Spandidos Publications Logo
  • About
    • About Spandidos
    • Aims and Scopes
    • Abstracting and Indexing
    • Editorial Policies
    • Reprints and Permissions
    • Job Opportunities
    • Terms and Conditions
    • Contact
  • Journals
    • All Journals
    • Oncology Letters
      • Oncology Letters
      • Information for Authors
      • Editorial Policies
      • Editorial Board
      • Aims and Scope
      • Abstracting and Indexing
      • Bibliographic Information
      • Archive
    • International Journal of Oncology
      • International Journal of Oncology
      • Information for Authors
      • Editorial Policies
      • Editorial Board
      • Aims and Scope
      • Abstracting and Indexing
      • Bibliographic Information
      • Archive
    • Molecular and Clinical Oncology
      • Molecular and Clinical Oncology
      • Information for Authors
      • Editorial Policies
      • Editorial Board
      • Aims and Scope
      • Abstracting and Indexing
      • Bibliographic Information
      • Archive
    • Experimental and Therapeutic Medicine
      • Experimental and Therapeutic Medicine
      • Information for Authors
      • Editorial Policies
      • Editorial Board
      • Aims and Scope
      • Abstracting and Indexing
      • Bibliographic Information
      • Archive
    • International Journal of Molecular Medicine
      • International Journal of Molecular Medicine
      • Information for Authors
      • Editorial Policies
      • Editorial Board
      • Aims and Scope
      • Abstracting and Indexing
      • Bibliographic Information
      • Archive
    • Biomedical Reports
      • Biomedical Reports
      • Information for Authors
      • Editorial Policies
      • Editorial Board
      • Aims and Scope
      • Abstracting and Indexing
      • Bibliographic Information
      • Archive
    • Oncology Reports
      • Oncology Reports
      • Information for Authors
      • Editorial Policies
      • Editorial Board
      • Aims and Scope
      • Abstracting and Indexing
      • Bibliographic Information
      • Archive
    • Molecular Medicine Reports
      • Molecular Medicine Reports
      • Information for Authors
      • Editorial Policies
      • Editorial Board
      • Aims and Scope
      • Abstracting and Indexing
      • Bibliographic Information
      • Archive
    • World Academy of Sciences Journal
      • World Academy of Sciences Journal
      • Information for Authors
      • Editorial Policies
      • Editorial Board
      • Aims and Scope
      • Abstracting and Indexing
      • Bibliographic Information
      • Archive
    • International Journal of Functional Nutrition
      • International Journal of Functional Nutrition
      • Information for Authors
      • Editorial Policies
      • Editorial Board
      • Aims and Scope
      • Abstracting and Indexing
      • Bibliographic Information
      • Archive
    • International Journal of Epigenetics
      • International Journal of Epigenetics
      • Information for Authors
      • Editorial Policies
      • Editorial Board
      • Aims and Scope
      • Abstracting and Indexing
      • Bibliographic Information
      • Archive
    • Medicine International
      • Medicine International
      • Information for Authors
      • Editorial Policies
      • Editorial Board
      • Aims and Scope
      • Abstracting and Indexing
      • Bibliographic Information
      • Archive
  • Articles
  • Information
    • Information for Authors
    • Information for Reviewers
    • Information for Librarians
    • Information for Advertisers
    • Conferences
  • Language Editing
Spandidos Publications Logo
  • About
    • About Spandidos
    • Aims and Scopes
    • Abstracting and Indexing
    • Editorial Policies
    • Reprints and Permissions
    • Job Opportunities
    • Terms and Conditions
    • Contact
  • Journals
    • All Journals
    • Biomedical Reports
      • Information for Authors
      • Editorial Policies
      • Editorial Board
      • Aims and Scope
      • Abstracting and Indexing
      • Bibliographic Information
      • Archive
    • Experimental and Therapeutic Medicine
      • Information for Authors
      • Editorial Policies
      • Editorial Board
      • Aims and Scope
      • Abstracting and Indexing
      • Bibliographic Information
      • Archive
    • International Journal of Epigenetics
      • Information for Authors
      • Editorial Policies
      • Editorial Board
      • Aims and Scope
      • Abstracting and Indexing
      • Bibliographic Information
      • Archive
    • International Journal of Functional Nutrition
      • Information for Authors
      • Editorial Policies
      • Editorial Board
      • Aims and Scope
      • Abstracting and Indexing
      • Bibliographic Information
      • Archive
    • International Journal of Molecular Medicine
      • Information for Authors
      • Editorial Policies
      • Editorial Board
      • Aims and Scope
      • Abstracting and Indexing
      • Bibliographic Information
      • Archive
    • International Journal of Oncology
      • Information for Authors
      • Editorial Policies
      • Editorial Board
      • Aims and Scope
      • Abstracting and Indexing
      • Bibliographic Information
      • Archive
    • Medicine International
      • Information for Authors
      • Editorial Policies
      • Editorial Board
      • Aims and Scope
      • Abstracting and Indexing
      • Bibliographic Information
      • Archive
    • Molecular and Clinical Oncology
      • Information for Authors
      • Editorial Policies
      • Editorial Board
      • Aims and Scope
      • Abstracting and Indexing
      • Bibliographic Information
      • Archive
    • Molecular Medicine Reports
      • Information for Authors
      • Editorial Policies
      • Editorial Board
      • Aims and Scope
      • Abstracting and Indexing
      • Bibliographic Information
      • Archive
    • Oncology Letters
      • Information for Authors
      • Editorial Policies
      • Editorial Board
      • Aims and Scope
      • Abstracting and Indexing
      • Bibliographic Information
      • Archive
    • Oncology Reports
      • Information for Authors
      • Editorial Policies
      • Editorial Board
      • Aims and Scope
      • Abstracting and Indexing
      • Bibliographic Information
      • Archive
    • World Academy of Sciences Journal
      • Information for Authors
      • Editorial Policies
      • Editorial Board
      • Aims and Scope
      • Abstracting and Indexing
      • Bibliographic Information
      • Archive
  • Articles
  • Information
    • For Authors
    • For Reviewers
    • For Librarians
    • For Advertisers
    • Conferences
  • Language Editing
Login Register Submit
  • This site uses cookies
  • You can change your cookie settings at any time by following the instructions in our Cookie Policy. To find out more, you may read our Privacy Policy.

