Spandidos Publications Logo
  • About
    • About Spandidos
    • Aims and Scopes
    • Abstracting and Indexing
    • Editorial Policies
    • Reprints and Permissions
    • Job Opportunities
    • Terms and Conditions
    • Contact
  • Journals
    • All Journals
    • Oncology Letters
      • Oncology Letters
      • Information for Authors
      • Editorial Policies
      • Editorial Board
      • Aims and Scope
      • Abstracting and Indexing
      • Bibliographic Information
      • Archive
    • International Journal of Oncology
      • International Journal of Oncology
      • Information for Authors
      • Editorial Policies
      • Editorial Board
      • Aims and Scope
      • Abstracting and Indexing
      • Bibliographic Information
      • Archive
    • Molecular and Clinical Oncology
      • Molecular and Clinical Oncology
      • Information for Authors
      • Editorial Policies
      • Editorial Board
      • Aims and Scope
      • Abstracting and Indexing
      • Bibliographic Information
      • Archive
    • Experimental and Therapeutic Medicine
      • Experimental and Therapeutic Medicine
      • Information for Authors
      • Editorial Policies
      • Editorial Board
      • Aims and Scope
      • Abstracting and Indexing
      • Bibliographic Information
      • Archive
    • International Journal of Molecular Medicine
      • International Journal of Molecular Medicine
      • Information for Authors
      • Editorial Policies
      • Editorial Board
      • Aims and Scope
      • Abstracting and Indexing
      • Bibliographic Information
      • Archive
    • Biomedical Reports
      • Biomedical Reports
      • Information for Authors
      • Editorial Policies
      • Editorial Board
      • Aims and Scope
      • Abstracting and Indexing
      • Bibliographic Information
      • Archive
    • Oncology Reports
      • Oncology Reports
      • Information for Authors
      • Editorial Policies
      • Editorial Board
      • Aims and Scope
      • Abstracting and Indexing
      • Bibliographic Information
      • Archive
    • Molecular Medicine Reports
      • Molecular Medicine Reports
      • Information for Authors
      • Editorial Policies
      • Editorial Board
      • Aims and Scope
      • Abstracting and Indexing
      • Bibliographic Information
      • Archive
    • World Academy of Sciences Journal
      • World Academy of Sciences Journal
      • Information for Authors
      • Editorial Policies
      • Editorial Board
      • Aims and Scope
      • Abstracting and Indexing
      • Bibliographic Information
      • Archive
    • International Journal of Functional Nutrition
      • International Journal of Functional Nutrition
      • Information for Authors
      • Editorial Policies
      • Editorial Board
      • Aims and Scope
      • Abstracting and Indexing
      • Bibliographic Information
      • Archive
    • International Journal of Epigenetics
      • International Journal of Epigenetics
      • Information for Authors
      • Editorial Policies
      • Editorial Board
      • Aims and Scope
      • Abstracting and Indexing
      • Bibliographic Information
      • Archive
    • Medicine International
      • Medicine International
      • Information for Authors
      • Editorial Policies
      • Editorial Board
      • Aims and Scope
      • Abstracting and Indexing
      • Bibliographic Information
      • Archive
  • Articles
  • Information
    • Information for Authors
    • Information for Reviewers
    • Information for Librarians
    • Information for Advertisers
    • Conferences
  • Language Editing
Spandidos Publications Logo
  • About
    • About Spandidos
    • Aims and Scopes
    • Abstracting and Indexing
    • Editorial Policies
    • Reprints and Permissions
    • Job Opportunities
    • Terms and Conditions
    • Contact
  • Journals
    • All Journals
    • Biomedical Reports
      • Information for Authors
      • Editorial Policies
      • Editorial Board
      • Aims and Scope
      • Abstracting and Indexing
      • Bibliographic Information
      • Archive
    • Experimental and Therapeutic Medicine
      • Information for Authors
      • Editorial Policies
      • Editorial Board
      • Aims and Scope
      • Abstracting and Indexing
      • Bibliographic Information
      • Archive
    • International Journal of Epigenetics
      • Information for Authors
      • Editorial Policies
      • Editorial Board
      • Aims and Scope
      • Abstracting and Indexing
      • Bibliographic Information
      • Archive
    • International Journal of Functional Nutrition
      • Information for Authors
      • Editorial Policies
      • Editorial Board
      • Aims and Scope
      • Abstracting and Indexing
      • Bibliographic Information
      • Archive
    • International Journal of Molecular Medicine
      • Information for Authors
      • Editorial Policies
      • Editorial Board
      • Aims and Scope
      • Abstracting and Indexing
      • Bibliographic Information
      • Archive
    • International Journal of Oncology
      • Information for Authors
      • Editorial Policies
      • Editorial Board
      • Aims and Scope
      • Abstracting and Indexing
      • Bibliographic Information
      • Archive
    • Medicine International
      • Information for Authors
      • Editorial Policies
      • Editorial Board
      • Aims and Scope
      • Abstracting and Indexing
      • Bibliographic Information
      • Archive
    • Molecular and Clinical Oncology
      • Information for Authors
      • Editorial Policies
      • Editorial Board
      • Aims and Scope
      • Abstracting and Indexing
      • Bibliographic Information
      • Archive
    • Molecular Medicine Reports
      • Information for Authors
      • Editorial Policies
      • Editorial Board
      • Aims and Scope
      • Abstracting and Indexing
      • Bibliographic Information
      • Archive
    • Oncology Letters
      • Information for Authors
      • Editorial Policies
      • Editorial Board
      • Aims and Scope
      • Abstracting and Indexing
      • Bibliographic Information
      • Archive
    • Oncology Reports
      • Information for Authors
      • Editorial Policies
      • Editorial Board
      • Aims and Scope
      • Abstracting and Indexing
      • Bibliographic Information
      • Archive
    • World Academy of Sciences Journal
      • Information for Authors
      • Editorial Policies
      • Editorial Board
      • Aims and Scope
      • Abstracting and Indexing
      • Bibliographic Information
      • Archive
  • Articles
  • Information
    • For Authors
    • For Reviewers
    • For Librarians
    • For Advertisers
    • Conferences
  • Language Editing
Login Register Submit
  • This site uses cookies
  • You can change your cookie settings at any time by following the instructions in our Cookie Policy. To find out more, you may read our Privacy Policy.

