Spandidos Publications Logo
  • About
    • About Spandidos
    • Aims and Scopes
    • Abstracting and Indexing
    • Editorial Policies
    • Reprints and Permissions
    • Job Opportunities
    • Terms and Conditions
    • Contact
  • Journals
    • All Journals
    • Oncology Letters
      • Oncology Letters
      • Information for Authors
      • Editorial Policies
      • Editorial Board
      • Aims and Scope
      • Abstracting and Indexing
      • Bibliographic Information
      • Archive
    • International Journal of Oncology
      • International Journal of Oncology
      • Information for Authors
      • Editorial Policies
      • Editorial Board
      • Aims and Scope
      • Abstracting and Indexing
      • Bibliographic Information
      • Archive
    • Molecular and Clinical Oncology
      • Molecular and Clinical Oncology
      • Information for Authors
      • Editorial Policies
      • Editorial Board
      • Aims and Scope
      • Abstracting and Indexing
      • Bibliographic Information
      • Archive
    • Experimental and Therapeutic Medicine
      • Experimental and Therapeutic Medicine
      • Information for Authors
      • Editorial Policies
      • Editorial Board
      • Aims and Scope
      • Abstracting and Indexing
      • Bibliographic Information
      • Archive
    • International Journal of Molecular Medicine
      • International Journal of Molecular Medicine
      • Information for Authors
      • Editorial Policies
      • Editorial Board
      • Aims and Scope
      • Abstracting and Indexing
      • Bibliographic Information
      • Archive
    • Biomedical Reports
      • Biomedical Reports
      • Information for Authors
      • Editorial Policies
      • Editorial Board
      • Aims and Scope
      • Abstracting and Indexing
      • Bibliographic Information
      • Archive
    • Oncology Reports
      • Oncology Reports
      • Information for Authors
      • Editorial Policies
      • Editorial Board
      • Aims and Scope
      • Abstracting and Indexing
      • Bibliographic Information
      • Archive
    • Molecular Medicine Reports
      • Molecular Medicine Reports
      • Information for Authors
      • Editorial Policies
      • Editorial Board
      • Aims and Scope
      • Abstracting and Indexing
      • Bibliographic Information
      • Archive
    • World Academy of Sciences Journal
      • World Academy of Sciences Journal
      • Information for Authors
      • Editorial Policies
      • Editorial Board
      • Aims and Scope
      • Abstracting and Indexing
      • Bibliographic Information
      • Archive
    • International Journal of Functional Nutrition
      • International Journal of Functional Nutrition
      • Information for Authors
      • Editorial Policies
      • Editorial Board
      • Aims and Scope
      • Abstracting and Indexing
      • Bibliographic Information
      • Archive
    • International Journal of Epigenetics
      • International Journal of Epigenetics
      • Information for Authors
      • Editorial Policies
      • Editorial Board
      • Aims and Scope
      • Abstracting and Indexing
      • Bibliographic Information
      • Archive
    • Medicine International
      • Medicine International
      • Information for Authors
      • Editorial Policies
      • Editorial Board
      • Aims and Scope
      • Abstracting and Indexing
      • Bibliographic Information
      • Archive
  • Articles
  • Information
    • Information for Authors
    • Information for Reviewers
    • Information for Librarians
    • Information for Advertisers
    • Conferences
  • Language Editing
Spandidos Publications Logo
  • About
    • About Spandidos
    • Aims and Scopes
    • Abstracting and Indexing
    • Editorial Policies
    • Reprints and Permissions
    • Job Opportunities
    • Terms and Conditions
    • Contact
  • Journals
    • All Journals
    • Biomedical Reports
      • Information for Authors
      • Editorial Policies
      • Editorial Board
      • Aims and Scope
      • Abstracting and Indexing
      • Bibliographic Information
      • Archive
    • Experimental and Therapeutic Medicine
      • Information for Authors
      • Editorial Policies
      • Editorial Board
      • Aims and Scope
      • Abstracting and Indexing
      • Bibliographic Information
      • Archive
    • International Journal of Epigenetics
      • Information for Authors
      • Editorial Policies
      • Editorial Board
      • Aims and Scope
      • Abstracting and Indexing
      • Bibliographic Information
      • Archive
    • International Journal of Functional Nutrition
      • Information for Authors
      • Editorial Policies
      • Editorial Board
      • Aims and Scope
      • Abstracting and Indexing
      • Bibliographic Information
      • Archive
    • International Journal of Molecular Medicine
      • Information for Authors
      • Editorial Policies
      • Editorial Board
      • Aims and Scope
      • Abstracting and Indexing
      • Bibliographic Information
      • Archive
    • International Journal of Oncology
      • Information for Authors
      • Editorial Policies
      • Editorial Board
      • Aims and Scope
      • Abstracting and Indexing
      • Bibliographic Information
      • Archive
    • Medicine International
      • Information for Authors
      • Editorial Policies
      • Editorial Board
      • Aims and Scope
      • Abstracting and Indexing
      • Bibliographic Information
      • Archive
    • Molecular and Clinical Oncology
      • Information for Authors
      • Editorial Policies
      • Editorial Board
      • Aims and Scope
      • Abstracting and Indexing
      • Bibliographic Information
      • Archive
    • Molecular Medicine Reports
      • Information for Authors
      • Editorial Policies
      • Editorial Board
      • Aims and Scope
      • Abstracting and Indexing
      • Bibliographic Information
      • Archive
    • Oncology Letters
      • Information for Authors
      • Editorial Policies
      • Editorial Board
      • Aims and Scope
      • Abstracting and Indexing
      • Bibliographic Information
      • Archive
    • Oncology Reports
      • Information for Authors
      • Editorial Policies
      • Editorial Board
      • Aims and Scope
      • Abstracting and Indexing
      • Bibliographic Information
      • Archive
    • World Academy of Sciences Journal
      • Information for Authors
      • Editorial Policies
      • Editorial Board
      • Aims and Scope
      • Abstracting and Indexing
      • Bibliographic Information
      • Archive
  • Articles
  • Information
    • For Authors
    • For Reviewers
    • For Librarians
    • For Advertisers
    • Conferences
  • Language Editing
Login Register Submit
  • This site uses cookies
  • You can change your cookie settings at any time by following the instructions in our Cookie Policy. To find out more, you may read our Privacy Policy.