    I agree
Search articles by DOI, keyword, author or affiliation
Search
Advanced Search
presentation
Oncology Letters
Join Editorial Board Propose a Special Issue
Print ISSN: 1792-1074 Online ISSN: 1792-1082
Journal Cover
September-2025 Volume 30 Issue 3

Full Size Image

Sign up for eToc alerts
Recommend to Library

Journals

International Journal of Molecular Medicine

International Journal of Molecular Medicine

International Journal of Molecular Medicine is an international journal devoted to molecular mechanisms of human disease.

International Journal of Oncology

International Journal of Oncology

International Journal of Oncology is an international journal devoted to oncology research and cancer treatment.

Molecular Medicine Reports

Molecular Medicine Reports

Covers molecular medicine topics such as pharmacology, pathology, genetics, neuroscience, infectious diseases, molecular cardiology, and molecular surgery.

Oncology Reports

Oncology Reports

Oncology Reports is an international journal devoted to fundamental and applied research in Oncology.

Experimental and Therapeutic Medicine

Experimental and Therapeutic Medicine

Experimental and Therapeutic Medicine is an international journal devoted to laboratory and clinical medicine.

Oncology Letters

Oncology Letters

Oncology Letters is an international journal devoted to Experimental and Clinical Oncology.

Biomedical Reports

Biomedical Reports

Explores a wide range of biological and medical fields, including pharmacology, genetics, microbiology, neuroscience, and molecular cardiology.

Molecular and Clinical Oncology

Molecular and Clinical Oncology

International journal addressing all aspects of oncology research, from tumorigenesis and oncogenes to chemotherapy and metastasis.

World Academy of Sciences Journal

World Academy of Sciences Journal

Multidisciplinary open-access journal spanning biochemistry, genetics, neuroscience, environmental health, and synthetic biology.

International Journal of Functional Nutrition

International Journal of Functional Nutrition

Open-access journal combining biochemistry, pharmacology, immunology, and genetics to advance health through functional nutrition.

International Journal of Epigenetics

International Journal of Epigenetics

Publishes open-access research on using epigenetics to advance understanding and treatment of human disease.