    I agree
Search articles by DOI, keyword, author or affiliation
Search
Advanced Search
presentation
Oncology Letters
Join Editorial Board Propose a Special Issue
Print ISSN: 1792-1074 Online ISSN: 1792-1082
Journal Cover
July-2025 Volume 30 Issue 1

Full Size Image

Sign up for eToc alerts
Recommend to Library

Journals

International Journal of Molecular Medicine

International Journal of Molecular Medicine

International Journal of Molecular Medicine is an international journal devoted to molecular mechanisms of human disease.

International Journal of Oncology

International Journal of Oncology

International Journal of Oncology is an international journal devoted to oncology research and cancer treatment.

Molecular Medicine Reports

Molecular Medicine Reports

Covers molecular medicine topics such as pharmacology, pathology, genetics, neuroscience, infectious diseases, molecular cardiology, and molecular surgery.

Oncology Reports

Oncology Reports

Oncology Reports is an international journal devoted to fundamental and applied research in Oncology.

Experimental and Therapeutic Medicine

Experimental and Therapeutic Medicine

Experimental and Therapeutic Medicine is an international journal devoted to laboratory and clinical medicine.

Oncology Letters

Oncology Letters

Oncology Letters is an international journal devoted to Experimental and Clinical Oncology.

Biomedical Reports

Biomedical Reports

Explores a wide range of biological and medical fields, including pharmacology, genetics, microbiology, neuroscience, and molecular cardiology.

Molecular and Clinical Oncology

Molecular and Clinical Oncology

International journal addressing all aspects of oncology research, from tumorigenesis and oncogenes to chemotherapy and metastasis.

World Academy of Sciences Journal

World Academy of Sciences Journal

Multidisciplinary open-access journal spanning biochemistry, genetics, neuroscience, environmental health, and synthetic biology.

International Journal of Functional Nutrition

International Journal of Functional Nutrition

Open-access journal combining biochemistry, pharmacology, immunology, and genetics to advance health through functional nutrition.

International Journal of Epigenetics

International Journal of Epigenetics

Publishes open-access research on using epigenetics to advance understanding and treatment of human disease.

Medicine International

Medicine International

An International Open Access Journal Devoted to General Medicine.

