Spandidos Publications Logo
  • About
    • About Spandidos
    • Aims and Scopes
    • Abstracting and Indexing
    • Editorial Policies
    • Reprints and Permissions
    • Job Opportunities
    • Terms and Conditions
    • Contact
  • Journals
    • All Journals
    • Oncology Letters
      • Oncology Letters
      • Information for Authors
      • Editorial Policies
      • Editorial Board
      • Aims and Scope
      • Abstracting and Indexing
      • Bibliographic Information
      • Archive
    • International Journal of Oncology
      • International Journal of Oncology
      • Information for Authors
      • Editorial Policies
      • Editorial Board
      • Aims and Scope
      • Abstracting and Indexing
      • Bibliographic Information
      • Archive
    • Molecular and Clinical Oncology
      • Molecular and Clinical Oncology
      • Information for Authors
      • Editorial Policies
      • Editorial Board
      • Aims and Scope
      • Abstracting and Indexing
      • Bibliographic Information
      • Archive
    • Experimental and Therapeutic Medicine
      • Experimental and Therapeutic Medicine
      • Information for Authors
      • Editorial Policies
      • Editorial Board
      • Aims and Scope
      • Abstracting and Indexing
      • Bibliographic Information
      • Archive
    • International Journal of Molecular Medicine
      • International Journal of Molecular Medicine
      • Information for Authors
      • Editorial Policies
      • Editorial Board
      • Aims and Scope
      • Abstracting and Indexing
      • Bibliographic Information
      • Archive
    • Biomedical Reports
      • Biomedical Reports
      • Information for Authors
      • Editorial Policies
      • Editorial Board
      • Aims and Scope
      • Abstracting and Indexing
      • Bibliographic Information
      • Archive
    • Oncology Reports
      • Oncology Reports
      • Information for Authors
      • Editorial Policies
      • Editorial Board
      • Aims and Scope
      • Abstracting and Indexing
      • Bibliographic Information
      • Archive
    • Molecular Medicine Reports
      • Molecular Medicine Reports
      • Information for Authors
      • Editorial Policies
      • Editorial Board
      • Aims and Scope
      • Abstracting and Indexing
      • Bibliographic Information
      • Archive
    • World Academy of Sciences Journal
      • World Academy of Sciences Journal
      • Information for Authors
      • Editorial Policies
      • Editorial Board
      • Aims and Scope
      • Abstracting and Indexing
      • Bibliographic Information
      • Archive
    • International Journal of Functional Nutrition
      • International Journal of Functional Nutrition
      • Information for Authors
      • Editorial Policies
      • Editorial Board
      • Aims and Scope
      • Abstracting and Indexing
      • Bibliographic Information
      • Archive
    • International Journal of Epigenetics
      • International Journal of Epigenetics
      • Information for Authors
      • Editorial Policies
      • Editorial Board
      • Aims and Scope
      • Abstracting and Indexing
      • Bibliographic Information
      • Archive
    • Medicine International
      • Medicine International
      • Information for Authors
      • Editorial Policies
      • Editorial Board
      • Aims and Scope
      • Abstracting and Indexing
      • Bibliographic Information
      • Archive
  • Articles
  • Information
    • Information for Authors
    • Information for Reviewers
    • Information for Librarians
    • Information for Advertisers
    • Conferences
  • Language Editing
Spandidos Publications Logo
  • About
    • About Spandidos
    • Aims and Scopes
    • Abstracting and Indexing
    • Editorial Policies
    • Reprints and Permissions
    • Job Opportunities
    • Terms and Conditions
    • Contact
  • Journals
    • All Journals
    • Biomedical Reports
      • Information for Authors
      • Editorial Policies
      • Editorial Board
      • Aims and Scope
      • Abstracting and Indexing
      • Bibliographic Information
      • Archive
    • Experimental and Therapeutic Medicine
      • Information for Authors
      • Editorial Policies
      • Editorial Board
      • Aims and Scope
      • Abstracting and Indexing
      • Bibliographic Information
      • Archive
    • International Journal of Epigenetics
      • Information for Authors
      • Editorial Policies
      • Editorial Board
      • Aims and Scope
      • Abstracting and Indexing
      • Bibliographic Information
      • Archive
    • International Journal of Functional Nutrition
      • Information for Authors
      • Editorial Policies
      • Editorial Board
      • Aims and Scope
      • Abstracting and Indexing
      • Bibliographic Information
      • Archive
    • International Journal of Molecular Medicine
      • Information for Authors
      • Editorial Policies
      • Editorial Board
      • Aims and Scope
      • Abstracting and Indexing
      • Bibliographic Information
      • Archive
    • International Journal of Oncology
      • Information for Authors
      • Editorial Policies
      • Editorial Board
      • Aims and Scope
      • Abstracting and Indexing
      • Bibliographic Information
      • Archive
    • Medicine International
      • Information for Authors
      • Editorial Policies
      • Editorial Board
      • Aims and Scope
      • Abstracting and Indexing
      • Bibliographic Information
      • Archive
    • Molecular and Clinical Oncology
      • Information for Authors
      • Editorial Policies
      • Editorial Board
      • Aims and Scope
      • Abstracting and Indexing
      • Bibliographic Information
      • Archive
    • Molecular Medicine Reports
      • Information for Authors
      • Editorial Policies
      • Editorial Board
      • Aims and Scope
      • Abstracting and Indexing
      • Bibliographic Information
      • Archive
    • Oncology Letters
      • Information for Authors
      • Editorial Policies
      • Editorial Board
      • Aims and Scope
      • Abstracting and Indexing
      • Bibliographic Information
      • Archive
    • Oncology Reports
      • Information for Authors
      • Editorial Policies
      • Editorial Board
      • Aims and Scope
      • Abstracting and Indexing
      • Bibliographic Information
      • Archive
    • World Academy of Sciences Journal
      • Information for Authors
      • Editorial Policies
      • Editorial Board
      • Aims and Scope
      • Abstracting and Indexing
      • Bibliographic Information
      • Archive
  • Articles
  • Information
    • For Authors
    • For Reviewers
    • For Librarians
    • For Advertisers
    • Conferences
  • Language Editing
Login Register Submit
  • This site uses cookies
  • You can change your cookie settings at any time by following the instructions in our Cookie Policy. To find out more, you may read our Privacy Policy.

    I agree
Search articles by DOI, keyword, author or affiliation
Search
Advanced Search
presentation
Oncology Letters
Join Editorial Board Propose a Special Issue
Print ISSN: 1792-1074 Online ISSN: 1792-1082
Journal Cover
May-2025 Volume 29 Issue 5

Full Size Image

Sign up for eToc alerts
Recommend to Library

Journals

International Journal of Molecular Medicine

International Journal of Molecular Medicine

International Journal of Molecular Medicine is an international journal devoted to molecular mechanisms of human disease.

International Journal of Oncology

International Journal of Oncology

International Journal of Oncology is an international journal devoted to oncology research and cancer treatment.

Molecular Medicine Reports

Molecular Medicine Reports

Covers molecular medicine topics such as pharmacology, pathology, genetics, neuroscience, infectious diseases, molecular cardiology, and molecular surgery.

Oncology Reports

Oncology Reports

Oncology Reports is an international journal devoted to fundamental and applied research in Oncology.

Experimental and Therapeutic Medicine

Experimental and Therapeutic Medicine

Experimental and Therapeutic Medicine is an international journal devoted to laboratory and clinical medicine.

Oncology Letters

Oncology Letters

Oncology Letters is an international journal devoted to Experimental and Clinical Oncology.

Biomedical Reports

Biomedical Reports

Explores a wide range of biological and medical fields, including pharmacology, genetics, microbiology, neuroscience, and molecular cardiology.

Molecular and Clinical Oncology

Molecular and Clinical Oncology

International journal addressing all aspects of oncology research, from tumorigenesis and oncogenes to chemotherapy and metastasis.

World Academy of Sciences Journal

World Academy of Sciences Journal

Multidisciplinary open-access journal spanning biochemistry, genetics, neuroscience, environmental health, and synthetic biology.

International Journal of Functional Nutrition

International Journal of Functional Nutrition

Open-access journal combining biochemistry, pharmacology, immunology, and genetics to advance health through functional nutrition.

International Journal of Epigenetics

International Journal of Epigenetics

Publishes open-access research on using epigenetics to advance understanding and treatment of human disease.

Medicine International

Medicine International

An International Open Access Journal Devoted to General Medicine.

