Spandidos Publications Logo
  • About
    • About Spandidos
    • Aims and Scopes
    • Abstracting and Indexing
    • Editorial Policies
    • Reprints and Permissions
    • Job Opportunities
    • Terms and Conditions
    • Contact
  • Journals
    • All Journals
    • Oncology Letters
      • Oncology Letters
      • Information for Authors
      • Editorial Policies
      • Editorial Board
      • Aims and Scope
      • Abstracting and Indexing
      • Bibliographic Information
      • Archive
    • International Journal of Oncology
      • International Journal of Oncology
      • Information for Authors
      • Editorial Policies
      • Editorial Board
      • Aims and Scope
      • Abstracting and Indexing
      • Bibliographic Information
      • Archive
    • Molecular and Clinical Oncology
      • Molecular and Clinical Oncology
      • Information for Authors
      • Editorial Policies
      • Editorial Board
      • Aims and Scope
      • Abstracting and Indexing
      • Bibliographic Information
      • Archive
    • Experimental and Therapeutic Medicine
      • Experimental and Therapeutic Medicine
      • Information for Authors
      • Editorial Policies
      • Editorial Board
      • Aims and Scope
      • Abstracting and Indexing
      • Bibliographic Information
      • Archive
    • International Journal of Molecular Medicine
      • International Journal of Molecular Medicine
      • Information for Authors
      • Editorial Policies
      • Editorial Board
      • Aims and Scope
      • Abstracting and Indexing
      • Bibliographic Information
      • Archive
    • Biomedical Reports
      • Biomedical Reports
      • Information for Authors
      • Editorial Policies
      • Editorial Board
      • Aims and Scope
      • Abstracting and Indexing
      • Bibliographic Information
      • Archive
    • Oncology Reports
      • Oncology Reports
      • Information for Authors
      • Editorial Policies
      • Editorial Board
      • Aims and Scope
      • Abstracting and Indexing
      • Bibliographic Information
      • Archive
    • Molecular Medicine Reports
      • Molecular Medicine Reports
      • Information for Authors
      • Editorial Policies
      • Editorial Board
      • Aims and Scope
      • Abstracting and Indexing
      • Bibliographic Information
      • Archive
    • World Academy of Sciences Journal
      • World Academy of Sciences Journal
      • Information for Authors
      • Editorial Policies
      • Editorial Board
      • Aims and Scope
      • Abstracting and Indexing
      • Bibliographic Information
      • Archive
    • International Journal of Functional Nutrition
      • International Journal of Functional Nutrition
      • Information for Authors
      • Editorial Policies
      • Editorial Board
      • Aims and Scope
      • Abstracting and Indexing
      • Bibliographic Information
      • Archive
    • International Journal of Epigenetics
      • International Journal of Epigenetics
      • Information for Authors
      • Editorial Policies
      • Editorial Board
      • Aims and Scope
      • Abstracting and Indexing
      • Bibliographic Information
      • Archive
    • Medicine International
      • Medicine International
      • Information for Authors
      • Editorial Policies
      • Editorial Board
      • Aims and Scope
      • Abstracting and Indexing
      • Bibliographic Information
      • Archive
  • Articles
  • Information
    • Information for Authors
    • Information for Reviewers
    • Information for Librarians
    • Information for Advertisers
    • Conferences
  • Language Editing
Spandidos Publications Logo
  • About
    • About Spandidos
    • Aims and Scopes
    • Abstracting and Indexing
    • Editorial Policies
    • Reprints and Permissions
    • Job Opportunities
    • Terms and Conditions
    • Contact
  • Journals
    • All Journals
    • Biomedical Reports
      • Information for Authors
      • Editorial Policies
      • Editorial Board
      • Aims and Scope
      • Abstracting and Indexing
      • Bibliographic Information
      • Archive
    • Experimental and Therapeutic Medicine
      • Information for Authors
      • Editorial Policies
      • Editorial Board
      • Aims and Scope
      • Abstracting and Indexing
      • Bibliographic Information
      • Archive
    • International Journal of Epigenetics
      • Information for Authors
      • Editorial Policies
      • Editorial Board
      • Aims and Scope
      • Abstracting and Indexing
      • Bibliographic Information
      • Archive
    • International Journal of Functional Nutrition
      • Information for Authors
      • Editorial Policies
      • Editorial Board
      • Aims and Scope
      • Abstracting and Indexing
      • Bibliographic Information
      • Archive
    • International Journal of Molecular Medicine
      • Information for Authors
      • Editorial Policies
      • Editorial Board
      • Aims and Scope
      • Abstracting and Indexing
      • Bibliographic Information
      • Archive
    • International Journal of Oncology
      • Information for Authors
      • Editorial Policies
      • Editorial Board
      • Aims and Scope
      • Abstracting and Indexing
      • Bibliographic Information
      • Archive
    • Medicine International
      • Information for Authors
      • Editorial Policies
      • Editorial Board
      • Aims and Scope
      • Abstracting and Indexing
      • Bibliographic Information
      • Archive
    • Molecular and Clinical Oncology
      • Information for Authors
      • Editorial Policies
      • Editorial Board
      • Aims and Scope
      • Abstracting and Indexing
      • Bibliographic Information
      • Archive
    • Molecular Medicine Reports
      • Information for Authors
      • Editorial Policies
      • Editorial Board
      • Aims and Scope
      • Abstracting and Indexing
      • Bibliographic Information
      • Archive
    • Oncology Letters
      • Information for Authors
      • Editorial Policies
      • Editorial Board
      • Aims and Scope
      • Abstracting and Indexing
      • Bibliographic Information
      • Archive
    • Oncology Reports
      • Information for Authors
      • Editorial Policies
      • Editorial Board
      • Aims and Scope
      • Abstracting and Indexing
      • Bibliographic Information
      • Archive
    • World Academy of Sciences Journal
      • Information for Authors
      • Editorial Policies
      • Editorial Board
      • Aims and Scope
      • Abstracting and Indexing
      • Bibliographic Information
      • Archive
  • Articles
  • Information
    • For Authors
    • For Reviewers
    • For Librarians
    • For Advertisers
    • Conferences
  • Language Editing
Login Register Submit
  • This site uses cookies
  • You can change your cookie settings at any time by following the instructions in our Cookie Policy. To find out more, you may read our Privacy Policy.