Journal Cover
July-2025 Volume 30 Issue 1

Full Size Image

Sign up for eToc alerts
Recommend to Library

  • Article
  • Citations
    • Cite This Article
    • Download Citation
    • Create Citation Alert
    • Remove Citation Alert
    • Cited By
  • Similar Articles
    • Related Articles (in Spandidos Publications)
    • Similar Articles (Google Scholar)
    • Similar Articles (PubMed)
  • Download PDF
  • Download XML
  • View XML
Article Open Access

Utility of the CPS + EG score with real‑life data in patients with breast cancer undergoing neoadjuvant chemotherapy

  • Authors:
    • Ezgi Yildiz Yurekli
    • Seval Akay
    • Olcun Umit Unal
  • View Affiliations / Copyright

    Affiliations: Department of Internal Medicine, Izmir Tepecik Education and Research Hospital, Konak, Izmir 35020, Turkey, Department of Medical Oncology, Izmir City Hospital, Bornova, Izmir 35540, Turkey
    Copyright: © Yildiz Yurekli et al. This is an open access article distributed under the terms of Creative Commons Attribution License.
  • Article Number: 345
    |
    Published online on: May 15, 2025
       https://doi.org/10.3892/ol.2025.15091
  • Expand metrics +
Metrics: Total Views: 0 (Spandidos Publications: | PMC Statistics: )
Metrics: Total PDF Downloads: 0 (Spandidos Publications: | PMC Statistics: )
Cited By (CrossRef): 0 citations Loading Articles...

This article is mentioned in:



Abstract

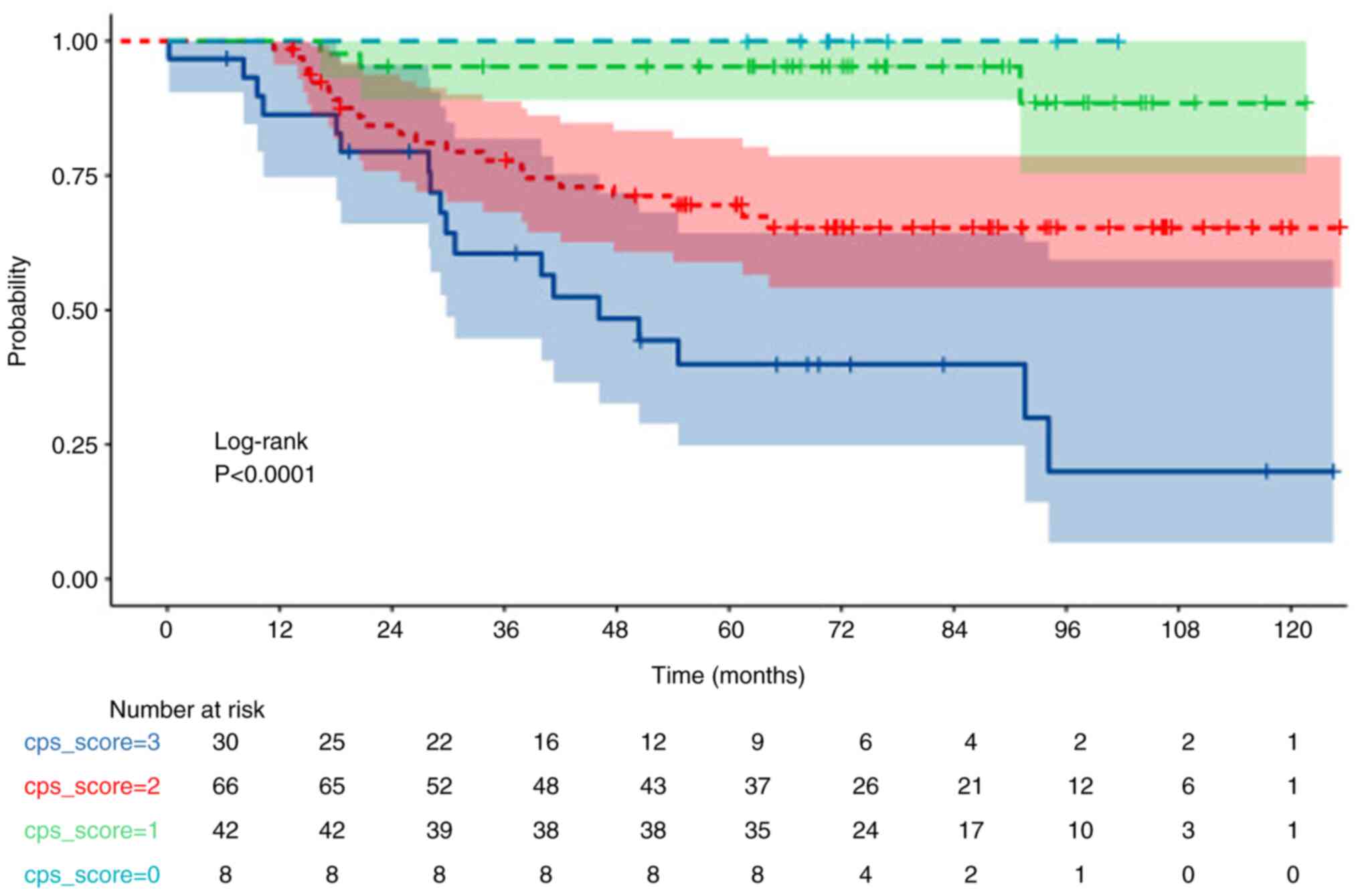
Breast cancer is the most common type of cancer in women, and predicting disease progression through CPS and EG scoring is important for treatment and prognosis, especially after neoadjuvant chemotherapy. The present study aimed to evaluate the association between the clinical and pathological stage (CPS) + estrogen receptor status and histologic grade (EG) score and disease‑free survival (DFS) and overall survival (OS) in patients with breast cancer undergoing neoadjuvant chemotherapy. Data from 148 patients with breast cancer who were treated with neoadjuvant chemotherapy in the Medical Oncology Clinic of Izmir Tepecik Training and Research Hospital between 2013‑2018 were analyzed. The following variables were assessed: Demographic characteristics, tumor size, clinical staging, estrogen receptor status, tumor nuclear grade in biopsy material and postoperative pathological staging. CPS + EG scores were calculated using simultaneous estrogen receptor status and tumor nuclear grade parameters, which were developed using the Neoadjuvant Therapy Outcomes Calculator Software of the MD Anderson Cancer Center. The 5‑year OS and DFS rates were evaluated, and the 5‑year follow‑up of the patients was analyzed. The median follow‑up period was 76.5 months, and the median survival time was 104.1 months. The pathological complete response (pCR) rate was 23.6%. Patients with a pCR were revealed to have a significantly higher DFS rate compared with the non‑pCR group (P=0.038). A significant decline in DFS was also demonstrated with increasing CPS + EG scores (P<0.001). Moreover, a CPS score of 3‑4 (P<0.001) and a CPS + EG score of 3‑4‑5 (P<0.001) were significantly associated with a worse OS. In conclusion, the relationship between the CPS + EG score and survival is apparent in the real‑world data in the present study. As the score increases, both the probability of recovery and OS decrease. Furthermore, the CPS + EG scoring system is an easy, free and accessible method to estimate prognosis.
View Figures

Figure 1

Figure 2

Figure 3

Figure 4

Figure 5

Figure 6

Figure 7

Figure 8

View References

1 

Siegel RL, Miller KD, Wagle NS and Jemal A: Cancer statistics, 2023. CA Cancer J Clin. 73:17–48. 2023. View Article : Google Scholar : PubMed/NCBI

2 

The International Agency for Research on Cancer, . Breast Fact Sheet. 2020.

3 

Urut DU, Karabulut D, Hereklioglu S, Özdemir G, Cicin BA, Hacıoglu B, Süt N and Tunçbilek N: Diffusion tensor imaging: Survival analysis prediction in breast cancer patients. Radiologie (Heidelb). 64 (Suppl 1):S54–S59. 2024. View Article : Google Scholar

4 

van der Meer DJ, Kramer I, van Maaren MC, van Diest PJ, C Linn S, Maduro JH, J A Strobbe L, Siesling S, Schmidt MK and Voogd AC: Comprehensive trends in incidence, treatment, survival and mortality of first primary invasive breast cancer stratified by age, stage and receptor subtype in the Netherlands between 1989 and 2017. Int J Cancer. 148:2289–2303. 2021. View Article : Google Scholar : PubMed/NCBI