Journal Cover
May-2025 Volume 29 Issue 5

Full Size Image

Sign up for eToc alerts
Recommend to Library

  • Article
  • Citations
    • Cite This Article
    • Download Citation
    • Create Citation Alert
    • Remove Citation Alert
    • Cited By
  • Similar Articles
    • Related Articles (in Spandidos Publications)
    • Similar Articles (Google Scholar)
    • Similar Articles (PubMed)
  • Download PDF
  • Download XML
  • View XML

  • Supplementary Files
    • Supplementary_Data.pdf
Article Open Access

Safety and efficacy outcomes of delta‑like ligand 3 inhibitors for the treatment of solid tumors: A systematic review and single‑arm meta‑analysis

  • Authors:
    • Yaxu Su
    • Xinyu Lu
    • Tongwei Liu
    • Hengchang Chen
    • Wentong Xu
    • Yulu Qin
    • Dehong Yu
    • Yilong Guo
    • Yong Xin
  • View Affiliations / Copyright

    Affiliations: Department of Radiation, The Affiliated Hospital of Xuzhou Medical University, Xuzhou, Jiangsu 221002, P.R. China, Department of Oncology, Pizhou County People's Hospital, Xuzhou, Jiangsu 221399, P.R. China
    Copyright: © Su et al. This is an open access article distributed under the terms of Creative Commons Attribution License.
  • Article Number: 228
    |
    Published online on: March 10, 2025
       https://doi.org/10.3892/ol.2025.14974
  • Expand metrics +
Metrics: Total Views: 0 (Spandidos Publications: | PMC Statistics: )
Metrics: Total PDF Downloads: 0 (Spandidos Publications: | PMC Statistics: )
Cited By (CrossRef): 0 citations Loading Articles...

This article is mentioned in:



Abstract

The aim of the present study was to evaluate the clinical curative effects and toxicity of existing delta‑like ligand 3 (DLL3) inhibitors in advanced solid tumors with high DLL3 expression. A systematic search across major databases was performed, adhering to the Preferred Reporting Items for Systematic reviews and Meta‑Analyses guidelines, and included clinical trials that assessed the efficacy and safety of DLL3 inhibitors in treating solid tumors. To be included, studies had to be randomized controlled trials (RCTs), quasi‑RCTs, non‑randomized comparative studies, single‑arm trials and trials in which DLL3 inhibitors were used in both arms. The results of 21 trials, involving a total of 2,452 patients, which evaluated the efficacy of DLL3 inhibitors in treating solid tumors, were analyzed. The median overall survival was 6.54 months and the median progression‑free survival (PFS) was 3.54 months. Combination immunotherapy demonstrated a longer PFS of 4.2 months compared with monotherapy, which had a PFS of 3.36 months. The disease control rate and objective response rate were 57 and 21%, respectively, with notable heterogeneity observed across studies. Adverse events were common, affecting 93% of patients, and included cytokine release syndrome (49%), thrombocytopenia (23%) and peripheral edema (28%), with variations depending on the specific inhibitor used. To conclude, DLL3 inhibitors hold promise for patients with elevated DLL3 expression in solid tumors; however, their efficacy and safety exhibit considerable variability, necessitating large‑scale, phase III clinical trials to validate and refine therapeutic approaches. The present study was registered with PROSPERO (registration no. CRD42024561815).

Introduction

The Notch signaling pathway is a fundamental mechanism of cellular communication, widely present in animal cells, which serves essential roles in both organismal development and cellular homeostasis. Th Notch pathway consists of four transmembrane receptors: Notch1, Notch2, Notch3 and Notch4, and is mediated by five ligands expressed by adjacent cells: Delta-like ligand (DLL)1, DLL3, DLL4, jagged canonical Notch ligand (JAG)1 and JAG2 (1–3). Among these, DLL3 serves a pivotal role in Notch signaling, affecting cellular differentiation, proliferation, survival and apoptosis (4). DLL3 functions as an inhibitory ligand in the Notch pathway by sequestering itself and occasionally DLL1 within the cell, preventing their localization to the cell surface and serving as an intrinsic suppressor of Notch signaling. Notably, DLL3 is upregulated and aberrantly presented on the cell surface in several advanced solid tumors, including small cell lung cancer (SCLC), neuroendocrine tumors, pancreatic cancer, melanoma and liver cancer (5–7).

High DLL3 expression not only promotes tumor cell growth and proliferation through the Notch signaling pathway, but also inhibits immune responses within the tumor microenvironment; this diminishes the effectiveness of antitumor immunity, and facilitates tumor cell migration and invasion (8). Consequently, elevated DLL3 expression is strongly associated with poor prognoses in several types of cancer and serves a key role in sustaining malignant tumor growth. As a result, DLL3-targeted research and therapeutic strategies have gained notable global interest, offering the potential to improve outcomes for patients with DLL3-expressing cancer.

Several DLL3-targeting inhibitors and modulators are in early clinical development, including the antibody-drug conjugate rovalpituzumab tesirine (Rova-T), the bispecific T-cell engager (BiTE) tarlatamab (AMG 757) and the chimeric antigen receptor T-cell therapy AMG 119 (9). The NCT01901653 study, a pioneering open-label Phase I clinical trial in the United States of America, enrolled patients with recurrent or progressive SCLC or large-cell neuroendocrine carcinoma (NEC). The NCT01901653 study established the safety, tolerability and maximum tolerated dose of Rova-T, with notable adverse events (AEs), including thrombocytopenia, pleural effusion and elevated lipase levels. The maximum tolerated dose was found to be 0.4 mg/kg, administered every 3 weeks, with a recommended dose of 0.3 mg/kg every 6 weeks for Phase II trials (10).

Tarlatamab, a pioneering BiTE molecule with an extended half-life, binds to DLL3 on tumor cell surfaces and CD3 on cytotoxic T lymphocytes (CTLs). This binding triggers T-cell activation, the release of inflammatory cytokines and CTL-mediated apoptosis of DLL3-expressing tumor cells (11). Results from the Phase I DeLLphi-300 study (12) and the Phase II DeLLphi-301 study (13) demonstrated that tarlatamab markedly prolonged progression-free survival (PFS) and improved the objective response rate (ORR) in patients with previously treated extensive-stage SCLC, despite the majority experiencing cytokine release syndrome (CRS). However, severe AEs of grade ≥3 were rare and reversible. Based on these promising results, the United States Food and Drug Administration (FDA) granted expedited approval for tarlatamab to treat patients with extensive-stage SCLC whose disease had progressed during or after platinum-based chemotherapy. Other DLL3 inhibitors, including AMG 119, BI 764532, HPN328, ZL-1310 and QLS31904, have also advanced to clinical development stages, heralding a new era in targeted DLL3 inhibition (14–16).

Despite the promising results from Phase I and II TRINITY clinical studies, which confirmed the antitumor efficacy of Rova-T, subsequent Phase III trials, namely the TAHOE and MERU studies (17,18), failed to yield the expected outcomes. In the TAHOE study, the median overall survival (OS) for the Rova-T group was 6.3 months and the median PFS was 3.0 months, both of which did not exceed the results from the second-line treatment, topotecan (17). As a result, the development of Rova-T was discontinued in August 2019. By contrast, tarlatamab has shown higher response rates and improved PFS in Phase II trials, and its Biologics License Application is currently under FDA review (13).

To further assess the efficacy and safety of DLL3 inhibitors in patients with DLL3-high-expressing advanced solid tumors, a systematic review and meta-analysis was performed. The present review summarizes clinical trial data on ORR, disease control rate (DCR), median PFS, median OS and the incidence of AEs. The present analysis aimed to provide a comprehensive understanding of the potential benefits and limitations of DLL3 inhibitors in cancer treatment.

Materials and methods

Study design and population

A meta-analysis was performed following the Preferred Reporting Items for Systematic Reviews and Meta-Analyses guidelines. The study population consisted of patients with advanced solid tumors characterized by high DLL3 expression, including SCLC, NEC, pancreatic cancer, melanoma and hepatocellular carcinoma. Eligibility criteria included patients who received DLL3 inhibitors (such as Rova-T, tarlatamab, BI 764532, HPN328) in either monotherapy or combination therapy regimens. The primary endpoint was median OS, while secondary endpoints included median PFS, DCR, ORR and treatment-related AEs (trAEs), such as CRS and thrombocytopenia. The objective of the present analysis was to provide a comprehensive evaluation of the efficacy and safety profile of DLL3 inhibitors.

Search strategy

An exhaustive search was performed for clinical trials evaluating DLL3 inhibitors, such as Rova-T, tarlatamab, AMG 119, BI 764532, HPN328 and other similar agents, across several prominent databases including PubMed (https://pubmed.ncbi.nlm.nih.gov), Web of Science (https://www.webofscience.com), Cochrane Library (https://www.cochranelibrary.com), EMBASE (https://www.embase.com), Chinese National Knowledge Infrastructure (CNKI; http://www.cnki.net), Wanfang Data (http://www.wanfangdata.com.cn), Chinese Biological Medicine Database (https://www.sinomed.ac.cn) and VIP databases (http://www.cqvip.com) up until October 2024. Additionally, abstract proceedings and virtual meeting presentations from major oncology organizations were reviewed, including the American Society of Clinical Oncology (ASCO; http://www.asco.org), the American Association for Cancer Research (AACR; http://www.aacr.org) and the European Society of Medical Oncology (ESMO; http://www.esmo.org).

