Spandidos Publications Logo
  • About
    • About Spandidos
    • Aims and Scopes
    • Abstracting and Indexing
    • Editorial Policies
    • Reprints and Permissions
    • Job Opportunities
    • Terms and Conditions
    • Contact
  • Journals
    • All Journals
    • Oncology Letters
      • Oncology Letters
      • Information for Authors
      • Editorial Policies
      • Editorial Board
      • Aims and Scope
      • Abstracting and Indexing
      • Bibliographic Information
      • Archive
    • International Journal of Oncology
      • International Journal of Oncology
      • Information for Authors
      • Editorial Policies
      • Editorial Board
      • Aims and Scope
      • Abstracting and Indexing
      • Bibliographic Information
      • Archive
    • Molecular and Clinical Oncology
      • Molecular and Clinical Oncology
      • Information for Authors
      • Editorial Policies
      • Editorial Board
      • Aims and Scope
      • Abstracting and Indexing
      • Bibliographic Information
      • Archive
    • Experimental and Therapeutic Medicine
      • Experimental and Therapeutic Medicine
      • Information for Authors
      • Editorial Policies
      • Editorial Board
      • Aims and Scope
      • Abstracting and Indexing
      • Bibliographic Information
      • Archive
    • International Journal of Molecular Medicine
      • International Journal of Molecular Medicine
      • Information for Authors
      • Editorial Policies
      • Editorial Board
      • Aims and Scope
      • Abstracting and Indexing
      • Bibliographic Information
      • Archive
    • Biomedical Reports
      • Biomedical Reports
      • Information for Authors
      • Editorial Policies
      • Editorial Board
      • Aims and Scope
      • Abstracting and Indexing
      • Bibliographic Information
      • Archive
    • Oncology Reports
      • Oncology Reports
      • Information for Authors
      • Editorial Policies
      • Editorial Board
      • Aims and Scope
      • Abstracting and Indexing
      • Bibliographic Information
      • Archive
    • Molecular Medicine Reports
      • Molecular Medicine Reports
      • Information for Authors
      • Editorial Policies
      • Editorial Board
      • Aims and Scope
      • Abstracting and Indexing
      • Bibliographic Information
      • Archive
    • World Academy of Sciences Journal
      • World Academy of Sciences Journal
      • Information for Authors
      • Editorial Policies
      • Editorial Board
      • Aims and Scope
      • Abstracting and Indexing
      • Bibliographic Information
      • Archive
    • International Journal of Functional Nutrition
      • International Journal of Functional Nutrition
      • Information for Authors
      • Editorial Policies
      • Editorial Board
      • Aims and Scope
      • Abstracting and Indexing
      • Bibliographic Information
      • Archive
    • International Journal of Epigenetics
      • International Journal of Epigenetics
      • Information for Authors
      • Editorial Policies
      • Editorial Board
      • Aims and Scope
      • Abstracting and Indexing
      • Bibliographic Information
      • Archive
    • Medicine International
      • Medicine International
      • Information for Authors
      • Editorial Policies
      • Editorial Board
      • Aims and Scope
      • Abstracting and Indexing
      • Bibliographic Information
      • Archive
  • Articles
  • Information
    • Information for Authors
    • Information for Reviewers
    • Information for Librarians
    • Information for Advertisers
    • Conferences
  • Language Editing
Spandidos Publications Logo
  • About
    • About Spandidos
    • Aims and Scopes
    • Abstracting and Indexing
    • Editorial Policies
    • Reprints and Permissions
    • Job Opportunities
    • Terms and Conditions
    • Contact
  • Journals
    • All Journals
    • Biomedical Reports
      • Information for Authors
      • Editorial Policies
      • Editorial Board
      • Aims and Scope
      • Abstracting and Indexing
      • Bibliographic Information
      • Archive
    • Experimental and Therapeutic Medicine
      • Information for Authors
      • Editorial Policies
      • Editorial Board
      • Aims and Scope
      • Abstracting and Indexing
      • Bibliographic Information
      • Archive
    • International Journal of Epigenetics
      • Information for Authors
      • Editorial Policies
      • Editorial Board
      • Aims and Scope
      • Abstracting and Indexing
      • Bibliographic Information
      • Archive
    • International Journal of Functional Nutrition
      • Information for Authors
      • Editorial Policies
      • Editorial Board
      • Aims and Scope
      • Abstracting and Indexing
      • Bibliographic Information
      • Archive
    • International Journal of Molecular Medicine
      • Information for Authors
      • Editorial Policies
      • Editorial Board
      • Aims and Scope
      • Abstracting and Indexing
      • Bibliographic Information
      • Archive
    • International Journal of Oncology
      • Information for Authors
      • Editorial Policies
      • Editorial Board
      • Aims and Scope
      • Abstracting and Indexing
      • Bibliographic Information
      • Archive
    • Medicine International
      • Information for Authors
      • Editorial Policies
      • Editorial Board
      • Aims and Scope
      • Abstracting and Indexing
      • Bibliographic Information
      • Archive
    • Molecular and Clinical Oncology
      • Information for Authors
      • Editorial Policies
      • Editorial Board
      • Aims and Scope
      • Abstracting and Indexing
      • Bibliographic Information
      • Archive
    • Molecular Medicine Reports
      • Information for Authors
      • Editorial Policies
      • Editorial Board
      • Aims and Scope
      • Abstracting and Indexing
      • Bibliographic Information
      • Archive
    • Oncology Letters
      • Information for Authors
      • Editorial Policies
      • Editorial Board
      • Aims and Scope
      • Abstracting and Indexing
      • Bibliographic Information
      • Archive
    • Oncology Reports
      • Information for Authors
      • Editorial Policies
      • Editorial Board
      • Aims and Scope
      • Abstracting and Indexing
      • Bibliographic Information
      • Archive
    • World Academy of Sciences Journal
      • Information for Authors
      • Editorial Policies
      • Editorial Board
      • Aims and Scope
      • Abstracting and Indexing
      • Bibliographic Information
      • Archive
  • Articles
  • Information
    • For Authors
    • For Reviewers
    • For Librarians
    • For Advertisers
    • Conferences
  • Language Editing
Login Register Submit
  • This site uses cookies
  • You can change your cookie settings at any time by following the instructions in our Cookie Policy. To find out more, you may read our Privacy Policy.

    I agree
Search articles by DOI, keyword, author or affiliation
Search
Advanced Search
presentation
Oncology Letters
Join Editorial Board Propose a Special Issue
Print ISSN: 1792-1074 Online ISSN: 1792-1082
Journal Cover
February-2026 Volume 31 Issue 2

Full Size Image

Sign up for eToc alerts
Recommend to Library

Journals

International Journal of Molecular Medicine

International Journal of Molecular Medicine

International Journal of Molecular Medicine is an international journal devoted to molecular mechanisms of human disease.

International Journal of Oncology

International Journal of Oncology

International Journal of Oncology is an international journal devoted to oncology research and cancer treatment.

Molecular Medicine Reports

Molecular Medicine Reports

Covers molecular medicine topics such as pharmacology, pathology, genetics, neuroscience, infectious diseases, molecular cardiology, and molecular surgery.

Oncology Reports

Oncology Reports

Oncology Reports is an international journal devoted to fundamental and applied research in Oncology.

Experimental and Therapeutic Medicine

Experimental and Therapeutic Medicine

Experimental and Therapeutic Medicine is an international journal devoted to laboratory and clinical medicine.

Oncology Letters

Oncology Letters

Oncology Letters is an international journal devoted to Experimental and Clinical Oncology.

Biomedical Reports

Biomedical Reports

Explores a wide range of biological and medical fields, including pharmacology, genetics, microbiology, neuroscience, and molecular cardiology.

Molecular and Clinical Oncology

Molecular and Clinical Oncology

International journal addressing all aspects of oncology research, from tumorigenesis and oncogenes to chemotherapy and metastasis.

World Academy of Sciences Journal

World Academy of Sciences Journal

Multidisciplinary open-access journal spanning biochemistry, genetics, neuroscience, environmental health, and synthetic biology.

International Journal of Functional Nutrition

International Journal of Functional Nutrition

Open-access journal combining biochemistry, pharmacology, immunology, and genetics to advance health through functional nutrition.

International Journal of Epigenetics

International Journal of Epigenetics

Publishes open-access research on using epigenetics to advance understanding and treatment of human disease.

Medicine International

Medicine International

An International Open Access Journal Devoted to General Medicine.

