Spandidos Publications Logo
  • About
    • About Spandidos
    • Aims and Scopes
    • Abstracting and Indexing
    • Editorial Policies
    • Reprints and Permissions
    • Job Opportunities
    • Terms and Conditions
    • Contact
  • Journals
    • All Journals
    • Oncology Letters
      • Oncology Letters
      • Information for Authors
      • Editorial Policies
      • Editorial Board
      • Aims and Scope
      • Abstracting and Indexing
      • Bibliographic Information
      • Archive
    • International Journal of Oncology
      • International Journal of Oncology
      • Information for Authors
      • Editorial Policies
      • Editorial Board
      • Aims and Scope
      • Abstracting and Indexing
      • Bibliographic Information
      • Archive
    • Molecular and Clinical Oncology
      • Molecular and Clinical Oncology
      • Information for Authors
      • Editorial Policies
      • Editorial Board
      • Aims and Scope
      • Abstracting and Indexing
      • Bibliographic Information
      • Archive
    • Experimental and Therapeutic Medicine
      • Experimental and Therapeutic Medicine
      • Information for Authors
      • Editorial Policies
      • Editorial Board
      • Aims and Scope
      • Abstracting and Indexing
      • Bibliographic Information
      • Archive
    • International Journal of Molecular Medicine
      • International Journal of Molecular Medicine
      • Information for Authors
      • Editorial Policies
      • Editorial Board
      • Aims and Scope
      • Abstracting and Indexing
      • Bibliographic Information
      • Archive
    • Biomedical Reports
      • Biomedical Reports
      • Information for Authors
      • Editorial Policies
      • Editorial Board
      • Aims and Scope
      • Abstracting and Indexing
      • Bibliographic Information
      • Archive
    • Oncology Reports
      • Oncology Reports
      • Information for Authors
      • Editorial Policies
      • Editorial Board
      • Aims and Scope
      • Abstracting and Indexing
      • Bibliographic Information
      • Archive
    • Molecular Medicine Reports
      • Molecular Medicine Reports
      • Information for Authors
      • Editorial Policies
      • Editorial Board
      • Aims and Scope
      • Abstracting and Indexing
      • Bibliographic Information
      • Archive
    • World Academy of Sciences Journal
      • World Academy of Sciences Journal
      • Information for Authors
      • Editorial Policies
      • Editorial Board
      • Aims and Scope
      • Abstracting and Indexing
      • Bibliographic Information
      • Archive
    • International Journal of Functional Nutrition
      • International Journal of Functional Nutrition
      • Information for Authors
      • Editorial Policies
      • Editorial Board
      • Aims and Scope
      • Abstracting and Indexing
      • Bibliographic Information
      • Archive
    • International Journal of Epigenetics
      • International Journal of Epigenetics
      • Information for Authors
      • Editorial Policies
      • Editorial Board
      • Aims and Scope
      • Abstracting and Indexing
      • Bibliographic Information
      • Archive
    • Medicine International
      • Medicine International
      • Information for Authors
      • Editorial Policies
      • Editorial Board
      • Aims and Scope
      • Abstracting and Indexing
      • Bibliographic Information
      • Archive
  • Articles
  • Information
    • Information for Authors
    • Information for Reviewers
    • Information for Librarians
    • Information for Advertisers
    • Conferences
  • Language Editing
Spandidos Publications Logo
  • About
    • About Spandidos
    • Aims and Scopes
    • Abstracting and Indexing
    • Editorial Policies
    • Reprints and Permissions
    • Job Opportunities
    • Terms and Conditions
    • Contact
  • Journals
    • All Journals
    • Biomedical Reports
      • Information for Authors
      • Editorial Policies
      • Editorial Board
      • Aims and Scope
      • Abstracting and Indexing
      • Bibliographic Information
      • Archive
    • Experimental and Therapeutic Medicine
      • Information for Authors
      • Editorial Policies
      • Editorial Board
      • Aims and Scope
      • Abstracting and Indexing
      • Bibliographic Information
      • Archive
    • International Journal of Epigenetics
      • Information for Authors
      • Editorial Policies
      • Editorial Board
      • Aims and Scope
      • Abstracting and Indexing
      • Bibliographic Information
      • Archive
    • International Journal of Functional Nutrition
      • Information for Authors
      • Editorial Policies
      • Editorial Board
      • Aims and Scope
      • Abstracting and Indexing
      • Bibliographic Information
      • Archive
    • International Journal of Molecular Medicine
      • Information for Authors
      • Editorial Policies
      • Editorial Board
      • Aims and Scope
      • Abstracting and Indexing
      • Bibliographic Information
      • Archive
    • International Journal of Oncology
      • Information for Authors
      • Editorial Policies
      • Editorial Board
      • Aims and Scope
      • Abstracting and Indexing
      • Bibliographic Information
      • Archive
    • Medicine International
      • Information for Authors
      • Editorial Policies
      • Editorial Board
      • Aims and Scope
      • Abstracting and Indexing
      • Bibliographic Information
      • Archive
    • Molecular and Clinical Oncology
      • Information for Authors
      • Editorial Policies
      • Editorial Board
      • Aims and Scope
      • Abstracting and Indexing
      • Bibliographic Information
      • Archive
    • Molecular Medicine Reports
      • Information for Authors
      • Editorial Policies
      • Editorial Board
      • Aims and Scope
      • Abstracting and Indexing
      • Bibliographic Information
      • Archive
    • Oncology Letters
      • Information for Authors
      • Editorial Policies
      • Editorial Board
      • Aims and Scope
      • Abstracting and Indexing
      • Bibliographic Information
      • Archive
    • Oncology Reports
      • Information for Authors
      • Editorial Policies
      • Editorial Board
      • Aims and Scope
      • Abstracting and Indexing
      • Bibliographic Information
      • Archive
    • World Academy of Sciences Journal
      • Information for Authors
      • Editorial Policies
      • Editorial Board
      • Aims and Scope
      • Abstracting and Indexing
      • Bibliographic Information
      • Archive
  • Articles
  • Information
    • For Authors
    • For Reviewers
    • For Librarians
    • For Advertisers
    • Conferences
  • Language Editing
Login Register Submit
  • This site uses cookies
  • You can change your cookie settings at any time by following the instructions in our Cookie Policy. To find out more, you may read our Privacy Policy.

    I agree
Search articles by DOI, keyword, author or affiliation
Search
Advanced Search
presentation
Oncology Letters
Join Editorial Board Propose a Special Issue
Print ISSN: 1792-1074 Online ISSN: 1792-1082
Journal Cover
March-2026 Volume 31 Issue 3

Full Size Image

Sign up for eToc alerts
Recommend to Library

Journals

International Journal of Molecular Medicine

International Journal of Molecular Medicine

International Journal of Molecular Medicine is an international journal devoted to molecular mechanisms of human disease.

International Journal of Oncology

International Journal of Oncology

International Journal of Oncology is an international journal devoted to oncology research and cancer treatment.

Molecular Medicine Reports

Molecular Medicine Reports

Covers molecular medicine topics such as pharmacology, pathology, genetics, neuroscience, infectious diseases, molecular cardiology, and molecular surgery.

Oncology Reports

Oncology Reports

Oncology Reports is an international journal devoted to fundamental and applied research in Oncology.

Experimental and Therapeutic Medicine

Experimental and Therapeutic Medicine

Experimental and Therapeutic Medicine is an international journal devoted to laboratory and clinical medicine.

Oncology Letters

Oncology Letters

Oncology Letters is an international journal devoted to Experimental and Clinical Oncology.

Biomedical Reports

Biomedical Reports

Explores a wide range of biological and medical fields, including pharmacology, genetics, microbiology, neuroscience, and molecular cardiology.