Literature selection criteria

The inclusion criteria were as follows: i) Clinical trials investigating DLL3 inhibitors, whether used alone or in combination, that reported clinical outcomes, such as ORR, DCR, PFS, OS and AEs; ii) studies including randomized controlled trials (RCTs), quasi-RCTs, non-randomized comparative studies, single-arm trials and trials in which DLL3 inhibitors were used in both experimental arms; iii) trials in which DLL3 inhibitors were administered alone or in combination with other chemotherapeutic agents in the experimental group, with placebo or other chemotherapeutic agents used in the control group; and iv) trials that included ≥10 participants. Exclusion criteria encompassed duplicate publications, review articles, systematic reviews, basic experimental studies, studies lacking necessary data and studies with incomplete, inconsistent outcomes or flawed trial designs. Two investigators independently screened the titles and abstracts of the identified studies, excluded those deemed irrelevant according to the inclusion and exclusion criteria, and subsequently assessed the full texts to confirm eligibility. Ultimately, 21 trials involving a total of 2,452 patients were included in the final analysis.

Data extraction and quality assessment

A customized data extraction form was developed to collect information regarding study design, participant characteristics, intervention details and outcome measures. Two authors independently extracted the relevant data, which included the first author, publication year, country, study type, type of DLL3 inhibitor, number of participants, patient demographics (age, sex), tumor type, treatment regimen and clinical outcomes, such as ORR, DCR, PFS, OS and AEs. The methodological quality of the included studies was evaluated using the methodological index for non-randomized studies criteria (Table I) (19). All studies met the predefined inclusion criteria and displayed a high level of methodological rigor, thereby ensuring the reliability of the findings presented in the current analysis.

Table I.

Methodological index for non-randomized studies.

Table I.

Methodological index for non-randomized studies.

First author, yearQ1Q2Q3Q4Q5Q6Q7Q8Scorea(Refs.)
Mansfield et al, 20212222022214(31)
Blackhall et al, 20212222022214(17)
Morgensztern et al, 20192222022214(20)
Spigel et al, 20172222022012(32)
Calvo et al, 20212222021213(33)
Borghaei et al, 20222222022012(34)
Udagawa et al, 20192222022113(35)
Johnson et al, 20212222022214(18)
Paz-Ares et al, 20232222022012(36)
Paz-Ares et al, 20232222022012(37)
Pietanza et al, 20152222022012(38)
Malhotra et al, 20212222022113(39)
Ahn et al, 20232222022214(13)
Choudhury et al, 20232222022012(14)
Owonikoko et al, 20212222022012(40)
Rudin et al, 20172222021213(10)
Champiat et al, 20222222022113(41)
Champiat et al, 20232222022012(12)
Owonikoko et al, 20212222021112(15)
Wermke et al, 20232222022214(16)
Kuboki et al, 20232222022012(42)

a The items are scored 0 (not reported), 1 (reported but inadequate) or 2 (reported and adequate). Q1, a clearly stated aim: The question addressed should be precise and relevant in light of the available literature; Q2, inclusion of consecutive patients: All patients potentially fit for inclusion (satisfying the criteria for inclusion) have been included in the study during the study period (no exclusion or details about the reasons for exclusion); Q3, prospective collection of data: Data were collected according to a protocol established before the beginning of the study; Q4, endpoints appropriate to the aim of the study: Unambiguous explanation of the criteria used to evaluate the main outcome, which should be in accordance with the question addressed by the study. Also, the endpoints should be assessed on an intention-to-treat basis; Q5, unbiased assessment of the study endpoint: Blind evaluation of objective endpoints and double-blind evaluation of subjective endpoints. Otherwise, the reasons for not blinding should be stated; Q6, follow-up period appropriate to the aim of the study: The follow-up should be sufficiently long to allow the assessment of the main endpoint and possible adverse events; Q7, loss to follow up <5%: All patients should be included in the follow up. Otherwise, the proportion lost to follow up should not exceed the proportion experiencing the major endpoint; Q8, prospective calculation of the study size: Information of the size of detectable difference of interest with a calculation of 95% confidence interval, according to the expected incidence of the outcome event, and information about the level for statistical significance and estimates of power when comparing the outcomes.

Statistical analysis

Meta-analysis was performed using Stata statistical software (version 16; StataCorp LP). The overall clinical percentages for the primary outcomes and the total number of participants were entered into Stata, which calculated the standard errors for these quasi-normal distribution ‘rates’. Based on these rates and their standard errors, the 95% confidence intervals (CIs) for the lower and upper bounds were determined. Pooled effect sizes (ES), represented by median rates with 95% CIs, were also derived. P<0.05 was considered to indicate statistical significance.

Hypotheses were made only when the 95% CIs of some data were missing. The statistical method relied on was that the CI=[sample mean-Z × (standard deviation/√n), sample mean + Z × (standard deviation/√n)], where Z was the Z-value at the 95% confidence level (usually 1.96).

To account for potential variability across studies, random-effects models were used for all pooled ES. This approach was chosen because it accommodates study-level differences without requiring a detailed examination of heterogeneity. Given the inherent variability in non-comparative studies, heterogeneity was assessed using the I2 statistic, although it was not involved in decision-making. Meta-regression analysis was also performed to explore the relationship between study-level characteristics and effect sizes, helping to identify sources of heterogeneity. Sensitivity analyses were performed to assess the robustness and consistency of the combined results. Finally, Egger's test was performed to examine potential publication bias. To address any potential publication bias, the trim-and-fill method was also applied. This method trims the asymmetrical portion of the funnel plot and imputes missing studies to restore symmetry, providing a more accurate estimate of the overall effect size. The leave-one-out method involves iteratively excluding one study at a time from the analysis and recalculating the results. This helps assess the impact of individual studies on the overall findings and ensures result robustness.

Results

Overview of included studies

A thorough search was performed across multiple databases, including PubMed, Embase, Web of Science, Sinomed, WanFang, VIP, CNKI and Cochrane Library, up to October 2024. A total of 1,153 records were initially retrieved: Sinomed (n=30), WanFang (n=468), VIP (n=84), CNKI (n=33), Embase (n=300), Cochrane Library (n=28), PubMed (n=163) and Web of Science (n=47). After excluding 215 duplicate records, 681 articles were excluded based on irrelevant content and 207 articles were excluded due to their classification as systematic reviews, animal studies or case reports. Full-text articles were further excluded for the following reasons: Inconsistent outcomes (19 articles) and unpublished results (10 articles). After a thorough review of the remaining 50 articles, 29 studies were excluded based on the inclusion and exclusion criteria [inconsistent outcomes (n=19 articles) and unpublished results (n=10 articles)]. The flowchart of the literature screening process is shown in Fig. 1.

Figure 1.

Flow chart of the single-arm meta-analysis.

Ultimately, 21 trials involving 2,452 patients were included in the analysis. Among these, 5 studies were published before 2021, while 16 were published thereafter. The included studies comprised 2 RCTs, 8 multi-arm studies and 11 single-arm studies. Excluding 2 large-scale Phase III trials, the remaining studies were Phase I or II clinical trials. Most participants in the included studies had SCLC. In addition, 10 studies utilized Rova-T as the DLL3 inhibitor, 8 used tarlatamab (AMG 757), 1 used HPN 328 and 2 used BI 764532. The choice of DLL3 inhibitors was closely associated with the publication year, with studies published prior to 2021 primarily using Rova-T. A detailed summary of the characteristics of each study is presented in Tables II and III. These comprised 2 RCTs and 19 non-RCTs, assessing the efficacy and safety of DLL3 inhibitors for the treatment of solid tumors.

Table II.

Characteristics of clinical trials included in the single-arm meta-analysis.

Table II.

Characteristics of clinical trials included in the single-arm meta-analysis.

First author, yearPhaseDesignType of tumorsType of inhibitorsTotal samplesAge, years (range)Male sex, n (%)(Refs.)
Mansfield et al, 2021I/IIProspectiveNEC, MTC, GBM, MM, other solidRova-T14561 (28–84)126 (63)(31)
Blackhall et al, 2021IIIRCTSCLCRova-T287/12963 (36–85)/64 (32–85)191 (65)/86 (58)(17)
Morgensztern et al, 2019IIProspectiveSCLCRova-T33962 (24–86)170 (50)(20)
Spigel et al, 2017IProspectiveSCLCRova-T60NANA(32)
Calvo et al, 2021IProspectiveSCLCRova-T3162 (40–77)13 (42)(33)
Borghaei et al, 2022IProspectiveSCLCTarlatamab (AMG 757)10263 (32–80)NA(34)
Udagawa et al, 2019IProspectiveSCLCRova-T2968 (47–86)22 (76)(35)
Johnson et al, 2021IIIRCTSCLCRova-T372/37664 (39–94)/64 (38–85)258 (69)/239 (64)(18)
Paz-Ares et al, 2023IIProspectiveSCLCTarlatamab (AMG 757)100/88NANA(36)
Paz-Ares et al, 2023IProspectiveSCLCTarlatamab (AMG 757)10763 (32–80)61 (57)(37)
Pietanza et al, 2015IProspectiveSCLCRova-T7962 (44–81)NA(38)
Malhotra et al, 2021I/IIProspectiveSCLCRova-T30/1261.5 (48–79)/62 (25–72)16 (53)/7 (58)(39)
Ahn et al, 2023IIProspectiveSCLCTarlatamab (AMG 757)100/8864 (35–82)/62 (34–80)72 (72)/62 (70)(13)
Choudhury et al, 2023I/IIProspectiveNEPC, other NEC, SCLCHPN 32844NANA(14)
Owonikoko et al, 2021IProspectiveSCLCTarlatamab (AMG 757)4064 (44–80)NA(40)
Rudin et al, 2017IProspectiveSCLCRova-T7461 (55–69)42 (57)(10)
Champiat et al, 2022IProspectiveSCLCTarlatamab (AMG 757)106NANA(41)
Champiat et al, 2023IProspectiveSCLCTarlatamab (AMG 757)46/13662 (32–80)/62 (32–80)NA(12)
Owonikoko et al, 2021IProspectiveSCLCTarlatamab (AMG 757)6464 (32–80)NA(15)
Wermke et al, 2023IProspectiveSCLCBI 7645329060 (32–78)NA(16)
Kuboki et al, 2023IProspectiveepNEC, LCNEC, SCLC, other solidBI 76453210760 (32–79)57 (53)(42)