Medicine International

Medicine International

An International Open Access Journal Devoted to General Medicine.

Journal Cover
September-2025 Volume 30 Issue 3

Full Size Image

Sign up for eToc alerts
Recommend to Library

  • Article
  • Citations
    • Cite This Article
    • Download Citation
    • Create Citation Alert
    • Remove Citation Alert
    • Cited By
  • Similar Articles
    • Related Articles (in Spandidos Publications)
    • Similar Articles (Google Scholar)
    • Similar Articles (PubMed)
  • Download PDF
  • Download XML
  • View XML

  • Supplementary Files
    • Supplementary_Data.pdf
Article Open Access

Diagnostic performance of contrast‑enhanced ultrasound vs. conventional ultrasound for lymph node metastasis in patients with thyroid cancer: A meta‑analysis

  • Authors:
    • Junhui Gao
    • Ying Liu
    • Lipeng Zheng
    • Xiaogang Wang
    • Yingluan Wang
    • Tongxia Zhou
  • View Affiliations / Copyright

    Affiliations: Department of Ultrasound Medicine, Zibo Municipal Hospital, Zibo, Shandong 255400, P.R. China, Department of Ultrasound Medicine, Zibo Municipal Hospital, Zibo, Shandong 255400, P.R. China, Department of Electrocardiogram Diagnosis, Zibo Municipal Hospital, Zibo, Shandong 255400, P.R. China
    Copyright: © Gao et al. This is an open access article distributed under the terms of Creative Commons Attribution License.
  • Article Number: 407
    |
    Published online on: June 24, 2025
       https://doi.org/10.3892/ol.2025.15153
  • Expand metrics +
Metrics: Total Views: 0 (Spandidos Publications: | PMC Statistics: )
Metrics: Total PDF Downloads: 0 (Spandidos Publications: | PMC Statistics: )
Cited By (CrossRef): 0 citations Loading Articles...

This article is mentioned in:



Abstract

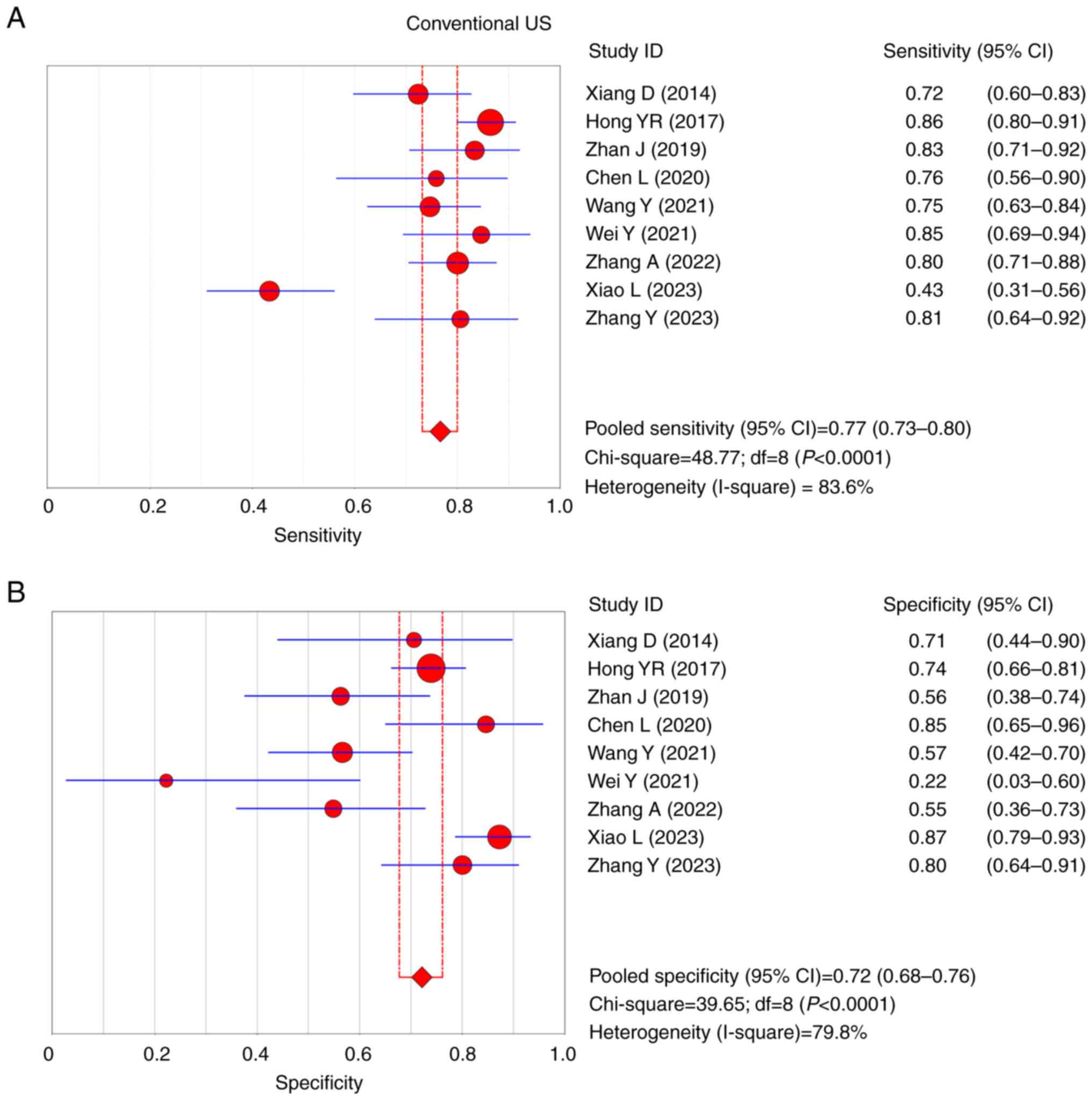
The ability of conventional ultrasound (US) and contrast‑enhanced (CE)US to diagnose lymph node metastasis in patients with thyroid cancer has been explored, but there is a lack of a pooled analysis. In the present study, a meta‑analysis was performed to explore the diagnostic performance of conventional US and CEUS for lymph node metastasis in patients with thyroid cancer. The PubMed, Web of Science, Embase and Cochrane Library databases were searched to identify studies related to the diagnosis of lymph node metastasis using CEUS and conventional US in patients with thyroid cancer published until February 2024. This meta‑analysis incorporated 9 studies, involving a total of 1,226 patients with thyroid cancer. The quality assessment of diagnostic accuracy studies‑2 tool suggested that the quality of the included studies was good. A summary receiver operating characteristic analysis was performed to assess the diagnostic performance of conventional US and CEUS. The pooled sensitivity [95% confidence interval (CI)], specificity (95% CI) and the area under curve (AUC) of conventional US for diagnosing lymph node metastasis were 0.77 (0.73‑0.80), 0.72 (0.68‑0.76) and 0.7925, respectively, in patients with thyroid cancer, while the parameters of CEUS were 0.85 (0.82‑0.88), 0.86 (0.82‑0.89) and 0.9216, respectively. Overall, the pooled sensitivity, specificity and AUC of CEUS for diagnosing lymph node metastasis were higher than those of conventional US in patients with thyroid cancer (all P<0.001). Deeks' asymmetry test suggested that no publication bias existed in this meta‑analysis. In conclusion, CEUS shows a better ability to diagnose lymph node metastasis than the conventional US in patients with thyroid cancer.
View Figures

Figure 1

Flow chart of study selection. CEUS,
contrast-enhanced ultrasound.

Figure 2

Risk of bias assessed using quality
assessment of diagnostic accuracy studies-2 tools. (A) The
proportion of studies with high, unclear and low risk of bias, as
well as applicability concerns. (B) Detailed information on each
study with high, unclear and low risk of bias, as well as
applicability concerns.

Figure 3

Forest plots for sensitivity and
specificity of conventional US. (A) Sensitivity and (B) specificity
of conventional US for diagnosing lymph node metastasis in patients
with thyroid cancer. US, ultrasound; df, degrees of freedom.

Figure 4

SROC curve of the diagnostic
performance of conventional US. US, ultrasound; SROC, summary
receiver operating characteristic; AUC, area under the SROC curve;
SE, standard error.

Figure 5

Forest plots for sensitivity and
specificity of CEUS. (A) Sensitivity and (B) specificity of CEUS
for diagnosing lymph node metastasis in patients with thyroid
cancer. CEUS, contrast-enhanced ultrasound; df, degrees of
freedom.