Molecular and Clinical Oncology

Molecular and Clinical Oncology

International journal addressing all aspects of oncology research, from tumorigenesis and oncogenes to chemotherapy and metastasis.

World Academy of Sciences Journal

World Academy of Sciences Journal

Multidisciplinary open-access journal spanning biochemistry, genetics, neuroscience, environmental health, and synthetic biology.

International Journal of Functional Nutrition

International Journal of Functional Nutrition

Open-access journal combining biochemistry, pharmacology, immunology, and genetics to advance health through functional nutrition.

International Journal of Epigenetics

International Journal of Epigenetics

Publishes open-access research on using epigenetics to advance understanding and treatment of human disease.

Medicine International

Medicine International

An International Open Access Journal Devoted to General Medicine.

Journal Cover
March-2026 Volume 31 Issue 3

Full Size Image

Sign up for eToc alerts
Recommend to Library

  • Article
  • Citations
    • Cite This Article
    • Download Citation
    • Create Citation Alert
    • Remove Citation Alert
    • Cited By
  • Similar Articles
    • Related Articles (in Spandidos Publications)
    • Similar Articles (Google Scholar)
    • Similar Articles (PubMed)
  • Download PDF
  • Download XML
  • View XML

  • Supplementary Files
    • Supplementary_Data1.pdf
    • Supplementary_Data2.pdf
Article Open Access

Prognostic value of glioma‑associated oncogene homolog 1 and SET domain‑containing protein 2 immunohistochemical scores in locally advanced cervical cancer

  • Authors:
    • Erick De La Cruz‑Hernández
    • Gabriela Carolina Morales‑Sandoval
    • Marcela Lizano
    • Alejandro Avilés‑Salas
    • Leonardo Josué Castro‑Muñoz
    • Adela Carrillo‑García
    • Maria Del Pilar Ramos‑Godinez
    • Jaime Alberto Coronel‑Martinez
    • Adriana Contreras‑Paredes
  • View Affiliations / Copyright

    Affiliations: Laboratorio de Investigación en Enfermedades Metabólicas e Infecciosas, División Académica Multidisciplinaria de Comalcalco, Universidad Juárez Autónoma de Tabasco, Comalcalco, Tabasco 86650, México, Biomedicina Molecular, Instituto Politécnico Nacional, Ciudad de México 07738, México, Unidad de Investigación Biomédica en Cáncer, Instituto Nacional de Cancerología, Ciudad de México 14080, México, Departamento de Patología Quirúrgica, Instituto Nacional de Cancerología, Ciudad de México 14080, México, The Wistar Institute, Philadelphia, PA 19104, USA, Subdirección de Investigación Clínica, Instituto Nacional de Cancerología, Ciudad de México 14080, México
    Copyright: © De La Cruz‑Hernández et al. This is an open access article distributed under the terms of Creative Commons Attribution License.
  • Article Number: 105
    |
    Published online on: January 12, 2026
       https://doi.org/10.3892/ol.2026.15458
  • Expand metrics +
Metrics: Total Views: 0 (Spandidos Publications: | PMC Statistics: )
Metrics: Total PDF Downloads: 0 (Spandidos Publications: | PMC Statistics: )
Cited By (CrossRef): 0 citations Loading Articles...

This article is mentioned in:


Abstract

The prognosis of patients with locally advanced cervical cancer (LACC) is often poor due to high treatment resistance. The present study aimed to investigate the association between the levels and localization of SET domain‑containing protein 2 (SETD2) and glioma‑associated oncogene homolog 1 (GLI1) proteins, which are implicated in CC, and their association with clinical outcomes in patients with LACC. In total, 84 patients with LACC diagnosed at Instituto Nacional de Cancerología (México City, México) between January 2016 and December 2018 were analyzed. Immunohistochemical staining was performed to evaluate the expression and localization of SETD2 and GLI1 proteins and immunoreactivity score (IS) was calculated. The association between IS and protein localization and clinicopathological factors and clinical outcomes was examined using the log‑rank test and Cox regression model to investigate the disease‑free survival (DFS) and overall survival (OS). The median age of the cohort was 46 years (range, 25‑81 years). Analysis of SETD2 and IS values according to the sociodemographic and histopathological characteristics of the patients demonstrated that increased nuclear GLI1 (nGLI1) levels were significantly associated with a history of hormonal contraceptive use (P=0.029). Patients with nGLI1 IS >6 exhibited significantly worse OS (P=0.004) and DFS rates (P=0.013) compared with those with nGLI1 (IS <6). The univariate analysis revealed that lower OS was associated with nGLI IS >6 [hazard ratio (HR), 1.50; 95% CI, 1.44‑14.13; P=0.010] and ncGLI1 IS <6 (HR, 1.86; 95% CI, 1.42‑29.5; P=0.016), whereas a lower probability of DFS was significantly correlated with nGLI IS >6 (HR, 1.53; 95% CI, 1.23‑17.49; P=0.023). The present study results demonstrated the utility of IS in evaluating the prognostic impact of SETD2 and GLI1 expression in patients with LACC.

Introduction

Cervical cancer (CC) is the fourth most common cancer in female patients worldwide, with an estimated incidence of 662,301 novel cases and 348,874 deaths in 2022 (1,2). It has been reported that ~90% of CC deaths occur in low- and middle-income countries and are primarily associated with delayed diagnosis and failure to deliver guideline-concordant treatment in the advanced stages of CC (3).

According to the International Federation of Gynecology and Obstetrics classification system, the treatment of invasive CC depends on clinical evaluation and histopathological characteristics of tumors (4). However, some patients do not respond to the treatment chosen based on these criteria, highlighting the need to find predictive biomarkers to lower the risk of disease recurrence or metastasis (5). Furthermore, the identification of genetic and epigenetic alterations associated with therapy resistance may increase survival in patients with locally advanced (LA)CC (5).

SET domain-containing protein 2 (SETD2) is a tumor suppressor associated with the trimethylation of lysine 36 on histone 3 (H3K36me3), a histone mark primarily associated with actively transcribed regions. Loss of function of SETD2 due to deletion or mutation is frequently detected in hematological and solid tumors, such as renal, lung, colon and breast cancer and CC (6). Furthermore, SETD2 mutations are associated with acquired chemoradiotherapy (CRT) resistance and poor survival due to alterations in mechanisms associated with DNA damage repair and tumor heterogeneity mediated by chromatin instability (7).

The increased risk of CRT resistance associated with the loss of SETD2 is associated with the increased activity of the hedgehog (Hh) and Wnt/β-catenin pathways in patients with brain cancer and osteosarcoma, respectively (7,8). Additionally, abnormal Hh signaling is detected in multiple human malignant tumors (9). In CC, alterations in Hh signaling are frequently associated with an increased risk of developing CRT, which may be associated with tumor hypoxia (10–13). Furthermore, increased expression of the glioma-associated oncogene homolog 1 (GLI1) protein, a transcriptional activator of the Hh pathway, is associated with chemoresistance in gynecological cancer (14). To the best of our knowledge, however, the relationship between SETD2 and GLI1 protein levels has not been investigated and their potential role as prognostic markers in patients with LACC remains unknown.

The present study explored the relationship between SETD2 and GLI1 based on their localization and protein levels using immunohistochemical assays. In addition, the immunoreactivity scores (IS) of SETD2 and GLI1, as well as the pathological characteristics of tumors and survival indicators, were evaluated to determine their potential utility as prognostic biomarkers in patients with LACC.