    I agree
Search articles by DOI, keyword, author or affiliation
Search
Advanced Search
presentation
Oncology Letters
Join Editorial Board Propose a Special Issue
Print ISSN: 1792-1074 Online ISSN: 1792-1082
Journal Cover
May-2025 Volume 29 Issue 5

Full Size Image

Sign up for eToc alerts
Recommend to Library

Journals

International Journal of Molecular Medicine

International Journal of Molecular Medicine

International Journal of Molecular Medicine is an international journal devoted to molecular mechanisms of human disease.

International Journal of Oncology

International Journal of Oncology

International Journal of Oncology is an international journal devoted to oncology research and cancer treatment.

Molecular Medicine Reports

Molecular Medicine Reports

Covers molecular medicine topics such as pharmacology, pathology, genetics, neuroscience, infectious diseases, molecular cardiology, and molecular surgery.

Oncology Reports

Oncology Reports

Oncology Reports is an international journal devoted to fundamental and applied research in Oncology.

Experimental and Therapeutic Medicine

Experimental and Therapeutic Medicine

Experimental and Therapeutic Medicine is an international journal devoted to laboratory and clinical medicine.

Oncology Letters

Oncology Letters

Oncology Letters is an international journal devoted to Experimental and Clinical Oncology.

Biomedical Reports

Biomedical Reports

Explores a wide range of biological and medical fields, including pharmacology, genetics, microbiology, neuroscience, and molecular cardiology.

Molecular and Clinical Oncology

Molecular and Clinical Oncology

International journal addressing all aspects of oncology research, from tumorigenesis and oncogenes to chemotherapy and metastasis.

World Academy of Sciences Journal

World Academy of Sciences Journal

Multidisciplinary open-access journal spanning biochemistry, genetics, neuroscience, environmental health, and synthetic biology.