[i] SCLC, small cell lung cancer; NEC, neuroendocrine carcinoma; LCNEC, large cell neuroendocrine carcinoma; epNEC, extrapulmonary neuroendocrine carcinoma; RCT, randomized controlled trial; NEPC, neuroendocrine prostate cancer; Rova-T, rovalpituzumab tesirine; MTC, medullary thyroid cancer; GBM, glioblastoma; MM, multiple myeloma.

Table III.

Original data extracted from included clinical trials.

Table III.

Original data extracted from included clinical trials.

First author, yearTotal samplesInterventionObjective response rate, n (%)Disease control rate, n (%)Median progression-free survival, months (95% CI)Median overall survival, months (95% CI)(Refs.)
Mansfield et al, 2021145Rova-T 0.3 mg/kg, Q6w15 (10.3)NA4.1 (2.8–4.8)7.1 (5.6–9.7)(31)
Blackhall et al, 2021287/129Rova-T 0.3 mg/kg, d1 ivgtt, Q42d vs. topotecan42 (14.6)/103 (35.8)/3.0 (2.9–3.6)/6.3 (5.6–7.3)/(17)
1.5 mg/m2, d1-5 ivgtt, Q21d27 (20.9)56 (43.4)4.3 (3.8–5.4)8.6 (7.7–10.1)
Morgensztern et al, 2019339Rova-T 0.3 mg/kg, Q6w42 (12.4)236 (69.6)3.5 (3.0–3.9)5.6 (4.9–6.1)(20)
Spigel et al, 201760Rova-T 0.2–0.4 mg/kg, Q3w or Q6w11 (18.3)41 (68.3)NANA(32)
Calvo et al, 202131Rova-T 0.3 mg/kg, Q6W DEX 8 mg bid po7 (24.1)22 (70.9)3.5 (2.4–4.7)NA(33)
Borghaei et al, 2022102AMG757 0.003–100 mg, Q2w25 (24.5)52 (50.9)3.5 (2.1–4.6)12.3 (7.2-NE)(34)
Udagawa et al, 201929Rova-T 0.2 or 0.3 mg/kg, Q6w, DEX 8 mg bid po3 (10.3)16 (55.1)2.2 (1.2–3.0)5.8 (4.1–9.2)(35)
Johnson et al, 2021372/376Rova-T 0.3 mg/kg, Q6w, DEX 8 mg28 (7.5)/NA3.7 (2.9–4.0)/8.8 (7.95–9.53)/(18)
bid po vs. placebo, Q6w, DEX 8 mg bid po14 (3.7) 1.4 (1.4–1.5)9.9 (8.6–11)
Paz-Ares et al, 2023100/88AMG 757 10 mg, Q2w vs. AMG 757 10 mg, Q2w40 (40)/70 (70)/554.9 (2.9–6.7)/14.3 (10.8-NE)/(36)
28 (31.8)(62.5)3.9 (2.6–4.4)NE (12.4-NE)
Paz-Ares et al, 2023107AMG 757 0.003, 0.01, 0.03, 0.1, 0.3, 1, 3, 10, 30, 100 mg, Q2w27 (25.2)55 (51.4)3.7 (2.1–5.4)13.2 (10.5-NE)(37)
Pietanza et al, 201579Rova-T 0.05, 0.1, 0.2, 0.4, 0.8 mg/kg, Q2w35 (44.3)NANANA(38)
Malhotra et al, 202130/12Rova-T 0.3 mg/kg, Q6w, DEX 8 mg bid po + 4th w8 (26.6)/NA4.8 (3.2–5.3)/7.4 (5.0–9.1)/(39)
nivolumab 360 mg, Q3w + 10th w nivolumab 480 mg, Q4w vs. Rova-T 0.3 mg/kg, Q6w, DEX 8 mg bid po + 4th w nivolumab 360 mg, Q3w + 10th w nivolumab 480 mg, Q4w4 (33.3) 4.1 (1.3–6.0)11.0 (2.3–17.0)
Ahn et al, 2023100/88AMG 757 10 mg, Q2w vs. AMG 757 10 mg, Q2w40 (40)/70 (70)/4.9 (2.9–6.7)/14.3 (10.8-NE)/(13)
28 (31.8)55 (62.5)3.9 (2.6–4.4)NE (12.4-NE)
Choudhury et al, 202344HPN328 0.015–24 mg, Q1w4 (9.1)NANANA(14)
Owonikoko et al, 202140AMG 757 0.003–100 mg, Q2w6 (15)17 (42.5)NANA(40)
Rudin et al, 201774Rova-T dosage: 0.05–0.8 mg/kg, administered every 3 weeks (Q3w) or 6 weeks (Q6w). Follow-up doses: 0.3 mg/kg or 0.4 mg/kg, administered every 6 weeks (Q6w); 0.2 mg/kg or 0.4 mg/kg, administered every3 weeks (Q3w).11 (16.9)46 (70.7)3.1 (2.7–4.1)4.6 (3.9–7.1)(10)
Champiat et al, 2022106AMG 757 0.003–100 mg, Q2wNANANANA(41)
Champiat et al, 202346/136AMG 757 0.003–100 mg, Q2w (BM) vs. AMG 757 0.003–100 mg, Q2w (not BM)9 (19.5)/34 (25)27 (58.6)/68 (50)3.7 (1.9–4.8)/3.7 (1.9–5.3)13.2/15.5(12)
Owonikoko et al, 202164AMG 757 0.003–100 mg, Q2w23 (38.3)26 (43.3)NANA(15)
Wermke et al, 202390BI 764532 plan A, fixed dose Q3w; plan B1, fixed dose Q1w (days 1, 8, 15 of a 3-week cycle); plan B2, initial intervention dose, then fixed dose Q1wNANANANA(16)
Kuboki et al, 2023107BI 764532 plan A, fixed dose Q3w; plan B1, fixed dose Q1w (D1, 8, 15 of 3-week cycle); plan B2, initial dose, then Q1w18 (16.8)37 (34.5)NANA(42)

[i] Rova-T, rovalpituzumab tesirine; ivgtt, intravenous glucose tolerance test; DEX, dexamethasone; BM, brain metastasis; NE, not evaluated; w, weeks.

ORR

The analysis included 19 studies reporting the ORR. The pooled ORR was 0.21 (95% CI, 0.16–0.26), with substantial heterogeneity (I2=88.7%; P<0.001) (Fig. 2A). Funnel plot analysis (Fig. 2B) and Egger's test (Table IV) suggested potential publication bias, highlighting the need for additional studies to confirm these results. Further analysis with the trim-and-fill method indicated that studies reporting lower ORR values may have been underreported, and the adjusted pooled ORR was slightly reduced following correction (Fig. 2C). To ensure the robustness of the present findings, future studies with lower ORR values should be incorporated. A meta-regression analysis was performed to explore potential sources of heterogeneity, considering eight covariates: DLL3 inhibitor type, year, region, age, sex, combination with immune checkpoint inhibitors, combination with dexamethasone and study design. The results of the meta-regression did not reveal any statistically significant differences among the variables (Table V). While substantial heterogeneity (I2=88.7%) was observed, the subgroup analyses did not identify any specific sources of variation. This unexplained heterogeneity may stem from unmeasured factors, such as variations in study design or population characteristics. Nevertheless, sensitivity analyses confirmed the robustness of the overall findings, suggesting that further studies are needed to elucidate the potential moderators of the ORR.

Figure 2.

(A) Forest plot and (B) funnel plot for the pooled results of the overall response rate. (C) Funnel plot analysis with the trim-and-fill method. CI, confidence interval; ES, effect sizes; SE, standard error.

Table IV.

Egger's test summary.

Table IV.

Egger's test summary.