Materials and methods

Patients and sample collection

The present retrospective study included 84 patients, aged 25–81 years, with histological results of squamous cell cervical carcinoma (SCC), adenocarcinoma (ADC) and adenosquamous cell carcinoma (ASC) who received treatment between January 2016 and December 2018 at the National Cancer Institute (México City, México). The inclusion criteria were as follows: i) Patients with a diagnosis of LACC [stage IB1-IVA; International Federation of Gynecology and Obstetrics (FIGO) 2009] (15); ii) patients who underwent biopsy; iii) patients who did not receive treatment before biopsy (chemotherapy, radiotherapy, immunotherapy or hormonal therapy) and iv) patients who received concurrent treatment with cisplatin 40 mg/m2 weekly with external beam radiation therapy of 45 Gy. Patients with incomplete treatment schemes or other types of primary cancer were excluded from the present study.

Treatment response was evaluated according to the Response Evaluation Criteria In Solid Tumors (RECIST; version 1.1) (16). Patients with complete and partial responses were defined as responders, whereas those with stable or progressive disease were designated as non-responders.

Sociodemographic and clinicopathological data were collected from the medical files. Smoking was defined as consumption of ≥2 cigarettes/week for ≥1 year at any point in their lifetime; alcohol consumption was defined as alcohol intake >1 drink/day on average.

Immunohistochemistry (IHC)

IHC staining was performed using formalin-fixed tissue as described previously (17). Formalin-fixed paraffin-embedded tumor blocks were obtained from the Institutional Pathology Tissue Bank between January 2024 and March 2024. Polyclonal antibodies directed at the C-terminus of SETD2 (cat. no. HPA042451; 1:50; Millipore Sigma) and GLI-1/GLI1 (cat no. C1; 1:50; Santa Cruz Biotechnology, Inc.) were used for the IHC assays. The conditions and antibody concentrations were previously validated in colon adenocarcinoma tissue for GLI1 and in the human small intestine for the SETD2 protein.

Two observers specializing in gynecological oncology at the National Institute of Cancer independently evaluated and scored immunoreactivity in a blinded manner. SETD2 and GLI1 expression were analyzed according to a previously described IS (18). The percentage of tumor-positive cells was graded as follows: 0, <5%; 1, 6–25%; 2, 26–50%; 3, 51–75% and 4, 76–100%. Positive cells (5%) were used as the cut-off to define negative tumors. The intensity of the immunoreactivity was scored as follows: 1, weak; 2, moderate and 3, strong. The percentage of positive cells and intensity values were multiplied to obtain the IS. Localization was categorized as membranous, cytoplasmic, nuclear or a combination.

DNA extraction and human papillomavirus (HPV) genotyping

Genomic DNA was extracted from the tumor tissue using the QIAamp DNA FFPE tissue kit (cat. no. 56404, Qiagen GmbH) according to the manufacturer's instructions. The integrity of extracted DNA was evaluated by PCR amplification of the β-globin gene using specific primers (forward: 5′GAAGAGCCAAGGACAGGTAC3′; reverse: 5′CAACTTCATCCACGTTCACC3′ as described previously (19). Primers were synthesized at Integrated DNA Technologies (San Diego, Ca, USA).

HPV sequences were detected and typed using the E6 nested multiplex PCR protocol (Table SI) (20). PCR products were analyzed by electrophoresis on 2% agarose gels stained with GelRed (Biotium, Inc.) and visualized using the iBright FL1500 documentation system (Thermo Fisher Scientific, Inc.). The HPV type was determined by assessing the size of the amplified fragments. DNA samples from HPV-positive HeLa and CaSki cell lines (American Type Culture Collection), cultured in DMEM-F12 medium (GIBCO-BRL) with 10% fetal bovine serum (FBS) (Gibco; Thermo Fisher Scientific, Inc.) and incubated at 37°C in a humidified environment with 5% CO2 was used as positive controls, while a mixture without DNA was used as a negative control.

Statistical analysis

All statistical analyses were performed using SPSS software (version 22; IBM Corp.). Descriptive statistics are presented as mean ± SD of ≥2 independent experimental repeats for normally distributed values and median (25th and 75th percentiles) for skewed variables. The unpaired Student's t-test, Mann-Whitney U and Kruskal-Wallis tests were used to assess quantitative variables. Pearson's correlation coefficient was used to evaluate the correlation between SETD2 and GLI1 levels. Fisher's exact test was used to evaluate differences between categorical variables. Overall survival (OS) and disease-free survival (DFS) were estimated using the Kaplan-Meier method according to IS categories. Cox proportional hazard regression models were used to estimate the hazard ratios (HR) and 95% CIs of the variables with OS and DFS. P<0.05 was considered to indicate a statistically significant difference.

Results

Characteristics of the study population

The overall sociodemographic characteristics of the patients are shown in Table SII. The median age was 46 years (range, 25–81 years). According to the BMI, 52.4% (44/84) of participants were overweight or obese. Alcohol and tobacco consumption were reported in 15.5% (13/84) and 27.4% (23/84) of patients, respectively. Hormonal contraception was reported in 20.2% (17/84) of patients. According to histopathological classification, 89.3% (75/84) of patients had SCC, 7.1% (6/84) had ADC and 3.6% (3/84) had ASC (Table SIII). Based on the RECIST criteria, the overall response rate was 92.9% (78/84). Additional clinicopathological characteristics of the patients, such as the FIGO classification, lymph node status and tumor differentiation, are provided in Table SIII.

The distribution of the sociodemographic and histopathological characteristics, categorized by SCC and non-SCC (ADC + ASC) groups, revealed a significant difference in tumor differentiation (Table SIV). Most patients in the SCC group had moderately differentiated tumors (68.0%; 51/75), whereas those in the non-SCC group primarily had poorly differentiated tumors (55.6%; 5/9).

Expression and localization of SETD2 and GLI1

The overall positivity of SETD2 and GLI1 proteins was detected in 90.5% (76/84) and 82.1% (69/84) of tumors, respectively (Table SV; Fig. S1). Samples positive for SETD2 revealed a consistent nuclear (n) staining pattern, whereas GLI1 protein localization indicated nGLI1 and both n and cytoplasmic (c)GLI1 staining in 59.4% (41/69) and 40.6% (28/69) of samples, respectively. According to the histological classification, the positivity and localization of SETD2 and GLI1 were not significantly different between the SCC and non-SCC groups (Table SV).

Expression of SETD2 and GLI1 was compared using IS values. Analysis of SETD2 and GLI1 IS values according to the sociodemographic and histopathological characteristics of the patients revealed that increased nGLI1 levels were significantly associated with a history of hormonal contraceptive use (Table I). Tumors positive for HPV18 or other genotypes demonstrated significantly increased levels of nSETD2 compared with those positive for HPV16 (Table I). Differences in clinical outcomes were not significantly associated with changes in nGLI1, ncGLI1 or nSETD2 levels. However, an increasing trend was observed in ncGLI1 levels in overweight/obese patients (Table I).

Table I.

GLI1 and SETD2 cellular localization in patients with locally advanced cervical cancer.

Table I.

GLI1 and SETD2 cellular localization in patients with locally advanced cervical cancer.