Journal Cover
February-2026 Volume 31 Issue 2

Full Size Image

Sign up for eToc alerts
Recommend to Library

  • Article
  • Citations
    • Cite This Article
    • Download Citation
    • Create Citation Alert
    • Remove Citation Alert
    • Cited By
  • Similar Articles
    • Related Articles (in Spandidos Publications)
    • Similar Articles (Google Scholar)
    • Similar Articles (PubMed)
  • Download PDF
  • Download XML
  • View XML
Article Open Access

Serum expression levels of HOTAIR and miR‑646 in endometrial cancer

  • Authors:
    • Rizki̇ Hari̇smunandar
    • Hande Karpuzoğlu
    • Yağmur Mi̇nareci̇
    • Hamdullah Sözen
    • Samet Topuz
    • Canan Küçükgergi̇n
    • A. Fati̇h Aydin
  • View Affiliations / Copyright

    Affiliations: Department of Medical Biochemistry, Istanbul Faculty of Medicine, Istanbul University, Istanbul 34093, Turkey, Department of Obstetrics and Gynecology, Istanbul Faculty of Medicine, Istanbul University, Istanbul 34093, Turkey
    Copyright: © Hari̇smunandar et al. This is an open access article distributed under the terms of Creative Commons Attribution License.
  • Article Number: 90
    |
    Published online on: December 30, 2025
       https://doi.org/10.3892/ol.2025.15443
  • Expand metrics +
Metrics: Total Views: 0 (Spandidos Publications: | PMC Statistics: )
Metrics: Total PDF Downloads: 0 (Spandidos Publications: | PMC Statistics: )
Cited By (CrossRef): 0 citations Loading Articles...

This article is mentioned in:



Abstract

Endometrial cancer (EC) is the fourth most common malignancy in women in high‑income countries and the sixth globally, with ~417,000 new cases and ~97,370 mortalities reported worldwide in 2020. Its incidence has increased by >130% over the past 30 years, due to advances in FIGO‑based staging systems and earlier detection. However effective non‑invasive biomarkers for early diagnosis and staging are limited. Non‑coding RNAs (ncRNAs), particularly long ncRNAs (lncRNAs) and microRNAs (miRs), are critical regulators in the biology of cancer, and may potentially serve as novel diagnostic and prognostic biomarkers. In the present study, serum levels of the lncRNA Hox antisense intergenic RNA (HOTAIR) and the miR‑646 were evaluated in 71 patients with EC and 62 matched healthy controls using reverse transcription‑quantitative PCR. The results showed that the serum HOTAIR expression level was significantly increased in patients with EC compared with controls. This suggested that it may have potential as a diagnostic biomarker. Although overall miR‑646 levels did not differ significantly between patients with EC and healthy controls, a notable reduction in miR‑646 levels were observed in patients with advanced clinical T stages compared with those with early stages. This indicated an association with disease progression. Receiver operating characteristic curve analyses indicated that a serum HOTAIR level of 1.08 may distinguish patients with EC from healthy controls with 63.3% sensitivity and 61.2% specificity. Additionally, a miR‑646 cut‑off value of 0.655 differentiated patients with advanced‑stage from early‑stage EC with 72.7% sensitivity and 66.7% specificity. These findings suggested that serum HOTAIR may be a potential diagnostic biomarker and that miR‑646 may be a potential indicator of disease progression in EC. However, further validation in larger patient cohorts and investigation of exosomal expression levels are necessary in order to assess the potential clinical relevance and therapeutic potential of HOTAIR and miR‑646.

Introduction

Endometrial cancer (EC) is one of the most common malignancies in women, ranking fourth in high-income countries and sixth globally, with ~417,000 new cases diagnosed worldwide in 2020. Its incidence has increased by >130% over the past three decades, with ~97,370 mortalities reported worldwide in 2020 (1). Risk factors for EC include obesity, a high glycaemic index diet, early menarche, late menopause, advanced age, diabetes, the use of oestrogen, nulliparity, polycystic ovary syndrome and a sedentary lifestyle (2–4). Prolonged exposure to unopposed oestrogen, particularly through hormone replacement therapy without concomitant progestin, increases the risk of developing EC by 4.5-8.0-fold (2). The pathogenesis of EC is categorised into two primary subtypes in a study by Bokhman (5). Type I is associated with oestrogen and offers a more favourable prognosis, whereas type II represents a high-grade variant with a poorer prognosis, typically observed in older individuals (aged 55–60 years) (6).

According to the Human Genome Project, >90% of the genome is considered to be transcribed (7). Research indicates that only 2% of these synthesised transcripts can encode proteins, while >75% consists of non-protein-coding RNAs (8). Non-coding RNAs (ncRNAs) are classified into two categories based on their size, namely long ncRNAs (lncRNAs) and small ncRNAs. These categories can be further divided based on size, cellular localisation or function (9). In particular, lncRNAs and microRNAs (miRs) serve crucial roles in epigenetic regulation, control of gene expression levels and the regulation of cellular processes including proliferation, apoptosis, migration, invasion and the epithelial-mesenchymal transition (9–13). Previous studies demonstrate an association between the expression of ncRNA and various pathological conditions, including neurological, cardiological and cancer-related diseases (12–14).

lncRNAs are generally longer than 200 nucleotides. They are considered to contribute to carcinogenesis by binding to transcription factors or repressors, acting as signalling molecules to activate or inhibit the expression of genes and engaging with protein complexes and cofactors (13). Moreover, lncRNAs also serve a role in post-transcriptional regulation by participating in mRNA processing. Additionally, lncRNAs function as sponges, preventing miR from binding to their target mRNA (15).

The study by Rinn et al (14) was the first to report and characterize Hox antisense intergenic RNA (HOTAIR) as a lncRNA. Studies demonstrate that HOTAIR helps regulate gene activity, which has led to investigations on its potential connection to various types of cancer, including lung, gastric, glioma, pancreatic, cervical (16–20) and EC (21,22). The expression of HOTAIR increases in patients with EC, and its elevation is associated with advanced disease, metastasis and drug resistance (16,17,22). However, the molecular effects of HOTAIR in EC and the potential clinical application of its serum levels have not been fully elucidated.

miRs are small ncRNA sequences, ~22 nucleotides in length, involved in regulating processes such as development, cell differentiation, apoptosis and proliferation. Their primary function is gene silencing (23). miRs can act as either tumour suppressors or oncogenes under specific conditions (24). While oncogenic miRs enhance the tumour cell phenotype, tumour suppressor miRs diminish it (25). The abundant presence of miRs in faeces, sputum, pleural effusion and urine suggests that alterations in miR expression levels are readily detectable.

Previous studies indicate that miR-646 is linked to various types of cancer, including lung (26), laryngeal (27), clear cell carcinoma (28), retinoblastoma (29) and osteosarcoma (30), with a notable role in gastrointestinal (31) and gynaecological tumours (32). It is hypothesized to function as a tumour suppressor in these malignancies, and in EC, it primarily reduces tumorigenic potential through the downregulation of nucleophosmin 1 (NPM1) (32,33). In vitro studies by Zhou et al (33) demonstrates that HOTAIR increases NPM1 levels by suppressing the expression of miR-646, which promotes cancer cell proliferation, invasion and migration.

At present, there is not a reliable non-invasive biomarker that is routinely used for the diagnosis or monitoring of EC. HOTAIR is a potential biomarker candidate due to its overexpression and association with advanced stages of the disease (33). Additionally, miR-646 may also serve as a detectable marker in body fluids (34). Experimental evidence from Zhou et al (33) suggests a possible regulatory interaction between HOTAIR and miR-646; however, this association is yet to be confirmed in clinical serum samples. Therefore, the present study aimed to investigate the serum expression levels of HOTAIR and miR-646 in patients with EC and investigated their potential as non-invasive diagnostic or prognostic biomarkers.

Materials and methods

Subjects

The study population consisted of women aged ≥18 years with histologically confirmed EC, diagnosed by endometrial biopsy and managed surgically. All participants provided written informed consent prior to inclusion. Patients with biopsy-proven EC of any histopathological subtype who underwent hysterectomy with surgical staging and subsequent histopathological evaluation of the surgical specimens were included. The control group included women who attended the general gynaecology outpatient clinic for non-malignant gynaecological conditions and who had no history of malignancy. Patients were excluded if they declined to provide informed consent, were medically inoperable, refused surgical treatment, had a final pathology not confirming EC, had synchronous or other primary malignancies, had recurrent disease, or had received prior oncologic treatments such as chemotherapy, radiotherapy or immunotherapy. The present study examined the association between HOTAIR and miR-646 gene expression levels and the development of EC. Additionally, the association between prognostic factors of EC, such as grade and clinical T stage, and the expression of HOTAIR and miR-646 was investigated. In total, 71 patients that were admitted to the Department of Obstetrics, Gynaecology-Oncology Division, Istanbul Medical Faculty, Istanbul University (Istanbul, Turkey) and diagnosed with EC based on biopsy results, were included in the present study. Additionally, 62 healthy women who sought services at the Department of Obstetrics and Gynaecology, Istanbul Medical Faculty, Istanbul University, for routine gynaecological examination or benign conditions were included in the control group. Patients and healthy control individuals were enrolled in the present study between August 2021 and March 2023. The study protocol was reviewed and approved by the Institutional Review Board and Ethics Committee of Istanbul University (Istanbul, Turkey; approval no. 272576; approval date, 01.07.2021). Sample collection and experimental analyses were completed by June 2023. Blood samples were collected after both the patients and control individuals were informed verbally and in writing.