Figure 6

SROC curve of the diagnostic
performance of CEUS. CEUS, contrast-enhanced ultrasound; SROC,
summary receiver operating characteristic; AUC, area under the SROC
curve; SE, standard error.

Figure 7

Publication bias assessed by Deeks'
funnel plot asymmetry test. Deeks' funnel plot asymmetry test for
(A) conventional US and (B) CEUS. CEUS, contrast-enhanced
ultrasound. ESS, effective sample size.
View References

1 

Sung H, Ferlay J, Siegel RL, Laversanne M, Soerjomataram I, Jemal A and Bray F: Global cancer statistics 2020: GLOBOCAN estimates of incidence and mortality worldwide for 36 cancers in 185 countries. CA Cancer J Clin. 71:209–249. 2021. View Article : Google Scholar : PubMed/NCBI

2 

Houten PV, Netea-Maier RT and Smit JW: Differentiated thyroid carcinoma: An update. Best Pract Res Clin Endocrinol Metab. 37:1016872023. View Article : Google Scholar : PubMed/NCBI

3 

Tang L, Qu RW, Park J, Simental AA and Inman JC: Prevalence of occult central lymph node metastasis by tumor size in papillary thyroid carcinoma: A systematic review and meta-analysis. Curr Oncol. 30:7335–7350. 2023. View Article : Google Scholar : PubMed/NCBI

4 

Ji H, Hu C, Yang X, Liu Y, Ji G, Ge S, Wang X and Wang M: Lymph node metastasis in cancer progression: Molecular mechanisms, clinical significance and therapeutic interventions. Signal Transduct Target Ther. 8:3672023. View Article : Google Scholar : PubMed/NCBI

5 

Boucai L, Zafereo M and Cabanillas ME: Thyroid cancer: A review. JAMA. 331:425–435. 2024. View Article : Google Scholar : PubMed/NCBI

6 

Haugen BR, Alexander EK, Bible KC, Doherty GM, Mandel SJ, Nikiforov YE, Pacini F, Randolph GW, Sawka AM, Schlumberger M, et al: 2015 American thyroid association management guidelines for adult patients with thyroid nodules and differentiated thyroid cancer: The American thyroid association guidelines task force on thyroid nodules and differentiated thyroid cancer. Thyroid. 26:1–133. 2016. View Article : Google Scholar : PubMed/NCBI

7 

Holoubek SA and Sippel RS: Lymph node imaging for thyroid cancer. Clin Endocrinol (Oxf). 100:96–101. 2024. View Article : Google Scholar : PubMed/NCBI

8 

Zhao H and Li H: Meta-analysis of ultrasound for cervical lymph nodes in papillary thyroid cancer: Diagnosis of central and lateral compartment nodal metastases. Eur J Radiol. 112:14–21. 2019. View Article : Google Scholar : PubMed/NCBI

9 

Chen YH and Zhang YQ: Diagnostic potential of ultrasonography and computed tomography in differentiating cervical lymph node metastasis of thyroid cancer: A systematic review and meta-analysis. Arch Med Sci. 19:965–975. 2020.PubMed/NCBI

10 

Grant EG and Kwon DI: Is there a place for lymphatic contrast-enhanced US in thyroid cancer? Radiology. 307:e2305602023. View Article : Google Scholar : PubMed/NCBI

11 

Russell G, Strnad BS, Ludwig DR, Middleton WD, Itani M, Khot R, Mellnick V and Malone C: Contrast-enhanced ultrasound for image-guided procedures. Tech Vasc Interv Radiol. 26:1009132023. View Article : Google Scholar : PubMed/NCBI

12 

Mei M, Ye L, Quan J and Huang P: Contrast-enhanced ultrasound for the differential diagnosis between benign and metastatic superficial lymph nodes: A meta-analysis. Cancer Manag Res. 10:4987–4997. 2018. View Article : Google Scholar : PubMed/NCBI

13 

Xiang D, Hong Y, Zhang B, Huang P, Li G, Wang P and Li Z: Contrast-enhanced ultrasound (CEUS) facilitated US in detecting lateral neck lymph node metastasis of thyroid cancer patients: Diagnosis value and enhancement patterns of malignant lymph nodes. Eur Radiol. 24:2513–2519. 2014. View Article : Google Scholar : PubMed/NCBI

