Spandidos Publications Logo
  • About
    • About Spandidos
    • Aims and Scopes
    • Abstracting and Indexing
    • Editorial Policies
    • Reprints and Permissions
    • Job Opportunities
    • Terms and Conditions
    • Contact
  • Journals
    • All Journals
    • Oncology Letters
      • Oncology Letters
      • Information for Authors
      • Editorial Policies
      • Editorial Board
      • Aims and Scope
      • Abstracting and Indexing
      • Bibliographic Information
      • Archive
    • International Journal of Oncology
      • International Journal of Oncology
      • Information for Authors
      • Editorial Policies
      • Editorial Board
      • Aims and Scope
      • Abstracting and Indexing
      • Bibliographic Information
      • Archive
    • Molecular and Clinical Oncology
      • Molecular and Clinical Oncology
      • Information for Authors
      • Editorial Policies
      • Editorial Board
      • Aims and Scope
      • Abstracting and Indexing
      • Bibliographic Information
      • Archive
    • Experimental and Therapeutic Medicine
      • Experimental and Therapeutic Medicine
      • Information for Authors
      • Editorial Policies
      • Editorial Board
      • Aims and Scope
      • Abstracting and Indexing
      • Bibliographic Information
      • Archive
    • International Journal of Molecular Medicine
      • International Journal of Molecular Medicine
      • Information for Authors
      • Editorial Policies
      • Editorial Board
      • Aims and Scope
      • Abstracting and Indexing
      • Bibliographic Information
      • Archive
    • Biomedical Reports
      • Biomedical Reports
      • Information for Authors
      • Editorial Policies
      • Editorial Board
      • Aims and Scope
      • Abstracting and Indexing
      • Bibliographic Information
      • Archive
    • Oncology Reports
      • Oncology Reports
      • Information for Authors
      • Editorial Policies
      • Editorial Board
      • Aims and Scope
      • Abstracting and Indexing
      • Bibliographic Information
      • Archive
    • Molecular Medicine Reports
      • Molecular Medicine Reports
      • Information for Authors
      • Editorial Policies
      • Editorial Board
      • Aims and Scope
      • Abstracting and Indexing
      • Bibliographic Information
      • Archive
    • World Academy of Sciences Journal
      • World Academy of Sciences Journal
      • Information for Authors
      • Editorial Policies
      • Editorial Board
      • Aims and Scope
      • Abstracting and Indexing
      • Bibliographic Information
      • Archive
    • International Journal of Functional Nutrition
      • International Journal of Functional Nutrition
      • Information for Authors
      • Editorial Policies
      • Editorial Board
      • Aims and Scope
      • Abstracting and Indexing
      • Bibliographic Information
      • Archive
    • International Journal of Epigenetics
      • International Journal of Epigenetics
      • Information for Authors
      • Editorial Policies
      • Editorial Board
      • Aims and Scope
      • Abstracting and Indexing
      • Bibliographic Information
      • Archive
    • Medicine International
      • Medicine International
      • Information for Authors
      • Editorial Policies
      • Editorial Board
      • Aims and Scope
      • Abstracting and Indexing
      • Bibliographic Information
      • Archive
  • Articles
  • Information
    • Information for Authors
    • Information for Reviewers
    • Information for Librarians
    • Information for Advertisers
    • Conferences
  • Language Editing
Spandidos Publications Logo
  • About
    • About Spandidos
    • Aims and Scopes
    • Abstracting and Indexing
    • Editorial Policies
    • Reprints and Permissions
    • Job Opportunities
    • Terms and Conditions
    • Contact
  • Journals
    • All Journals
    • Biomedical Reports
      • Information for Authors
      • Editorial Policies
      • Editorial Board
      • Aims and Scope
      • Abstracting and Indexing
      • Bibliographic Information
      • Archive
    • Experimental and Therapeutic Medicine
      • Information for Authors
      • Editorial Policies
      • Editorial Board
      • Aims and Scope
      • Abstracting and Indexing
      • Bibliographic Information
      • Archive
    • International Journal of Epigenetics
      • Information for Authors
      • Editorial Policies
      • Editorial Board
      • Aims and Scope
      • Abstracting and Indexing
      • Bibliographic Information
      • Archive
    • International Journal of Functional Nutrition
      • Information for Authors
      • Editorial Policies
      • Editorial Board
      • Aims and Scope
      • Abstracting and Indexing
      • Bibliographic Information
      • Archive
    • International Journal of Molecular Medicine
      • Information for Authors
      • Editorial Policies
      • Editorial Board
      • Aims and Scope
      • Abstracting and Indexing
      • Bibliographic Information
      • Archive
    • International Journal of Oncology
      • Information for Authors
      • Editorial Policies
      • Editorial Board
      • Aims and Scope
      • Abstracting and Indexing
      • Bibliographic Information
      • Archive
    • Medicine International
      • Information for Authors
      • Editorial Policies
      • Editorial Board
      • Aims and Scope
      • Abstracting and Indexing
      • Bibliographic Information
      • Archive
    • Molecular and Clinical Oncology
      • Information for Authors
      • Editorial Policies
      • Editorial Board
      • Aims and Scope
      • Abstracting and Indexing
      • Bibliographic Information
      • Archive
    • Molecular Medicine Reports
      • Information for Authors
      • Editorial Policies
      • Editorial Board
      • Aims and Scope
      • Abstracting and Indexing
      • Bibliographic Information
      • Archive
    • Oncology Letters
      • Information for Authors
      • Editorial Policies
      • Editorial Board
      • Aims and Scope
      • Abstracting and Indexing
      • Bibliographic Information
      • Archive
    • Oncology Reports
      • Information for Authors
      • Editorial Policies
      • Editorial Board
      • Aims and Scope
      • Abstracting and Indexing
      • Bibliographic Information
      • Archive
    • World Academy of Sciences Journal
      • Information for Authors
      • Editorial Policies
      • Editorial Board
      • Aims and Scope
      • Abstracting and Indexing
      • Bibliographic Information
      • Archive
  • Articles
  • Information
    • For Authors
    • For Reviewers
    • For Librarians
    • For Advertisers
    • Conferences
  • Language Editing
Login Register Submit
  • This site uses cookies
  • You can change your cookie settings at any time by following the instructions in our Cookie Policy. To find out more, you may read our Privacy Policy.

    I agree
Search articles by DOI, keyword, author or affiliation
Search
Advanced Search
presentation
Oncology Letters
Join Editorial Board Propose a Special Issue
Print ISSN: 1792-1074 Online ISSN: 1792-1082
Journal Cover
September-2025 Volume 30 Issue 3

Full Size Image

Sign up for eToc alerts
Recommend to Library

Journals

International Journal of Molecular Medicine

International Journal of Molecular Medicine

International Journal of Molecular Medicine is an international journal devoted to molecular mechanisms of human disease.

International Journal of Oncology

International Journal of Oncology

International Journal of Oncology is an international journal devoted to oncology research and cancer treatment.

Molecular Medicine Reports

Molecular Medicine Reports

Covers molecular medicine topics such as pharmacology, pathology, genetics, neuroscience, infectious diseases, molecular cardiology, and molecular surgery.

Oncology Reports

Oncology Reports

Oncology Reports is an international journal devoted to fundamental and applied research in Oncology.

Experimental and Therapeutic Medicine

Experimental and Therapeutic Medicine

Experimental and Therapeutic Medicine is an international journal devoted to laboratory and clinical medicine.

Oncology Letters

Oncology Letters

Oncology Letters is an international journal devoted to Experimental and Clinical Oncology.

Biomedical Reports

Biomedical Reports

Explores a wide range of biological and medical fields, including pharmacology, genetics, microbiology, neuroscience, and molecular cardiology.

Molecular and Clinical Oncology

Molecular and Clinical Oncology

International journal addressing all aspects of oncology research, from tumorigenesis and oncogenes to chemotherapy and metastasis.

