Spandidos Publications Logo
  • About
    • About Spandidos
    • Aims and Scopes
    • Abstracting and Indexing
    • Editorial Policies
    • Reprints and Permissions
    • Job Opportunities
    • Terms and Conditions
    • Contact
  • Journals
    • All Journals
    • Oncology Letters
      • Oncology Letters
      • Information for Authors
      • Editorial Policies
      • Editorial Board
      • Aims and Scope
      • Abstracting and Indexing
      • Bibliographic Information
      • Archive
    • International Journal of Oncology
      • International Journal of Oncology
      • Information for Authors
      • Editorial Policies
      • Editorial Board
      • Aims and Scope
      • Abstracting and Indexing
      • Bibliographic Information
      • Archive
    • Molecular and Clinical Oncology
      • Molecular and Clinical Oncology
      • Information for Authors
      • Editorial Policies
      • Editorial Board
      • Aims and Scope
      • Abstracting and Indexing
      • Bibliographic Information
      • Archive
    • Experimental and Therapeutic Medicine
      • Experimental and Therapeutic Medicine
      • Information for Authors
      • Editorial Policies
      • Editorial Board
      • Aims and Scope
      • Abstracting and Indexing
      • Bibliographic Information
      • Archive
    • International Journal of Molecular Medicine
      • International Journal of Molecular Medicine
      • Information for Authors
      • Editorial Policies
      • Editorial Board
      • Aims and Scope
      • Abstracting and Indexing
      • Bibliographic Information
      • Archive
    • Biomedical Reports
      • Biomedical Reports
      • Information for Authors
      • Editorial Policies
      • Editorial Board
      • Aims and Scope
      • Abstracting and Indexing
      • Bibliographic Information
      • Archive
    • Oncology Reports
      • Oncology Reports
      • Information for Authors
      • Editorial Policies
      • Editorial Board
      • Aims and Scope
      • Abstracting and Indexing
      • Bibliographic Information
      • Archive
    • Molecular Medicine Reports
      • Molecular Medicine Reports
      • Information for Authors
      • Editorial Policies
      • Editorial Board
      • Aims and Scope
      • Abstracting and Indexing
      • Bibliographic Information
      • Archive
    • World Academy of Sciences Journal
      • World Academy of Sciences Journal
      • Information for Authors
      • Editorial Policies
      • Editorial Board
      • Aims and Scope
      • Abstracting and Indexing
      • Bibliographic Information
      • Archive
    • International Journal of Functional Nutrition
      • International Journal of Functional Nutrition
      • Information for Authors
      • Editorial Policies
      • Editorial Board
      • Aims and Scope
      • Abstracting and Indexing
      • Bibliographic Information
      • Archive
    • International Journal of Epigenetics
      • International Journal of Epigenetics
      • Information for Authors
      • Editorial Policies
      • Editorial Board
      • Aims and Scope
      • Abstracting and Indexing
      • Bibliographic Information
      • Archive
    • Medicine International
      • Medicine International
      • Information for Authors
      • Editorial Policies
      • Editorial Board
      • Aims and Scope
      • Abstracting and Indexing
      • Bibliographic Information
      • Archive
  • Articles
  • Information
    • Information for Authors
    • Information for Reviewers
    • Information for Librarians
    • Information for Advertisers
    • Conferences
  • Language Editing
Spandidos Publications Logo
  • About
    • About Spandidos
    • Aims and Scopes
    • Abstracting and Indexing
    • Editorial Policies
    • Reprints and Permissions
    • Job Opportunities
    • Terms and Conditions
    • Contact
  • Journals
    • All Journals
    • Biomedical Reports
      • Information for Authors
      • Editorial Policies
      • Editorial Board
      • Aims and Scope
      • Abstracting and Indexing
      • Bibliographic Information
      • Archive
    • Experimental and Therapeutic Medicine
      • Information for Authors
      • Editorial Policies
      • Editorial Board
      • Aims and Scope
      • Abstracting and Indexing
      • Bibliographic Information
      • Archive
    • International Journal of Epigenetics
      • Information for Authors
      • Editorial Policies
      • Editorial Board
      • Aims and Scope
      • Abstracting and Indexing
      • Bibliographic Information
      • Archive
    • International Journal of Functional Nutrition
      • Information for Authors
      • Editorial Policies
      • Editorial Board
      • Aims and Scope
      • Abstracting and Indexing
      • Bibliographic Information
      • Archive
    • International Journal of Molecular Medicine
      • Information for Authors
      • Editorial Policies
      • Editorial Board
      • Aims and Scope
      • Abstracting and Indexing
      • Bibliographic Information
      • Archive
    • International Journal of Oncology
      • Information for Authors
      • Editorial Policies
      • Editorial Board
      • Aims and Scope
      • Abstracting and Indexing
      • Bibliographic Information
      • Archive
    • Medicine International
      • Information for Authors
      • Editorial Policies
      • Editorial Board
      • Aims and Scope
      • Abstracting and Indexing
      • Bibliographic Information
      • Archive
    • Molecular and Clinical Oncology
      • Information for Authors
      • Editorial Policies
      • Editorial Board
      • Aims and Scope
      • Abstracting and Indexing
      • Bibliographic Information
      • Archive
    • Molecular Medicine Reports
      • Information for Authors
      • Editorial Policies
      • Editorial Board
      • Aims and Scope
      • Abstracting and Indexing
      • Bibliographic Information
      • Archive
    • Oncology Letters
      • Information for Authors
      • Editorial Policies
      • Editorial Board
      • Aims and Scope
      • Abstracting and Indexing
      • Bibliographic Information
      • Archive
    • Oncology Reports
      • Information for Authors
      • Editorial Policies
      • Editorial Board
      • Aims and Scope
      • Abstracting and Indexing
      • Bibliographic Information
      • Archive
    • World Academy of Sciences Journal
      • Information for Authors
      • Editorial Policies
      • Editorial Board
      • Aims and Scope
      • Abstracting and Indexing
      • Bibliographic Information
      • Archive
  • Articles
  • Information
    • For Authors
    • For Reviewers
    • For Librarians
    • For Advertisers
    • Conferences
  • Language Editing
Login Register Submit
  • This site uses cookies
  • You can change your cookie settings at any time by following the instructions in our Cookie Policy. To find out more, you may read our Privacy Policy.