14 

Hong YR, Luo ZY, Mo GQ, Wang P, Ye Q and Huang PT: Role of contrast-enhanced ultrasound in the pre-operative diagnosis of cervical lymph node metastasis in patients with papillary thyroid carcinoma. Ultrasound Med Biol. 43:2567–2575. 2017. View Article : Google Scholar : PubMed/NCBI

15 

Zhan J, Diao XH, Chen Y, Wang WP and Ding H: Homogeneity parameter in contrast-enhanced ultrasound imaging improves the classification of abnormal cervical lymph node after thyroidectomy in patients with papillary thyroid carcinoma. Biomed Res Int. 2019:92960102019. View Article : Google Scholar : PubMed/NCBI

16 

Chen L, Chen L, Liu J, Wang B and Zhang H: Value of qualitative and quantitative contrast-enhanced ultrasound analysis in preoperative diagnosis of cervical lymph node metastasis from papillary thyroid carcinoma. J Ultrasound Med. 39:73–81. 2020. View Article : Google Scholar : PubMed/NCBI

17 

Wang Y, Nie F, Wang G, Liu T, Dong T and Sun Y: Value of combining clinical factors, conventional ultrasound, and contrast-enhanced ultrasound features in preoperative prediction of central lymph node metastases of different sized papillary thyroid carcinomas. Cancer Manag Res. 13:3403–3415. 2021. View Article : Google Scholar : PubMed/NCBI

18 

Wei Y, Yu MA, Niu Y, Hao Y, Di JX, Zhao ZL, Cao XJ, Peng LL and Li Y: Combination of lymphatic and intravenous contrast-enhanced ultrasound for evaluation of cervical lymph node metastasis from papillary thyroid carcinoma: A preliminary study. Ultrasound Med Biol. 47:252–260. 2021. View Article : Google Scholar : PubMed/NCBI

19 

Zhang A, Wu S, You Z and Liu W: Application of preoperative ultrasonography in the diagnosis of cervical lymph node metastasis in thyroid papillary carcinoma. Front Surg. 9:8516572022. View Article : Google Scholar : PubMed/NCBI

20 

Xiao L, Zhou J, Tan W, Liu Y, Zheng H, Wang G, Zheng W, Pei X, Yang A and Liu L: Contrast-enhanced US with perfluorobutane to diagnose small lateral cervical lymph node metastases of papillary thyroid carcinoma. Radiology. 307:e2214652023. View Article : Google Scholar : PubMed/NCBI

21 

Zhang Y, Lu YY, Li W, Zhao JH, Zhang Y, He HY, Li J and Luo YK: Lymphatic Contrast-enhanced US to improve the diagnosis of cervical lymph node metastasis from thyroid cancer. Radiology. 307:e2212652023. View Article : Google Scholar : PubMed/NCBI

22 

Li QL, Ma T, Wang ZJ, Huang L, Liu W, Chen M, Sang T, Ren XG, Tong J, Cao CL, et al: The value of contrast-enhanced ultrasound for the diagnosis of metastatic cervical lymph nodes of papillary thyroid carcinoma: A systematic review and meta-analysis. J Clin Ultrasound. 50:60–69. 2022. View Article : Google Scholar : PubMed/NCBI

23 

Page MJ, McKenzie JE, Bossuyt PM, Boutron I, Hoffmann TC, Mulrow CD, Shamseer L, Tetzlaff JM, Akl EA, Brennan SE, et al: The PRISMA 2020 statement: An updated guideline for reporting systematic reviews. BMJ. 372:n712021. View Article : Google Scholar : PubMed/NCBI

24 

Whiting PF, Rutjes AW, Westwood ME, Mallett S, Deeks JJ, Reitsma JB, Leeflang MM, Sterne JA and Bossuyt PM; QUADAS-2 Group, : QUADAS-2: A revised tool for the quality assessment of diagnostic accuracy studies. Ann Intern Med. 155:529–536. 2011. View Article : Google Scholar : PubMed/NCBI