World Academy of Sciences Journal

World Academy of Sciences Journal

Multidisciplinary open-access journal spanning biochemistry, genetics, neuroscience, environmental health, and synthetic biology.

International Journal of Functional Nutrition

International Journal of Functional Nutrition

Open-access journal combining biochemistry, pharmacology, immunology, and genetics to advance health through functional nutrition.

International Journal of Epigenetics

International Journal of Epigenetics

Publishes open-access research on using epigenetics to advance understanding and treatment of human disease.

Medicine International

Medicine International

An International Open Access Journal Devoted to General Medicine.

Journal Cover
September-2025 Volume 30 Issue 3

Full Size Image

Sign up for eToc alerts
Recommend to Library

  • Article
  • Citations
    • Cite This Article
    • Download Citation
    • Create Citation Alert
    • Remove Citation Alert
    • Cited By
  • Similar Articles
    • Related Articles (in Spandidos Publications)
    • Similar Articles (Google Scholar)
    • Similar Articles (PubMed)
  • Download PDF
  • Download XML
  • View XML
Article

The usefulness of immunonutrition in chemotherapy and chemoradiotherapy for esophageal cancer

  • Authors:
    • Satomi Araki
    • Takuya Araki
    • Naritaka Tanaka
    • Makoto Sakai
    • Ayumu Nagamine
    • Daisuke Nagano
    • Hideaki Yashima
    • Hiroshi Saeki
    • Hiroyuki Kuwano
    • Koujirou Yamamoto
  • View Affiliations / Copyright

    Affiliations: Department of Clinical Pharmacology and Therapeutics, Gunma University Graduate School of Medicine, Maebashi, Gunma 371‑8511, Japan, Division of Gastroenterological Surgery, Department of General Surgical Science, Gunma University Graduate School of Medicine, Maebashi, Gunma 371‑8511, Japan, Department of Pharmacy, Gunma University Hospital, Maebashi, Gunma 371‑8511, Japan, Regional Comprehensive Support Center, Okagaki Hospital, Onga, Fukuoka 811‑4204, Japan
  • Article Number: 428
    |
    Published online on: July 7, 2025
       https://doi.org/10.3892/ol.2025.15174
  • Expand metrics +
Metrics: Total Views: 0 (Spandidos Publications: | PMC Statistics: )
Metrics: Total PDF Downloads: 0 (Spandidos Publications: | PMC Statistics: )
Cited By (CrossRef): 0 citations Loading Articles...

This article is mentioned in:


Abstract

Reducing the risk of infections associated with myelosuppression, particularly neutropenia, is crucial for ensuring chemotherapy completion and maximizing efficacy. Oral immunonutrition (OIN) containing omega‑3 fatty acids, such as eicosapentaenoic acid (EPA) and docosahexaenoic acid (DHA), has garnered attention. While OIN can reduce postoperative infections and improve prognosis, its impact on chemotherapy and chemoradiotherapy completion rates in esophageal cancer remains unclear. Therefore, retrospective and prospective (UMIN000056761) studies were conducted to evaluate the effects of OIN in patients undergoing chemotherapy or chemoradiotherapy for esophageal cancer. In the retrospective study, 32 patients were analyzed: 15 in the docetaxel, nedaplatin and 5‑fluorouracil (DNF) group (OIN, 6; control, 9) and 17 in the docetaxel, cisplatin and 5‑fluorouracil (DCF) with radiotherapy (DCF‑RT) group (OIN, 7; control, 10). Although OIN (ProSure®) did not significantly affect the completion rates of the DNF regimen (P=0.622), it significantly improved the second‑cycle completion rate of the DCF‑RT regimen (P=0.030). In addition, although OIN had no significant effect on febrile neutropenia or other adverse events, except for nausea in the DNF group, first‑cycle granulocyte colony‑stimulating factor (G‑CSF) use was significantly lower in the OIN group (P=0.001). In the prospective study, 14 patients were studied. Due to the small sample size, the primary endpoint could not be evaluated; however, OIN significantly increased the plasma‑free EPA/arachidonic acid (AA) ratio on days 3 and 7 (both P=0.011), whereas the free DHA/AA ratio remained unchanged. These findings suggested that increasing the EPA/AA ratio via OIN may contribute to immune activation in cancer chemotherapy, leading to reduced G‑CSF use and improved treatment completion rates. Although based on a limited number of patients, these results provide pilot evidence supporting the immunonutritional potential of OIN in esophageal cancer treatment. The prospective study (UMIN000056761) was retrospectively registered on January 21, 2025.

Introduction

Reducing the risk of infections associated with myelosuppression, particularly neutropenia, is critical in cancer chemotherapy to ensure on-schedule treatment and maximize therapeutic efficacy (1–3). In the treatment of esophageal cancer, chemotherapy or chemoradiotherapy is used across all disease stages and often involves cytotoxic agents such as platinum compounds, taxanes, and fluoropyrimidines. These regimens pose a high risk of neutropenia, with the incidence of febrile neutropenia (FN) exceeding 20% in many regimens, indicating the need for effective strategies to manage myelosuppression. For example, concurrent chemoradiotherapy with docetaxel, cisplatin, and 5-fluorouracil (DCF-RT) has been reported to cause neutropenia in 78.5% of patients, with 21.4% developing FN, while the combination of docetaxel, nedaplatin, and 5-fluorouracil (DNF) results in neutropenia in 88.2% of patients, with 23.5% developing FN (4,5).

To manage FN, granulocyte colony-stimulating factor (G-CSF) agents are commonly administered. G-CSF is a cytokine that acts on hematopoietic stem and progenitor cells in the bone marrow to promote their differentiation and proliferation into neutrophil lineages. Its administration facilitates the recovery of neutrophil counts and can somewhat reduce the incidence of FN. However, G-CSF does not prevent the occurrence of neutropenia itself, serving rather as a supportive therapy after neutropenia has already developed. Therefore, it cannot completely prevent severe infections, and fatal outcomes due to infection are still occasionally observed. Accordingly, there is growing recognition of the need for new preventive strategies that suppress the onset of neutropenia itself, rather than relying solely on G-CSF-based supportive care. Recently, long-acting formulations of G-CSF, such as PEGylated G-CSF, have become available and have been found to offer improved prophylactic efficacy against FN. Nevertheless, PEGylated G-CSF also carries risks of side effects, including bone pain, splenomegaly, and, in rare cases, severe adverse events, in addition to increased healthcare costs. Against this backdrop, new preventive approaches aimed at fundamentally reducing immune suppression and the infection risks associated with chemotherapy have gained attention. One such approach is dietary intervention, particularly oral immunonutrition (OIN) rich in omega-3 fatty acids.

Malnutrition adversely affects the efficacy of cancer chemotherapy and increases the incidence of treatment-related complications, including infections (6,7). It contributes to chemotherapy intolerance, increased morbidity and mortality, and decreased quality of life (8–10), leading to growing recognition of the need for early nutritional interventions (11–13). Recently, immunonutrition involving nutrients rich in omega-3 fatty acids such as eicosapentaenoic acid (EPA) and docosahexaenoic acid (DHA), as well as arginine, has garnered attention. In the arachidonic acid (AA) cascade, omega-6 fatty acids promote the production of pro-inflammatory eicosanoids such as PGE2 and LTB4 via AA. In contrast, omega-3 fatty acids are involved in the production of fewer inflammatory eicosanoids and, because the metabolic enzymes for omega-6 and omega-3 fatty acids are identical, an increase in omega-3 fatty acids suppresses the synthesis of pro-inflammatory eicosanoids through competitive metabolism, exerting anti-inflammatory effects (14). Additionally, EPA and DHA suppress inflammation by inhibiting the activation of NF-κB, a crucial nuclear transcription factor related to inflammatory responses, through PPARγ activation (15). These two fatty acids are also involved in the biosynthesis of lipid mediators that act on the immune system, including resolvins, protectins, and maresins (16–18). Consequently, supplementation with EPA and DHA is believed to reduce systemic inflammation and exert anti-inflammatory effects.