    I agree
Search articles by DOI, keyword, author or affiliation
Search
Advanced Search
presentation
Oncology Letters
Join Editorial Board Propose a Special Issue
Print ISSN: 1792-1074 Online ISSN: 1792-1082
Journal Cover
May-2025 Volume 29 Issue 5

Full Size Image

Sign up for eToc alerts
Recommend to Library

Journals

International Journal of Molecular Medicine

International Journal of Molecular Medicine

International Journal of Molecular Medicine is an international journal devoted to molecular mechanisms of human disease.

International Journal of Oncology

International Journal of Oncology

International Journal of Oncology is an international journal devoted to oncology research and cancer treatment.

Molecular Medicine Reports

Molecular Medicine Reports

Covers molecular medicine topics such as pharmacology, pathology, genetics, neuroscience, infectious diseases, molecular cardiology, and molecular surgery.

Oncology Reports

Oncology Reports

Oncology Reports is an international journal devoted to fundamental and applied research in Oncology.

Experimental and Therapeutic Medicine

Experimental and Therapeutic Medicine

Experimental and Therapeutic Medicine is an international journal devoted to laboratory and clinical medicine.

Oncology Letters

Oncology Letters

Oncology Letters is an international journal devoted to Experimental and Clinical Oncology.

Biomedical Reports

Biomedical Reports

Explores a wide range of biological and medical fields, including pharmacology, genetics, microbiology, neuroscience, and molecular cardiology.

Molecular and Clinical Oncology

Molecular and Clinical Oncology

International journal addressing all aspects of oncology research, from tumorigenesis and oncogenes to chemotherapy and metastasis.

World Academy of Sciences Journal

World Academy of Sciences Journal

Multidisciplinary open-access journal spanning biochemistry, genetics, neuroscience, environmental health, and synthetic biology.

International Journal of Functional Nutrition

International Journal of Functional Nutrition

Open-access journal combining biochemistry, pharmacology, immunology, and genetics to advance health through functional nutrition.

International Journal of Epigenetics

International Journal of Epigenetics

Publishes open-access research on using epigenetics to advance understanding and treatment of human disease.

Medicine International

Medicine International

An International Open Access Journal Devoted to General Medicine.