Cellular localization

VariablenGLI1 (n=41)P-valuencGLI1 (n=29)P-valuenSETH2 (n=76)P-value
BMIa, kg/m2)
  Normal (<25.0)8 (2–9)0.7938 (8–12)0.0984 (2–8)0.838
  Overweight (≥25.0)8 (6–8) 12 (8–12) 2 (1–8)
Tobacco consumptiona
  No7 (4–9)0.77212 (8–12)0.5334 (2–8)0.286
  Yes7 (2–8) 8 (8–12) 4 (1–6)
Alcohol consumptiona
  No8 (4–8)0.9578 (8–12)0.8424 (2–8)0.681
  Yes6 (4–9) 10 (8–12) 3 (1–8)
Hormonal contraceptiona
  No8 (6–8)0.029c8 (4–12)0.3654 (3–5)0.957
  Yes9 (8–9) 8 (8–12) 4 (1–8)
FIGO classificationb
  II8 (6–8)0.2478 (8–12)>0.9994 (1–8)0.400
  III8 (4–8) 10 (8–12) 4 (1–6)
  IV5 (1–8) - 4 (3–8)
Tumor differentiationb
  Well6 (4–12)0.8976 (4–8)0.1495 (2–11)0.232
  Moderately8 (6–8) 12 (8–12) 3 (1–6)
  Poorly7 (5–8) 8 (6–10) 5 (4–8)
Lymph node statusa
  N08 (6–9)0.3278 (8–12)0.8724 (1–8)0.968
  N16 (4–8) 10 (8–12) 4 (2–8)
HPV genotypeb
  168 (4–8)0.73410 (6–12)0.5873 (1–4)0.031c
  185 (4–8) 8 (4–8) 5 (3–8)
  Other8 (6–9) 8 (8–8) 8 (1–9)
Clinical responsea
  Responder6 (4–8)0.28912 (8–12)0.4164 (1–6)0.694
  Non-responder8 (8–12) 10 (8–12) 7 (2–8)

a Mann-Whitney U or

b Kruskal-Wallis tests were used to compare the differences;

c P<0.05. Data are presented as median and IQR. Other HPV includes types 6, 11, 31, 43, 42, 45 and 58. n, nuclear; c, cytoplasmic; GLI1, glioma-associated oncogene homolog 1; SETD2, SET domain-containing protein 2; LACC, locally advanced cervical cancer; FIGO, International Federation of Gynecology and Obstetrics; HPV, human papillomavirus.

Relationship between SETD2 and GLI1 expression levels

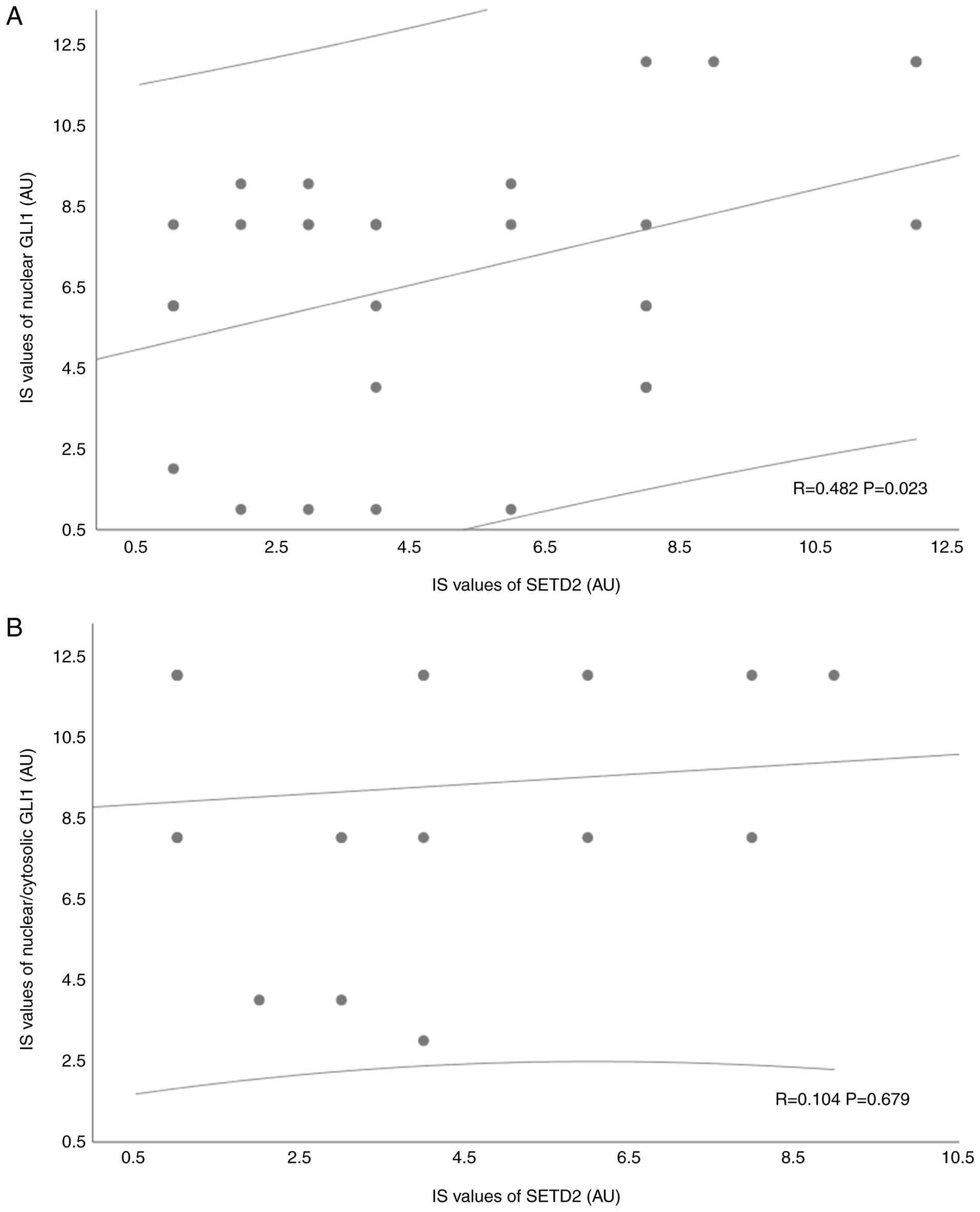
The relationship between SETD2 and GLI1 expression was evaluated based on tumor positivity and IS values. The distribution of samples positive for nSETD2 revealed no statistically significant differences between the nGLI1 (50.0%; 38/76) and ncGLI1 (31.6%; 24/76) groups (Table SVI). However, a positive correlation was detected between nSETD2 and nGLI1 levels based on IS values (R=0.428; Fig. 1A). No significant association was found between nSETD2 and ncGLI1 expression (Fig. 1B).

Association between GLI1 and SETD2 IS
values according to subcellular localization The linear association
between GLI1 and SETD2 expression was evaluated according to (A)
nuclear and (B) nuclear/cytoplasmic localization of GLI1. GLI1,
glioma-associated oncogene homolog 1; SETD2, SET domain-containing
protein 2; IS, immunoreactivity score; AU, arbitrary unit.

Figure 1.

Association between GLI1 and SETD2 IS values according to subcellular localization The linear association between GLI1 and SETD2 expression was evaluated according to (A) nuclear and (B) nuclear/cytoplasmic localization of GLI1. GLI1, glioma-associated oncogene homolog 1; SETD2, SET domain-containing protein 2; IS, immunoreactivity score; AU, arbitrary unit.

Prognostic utility of SETD2 and GLI1 IS values

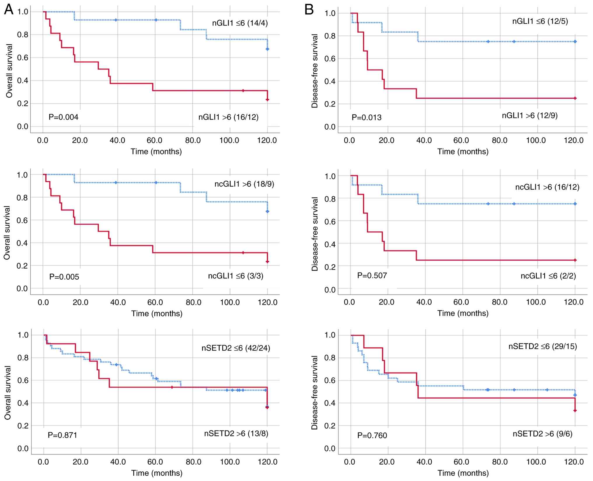
The median follow-up period was 53 months (range, 1–120 months). Patients positive for GLI1 or SETD2 demonstrated no significant differences in OS and DFS rates compared with those negative for these proteins (Fig. S2). The predictive values of SETD2 and GLI1 for OS and DFS were evaluated by categorizing the IS values according to cell positivity >50% in combination with moderate or strong immunoreactivity (IS >6; Figs S3 and S4). Increased GLI1 and SETD2 expression (IS >6) was observed in 65.2% (45/69) and 26.3% (20/76) of cases, respectively. Patients with nGLI1 IS >6 had significantly worse OS and DFS rates compared with those with nGLI1 IS ≤6 (Fig. 2). Conversely, patients with ncGLI1 IS >6 exhibited improved OS compared with those with ncGLI1 IS ≤6. No significant differences were observed in the OS or DFS between the categories for nSETD2.