Study identifierSlope (coefficient)aStandard errorb t-scorec P-valued
Objective response rate0.0409621.0435963.810.001
Disease control rate0.55455772.4779870.070.945
Overall survival6.5184152.5216910.040.972
Progression-free survival2.8975030.75622941.940.078

a Represents the coefficient of the regression line estimated by Egger's test, indicating the degree of correlation between effect sizes and their standard errors.

b The standard error of the regression slope, indicating the precision of the estimated coefficient.

c The t-statistic associated with the regression coefficient, used to determine if the slope significantly differs from zero (indicating potential publication bias).

d The P-value associated with the t-statistic, which assesses the statistical significance of the findings. A P-value below a certain threshold (commonly 0.05) indicates significant publication bias.

Table V.

P-value associated with the meta-regression.

Table V.

P-value associated with the meta-regression.

OutcomeInhibitor typeYearStudy designAgeMaleImmunotherapy inhibitorDexamethasoneCountry
Overall survivalNA0.0430.5760.8890.2370.5770.5270.258
Progression-free survival0.1860.1860.4290.120.160.0990.290.109
Disease control rate0.6330.4190.2180.9660.6580.5820.970.72
Objective response rate0.2320.8790.3090.8970.9630.3060.2810.814
Treatment-related adverse events0.9250.9430.9930.9790.8650.7690.980.914
DCR

A total of 14 studies reported the DCR. The pooled DCR was 0.57 (95% CI, 0.48–0.65), with considerable heterogeneity (I2 =91.0%; P<0.001) (Fig. 3A). The funnel plot (Fig. 3B) and Egger's regression analysis (Table IV) indicated no publication bias, reinforcing the reliability of the findings. To explore potential sources of heterogeneity, eight variables (DLL3 inhibitor type, year, region, age, sex, combination with immune checkpoint inhibitors, combination with dexamethasone and study design) were included in a meta-regression analysis. The results revealed no statistically significant differences in the P-values of these variables (Table V). Heterogeneity was observed across studies (I2=91.0%), but the subgroup analyses failed to identify any notable sources. This unexplained heterogeneity may stem from unmeasured factors, such as variations in study design or population characteristics. Nevertheless, sensitivity analyses confirmed that the overall findings were robust. Therefore, further studies are needed to explore the potential moderators of the DCR.

Figure 3.

(A) Forest plot and (B) funnel plot for the pooled results of disease control rate. CI, confidence interval; ES, effect sizes; SE, standard error.

PFS

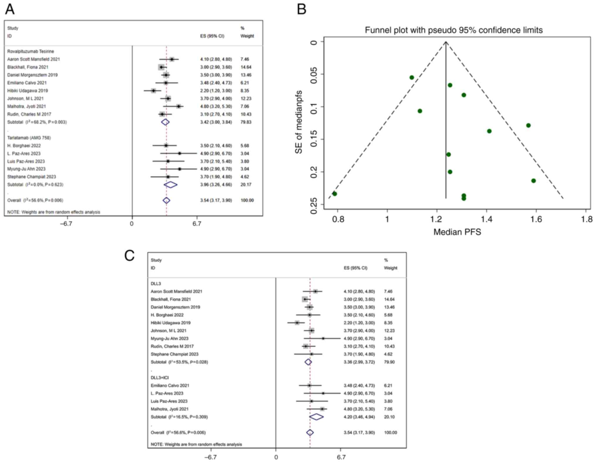
A total of 13 studies reported PFS. The pooled median PFS was 3.54 months (95% CI, 3.17–3.90 months), with moderate heterogeneity (I2=56.6%; P=0.006) (Fig. 4A). The funnel plot (Fig. 4B) and Egger's regression analysis (Table IV) for PFS indicated no publication bias, confirming the robustness of the findings. Meta-regression analysis was performed using eight covariates: DLL3 inhibitor type, year, region, age, sex, combination with immune checkpoint inhibitors, combination with dexamethasone and study design. The results indicated no statistically significant differences among the P-values of these variables (Table V). Subgroup analysis revealed that the median PFS for patients receiving combined immunotherapy was 4.2 months (95% CI, 3.46–4.94), while the median PFS for patients receiving monotherapy DLL3 inhibitors was 3.36 months (95% CI, 2.99–3.72) (Fig. 4C).

Figure 4.

(A) Forest plot and (B) funnel plot for the pooled results of PFS. (C) Subgroup analysis of PFS in patients with or without combination immunotherapy. PFS, progression-free survival; SE, standard error; CI, confidence interval; ES, effect size; DLL3, delta-like ligand 3; ICI, immune checkpoint inhibitor.

OS

A total of 7 studies reported OS. Using a random-effects model, the median OS was 6.54 months (95% CI, 5.30–7.79 months) (Fig. 5A). Significant heterogeneity was present (I2=87.5%), prompting meta-regression and subgroup analyses to explore potential sources. In the meta-regression, eight variables were evaluated: DLL3 inhibitor type, year, region, age, sex, combination with immune checkpoint inhibitors, combination with dexamethasone and study design. The meta-regression indicated that the publication year was statistically significant (Table V). A sensitivity analysis using the leave-one-out method revealed that excluding the study by Johnson et al (18) from 2021 significantly reduced heterogeneity, with the I2 value decreasing from 87.5 to 35.1%. This suggests that the study by Johnson et al (18) contributed substantially to the heterogeneity, and its exclusion enhanced the consistency of the results (Fig. 5D). Although the meta-regression suggested that publication year might be a source of heterogeneity, subgroup analysis (Fig. 5C) showed marked heterogeneity within the 2021 group, indicating that the difference in publication year may not directly explain the OS variation. It is more likely that the inherent limitations of single-arm studies and their designs contributed to the observed heterogeneity.

Figure 5.

(A) Forest plot and (B) funnel plot for the pooled results of OS. (C) Subgroup analysis of OS by year. (D) OS after eliminating abnormalities. OS, overall survival; CI, confidence interval; ES, effect sizes; SE, standard error.

Safety and AEs

All studies reporting trAEs were reviewed. Common AEs associated with DLL3 inhibitors included CRS, respiratory difficulty, pleural effusion, peripheral edema, thrombocytopenia and bone marrow suppression. In the analysis, 11 studies reported CRS, with a combined incidence of 0.49 (95% CI, 0.37–0.60); 4 studies documented neurological adverse reactions, with a combined incidence of 0.25 (95% CI, −0.01–0.50); 10 studies reported thrombocytopenia, with a combined incidence of 0.23 (95% CI, 0.15–0.30); 8 studies noted photosensitivity reactions, with a combined incidence of 0.19 (95% CI, 0.11–0.26); and 8 studies reported peripheral edema, with a combined incidence of 0.28 (95% CI, 0.23–0.33) (Fig. 6A).

Figure 6.

(A) Forest plot for the pooled results of AEs and the (B) five most common AEs. AE, adverse events; CI, confidence interval; ES, effect sizes; CRS, cytokine release syndrome.

For different inhibitor types, the pooled AE incidence for Rova-T was 0.96 (95% CI, 0.94–0.99) with I2=85.8%, while for tarlatamab (AMG 757) it was 0.90 (95% CI, 0.86–0.94) with I2=58.6%. BI 764532 had an AE incidence of 0.86 (95% CI, 0.79–0.93) based on one study (Fig. 6B). These findings suggested variability in AE rates across different inhibitors, with Rova-T potentially associated with a higher risk compared with tarlatamab and BI 764532. The pooled AE incidence for patients with solid tumors treated with DLL3 inhibitors was 0.93 (95% CI, 0.91–0.96) (Fig. 6B), with a high heterogeneity indicator (I2=84.8%). Despite this heterogeneity, the forest plot suggested that most studies reported similar AE rates, indicating a consistent safety profile across trials. Table VI shows the incidence of AEs by system, with effect sizes, 95% confidence intervals, I2 values, and P-values. The I2 values indicate heterogeneity, and the small P-values (<0.01) suggest significant differences across studies. All systems, including respiratory, skin and immune, nervous, digestive, circulatory, hematopoietic, and non-specific, exhibited significant heterogeneity.

Table VI.

Incidence of adverse events in the overall estimate with whole body system.

Table VI.

Incidence of adverse events in the overall estimate with whole body system.

Type of adverse eventEffect sizes (95% CI)I2 (%)P-value
Respiratory0.17 (0.11, 0.22)95.0<0.01
Skin and immune0.31 (0.24, 0.39)95.9<0.01
Nervous0.25 (−0.01, 0.50)98.2<0.01
Digestive0.17 (0.15, 0.20)83.4<0.01
Circulation0.21 (0.16, 0.25)91.3<0.01
Hematopoietic0.20 (0.16, 0.24)90.8<0.01
Non-specific0.22 (0.17, 0.27)95.5<0.01

[i] CI, confidence interval.

Sensitivity analysis

The sensitivity analysis assessed the impact of each study on the combined results by sequentially excluding individual studies. The findings indicated that no single study significantly influenced the pooled results within the 95% CI, confirming the robustness and reliability of the meta-analysis conclusions. The results of the sensitivity analysis are presented in Fig. S1.

Discussion

The present systematic review and meta-analysis offers valuable insights into the safety and efficacy of DLL3 inhibitors for treating solid tumors, particularly NECs such as SCLC. DLL3 is an atypical Notch ligand predominantly expressed in SCLC (5), making it a promising therapeutic target. DLL3 inhibitors have demonstrated moderate efficacy in treating advanced solid tumors, particularly in relapsed or refractory cases where conventional treatments have failed (20).