Patients and controls were matched based on age, body mass index (BMI) and smoking status. An individual was classed as a smoker if they had a minimum of 10 packs/year. An individual was classed as a non-smoker if they had either quit smoking more than a year before the present study or had never smoked. All participants in both groups were female. The median ages were 57 years (range, 29–81 years) in the patient group and 54 years (range, 34–77 years) in the control group. The mean age ± standard deviation (SD) was 57.7±11.0 years for the patient group and 54.8±10.1 years for the control group. Tumour stage and grade were determined according to surgical staging. In the present study, EC was classified as low grade [International Federation of Gynecology and Obstetrics (FIGO) grades 1–2 endometrioid)] and high grade (FIGO grade 3 endometrioid and non-endometrioid types), which was consistent with accepted dichotomy in the literature (35). Previous studies define high-grade EC to include grade 3 endometrioid tumours, serous, clear cell, undifferentiated and carcinosarcoma subtypes (6,36,37). These tumours are characterized by more aggressive biological behaviour, a poorer prognosis compared with low-grade (FIGO grade 1–2 endometrioid) endometrial carcinomas and as high risk by major clinical guidelines, including the European Society of Gynaecological Oncology, the European Society for Radiotherapy and Oncology, and the European Society of Pathology guidelines for EC (2021) (38) and the National Comprehensive Cancer Network Clinical Practice Guidelines in Oncology: Uterine Neoplasms (version 3.2025) (39). Stages IA and IB were regarded as early stages, while stages II–IV were considered advanced stages. Additionally, cancer antigen 125 (CA125) levels, menopausal status, hypertension, diabetes mellitus, recurrence, lymph node involvement, disease-free survival, overall survival and cancer-related mortality were evaluated.

Reverse transcription-quantitative PCR (RT-qPCR)

For RNA extraction, venous blood samples were allowed to clot for 30 min, and were then centrifuged at 1,500 × g for 10 min at 4°C. The separated serum samples were stored at −80°C until further analysis. RNA isolation was carried out using the miRNeasy Serum/Plasma Advanced kit (cat. no. 217204; Qiagen GmbH). The concentration and purity of the extracted RNA samples were evaluated using an Eon Biotek instrument. Following measurement, RNA samples were stored at −80°C. For miRNA expression level analysis, reverse transcription was carried out using the miRCURY LNA RT kit (cat. no. 339340; Qiagen GmbH) according to the manufacturer's protocol. The reaction was carried out at 42°C for 1 h, followed by enzyme inactivation at 95°C for 5 min. For lncRNA expression level analysis, cDNA synthesis was conducted using the RT2 PreAMP cDNA Synthesis kit (cat. no. 330451; Qiagen GmbH) following the manufacturer's protocol. The reverse transcription step was carried out at 37°C for 1 h, followed by enzyme inactivation at 95°C for 5 min. RT-qPCR was carried out on a Rotor-Gene Q Real-Time PCR System (Qiagen GmbH) using the miRCURY LNA SYBR Green PCR kit (cat. no. 339345; Qiagen GmbH) for the detection of hsa-miR-646, and the RT2 SYBR Green ROX FAST Mastermix kit (cat. no. 330620; Qiagen GmbH) for the analysis of lncRNA HOTAIR expression levels. PCR amplification was carried out according to the manufacturer's protocols. For lncRNA, initial denaturation was carried out at 95°C for 10 min, followed by 40 cycles of 95°C for 10 sec and 60°C for 1 min. For miR, initial denaturation was carried out at 95°C for 2 min, followed by 40 cycles of 95°C for 10 sec and 56°C for 1 min.

The primers used in the present study were obtained from Qiagen GmbH. They included the following: RT2 qPCR Assay for GAPDH (cat. no. PPH00150F), RT2 lncRNA qPCR Assay for HOTAIR (cat. no. LPH07360A), miRCURY LNA miRNA PCR Assay for hsa-miR-646 (cat. no. YP00204546) and miRCURY LNA™ miRNA PCR Assay for hsa-U6 (cat. no. YP02119464). The exact sequences of these primers are proprietary and not publicly available from the manufacturer. Gene expression levels were quantified using the 2−ΔΔCq method (40). Relative expression levels were normalized to GAPDH for lncRNA and to U6 for miR, in accordance with previously published studies (22,27,41–43).

Statistical analysis

SPSS version 21 (IBM Corp.) was used for data analysis. The distribution of data in the present study was assessed using the Shapiro-Wilk test. Variables with normal distribution were analysed using one-way ANOVA followed by the Bonferroni post hoc test, while non-normally distributed variables were analysed using the Mann-Whitney U test. In the present data, ‘age’ had a normal distribution, whereas ‘BMI’ did not follow a normal distribution. The Chi-square test was used to analyse the association between qualitative data. Spearman's correlation test was used to investigate the association between two datasets. Receiver operating characteristic (ROC) curve analysis was carried out to determine whether an independent variable could distinguish between cases of EC and healthy controls. The ROC curve was used to identify the optimal predictive value and to calculate the sensitivity and specificity of the predictive value. The Kaplan-Meier method was used to compare survival between groups. P<0.05 was considered to indicate a statistically significant difference.

Results

There were no significant differences between the control group and patients with EC in terms of age, BMI, smoking, hypertension or diabetes mellitus status. Among the patients, 46 cases (64.8%) had low-grade tumours (grades 1 and 2), while 25 cases (35.2%) had high-grade tumours (grade 3), of which 2 cases (8%) were of non-endometrioid histology (1 case had serous carcinoma and another case had clear cell carcinoma). Early-stage disease (stages IA and B) was present in 84.5% of the patients, whereas 15.5% had advanced-stage disease. Tumour recurrence was observed in 14.1% of cases, and lymph node involvement was identified in 87.3% of patients. Mean disease-free survival and overall survival were 30.06±10.42 and 32.18±7.98 months, respectively, while cancer-related mortality was 10.2% (Table I).

Table I.

Comparison of demographic and clinical characteristics between the control and patient groups.

Table I.

Comparison of demographic and clinical characteristics between the control and patient groups.

ParameterHealthy control individuals (n=62)Patients with endometrial cancer (n=71)P-value
Age, years (mean ± SD)54.77±10.0957.64±11.030.118
BMI, kg/m2 (mean ± SD)31.20±6.3732.24±8.360.261
CA125, median (min-max)-13.0 (5.0-745.0)
Smoking status, N (%) 0.249
  Non-smoker39 (63.9)52 (73.2)
  Smoker22 (36.1)19 (26.8)
Menopause status, N (%) -
  Premenopausal-24 (33.8)
  Postmenopausal-47 (66.2)
Tumour grade, N (%) -
  Low grade (grades 1 and 2)-46 (64.8)
  High grade (grade 3 endometrioid and non-endometrioid histology types)-25 (35.2)
Stage, N (%) -
  Early stage (IA and B)-60 (84.5)
  Advanced stage (II–IV)-11 (15.5)
Recurrence, N (%) -
  No-61 (85.9)
  Yes-10 (14.1)
Lymph node involvement, N (%) -
  Yes-62 (87.3)
  No-9 (12.7)
Hypertension, N (%) 0.070
  Yes13 (21.0)25 (35.2)
  No49 (79.0)46 (64.8)
Diabetes mellitus, N (%) 0.150
  Yes8 (12.9)16 (22.5)
  No54 (87.1)55 (77.5)
Disease-free survival, months (mean ± SD)-30.06±10.42-
Overall survival, months (mean ± SD)-32.18±7.98-
Cancer-related mortality, N (%) -
  No-53 (89.9)
  Yes-6 (10.2)

[i] BMI, body mass index; CA125, cancer antigen 125; min-max, minimum-maximum.