(A) Overall and (B) disease-free
survival in patients with locally advanced cervical cancer
according to nGLI1, ncGLI1 and nSETD2 IS values. Expression levels
were categorized according to the IS value (IS >6 represents
moderate or intense immunoreactivity in >50% area). P-values are
provided by the log-rank (Mantel-Cox) test. Numbers in parentheses
indicate the total number of patients/events. GLI1,
glioma-associated oncogene homolog 1; SETD2, SET domain-containing
protein 2; IS, immunoreactivity score; nc, nuclear and
cytoplasmic.

Figure 2.

(A) Overall and (B) disease-free survival in patients with locally advanced cervical cancer according to nGLI1, ncGLI1 and nSETD2 IS values. Expression levels were categorized according to the IS value (IS >6 represents moderate or intense immunoreactivity in >50% area). P-values are provided by the log-rank (Mantel-Cox) test. Numbers in parentheses indicate the total number of patients/events. GLI1, glioma-associated oncogene homolog 1; SETD2, SET domain-containing protein 2; IS, immunoreactivity score; nc, nuclear and cytoplasmic.

The univariate analysis revealed an increased probability of lower OS associated with nGLI IS >6 (HR, 1.50; 95% CI, 1.44–14.13) and ncGLI1 IS ≤6 (HR, 1.86; 95% CI, 1.42–29.55), whereas a lower probability of DFS was significantly correlated with nGLI IS >6 (HR, 1.53; 95% CI, 1.23–17.49). However, no significant association between nGLI1 and ncGLI1 and clinicopathological characteristics was detected in the multivariate analysis (Table II).

Table II.

Uni- and multivariate Cox regression analysis of survival rates in patients with locally advanced cervical cancer.

Table II.

Uni- and multivariate Cox regression analysis of survival rates in patients with locally advanced cervical cancer.

A, Overall survival

Univariate analysisMultivariate analysis


CharacteristicHR95% CIP-valueHR95% CIP-value
nGLI IS ≤6Reference 0.437
nGLI IS >61.5071.44–14.130.0100.9530.23–28.70
ncGLI IS >6Reference 0.988
ncGLI1 IS ≤61.8691.42–29.550.0167.150.00–16.27
Hormonal contraception
  NoReference
  Yes0.4310.57–4.140.394
BMI, kg/m2)
  Normal (<25.0)Reference
  Overweight/obese (≥25.0)0.1550.60–2.250.645
Histological subtype
  SCCReference
  Non-SCC−0.0890.32–2.560.866
FIGO classification
  IIReference
  III0.3440.72–2.740.311
  IV0.1290.47–2.700.771
Lymph node status
  N0Reference
  N1−0.1450.42–1.780.694

B, Disease-free survival

Univariate analysisMultivariate analysis


CharacteristicHR95% CIP-valueHR95% CIP-value

nGLI IS ≤6Reference 0.514
nGLI IS >61.5351.23–17.490.0231.0320.12–61.92
ncGLI1 IS >6Reference
ncGLI1 IS ≤60.7500.21–20.490.517
Hormonal contraception
  NoReference
  Yes0.0170.34–3.020.976
BMI, kg/m2
  Normal (<25.0)Reference
  Overweight/obese (≥25.0)−0.0610.44–2.010.874
Histological subtype
  SCCReference
  Non-SCC0.4960.62–4.280.311
FIGO classification
  IIReference
  III0.1520.52–2.600.710
  IV0.4050.57–3.870.404
Lymph node status
  N0Reference
  N10.3950.67–3.280.330

[i] GLI1, glioma-associated oncogene homolog 1; SETD2, SET domain-containing protein 2; SCC, squamous cell carcinoma; HR, hazard ratio; FIGO, FIGO, International Federation of Gynecology and Obstetrics; n, nuclear; c, cytoplasmic.

Discussion

The present study demonstrated the utility of IS in evaluating the prognostic impact of SETD2 and GLI1 expression in patients with LACC. Evaluation of IS values according to cellular localization revealed a significant correlation between increased levels of nSETD2 and nGLI1 proteins. Furthermore, increased nGLI1 levels were associated with oral estrogen consumption. The present results demonstrated the prognostic value of changes in the expression of nGLI1 and ncGLI1 on OS and DFS and their clinical value in predicting a higher likelihood of mortality.

Previous studies have suggested that chemotherapy resistance associated with upregulation or mutation of SETD2 in several malignancies, such as prostate, renal cancer, and gastric cancer, may be associated with alterations in Wnt/β-catenin and Hh signaling pathways (21–23). Furthermore, abnormal function of SETD2 and GLI1 is associated with CRT resistance in advanced CC (10,13,24). Therefore, this interaction has been proposed as a potential candidate for synthetic lethality in patients with a high probability of recurrence following chemoradiation (5). However, the causal relationship between alterations in SETD2 and GLI1 during cervical carcinogenesis remains unknown. In the overall study cohort, a significant association between increased nSETD2 and nGLI1 was reported, which indicated that their interactions were associated with nuclear accumulation. Consistent with previous studies (11,13), the frequency of increased GLI1 expression (65.2%; 45/69) was notably higher compared with SETD2 upregulation (26.3%; 20/76). Although increased GLI1 expression is associated with epidermoid tumors (25), no significant differences were detected in GLI1 positivity according to histological classification in the present study. These results suggested that abnormal SETD2 expression was associated with increased nuclear accumulation and transcriptional activity of GLI1. Further studies are warranted to determine the mechanisms underlying this interaction.

The abnormal functionality of SETD2 in CC is associated with the maintenance of the productive replicative cycle during HPV infection, particularly in high-risk genotypes (26). According to Gautam et al (26), upregulation of SETD2 in cervical epithelial cells is associated with the ability of E7 oncoproteins to prolong protein half-life, which is key to sustain H3K36me3 levels in the early region of the viral genome. The present results demonstrated that tumors positive for HPV18 and other HPV genotypes (HPV6, 11, 31, 43, 42, 45 and 58) significantly increased nSETD2 levels compared with samples positive for the HPV16 genotype. This is consistent with previous findings that cells harboring HPV31 maintain higher levels of SETD2 compared with those with HPV16 infection (26). Thus, these findings support the hypothesis that HPV oncoproteins differentially modify the activity of target proteins during malignant transformation depending on the cellular environment. Further studies are required to elucidate whether differences in SETD2 protein levels associated with HPV genotypes affect therapeutic strategies that target SETD2 in cancer.