25 

Zamora J, Abraira V, Muriel A, Khan K and Coomarasamy A: Meta-DiSc: A software for meta-analysis of test accuracy data. BMC Med Res Methodol. 6:312006. View Article : Google Scholar : PubMed/NCBI

26 

Albuck AL, Issa PP, Hussein M, Aboueisha M, Attia AS, Omar M, Munshi R, Shama M, Toraih E, Randolph GW and Kandil E: A combination of computed tomography scan and ultrasound provides optimal detection of cervical lymph node metastasis in papillary thyroid carcinomas: A systematic review and meta-analysis. Head Neck. 45:2173–2184. 2023. View Article : Google Scholar : PubMed/NCBI

27 

Yang J, Zhang F and Qiao Y: Diagnostic accuracy of ultrasound, CT and their combination in detecting cervical lymph node metastasis in patients with papillary thyroid cancer: A systematic review and meta-analysis. BMJ Open. 12:e0515682022. View Article : Google Scholar : PubMed/NCBI

28 

Xing Z, Qiu Y, Yang Q, Yu Y, Liu J, Fei Y, Su A and Zhu J: Thyroid cancer neck lymph nodes metastasis: Meta-analysis of US and CT diagnosis. Eur J Radiol. 129:1091032020. View Article : Google Scholar : PubMed/NCBI

29 

Alabousi M, Alabousi A, Adham S, Pozdnyakov A, Ramadan S, Chaudhari H, Young JEM, Gupta M and Harish S: Diagnostic test accuracy of ultrasonography vs computed tomography for papillary thyroid cancer cervical lymph node metastasis: A systematic review and meta-analysis. JAMA Otolaryngol Head Neck Surg. 148:107–118. 2022. View Article : Google Scholar : PubMed/NCBI

30 

Chen DW, Lang BHH, McLeod DSA, Newbold K and Haymart MR: Thyroid cancer. Lancet. 401:1531–1544. 2023. View Article : Google Scholar : PubMed/NCBI

31 

Mattiuzzi C and Lippi G: Current cancer epidemiology. J Epidemiol Glob Health. 9:217–222. 2019. View Article : Google Scholar : PubMed/NCBI

32 

Dunn BK, Woloshin S, Xie H and Kramer BS: Cancer overdiagnosis: A challenge in the era of screening. J Natl Cancer Cent. 2:235–242. 2022. View Article : Google Scholar : PubMed/NCBI

33 

Shao C, Li Z, Zhang C, Zhang W, He R, Xu J and Cai Y: Optical diagnostic imaging and therapy for thyroid cancer. Mater Today Bio. 17:1004412022. View Article : Google Scholar : PubMed/NCBI

34 

Liu X, Wang M, Wang Q and Zhang H: Diagnostic value of contrast-enhanced ultrasound for sentinel lymph node metastasis in breast cancer: An updated meta-analysis. Breast Cancer Res Treat. 202:221–231. 2023. View Article : Google Scholar : PubMed/NCBI

35 

Li J, Wang SR, Li QL, Zhu T, Zhu PS, Chen M and Cui XW: Diagnostic value of multiple ultrasound diagnostic techniques for axillary lymph node metastases in breast cancer: A systematic analysis and network meta-analysis. Front Oncol. 12:10431852023. View Article : Google Scholar : PubMed/NCBI

36 

Ajmal S: Contrast-enhanced ultrasonography: Review and applications. Cureus. 13:e182432021.PubMed/NCBI

37 

Wu J and Chen DC: Contrast-enhanced ultrasonography: A promising method for blood flow and perfusion evaluation in critically Ill patients. Chin Med J (Engl). 131:1135–1137. 2018. View Article : Google Scholar : PubMed/NCBI

38 

Huang B, Luo X, Wu R, Qiu L, Lin S, Huang X and Wu J: Evaluation of non-invasive gene detection in preimplantation embryos: A systematic review and meta-analysis. J Assist Reprod Genet. 40:1243–1253. 2023. View Article : Google Scholar : PubMed/NCBI

39 

Li X, Zhang L and Ding M: Ultrasound-based radiomics for the differential diagnosis of breast masses: A systematic review and meta-analysis. J Clin Ultrasound. 52:778–788. 2024. View Article : Google Scholar : PubMed/NCBI