Clinically, omega-3 fatty acids effectively reduce inflammation in conditions such as rheumatoid arthritis (19), and EPA supplementation has been reported to significantly reduce the incidence of postoperative infections, demonstrating the utility of immunonutrition (20). In the field of cancer therapy, pre- and post-operatively administered OIN significantly decreases postoperative infectious complications and improves prognosis (21,22). The impact of immunonutrition on cancer chemotherapy has also been reported. Akcam et al (13) demonstrated that combining immunonutrition support with adjuvant chemotherapy for non-small cell lung cancer (NSCLC) improved patient prognosis. However, evidence regarding the effects of omega-3 fatty acids and arginine supplementation on the completion rates and prognosis of on-schedule chemotherapy and chemoradiotherapy remains limited. Furthermore, no consensus exists on their role in reducing adverse effects or improving nutritional status (23–26).

In this study, we examined the effects of OIN containing EPA on the completion rates of on-schedule chemotherapy and chemoradiotherapy, as well as its influence on blood test parameters, in patients receiving chemotherapy or chemoradiotherapy for esophageal cancer.

Patients and methods

Study design 1: Retrospective study

A retrospective analysis was conducted of patients with esophageal cancer who received either a DCF-RT regimen (docetaxel 50 mg/m2 and cisplatin 60 mg/m2 on day 1, a continuous intravenous infusion of 5-fluorouracil 600 mg/m2/day on days 1–4, and radiation 2 Gy/day on days 1–5; 4 weeks/course, repeated for a total of two courses) or a DNF regimen (docetaxel 60 mg/m2 and nedaplatin 70 mg/m2 on day 1 and a continuous intravenous infusion of 5-fluorouracil 700 mg/m2/day on days 1–5; 4 weeks/course, repeated as often as possible) at the Department of Gastroenterological Surgery, Gunma University Hospital, between January 2011 and May 2013. We reviewed patient histories, including drug treatments, nutritional supplement use, treatment adherence (whether treatment was completed as scheduled), occurrence of adverse events (such as myelosuppression and FN), severity of adverse events based on Common Terminology Criteria for Adverse Events (CTCAE), various clinical test values, and the amount of G-CSF used during the first course. The primary endpoint was whether the second course of each regimen was completed as scheduled.

The Ethics Committee of Gunma University approved the study (approval number 25–22), and an opt-out method was used for participant recruitment.

Study design 2: Prospective study

Patients diagnosed with esophageal cancer at the Department of Gastroenterological Surgery, Gunma University Hospital, between January 2014 and December 2018, who were aged 20 years or older and scheduled to receive either the DCF-RT or DNF regimen, were included in this study, which had a target sample size of 70. Exclusion criteria included patients deemed unable to continue OIN administration due to high blood sugar levels or with swallowing difficulties that impeded oral intake, as well as those already taking EPA supplements. Patients were randomized into an OIN group (OING2) and a non-OIN group (ContG2). OING2 patients were instructed to consume two bottles of ProSure® daily, and those with an average intake of less than one bottle per day over 14 days were excluded from the analysis.

Variables assessed included sex, age, height, weight, drug treatment history, nutritional supplement use, the occurrence of adverse events (such as myelosuppression and FN), and various hematological and biochemical parameters. White blood cell count, red blood cell count, hemoglobin, platelets, total protein, albumin, transthyretin (TTR), and C-reactive protein were assessed in accordance with routine clinical practice, while EPA, DHA, and AA were analyzed using LC-MS/MS. Blood samples were collected before breakfast. The primary endpoint was the duration from the white blood cell count nadir to its recovery to within the normal range, while the secondary endpoints were the response rate, frequency of adverse events, immunological markers, nutritional status, and omega-3 fatty acid levels.

This study was approved by Gunma University Hospital Clinical Research Review Board (approval number 1113). All participants were given sufficient written information about the study and voluntarily provided written informed consent. This prospective study has been registered in the UMIN Clinical Trials Registry (registration number UMIN000056761).

Analysis of EPA, DHA, and AA levels

For analysis, 10 µl of plasma was deproteinized with acetonitrile, and the supernatant was diluted 48-fold with 50% acetonitrile to analyze free fatty acids. Total fatty acids (the sum of free and esterified fatty acids) were analyzed using plasma samples heated at 99°C for 1 h in the presence of 0.6 N HCl and diluted 500-fold with 50% acetonitrile. Analyses were performed using liquid chromatography-tandem quadrupole mass spectrometry in ESI-positive ion mode. The mass spectrometer was a Xevo-TQ (Waters, Milford, MA), and the LC system was an ACQUITY UPLC (Waters). The column used was an ACQUITY UPLC BEH C18 1.7 µm, 2.1 × 50 mm (Waters), and was maintained at 60°C. The mobile phase consisted of Solvent A (2.0 mM ammonium acetate [pH 4.3]) and Solvent B: acetonitrile, with a gradient of 60–95% B (0.0–2.0 min), 95% B (2.0–2.5 min), and 95–60% B (2.5–2.6 min). The flow rate was set at 0.5 ml/min. The capillary voltage was set at 2.5 kV and the cone voltage at 29 V. The target m/z ratios for EPA, DHA, and AA were 301.4/257.2, 327.3/283.3, and 303.3/259.3, respectively, while the target m/z for IS (d5-EPA) was 306.4/262.2. The sample injection volume was 5 µl.

Statistical analysis

Categorical variables were analyzed using the χ2 test or Fisher's exact test, while continuous variables were analyzed using Welch's t-test, which does not assume equal variances. The Mann-Whitney U test was used for non-normally distributed or ordinal variables. To compare EPA/AA and DHA/AA ratios between the OING2 and ContG2, Welch's t-test was conducted. To account for multiple comparisons across time points (day 3 to day 14), the false discovery rate (FDR) was controlled using the Benjamini-Hochberg method after Welch's t-test, with q<0.05 considered statistically significant. P<0.05 was considered to indicate a statistically significant difference. Day 1 values were analyzed as baseline comparisons and excluded from FDR correction. In the analysis of adverse events, CTCAE grade ≥2 events were considered clinically meaningful, as grade 1 events are generally managed with observation alone without therapeutic intervention. All statistical analyses were performed using R software (ver. 4.3.2; R Core Team, Vienna, Austria).

Results

Patient cohorts and characteristics

In the retrospective study, 32 patients were enrolled, with 13 in the OIN group (OING) and 19 in the non-OIN group (ContG) (Table I). The DCF-RT and DNF groups comprised 17 patients (ContG, 10; OING, 7) and 15 patients (ContG, 9; OING, 6), respectively. ProSure® (containing 1,056 mg of EPA, 480 mg of DHA, and 16 g of protein per 240-ml pack, with an energy density of 300 kcal/240 ml) was the only OIN used, and no other nutrients potentially affecting the immune system were administered. The basic dosage of ProSure® was set at two packs/day, with adjustments made according to the patient's condition. In the DNF group, the body mass index (BMI) at enrollment was significantly higher in the OING than in the ContG (P<0.001). However, no significant differences were observed between the two groups in other evaluation parameters at the time of enrollment. G-CSF was administered at the discretion of the attending physician after the onset of neutropenia to prevent infectious complications, and no prophylactic use of G-CSF was identified in either group.

Table I.

Characteristics of the ContG and OING patients in the retrospective study.

Table I.

Characteristics of the ContG and OING patients in the retrospective study.