The long-term consumption of oral contraceptives (OCs) is associated with an increased risk of developing CC, particularly glandular origin and HPV-positive tumors (HR, 1.77–3.3; CI 95%, 1.4–2.24) (27,28). Although findings regarding the role of steroid hormones in CC are controversial, the deleterious effects are primarily associated with enhanced transcriptional activity of HPV oncogenes (28,29). Similarly, the risk of invasive CC increases according to the duration of OC consumption (odds ratio, 1.90; 95% CI, 1.69–2.13), in addition to being associated with a lower OS time (30,31). The role of OCs in regulating non-HPV proteins implicated in cervical carcinogenesis and treatment responses remains poorly understood. In the present study, significantly higher nGLI1 levels were observed in patients who used OCs. This finding is consistent with those of previous studies reporting crosstalk between androgen stimulation and Hh signaling in prostate cancer, particularly the association between epithelial-mesenchymal transition and GLI1 upregulation (32,33). Furthermore, estrogenic stimulation in gynecological cancer is associated with the upregulation and nuclear translocation of GLI1 via the inhibition of glycogen synthase kinase-3β (34). Thus, the present results supported the hypothesis that long-term OC use contributes to CC progression by stimulating upregulation and nuclear translocation of GLI1.

Although 90.5% (76/84) of patients with LACC were SETD2-positive, exhibiting increased expression in 26.3% of cases, no notable associations were found between SETD2 and OS and DFS. In malignant neoplasia such as lung and endometrial cancer and CC, the abnormal function of SETD2 is associated with mutations that modify gene expression patterns, increasing the risk of CRT resistance and decreasing survival rates (4,5,19). According to The Cancer Genome Atlas Program, endocervical ADC presents the highest rate of SETD2 mutations (7%) (6). In the present study, SETD2 expression exhibited no difference between histological groups, which may be associated with the lower proportion of tumors of glandular origin. Further studies are warranted to clarify the association between the expression and the mutation rate of SETD2. Rate of SETD2 mutations may increase following treatment with neoadjuvant chemotherapy (platinum + paclitaxel) in patients with LACC and is associated with a lack of response (19). This suggests it is necessary to integrate both expression and mutational analyses when determining the prognostic and predictive value of SETD2 in LACC.

The Hh signaling cascade serves a key role in the proliferation, metastasis, recurrence, invasion and CRT resistance of CC (10). Nevertheless, the prognostic and predictive value depend on the target protein analyzed and the criteria employed for evaluation (13,18,35). Consistent with previous studies, the present study analyzed the prognostic utility of GLI1 by categorizing the IS; by contrast with other studies, the present study evaluated the differences according to cellular localization (18,36). This revealed that increased nGLI levels may predict a higher probability of mortality, associated with lower OS and DFS. By contrast, an increased probability of OS was associated with increased ncGLI1 levels. These results suggested that the prognostic and predictive utility of GLI1 depends on the analysis of proteins according to their cellular localization. Furthermore, this supports the hypothesis that the role of GLI1 in CRT resistance is determined by its nuclear translocation, which may markedly affect the probability of survival (11).

To the best of our knowledge, the present study is the first to investigate the association between the expression and localization of SETD2 and GLI1 proteins and their role in the outcome of patients with LACC. A prior study on members of the Hh pathway in CC established an increase in their expression using IHC. However, the aforementioned analyses did not include associations with pathological characteristics or clinical outcomes (37). Furthermore, epigenetic dysregulation is associated with several types of cancer including breast, liver cancer, prostate cancer, and small-cell bladder cancer (38). Histone methyltransferases are frequently mutated or deleted in human tumors (39,40); however, whether alterations in histone methyltransferases are associated with disease progression and response to treatment remains unknown. Despite the positive outcomes, the present study had limitations. The retrospective study design, with a limited sample size, based on FFPE samples, limited access to fresh biological material for functional assays of GLI1 and SETD2 proteins. However, the consistency of sensitivity analysis results suggested that sample size was not a notable limitation.

The outcomes in patients with LACC are poor because they present high rates of resistance to treatment (41). Therefore, the identification of patients at increased risk of recurrence who may benefit from more aggressive treatment strategies and the identification of novel therapeutic targets are key. The interactions of the Hh pathway in tumor cells are complex and the present study provided insight into the positive correlation between the expression of SETD2 and the transcription factor GLI1, which may represent a novel mechanism of epigenetic regulation involved in the clinical outcome of patients with LACC. The present data suggested that GLI1 was a valid and effective therapeutic target in patients with LACC who undergo chemoradiation.

Supplementary Material

Supporting Data
Supporting Data

Acknowledgements

The authors would like to thank Dr Alejandro Lopez-Saavedra (Advanced Microscopy Applications Unit, Mexico City, Mexico) for technical assistance with capturing the images.

Funding

The present study was supported by Consejo Nacional de Ciencia y Tecnología (grant CF-2019-263979), Proyecto Nacional de Investigación e Incidencia-7 Virus y Cancer (grant no. 303044), Instituto Nacional de Cancerología (grant nos. 015/039/IBI, CEI/998/15, 018/051/IBI and CEI/1294/18) and Consejo de Ciencia y Tecnología del estado de Tabasco (grant nos. PRODECTI-2023-01/090 and PRODECTI-REICTI-012).

Availability of data and materials

The data generated in the present study may be requested from the corresponding author.

Authors' contributions

ML conceived the study. ACo and EC confirm the authenticity of all the raw data. ACo, EC and ML wrote the manuscript. ACo and ML acquired funding. ACo conceptualized the study. GM, LC and ACa designed the methodology. AA and MR constructed figures. JC and LC supervised the study. JC, AA, EC and MR analyzed data. ACo, EC and ML edited the manuscript. All authors have read and approved the final manuscript.

Ethics approval and consent to participate

The present study was approved by the Ethics and Scientific Institutional Review Board (approval no. INCAN/CEI577/15) of the National Cancer Institute (Mexico City, México), and written informed consent was obtained from all participating patients.

Patient consent for publication

Not applicable.

Competing interests

The authors declare that they have no competing interests.

References

1 

Sung H, Ferlay J, Siegel RL, Laversanne M, Soerjomataram I, Jemal A and Bray F: Global Cancer Statistics 2020: GLOBOCAN estimates of incidence and mortality worldwide for 36 cancers in 185 countries. CA Cancer J Clin. 71:209–249. 2021.PubMed/NCBI

2 

Ferlay J, Ervik M, Lam F, Laversanne M, Colombet M, Mery L, et al: Global Cancer Observatory: Cancer Today. Lyon, France, International Agency for Research on Cancer. 2024.https://gco.iarc.who.int/today

3 

Hull R, Mbele M, Makhafola T, Hicks C, Wang S, Reis R, Mehrotra R, Mkhize-Kwitshana Z, Kibiki G, Bates DO and Dlamini Z: Cervical cancer in low and middle-income countries (Review). Oncol Lett. 20:2058–2074. 2020. View Article : Google Scholar : PubMed/NCBI

4 

Sehnal B, Kmoníčková E, Sláma J, Tomancová V and Zikán M: Current FIGO staging for carcinoma of the cervix uteri and treatment of particular stages. Klin Onkol. 32:224–231. 2019. View Article : Google Scholar : PubMed/NCBI

5 

Lizano M, Carrillo-García A, De La Cruz-Hernández E, Castro-Muñoz LJ and Contreras-Paredes A: Promising predictive molecular biomarkers for cervical cancer (Review). Int J Mol Med. 53:502024. View Article : Google Scholar : PubMed/NCBI

6 

Lu M, Zhao B, Liu M, Wu L, Li Y, Zhai Y and Shen X: Pan-cancer analysis of SETD2 mutation and its association with the efficacy of immunotherapy. NPJ Precis Oncol. 5:512021. View Article : Google Scholar : PubMed/NCBI

7 

Zeng Z, Zhang J, Li J, Li Y, Huang Z, Han L, Xie C and Gong Y: SETD2 regulates gene transcription patterns and is associated with radiosensitivity in lung adenocarcinoma. Front Genet. 13:9356012022. View Article : Google Scholar : PubMed/NCBI