5 

Giuliano AE, Edge SB and Hortobagyi GN: Eighth edition of the AJCC cancer staging manual: Breast cancer. Ann Surg Oncol. 25:1783–1785. 2018. View Article : Google Scholar : PubMed/NCBI

6 

Simon RM, Paik S and Hayes DF: Use of archived specimens in evaluation of prognostic and predictive biomarkers. J Natl Cancer Inst. 101:1446–1452. 2009. View Article : Google Scholar : PubMed/NCBI

7 

Elston CW and Ellis IO: Pathological prognostic factors in breast cancer. I. The value of histological grade in breast cancer: Experience from a large study with long-term follow-up. Histopathology. 19:403–410. 1991. View Article : Google Scholar : PubMed/NCBI

8 

Rakha EA, El-Sayed ME, Lee AH, Elston CW, Grainge MJ, Hodi Z, Blamey RW and Ellis IO: Prognostic significance of Nottingham histologic grade in invasive breast carcinoma. J Clin Oncol. 26:3153–3158. 2008. View Article : Google Scholar : PubMed/NCBI

9 

Jeruss JS, Mittendorf EA, Tucker SL, Gonzalez-Angulo AM, Buchholz TA, Sahin AA, Cormier JN, Buzdar AU, Hortobagyi GN and Hunt KK: Staging of breast cancer in the neoadjuvant setting. Cancer Res. 68:6477–6481. 2008. View Article : Google Scholar : PubMed/NCBI

10 

Mittendorf EA, Jeruss JS, Tucker SL, Kolli A, Newman LA, Gonzalez-Angulo AM, Buchholz TA, Sahin AA, Cormier JN, Buzdar AU, et al: Validation of a novel staging system for disease-specific survival in patients with breast cancer treated with neoadjuvant chemotherapy. J Clin Oncol. 29:1956–1962. 2011. View Article : Google Scholar : PubMed/NCBI

11 

Pollak KI, Arnold RM, Jeffreys AS, Alexander SC, Olsen MK, Abernethy AP, Sugg Skinner C, Rodriguez KL and Tulsky JA: Oncologist communication about emotion during visits with patients with advanced cancer. J Clin Oncol. 25:5748–5752. 2007. View Article : Google Scholar : PubMed/NCBI

12 

Altman DG and Royston P: What do we mean by validating a prognostic model? Stat Med. 19:453–473. 2000. View Article : Google Scholar : PubMed/NCBI

13 

Hortobagyi GN, Edge SB and Giuliano A: New and important changes in the TNM staging system for breast cancer. Am Soc Clin Oncol Educ Book. 38:457–467. 2018. View Article : Google Scholar : PubMed/NCBI

14 

Febbo PG, Ladanyi M, Aldape KD, De Marzo AM, Hammond ME, Hayes DF, Iafrate AJ, Kelley RK, Marcucci G, Ogino S, et al: NCCN Task Force report: Evaluating the clinical utility of tumor markers in oncology. J Natl Compr Canc Netw. 9 (Suppl 5):S1–S32. 2011. View Article : Google Scholar

15 

Phung MT, Tin Tin S and Elwood JM: Prognostic models for breast cancer: A systematic review. BMC Cancer. 19:2302019. View Article : Google Scholar : PubMed/NCBI

16 

Clift AK, Dodwell D, Lord S, Petrou S, Brady M, Collins GS and Hippisley-Cox J: Development and internal-external validation of statistical and machine learning models for breast cancer prognostication: Cohort study. BMJ. 381:e0738002023. View Article : Google Scholar : PubMed/NCBI

17 

Rakha EA, Soria D, Green AR, Lemetre C, Powe DG, Nolan CC, Garibaldi JM, Ball G and Ellis IO: Nottingham prognostic index plus (NPI+): A modern clinical decision making tool in breast cancer. Br J Cancer. 110:1688–1697. 2014. View Article : Google Scholar : PubMed/NCBI

18 

Gray E, Donten A, Payne K and Hall PS: Survival estimates stratified by the Nottingham Prognostic Index for early breast cancer: A systematic review and meta-analysis of observational studies. Syst Rev. 7:1422018. View Article : Google Scholar : PubMed/NCBI