DCF-RTDNF


CharacteristicControl (n=10)OIN (n=7)P-valueControl (n=9)OIN (n=6)P-value
Mean ± SD age, years67.6±6.067.9±9.20.95064.2±7.761.0±7.00.418
Sex, male/female7/36/10.6038/16/01.000
Mean ± SD BMI, kg/m221.6±2.621.6±1.90.99320.0±2.724.9±1.1<0.001
Tumor stage, 1/2/3/41/1/3/50/1/0/60.2070/0/0/90/1/0/50.276
Mean ± SD albumin, g/dl3.56±0.473.69±0.210.4713.76±0.483.83±0.280.737
Mean ± SD transthyretin, mg/dl18.7±5.322.2±3.60.12822.8±6.121.2±6.50.812

[i] DCF-RT, docetaxel/cisplatin/5-fluorouracil with radiotherapy; DNF, docetaxel/nedaplatin/5-fluorouracil; OIN, oral immunonutrition; SD, standard deviation.

In the prospective study, 22 patients were enrolled, with 13 assigned to the OING2 (DCF-RT, 9; DNF, 4) and 9 to the ContG2 (DCF-RT, 5; DNF, 4). However, 8 of the 13 patients in the OING2 were excluded from the analysis due to a mean ProSure® intake of less than one bottle per day. Consequently, only 5 patients from the OING2 (DCF-RT, 2; DNF, 3) were included in the final analysis (Table II). The planned number of participants was not reached, making it difficult to achieve the primary endpoint. As a result, the study data were not used to analyze the impact of OIN on clinical outcomes but were utilized solely to evaluate the effects of OIN on blood EPA and DHA concentrations.

Table II.

Characteristics of the ContG2 and OING2 patients in the prospective study.

Table II.

Characteristics of the ContG2 and OING2 patients in the prospective study.

CharacteristicContG2 (n=9)OING2 (n=5)P-value
Mean ± SD age, years66.1±8.069.4±8.20.453
Sex, male/female9/05/0>0.999
Mean ± SD BMI, kg/m221.8±2.622.1±2.90.841
Tumor stage, 1/2/3/40/0/3/61/0/1/30.693
Mean ± SD albumin, g/dl3.91±0.483.74±0.180.359
Mean ± SD transthyretin, mg/dl23.6±4.922.0±5.80.610
Mean ± SD total EPA/AA on day 10.25±0.140.30±0.120.477
Mean ± SD free EPA/AA on day 10.58±0.410.52±0.270.756
Mean ± SD total DHA/AA on day 10.44±0.200.54±0.120.289
Mean ± SD free DHA/AA on day 10.51±0.290.51±0.260.985

[i] EPA, eicosapentaenoic acid; DHA, docosahexaenoic acid; AA, arachidonic acid; OIN, oral immunonutrition; SD, standard deviation; OING2, patients randomized to the OIN group who consumed ≥1 bottle/day of ProSure® on average over 14 days; ContG2, patients randomized to the non-OIN group.

Impact of OIN on treatment continuation

Table III presents the on-schedule completion rates of two courses of the DCF-RT and DNF regimens in the retrospective study. While the scheduled completion rate was higher in the OING for the DNF regimen, the difference was not significant (P=0.622). However, for the DCF-RT regimen and overall, the scheduled completion rates of the second course were significantly higher in the OING (P=0.030 and 0.044, respectively).

Table III.

On-schedule completion rates of two courses of the DCF-RT and DNF regimens in the retrospective study.

Table III.

On-schedule completion rates of two courses of the DCF-RT and DNF regimens in the retrospective study.

OverallDCF-RTDNF



Completion rateOIN (+)OIN (−)P-valueOIN (+)OIN (−)P-valueOIN (+)OIN (−)P-value
On schedule, n (%)10 (77)6 (32)0.0447 (100)3 (30)0.0303 (50)3 (33)0.622
Delay or dose reduction, n (%)3 (23)13 (68) 0 (0)7 (70) 3 (50)6 (67)
Total1319 710 69

[i] DCF-RT, docetaxel/cisplatin/5-fluorouracil with radiotherapy; DNF, docetaxel/nedaplatin/5-fluorouracil; OIN, oral immunonutrition.

In the prospective study, the impact of OIN use could not be clinically evaluated due to the small number of cases.

Impact of OIN on adverse events

The impact of OIN on the incidence of adverse events of CTCAE grade 2 or higher is summarized in Table IV. In the DNF treatment group, the incidence of grade 2 or higher nausea was significantly lower in the OING than in the ContG (P=0.044). In addition, the use of OIN did not significantly affect the incidence of other adverse events, including FN. Moreover, the nadir white blood cell counts in the ContG vs. OING were 1,447±668 vs. cells/µl 1,877±648 cells/µl (Total), 1,200±566 vs. cells/µl 1,629±596 cells/µl (DCF-RT), and 1,722±694 cells/µl vs. 2,167±628 cells/µl (DNF), with no significant differences between the groups (P=0.081, 0.23, and 0.153, respectively). However, the G-CSF usage in the first course was significantly lower in the OING than in the ContG: 509.2±181.5 µg vs. 242.3±223.2 µg (Total, P=0.001); 517.5±191.9 vs. 246.4±262.4 µg (DCF-RT, P=0.039); and 500.0±180.3 µg vs. 237.5±192.2 µg (DNF, P=0.027).

Table IV.

Impact of OIN on the incidence of adverse events.

Table IV.

Impact of OIN on the incidence of adverse events.

Overall (n=32)DCF-RT (n=17)DNF (n=15)



Adverse eventOIN (+)OIN (−)P-valueOIN (+)OIN (−)P-valueOIN (+)OIN (−)P-value
Nausea, n (%)
  Grade 0 or 17 (54)5 (26)0.154 (57)5 (50)>0.9993 (50)0 (0)0.044
  Grade 2–46 (46)14 (74) 3 (43)5 (50) 3 (50)9 (100)
Stomatitis, n (%)
  Grade 0 or 19 (69)13 (68)>0.9996 (86)7 (70)0.6033 (50)6 (67)0.622
  Grade 2–44 (31)6 (32) 1 (14)3 (30) 3 (50)3 (33)
Leukopenia, n (%)
  Grade 0 or 11 (8)0 (0)0.4060 (0)0 (0)>0.9991 (17)0 (0)0.400
  Grade 2–412 (92)19 (100) 7 (100)10 (100) 5 (83)9 (100)
Neutropenia, n (%)
  Grade 0 or 11 (8)0 (0)0.4060 (0)0 (0)>0.9991 (17)0 (0)0.400
  Grade 2–412 (92)19 (100) 7 (100)10 (100) 5 (83)9 (100)
Thrombocytopenia, n (%)
  Grade 0 or 112 (92)17 (89)>0.9996 (86)8 (80)>0.9996 (100)9 (100)>0.999
  Grade 2–41 (8)2 (11) 1 (14)2 (20) 0 (0)0 (0)
Lymphopenia, n (%)
  Grade 0 or 15 (38)6 (32)0.7211 (50)0 (0)0.4124 (67)6 (67)>0.999
  Grade 2–48 (62)13 (68) 6 (86)10 (100) 2 (33)3 (33)
Diarrhea, n (%)
  Grade 0 or 16 (46)11 (58)0.7203 (43)7 (70)0.3503 (50)4 (44)>0.999
  Grade 2–47 (54)8 (42) 4 (57)3 (30) 3 (50)5 (56)
FN, n (%)
  (−)8 (62)9 (47)0.2015 (71)6 (60)0.3563 (50)3 (33)0.336
  (+)5 (38)10 (53) 2 (29)4 (40) 3 (50)6 (67)
G-CSF, µg242±223509±1820.001246±262518±1920.039238±192500±1800.027

[i] Percentages represent the proportion of patients in each group. Only Common Terminology Criteria for Adverse Events grade 2–4 adverse events are shown. G-CSF (µg) indicates the total amount of G-CSF administered during the first chemotherapy cycle, which is presented as the mean ± standard deviation. DCF-RT, docetaxel/cisplatin/5-fluorouracil with radiotherapy; DNF, docetaxel/nedaplatin/5-fluorouracil; OIN, oral immunonutrition; FN, febrile neutropenia; G-CSF, granulocyte colony-stimulating factor.