International Journal of Functional Nutrition

International Journal of Functional Nutrition

Open-access journal combining biochemistry, pharmacology, immunology, and genetics to advance health through functional nutrition.

International Journal of Epigenetics

International Journal of Epigenetics

Publishes open-access research on using epigenetics to advance understanding and treatment of human disease.

Medicine International

Medicine International

An International Open Access Journal Devoted to General Medicine.

Journal Cover
May-2025 Volume 29 Issue 5

Full Size Image

Sign up for eToc alerts
Recommend to Library

  • Article
  • Citations
    • Cite This Article
    • Download Citation
    • Create Citation Alert
    • Remove Citation Alert
    • Cited By
  • Similar Articles
    • Related Articles (in Spandidos Publications)
    • Similar Articles (Google Scholar)
    • Similar Articles (PubMed)
  • Download PDF
  • Download XML
  • View XML
Article Open Access

Predicting prognosis of patients with triple‑negative breast cancer undergoing neoadjuvant chemotherapy based on inflammatory status at different time points: A propensity score matching analysis

  • Authors:
    • Qian Guo
    • Bingping Wang
    • Xinran Gao
    • Pu Zhao
    • Shuang Lv
  • View Affiliations / Copyright

    Affiliations: Department of Breast Surgical Oncology, Inner Mongolia People's Hospital, Hohhot, Inner Mongolia Autonomous Region 010017, P.R. China, Department of Medical Oncology, Inner Mongolia People's Hospital, Hohhot, Inner Mongolia Autonomous Region 010017, P.R. China
    Copyright: © Guo et al. This is an open access article distributed under the terms of Creative Commons Attribution License.
  • Article Number: 252
    |
    Published online on: March 27, 2025
       https://doi.org/10.3892/ol.2025.14998
  • Expand metrics +
Metrics: Total Views: 0 (Spandidos Publications: | PMC Statistics: )
Metrics: Total PDF Downloads: 0 (Spandidos Publications: | PMC Statistics: )
Cited By (CrossRef): 0 citations Loading Articles...

This article is mentioned in:



Abstract

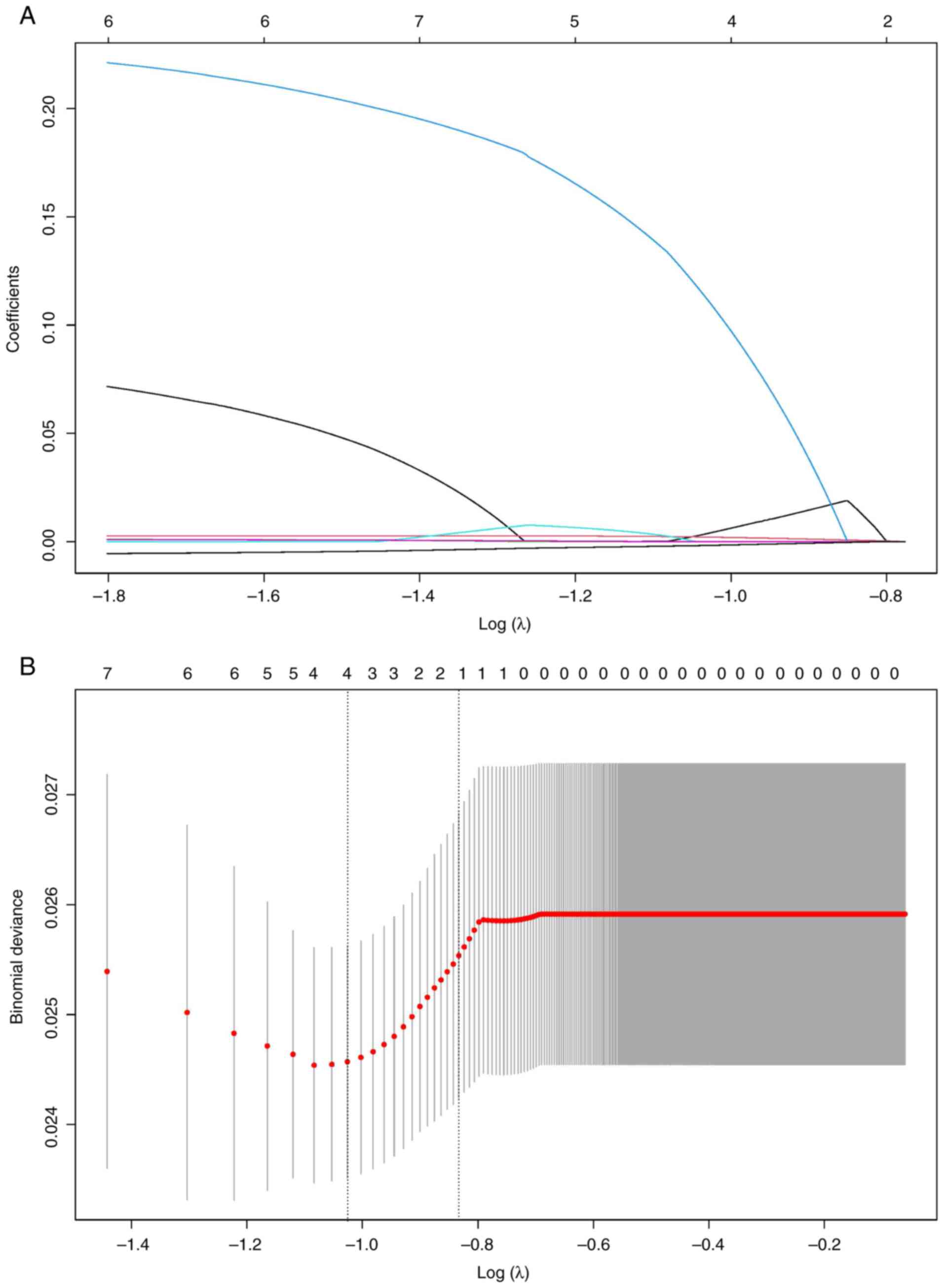
Triple‑negative breast cancer (TNBC) is a highly aggressive subtype of breast cancer with limited targeted treatment options, making the identification of reliable prognostic markers crucial for improving patient outcomes. The present study aimed to assess the predictive ability of pre‑chemotherapy and pre‑surgery inflammatory status on the prognosis of patients with TNBC undergoing neoadjuvant therapy. A total of 422 patients with TNBC who received neoadjuvant chemotherapy at the Inner Mongolia People's Hospital between January 2017 and December 2022 were selected for analysis. Fasting venous blood samples were collected 1 day prior to chemotherapy and 1 day prior to surgery to assess and calculate inflammatory markers, including the neutrophil‑to‑lymphocyte ratio (NLR), platelet‑to‑lymphocyte ratio (PLR), systemic immune‑inflammation index (SII) and systemic inflammation response index (SIRI). The optimal cut‑off values of the inflammatory markers were determined using receiver operating characteristic curves. Survival analysis was used to evaluate the differences in survival and significant prognostic factors. Propensity score matching (PSM) analysis was performed to further asses the prognostic value of the relevant factors. Survival analysis indicated that patients with high pre‑chemotherapy and pre‑surgery NLR, PLR, SII and SIRI scores exhibited shorter overall survival (OS) rates compared with those with low scores (all P<0.05). Multivariate analysis revealed that tumor‑node‑metastasis stage, pathological complete response and pre‑surgery SII were independent prognostic factors for OS. Following PSM, the area under the curve for SII was 0.642 and patients with high SII scores exhibited shorter OS rates than those with low scores (χ2=8.452; P=0.004). Therefore, these results indicated that both pre‑chemotherapy and pre‑surgery inflammatory statuses are associated with the OS of patients with TNBC undergoing neoadjuvant chemotherapy, notably pre‑surgery SII.
View Figures

Figure 1

Figure 2

Figure 3

Figure 4

View References

1 

Cao W, Chen HD, Yu YW, Li N and Chen WQ: Changing profiles of cancer burden worldwide and in China: A secondary analysis of the global cancer statistics 2020. Chin Med J (Engl). 134:783–791. 2021. View Article : Google Scholar : PubMed/NCBI