19 

Hawkins RA, Tesdale AL, Prescott RJ, Forster T, McIntyre MA, Baker P, Jack WJ, Chetty U, Dixon JM, Killen ME, et al: Outcome after extended follow-up in a prospective study of operable breast cancer: Key factors and a prognostic index. Br J Cancer. 87:8–14. 2002. View Article : Google Scholar : PubMed/NCBI

20 

Vila J, Teshome M, Tucker SL, Woodward WA, Chavez-MacGregor M, Hunt KK and Mittendorf EA: Combining clinical and pathologic staging variables has prognostic value in predicting Local-regional recurrence following neoadjuvant chemotherapy for breast cancer. Ann Surg. 265:574–580. 2017. View Article : Google Scholar : PubMed/NCBI

21 

Marmé F, Solbach C, Michel L, Schneeweiss A, Blohmer JU, Huober J, Fasching PA, Jackisch C, Nekljudova V, Link T, et al: Utility of the CPS+ EG scoring system in triple-negative breast cancer treated with neoadjuvant chemotherapy. Eur J Cancer. 153:203–212. 2021. View Article : Google Scholar : PubMed/NCBI

22 

Song R, Lee DE, Lee EG, Lee S, Kang HS, Han JH, Lee KS, Sim SH, Chae H, Kwon Y, et al: Clinicopathological factors associated with oncotype DX risk group in patients with ER+/HER2-Breast cancer. Cancers (Basel). 15:44512023. View Article : Google Scholar : PubMed/NCBI

23 

Yabroff KR, Sylvia Shi K, Zhao J, Freedman AN, Zheng Z, Nogueira L and de Moor JS: Importance of patient health ınsurance coverage and Out-of-Pocket costs for genomic testing in oncologists' Treatment decisions. JCO Oncol Pract. 20:429–437. 2024. View Article : Google Scholar : PubMed/NCBI

24 

Taylor C, McGale P, Probert J, Broggio J, Charman J, Darby SC, Kerr AJ, Whelan T, Cutter DJ, Mannu G and Dodwell D: Breast cancer mortality in 500 000 women with early invasive breast cancer diagnosed in England, 1993–2015: Population based observational cohort study. BMJ. 381:e0746842023. View Article : Google Scholar : PubMed/NCBI

25 

Blows FM, Driver KE, Schmidt MK, Broeks A, van Leeuwen FE, Wesseling J, Cheang MC, Gelmon K, Nielsen TO, Blomqvist C, et al: Subtyping of breast cancer by immunohistochemistry to investigate a relationship between subtype and short and long term survival: A collaborative analysis of data for 10,159 cases from 12 studies. PLoS Med. 7:e10002792010. View Article : Google Scholar : PubMed/NCBI

26 

Kulturoglu MO, Aydın F, Aslan F, Sagdic MF, Coskun O and Dogan L: The rush to evaluate response at the end of treatment in breast cancer patients who received neoadjuvant treatment: Which tests are effective in the selection of surgical technique? Asian Pac J Cancer Prev. 26:619–624. 2025. View Article : Google Scholar : PubMed/NCBI

27 

Cortazar P, Zhang L, Untch M, Mehta K, Costantino JP, Wolmark N, Bonnefoi H, Cameron D, Gianni L, Valagussa P, et al: Pathological complete response and long-term clinical benefit in breast cancer: The CTNeoBC pooled analysis. Lancet. 384:164–172. 2014. View Article : Google Scholar : PubMed/NCBI

28 

Tayebi A, TizMaghz A, Gorjizad M, Tavasol A, Tajaddini A, Rashnoo F, Vakili K, Behmanesh M, Olamaeian F and Ashoori M: Evaluating the effect of neoadjuvant chemotherapy on surgical outcomes in breast cancer patients: A systematic review study. J Chemother. February 28;(Epub ahead of print). PubMed/NCBI

29 

Roussot N, Constantin G, Desmoulins I, Bergeron A, Arnould L, Beltjens F, Mayeur D, Kaderbhai C, Hennequin A, Jankowski C, et al: Prognostic stratification ability of the CPS+EG scoring system in HER2-low and HER2-zero early breast cancer treated with neoadjuvant chemotherapy. Eur J Cancer. 202:1140372024. View Article : Google Scholar : PubMed/NCBI