Journal Cover
May-2025 Volume 29 Issue 5

Full Size Image

Sign up for eToc alerts
Recommend to Library

  • Article
  • Citations
    • Cite This Article
    • Download Citation
    • Create Citation Alert
    • Remove Citation Alert
    • Cited By
  • Similar Articles
    • Related Articles (in Spandidos Publications)
    • Similar Articles (Google Scholar)
    • Similar Articles (PubMed)
  • Download PDF
  • Download XML
  • View XML

  • Supplementary Files
    • Supplementary_Data.pdf
Article Open Access

SNP array analysis facilitates the identification of novel chromosomal alterations associated with disease and SNPs related to adverse drug reactions in neuroblastoma

  • Authors:
    • Kailan Chen
    • Hanpeng Li
    • Yujie Luo
    • Jiaqi Liu
    • Huichao Liu
    • Yongli Tian
    • Yifei Yu
    • Yun Xu
    • Li Chen
    • Qiong Xu
    • Ying Li
  • View Affiliations / Copyright

    Affiliations: Department of Oncology, Wuhan Children's Hospital, Tongji Medical College, Huazhong University of Science and Technology, Wuhan, Hubei 430016, P.R. China, Department of Medicine, Shanghai Cinopath Medical Laboratory Co., Ltd., Shanghai 200120, P.R. China
    Copyright: © Chen et al. This is an open access article distributed under the terms of Creative Commons Attribution License.
  • Article Number: 242
    |
    Published online on: March 24, 2025
       https://doi.org/10.3892/ol.2025.14988
  • Expand metrics +
Metrics: Total Views: 0 (Spandidos Publications: | PMC Statistics: )
Metrics: Total PDF Downloads: 0 (Spandidos Publications: | PMC Statistics: )
Cited By (CrossRef): 0 citations Loading Articles...

This article is mentioned in:



Abstract

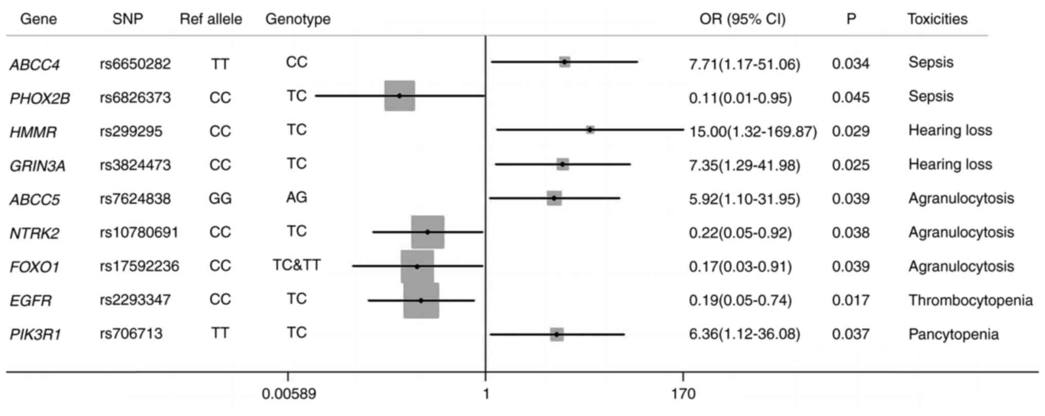
Chromosomal abnormalities are common characteristics of neuroblastoma, and have been associated with treatment, relapse and survival risk factors. The processes governing the incidence or advancement of chromosomal copy number abnormalities remain unclear, despite progress in understanding their prognostic implications. The present study aimed to provide a comprehensive understanding of genetic alterations, clinical implications, and the association between copy number aberrations (CNAs) and clinical parameters. Single nucleotide polymorphism (SNP) array analysis was performed on a set of 45 neuroblastoma samples to examine chromosomal CNAs and SNPs. Logistic regression analysis was performed to identify SNPs associated with adverse drug reactions (ADRs). In the present study, numerous CNAs were observed in 92% of neuroblastoma tumors, while CNAs were found in 15% of ganglioneuroblastoma tumors. The segmental alterations were mainly observed in stage 3 or 4 neuroblastoma cases that had tumor sizes >10 cm. The present study concentrated on analyzing entire chromosome modifications and revealed that, in contrast to gain, loss of heterozygosity (LOH) mostly occurred during stages 3 and 4 of neuroblastoma. Only stage 3 and 4 neuroblastomas with tumor sizes >10 cm were found to exhibit loss of the Y chromosome, which was associated with similar clinical characteristics as segmental alterations. LOH of the whole chromosome might be a subgroup of whole chromosome alterations, and could be a novel prognosis and treatment marker. Using a regression model, 13 SNPs were identified to be strongly associated with ADRs following chemotherapy for neuroblastoma. Although validation studies in independent cohorts are required, the present findings support the use of CNAs and SNPs for predicting neuroblastoma treatment outcomes.
View Figures

Figure 1

Figure 2

Figure 3

Figure 4

Figure 5

View References

1 

Gurney JG, Davis S, Severson RK, Fang JY, Ross JA and Robison L: Trends in cancer incidence among children in the US. Cancer. 78:532–541. 1996. View Article : Google Scholar : PubMed/NCBI