40 

Carling T and Udelsman R: Thyroid cancer. Annu Rev Med. 65:125–137. 2014. View Article : Google Scholar : PubMed/NCBI

41 

Abe I and Lam AK: Fine-needle aspiration under guidance of ultrasound examination of thyroid lesions. Methods Mol Biol. 2534:29–37. 2022. View Article : Google Scholar : PubMed/NCBI

42 

Glas AS, Lijmer JG, Prins MH, Bonsel GJ and Bossuyt PM: The diagnostic odds ratio: A single indicator of test performance. J Clin Epidemiol. 56:1129–1135. 2003. View Article : Google Scholar : PubMed/NCBI

43 

Leeflang MM, Deeks JJ, Gatsonis C and Bossuyt PM; Cochrane Diagnostic Test Accuracy Working Group, : Systematic reviews of diagnostic test accuracy. Ann Intern Med. 149:889–897. 2008. View Article : Google Scholar : PubMed/NCBI

44 

Verhagen AP and Ferreira ML: Forest plots. J Physiother. 60:170–173. 2014. View Article : Google Scholar : PubMed/NCBI

Related Articles

  • Abstract
  • View
  • Download
  • Twitter
Copy and paste a formatted citation
Spandidos Publications style
Gao J, Liu Y, Zheng L, Wang X, Wang Y and Zhou T: Diagnostic performance of contrast‑enhanced ultrasound vs. conventional ultrasound for lymph node metastasis in patients with thyroid cancer: A meta‑analysis. Oncol Lett 30: 407, 2025.
APA
Gao, J., Liu, Y., Zheng, L., Wang, X., Wang, Y., & Zhou, T. (2025). Diagnostic performance of contrast‑enhanced ultrasound vs. conventional ultrasound for lymph node metastasis in patients with thyroid cancer: A meta‑analysis. Oncology Letters, 30, 407. https://doi.org/10.3892/ol.2025.15153
MLA
Gao, J., Liu, Y., Zheng, L., Wang, X., Wang, Y., Zhou, T."Diagnostic performance of contrast‑enhanced ultrasound vs. conventional ultrasound for lymph node metastasis in patients with thyroid cancer: A meta‑analysis". Oncology Letters 30.3 (2025): 407.
Chicago
Gao, J., Liu, Y., Zheng, L., Wang, X., Wang, Y., Zhou, T."Diagnostic performance of contrast‑enhanced ultrasound vs. conventional ultrasound for lymph node metastasis in patients with thyroid cancer: A meta‑analysis". Oncology Letters 30, no. 3 (2025): 407. https://doi.org/10.3892/ol.2025.15153
Copy and paste a formatted citation
x
Spandidos Publications style
Gao J, Liu Y, Zheng L, Wang X, Wang Y and Zhou T: Diagnostic performance of contrast‑enhanced ultrasound vs. conventional ultrasound for lymph node metastasis in patients with thyroid cancer: A meta‑analysis. Oncol Lett 30: 407, 2025.
APA
Gao, J., Liu, Y., Zheng, L., Wang, X., Wang, Y., & Zhou, T. (2025). Diagnostic performance of contrast‑enhanced ultrasound vs. conventional ultrasound for lymph node metastasis in patients with thyroid cancer: A meta‑analysis. Oncology Letters, 30, 407. https://doi.org/10.3892/ol.2025.15153
MLA
Gao, J., Liu, Y., Zheng, L., Wang, X., Wang, Y., Zhou, T."Diagnostic performance of contrast‑enhanced ultrasound vs. conventional ultrasound for lymph node metastasis in patients with thyroid cancer: A meta‑analysis". Oncology Letters 30.3 (2025): 407.
Chicago
Gao, J., Liu, Y., Zheng, L., Wang, X., Wang, Y., Zhou, T."Diagnostic performance of contrast‑enhanced ultrasound vs. conventional ultrasound for lymph node metastasis in patients with thyroid cancer: A meta‑analysis". Oncology Letters 30, no. 3 (2025): 407. https://doi.org/10.3892/ol.2025.15153
Follow us
  • Twitter
  • LinkedIn
  • Facebook
About
  • Spandidos Publications
  • Careers
  • Cookie Policy
  • Privacy Policy
How can we help?
  • Help
  • Live Chat
  • Contact
  • Email to our Support Team