    I agree
Search articles by DOI, keyword, author or affiliation
Search
Advanced Search
presentation
Oncology Letters
Join Editorial Board Propose a Special Issue
Print ISSN: 1792-1074 Online ISSN: 1792-1082
Journal Cover
April-2026 Volume 31 Issue 4

Full Size Image

Sign up for eToc alerts
Recommend to Library

Journals

International Journal of Molecular Medicine

International Journal of Molecular Medicine

International Journal of Molecular Medicine is an international journal devoted to molecular mechanisms of human disease.

International Journal of Oncology

International Journal of Oncology

International Journal of Oncology is an international journal devoted to oncology research and cancer treatment.

Molecular Medicine Reports

Molecular Medicine Reports

Covers molecular medicine topics such as pharmacology, pathology, genetics, neuroscience, infectious diseases, molecular cardiology, and molecular surgery.

Oncology Reports

Oncology Reports

Oncology Reports is an international journal devoted to fundamental and applied research in Oncology.

Experimental and Therapeutic Medicine

Experimental and Therapeutic Medicine

Experimental and Therapeutic Medicine is an international journal devoted to laboratory and clinical medicine.

Oncology Letters

Oncology Letters

Oncology Letters is an international journal devoted to Experimental and Clinical Oncology.

Biomedical Reports

Biomedical Reports

Explores a wide range of biological and medical fields, including pharmacology, genetics, microbiology, neuroscience, and molecular cardiology.

Molecular and Clinical Oncology

Molecular and Clinical Oncology

International journal addressing all aspects of oncology research, from tumorigenesis and oncogenes to chemotherapy and metastasis.

World Academy of Sciences Journal

World Academy of Sciences Journal

Multidisciplinary open-access journal spanning biochemistry, genetics, neuroscience, environmental health, and synthetic biology.

International Journal of Functional Nutrition

International Journal of Functional Nutrition

Open-access journal combining biochemistry, pharmacology, immunology, and genetics to advance health through functional nutrition.

International Journal of Epigenetics

International Journal of Epigenetics

Publishes open-access research on using epigenetics to advance understanding and treatment of human disease.

Medicine International

Medicine International

An International Open Access Journal Devoted to General Medicine.