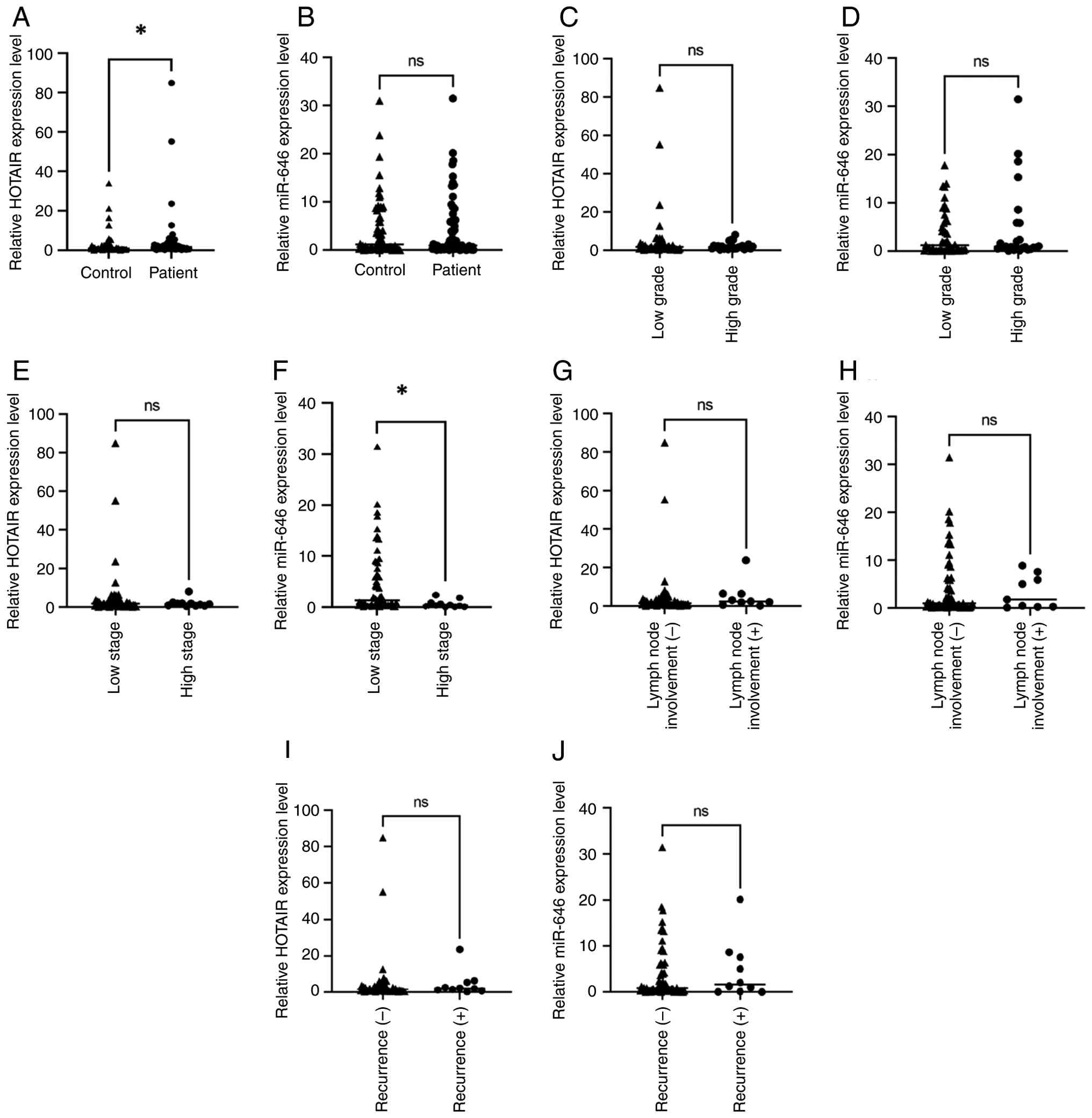
The expression of HOTAIR was significantly increased in patients with EC compared with the control group (P=0.020). However, the expression of miR-646 did not differ significantly between the patient and the control groups (P=0.579). Additionally, no significant differences in HOTAIR or miR-646 expression levels were revealed between low- and high-grade tumours (P=0.230 and P=0.377, respectively). The HOTAIR expression levels did not vary significantly between low and high clinical tumour stages (P=0.466). However, the miR-646 expression level was significantly reduced in the high tumour stage group compared with the low tumour stage group (P=0.045). Recurrence status and lymph node involvement showed no significant association with the expression levels of HOTAIR (P=0.321 and P=0.192, respectively) or miR-646 (P=0.741 and P=0.942, respectively) (Fig. 1). Spearman's correlation analysis did not demonstrate a significant association between serum miR-646 and HOTAIR expression levels (Table II). Furthermore, there were no significant correlations between the miR-646 or HOTAIR expression levels and CA125 concentrations (Table III).

Differential expression levels of
HOTAIR and miR-646 according to tumour grade, stage, lymph node
involvement and recurrence status in patients with endometrial
cancer. (A) HOTAIR and (B) miR-646 expression levels in control vs.
patient groups. (C) HOTAIR and (D) miR-646 expression levels
according to tumour grade. Endometrial cancer was classified as low
grade (grades 1–2 endometrioid) and high grade (grade 3
endometrioid and non-endometrioid histology types). (E) HOTAIR and
(F) miR-646 expression levels according to tumour stage. Stages IA
and B were considered as early stages, while stages II–IV were
considered high stages. (G) HOTAIR and (H) miR-646 expression
levels according to lymph node involvement (negative vs. positive).
(I) HOTAIR and (J) miR-646 expression levels according to
recurrence status (recurrence-negative vs. recurrence-positive).
*P<0.05. HOTAIR, Hox antisense intergenic RNA; miR, microRNA;
ns, not significant.

Figure 1.

Differential expression levels of HOTAIR and miR-646 according to tumour grade, stage, lymph node involvement and recurrence status in patients with endometrial cancer. (A) HOTAIR and (B) miR-646 expression levels in control vs. patient groups. (C) HOTAIR and (D) miR-646 expression levels according to tumour grade. Endometrial cancer was classified as low grade (grades 1–2 endometrioid) and high grade (grade 3 endometrioid and non-endometrioid histology types). (E) HOTAIR and (F) miR-646 expression levels according to tumour stage. Stages IA and B were considered as early stages, while stages II–IV were considered high stages. (G) HOTAIR and (H) miR-646 expression levels according to lymph node involvement (negative vs. positive). (I) HOTAIR and (J) miR-646 expression levels according to recurrence status (recurrence-negative vs. recurrence-positive). *P<0.05. HOTAIR, Hox antisense intergenic RNA; miR, microRNA; ns, not significant.

Table II.

Spearman correlation between HOTAIR and miR-646.

Table II.

Spearman correlation between HOTAIR and miR-646.

Parameter r-valueP-value
HOTAIRmiR-6460.1050.212

[i] HOTAIR, Hox antisense intergenic RNA; miR, microRNA; r, Spearman's correlation coefficient.

Table III.

Spearman correlation of HOTAIR and miR-646 with CA125.

Table III.

Spearman correlation of HOTAIR and miR-646 with CA125.

Correlation with CA125

Parameterr-valueP-value
HOTAIR0.0910.288
miR-6460.0530.385

[i] HOTAIR, Hox antisense intergenic RNA; miR, microRNA; CA125, cancer antigen 125; r, Spearman's correlation coefficient.

ROC analysis was carried out to investigate the optimal cut-off values for serum HOTAIR and miR-646 expression levels to distinguish between patients with EC and the healthy controls. For HOTAIR, an expression level threshold of 1.08 was revealed to differentiate between patients with EC and healthy controls, with a sensitivity of 63.3% and a specificity of 61.2%. Therefore, patients were classified as being HOTAIR-positive (with a value of ≥1.08) or HOTAIR-negative (with a value of <1.08). For miR-646, an expression level cut-off value of 0.655 was demonstrated to distinguish between patients with advanced-stage and early-stage EC, with a sensitivity of 66.7% and a specificity of 72.7%. Therefore, patients were categorized as being miR-646-positive (≥0.655) or miR-646-negative (<0.655). These classification criteria are presented in Fig. 2.

Receiver operating characteristic
curve analyses for serum HOTAIR and miR-646. (A) To distinguish
patients with endometrial cancer from healthy controls, the cut-off
value for HOTAIR was 1.08. (B) To distinguish advanced from
early-stage endometrial cancer, the cut-off value for miR-646 was
0.655. HOTAIR, Hox antisense intergenic RNA; miR, microRNA; AUC,
area under the curve; SEN, sensitivity; SPE, specificity.

Figure 2.

Receiver operating characteristic curve analyses for serum HOTAIR and miR-646. (A) To distinguish patients with endometrial cancer from healthy controls, the cut-off value for HOTAIR was 1.08. (B) To distinguish advanced from early-stage endometrial cancer, the cut-off value for miR-646 was 0.655. HOTAIR, Hox antisense intergenic RNA; miR, microRNA; AUC, area under the curve; SEN, sensitivity; SPE, specificity.

No statistically significant differences in overall survival (in months) were observed between the HOTAIR-positive and -negative groups or between the miR-646-positive and -negative groups (Fig. 3).

