk of breast cancer. Front Endocrinol (Lausanne). 12:7452362021. View Article : Google Scholar : PubMed/NCBI

12 

Alkurt EG, Şahin F, Tutan B, Canal K and Turhan VB: The relationship between papillary thyroid cancer and triglyceride/glucose index, which is an indicator of insulin resistance. Eur Rev Med Pharmacol Sci. 26:6114–6120. 2022.PubMed/NCBI

13 

Li W, Liu T, Qian L, Wang Y, Ma X, Cao L, Zhang Q and Qu J: Insulin resistance and inflammation mediate the association of abdominal obesity with colorectal cancer risk. Front Endocrinol (Lausanne). 13:9831602022. View Article : Google Scholar : PubMed/NCBI

14 

DeFronzo RA, Tobin JD and Andres R: Glucose clamp technique: A method for quantifying insulin secretion and resistance. Am J Physiol. 237:E214–E223. 1979.PubMed/NCBI

15 

Sánchez-García A, Rodríguez-Gutiérrez R, Mancillas-Adame L, González-Nava V, Díaz González-Colmenero A, Solis RC, Álvarez-Villalobos NA and González-González JG: Diagnostic accuracy of the triglyceride and glucose index for insulin resistance: A systematic review. Int J Endocrinol. 2020:46785262020. View Article : Google Scholar : PubMed/NCBI

16 

Rohm TV, Meier DT, Olefsky JM and Donath MY: Inflammation in obesity, diabetes, and related disorders. Immunity. 55:31–55. 2022. View Article : Google Scholar : PubMed/NCBI

17 

Kim DS and Scherer PE: Obesity, diabetes, and increased cancer progression. Diabetes Metab J. 45:799–812. 2021. View Article : Google Scholar : PubMed/NCBI

18 

Poznyak A, Grechko AV, Poggio P, Myasoedova VA, Alfieri V and Orekhov AN: The diabetes mellitus-atherosclerosis connection: The role of lipid and glucose metabolism and chronic inflammation. Int J Mol Sci. 21:18352020. View Article : Google Scholar : PubMed/NCBI

19 

Gado M, Tsaousidou E, Bornstein SR and Perakakis N: Sex-based differences in insulin resistance. J Endocrinol. 261:e2302452024. View Article : Google Scholar : PubMed/NCBI

20 

Bagnardi V, Rota M, Botteri E, Tramacere I, Islami F, Fedirko V, Scotti L, Jenab M, Turati F, Pasquali E, et al: Alcohol consumption and site-specific cancer risk: A comprehensive dose-response meta-analysis. Br J Cancer. 112:580–593. 2015. View Article : Google Scholar : PubMed/NCBI

21 

Saladi RN, Nektalova T and Fox JL: Induction of skin carcinogenicity by alcohol and ultraviolet light. Clin Exp Dermatol. 35:7–11. 2010. View Article : Google Scholar : PubMed/NCBI

22 

Xu J, Liu W, Liu X, Zhou X and Li G: Alcohol drinking, smoking, and cutaneous melanoma risk: Mendelian randomization analysis. Gac Sanit. 37:1023512023. View Article : Google Scholar : PubMed/NCBI

23 

Gandini S, Masala G, Palli D, Cavicchi B, Saieva C, Ermini I, Baldini F, Gnagnarella P and Caini S: Alcohol, alcoholic beverages, and melanoma risk: A systematic literature review and dose-response meta-analysis. Eur J Nutr. 57:2323–2332. 2018. View Article : Google Scholar : PubMed/NCBI

24 

Reaven GM: Banting lecture 1988. Role of insulin resistance in human disease. Diabetes. 37:1595–1607. 1988. View Article : Google Scholar : PubMed/NCBI

25 

Pan K, Chlebowski RT, Mortimer JE, Gunter MJ, Rohan T, Vitolins MZ, Adams-Campbell LL, Ho GYF, Cheng TD and Nelson RA: Insulin resistance and breast cancer incidence and mortality in postmenopausal women in the women's health initiative. Cancer. 126:3638–3647. 2020. View Article : Google Scholar : PubMed/NCBI