Journal Cover
April-2026 Volume 31 Issue 4

Full Size Image

Sign up for eToc alerts
Recommend to Library

  • Article
  • Citations
    • Cite This Article
    • Download Citation
    • Create Citation Alert
    • Remove Citation Alert
    • Cited By
  • Similar Articles
    • Related Articles (in Spandidos Publications)
    • Similar Articles (Google Scholar)
    • Similar Articles (PubMed)
  • Download PDF
  • Download XML
  • View XML
Article Open Access

Preoperative lymphocyte‑albumin‑monocyte index as an inflammation‑ and nutrition‑based predictor of overall survival in triple‑negative breast cancer: A retrospective cohort study

  • Authors:
    • Boxiang Zhang
    • Kuan Wang
    • Maihemuti Aishanjiang
    • Fang Lan
    • Binlin Ma
  • View Affiliations / Copyright

    Affiliations: Department of Breast and Thyroid Surgery, The Affiliated Cancer Hospital of Xinjiang Medical University, Xinjiang Key Laboratory of Oncology, Urumqi, Xinjiang Uygur Autonomous Region 830011, P.R. China, The Clinical Medical Research Center of Breast and Thyroid Tumor in Xinjiang, Urumqi, Xinjiang Uygur Autonomous Region 830011, P.R. China
    Copyright: © Zhang et al. This is an open access article distributed under the terms of Creative Commons Attribution License.
  • Article Number: 125
    |
    Published online on: February 2, 2026
       https://doi.org/10.3892/ol.2026.15478
  • Expand metrics +
Metrics: Total Views: 0 (Spandidos Publications: | PMC Statistics: )
Metrics: Total PDF Downloads: 0 (Spandidos Publications: | PMC Statistics: )
Cited By (CrossRef): 0 citations Loading Articles...

This article is mentioned in:


Abstract

Serum albumin (ALB) and the lymphocyte‑to‑monocyte ratio (LMR) are established inflammation‑ and nutrition‑related biomarkers associated with tumor progression. Their combined prognostic value in triple‑negative breast cancer (TNBC) has not been fully defined. Therefore, the present study aimed to develop and demonstrate a lymphocyte‑albumin‑monocyte index (LANI) that integrates ALB and LMR for prognostic assessment in TNBC. A retrospective cohort of 166 surgically treated patients with TNBC was analyzed and divided into training (n=116) and validation (n=50) cohorts. Receiver operating characteristic analysis yielded optimal thresholds of 39.35 g/l for ALB and 2.526 for LMR, which were rounded to clinical cutoffs of 40 g/l and 2.97. Patients were categorized into three LANI groups, namely LANI=0 (ALB <40 g/l and LMR <2.97), LANI=1 (either indicator above the cutoff) and LANI=2 (both indicators above the cutoff). Multivariate Cox analysis demonstrated that tumor stage, histologic grade and LANI were independent predictors of overall survival, with a LANI value of 2 indicating markedly reduced mortality risk (hazard ratio=0.03; 95% CI: 0.002‑0.46; P=0.012). A nomogram incorporating these factors showed strong discrimination, good calibration and a meaningful clinical net benefit across both cohorts. Overall, the LANI provides a simple, reproducible and cost‑effective biomarker that enhances prognostic stratification and supports individualized management in TNBC.

Introduction

Triple-negative breast cancer (TNBC) represents an aggressive molecular subtype of breast cancer, accounting for 15–20% of all cases (1,2). Despite advances in comprehensive treatment strategies, TNBC remains characterized by early relapse and a high propensity for distant metastasis (3–5). Owing to the absence of estrogen receptor (ER), progesterone receptor (PR) and HER2, patients receive limited benefits from endocrine or targeted therapies and have been shown to experience markedly worse overall survival (OS) compared with other breast cancer molecular subtypes, particularly hormone receptor-positive and HER2-positive disease (6–8). Although initially chemosensitive, TNBC frequently develops drug resistance, contributing to early relapse, distant metastasis and reduced disease-free survival and OS (9). Current prognostic systems based on tumor size, lymph node status and histologic grade insufficiently capture the biological heterogeneity of TNBC or the important influence of host-related factors (10,11). Growing evidence has indicated that systemic host responses, particularly immune and nutritional status, serve central roles in tumor progression and treatment response (12,13). Thus, biomarkers integrating host immunity and nutrition may offer more accurate prognostic insight within TNBC management.