2 

Akram M, Iqbal M, Daniyal M and Khan AU: Awareness and current knowledge of breast cancer. Biol Res. 50:332017. View Article : Google Scholar : PubMed/NCBI

3 

Li Y, Zhang H, Merkher Y, Chen L, Liu N, Leonov S and Chen Y: Recent advances in therapeutic strategies for triple-negative breast cancer. J Hematol Oncol. 15:1212022. View Article : Google Scholar : PubMed/NCBI

4 

Sukumar J, Gast K, Quiroga D, Lustberg M and Williams N: Triple-negative breast cancer: Promising prognostic biomarkers currently in development. Expert Rev Anticancer Ther. 21:135–148. 2021. View Article : Google Scholar : PubMed/NCBI

5 

Poggio F, Bruzzone M, Ceppi M, Pondé NF, La Valle G, Del Mastro L, de Azambuja E and Lambertini M: Platinum-based neoadjuvant chemotherapy in triple-negative breast cancer: A systematic review and meta-analysis. Ann Oncol. 29:1497–1508. 2018. View Article : Google Scholar : PubMed/NCBI

6 

Schmid P, Salgado R, Park YH, Muñoz-Couselo E, Kim SB, Sohn J, Im SA, Foukakis T, Kuemmel S, Dent R, et al: Pembrolizumab plus chemotherapy as neoadjuvant treatment of high-risk, early-stage triple-negative breast cancer: Results from the phase 1b open-label, multicohort KEYNOTE-173 study. Ann Oncol. 31:569–581. 2020. View Article : Google Scholar : PubMed/NCBI

7 

Gianni L, Huang CS, Egle D, Bermejo B, Zamagni C, Thill M, Anton A, Zambelli S, Bianchini G, Russo S, et al: Pathologic complete response (pCR) to neoadjuvant treatment with or without atezolizumab in triple-negative, early high-risk and locally advanced breast cancer: NeoTRIP Michelangelo randomized study. Ann Oncol. 33:534–543. 2022. View Article : Google Scholar : PubMed/NCBI

8 

Zhang Y, Song M, Yang Z, Huang X, Lin Y and Yang H: Healthy lifestyles, systemic inflammation and breast cancer risk: A mediation analysis. BMC Cancer. 24:2082024. View Article : Google Scholar : PubMed/NCBI

9 

Grassadonia A, Graziano V, Iezzi L, Vici P, Barba M, Pizzuti L, Cicero G, Krasniqi E, Mazzotta M, Marinelli D, et al: Prognostic relevance of neutrophil to lymphocyte ratio (NLR) in luminal breast cancer: A retrospective analysis in the neoadjuvant setting. Cells. 10:16852021. View Article : Google Scholar : PubMed/NCBI

10 

Cupp MA, Cariolou M, Tzoulaki I, Aune D, Evangelou E and Berlanga-Taylor AJ: Neutrophil to lymphocyte ratio and cancer prognosis: An umbrella review of systematic reviews and meta-analyses of observational studies. BMC Med. 18:3602020. View Article : Google Scholar : PubMed/NCBI

11 

Yildirim S, Dogan A, Akdag G, Yüksel Yasar Z, Bal H, Kinikoglu O, Oksuz S, Ozkerim U, Tunbekici S, Yildiz HS, et al: The role of laboratory indices on treatment response and survival in breast cancer receiving neoadjuvant chemotherapy. Sci Rep. 14:121232024. View Article : Google Scholar : PubMed/NCBI

12 

Hortobagyi GN, Edge SB and Giuliano A: New and important changes in the TNM staging system for breast cancer. Am Soc Clin Oncol Educ Book. 38:457–467. 2018. View Article : Google Scholar : PubMed/NCBI

13 

Abusanad A: Utilizing peripheral blood inflammatory biomarker (PBIB) to predict response to systemic therapy in patients with breast cancer. J Family Med Prim Care. 12:3368–3373. 2023. View Article : Google Scholar : PubMed/NCBI