Overall survival analysis according
to serum HOTAIR and miR-646 expression levels. Patients with
endometrial cancer were divided into high- or low-expression groups
based on median relative expression levels. (A) Patients were
classed as ‘negative’ or ‘positive’ if the median relative HOTAIR
expression levels were <1.08 or ≥1.08, respectively. (B)
Patients were classed as ‘negative’ or ‘positive’ if the median
relative miR-646 expression levels were <0.655 or ≥0.655,
respectively. HOTAIR, Hox antisense intergenic RNA; miR,
microRNA.

Figure 3.

Overall survival analysis according to serum HOTAIR and miR-646 expression levels. Patients with endometrial cancer were divided into high- or low-expression groups based on median relative expression levels. (A) Patients were classed as ‘negative’ or ‘positive’ if the median relative HOTAIR expression levels were <1.08 or ≥1.08, respectively. (B) Patients were classed as ‘negative’ or ‘positive’ if the median relative miR-646 expression levels were <0.655 or ≥0.655, respectively. HOTAIR, Hox antisense intergenic RNA; miR, microRNA.

Discussion

Although the incidence rate of EC has increased by >130% over the past three decades, with >417,000 new cases and ~97,370 mortalities reported worldwide in 2020 (1), reliable non-invasive diagnostic biomarkers are still unavailable. Advancing diagnostic methods and therapeutic strategies depends on elucidating the molecular pathways involved in this disease. ncRNAs, including lncRNAs and miRs, have garnered attention as potential biomarkers across various types of cancer such as breast, gastric and gynaecological cancer (29–32). While numerous studies have investigated the expression of HOTAIR and miR-646 in EC tissue samples, information regarding their circulating levels in serum is still insufficient (33,34).

ncRNA species, such as miRs, lncRNAs and circular RNAs (circRNAs), serve crucial roles in the positive and negative regulation of the expression of genes. Over the past two decades, numerous studies highlight the involvement of ncRNAs in various aspects of cell biology, particularly in cancer development, progression and drug resistance (43–48). These molecules participate in virtually all cellular processes and have fundamental roles at every stage of tumorigenesis. Altered expression levels of mRNAs, lncRNAs, circRNAs and miRs are reported in numerous types of cancer, such as triple-negative and oestrogen receptor-positive breast cancer, serving as potential biomarkers for diagnosis and therapeutic targets (43,47–50). Furthermore, ncRNAs have been studied as promising biomarkers for early detection and prognostic evaluation in various malignancies, including lung (26), gastric (31), breast (43), prostate (51), liver (52), colorectal (53), bladder (54), pancreatic (55) and haematological disorders (56). This evidence suggests that circulating lncRNAs in peripheral blood may potentially serve as non-invasive biomarkers for cancer diagnosis and monitoring.

The expression of miR is tissue-specific and serves a key role in maintaining cellular homeostasis. Their stability in circulation and cancer-specific expression patterns have led to their investigation as promising non-invasive biomarkers in various malignancies including breast, lung, colorectal and prostate cancer (57–61). Although the majority of studies focus on other types of cancer, such as ovarian, breast and colorectal cancer (59–61), evidence suggests that specific miRs and lncRNAs exhibit altered expression profiles in EC tissues compared with normal endometrium, indicating potential roles in diagnosis and prognosis (62).

HOTAIR is an important prognostic biomarker that is overexpressed in various types of cancer including breast, ovarian, colorectal and lung cancer (16–20). Its increased expression level is linked to higher levels of suppressor of zeste 12 (SUZ12), a gene involved in epigenetic regulation (63). This suggests that HOTAIR may serve a role in modifying chromatin structure in tumours (64,65). HOTAIR may also mediate genome-wide epigenetic changes by recruiting chromatin-modifying complexes such as the polycomb repressive complex 2 (containing enhancer of zeste homolog 2, SUZ12 and embryonic ectoderm development), which catalyses histone 3 lysine 27 trimethylation, and the lysine specific demethylase 1/corepressor for element-1-silencing transcription factor/RE1-silencing transcription factor complex, which demethylates the active histone hallmark histone H3 lysine 4 trimethylation (63,66). This mechanism may explain its overexpression in breast, colorectal, hepatocellular, gastrointestinal and pancreatic tumours (66). Located within the HOXC gene cluster, HOTAIR enhances tumour invasiveness and metastasis (63). Furthermore, Bhan et al (67) reports that the expression of HOTAIR is transcriptionally regulated by oestradiol. HOTAIR is similarly upregulated in EC in tumour tissues compared with normal endometrium. The expression of HOTAIR is associated with higher tumour grades, lymph node metastasis and poor clinical prognosis (21,22,68). Functional studies demonstrate that downregulation of HOTAIR can inhibit cell proliferation and invasion in vitro and in vivo (68,69). Furthermore, HOTAIR contributes to chemoresistance by promoting cisplatin resistance by regulating autophagy pathways in EC cells (70).

In the present study, serum HOTAIR expression levels were significantly increased in patients with EC compared with the control group. Although this difference was statistically significant, its diagnostic accuracy (sensitivity and specificity) was modest, limiting its immediate clinical applicability. In contrast to previous studies on tumour tissue (17,22,33,68–70) the results of the present study demonstrated no correlation between serum HOTAIR expression levels and disease stage, tumour grade or lymph node metastasis. Additionally, survival analysis revealed no significant association with patient outcomes. These discrepancies may be attributed to differences in the patient populations, or they may indicate that tissue-level associations may not be fully captured in serum-based assessments.

miR-646 is associated with numerous types of cancer including non-small cell lung, clear cell renal, retinoblastoma, laryngeal squamous cell, colorectal, gastric and breast cancer and is generally downregulated in malignancies, where it contributes to tumour growth, metastasis and invasion (25–31). By contrast, its upregulation suppresses these processes. Previous studies by Liu et al (32) and Zhou et al (33) demonstrate that miR-646 inhibits the expression of NPM1 and exerts tumour-suppressive effects in EC cell lines including HEC-1A and Ishikawa. The study by Zhou et al (33) demonstrates that miR-646 expression levels are reduced in both EC tissues and cancer cell lines compared with normal endometrial tissues and cells, respectively. Furthermore, HOTAIR reduces miR-646 expression levels in vitro, and a positive association between HOTAIR and NPM1, alongside a negative association between NPM1 and miR-646, is observed in EC tissues (32,33).

The results of the present study found no statistically significant difference in serum miR-646 expression levels between patients with EC and healthy controls. Additionally, miR-646 expression levels were not demonstrated to be associated with tumour grade, recurrence, lymph node metastasis or overall survival. However, patients with advanced-stage EC exhibited significantly lower miR-646 levels compared with those with early-stage EC. This suggested a possible association between miR-646 downregulation and disease progression, which may be potentially mediated through the NPM1 pathway. However, the expression of NPM1 was not assessed in the present investigation.

The associations between serum levels of HOTAIR and miR-646 with CA-125 were further investigated; however, no significant associations were revealed. ROC curve analysis of HOTAIR revealed an area under the curve of 0.617, with an optimal threshold value of 1.08, sensitivity of 63.3% and specificity of 61.2%. This suggested a modest diagnostic accuracy. Although these values indicated a modest diagnostic accuracy, they fall below the commonly accepted criteria for clinical applicability (AUC >0.80; sensitivity and specificity >80%) (71), which suggested that serum HOTAIR alone was insufficient for diagnostic use; however, it may serve as a potential adjunct biomarker. Future research focusing on exosomal HOTAIR expression levels may enhance diagnostic performance.

Regarding miR-646, ROC analysis differentiating early from advanced stages of EC demonstrated an optimal cut-off value of 0.655, with sensitivity and specificity values of 66.7 and 72.7%, respectively. Although these metrics were below the levels required for a clinically useful diagnostic test, they suggested that miR-646 may have a potential utility in disease staging, particularly if exosomal miR-646 expression levels are investigated in future studies. Although there was not a significant association between HOTAIR or miR-646 levels and tumour grade, lymph node metastasis or recurrence status, these findings should be interpreted cautiously. It is possible that serum-based assessments do not accurately reflect the tumour microenvironment, or that the small sample size of the present study limited the ability of the present study to detect these associations. The novelty of the present study was the evaluation of serum-based expression levels of HOTAIR and miR-646 as potential non-invasive biomarkers in EC, which, to the best of our knowledge, has not been previously reported in clinical patient samples.