In the prospective study, a clinical evaluation of the impact of OIN use could not be performed due to the small number of cases.

Impact of OIN on nutritional status

The actual values and change rates of TTR from the start of chemotherapy or chemoradiotherapy are summarized in Fig. 1. Although there was considerable inter-individual variability in TTR at the start of chemotherapy or chemoradiotherapy, no clear difference was observed between the OING and ContG patients. In the OING, TTR tended to decrease during the first 7 days, and the rate of change was significantly greater than that of the ContG (OING vs. ContG, 0.86±0.091 vs. 1.06±0.15; P<0.001). However, by 14 days, the values were similar to those at the start of treatment, with no significant difference in the rate of change (OING vs. ContG, 1.02±0.28 vs. 1.14±0.29; P=0.36).

Changes in TTR. (A) Observed TTR
values in the DCF-RT group. (B) Percentage changes in TTR in the
DCF-RT group. (C) Observed TTR values in the DNF group. (D)
Percentage changes in TTR in the DNF group. Closed circles and
solid lines indicate the OIN group (n=6); open circles and dashed
lines indicate the control group (n=9). In the DCF-RT group,
although 7 OIN and 10 control patients were originally enrolled,
one patient in each group lacked continuous TTR data and was
excluded from the figure. Note: Some baseline (day 0) data were
unavailable, resulting in missing connecting lines from day 0. TTR,
total transferrin receptor; DCF-RT,
docetaxel/cisplatin/5-fluorouracil with radiotherapy; DNF,
docetaxel/nedaplatin/5-fluorouracil; OIN, oral immunonutrition.

Figure 1.

Changes in TTR. (A) Observed TTR values in the DCF-RT group. (B) Percentage changes in TTR in the DCF-RT group. (C) Observed TTR values in the DNF group. (D) Percentage changes in TTR in the DNF group. Closed circles and solid lines indicate the OIN group (n=6); open circles and dashed lines indicate the control group (n=9). In the DCF-RT group, although 7 OIN and 10 control patients were originally enrolled, one patient in each group lacked continuous TTR data and was excluded from the figure. Note: Some baseline (day 0) data were unavailable, resulting in missing connecting lines from day 0. TTR, total transferrin receptor; DCF-RT, docetaxel/cisplatin/5-fluorouracil with radiotherapy; DNF, docetaxel/nedaplatin/5-fluorouracil; OIN, oral immunonutrition.

In the prospective study, a clinical evaluation of the impact of OIN use could not be conducted due to the small number of cases.

Impact of OIN on blood EPA and DHA levels

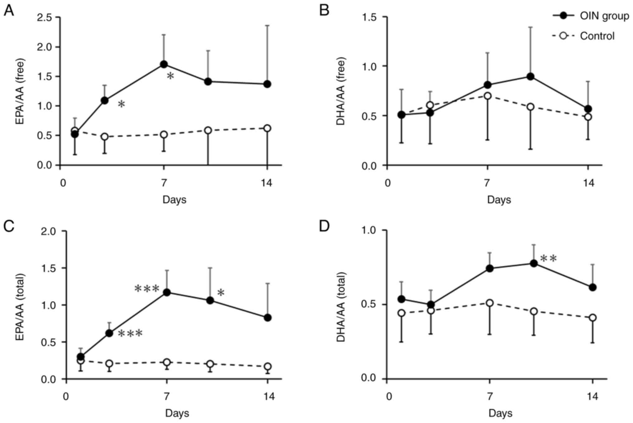
Given the small number of patients included in the analysis, treatment-specific analyses were not performed, and all patients were combined to evaluate the differences in the changes in blood EPA and DHA concentrations between the OING2 and ContG2. No significant differences were observed in baseline evaluation parameters between the OING2 and ContG2. The results of the EPA/AA and DHA/AA ratios for both free and total fatty acids are summarized in Fig. 2. The free EPA/AA ratios on days 3 and 7 were significantly higher in the OING2 than in the ContG2, while no difference was observed in DHA/AA between the two groups. For total fatty acids, the EPA/AA ratios on days 3, 7, and 10 were significantly higher in the OING2 than in the ContG2, showing a sustained elevation over time. In addition, DHA/AA on day 10 was significantly higher in the OING2 than in the ContG2, although no significant difference was observed at earlier time points. Table V summarizes the EPA/AA and DHA/AA ratios for both free and total fatty acids, including both unadjusted P-values and FDR-adjusted q-values.

Trends in EPA/AA and DHA/AA ratios.
(A) Free EPA/Free AA. (B) Free DHA/Free AA. (C) Total EPA/Total AA.
(D) Total DHA/Total AA. Closed circles, OIN group; open circles,
control group; error bars, standard deviation. *q<0.05;
**q<0.01; ***q<0.005 vs. control group. EPA, eicosapentaenoic
acid; DHA, docosahexaenoic acid; AA, arachidonic acid; OIN, oral
immunonutrition.

Figure 2.

Trends in EPA/AA and DHA/AA ratios. (A) Free EPA/Free AA. (B) Free DHA/Free AA. (C) Total EPA/Total AA. (D) Total DHA/Total AA. Closed circles, OIN group; open circles, control group; error bars, standard deviation. *q<0.05; **q<0.01; ***q<0.005 vs. control group. EPA, eicosapentaenoic acid; DHA, docosahexaenoic acid; AA, arachidonic acid; OIN, oral immunonutrition.

Table V.

Changes in EPA/AA and DHA/AA ratios for free and total fatty acids in the ContG2 and OING2.

Table V.

Changes in EPA/AA and DHA/AA ratios for free and total fatty acids in the ContG2 and OING2.

A, EPA/AA (total)

RatioContG2OING2P-valueq-value
Day 10.25±0.140.30±0.120.477
Day 30.21±0.110.62±0.14<0.0010.0095
Day 70.23±0.101.18±0.290.00140.0095
Day 100.21±0.111.07±0.440.0110.028
Day 140.17±0.100.83±0.460.0320.057

B, EPA/AA (free)

RatioContG2OING2P-valueq-value

Day 10.58±0.410.52±0.270.756
Day 30.48±0.281.09±0.260.00280.011
Day 70.52±0.291.71±0.490.00330.011
Day 100.59±0.641.42±0.520.0250.050
Day 140.62±0.921.37±0.990.2030.300

C, DHA/AA (total)

RatioContG2OING2P-valueq-value

Day 10.44±0.200.54±0.120.289
Day 30.46±0.160.50±0.100.6080.064
Day 70.51±0.210.74±0.110.0190.0043
Day 100.46±0.160.78±0.120.00180.0095
Day 140.41±0.170.62±0.150.0460.074

D, DHA/AA (free)

RatioContG2OING2P-valueq-value

Day 10.51±0.290.51±0.260.985
Day 30.61±0.390.53±0.210.6430.643
Day 70.70±0.450.81±0.320.6000.643
Day 100.59±0.430.89±0.500.2870.382
Day 140.486±0.2300.568±0.2740.5900.693

[i] Data are presented as the mean ± SD. The q-values were adjusted using the Benjamini-Hochberg procedure to control the FDR and were applied to comparisons from day 3 to day 14. Day 1 values were tested as baseline comparisons but were excluded from the FDR correction. EPA, eicosapentaenoic acid; DHA, docosahexaenoic acid; AA, arachidonic acid; OIN, oral immunonutrition; SD, standard deviation; FDR, false discovery rate; OING2, patients randomized to the OIN group who consumed ≥1 bottle/day of ProSure® on average over 14 days; ContG2, patients randomized to the non-OIN group.