26 

Qin G, Sun Z, Jin Y, Ren X, Zhang Z, Wang S, Zhou G, Huang K, Zhao H and Jiang X: The association between the triglyceride-glucose index and prognosis in postoperative renal cell carcinoma patients: A retrospective cohort study. Front Endocrinol (Lausanne). 15:13017032024. View Article : Google Scholar : PubMed/NCBI

27 

Zhang AMY, Wellberg EA, Kopp JL and Johnson JD: Hyperinsulinemia in obesity, inflammation, and cancer. Diabetes Metab J. 45:285–311. 2021. View Article : Google Scholar : PubMed/NCBI

28 

Lien EC, Lyssiotis CA and Cantley LC: Metabolic reprogramming by the PI3K-Akt-mTOR pathway in cancer. Recent Results Cancer Res. 207:39–72. 2016. View Article : Google Scholar : PubMed/NCBI

29 

Belfiore A, Frasca F, Pandini G, Sciacca L and Vigneri R: Insulin receptor isoforms and insulin receptor/insulin-like growth factor receptor hybrids in physiology and disease. Endocr Rev. 30:586–623. 2009. View Article : Google Scholar : PubMed/NCBI

30 

Zhang AMY, Magrill J, de Winter TJJ, Hu X, Skovsø S, Schaeffer DF, Kopp JL and Johnson JD: Endogenous hyperinsulinemia contributes to pancreatic cancer development. Cell Metab. 30:403–404. 2019. View Article : Google Scholar : PubMed/NCBI

31 

Stolzenberg-Solomon RZ, Graubard BI, Chari S, Limburg P, Taylor PR, Virtamo J and Albanes D: Insulin, glucose, insulin resistance, and pancreatic cancer in male smokers. JAMA. 294:2872–2878. 2005. View Article : Google Scholar : PubMed/NCBI

32 

Lv Z and Guo Y: Metformin and its benefits for various diseases. Front Endocrinol (Lausanne). 11:1912020. View Article : Google Scholar : PubMed/NCBI

33 

Gwinn DM, Shackelford DB, Egan DF, Mihaylova MM, Mery A, Vasquez DS, Turk BE and Shaw RJ: AMPK phosphorylation of raptor mediates a metabolic checkpoint. Mol Cell. 30:214–226. 2008. View Article : Google Scholar : PubMed/NCBI

34 

Podhorecka M, Ibanez B and Dmoszyńska A: Metformin-its potential anti-cancer and anti-aging effects. Postepy Hig Med Dosw (Online). 71:170–175. 2017. View Article : Google Scholar : PubMed/NCBI

35 

Vallianou NG, Evangelopoulos A and Kazazis C: Metformin and cancer. Rev Diabet Stud. 10:228–235. 2023. View Article : Google Scholar : PubMed/NCBI

36 

Frasca F, Pandini G, Scalia P, Sciacca L, Mineo R, Costantino A, Goldfine ID, Belfiore A and Vigneri R: Insulin receptor isoform A, a newly recognized, high-affinity insulin-like growth factor II receptor in fetal and cancer cells. Mol Cell Biol. 19:3278–3288. 1999. View Article : Google Scholar : PubMed/NCBI

37 

Zhong W, Wang X, Wang Y, Sun G, Zhang J and Li Z: Obesity and endocrine-related cancer: The important role of IGF-1. Front Endocrinol (Lausanne). 14:10932572023. View Article : Google Scholar : PubMed/NCBI

38 

Wang S, Wang N, Yu B, Cao M, Wang Y, Guo Y, Zhang Y, Zhang P, Yu X, Wang S, et al: Circulating IGF-1 promotes prostate adenocarcinoma via FOXO3A/BIM signaling in a double-transgenic mouse model. Oncogene. 38:6338–6353. 2019. View Article : Google Scholar : PubMed/NCBI

39 

Yakar S, Pennisi P, Zhao H, Zhang Y and LeRoith D: Circulating IGF-1 and its role in cancer: Lessons from the IGF-1 gene deletion (LID) mouse. Novartis Found Symp. 262:3–18. 265–268. 2004. View Article : Google Scholar : PubMed/NCBI

40 

Malaguarnera R, Sacco A, Voci C, Pandini G, Vigneri R and Belfiore A: Proinsulin binds with high affinity the insulin receptor isoform A and predominantly activates the mitogenic pathway. Endocrinology. 153:2152–2163. 2012. View Article : Google Scholar : PubMed/NCBI