14 

Nambo-Venegas R, Enríquez-Cárcamo VI, Vela-Amieva M, Ibarra-González I, Lopez-Castro L, Cabrera-Nieto SA, Bargalló-Rocha JE, Villarreal-Garza CM, Mohar A, Palacios-González B, et al: A predictive model for neoadjuvant therapy response in breast cancer. Metabolomics. 21:282025. View Article : Google Scholar : PubMed/NCBI

15 

Kusama H, Kittaka N, Soma A, Taniguchi A, Kanaoka H, Nakajima S, Oyama Y, Seto Y, Okuno J, Watanabe N, et al: Predictive factors for response to neoadjuvant chemotherapy: Inflammatory and immune markers in triple-negative breast cancer. Breast Cancer. 30:1085–1093. 2023. View Article : Google Scholar : PubMed/NCBI

16 

Sun H, Liang J, Xue S, Zhang X, Ding M, Zhu J, Nanding A, Liu T, Lou G, Gao Y, et al: Establishment and clinical application of a prognostic index for inflammatory status in triple-negative breast cancer patients undergoing neoadjuvant therapy using machine learning. BMC Cancer. 24:15592024. View Article : Google Scholar : PubMed/NCBI

17 

Yamanouchi K and Maeda S: The efficacy of inflammatory and immune markers for predicting the prognosis of patients with stage IV breast cancer. Acta Med Okayama. 77:37–43. 2023.PubMed/NCBI

18 

Hua X, Long ZQ, Huang X, Deng JP, Wen W, He ZY, Guo L, Zhang WW and Lin HX: The preoperative systemic inflammation response index (SIRI) independently predicts survival in postmenopausal women with breast cancer. Curr Probl Cancer. 44:1005602020. View Article : Google Scholar : PubMed/NCBI

19 

Zhang Y, Sun Y and Zhang Q: Prognostic value of the systemic immune-inflammation index in patients with breast cancer: A meta-analysis. Cancer Cell Int. 20:2242020. View Article : Google Scholar : PubMed/NCBI

20 

Li W, Ma G, Deng Y, Chen W, Liu Z, Chen F and Wu Q: Systemic immune-inflammation index is a prognostic factor for breast cancer patients after curative resection. Front Oncol. 11:5702082021. View Article : Google Scholar : PubMed/NCBI

21 

Ji Y and Wang H: Prognostic prediction of systemic immune-inflammation index for patients with gynecological and breast cancers: A meta-analysis. World J Surg Oncol. 18:1972020. View Article : Google Scholar : PubMed/NCBI

22 

Ethier JL, Desautels D, Templeton A, Shah PS and Amir E: Prognostic role of neutrophil-to-lymphocyte ratio in breast cancer: A systematic review and meta-analysis. Breast Cancer Res. 19:22017. View Article : Google Scholar : PubMed/NCBI

23 

Polley MC, Leon-Ferre RA, Leung S, Cheng A, Gao D, Sinnwell J, Liu H, Hillman DW, Eyman-Casey A, Gilbert JA, et al: A clinical calculator to predict disease outcomes in women with triple-negative breast cancer. Breast Cancer Res Treat. 185:557–566. 2021. View Article : Google Scholar : PubMed/NCBI

24 

Liu J, Shi Z, Bai Y, Liu L and Cheng K: Prognostic significance of systemic immune-inflammation index in triple-negative breast cancer. Cancer Manag Res. 11:4471–4480. 2019. View Article : Google Scholar : PubMed/NCBI

25 

Wang P, Yue W, Li W, Luo Y, Li Z, Shao Y and He Z: Systemic immune-inflammation index and ultrasonographic classification of breast imaging-reporting and data system predict outcomes of triple-negative breast cancer. Cancer Manag Res. 11:813–819. 2019. View Article : Google Scholar : PubMed/NCBI

26 

Chen L, Kong X, Wang Z, Wang X, Fang Y and Wang J: Pretreatment systemic inflammation response index in patients with breast cancer treated with neoadjuvant chemotherapy as a useful prognostic indicator. Cancer Manag Res. 12:1543–1567. 2020. View Article : Google Scholar : PubMed/NCBI