8 

Viaene AN, Santi M, Rosenbaum J, Li MM, Surrey LF and Nasrallah MP: SETD2 mutations in primary central nervous system tumors. Acta Neuropathol Commun. 6:1232018. View Article : Google Scholar : PubMed/NCBI

9 

Jing J, Wu Z, Wang J, Luo G, Lin H, Fan Y and Zhou C: Hedgehog signaling in tissue homeostasis, cancers and targeted therapies. Signal Transduct Target Ther. 8:3152023. View Article : Google Scholar : PubMed/NCBI

10 

Liu C and Wang R: The roles of hedgehog signaling pathway in radioresistance of cervical cancer. Dose Response. 17:15593258198852932019. View Article : Google Scholar : PubMed/NCBI

11 

Wu Z, Huang C, Li R, Li H, Lu H and Lin Z: PRKCI mediates radiosensitivity via the Hedgehog/GLI1 pathway in cervical cancer. Front Oncol. 12:8871392022. View Article : Google Scholar : PubMed/NCBI

12 

Huang C, Lu H, Li J, Xie X, Fan L, Wang D, Tan W, Wang Y, Lin Z and Yao T: SOX2 regulates radioresistance in cervical cancer via the hedgehog signaling pathway. Gynecol Oncol. 151:533–541. 2018. View Article : Google Scholar : PubMed/NCBI

13 

Chaudary N, Pintilie M, Hedley D, Fyles AW, Milosevic M, Clarke B, Hill RP and Mackay H: Hedgehog pathway signaling in cervical carcinoma and outcome after chemoradiation. Cancer. 118:3105–3115. 2012. View Article : Google Scholar : PubMed/NCBI

14 

Chai JY, Sugumar V, Alshanon AF, Wong WF, Fung SY and Looi CY: Defining the Role of GLI/Hedgehog signaling in Chemoresistance: Implications in therapeutic approaches. Cancers (Basel). 13:47462021. View Article : Google Scholar : PubMed/NCBI

15 

Gennigens C, De Cuypere M, Hermesse J, Kridelka F and Jerusalem G: Optimal treatment in locally advanced cervical cancer. Expert Rev Anticancer Ther. 21:657–671. 2021. View Article : Google Scholar : PubMed/NCBI

16 

Eisenhauer EA, Therasse P, Bogaerts J, Schwartz LH, Sargent D, Ford R, Dancey J, Arbuck S, Gwyther S, Mooney M, et al: New response evaluation criteria in solid tumours: Revised RECIST guideline (version 1.1). Eur J Cancer. 45:228–247. 2009. View Article : Google Scholar : PubMed/NCBI

17 

Vázquez-Ulloa E, Ramos-Cruz AC, Prada D, Avilés-Salas A, Chávez-Blanco AD, Herrera LA, Lizano M and Contreras-Paredes A: Loss of nuclear NOTCH1, but not its negative regulator NUMB, is an independent predictor of cervical malignancy. Oncotarget. 9:18916–18928. 2018. View Article : Google Scholar : PubMed/NCBI

18 

Bohr Mordhorst L, Ahlin C and Sorbe B: Prognostic impact of the expression of Hedgehog proteins in cervical carcinoma FIGO stages I–IV treated with radiotherapy or chemoradiotherapy. Gynecol Oncol. 135:305–311. 2014. View Article : Google Scholar : PubMed/NCBI

19 

Lizano M, De la Cruz-Hernández E, Carrillo-García A, García-Carrancá A, Ponce de Leon-Rosales S, Dueñas-González A, Hernández-Hernández DM and Mohar A: Distribution of HPV16 and 18 intratypic variants in normal cytology, intraepithelial lesions, and cervical cancer in a Mexican population. Gynecol Oncol. 102:230–235. 2006. View Article : Google Scholar : PubMed/NCBI

20 

Sotlar K, Diemer D, Dethleffs A, Hack Y, Stubner A, Vollmer N, Menton S, Menton M, Dietz K, Wallwiener D, et al: Detection and typing of human papillomavirus by e6 nested multiplex PCR. J Clin Microbiol. 42:3176–3184. 2004. View Article : Google Scholar : PubMed/NCBI

21 

Kumar A, Kumari N, Gupta V and Prasad R: Renal cell carcinoma: Molecular aspects. Indian J Clin Biochem. 33:246–254. 2018. View Article : Google Scholar : PubMed/NCBI

22 

Jiang C, He C, Wu Z, Li F and Xiao J: Histone methyltransferase SETD2 regulates osteosarcoma cell growth and chemosensitivity by suppressing Wnt/β-catenin signaling. Biochem Biophys Res Commun. 502:382–388. 2018. View Article : Google Scholar : PubMed/NCBI

23 

Chen R, Zhao WQ, Fang C, Yang X and Ji M: Histone methyltransferase SETD2: A potential tumor suppressor in solid cancers. J Cancer. 11:3349–3356. 2020. View Article : Google Scholar : PubMed/NCBI

24 

Li W, Huang Y, Xiao M, Zhao J, Du S, Wang Z, Hu S, Yang L and Cai J: PBRM1 presents a potential ctDNA marker to monitor response to neoadjuvant chemotherapy in cervical cancer. iScience. 27:1091602024. View Article : Google Scholar : PubMed/NCBI

25 

Vishnoi K, Mahata S, Tyagi A, Pandey A, Verma G, Jadli M, Singh T, Singh SM and Bharti AC: Cross-talk between Human Papillomavirus Oncoproteins and hedgehog signaling synergistically promotes stemness in cervical cancer cells. Sci Rep. 6:343772016. View Article : Google Scholar : PubMed/NCBI

26 

Gautam D, Johnson BA, Mac M and Moody CA: SETD2-dependent H3K36me3 plays a critical role in epigenetic regulation of the HPV31 life cycle. PLoS Pathog. 14:e10073672018. View Article : Google Scholar : PubMed/NCBI

27 

Asthana S, Busa V and Labani S: Oral contraceptives use and risk of cervical cancer-A systematic review & meta-analysis. Eur J Obstet Gynecol Reprod Biol. 247:163–175. 2020. View Article : Google Scholar : PubMed/NCBI

28 

Gadducci A, Cosio S and Fruzzetti F: Estro-progestin contraceptives and risk of cervical cancer: A debated issue. Anticancer Res. 40:5995–6002. 2020. View Article : Google Scholar : PubMed/NCBI

29 

Wei X, Hong L, Liang H, Ren K, Man W, Zhao Y and Guo P: Estrogen and viral infection. Front Immunol. 16:15567282025. View Article : Google Scholar : PubMed/NCBI

30 

Gashu C, Tasfa B, Alemu C and Kassa Y: Assessing survival time of outpatients with cervical cancer: At the university of Gondar referral hospital using the Bayesian approach. BMC Womens Health. 23:592023. View Article : Google Scholar : PubMed/NCBI

31 

International Collaboration of Epidemiological Studies of Cervical Cancer, . Appleby P, Beral V, Berrington de González A, Colin D, Franceschi S, Goodhill A, Green J, Peto J, Plummer M and Sweetland S: Cervical cancer and hormonal contraceptives: Collaborative reanalysis of individual data for 16,573 women with cervical cancer and 35,509 women without cervical cancer from 24 epidemiological studies. Lancet. 370:1609–1621. 2007. View Article : Google Scholar : PubMed/NCBI

32 

Yamamichi F, Shigemura K, Behnsawy HM, Meligy FY, Huang WC, Li X, Yamanaka K, Hanioka K, Miyake H, Tanaka K, et al: Sonic hedgehog and androgen signaling in tumor and stromal compartments drives epithelial-mesenchymal transition in prostate cancer. Scand J Urol. 48:523–532. 2014. View Article : Google Scholar : PubMed/NCBI