41 

Ortega-Molina A and Serrano M: PTEN in cancer, metabolism, and aging. Trends Endocrinol Metab. 24:184–189. 2013. View Article : Google Scholar : PubMed/NCBI

42 

Cheng H, Liu P, Zhang F, Xu E, Symonds L, Ohlson CE, Bronson RT, Maira SM, Di Tomaso E, Li J, et al: A genetic mouse model of invasive endometrial cancer driven by concurrent loss of Pten and Lkb1 is highly responsive to mTOR inhibition. Cancer Res. 74:15–23. 2014. View Article : Google Scholar : PubMed/NCBI

43 

Chen J, Zhang XD and Proud C: Dissecting the signaling pathways that mediate cancer in PTEN and LKB1 double-knockout mice. Sci Signal. 8:pe12015. View Article : Google Scholar : PubMed/NCBI

44 

Wang XL, Zhang L, Youker K, Zhang MX, Wang J, LeMaire SA, Coselli JS and Shen YH: Free fatty acids inhibit insulin signaling-stimulated endothelial nitric oxide synthase activation through upregulating PTEN or inhibiting Akt kinase. Diabetes. 55:2301–2310. 2006. View Article : Google Scholar : PubMed/NCBI

45 

Yu J, Shen J, Sun TT, Zhang X and Wong N: Obesity, insulin resistance, NASH and hepatocellular carcinoma. Semin Cancer Biol. 23:483–491. 2013. View Article : Google Scholar : PubMed/NCBI

46 

Leachman SA, Lucero OM, Sampson JE, Cassidy P, Bruno W, Queirolo P and Ghiorzo P: Identification, genetic testing, and management of hereditary melanoma. Cancer Metastasis Rev. 36:77–90. 2017. View Article : Google Scholar : PubMed/NCBI

47 

Olefsky JM and Glass CK: Macrophages, inflammation, and insulin resistance. Annu Rev Physiol. 72:219–246. 2010. View Article : Google Scholar : PubMed/NCBI

48 

Kershaw EE and Flier JS: Adipose tissue as an endocrine organ. J Clin Endocrinol Metab. 89:2548–2556. 2004. View Article : Google Scholar : PubMed/NCBI

49 

Vozarova B, Weyer C, Hanson K, Tataranni PA, Bogardus C and Pratley RE: Circulating interleukin-6 in relation to adiposity, insulin action, and insulin secretion. Obes Res. 9:414–417. 2001. View Article : Google Scholar : PubMed/NCBI

50 

Grivennikov S, Karin E, Terzic J, Mucida D, Yu GY, Vallabhapurapu S, Scheller J, Rose-John S, Cheroutre H, Eckmann L and Karin M: IL-6 and Stat3 are required for survival of intestinal epithelial cells and development of colitis-associated cancer. Cancer Cell. 15:103–113. 2009. View Article : Google Scholar : PubMed/NCBI

51 

Gonullu G, Ersoy C, Ersoy A, Evrensel T, Basturk B, Kurt E, Oral B, Gokgoz S and Manavoglu O: Relation between insulin resistance and serum concentrations of IL-6 and TNF-alpha in overweight or obese women with early stage breast cancer. Cytokine. 31:264–269. 2005. View Article : Google Scholar : PubMed/NCBI

52 

Wu CT, Chen MF, Chen WC and Hsieh CC: The role of IL-6 in the radiation response of prostate cancer. Radiat Oncol. 8:1592013. View Article : Google Scholar : PubMed/NCBI

53 

Bulló M, García-Lorda P, Peinado-Onsurbe J, Hernández M, Del Castillo D, Argilés JM and Salas-Salvadó J: TNFalpha expression of subcutaneous adipose tissue in obese and morbid obese females: Relationship to adipocyte LPL activity and leptin synthesis. Int J Obes Relat Metab Disord. 26:652–658. 2002. View Article : Google Scholar : PubMed/NCBI

54 

Michalaki V, Syrigos K, Charles P and Waxman J: Serum levels of IL-6 and TNF-alpha correlate with clinicopathological features and patient survival in patients with prostate cancer. Br J Cancer. 90:2312–2316. 2004. View Article : Google Scholar : PubMed/NCBI