The present study had several limitations. Firstly, in the present study, the expression of HOTAIR or miR-646 in exosomes was not assessed, which may provide a more accurate reflection of tumour-derived ncRNAs. Secondly, the small number of patients with lymph node metastasis and recurrence limited the possibility of conducting subgroup analyses. Thirdly, the absence of associations between miR-646 and certain clinicopathological features may be due to the characteristics of the cohort used in the present study or the lack of exosomal data. Finally, the use of GAPDH and U6 as endogenous controls for normalization may represent another limitation of the present study. Although these reference genes are used in serum-based analyses of lncRNA and miR to ensure comparability with previous studies, their stability in circulation is not absolute and may introduce technical variability. Future studies should incorporate spike-in controls, such as synthetic cel-miR-39 or Universal spike-in oligonucleotides, for both HOTAIR and miR-646 to monitor RNA extraction and reverse transcription efficiency (72), and use stable endogenous RNAs (such as U6 for miR-646 (73) and GAPDH or 18S ribosomal RNA for HOTAIR (74) to improve normalisation and enhance the reproducibility of results. In conclusion, the results of the present study reinforced the relevance of HOTAIR and miR-646 in EC. Serum HOTAIR may contribute to diagnosis, while serum miR-646 may reflect disease stage. However, both biomarkers require validation in larger, more diverse patient cohorts and studies incorporating exosomal analysis in order to clarify their clinical applicability in the diagnosis, monitoring and prognosis of EC. In addition to their potential use as biomarkers, the findings of the present study suggested that both HOTAIR and miR-646 may serve as targets for new treatment strategies in EC. The increased expression of HOTAIR could possibly be reduced by drugs that block its function, and the decreased expression of miR-646 in advanced stages may possibly be restored using miR-646 mimics. The results of the present study may be useful not only for diagnosis and prognosis but also for the development of novel therapies.

Acknowledgements

Not applicable.

Funding

The present study was supported by Istanbul University Scientific Research Projects Coordination Unit (BAP) (grant no. TYL-2021-38002).

Availability of data and materials

The data generated in the present study may be requested from the corresponding author.

Authors' contributions

RH, HK, YM, HS, ST, CK and AFA conceived and designed the experiments. RH, HK, YM, HS, ST, CK and AFA confirm the authenticity of all the raw data. RH, HK, YM, HS, ST, CK and AFA performed the experiments, including literature database searching where applicable, conducted data analysis, prepared figures and tables, and contributed to the drafting of the manuscript and its critical revision for important intellectual content. All authors read and approved the final version of the manuscript.

Ethics approval and consent to participate

The present study was approved by the Ethics Committee of Istanbul Faculty of Medicine, Istanbul University (approval date, 01.07.2021; approval no. 272576; Istanbul, Turkey). Written informed consent was obtained from all participants, and the study was conducted in accordance with the Declaration of Helsinki.

Patient consent for publication

Not applicable.

Competing interests

The authors declare that they have no competing interests.

Authors' information

ORCID IDs: Rızki Harismunandar, https://orcid.org/0009-0004-9966-9595; Hande Karpuzoğlu, https://orcid.org/0000-0001-9603-5838; Yağmur Minareci, https://orcid.org/0000-0003-1420-9318; Hamdullah Sözen, https://orcid.org/0000-0003-1894-1688; Samet Topuz, https://orcid.org/0000-0002-9069-0185; Canan Küçükgergin, https://orcid.org/0000-0002-1797-5889; A. Fatih Aydın, https://orcid.org/0000-0002-3336-4332.

Use of artificial intelligence tools

During the preparation of this work, artificial intelligence tools were used to improve the readability and language of the manuscript or to generate images, and subsequently, the authors revised and edited the content produced by the artificial intelligence tools as necessary, taking full responsibility for the ultimate content of the present manuscript.

References

1 

Baker-Rand H and Kitson SJ: Recent advances in endometrial cancer prevention, early diagnosis and treatment. Cancers (Basel). 16:10282024. View Article : Google Scholar : PubMed/NCBI

2 

Zaino RJ: Introduction to endometrial cancer. Molecular Pathology of Gynecologic Cancer. Giordano A, Bovicelli A and Kurman RJ: Humana Press; Totowa, NJ: pp. 51–72. 2007, View Article : Google Scholar

3 

Patni R: Current concepts in endometrial cancer. Endometrial Carcinoma: Evolution and Overview. Patni R: Springer; Singapore: pp. 1–10. 2017

4 

Pokharna S: Epidemiology and prevention of endometrial carcinoma. Current Concepts in Endometrial Cancer. Patni R: Springer; Singapore: pp. 11–18. 2017, View Article : Google Scholar

5 

Bokhman JV: Two pathogenetic types of endometrial carcinoma. Gynecol Oncol. 15:10–17. 1983. View Article : Google Scholar : PubMed/NCBI

6 

Wilczyński M, Danielska J and Wilczyński JR: An update of the classical Bokhman's dualistic model of endometrial cancer. Menopause Rev. 15:63–68. 2016. View Article : Google Scholar

7 

Collins FS and Mansoura MK: The human genome project. Cancer. 91:221–225. 2001. View Article : Google Scholar : PubMed/NCBI

8 

Jarroux J, Morillon A and Pinskaya M: History, discovery, and classification of lncRNAs. Adv Exp Med Biol. 1008:1–46. 2017. View Article : Google Scholar : PubMed/NCBI

9 

Wu M, Fu P, Qu L, Liu J and Lin A: Long noncoding RNAs: New critical regulators in cancer immunity. Front Oncol. 10:5509872020. View Article : Google Scholar : PubMed/NCBI

10 

Mattick JS and Makunin IV: Non-coding RNA. Hum Mol Genet. 15(Spec No 1): R17–R29. 2006. View Article : Google Scholar : PubMed/NCBI

11 

Bhattacharjee R, Prabhakar N, Kumar L, Bhattacharjee A, Kar S, Malik S, Kumar D, Ruokolainen J, Negi A, Jha NK and Kesari KK: Crosstalk between long noncoding RNA and microRNA in cancer. Cell Oncol (Dordr). 46:885–908. 2023. View Article : Google Scholar : PubMed/NCBI

12 

Slack FJ and Chinnaiyan AM: The role of non-coding RNAs in oncology. Cell. 179:1033–1055. 2019. View Article : Google Scholar : PubMed/NCBI

13 

Mercer TR, Dinger ME and Mattick JS: Long non-coding RNAs: Insights into functions. Nat Rev Genet. 10:155–159. 2009. View Article : Google Scholar : PubMed/NCBI

14 

Rinn JL, Kertesz M, Wang JK, Squazzo SL, Xu X, Brugmann SA, Goodnough LH, Helms JA, Farnham PJ, Segal E and Chang HY: Functional demarcation of active and silent chromatin domains in human HOX loci by noncoding RNAs. Cell. 129:1311–1323. 2007. View Article : Google Scholar : PubMed/NCBI

15 

Zhang X, Wang W, Zhu W, Dong J, Cheng Y, Yin Z and Shen F: Mechanisms and functions of long non-coding RNAs at multiple regulatory levels. Int J Mol Sci. 20:55732019. View Article : Google Scholar : PubMed/NCBI

16 

Hajjari M and Salavaty A: HOTAIR: An oncogenic long non-coding RNA in different cancers. Cancer Biol Med. 12:1–9. 2015.PubMed/NCBI

17 

Rajagopal T, Talluri S, Akshaya RL and Dunna NR: HOTAIR lncRNA: A novel oncogenic propellant in human cancer. Clin Chim Acta. 503:1–18. 2020. View Article : Google Scholar : PubMed/NCBI

18 

Qu X, Alsager S, Zhuo Y and Shan B: HOX transcript antisense RNA (HOTAIR) in cancer. Cancer Lett. 454:90–97. 2019. View Article : Google Scholar : PubMed/NCBI

19 

Wu Y, Zhang L, Wang Y, Li H, Ren X, Wei F, Yu W, Wang X, Zhang L, Yu J and Hao X: Long noncoding RNA HOTAIR involvement in cancer. Tumour Biol. 35:9531–9538. 2014. View Article : Google Scholar : PubMed/NCBI

20 

Mozdarani H, Ezzatizadeh V and Rahbar Parvaneh R: The emerging role of the long non-coding RNA HOTAIR in breast cancer development and treatment. J Transl Med. 18:1522020. View Article : Google Scholar : PubMed/NCBI

21 

Vallone C, Rigon G, Gulia C, Baffa A, Votino R, Morosetti G, Zaami S, Briganti V, Catania F, Gaffi M, et al: Coding RNAs and endometrial cancer. Genes (Basel). 9:1872018. View Article : Google Scholar : PubMed/NCBI

22 

He X, Bao W, Li X, Chen Z, Che Q, Wang H and Wan XP: The long non-coding RNA HOTAIR is upregulated in endometrial carcinoma and correlates with poor prognosis. Int J Mol Med. 33:325–332. 2014. View Article : Google Scholar : PubMed/NCBI

23 

Romano G, Veneziano D, Acunzo M and Croce C: Small non-coding RNA and cancer. Carcinogenesis. 38:485–491. 2017. View Article : Google Scholar : PubMed/NCBI

24 

Chen Y, Fu LL, Wen X, Liu B, Huang J, Wang JH and Wei YQ: Oncogenic and tumor suppressive roles of microRNAs in apoptosis and autophagy. Apoptosis. 19:1177–1189. 2014. View Article : Google Scholar : PubMed/NCBI