Systemic inflammation and nutritional deficiency are key determinants of cancer initiation, progression and survival (14). Chronic inflammation promotes immune evasion, angiogenesis and epithelial-mesenchymal transition through cytokine-mediated pathways including IL-6/STAT3, TNF-α/NF-κB and TGF-β (15–17). Concurrently, malnutrition impairs immune competence, leading to compromised T-cell activation, macrophage dysfunction and weakened antitumor responses (18,19). Composite indices reflecting inflammation or nutrition, such as the modified Glasgow prognostic score (mGPS), prognostic nutritional index (PNI), systemic immune-inflammation index (SII), neutrophil-to-lymphocyte ratio (NLR) and platelet-to-lymphocyte ratio (PLR), have shown prognostic utility in a number of malignancies, including TNBC (20–23). Elevated NLR independently predicted shorter disease-free survival in early-stage TNBC (24), while a meta-analysis of 819 patients showed that a high PLR was associated with a worse overall and disease-free survival, although effect sizes and cut-off values varied markedly across studies (25). SII demonstrated prognostic value in both recurrent/metastatic TNBC (n=62) (26) and a large neoadjuvant cohort of 422 patients, whereby postoperative SII remained an independent predictor of OS (27). Composite markers combining inflammatory and nutritional domains have also been explored. For example, the Naples Prognostic Score (NPS) outperformed PNI, NLR, PLR and controlling nutritional status (CONUT) in a cohort of 223 postoperative patients with TNBC (28). However, the majority of TNBC-specific analyses remain constrained by modest sample sizes (frequently <100 patients) (26,29,30) and inconsistent findings across cohorts. For example, PLR has only exhibited OS values considered to be borderline statistically significant before sensitivity adjustment, with numerous neoadjuvant studies having reported that SII, system inflammation response index (SIRI) and PLR were not consistently associated with treatment response or long-term outcomes. Given that the majority of indices quantify inflammatory activation or nutritional reserve in isolation, these values fail to capture bidirectional interactions, which are particularly relevant in TNBC, whereby systemic inflammation, lymphocyte depletion and metabolic fragility often coexist. These limitations highlight the need for a simple integrative biomarker capable of concurrently reflecting inflammatory-immune activity and nutritional status to improve preoperative risk stratification in TNBC.

To address this gap, the present study has developed the lymphocyte-albumin-monocyte index (LANI), a novel biomarker combining serum albumin (ALB) and the lymphocyte-to-monocyte ratio (LMR). Both parameters are routinely measured and inexpensive, supporting feasibility for clinical use. ALB reflects protein nutritional status, as well as the inflammatory response of the host, as hypoalbuminemia is associated with cytokine-driven catabolism, impaired hepatic synthesis and poor tolerance to treatment (31,32). LMR represents the balance between antitumor immunity and tumor-promoting inflammation, as lymphocytes mediate cytotoxic surveillance (33), whereas monocytes can differentiate into tumor-associated macrophages that foster invasion and immune escape (34). In TNBC, accumulating evidence has demonstrated the pronounced coexistence of immune suppression and metabolic exhaustion. Clinically, patients with TNBC frequently exhibit elevated systemic inflammatory activation and impaired lymphocyte-mediated immunity. High NLR has been repeatedly associated with reduced disease-free and OS in early-stage and neoadjuvant TNBC cohorts (35–37), while SII has been identified as an independent adverse prognostic factor in recurrent/metastatic TNBC and in pre-surgery assessments of patients who have undergone neoadjuvant treatment (38). Beyond peripheral inflammation, studies assessing tumor-infiltrating lymphocytes have revealed that increased NLR is associated with lower tumor-infiltrating lymphocyte (TIL) density and an unfavorable CD8/Foxp3 ratio, reflecting a shift toward an immunosuppressive microenvironment (26,39). These findings collectively indicate that TNBC is characterized by both systemic lymphocyte depletion and heightened myeloid-driven inflammatory activity, features that contribute to immune dysfunction and metabolic vulnerability. Existing single-dimension inflammatory or nutritional markers capture only certain aspects of this biology and are therefore insufficient to reflect the dual immune-metabolic disturbance typical of TNBC.

The present study aimed to evaluate the prognostic importance of preoperative LANI in surgically treated TNBC and develop a LANI-based nomogram for individualized survival prediction. A retrospective cohort of 166 patients was analyzed to assess the association between preoperative LANI and long-term OS. Kaplan-Meier curves and multivariate Cox models were applied to determine its prognostic value and a nomogram incorporating LANI, tumor (T) stage and histologic grade was constructed for personalized prediction. Model performance was examined using time-dependent receiver operating characteristic (ROC) curves, calibration plots, Brier scores and decision curve analysis (DCA). Overall, LANI, in addition to its statistical performance, relies on two inexpensive, readily available parameters, highlighting its potential as a practical biomarker for preoperative risk assessment, treatment planning and longitudinal monitoring in TNBC.