2 

Nakagawara A, Li Y, Izumi H, Muramori K, Inada H and Nishi M: Neuroblastoma. Jpn J Clin Oncol. 48:214–241. 2018. View Article : Google Scholar : PubMed/NCBI

3 

Maris J, Hogarty MD, Bagatell R and Cohn SL: Neuroblastoma. Lancet. 369:2106–2120. 2007. View Article : Google Scholar : PubMed/NCBI

4 

Park JR, Kreissman SG, London WB, Naranjo A, Cohn SL, Hogarty MD, Tenney SC, Haas-Kogan D, Shaw PJ, Kraveka JM, et al: Effect of tandem autologous stem cell transplant vs single transplant on event-free survival in patients with high-risk neuroblastoma: A randomized clinical trial. JAMA. 322:746–755. 2019. View Article : Google Scholar : PubMed/NCBI

5 

Park JA and Cheung NKV: Targets and antibody formats for immunotherapy of neuroblastoma. J Clin Oncol. 38:1836–1848. 2020. View Article : Google Scholar : PubMed/NCBI

6 

Zafar A, Wang W, Liu G, Wang X, Xian W, McKeon F, Foster J, Zhou J and Zhang R: Molecular targeting therapies for neuroblastoma: Progress and challenges. Med Res Rev. 41:961–1021. 2021. View Article : Google Scholar : PubMed/NCBI

7 

Cohn SL, Pearson AD, London WB, Monclair T, Ambros PF, Brodeur GM, Faldum A, Hero B, Iehara T, Machin D, et al: The international neuroblastoma risk group (INRG) classification system: An INRG task force report. J Clin Oncol. 27:289–297. 2009. View Article : Google Scholar : PubMed/NCBI

8 

Sokol E, Desai AV, Applebaum MA, Valteau-Couanet D, Park JR, Pearson ADJ, Schleiermacher G, Irwin MS, Hogarty M, Naranjo A, et al: Age, diagnostic category, tumor grade, and mitosis-karyorrhexis index are independently prognostic in neuroblastoma: An INRG project. J Clin Oncol. 38:1906–1918. 2020. View Article : Google Scholar : PubMed/NCBI

9 

Asgharzadeh S, Pique-Regi R, Sposto R, Wang H, Yang Y, Shimada H, Matthay K, Buckley J, Ortega A and Seeger RC: Prognostic significance of gene expression profiles of metastatic neuroblastomas lacking MYCN gene amplification. J Natl Cancer Inst. 98:1193–1203. 2006. View Article : Google Scholar : PubMed/NCBI

10 

Shi Y, Yuan J, Rraklli V, Maxymovitz E, Cipullo M, Liu M, Li S, Westerlund I, Bedoya-Reina OC, Bullova P, et al: Aberrant splicing in neuroblastoma generates RNA-fusion transcripts and provides vulnerability to spliceosome inhibitors. Nucleic Acids Res. 49:2509–2521. 2021. View Article : Google Scholar : PubMed/NCBI

11 

Hiwatari M, Seki M, Matsuno R, Yoshida K, Nagasawa T, Sato-Otsubo A, Yamamoto S, Kato M, Watanabe K, Sekiguchi M, et al: Novel TENM3-ALK fusion is an alternate mechanism for ALK activation in neuroblastoma. Oncogene. 41:2789–2797. 2022. View Article : Google Scholar : PubMed/NCBI

12 

Fetahu IS and Taschner-Mandl S: Neuroblastoma and the epigenome. Cancer Metastasis Rev. 40:173–189. 2021. View Article : Google Scholar : PubMed/NCBI

13 

Brodeur GM, Seeger RC, Schwab M, Varmus HE and Bishop JM: Amplification of N-myc in untreated human neuroblastomas correlates with advanced disease stage. Science. 224:1121–1124. 1984. View Article : Google Scholar : PubMed/NCBI

14 

Bresler SC, Weiser DA, Huwe PJ, Park JH, Krytska K, Ryles H, Laudenslager M, Rappaport EF, Wood AC, McGrady PW, et al: ALK mutations confer differential oncogenic activation and sensitivity to ALK inhibition therapy in neuroblastoma. Cancer Cell. 26:682–694. 2014. View Article : Google Scholar : PubMed/NCBI

15 

Bellini A, Pötschger U, Bernard V, Lapouble E, Baulande S, Ambros PF, Auger N, Beiske K, Bernkopf M, Betts DR, et al: Frequency and prognostic impact of ALK amplifications and mutations in the European neuroblastoma study group (SIOPEN) high-risk neuroblastoma trial (HR-NBL1). J Clin Oncol. 39:3377–3390. 2021. View Article : Google Scholar : PubMed/NCBI