25 

Peng Y and Croce CM: The role of microRNAs in human cancer. Signal Transduct Target Ther. 1:150042016. View Article : Google Scholar : PubMed/NCBI

26 

Pan Y, Chen Y, Ma D, Ji Z, Cao F, Chen Z, Ning Y and Bai C: miR-646 is a key negative regulator of EGFR pathway in lung cancer. Exp Lung Res. 42:286–295. 2016. View Article : Google Scholar : PubMed/NCBI

27 

Zang Y, Li J, Wan B and Tai Y: circRNA circ-CCND1 promotes the proliferation of laryngeal squamous cell carcinoma via elevating CCND1 expression by interacting with HuR and miR-646. J Cell Mol Med. 24:2423–2433. 2020. View Article : Google Scholar : PubMed/NCBI

28 

Li W, Liu M, Feng Y, Xu YF, Huang YF, Che JP, Wang GC, Yao XD and Zheng JH: Downregulated miR-646 in clear cell renal carcinoma correlated with tumour metastasis by targeting the nin one binding protein (NOB1). Br J Cancer. 111:1188–1200. 2014. View Article : Google Scholar : PubMed/NCBI

29 

Zhang L, Wu J, Li Y, Jiang Y, Wang L, Chen Y, Lv Y, Zou Y and Ding X: Circ_0000527 promotes the progression of retinoblastoma by regulating miR-646/LRP6 axis. Cancer Cell Int. 20:3012020. View Article : Google Scholar : PubMed/NCBI

30 

Yang L, Liu G, Xiao S, Wang L, Liu X, Tan Q and Li Z: Long noncoding MT1JP enhanced the inhibitory effects of miR-646 on FGF2 in osteosarcoma. Cancer Biother Radiopharm. 35:371–376. 2020.PubMed/NCBI

31 

Zhang P, Tang WM, Zhang H, Li YQ, Peng Y, Wang J, Liu GN, Huang XT, Zhao JJ, Li G, et al: miR-646 inhibits cell proliferation and EMT-induced metastasis by targeting FOXK1 in gastric cancer. Br J Cancer. 117:525–534. 2017. View Article : Google Scholar : PubMed/NCBI

32 

Liu Y, Chen S, Zong ZH, Guan X and Zhao Y: CircRNA WHSC1 targets the miR-646/NPM1 pathway to promote the development of endometrial cancer. J Cell Mol Med. 24:6898–6907. 2020. View Article : Google Scholar : PubMed/NCBI

33 

Zhou YX, Wang C, Mao LW, Wang YL, Xia LQ, Zhao W, Shen J and Chen J: Long noncoding RNA HOTAIR mediates the estrogen-induced metastasis of endometrial cancer cells via the miR-646/NPM1 axis. Am J Physiol Cell Physiol. 314:C690–C701. 2018. View Article : Google Scholar : PubMed/NCBI

34 

Wang WT, Zhao YN, Yan JX, Weng MY, Wang Y, Chen YQ and Hong SJ: Differentially expressed microRNAs in the serum of cervical squamous cell carcinoma patients before and after surgery. J Hematol Oncol. 7:62014. View Article : Google Scholar : PubMed/NCBI

35 

Murali R, Davidson B, Fadare O, Carlson JA, Crum CP, Gilks CB, Irving JA, Malpica A, Matias-Guiu X, McCluggage WG, et al: High-grade endometrial carcinomas: Morphologic and immunohistochemical features, diagnostic challenges and recommendations. Int J Gynecol Pathol. 38:40–63. 2019. View Article : Google Scholar

36 

Zhang C and Zheng W: High-grade endometrial carcinomas: Morphologic spectrum and molecular classification. Semin Diagn Pathol. 39:176–186. 2022. View Article : Google Scholar : PubMed/NCBI

37 

Oliva E and Soslow RA: High-grade endometrial carcinomas. Surg Pathol Clin. 4:199–241. 2011. View Article : Google Scholar : PubMed/NCBI

38 

Concin N, Matias-Guiu X, Vergote I, Cibula D, Mirza MR, Marnitz S, Lederman S, Bosse T, Chargari C, Fagotti A, et al: ESGO/ESTRO/ESP guidelines for the management of patients with endometrial carcinoma. Int J Gynecol Cancer. 31:12–39. 2021. View Article : Google Scholar : PubMed/NCBI

39 

NCCN Clinical Practice Guidelines in Oncology (NCCN Guidelines®), . Uterine Neoplasms. Version 3.2025. National Comprehensive Cancer Network; Plymouth Meeting, PA: 2025

40 

Livak KJ and Schmittgen TD: Analysis of relative gene expression data using real-time quantitative PCR and the 2(−Delta Delta C(T)) method. Methods. 25:402–408. 2001. View Article : Google Scholar : PubMed/NCBI

41 

Mohamad N, Khedr AMB, Shaker OG and Hassan M: Expression of long noncoding RNA, HOTAIR, and MicroRNA-205 and their relation to transforming growth factor β1 in patients with alopecia Areata. Skin Appendage Disord. 9:111–120. 2023. View Article : Google Scholar : PubMed/NCBI

42 

Wang B, Sun Q, Ye W, Li L and Jin P: Long non-coding RNA CDKN2B-AS1 enhances LPS-induced apoptotic and inflammatory damages in human lung epithelial cells via regulating the miR-140-5p/TGFBR2/Smad3 signal network. BMC Pulm Med. 21:2002021. View Article : Google Scholar : PubMed/NCBI

43 

İlhan B, Kuraş S, Kılıç B, Tilgen Yasasever C, Oğuz Soydinç H, Alsaadoni H, Öztan G, Adamnejad Ghafour A, Ucuncu M, Kunduz E and Bademler S: Exploratory analysis of circulating serum miR-197-3p, miR-1236, and miR-1271 expression in early breast cancer. Int J Mol Sci. 26:89442025. View Article : Google Scholar : PubMed/NCBI

44 

Melton C, Reuter JA, Spacek DV and Snyder M: Recurrent somatic mutations in regulatory regions of human cancer genomes. Nat Genet. 47:710–716. 2015. View Article : Google Scholar : PubMed/NCBI

45 

Egranova SD, Hua Q, Lina C and Yanga L: lncRNAs as tumor cell intrinsic factors that affect cancer immunotherapy. RNA Biol. 17:1625–1627. 2020. View Article : Google Scholar : PubMed/NCBI

46 

Bhan A, Soleimani M and Mandal SS: Long noncoding RNA and cancer: A new paradigm. Cancer Res. 77:3965–3981. 2017. View Article : Google Scholar : PubMed/NCBI

47 

Kansara S, Pandey V, Lobie PE, Sethi G, Garg M and Pandey AK: Mechanistic involvement of long noncoding RNAs in oncotherapeutics resistance in triple-negative breast cancer. Cells. 9:15112020. View Article : Google Scholar : PubMed/NCBI

48 

Basak P, Chatterjee S, Bhat V, Su A, Jin H, Lee-Wing V, Liu Q, Hu P, Murphy LC and Raouf A: Long non-coding RNA H19 acts as an estrogen receptor modulator that is required for endocrine therapy resistance in ER+ breast cancer cells. Cell Physiol Biochem. 51:1518–1532. 2018. View Article : Google Scholar : PubMed/NCBI

49 

Anastasiadou E, Jacob LS and Slack FJ: Non-coding RNA networks in cancer. Nat Rev Cancer. 18:5–18. 2018. View Article : Google Scholar : PubMed/NCBI

50 

Whitfield ML, George LK, Grant GD and Perou CM: Common markers of proliferation. Nat Rev Cancer. 6:99–106. 2006. View Article : Google Scholar : PubMed/NCBI

51 

Ding L, Wang R, Shen D, Cheng S, Wang H, Lu Z, Zheng Q, Wang L, Xia L and Li G: Role of noncoding RNA in drug resistance of prostate cancer. Cell Death Dis. 12:5902021. View Article : Google Scholar : PubMed/NCBI

52 

Chen N, Li Y and Li X: Dynamic role of long noncoding RNA in liver diseases: Pathogenesis and diagnostic aspects. Clin Exp Med. 25:1602025. View Article : Google Scholar : PubMed/NCBI

53 

Lin Y, Zhao W, Pu R, Lv Z, Xie H, Li Y and Zhang Z: Long non coding RNAs as diagnostic and prognostic biomarkers for colorectal cancer (Review). Oncol Lett. 28:4862024. View Article : Google Scholar : PubMed/NCBI

54 

Li S, Zhao Y and Chen X: Microarray expression profile analysis of circular RNAs and their potential regulatory role in bladder carcinoma. Oncol Rep. 45:239–253. 2021. View Article : Google Scholar : PubMed/NCBI