The present analysis indicated that DLL3 inhibitors had a median OS of 6.54 months, with significant variability. The median PFS was 3.54 months, with a notably longer duration in combined immunotherapy (4.2 months) compared with monotherapy (3.36 months). The DCR and ORR were 57 and 21%, respectively, reflecting substantial heterogeneity, and AEs occurred in 93% of cases. These findings align with the TRINITY trial (18), which reported a similar PFS for Rova-T, suggesting a potential improvement over standard treatments such as topotecan. In the DeLLphi-300 trial, tarlatamab demonstrated a DCR of 51.4% and a median response duration of 12.3 months (21). The pooled analysis of AEs showed a high incidence rate of 93% (95% CI, 91–96%), with variability among inhibitors. Rova-T had a higher rate of AEs (96%) compared with tarlatamab (90%) and BI 764532 (86%). Despite these high rates, DLL3 therapies markedly reduce off-target toxicities compared with conventional chemotherapy (22). This is particularly advantageous for patients who have undergone multiple lines of therapy and may be experiencing cumulative toxicities. A recent review demonstrated that while DLL3 inhibitors have high AE rates, most events are manageable and classified as grade 1 or 2, in contrast to the higher-grade toxicities often associated with cytotoxic chemotherapy (23).

The present findings suggested that DLL3 inhibitors may offer a comparable or potentially more favorable treatment option than topotecan, particularly for relapsed SCLC. Topotecan, a widely used chemotherapeutic agent, demonstrated an ORR of 24.3% in a clinical trial involving 107 patients, whereas DLL3 inhibitors showed an ORR of 21% (95% CI, 16–26%). Although the ORR for DLL3 inhibitors was slightly lower, the median PFS and OS for DLL3 inhibitors were 3.54 and 8.73 months, respectively, which outperformed the median times to progression (13.3 weeks or ~3.1 months) and median survival (25.0 weeks or ~5.8 months) for topotecan (24).

Furthermore, topotecan is associated with notable toxicity, including grade 4 neutropenia in 37.8% of courses, and high rates of thrombocytopenia and anemia (25). By contrast, DLL3 inhibitors exhibit a more manageable safety profile, with fewer severe hematologic toxicities compared with topotecan. This distinct safety profile may provide an advantage for patients who have already undergone multiple lines of therapy and are at risk for cumulative toxicities.

Overall, while both treatments have limitations, DLL3 inhibitors provide a targeted approach that could benefit patients who may not tolerate the hematologic side effects of topotecan. The moderate efficacy observed, coupled with a manageable safety profile, position DLL3 inhibitors as a potential alternative for patients with relapsed SCLC, particularly those who are not candidates for intensive chemotherapy regimens such as topotecan.

The absence of DLL3 in normal tissues minimizes off-target effects, making DLL3 inhibitors a promising targeted therapy that reduces damage to healthy tissues compared with conventional chemotherapy (9,26). However, the observed variation in response rates across different studies may be attributed to discrepancies in patient populations, such as tumor heterogeneity and prior treatment regimens. Understanding the underlying biological mechanisms that affect DLL3 expression and its role in tumor progression is critical for optimizing the therapeutic use of DLL3 inhibitors. Previous research has indicated that adjuvant chemotherapy serves as a significant independent prognostic factor for patients with DLL3-negative tumors (HR, 0.05; 95% CI, 0.01–0.41; P<0.01). However, this factor was reported to not be significant for patients with DLL3-positive tumors (HR, 0.73; 95% CI, 0.23–2.27; P=0.58) (27).

Moderate efficacy coupled with a manageable safety profile suggests that DLL3 inhibitors may be effective in treating refractory NECs, either alone or in combination with other therapeutic agents. For example, combining DLL3 inhibitors with radioimmunotherapy has shown promise in improving treatment efficacy while maintaining acceptable levels of toxicity (28). Beyond SCLC, DLL3 expression has been detected in other types of NEC, such as neuroendocrine prostate cancer, which implies that DLL3 inhibitors could potentially target a broader spectrum of malignancies (29). Additionally, immunotoxin therapy has emerged as a promising strategy for cancer treatment. Ataee et al (30) developed novel immunotoxins targeting DLL3, which is overexpressed in SCLC. These recombinant immunotoxins, one fused with granzyme B and the other with a component from typhoid toxin, demonstrated potential in preliminary bioinformatics and in vitro analyses, indicating a promising direction for further experimental research in SCLC treatment.

Understanding the biological mechanisms that affect DLL3 expression and its involvement in tumor progression is crucial for optimizing the therapeutic potential of DLL3 inhibitors. Identifying DLL3 as a predictive biomarker could aid in selecting patients most likely to respond to these targeted therapies, thereby advancing personalized medicine in the context of NEC. Further research is required to investigate the mechanisms of resistance to DLL3 inhibitors and to develop strategies for overcoming this resistance, potentially through combination therapies that target multiple pathways involved in tumor survival and progression.

The present analysis is subject to several limitations, particularly those associated with single-group rate meta-analyses. The substantial heterogeneity observed in outcomes such as OS, PFS, DCR, ORR and AEs is a well-recognized limitation of this method. Unlike comparative analyses, single-group rate meta-analyses aggregate data from diverse study designs, patient populations and treatment regimens, which can lead to marked variability that may lack clinical interpretability. Factors such as differing outcome definitions, variations in reporting standards and unmeasured confounding variables contribute to this heterogeneity, complicating efforts to draw meaningful conclusions from pooled data.

Future research on DLL3 inhibitors should focus on several key areas to optimize their clinical impact. Firstly, exploring combination therapies with immune checkpoint inhibitors, chemotherapy or other targeted agents is critical to maximize the potential for synergistic effects. Secondly, biomarker-driven approaches, such as stratifying patients based on DLL3 expression levels or tumor mutational burden, are essential for developing personalized treatment strategies. Thirdly, standardizing clinical endpoints and reporting practices will enhance the comparability of studies and strengthen the reliability of pooled analyses. Furthermore, addressing underrepresented patient populations, including those with rare tumor subtypes or poor performance status, is essential for improving the generalizability of findings. Finally, large-scale RCTs and real-world studies are crucial for validating results, assessing long-term outcomes and determining the broader applicability of DLL3-targeted therapies in clinical practice.

In conclusion, the present meta-analysis highlighted the promising clinical efficacy and manageable safety profile of DLL3 inhibitors in treating solid tumors, with encouraging outcomes in OS, PFS and DCR, particularly for agents such as tarlatamab. These findings reinforce the potential of DLL3 inhibitors as a novel therapeutic approach to address unmet needs in oncology. However, the substantial heterogeneity identified, driven by variations in inhibitor types, combination with immunotherapy and treatment regimens, emphasizes the need for more robust and standardized evidence.

To facilitate the clinical translation of DLL3 inhibitors, future research should focus on developing and validating predictive biomarkers for better patient selection. Exploring combination therapies with immunotherapies or radiotherapy could improve efficacy and overcome resistance mechanisms. Additionally, addressing resistance pathways and standardizing clinical endpoints, reporting practices and trial designs will be essential to strengthen the evidence base and improve comparability across studies. By focusing on these strategies, the clinical application of DLL3 inhibitors could be refined and expanded, ultimately offering new hope for patients with solid tumors and advancing the field of precision oncology.

Supplementary Material

Supporting Data

Acknowledgements

Not applicable.

Funding

The study was supported by Special Funds for Promoting Scientific And Technological Innovation in Xuzhou in 2022 (grant no. KC22255).

Availability of data and materials

The data generated in the present study may be requested from the corresponding author.

Authors' contributions

YS and XL contributed to the conception, design and writing of the manuscript. TL and YQ were responsible for data extraction and analysis. The first draft of the manuscript was written by YS. HC and DY contributed to the statistical analysis and interpretation of results, ensuring the robustness of the meta-analysis methodology. Manuscript revision and proofreading were performed by XL, HC and DY. YS and XL confirm the authenticity of all the raw data. YX, WX and YG contributed to the study design and provided critical feedback on the methodology. All authors read and approved the final version of the manuscript.

Ethics approval and consent to participate

Not applicable.

Patient consent for publication

Not applicable.

Competing interests

The authors declare that they have no competing interests.