16 

Spitz R, Hero B, Ernestus K and Berthold F: Deletions in chromosome arms 3p and 11q are new prognostic markers in localized and 4s neuroblastoma. Clin Cancer Res. 9:52–58. 2003.PubMed/NCBI

17 

Schleiermacher G, Mosseri V, London WB, Maris JM, Brodeur GM, Attiyeh E, Haber M, Khan J, Nakagawara A, Speleman F, et al: Segmental chromosomal alterations have prognostic impact in neuroblastoma: A report from the INRG project. Br J Cancer. 107:1418–1422. 2012. View Article : Google Scholar : PubMed/NCBI

18 

Fong C, White PS, Peterson K, Sapienza C, Cavenee WK, Kern SE, Vogelstein B, Cantor AB, Look AT and Brodeur GM: Loss of heterozygosity for chromosomes 1 or 14 defines subsets of advanced neuroblastomas. Cancer Res. 52:1780–1785. 1992.PubMed/NCBI

19 

Brady SW, Liu Y, Ma X, Gout AM, Hagiwara K, Zhou X, Wang J, Macias M, Chen X, Easton J, et al: Pan-neuroblastoma analysis reveals age-and signature-associated driver alterations. Nat Commun. 11:51832020. View Article : Google Scholar : PubMed/NCBI

20 

Janoueix-Lerosey I, Schleiermacher G, Michels E, Mosseri V, Ribeiro A, Lequin D, Vermeulen J, Couturier J, Peuchmaur M, Valent A, et al: Overall genomic pattern is a predictor of outcome in neuroblastoma. J Clin Oncol. 27:1026–1033. 2009. View Article : Google Scholar : PubMed/NCBI

21 

Park JR, Eggert A and Caron H: Neuroblastoma: Biology, prognosis, and treatment. Pediatr Clin N Am. 55:97–120. 2008. View Article : Google Scholar

22 

Olivera GG, Yáñez Y, Gargallo P, Sendra L, Aliño SF, Segura V, Sanz MÁ, Cañete A, Castel V, Mora JF, et al: MTHFR and VDR polymorphisms improve the prognostic value of MYCN status on overall survival in neuroblastoma patients. Int J Mol Sci. 21:27142020. View Article : Google Scholar : PubMed/NCBI

23 

Caudle KE, Thorn CF, Klein TE, Swen JJ, McLeod HL, Diasio RB and Schwab M: Clinical pharmacogenetics implementation consortium guidelines for dihydropyrimidine dehydrogenase genotype and fluoropyrimidine dosing. Clin Pharmacol Ther. 94:640–645. 2013. View Article : Google Scholar : PubMed/NCBI

24 

Amstutz U, Henricks LM, Offer SM, Barbarino J, Schellens JHM, Swen JJ, Klein TE, McLeod HL, Caudle KE, Diasio RB and Schwab M: Clinical Pharmacogenetics implementation consortium (CPIC) guideline for dihydropyrimidine dehydrogenase genotype and fluoropyrimidine dosing: 2017 update. Clin Pharmacol Ther. 103:210–216. 2018. View Article : Google Scholar : PubMed/NCBI

25 

Swen JJ, Nijenhuis M, de Boer A, Grandia L, Maitland-van der Zee AH, Mulder H, Rongen GA, van Schaik RH, Schalekamp T, Touw DJ, et al: Pharmacogenetics: From bench to byte-an update of guidelines. Clin Pharmacol Ther. 89:662–673. 2011. View Article : Google Scholar : PubMed/NCBI

26 

Lunenburg CATC, van der Wouden CH, Nijenhuis M, Crommentuijn-van Rhenen MH, de Boer-Veger NJ, Buunk AM, Houwink EJF, Mulder H, Rongen GA, van Schaik RHN, et al: Dutch pharmacogenetics working group (DPWG) guideline for the gene-drug interaction of DPYD and fluoropyrimidines. Eur J Hum Genet. 28:508–517. 2020. View Article : Google Scholar : PubMed/NCBI

27 

Pu X, Hildebrandt MAT, Lu C, Lin J, Stewart DJ, Ye Y, Gu J, Spitz MR and Wu X: PI3K/PTEN/AKT/mTOR pathway genetic variation predicts toxicity and distant progression in lung cancer patients receiving platinum-based chemotherapy. Lung Cancer. 71:82–88. 2011. View Article : Google Scholar : PubMed/NCBI