55 

Kawai M, Fukuda A, Otomo R, Obata S, Minaga K, Asada M, Umemura A, Uenoyama Y, Hieda N, Morita T, et al: Early detection of pancreatic cancer by comprehensive serum miRNA sequencing with automated machine learning. Br J Cancer. 131:1158–1168. 2024. View Article : Google Scholar : PubMed/NCBI

56 

Wong NK, Huang CL, Islam R and Yip SP: Long non-coding RNAs in hematological malignancies: Translating basic techniques into diagnostic and therapeutic strategies. J Hematol Oncol. 11:1312018. View Article : Google Scholar : PubMed/NCBI

57 

Ludwig N, Leidinger P, Becker K, Backes C, Fehlmann T, Pallasch C, Rheinheimer S, Meder B, Stähler C, Meese E and Keller A: Distribution of miRNA expression across human tissues. Nucleic Acids Res. 44:3865–3877. 2016. View Article : Google Scholar : PubMed/NCBI

58 

Landgraf P, Rusu M, Sheridan R, Sewer A, Iovino N, Aravin A, Pfeffer S, Rice A, Kamphorst AO, Landthaler M, et al: A mammalian microRNA expression atlas based on small RNA library sequencing. Cell. 129:1401–1414. 2007. View Article : Google Scholar : PubMed/NCBI

59 

Valihrach L, Androvic P and Kubista M: Circulating miRNA analysis for cancer diagnostics and therapy. Mol Aspects Med. 72:1008262020. View Article : Google Scholar : PubMed/NCBI

60 

Chung YW, Bae HS, Song JY, Lee JK, Lee NW, Kim T and Lee KW: Detection of microRNA as novel biomarkers of epithelial ovarian cancer from the serum of ovarian cancer patients. Int J Gynecol Cancer. 23:673–679. 2013. View Article : Google Scholar : PubMed/NCBI

61 

Iorio MV and Croce CM: microRNA dysregulation in cancer: Diagnostics, monitoring and therapeutics. EMBO Mol Med. 4:143–159. 2012. View Article : Google Scholar : PubMed/NCBI

62 

Donkers H, Bekkers R and Galaal K: Diagnostic value of microRNA panel in endometrial cancer: A systematic review. Oncotarget. 11:2010–2023. 2020. View Article : Google Scholar : PubMed/NCBI

63 

Gupta RA, Shah N, Wang KC, Kim J, Horlings HM, Wong DJ, Tsai MC, Hung T, Argani P, Rinn JL, et al: Long non-coding RNA HOTAIR reprograms chromatin state to promote cancer metastasis. Nature. 464:1071–1076. 2010. View Article : Google Scholar : PubMed/NCBI

64 

Ayers D: Long non-coding RNAs: Novel emergent biomarkers for cancer diagnostics. J Cancer Res Treat. 1:31–35. 2013.

65 

Akman HB and Bensan AE: Noncoding RNAs and cancer. Turk J Biol. 38:817–828. 2014. View Article : Google Scholar

66 

Beckedorff FC, Amaral MS, Deocesano-Pereira C and Verjovski-Almeida S: Long noncoding RNAs and their implications in cancer epigenetics. Biosci Rep. 33:701–713. 2013. View Article : Google Scholar : PubMed/NCBI

67 

Bhan A, Hussain I, Ansari KI, Kasiri S, Bashyal A and Mandal SS: Antisense transcript long noncoding RNA (lncRNA) HOTAIR is transcriptionally induced by estradiol. J Mol Biol. 425:3707–3722. 2013. View Article : Google Scholar : PubMed/NCBI

68 

Huang J, Ke P, Guo L, Wang W, Tan H, Liang Y and Yao S: Lentivirus-mediated RNA interference targeting the long noncoding RNA HOTAIR inhibits proliferation and invasion of endometrial carcinoma cells in vitro and in vivo. Int J Gynecol Cancer. 24:635–642. 2014. View Article : Google Scholar : PubMed/NCBI

69 

Zhou Y, Zhang Y, Shao Y, Yue X, Chu Y, Yang C and Chen D: LncRNA HOTAIR down-expression inhibits the invasion and tumorigenicity of epithelial ovarian cancer cells by suppressing TGF-β1 and ZEB1. Discov Oncol. 14:2282023. View Article : Google Scholar : PubMed/NCBI

70 

Sun MY, Zhu JY, Zhang CY, Zhang M, Song YN, Rahman K, Zhang LJ and Zhang H: Autophagy regulated by lncRNA HOTAIR contributes to the cisplatin-induced resistance in endometrial cancer cells. Biotechnol Lett. 39:1477–1484. 2017. View Article : Google Scholar : PubMed/NCBI

71 

Çorbacıoğlu ŞK and Aksel G: Receiver operating characteristic curve analysis in diagnostic accuracy studies: A guide to interpreting the area under the curve value. Turk J Emerg Med. 23:195–198. 2023. View Article : Google Scholar : PubMed/NCBI

72 

Roest HP, IJzermans JNM and van der Laan LJW: Evaluation of RNA isolation methods for microRNA quantification in a range of clinical biofluids. BMC Biotechnol. 21:482021. View Article : Google Scholar : PubMed/NCBI

73 

Peltier HJ and Latham GJ: Normalization of microRNA expression levels in quantitative RT-PCR assays: Identification of suitable reference RNA targets in normal and cancerous human solid tissues. RNA. 14:844–852. 2008. View Article : Google Scholar : PubMed/NCBI

74 

Aerts JL, Gonzales MI and Topalian SL: Selection of appropriate control genes to assess expression of tumor antigens using real-time RT-PCR. BioTechniques. 36:84–86. 8890–101. 2004. View Article : Google Scholar : PubMed/NCBI

Related Articles

  • Abstract
  • View
  • Download
  • Twitter
Copy and paste a formatted citation
Spandidos Publications style
Hari̇smunandar R, Karpuzoğlu H, Mi̇nareci̇ Y, Sözen H, Topuz S, Küçükgergi̇n C and Aydin AF: Serum expression levels of HOTAIR and miR‑646 in endometrial cancer. Oncol Lett 31: 90, 2026.
APA
Hari̇smunandar, R., Karpuzoğlu, H., Mi̇nareci̇, Y., Sözen, H., Topuz, S., Küçükgergi̇n, C., & Aydin, A.F. (2026). Serum expression levels of HOTAIR and miR‑646 in endometrial cancer. Oncology Letters, 31, 90. https://doi.org/10.3892/ol.2025.15443
MLA
Hari̇smunandar, R., Karpuzoğlu, H., Mi̇nareci̇, Y., Sözen, H., Topuz, S., Küçükgergi̇n, C., Aydin, A. F."Serum expression levels of HOTAIR and miR‑646 in endometrial cancer". Oncology Letters 31.2 (2026): 90.
Chicago
Hari̇smunandar, R., Karpuzoğlu, H., Mi̇nareci̇, Y., Sözen, H., Topuz, S., Küçükgergi̇n, C., Aydin, A. F."Serum expression levels of HOTAIR and miR‑646 in endometrial cancer". Oncology Letters 31, no. 2 (2026): 90. https://doi.org/10.3892/ol.2025.15443
Copy and paste a formatted citation
x
Spandidos Publications style
Hari̇smunandar R, Karpuzoğlu H, Mi̇nareci̇ Y, Sözen H, Topuz S, Küçükgergi̇n C and Aydin AF: Serum expression levels of HOTAIR and miR‑646 in endometrial cancer. Oncol Lett 31: 90, 2026.
APA
Hari̇smunandar, R., Karpuzoğlu, H., Mi̇nareci̇, Y., Sözen, H., Topuz, S., Küçükgergi̇n, C., & Aydin, A.F. (2026). Serum expression levels of HOTAIR and miR‑646 in endometrial cancer. Oncology Letters, 31, 90. https://doi.org/10.3892/ol.2025.15443
MLA
Hari̇smunandar, R., Karpuzoğlu, H., Mi̇nareci̇, Y., Sözen, H., Topuz, S., Küçükgergi̇n, C., Aydin, A. F."Serum expression levels of HOTAIR and miR‑646 in endometrial cancer". Oncology Letters 31.2 (2026): 90.
Chicago
Hari̇smunandar, R., Karpuzoğlu, H., Mi̇nareci̇, Y., Sözen, H., Topuz, S., Küçükgergi̇n, C., Aydin, A. F."Serum expression levels of HOTAIR and miR‑646 in endometrial cancer". Oncology Letters 31, no. 2 (2026): 90. https://doi.org/10.3892/ol.2025.15443
Follow us
  • Twitter
  • LinkedIn
  • Facebook
About
  • Spandidos Publications
  • Careers
  • Cookie Policy
  • Privacy Policy
How can we help?
  • Help
  • Live Chat
  • Contact
  • Email to our Support Team