27 

Jiang C, Zhang S, Qiao K, Xiu Y, Yu X and Huang Y: The pretreatment systemic inflammation response index as a useful prognostic factor is better than lymphocyte to monocyte ratio in breast cancer patients receiving neoadjuvant chemotherapy. Clin Breast Cancer. 22:424–438. 2022. View Article : Google Scholar : PubMed/NCBI

28 

Dong J, Sun Q, Pan Y, Lu N, Han X and Zhou Q: Pretreatment systemic inflammation response index is predictive of pathological complete response in patients with breast cancer receiving neoadjuvant chemotherapy. BMC Cancer. 21:7002021. View Article : Google Scholar : PubMed/NCBI

29 

Chen M, Linstra R and van Vugt MATM: Genomic instability, inflammatory signaling and response to cancer immunotherapy. Biochim Biophys Acta Rev Cancer. 1877:1886612022. View Article : Google Scholar : PubMed/NCBI

30 

Ozga AJ, Chow MT and Luster AD: Chemokines and the immune response to cancer. Immunity. 54:859–874. 2021. View Article : Google Scholar : PubMed/NCBI

31 

Dikiy S and Rudensky AY: Principles of regulatory T cell function. Immunity. 56:240–255. 2023. View Article : Google Scholar : PubMed/NCBI

32 

Propper DJ and Balkwill FR: Harnessing cytokines and chemokines for cancer therapy. Nat Rev Clin Oncol. 19:237–253. 2022. View Article : Google Scholar : PubMed/NCBI

33 

Liu C, Chu D, Kalantar-Zadeh K, George J, Young HA and Liu G: Cytokines: From clinical significance to quantification. Adv Sci (Weinh). 8:20044332021. View Article : Google Scholar : PubMed/NCBI

34 

Qiu Y, Su M, Liu L, Tang Y, Pan Y and Sun J: Clinical application of cytokines in cancer immunotherapy. Drug Des Devel Ther. 15:2269–2287. 2021. View Article : Google Scholar : PubMed/NCBI

35 

Nicolas AM, Pesic M, Engel E, Ziegler PK, Diefenhardt M, Kennel KB, Buettner F, Conche C, Petrocelli V, Elwakeel E, et al: Inflammatory fibroblasts mediate resistance to neoadjuvant therapy in rectal cancer. Cancer Cell. 40:168–184. e132022. View Article : Google Scholar : PubMed/NCBI

36 

Cheng X, Zhang H, Hamad A, Huang H and Tsung A: Surgery-mediated tumor-promoting effects on the immune microenvironment. Semin Cancer Biol. 86((Pt 3)): 408–419. 2022. View Article : Google Scholar : PubMed/NCBI

37 

Takada M and Toi M: Neoadjuvant treatment for HER2-positive breast cancer. Chin Clin Oncol. 9:322020. View Article : Google Scholar : PubMed/NCBI

38 

Cho U, Park HS, Im SY, Yoo CY, Jung JH, Suh YJ and Choi HJ: Prognostic value of systemic inflammatory markers and development of a nomogram in breast cancer. PLoS One. 13:e02009362018. View Article : Google Scholar : PubMed/NCBI

39 

Zhou N, Liu L, Li D, Zeng Q and Song X: VCS parameters of neutrophils, monocytes and lymphocytes may indicate local bacterial infection in cancer patients who accepted cytotoxic chemotherapeutics. Eur J Clin Microbiol Infect Dis. 35:41–48. 2016. View Article : Google Scholar : PubMed/NCBI

40 

Jeong J, Suh Y and Jung K: Context drives diversification of monocytes and neutrophils in orchestrating the tumor microenvironment. Front Immunol. 10:18172019. View Article : Google Scholar : PubMed/NCBI

41 

Sun H, Wang H, Pan H, Zuo Y, Zhao R, Huang R, Xue Y and Song H: CD19 (+) B cell combined with prognostic nutritional index predicts the clinical outcomes of patients with gastric cancer who underwent surgery. Cancers (Basel). 15:25312023. View Article : Google Scholar : PubMed/NCBI

42 

Tan S, Li D and Zhu X: Cancer immunotherapy: Pros, cons and beyond. Biomed Pharmacother. 124:1098212020. View Article : Google Scholar : PubMed/NCBI