Discussion

In this study, we investigated the significance of combining OIN with cancer chemotherapy or chemoradiation in esophageal cancer patients and found that, although the use of OIN did not result in short-term changes in nutritional status, it significantly improved the rate of treatment completion as scheduled and reduced the usage of G-CSF agents. Furthermore, the use of OIN led to a marked increase in the blood levels of free EPA. Some studies have shown reductions in specific adverse effects such as oral mucositis (23) and improved nutritional status and functional capacity (27). However, there is little information regarding the effects of OIN on chemotherapy or chemoradiotherapy for esophageal cancer. To our knowledge, this study is the first to investigate in detail the impact of immune nutrients rich in EPA on the actual performance of chemotherapy and chemoradiotherapy itself and to demonstrate the potential for improving the on-schedule completion rates of therapy and reducing G-CSF usage in OIN patients. In the prospective part of this study, the sample size was substantially smaller than originally planned, preventing us from establishing a causal relationship between the elevation of EPA/AA or DHA/AA ratios and the reduction in neutropenia incidence or the improvement in treatment completion rates. Nevertheless, we believe that the present findings provide valuable insights as a hypothesis-generating pilot study suggesting the potential for using OIN to optimize cancer chemotherapy.

Although nutritional interventions during cancer chemotherapy have also been shown to be beneficial, such as by increasing muscle mass (28,29), the data on the effect of OIN on chemotherapy or chemoradiation are extremely limited. In 2023, Akcam et al (13) reported that the addition of immunonutrition support to adjuvant chemotherapy in NSCLC patients improved prognosis, despite no significant differences in early postoperative complications or hospitalization periods. Conversely, Chitapanarux et al (30) reported that, while immunonutrition ameliorated hematologic toxicity in patients with head and neck cancer, esophageal cancer, and cervical cancer undergoing concurrent chemoradiotherapy, it did not affect the 2-year survival rate. Thus, although immunonutrients rich in omega-3 fatty acids have been reported to improve muscle mass and nutritional status and reduce adverse effects, there is no consensus, and many uncertainties remain (23–26). In particular, information on the effects of OIN in chemotherapy or chemoradiotherapy for esophageal cancer is minimal, and further accumulation of data is required.

In this study, the percentage of patients able to complete the first two courses of chemotherapy or chemoradiation as scheduled was significantly higher in the group using OIN, which contains a high concentration of omega-3 fatty acids. However, there were no differences between the groups in the incidence of various adverse effects, except for nausea, or nadir white blood cell counts. Bonatto et al (31) reported that fish oil supplementation improved neutrophil function, whereas our findings, consistent with those of Akita et al (24), indicate that OIN had little effect on suppressing adverse events due to chemotherapy or chemoradiation and was not associated with changes in TTR, a marker of short-term nutritional status. In contrast, the amount of G-CSF used during the first chemotherapy cycle was significantly lower in the OING, suggesting that OIN may have influenced the fluctuations in white blood cell counts. At the time of the retrospective study, PEGylated G-CSF agents were not available, and G-CSF was used solely for infection prevention after the onset of neutropenia. Therefore, a reduction in G-CSF usage suggests either a lower incidence of neutropenia itself or a faster recovery of neutrophil counts, indicating that the use of OIN may have contributed to a decreased incidence of neutropenia.

Although the main findings suggest a positive effect of OIN on treatment completion and neutropenia-related outcomes, it should be noted that there was a significant difference in BMI between the control and OIN groups in the retrospective study. Although a low BMI (<20) increases the risk of adverse events, a high BMI above the normal range (18.5–23 in Asian populations) has also been associated with an elevated risk of treatment-related toxicities (32,33). In our study, although the OIN group had a higher average BMI, adverse events were actually reduced compared to the control group. Therefore, the difference in BMI between the groups is unlikely to account for the observed improvements in treatment completion and reduced G-CSF usage. Nevertheless, because some patients in the control group had a BMI below 20, the influence of BMI should be further investigated in future studies.

In addition, in our prospective study, EPA/AA and DHA/AA ratios were significantly elevated in the OING2, with a particularly significant increase in free EPA levels in plasma. Murakami et al (34) reported that mice fed a diet rich in omega-3 fatty acids showed reduced cisplatin-induced leukopenia, which was attributed to increased bone marrow cell counts due to elevated SCF and FGF-1 levels in the bone marrow, driven by the increase in omega-3 fatty acids. Although the effects of omega-3 fatty acids on white blood cell and neutrophil counts have not been extensively studied, these fatty acids have been shown to affect the differentiation of T cells and B cells (35–37) and to contribute to the proliferation of neuronal cells (35,38). Although the exact mechanism remains unclear, EPA and DHA might influence the differentiation of hematopoietic stem cells, thereby accelerating the recovery of white blood cells, and this acceleration may have led to a reduction in the amount of G-CSF required and an improved rate of completing subsequent chemotherapy cycles as scheduled. Based on this hypothesis, the recovery rate of the bone marrow system at the time of surgery or chemotherapy depended on whether OIN was used before chemotherapy or surgery. This difference may be the reason for the inconsistent results regarding the effect of OIN in reducing adverse effects affecting the bone marrow. Although this study did not establish a causal relationship between the elevation of EPA/AA ratios and the reduction in neutropenia risk or the improvement in on-schedule chemotherapy completion rates, we consider these findings to be important preliminary data supporting the hypothesis that OIN could contribute to the optimization of cancer chemotherapy.

A limitation of this study is that we could not evaluate the clinical effects of OIN in a prospective study, which limited our ability to clarify the relationship between changes in the blood EPA and DHA levels, white blood cell, and neutrophil counts and the rate of on-schedule completion of therapy. Although no significant differences were observed in patient backgrounds between the OIN and control groups, further prospective studies are necessary to reduce any selection bias. Additionally, in the prospective study, about half of the patients in the OING2 did not consume more than half of the prescribed immunonutrient, as similarly reported by Akita et al (24). This underscores the need to improve the palatability of nutritional supplements and create a more conducive environment for their consumption. Furthermore, because most patients in the retrospective study began OIN administration simultaneously with the start of chemotherapy, the effects of an earlier intervention should be evaluated.

In conclusion, in esophageal cancer therapy, while immunonutrition did not reduce the adverse effects of chemotherapy or chemoradiotherapy, it significantly reduced G-CSF usage and significantly improved the percentage of patients able to complete the chemotherapy or chemoradiotherapy as scheduled. While the mechanisms remain unclear, our findings suggest that OIN may enhance treatment adherence and reduce neutropenia-related interventions. Therefore, further prospective studies are warranted to confirm these findings and clarify the clinical impact of immunonutrition in this setting.

Acknowledgements

Not applicable.

Funding

Funding: No funding was received.

Availability of data and materials

The data generated in the present study may be requested from the corresponding author.

Authors' contributions

SA, TA, NT, MS, AN, DN, HY, HS, HK and KY contributed to the conception and design of the study, and interpreted the data. SA, TA, NT, MS, AN, DN and HK performed the data collection. TA, AN, DN, HY and KY performed the data analysis. SA, TA and HY wrote the first draft of the manuscript, and all authors commented on the previous versions of the manuscript. SA and TA confirm the authenticity of all the raw data. All authors read and approved the final manuscript.

Ethics approval and consent to participate

The retrospective study (study 1) was approved by the Ethics Committee of Gunma University (approval number 25–22), and an opt-out method was used for participant recruitment. Given the retrospective nature of the study and the use of anonymized patient data, the need for informed consent was waived by the ethics committee. The patients were informed that they were able to opt out from the use of their data for research purposes at Gunma University Hospital website. They were also informed that the data obtained from the study would be anonymized and published as research findings through presentation at a conference or in an academic journal. This information was widely publicized on the website, and sufficient time was allowed for the study participants or their families to declare their willingness to refuse to participate in this study. This study was performed in accordance with the principles of the Declaration of Helsinki.

The prospective study (study 2) was approved by Gunma University Hospital Clinical Research Review Board (approval number 1113). All participants were given sufficient written information about the study and voluntarily provided written informed consent. This document included a consent confirmation item for participating in the study and an item regarding the publication of the study results in the form of a conference presentation or publication in an academic journal. This prospective study was retrospectively registered in the UMIN Clinical Trials Registry (registration number UMIN000056761) on January 21, 2025.