References

1 

Guruharsha KG, Kankel MW and Artavanis-Tsakonas S: The Notch signalling system: Recent insights into the complexity of a conserved pathway. Nat Rev Genet. 13:654–666. 2012. View Article : Google Scholar : PubMed/NCBI

2 

Bray SJ: Notch signalling in context. Nat Rev Mol Cell Bio. 17:722–735. 2016. View Article : Google Scholar : PubMed/NCBI

3 

Meurette O and Mehlen P: Notch signaling in the tumor microenvironment. Cancer Cell. 34:536–548. 2018. View Article : Google Scholar : PubMed/NCBI

4 

Radtke F and Raj K: The role of Notch in tumorigenesis: Oncogene or tumour suppressor? Nat Rev Cancer. 3:756–767. 2003. View Article : Google Scholar : PubMed/NCBI

5 

Chapman G, Sparrow DB, Kremmer E and Dunwoodie SL: Notch inhibition by the ligand DELTA-LIKE 3 defines the mechanism of abnormal vertebral segmentation in spondylocostal dysostosis. Hum Mol Genet. 20:905–916. 2011. View Article : Google Scholar : PubMed/NCBI

6 

Sabari JK, Lok BH, Laird JH, Poirier JT and Rudin CM: Unravelling the biology of SCLC: Implications for therapy. Nat Rev Clin Oncol. 14:549–561. 2017. View Article : Google Scholar : PubMed/NCBI

7 

Saunders LR, Bankovich AJ, Anderson WC, Aujay MA, Bheddah S, Black K, Desai R, Escarpe PA, Hampl J, Laysang A, et al: A DLL3-targeted antibody-drug conjugate eradicates high-grade pulmonary neuroendocrine tumor-initiating cells in vivo. Sci Transl Med. 7:302ra1362015. View Article : Google Scholar : PubMed/NCBI

8 

Yao J, Bergsland E, Aggarwal R, Aparicio A, Beltran H, Crabtree JS, Hann CL, Ibrahim T, Byers LA, Sasano H, et al: DLL3 as an emerging target for the treatment of neuroendocrine neoplasms. Oncologist. 27:940–951. 2022. View Article : Google Scholar : PubMed/NCBI

9 

Owen DH, Giffin MJ, Bailis JM, Smit MD, Carbone DP and He K: DLL3: An emerging target in small cell lung cancer. J Hematol Oncol. 12:612019. View Article : Google Scholar : PubMed/NCBI

10 

Rudin CM, Pietanza MC, Bauer TM, Ready N, Morgensztern D, Glisson BS, Byers LA, Johnson ML, Burris HA III, Robert F, et al: Rovalpituzumab tesirine, a DLL3-targeted antibody-drug conjugate, in recurrent small-cell lung cancer: A first-in-human, first-in-class, open-label, phase 1 study. Lancet Oncol. 18:42–51. 2017. View Article : Google Scholar : PubMed/NCBI

11 

Giffin MJ, Cooke K, Lobenhofer EK, Estrada J, Zhan J, Deegen P, Thomas M, Murawsky CM, Werner J, Liu S, et al: AMG 757, a half-life extended, DLL3-targeted bispecific T-cell engager, shows high potency and sensitivity in preclinical models of small-cell lung cancer. Clin Cancer Res. 27:1526–1537. 2021. View Article : Google Scholar : PubMed/NCBI

12 

Champiat S, Boyer MJ, Govindan R, Paz-Ares LG, Owonikoko TK, Borghaei H, Izumi H, Steeghs N, Helen Blackhall F, Terbuch A, et al: Tarlatamab in small cell lung cancer (SCLC): Safety and efficacy analyzed by baseline brain metastasis. J Clin Oncol. 41 (16 Suppl):S85822023. View Article : Google Scholar

13 

Ahn MJ, Cho BC, Felip E, Korantzis I, Ohashi K, Majem M, Juan-Vidal O, Handzhiev S, Izumi H, Lee JS, et al: Tarlatamab for patients with previously treated small-cell lung cancer. New Engl J Med. 389:2063–2075. 2023. View Article : Google Scholar : PubMed/NCBI

14 

Choudhury N, Jain P, Dowlati A, Thompson J, Johnson ML, Mamdani H, Sanborn RE, Schenk EL, Aggarwal R, Sankar K, et al: 698P Interim results from a phase I/II study of HPN328, a tri-specific, half-life (T1/2) extended DLL3-targeting T cell engager in patients (pts) with small cell lung cancer (SCLC) and other neuroendocrine neoplasms (NEN). Ann Oncol. 34 (Suppl 2):S4862023. View Article : Google Scholar

15 

Owonikoko TK, Champiat S, Johnson ML, Govindan R, Izumi H, Lai WVV, Borghaei H, Boyer MJ, Boosman RJ, Hummel HD, et al: Updated results from a phase 1 study of AMG 757, a half-life extended bispecific T-cell engager (BiTE) immuno-oncology therapy against delta-like ligand 3 (DLL3), in small cell lung cancer (SCLC). J Clin Oncol. 39 (15 Suppl):S85102021. View Article : Google Scholar

16 

Wermke M, Kuboki Y, Felip E, Alese OB, Morgensztern D, Sayehli C, Arriola E, Sanmamed MF, Hamed ZO, Song E, et al: OA01.05 Phase I dose escalation trial of the DLL3/CD3 Igg-like T cell engager BI 764532 in patients with DLL3+ tumors: Focus on SCLC. J Thorac Oncol. 18 (Suppl):S45–S46. 2023. View Article : Google Scholar

17 

Blackhall F, Jao K, Greillier L, Cho BC, Penkov K, Reguart N, Majem M, Nackaerts K, Syrigos K, Hansen K, et al: Efficacy and safety of rovalpituzumab tesirine compared with topotecan as second-line therapy in DLL3-high SCLC: Results from the phase 3 TAHOE study. J Thorac Oncol. 16:1547–1558. 2021. View Article : Google Scholar : PubMed/NCBI

18 

Johnson ML, Zvirbule Z, Laktionov K, Helland A, Cho BC, Gutierrez V, Colinet B, Lena H, Wolf M, Gottfried M, et al: Rovalpituzumab tesirine as a maintenance therapy after first-line platinum-based chemotherapy in patients with extensive-stage-SCLC: Results from the phase 3 MERU study. J Thorac Oncol. 16:1570–1581. 2021. View Article : Google Scholar : PubMed/NCBI

19 

Slim K, Nini E, Forestier D, Kwiatkowski F, Panis Y and Chipponi J: Methodological index for non-randomized studies (minors): Development and validation of a new instrument. ANZ J Surg. 73:712–716. 2003. View Article : Google Scholar : PubMed/NCBI

20 

Morgensztern D, Besse B, Greillier L, Santana-Davila R, Ready N, Hann CL, Glisson BS, Farago AF, Dowlati A, Rudin CM, et al: Efficacy and safety of rovalpituzumab tesirine in third-line and beyond patients with DLL3-expressing, relapsed/refractory small-cell lung cancer: Results from the phase II TRINITY study. Clin Cancer Res. 25:6958–6966. 2019. View Article : Google Scholar : PubMed/NCBI

21 

Lovely B and Hollasch M: DLL3-targeting agents are poised to fill unmet needs in SCLC. Oncol Live®. 24:2023.

22 

Lin S, Zhang Y, Yao J, Yang J, Qiu Y, Zhu Z and Hua H: DB-1314, a novel DLL3-targeting ADC with DNA topoisomerase I inhibitor, exhibits promising safety profile and therapeutic efficacy in preclinical small cell lung cancer models. J Transl Med. 22:7662024. View Article : Google Scholar : PubMed/NCBI

23 

Sands JM, Champiat S, Hummel H, Paulson KG, Borghaei H, Bustamante Alvarez J, Carbone DP, Carlisle JW, Choudhury NJ, Clarke JM, et al: Practical management of adverse events in patients receiving tarlatamab, a DLL3-targeted bispecific T-cell engager immunotherapy, for previously treated small cell lung cancer. medRxiv. 2024.

24 

von Pawel J, Schiller JH, Shepherd FA, Fields SZ, Kleisbauer JP, Chrysson NG, Stewart DJ, Clark PI, Palmer MC, Depierre A, et al: Topotecan versus cyclophosphamide, doxorubicin, and vincristine for the treatment of recurrent small-cell lung cancer. J Clin Oncol. 17:658–6567. 1999. View Article : Google Scholar : PubMed/NCBI

25 

Armstrong D and O'Reilly S: Clinical guidelines for managing topotecan-related hematologic toxicity. Oncologist. 3:4–10. 1998. View Article : Google Scholar : PubMed/NCBI

26 

Ding J and Yeong C: Advances in DLL3-targeted therapies for small cell lung cancer: Challenges, opportunities, and future directions. Front Oncol. 14:15041392024. View Article : Google Scholar : PubMed/NCBI

27 

Ogawa H, Sakai Y, Nishio W, Fujibayashi Y, Nishikubo M, Nishioka Y, Tane S, Kitamura Y, Sudo T, Sakuma T and Yoshimura M: DLL3 expression is a predictive marker of sensitivity to adjuvant chemotherapy for pulmonary LCNEC. Thorac Cancer. 11:2561–2569. 2020. View Article : Google Scholar : PubMed/NCBI

28 

Tully KM, Tendler S, Carter LM, Sharma SK, Samuels ZV, Mandleywala K, Korsen JA, Delos Reyes AM, Piersigilli A, Travis WD, et al: Radioimmunotherapy targeting delta-like ligand 3 in small cell lung cancer exhibits antitumor efficacy with low toxicity. Clin Cancer Res. 28:1391–1401. 2022. View Article : Google Scholar : PubMed/NCBI