28 

Jabeen S, Holmboe L, Alnæs GIG, Andersen AM, Hall KS and Kristensen VN: Impact of genetic variants of RFC1, DHFR and MTHFR in osteosarcoma patients treated with high-dose methotrexate. Pharmacogenomics J. 15:385–390. 2015. View Article : Google Scholar : PubMed/NCBI

29 

Sugishita M, Imai T, Kikumori T, Mitsuma A, Shimokata T, Shibata T, Morita S, Inada-Inoue M, Sawaki M, Hasegawa Y and Ando Y: Pharmacogenetic association between GSTP1 genetic polymorphism and febrile neutropenia in Japanese patients with early breast cancer. Breast Cancer. 23:195–201. 2016. View Article : Google Scholar : PubMed/NCBI

30 

Bosó V, Herrero MJ, Santaballa A, Palomar L, Megias JE, de la Cueva H, Rojas L, Marqués MR, Poveda JL, Montalar J and Aliño SF: SNPs and taxane toxicity in breast cancer patients. Pharmacogenomics. 15:1845–1858. 2014. View Article : Google Scholar : PubMed/NCBI

31 

Verscheijden LFM, Koenderink JB, Johnson TN, de Wildt SN and Russel FGM: Physiologically-based pharmacokinetic models for children: Starting to reach maturation? Pharmacol Ther. 211:1075412020. View Article : Google Scholar : PubMed/NCBI

32 

Min S: Design of formulations for pediatric drugs. Prog Pharm Sci. 43:655–666. 2019.

33 

Fernandez E, Perez R, Hernandez A, Tejada P, Arteta M and Ramos JT: Factors and mechanisms for pharmacokinetic differences between pediatric population and adults. Pharmaceutics. 3:53–72. 2011. View Article : Google Scholar : PubMed/NCBI

34 

Ognibene M, De Marco P, Amoroso L, Fragola M, Zara F, Parodi S and Pezzolo A: Neuroblastoma patients' outcome and chromosomal instability. Int J Mol Sci. 24:155142023. View Article : Google Scholar : PubMed/NCBI

35 

Körber V, Stainczyk SA, Kurilov R, Henrich KO, Hero B, Brors B, Westermann F and Höfer T: Neuroblastoma arises in early fetal development and its evolutionary duration predicts outcome. Nat Genet. 55:619–630. 2023. View Article : Google Scholar : PubMed/NCBI

36 

Olivera GG, Urtasun A, Sendra L, Aliño SF, Yáñez Y, Segura V, Gargallo P, Berlanga P, Castel V, Cañete A and Herrero MJ: Pharmacogenetics in neuroblastoma: What can already be clinically implemented and what is coming next? Int J Mol Sci. 22:98152021. View Article : Google Scholar : PubMed/NCBI

37 

Urtasun A, Olivera GG, Sendra L, Aliño SF, Berlanga P, Gargallo P, Hervás D, Balaguer J, Juan-Ribelles A, Andrés MDM, et al: Personalized medicine in infant population with cancer: Pharmacogenetic pilot study of polymorphisms related to toxicity and response to chemotherapy. Cancers (Basel). 15:14242023. View Article : Google Scholar : PubMed/NCBI

38 

Paolini L, Hussain S and Galardy PJ: Chromosome instability in neuroblastoma: A pathway to aggressive disease. Front Oncol. 12:9889722022. View Article : Google Scholar : PubMed/NCBI

39 

Pediatric Oncology Committee, Chinese Anti-Cancer Association, Oncology Group, Chinese Association of Pediatric Surgeons, . Expert consensus on diagnosing and treating of neuroblastoma in children. Chin J Pediatr Surg. 36:3–7. 2015.

40 

Department of Health and Human Services, . Common Terminology Criteria for Adverse Events (CTCAE). Version 5.0. 2017.

41 

Gunderson KL, Steemers FJ, Lee G, Mendoza LG and Chee MS: A genome-wide scalable SNP genotyping assay using microarray technology. Nat Genet. 37:549–554. 2005. View Article : Google Scholar : PubMed/NCBI

42 

Conlin LK, Thiel BD, Bonnemann CG, Medne L, Ernst LM, Zackai EH, Deardorff MA, Krantz ID, Hakonarson H and Spinner NB: Mechanisms of mosaicism, chimerism and uniparental disomy identified by single nucleotide polymorphism array analysis. Hum Mol Genet. 19:1263–1275. 2010. View Article : Google Scholar : PubMed/NCBI