Patient consent for publication

For study 1 (retrospective study), based on the approval of the Ethics Committee of Gunma University (approval no. 25–22), an opt-out approach was adopted instead of obtaining consent from all participants. For study 2 (prospective study), written informed consent for publication of the data was obtained from all participants.

Competing interests

The authors declare that they have no competing interests.

References

1 

Lyman GH, Dale DC and Crawford J: Incidence and predictors of low Dose-intensity in adjuvant breast cancer chemotherapy: A nationwide study of community practices. J Clin Oncol. 21:4524–4531. 2003. View Article : Google Scholar

2 

Lyman GH, Dale DC, Friedberg J, Crawford J and Fisher RI: Incidence and predictors of low chemotherapy Dose-intensity in aggressive non-Hodgkin's lymphoma: A nationwide study. J Clin Oncol. 22:4302–4311. 2004. View Article : Google Scholar

3 

Kuderer NM, Dale DC, Crawford J, Cosler LE and Lyman GH: Mortality, morbidity, and cost associated with febrile neutropenia in adult cancer patients. Cancer. 106:2258–2266. 2006. View Article : Google Scholar : PubMed/NCBI

4 

Sakai M, Sohda M, Uchida S, Yamaguchi A, Watanabe T, Saito H, Ubukata Y, Nakazawa N, Kuriyama K, Sano A, et al: Concurrent chemoradiotherapy with docetaxel, cisplatin, and 5-Fluorouracil (DCF-RT) for patients with potentially resectable esophageal cancer. Anticancer Res. 42:4929–4935. 2022. View Article : Google Scholar : PubMed/NCBI

5 

Miyazaki T, Ojima H, Fukuchi M, Sakai M, Sohda M, Tanaka N, Suzuki S, Ieta K, Saito K, Sano A, et al: Phase II study of docetaxel, nedaplatin, and 5-Fluorouracil combined chemotherapy for advanced esophageal cancer. Ann Surg Oncol. 22:3653–3658. 2015. View Article : Google Scholar

6 

Ponton F, Wilson K, Cotter SC, Raubenheimer D and Simpson SJ: Nutritional immunology: A Multi-dimensional approach. PLoS Pathog. 7:e10022232011. View Article : Google Scholar : PubMed/NCBI

7 

Bourke CD, Berkley JA and Prendergast AJ: Immune dysfunction as a cause and consequence of malnutrition. Trends Immunol. 37:386–398. 2016. View Article : Google Scholar

8 

Ravasco P, Monteiro-Grillo I, Vidal PM and Camilo ME: Cancer: Disease and nutrition are key determinants of patients' quality of life. Support Care Cancer. 12:246–252. 2004. View Article : Google Scholar : PubMed/NCBI

9 

Sachlova M, Majek O and Tucek S: Prognostic value of scores based on malnutrition or systemic inflammatory response in patients with metastatic or recurrent gastric cancer. Nutr Cancer. 66:1362–1370. 2014. View Article : Google Scholar : PubMed/NCBI

10 

Ni J and Zhang L: Cancer cachexia: Definition, staging, and emerging treatments. Cancer Manag Res. 12:5597–5605. 2020. View Article : Google Scholar : PubMed/NCBI

11 

Meng L, Wei J, Ji R, Wang B, Xu X, Xin Y and Jiang X: Effect of early nutrition intervention on advanced nasopharyngeal carcinoma patients receiving chemoradiotherapy. J Cancer. 10:3650–3656. 2019. View Article : Google Scholar : PubMed/NCBI

12 

Prado CM, Laviano A, Gillis C, Sung AD, Gardner M, Yalcin S, Dixon S, Newman SM, Bastasch MD, Sauer AC, et al: Examining guidelines and new evidence in oncology nutrition: A position paper on gaps and opportunities in multimodal approaches to improve patient care. Support Care Cancer. 30:3073–3083. 2022. View Article : Google Scholar : PubMed/NCBI

13 

Akcam TI, Tekneci AK, Kavurmaci O, Ozdil A, Ergonul AG, Turhan K, Cakan A and Cagirici U: The significance of immunonutrition nutritional support in patients undergoing postoperative adjuvant chemotherapy for lung cancer: Case-control study. World J Surg Oncol. 21:1832023. View Article : Google Scholar

14 

Calder PC: n-3 PUFA and inflammation: From membrane to nucleus and from bench to bedside. Proc Nutr Soc. 1–13. June 22–2020.(Epub ahead of print). View Article : Google Scholar

15 

Kubota H, Matsumoto H, Higashida M, Murakami H, Nakashima H, Oka Y, Okumura H, Yamamura M, Nakamura M and Hirai T: Eicosapentaenoic acid modifies cytokine activity and inhibits cell proliferation in an oesophageal cancer cell line. Anticancer Res. 33:4319–4324. 2013.PubMed/NCBI

16 

Spencer L, Mann C, Metcalfe M, Webb M, Pollard C, Spencer D, Berry D, Steward W and Dennison A: The effect of omega-3 FAs on tumour angiogenesis and their therapeutic potential. Eur J Cancer. 45:2077–2086. 2009. View Article : Google Scholar : PubMed/NCBI

17 

Fang X, Ge K, Song C, Ge Y and Zhang J: Effects of n-3PUFAs on autophagy and inflammation of hypothalamus and body weight in mice. Biochem Biophys Res Commun. 501:927–932. 2018. View Article : Google Scholar : PubMed/NCBI

18 

Chiang N and Serhan CN: Specialized pro-resolving mediator network: An update on production and actions. Essays Biochem. 64:443–462. 2020. View Article : Google Scholar : PubMed/NCBI

19 

Goldberg RJ and Katz J: A Meta-analysis of the analgesic effects of omega-3 polyunsaturated fatty acid supplementation for inflammatory joint pain. Pain. 129:210–223. 2007. View Article : Google Scholar : PubMed/NCBI

20 

Zhao Y and Wang C: Effect of ω-3 polyunsaturated fatty acid-supplemented parenteral nutrition on inflammatory and immune function in postoperative patients with gastrointestinal malignancy: A meta-analysis of randomized control trials in China. Medicine. 97:e04722018. View Article : Google Scholar : PubMed/NCBI

21 

Song GM, Tian X, Zhang L, Ou YX, Yi LJ, Shuai T, Zhou JG, Zeng Z and Yang HL: Immunonutrition support for patients undergoing surgery for gastrointestinal malignancy: Preoperative, postoperative, or perioperative? A Bayesian network Meta-analysis of randomized Controlled Trials. Medicine (Baltimore). 94:e12252015. View Article : Google Scholar : PubMed/NCBI

22 

Probst P, Ohmann S, Klaiber U, Hüttner FJ, Billeter AT, Ulrich A, Büchler MW and Diener MK: Meta-analysis of immunonutrition in major abdominal surgery: Immunonutrition in major abdominal surgery. Br J Surg. 104:1594–1608. 2017. View Article : Google Scholar : PubMed/NCBI

23 

Miyata H, Yano M, Yasuda T, Yamasaki M, Murakami K, Makino T, Nishiki K, Sugimura K, Motoori M, Shiraishi O, et al: Randomized study of the clinical effects of ω-3 fatty acid-containing enteral nutrition support during neoadjuvant chemotherapy on chemotherapy-related toxicity in patients with esophageal cancer. Nutrition. 33:204–210. 2017. View Article : Google Scholar : PubMed/NCBI

24 

Akita H, Takahashi H, Asukai K, Tomokuni A, Wada H, Marukawa S, Yamasaki T, Yanagimoto Y, Takahashi Y, Sugimura K, et al: The utility of nutritional supportive care with an eicosapentaenoic acid (EPA)-enriched nutrition agent during pre-operative chemoradiotherapy for pancreatic cancer: Prospective randomized control study. Clin Nutr ESPEN. 33:148–153. 2019. View Article : Google Scholar : PubMed/NCBI