33 

Lubik AA, Nouri M, Truong S, Ghaffari M, Adomat HH, Corey E, Cox ME, Li N, Guns ES, Yenki P, et al: Paracrine sonic hedgehog signaling contributes significantly to acquired steroidogenesis in the prostate tumor microenvironment. Int J Cancer. 140:358–369. 2017. View Article : Google Scholar : PubMed/NCBI

34 

Kaushal JB, Sankhwar P, Kumari S, Popli P, Shukla V, Hussain MK, Hajela K and Dwivedi A: The regulation of Hh/Gli1 signaling cascade involves Gsk3β-mediated mechanism in estrogen-derived endometrial hyperplasia. Sci Rep. 7:65572017. View Article : Google Scholar : PubMed/NCBI

35 

Cui Y, Cui CA, Yang ZT, Ni WD, Jin Y and Xuan YH: Gli1 expression in cancer stem-like cells predicts poor prognosis in patients with lung squamous cell carcinoma. Exp Mol Pathol. 102:347–353. 2017. View Article : Google Scholar : PubMed/NCBI

36 

Sinicrope FA, Ruan SB, Cleary KR, Stephens LC, Lee JJ and Levin B: Bcl-2 and p53 oncoprotein expression during colorectal tumorigenesis. Cancer Res. 55:237–241. 1995.PubMed/NCBI

37 

Xuan YH, Jung HS, Choi YL, Shin YK, Kim HJ, Kim KH, Kim WJ, Lee YJ and Kim SH: Enhanced expression of hedgehog signaling molecules in squamous cell carcinoma of uterine cervix and its precursor lesions. Mod Pathol. 19:1139–1147. 2006. View Article : Google Scholar : PubMed/NCBI

38 

Yu X, Zhao H, Wang R, Chen Y, Ouyang X, Li W, Sun Y and Peng A: Cancer epigenetics: From laboratory studies and clinical trials to precision medicine. Cell Death Discov. 10:282024. View Article : Google Scholar : PubMed/NCBI

39 

Tinsley E, Bredin P, Toomey S, Hennessy BT and Furney SJ: KMT2C and KMT2D aberrations in breast cancer. Trends Cancer. 10:519–530. 2024. View Article : Google Scholar : PubMed/NCBI

40 

Na F, Pan X, Chen J, Chen X, Wang M, Chi P, You L, Zhang L, Zhong A, Zhao L, et al: KMT2C deficiency promotes small cell lung cancer metastasis through DNMT3A-mediated epigenetic reprogramming. Nat Cancer. 3:753–767. 2022. View Article : Google Scholar : PubMed/NCBI

41 

Niu Y, Du C, Zhou Y, Zhang M, Guo Q and Zhou H: A comparative analysis of survival outcomes and adverse effects between preoperative brachytherapy with radical surgery and concurrent chemoradiotherapy in patients with locally advanced cervical cancer. Front Oncol. 15:15117482025. View Article : Google Scholar : PubMed/NCBI

Related Articles

  • Abstract
  • View
  • Download
  • Twitter
Copy and paste a formatted citation
Spandidos Publications style
De La Cruz‑Hernández E, Morales‑Sandoval GC, Lizano M, Avilés‑Salas A, Castro‑Muñoz LJ, Carrillo‑García A, Del Pilar Ramos‑Godinez M, Coronel‑Martinez JA and Contreras‑Paredes A: <p>Prognostic value of glioma‑associated oncogene homolog 1 and SET domain‑containing protein 2 immunohistochemical scores in locally advanced cervical cancer</p>. Oncol Lett 31: 105, 2026.
APA
De La Cruz‑Hernández, E., Morales‑Sandoval, G.C., Lizano, M., Avilés‑Salas, A., Castro‑Muñoz, L.J., Carrillo‑García, A. ... Contreras‑Paredes, A. (2026). <p>Prognostic value of glioma‑associated oncogene homolog 1 and SET domain‑containing protein 2 immunohistochemical scores in locally advanced cervical cancer</p>. Oncology Letters, 31, 105. https://doi.org/10.3892/ol.2026.15458
MLA
De La Cruz‑Hernández, E., Morales‑Sandoval, G. C., Lizano, M., Avilés‑Salas, A., Castro‑Muñoz, L. J., Carrillo‑García, A., Del Pilar Ramos‑Godinez, M., Coronel‑Martinez, J. A., Contreras‑Paredes, A."<p>Prognostic value of glioma‑associated oncogene homolog 1 and SET domain‑containing protein 2 immunohistochemical scores in locally advanced cervical cancer</p>". Oncology Letters 31.3 (2026): 105.
Chicago
De La Cruz‑Hernández, E., Morales‑Sandoval, G. C., Lizano, M., Avilés‑Salas, A., Castro‑Muñoz, L. J., Carrillo‑García, A., Del Pilar Ramos‑Godinez, M., Coronel‑Martinez, J. A., Contreras‑Paredes, A."<p>Prognostic value of glioma‑associated oncogene homolog 1 and SET domain‑containing protein 2 immunohistochemical scores in locally advanced cervical cancer</p>". Oncology Letters 31, no. 3 (2026): 105. https://doi.org/10.3892/ol.2026.15458
Copy and paste a formatted citation
x
Spandidos Publications style
De La Cruz‑Hernández E, Morales‑Sandoval GC, Lizano M, Avilés‑Salas A, Castro‑Muñoz LJ, Carrillo‑García A, Del Pilar Ramos‑Godinez M, Coronel‑Martinez JA and Contreras‑Paredes A: <p>Prognostic value of glioma‑associated oncogene homolog 1 and SET domain‑containing protein 2 immunohistochemical scores in locally advanced cervical cancer</p>. Oncol Lett 31: 105, 2026.
APA
De La Cruz‑Hernández, E., Morales‑Sandoval, G.C., Lizano, M., Avilés‑Salas, A., Castro‑Muñoz, L.J., Carrillo‑García, A. ... Contreras‑Paredes, A. (2026). <p>Prognostic value of glioma‑associated oncogene homolog 1 and SET domain‑containing protein 2 immunohistochemical scores in locally advanced cervical cancer</p>. Oncology Letters, 31, 105. https://doi.org/10.3892/ol.2026.15458
MLA
De La Cruz‑Hernández, E., Morales‑Sandoval, G. C., Lizano, M., Avilés‑Salas, A., Castro‑Muñoz, L. J., Carrillo‑García, A., Del Pilar Ramos‑Godinez, M., Coronel‑Martinez, J. A., Contreras‑Paredes, A."<p>Prognostic value of glioma‑associated oncogene homolog 1 and SET domain‑containing protein 2 immunohistochemical scores in locally advanced cervical cancer</p>". Oncology Letters 31.3 (2026): 105.
Chicago
De La Cruz‑Hernández, E., Morales‑Sandoval, G. C., Lizano, M., Avilés‑Salas, A., Castro‑Muñoz, L. J., Carrillo‑García, A., Del Pilar Ramos‑Godinez, M., Coronel‑Martinez, J. A., Contreras‑Paredes, A."<p>Prognostic value of glioma‑associated oncogene homolog 1 and SET domain‑containing protein 2 immunohistochemical scores in locally advanced cervical cancer</p>". Oncology Letters 31, no. 3 (2026): 105. https://doi.org/10.3892/ol.2026.15458
Follow us
  • Twitter
  • LinkedIn
  • Facebook
About
  • Spandidos Publications
  • Careers
  • Cookie Policy
  • Privacy Policy
How can we help?
  • Help
  • Live Chat
  • Contact
  • Email to our Support Team