29 

Aggarwal RR, Rottey S, Bernard-Tessier A, Mellado-Gonzalez B, Kosaka T, Stadler WM, Sandhu S, Yu B, Shaw C, Ju CH, et al: Phase 1b study of tarlatamab in de novo or treatment-emergent neuroendocrine prostate cancer (NEPC). J Clin Oncol. 42 (16 Suppl):S50122024. View Article : Google Scholar

30 

Ataee MH, Mirhosseini SA, Mirnejad R, Rezaie E, Hosseini HM and Amani J: Design of two immunotoxins based rovalpituzumab antibody against DLL3 receptor; a promising potential opportunity. Res Pharm Sci. 17:428–444. 2022. View Article : Google Scholar : PubMed/NCBI

31 

Mansfield AS, Hong DS, Hann CL, Farago AF, Beltran H, Waqar SN, Hendifar AE, Anthony LB, Taylor MH, Bryce AH, et al: A phase I/II study of rovalpituzumab tesirine in delta-like 3-expressing, advanced solid tumors. NPJ Precis Oncol. 5:742021. View Article : Google Scholar : PubMed/NCBI

32 

Spigel D, Pietanza MC, Bauer T, Ready N, Morgensztern D, Glisson BS, Byers LA, Johnson M, Burris H, Robert F, et al: OA05.03 Single-agent rovalpituzumab tesirine, a delta-like protein 3 (DLL3)-targeted antibody-drug conjugate (ADC), in small-cell lung cancer (SCLC). J Thorac Oncol. 12 (Suppl):S260–S261. 2017. View Article : Google Scholar

33 

Calvo E, Spira A, Miguel MD, Kondo S, Gazzah A, Millward M, Prenen H, Rottey S, Warburton L, Alanko T, et al: Safety, pharmacokinetics, and efficacy of budigalimab with rovalpituzumab tesirine in patients with small cell lung cancer. Cancer Treat Res Commun. 28:1004052021. View Article : Google Scholar : PubMed/NCBI

34 

Borghaei H, Paz-Ares L, Johnson M, Champiat S, Owonikoko T, Lai V, Boyer M, Hummel HD, Govindan R, Steeghs N, et al: OA12.05 phase 1 updated exploration and first expansion data for DLL3-targeted T-cell engager tarlatamab in small cell lung cancer. J Thorac Oncol. 17 (Suppl):S332022. View Article : Google Scholar

35 

Udagawa H, Akamatsu H, Tanaka K, Takeda M, Kanda S, Kirita K, Teraoka S, Nakagawa K, Fujiwara Y, Yasuda I, et al: Phase I safety and pharmacokinetics study of rovalpituzumab tesirine in Japanese patients with advanced, recurrent small cell lung cancer. Lung Cancer. 135:145–150. 2019. View Article : Google Scholar : PubMed/NCBI

36 

Paz-Ares L, Ahn M, Felip E, Handzhiev S, Korantzis I, Izumi H, Ohashi K, Tarruella MM, Wolf J, Reck M, et al: 508MO Tarlatamab for patients (pts) with previously treated small cell lung cancer (SCLC): Primary analysis of the phase II DeLLphi-301 study. Ann Oncol. 34:S1664–S1665. 2023. View Article : Google Scholar

37 

Paz-Ares L, Champiat S, Lai WV, Izumi H, Govindan R, Boyer M, Hummel HD, Borghaei H, Johnson ML, Steeghs N, et al: Tarlatamab, a first-in-class DLL3-targeted bispecific T-cell engager, in recurrent small-cell lung cancer: An open-label, phase I study. J Clin Oncol. 41:2893–2903. 2023. View Article : Google Scholar : PubMed/NCBI

38 

Pietanza MC, Spigel D, Bauer TM, Ready NE, Glisson BS, Morgensztern D, Robert F, Salgia R, Kochendorfer M, Patel M, et al: 7LBA Safety, activity, and response durability assessment of single agent rovalpituzumab tesirine, a delta-like protein 3 (DLL3)-targeted antibody drug conjugate (ADC), in small cell lung cancer (SCLC). Eur J Cancer. 51:S7122015. View Article : Google Scholar

39 

Malhotra J, Nikolinakos P, Leal T, Lehman J, Morgensztern D, Patel JD, Wrangle JM, Curigliano G, Greillier L, Johnson ML, et al: A phase 1–2 study of rovalpituzumab tesirine in combination with nivolumab plus or minus ipilimumab in patients with previously treated extensive-stage SCLC. J Thorac Oncol. 16:1559–1569. 2021. View Article : Google Scholar : PubMed/NCBI

40 

Owonikoko T, Boyer M, Johnson M, Govindan R, Rodrigues L, Blackhall F, Boosman R, Champiat S, Hummel HD, Lai WV, et al: OA11.03 A phase 1 study of AMG 757, half-life extended bispecific T-cell engager (BiTE®)Immune therapy against DLL3, in SCLC. J Thorac Oncol. 16:S1262021. View Article : Google Scholar

41 

Champiat S, Boyer M, Paz-Ares L, Schoenfeld A, Izumi H, Govindan R, Carlisle J, Borghaei H, Johnson ML, Steeghs N, et al: 147P Characterizing CRS in phase I study of DLL3-targeted T cell engager tarlatamab in small cell lung cancer. Immun Oncol Technol. 16 (Suppl 1):S1002592022. View Article : Google Scholar

42 

Kuboki Y, Gambardella V, Capdevila Castillon J, Alese OB, Morgensztern D, Sayehli CM, Sanmamed MF, Arriola E, Wolf J, Owonikoko TK, et al: 75MO Phase I trial of the DLL3/CD3 IgG-like T cell engager BI 764532 in patients (pts) with DLL3+ tumors: Focus on Asian pts. Ann Oncol. 34 (Suppl 4):S14952023. View Article : Google Scholar

Related Articles

  • Abstract
  • View
  • Download
  • Twitter
Copy and paste a formatted citation
Spandidos Publications style
Su Y, Lu X, Liu T, Chen H, Xu W, Qin Y, Yu D, Guo Y and Xin Y: Safety and efficacy outcomes of delta‑like ligand 3 inhibitors for the treatment of solid tumors: A systematic review and single‑arm meta‑analysis. Oncol Lett 29: 228, 2025.
APA
Su, Y., Lu, X., Liu, T., Chen, H., Xu, W., Qin, Y. ... Xin, Y. (2025). Safety and efficacy outcomes of delta‑like ligand 3 inhibitors for the treatment of solid tumors: A systematic review and single‑arm meta‑analysis. Oncology Letters, 29, 228. https://doi.org/10.3892/ol.2025.14974
MLA
Su, Y., Lu, X., Liu, T., Chen, H., Xu, W., Qin, Y., Yu, D., Guo, Y., Xin, Y."Safety and efficacy outcomes of delta‑like ligand 3 inhibitors for the treatment of solid tumors: A systematic review and single‑arm meta‑analysis". Oncology Letters 29.5 (2025): 228.
Chicago
Su, Y., Lu, X., Liu, T., Chen, H., Xu, W., Qin, Y., Yu, D., Guo, Y., Xin, Y."Safety and efficacy outcomes of delta‑like ligand 3 inhibitors for the treatment of solid tumors: A systematic review and single‑arm meta‑analysis". Oncology Letters 29, no. 5 (2025): 228. https://doi.org/10.3892/ol.2025.14974
Copy and paste a formatted citation
x
Spandidos Publications style
Su Y, Lu X, Liu T, Chen H, Xu W, Qin Y, Yu D, Guo Y and Xin Y: Safety and efficacy outcomes of delta‑like ligand 3 inhibitors for the treatment of solid tumors: A systematic review and single‑arm meta‑analysis. Oncol Lett 29: 228, 2025.
APA
Su, Y., Lu, X., Liu, T., Chen, H., Xu, W., Qin, Y. ... Xin, Y. (2025). Safety and efficacy outcomes of delta‑like ligand 3 inhibitors for the treatment of solid tumors: A systematic review and single‑arm meta‑analysis. Oncology Letters, 29, 228. https://doi.org/10.3892/ol.2025.14974
MLA
Su, Y., Lu, X., Liu, T., Chen, H., Xu, W., Qin, Y., Yu, D., Guo, Y., Xin, Y."Safety and efficacy outcomes of delta‑like ligand 3 inhibitors for the treatment of solid tumors: A systematic review and single‑arm meta‑analysis". Oncology Letters 29.5 (2025): 228.
Chicago
Su, Y., Lu, X., Liu, T., Chen, H., Xu, W., Qin, Y., Yu, D., Guo, Y., Xin, Y."Safety and efficacy outcomes of delta‑like ligand 3 inhibitors for the treatment of solid tumors: A systematic review and single‑arm meta‑analysis". Oncology Letters 29, no. 5 (2025): 228. https://doi.org/10.3892/ol.2025.14974
Follow us
  • Twitter
  • LinkedIn
  • Facebook
About
  • Spandidos Publications
  • Careers
  • Cookie Policy
  • Privacy Policy
How can we help?
  • Help
  • Live Chat
  • Contact
  • Email to our Support Team