43 

Xie T, Huang AL, Xiang LY, Xue HC, Chen ZZ, Ma AL, Yan HL and Yuan JP: Value of the deep learning automated quantification of tumor-stroma ratio in predicting efficacy and prognosis of neoadjuvant therapy for breast cancer based on residual cancer burden grading. Zhonghua Bing Li Xue Za Zhi. 54:59–65. 2025.(In Chinese). PubMed/NCBI

44 

Yu Y, Wu S, Xing H, Han M, Li J and Liu Y: Development and validation of a novel model for predicting prognosis of Non-PCR patients after neoadjuvant therapy for breast cancer. Front Oncol. 11:6755332021. View Article : Google Scholar : PubMed/NCBI

45 

Gass P, Lux MP, Rauh C, Hein A, Bani MR, Fiessler C, Hartmann A, Häberle L, Pretscher J, Erber R, et al: Prediction of pathological complete response and prognosis in patients with neoadjuvant treatment for triple-negative breast cancer. BMC Cancer. 18:10512018. View Article : Google Scholar : PubMed/NCBI

Related Articles

  • Abstract
  • View
  • Download
  • Twitter
Copy and paste a formatted citation
Spandidos Publications style
Guo Q, Wang B, Gao X, Zhao P and Lv S: Predicting prognosis of patients with triple‑negative breast cancer undergoing neoadjuvant chemotherapy based on inflammatory status at different time points: A propensity score matching analysis. Oncol Lett 29: 252, 2025.
APA
Guo, Q., Wang, B., Gao, X., Zhao, P., & Lv, S. (2025). Predicting prognosis of patients with triple‑negative breast cancer undergoing neoadjuvant chemotherapy based on inflammatory status at different time points: A propensity score matching analysis. Oncology Letters, 29, 252. https://doi.org/10.3892/ol.2025.14998
MLA
Guo, Q., Wang, B., Gao, X., Zhao, P., Lv, S."Predicting prognosis of patients with triple‑negative breast cancer undergoing neoadjuvant chemotherapy based on inflammatory status at different time points: A propensity score matching analysis". Oncology Letters 29.5 (2025): 252.
Chicago
Guo, Q., Wang, B., Gao, X., Zhao, P., Lv, S."Predicting prognosis of patients with triple‑negative breast cancer undergoing neoadjuvant chemotherapy based on inflammatory status at different time points: A propensity score matching analysis". Oncology Letters 29, no. 5 (2025): 252. https://doi.org/10.3892/ol.2025.14998
Copy and paste a formatted citation
x
Spandidos Publications style
Guo Q, Wang B, Gao X, Zhao P and Lv S: Predicting prognosis of patients with triple‑negative breast cancer undergoing neoadjuvant chemotherapy based on inflammatory status at different time points: A propensity score matching analysis. Oncol Lett 29: 252, 2025.
APA
Guo, Q., Wang, B., Gao, X., Zhao, P., & Lv, S. (2025). Predicting prognosis of patients with triple‑negative breast cancer undergoing neoadjuvant chemotherapy based on inflammatory status at different time points: A propensity score matching analysis. Oncology Letters, 29, 252. https://doi.org/10.3892/ol.2025.14998
MLA
Guo, Q., Wang, B., Gao, X., Zhao, P., Lv, S."Predicting prognosis of patients with triple‑negative breast cancer undergoing neoadjuvant chemotherapy based on inflammatory status at different time points: A propensity score matching analysis". Oncology Letters 29.5 (2025): 252.
Chicago
Guo, Q., Wang, B., Gao, X., Zhao, P., Lv, S."Predicting prognosis of patients with triple‑negative breast cancer undergoing neoadjuvant chemotherapy based on inflammatory status at different time points: A propensity score matching analysis". Oncology Letters 29, no. 5 (2025): 252. https://doi.org/10.3892/ol.2025.14998
Follow us
  • Twitter
  • LinkedIn
  • Facebook
About
  • Spandidos Publications
  • Careers
  • Cookie Policy
  • Privacy Policy
How can we help?
  • Help
  • Live Chat
  • Contact
  • Email to our Support Team