55 

Cruceriu D, Baldasici O, Balacescu O and Berindan-Neagoe I: The dual role of tumor necrosis factor-alpha (TNF-α) in breast cancer: Molecular insights and therapeutic approaches. Cell Oncol (Dordr). 43:1–18. 2020. View Article : Google Scholar : PubMed/NCBI

56 

Pfalzer AC, Leung K, Crott JW, Kim SJ, Tai AK, Parnell LD, Kamanu FK, Liu Z, Rogers G, Shea MK, et al: Incremental elevations in TNFα and IL6 in the human colon and procancerous changes in the mucosal transcriptome accompany adiposity. Cancer Epidemiol Biomarkers Prev. 27:1416–1423. 2018. View Article : Google Scholar : PubMed/NCBI

57 

Zheng YJ, Ho W, Sanlorenzo M, Vujic I, Daud A, Algazi A, Rappersberger K and Ortiz-Urda S: Melanoma risk during immunomodulating treatment. Melanoma Res. 32:411–418. 2022. View Article : Google Scholar : PubMed/NCBI

58 

Molinelli E, Ceccarelli G, Fantone S, Di Mercurio E, Gambini D, Maurizi A, Perugini J, Tossetta G, Brisigotti V, De Simoni E, et al: Melanoma and subcutaneous adipose tissue: Role of peritumoral adipokines in disease characterization and prognosis. Pigment Cell Melanoma Res. 36:423–430. 2023. View Article : Google Scholar : PubMed/NCBI

59 

Sims EK, Carr ALJ, Oram RA, DiMeglio LA and Evans-Molina C: 100 Years of insulin: Celebrating the past, present and future of diabetes therapy. Nat Med. 27:1154–1164. 2021. View Article : Google Scholar : PubMed/NCBI

Related Articles

  • Abstract
  • View
  • Download
  • Twitter
Copy and paste a formatted citation
Spandidos Publications style
Sun J, Han Z and Song C: Association between triglyceride‑glucose index as a marker of insulin resistance and the risk of malignant melanoma: A retrospective study. Oncol Lett 29: 173, 2025.
APA
Sun, J., Han, Z., & Song, C. (2025). Association between triglyceride‑glucose index as a marker of insulin resistance and the risk of malignant melanoma: A retrospective study. Oncology Letters, 29, 173. https://doi.org/10.3892/ol.2025.14919
MLA
Sun, J., Han, Z., Song, C."Association between triglyceride‑glucose index as a marker of insulin resistance and the risk of malignant melanoma: A retrospective study". Oncology Letters 29.4 (2025): 173.
Chicago
Sun, J., Han, Z., Song, C."Association between triglyceride‑glucose index as a marker of insulin resistance and the risk of malignant melanoma: A retrospective study". Oncology Letters 29, no. 4 (2025): 173. https://doi.org/10.3892/ol.2025.14919
Copy and paste a formatted citation
x
Spandidos Publications style
Sun J, Han Z and Song C: Association between triglyceride‑glucose index as a marker of insulin resistance and the risk of malignant melanoma: A retrospective study. Oncol Lett 29: 173, 2025.
APA
Sun, J., Han, Z., & Song, C. (2025). Association between triglyceride‑glucose index as a marker of insulin resistance and the risk of malignant melanoma: A retrospective study. Oncology Letters, 29, 173. https://doi.org/10.3892/ol.2025.14919
MLA
Sun, J., Han, Z., Song, C."Association between triglyceride‑glucose index as a marker of insulin resistance and the risk of malignant melanoma: A retrospective study". Oncology Letters 29.4 (2025): 173.
Chicago
Sun, J., Han, Z., Song, C."Association between triglyceride‑glucose index as a marker of insulin resistance and the risk of malignant melanoma: A retrospective study". Oncology Letters 29, no. 4 (2025): 173. https://doi.org/10.3892/ol.2025.14919
Follow us
  • Twitter
  • LinkedIn
  • Facebook
About
  • Spandidos Publications
  • Careers
  • Cookie Policy
  • Privacy Policy
How can we help?
  • Help
  • Live Chat
  • Contact
  • Email to our Support Team