43 

Attiyeh EF, London WB, Mossé YP, Wang Q, Winter C, Khazi D, McGrady PW, Seeger RC, Look AT, Shimada H, et al: Chromosome 1p and 11q deletions and outcome in neuroblastoma. N Engl J Med. 353:2243–2253. 2005. View Article : Google Scholar : PubMed/NCBI

44 

Ambros PF, Ambros IM, Brodeur GM, Haber M, Khan J, Nakagawara A, Schleiermacher G, Speleman F, Spitz R, London WB, et al: International consensus for neuroblastoma molecular diagnostics: Report from the international neuroblastoma risk group (INRG) biology committee. Br J Cancer. 100:1471–1482. 2009. View Article : Google Scholar : PubMed/NCBI

45 

Thompson D, Vo KT, London WB, Fischer M, Ambros PF, Nakagawara A, Brodeur GM, Matthay KK and DuBois SG: Identification of patient subgroups with markedly disparate rates of MYCN amplification in neuroblastoma: A report from the international neuroblastoma risk group project. Cancer. 122:935–945. 2016. View Article : Google Scholar : PubMed/NCBI

46 

Sansregret L and Swanton C: The role of aneuploidy in cancer evolution. Cold Spring Harb Perspect Med. 7:a0283732017. View Article : Google Scholar : PubMed/NCBI

47 

Bourdeaut F, Ribeiro A, Paris R, Pierron G, Couturier J, Peuchmaur M and Delattre O: In neuroblastic tumours, Schwann cells do not harbour the genetic alterations of neuroblasts but may nevertheless share the same clonal origin. Oncogene. 27:3066–3071. 2008. View Article : Google Scholar : PubMed/NCBI

48 

Toraman AD, Keser I, Lüleci G, Tunali N and Gelen T: Comparative genomic hybridization in ganglioneuroblastomas. Cancer Genet Cytogen. 132:36–40. 2002. View Article : Google Scholar : PubMed/NCBI

49 

Abdel-Hafiz HA, Schafer JM, Chen X, Xiao T, Gauntner TD, Li Z and Theodorescu D: Y chromosome loss in cancer drives growth by evasion of adaptive immunity. Nature. 619:624–631. 2023. View Article : Google Scholar : PubMed/NCBI

50 

Müller P, Camacho OV, Yazbeck AM, Wölwer C, Zhai W, Schumacher J, Heider D, Buettner R, Quaas A and Hillmer AM: Why loss of Y? A pan-cancer genome analysis of tumors with loss of Y chromosome. Comput Struct Biotechnol J. 21:1573–1583. 2023. View Article : Google Scholar : PubMed/NCBI

51 

Ognibene M, De Marco P, Parodi S, Meli M, Di Cataldo A, Zara F and Pezzolo A: Genomic analysis made it possible to identify gene-driver alterations covering the time window between diagnosis of neuroblastoma 4s and the progression to stage 4. Int J Mol Sci. 23:65132022. View Article : Google Scholar : PubMed/NCBI

52 

Janssen A, Van Der Burg M, Szuhai K, Kops GJ and Medema RH: Chromosome segregation errors as a cause of DNA damage and structural chromosome aberrations. Science. 333:1895–1898. 2011. View Article : Google Scholar : PubMed/NCBI

53 

Wu Y, Yu H, Tang H, Su Y, Shi TL, Liu S, Xia Q and Xu DJ: PXR polymorphisms have impact on the clinical efficacy of clopidogrel in patients undergoing percutaneous coronary intervention. Gene. 653:22–28. 2018. View Article : Google Scholar : PubMed/NCBI

54 

Richardson M, Kirkham J, Dwan K, Sloan DJ, Davies G and Jorgensen AL: Association of variants within the GST and other genes with anti-tubercular agents related toxicity: A systematic review and meta-analysis. BioRxiv. 9:5158172019.

55 

Saito R, Suzuki H, Yamada T, Endo S, Moriwaki T, Ueno T, Hirose M, Hirai S, Yamato K, Mizokami Y and Hyodo I: Predicting skin toxicity according to EGFR polymorphisms in patients with colorectal cancer receiving antibody against EGFR. Anticancer Res. 33:4995–4998. 2013.PubMed/NCBI

56 

Zhuang W, Qiu H, Wang X, Xin S, Huang M and Zhou Z: Impact of pharmacogenomics on imatinib toxicity in gastrointestinal stromal tumors. J Clin Oncol. 35:110432017. View Article : Google Scholar

57 

Wei F, Xi C and Shaoxing G: Relationship between MAPK1 gene polymorphism and gefitinib hepatotoxicity in NSCLC patients with activating EGFR mutations. Acta Pharm Sin. 53:760–764. 2018.