30 

von Minckwitz G, Untch M, Blohmer JU, Costa SD, Eidtmann H, Fasching PA, Gerber B, Eiermann W, Hilfrich J, Huober J, et al: Definition and impact of pathologic complete response on prognosis after neoadjuvant chemotherapy in various intrinsic breast cancer subtypes. J Clin Oncol. 30:1796–804. 2012. View Article : Google Scholar : PubMed/NCBI

31 

Rhodes S, Miller DG and Chino F: ‘When Less is More’: Paradigm shifts in radiation treatment for Early-stage breast cancer. Curr Treat Options Oncol. 25:1495–1505. 2024. View Article : Google Scholar : PubMed/NCBI

32 

Michel LL, Sommer L, González Silos R, Lorenzo Bermejo J, von Au A, Seitz J, Hennigs A, Smetanay K, Golatta M, Heil J, et al: Locoregional risk assessment after neoadjuvant chemotherapy in patients with primary breast cancer: Clinical utility of the CPS + EG score. Breast Cancer Res Treat. 177:437–446. 2019. View Article : Google Scholar : PubMed/NCBI

33 

Fredholm H, Eaker S, Frisell J, Holmberg L, Fredriksson I and Lindman H: Breast cancer in young women: Poor survival despite intensive treatment. PLoS One. 4:e76952009. View Article : Google Scholar : PubMed/NCBI

34 

Bastiaannet E, Liefers GJ, de Craen AJ, Kuppen PJ, van de Water W, Portielje JE, van der Geest LG, Janssen-Heijnen ML, Dekkers OM, van de Velde CJ and Westendorp RG: Breast cancer in elderly compared to younger patients in the Netherlands: Stage at diagnosis, treatment and survival in 127,805 unselected patients. Breast Cancer Res Treat. 124:801–807. 2010. View Article : Google Scholar : PubMed/NCBI

Related Articles

  • Abstract
  • View
  • Download
  • Twitter
Copy and paste a formatted citation
Spandidos Publications style
Yildiz Yurekli E, Akay S and Unal OU: Utility of the CPS + EG score with real‑life data in patients with breast cancer undergoing neoadjuvant chemotherapy. Oncol Lett 30: 345, 2025.
APA
Yildiz Yurekli, E., Akay, S., & Unal, O.U. (2025). Utility of the CPS + EG score with real‑life data in patients with breast cancer undergoing neoadjuvant chemotherapy. Oncology Letters, 30, 345. https://doi.org/10.3892/ol.2025.15091
MLA
Yildiz Yurekli, E., Akay, S., Unal, O. U."Utility of the CPS + EG score with real‑life data in patients with breast cancer undergoing neoadjuvant chemotherapy". Oncology Letters 30.1 (2025): 345.
Chicago
Yildiz Yurekli, E., Akay, S., Unal, O. U."Utility of the CPS + EG score with real‑life data in patients with breast cancer undergoing neoadjuvant chemotherapy". Oncology Letters 30, no. 1 (2025): 345. https://doi.org/10.3892/ol.2025.15091
Copy and paste a formatted citation
x
Spandidos Publications style
Yildiz Yurekli E, Akay S and Unal OU: Utility of the CPS + EG score with real‑life data in patients with breast cancer undergoing neoadjuvant chemotherapy. Oncol Lett 30: 345, 2025.
APA
Yildiz Yurekli, E., Akay, S., & Unal, O.U. (2025). Utility of the CPS + EG score with real‑life data in patients with breast cancer undergoing neoadjuvant chemotherapy. Oncology Letters, 30, 345. https://doi.org/10.3892/ol.2025.15091
MLA
Yildiz Yurekli, E., Akay, S., Unal, O. U."Utility of the CPS + EG score with real‑life data in patients with breast cancer undergoing neoadjuvant chemotherapy". Oncology Letters 30.1 (2025): 345.
Chicago
Yildiz Yurekli, E., Akay, S., Unal, O. U."Utility of the CPS + EG score with real‑life data in patients with breast cancer undergoing neoadjuvant chemotherapy". Oncology Letters 30, no. 1 (2025): 345. https://doi.org/10.3892/ol.2025.15091
Follow us
  • Twitter
  • LinkedIn
  • Facebook
About
  • Spandidos Publications
  • Careers
  • Cookie Policy
  • Privacy Policy
How can we help?
  • Help
  • Live Chat
  • Contact
  • Email to our Support Team