25 

Miller LJ, Douglas C, McCullough FS, Stanworth SJ and Calder PC: Impact of enteral immunonutrition on infectious complications and immune and inflammatory markers in cancer patients undergoing chemotherapy: A systematic review of randomised controlled trials. Clin Nutr. 41:2135–2146. 2022. View Article : Google Scholar : PubMed/NCBI

26 

Prieto I, Montemuiño S, Luna J, de Torres MV and Amaya E: The role of immunonutritional support in cancer treatment: Current evidence. Clin Nutr. 36:1457–1464. 2017. View Article : Google Scholar : PubMed/NCBI

27 

Vasson M P, Talvas J, Perche O, Dillies AF, Bachmann P, Pezet D, Achim AC, Pommier P, Racadot S, Weber A, et al: Immunonutrition improves functional capacities in head and neck and esophageal cancer patients undergoing radiochemotherapy: A randomized clinical trial. Clin Nutr. 33:204–210. 2014. View Article : Google Scholar : PubMed/NCBI

28 

Lee JLC, Leong LP and Lim SL: Nutrition intervention approaches to reduce malnutrition in oncology patients: A systematic review. Support Care Cancer. 24:469–480. 2016. View Article : Google Scholar : PubMed/NCBI

29 

de van der Schueren MAE, Laviano A, Blanchard H, Jourdan M, Arends J and Baracos VE: Systematic review and meta-analysis of the evidence for oral nutritional intervention on nutritional and clinical outcomes during chemo(radio)therapy: Current evidence and guidance for design of future trials. Ann Oncol. 29:1141–1153. 2018. View Article : Google Scholar

30 

Chitapanarux I, Traisathit P, Chitapanarux T, Jiratrachu R, Chottaweesak P, Chakrabandhu S, Rasio W, Pisprasert V and Sripan P: Arginine, glutamine, and fish oil supplementation in cancer patients treated with concurrent chemoradiotherapy: A randomized control study. Curr Probl Cancer. 44:1004822020. View Article : Google Scholar : PubMed/NCBI

31 

Bonatto SJ, Oliveira HH, Nunes EA, Pequito D, Iagher F, Coelho I, Naliwaiko K, Kryczyk M, Brito GA, Repka J, et al: Fish oil supplementation improves neutrophil function during cancer chemotherapy. Lipids. 47:383–389. 2012. View Article : Google Scholar : PubMed/NCBI

32 

Hwang HS, Yoon DH, Suh C and Huh J: Body mass index as a prognostic factor in Asian patients treated with chemoimmunotherapy for diffuse large B-cell lymphoma, not otherwise specified. Ann Hematol. 94:1655–1665. 2015. View Article : Google Scholar

33 

Chen S, Chen CM, Zhou Y, Zhou RJ, Yu KD and Shao ZM: Obesity or overweight is associated with worse pathological response to neoadjuvant chemotherapy among Chinese women with breast cancer. PLoS One. 7:e413802012. View Article : Google Scholar : PubMed/NCBI

34 

Murakami K, Miyata H, Miyazaki Y, Makino T, Takahashi T, Kurokawa Y, Yamasaki M, Nakajima K, Takiguchi S, Mori M and Doki Y: ω-3 Fatty acids reduce Chemotherapy-induced hematological toxicity by bone marrow stimulation in mice. JPEN J Parenter Enteral Nutr. 41:815–823. 2017. View Article : Google Scholar : PubMed/NCBI

35 

Cao D, Kevala K, Kim J, Moon HS, Jun SB, Lovinger D and Kim HY: Docosahexaenoic acid promotes hippocampal neuronal development and synaptic function. J Neurochem. 111:510–521. 2009. View Article : Google Scholar : PubMed/NCBI

36 

Tomasdottir V, Thorleifsdottir S, Vikingsson A, Hardardottir I and Freysdottir J: Dietary omega-3 fatty acids enhance the B1 but not the B2 cell immune response in mice with antigen-induced peritonitis. J Nutr Biochem. 25:111–117. 2014. View Article : Google Scholar : PubMed/NCBI

37 

Hou TY, McMurray DN and Chapkin RS: Omega-3 fatty acids, lipid rafts, and T cell signaling. Eur J Pharmacol. 785:2–9. 2016. View Article : Google Scholar

38 

Katakura M, Hashimoto M, Okui T, Shahdat HM, Matsuzaki K and Shido O: Omega-3 polyunsaturated Fatty acids enhance neuronal differentiation in cultured rat neural stem cells. Stem Cells Int. 2013:4904762013. View Article : Google Scholar

Related Articles

  • Abstract
  • View
  • Download
  • Twitter
Copy and paste a formatted citation
Spandidos Publications style
Araki S, Araki T, Tanaka N, Sakai M, Nagamine A, Nagano D, Yashima H, Saeki H, Kuwano H, Yamamoto K, Yamamoto K, et al: The usefulness of immunonutrition in chemotherapy and chemoradiotherapy for esophageal cancer. Oncol Lett 30: 428, 2025.
APA
Araki, S., Araki, T., Tanaka, N., Sakai, M., Nagamine, A., Nagano, D. ... Yamamoto, K. (2025). The usefulness of immunonutrition in chemotherapy and chemoradiotherapy for esophageal cancer. Oncology Letters, 30, 428. https://doi.org/10.3892/ol.2025.15174
MLA
Araki, S., Araki, T., Tanaka, N., Sakai, M., Nagamine, A., Nagano, D., Yashima, H., Saeki, H., Kuwano, H., Yamamoto, K."The usefulness of immunonutrition in chemotherapy and chemoradiotherapy for esophageal cancer". Oncology Letters 30.3 (2025): 428.
Chicago
Araki, S., Araki, T., Tanaka, N., Sakai, M., Nagamine, A., Nagano, D., Yashima, H., Saeki, H., Kuwano, H., Yamamoto, K."The usefulness of immunonutrition in chemotherapy and chemoradiotherapy for esophageal cancer". Oncology Letters 30, no. 3 (2025): 428. https://doi.org/10.3892/ol.2025.15174
Copy and paste a formatted citation
x
Spandidos Publications style
Araki S, Araki T, Tanaka N, Sakai M, Nagamine A, Nagano D, Yashima H, Saeki H, Kuwano H, Yamamoto K, Yamamoto K, et al: The usefulness of immunonutrition in chemotherapy and chemoradiotherapy for esophageal cancer. Oncol Lett 30: 428, 2025.
APA
Araki, S., Araki, T., Tanaka, N., Sakai, M., Nagamine, A., Nagano, D. ... Yamamoto, K. (2025). The usefulness of immunonutrition in chemotherapy and chemoradiotherapy for esophageal cancer. Oncology Letters, 30, 428. https://doi.org/10.3892/ol.2025.15174
MLA
Araki, S., Araki, T., Tanaka, N., Sakai, M., Nagamine, A., Nagano, D., Yashima, H., Saeki, H., Kuwano, H., Yamamoto, K."The usefulness of immunonutrition in chemotherapy and chemoradiotherapy for esophageal cancer". Oncology Letters 30.3 (2025): 428.
Chicago
Araki, S., Araki, T., Tanaka, N., Sakai, M., Nagamine, A., Nagano, D., Yashima, H., Saeki, H., Kuwano, H., Yamamoto, K."The usefulness of immunonutrition in chemotherapy and chemoradiotherapy for esophageal cancer". Oncology Letters 30, no. 3 (2025): 428. https://doi.org/10.3892/ol.2025.15174
Follow us
  • Twitter
  • LinkedIn
  • Facebook
About
  • Spandidos Publications
  • Careers
  • Cookie Policy
  • Privacy Policy
How can we help?
  • Help
  • Live Chat
  • Contact
  • Email to our Support Team