58 

Jansen RS, Mahakena S, de Haas M, Borst P and van de Wetering K: ATP-binding cassette subfamily C member 5 (ABCC5) functions as an efflux transporter of glutamate conjugates and analogs. J Biol Chem. 290:30429–30440. 2015. View Article : Google Scholar : PubMed/NCBI

59 

Chen J, Wang Z, Gao S, Wu K, Bai F, Zhang Q, Wang H, Ye Q, Xu F, Sun H, et al: Human drug efflux transporter ABCC5 confers acquired resistance to pemetrexed in breast cancer. Cancer Cell Int. 21:1–10. 2021.PubMed/NCBI

60 

Belkahla S, Khan AUH, Gitenay D, Alexia C, Gondeau C, Vo DN, Orecchioni S, Talarico G, Bertolini F, Cartron G, et al: Changes in metabolism affect expression of ABC transporters through ERK5 and depending on p53 status. Oncotarget. 9:1114–1129. 2018. View Article : Google Scholar : PubMed/NCBI

Related Articles

  • Abstract
  • View
  • Download
  • Twitter
Copy and paste a formatted citation
Spandidos Publications style
Chen K, Li H, Luo Y, Liu J, Liu H, Tian Y, Yu Y, Xu Y, Chen L, Xu Q, Xu Q, et al: SNP array analysis facilitates the identification of novel chromosomal alterations associated with disease and SNPs related to adverse drug reactions in neuroblastoma. Oncol Lett 29: 242, 2025.
APA
Chen, K., Li, H., Luo, Y., Liu, J., Liu, H., Tian, Y. ... Li, Y. (2025). SNP array analysis facilitates the identification of novel chromosomal alterations associated with disease and SNPs related to adverse drug reactions in neuroblastoma. Oncology Letters, 29, 242. https://doi.org/10.3892/ol.2025.14988
MLA
Chen, K., Li, H., Luo, Y., Liu, J., Liu, H., Tian, Y., Yu, Y., Xu, Y., Chen, L., Xu, Q., Li, Y."SNP array analysis facilitates the identification of novel chromosomal alterations associated with disease and SNPs related to adverse drug reactions in neuroblastoma". Oncology Letters 29.5 (2025): 242.
Chicago
Chen, K., Li, H., Luo, Y., Liu, J., Liu, H., Tian, Y., Yu, Y., Xu, Y., Chen, L., Xu, Q., Li, Y."SNP array analysis facilitates the identification of novel chromosomal alterations associated with disease and SNPs related to adverse drug reactions in neuroblastoma". Oncology Letters 29, no. 5 (2025): 242. https://doi.org/10.3892/ol.2025.14988
Copy and paste a formatted citation
x
Spandidos Publications style
Chen K, Li H, Luo Y, Liu J, Liu H, Tian Y, Yu Y, Xu Y, Chen L, Xu Q, Xu Q, et al: SNP array analysis facilitates the identification of novel chromosomal alterations associated with disease and SNPs related to adverse drug reactions in neuroblastoma. Oncol Lett 29: 242, 2025.
APA
Chen, K., Li, H., Luo, Y., Liu, J., Liu, H., Tian, Y. ... Li, Y. (2025). SNP array analysis facilitates the identification of novel chromosomal alterations associated with disease and SNPs related to adverse drug reactions in neuroblastoma. Oncology Letters, 29, 242. https://doi.org/10.3892/ol.2025.14988
MLA
Chen, K., Li, H., Luo, Y., Liu, J., Liu, H., Tian, Y., Yu, Y., Xu, Y., Chen, L., Xu, Q., Li, Y."SNP array analysis facilitates the identification of novel chromosomal alterations associated with disease and SNPs related to adverse drug reactions in neuroblastoma". Oncology Letters 29.5 (2025): 242.
Chicago
Chen, K., Li, H., Luo, Y., Liu, J., Liu, H., Tian, Y., Yu, Y., Xu, Y., Chen, L., Xu, Q., Li, Y."SNP array analysis facilitates the identification of novel chromosomal alterations associated with disease and SNPs related to adverse drug reactions in neuroblastoma". Oncology Letters 29, no. 5 (2025): 242. https://doi.org/10.3892/ol.2025.14988
Follow us
  • Twitter
  • LinkedIn
  • Facebook
About
  • Spandidos Publications
  • Careers
  • Cookie Policy
  • Privacy Policy
How can we help?
  • Help
  • Live Chat
  • Contact
  • Email to our Support Team