Patients and methods

Study population

A total of 166 female patients with TNBC treated at the Affiliated Cancer Hospital of Xinjiang Medical University (Urumqi, China) between January 2018 and December 2019, were included in the present retrospective cohort study. Inclusion criteria ensured patients: i) Were newly diagnosed with primary TNBC without prior anticancer treatment; ii) had available preoperative baseline peripheral blood tests; iii) had undergone curative-intent surgery with axillary evaluation; iv) exhibited postoperative pathological confirmation of invasive carcinoma; v) had complete clinicopathological staging data; and vi) had undergone standardized adjuvant therapy and follow-up according to institutional protocols. Exclusion criteria included the presence of bilateral or multifocal breast cancer, pregnancy or lactation, missing baseline hematological data, prior breast cancer or breast surgery, concomitant malignancies or the absence of definitive postoperative pathology. Patients who had received neoadjuvant therapy were excluded to ensure comparability of baseline laboratory parameters. According to institutional perioperative assessment standards, candidates for curative surgery generally did not present with uncontrolled severe hepatic or renal dysfunction, overt systemic infections or hematologic disorders that could markedly alter ALB or leukocyte-derived indices. All baseline hematological parameters, including serum ALB and leukocyte subsets, were obtained from routine peripheral blood tests performed within 7 days prior to surgery. These measurements were collected at the time of first hospital admission as part of standard preoperative evaluation. No longitudinal or post-treatment measurements of these indices were incorporated into the present analysis. The present study was reviewed and approved by The Ethics Committee of the Affiliated Cancer Hospital of Xinjiang Medical University (approval no. K-2024056) and conducted in accordance with the Declaration of Helsinki. Written informed consent was obtained from all participants. All eligible patients were consecutively enrolled to minimize selection bias.

Data collection

Clinical and laboratory data were extracted from the electronic medical records. Variables included baseline characteristics (age, BMI, menopausal status, smoking and alcohol history), hematological parameters (ALB, lymphocyte, monocyte, neutrophil and platelet counts), pathological features [T stage, lymph node (N) stage, American Joint Committee on Cancer (AJCC) stage, histologic grade and Ki-67] as well as survival outcomes. LMR was calculated as lymphocyte count divided by monocyte count. The LANI score was derived using prespecified thresholds for ALB and LMR (ALB, 40 g/l; LMR, 2.97): LANI=0 when ALB <40 g/l and LMR <2.97; LANI=1 when either ALB ≥40 g/l or LMR ≥2.97l; and LANI=2 when both ALB ≥40 g/l and LMR ≥2.97. OS was defined as the interval from surgery to mortality (from any cause) or last follow-up (December 2024). Furthermore, due to the retrospective design, a number of factors that can directly influence ALB and lymphocyte/monocyte counts, such as hepatic or renal dysfunction, acute or chronic infections, autoimmune or inflammatory diseases or corticosteroid use, were not systematically documented and therefore could not be adjusted for, leaving potential residual confounding factors.

Statistical analysis

All analyses were performed using SPSS (version 29.0.2; IBM Corp.) and R software (version 4.4.2; Posit Software, PBC). Baseline characteristics were summarized as counts and percentages for categorical variables and as means ± SD or medians with interquartile range (IQR) for continuous variables. Group comparisons used the χ2 or Fisher's exact test for categorical variables, an unpaired (independent samples) Student's t-test for normally distributed continuous variables (two-group comparisons). The Wilcoxon rank-sum test was used for non-normally distributed variables.

ROC curve analysis was applied to determine the optimal cut-off values for ALB and LMR using the Youden index, yielding 39.35 g/l and 2.526, respectively. To ensure practical clinical applicability, the ROC-derived cut-offs (39.35 g/l for ALB and 2.526 for LMR) were converted to clinically interpretable thresholds. Routine laboratory reports do not provide three-decimal precision and statistically optimized values with excessive granularity are not used in real-world decision-making. Therefore, the ALB cut-off was rounded to 40.0 g/l, consistent with thresholds commonly adopted in breast cancer prognostic studies (40,41). For LMR, the ROC-derived value was converted to 2.97, which most closely preserved the distributional characteristics of the original value while remaining compatible with clinically reportable formats. These refined thresholds were therefore used to construct the LANI score. To examine whether this rounding influenced prognostic performance, a sensitivity analysis was conducted comparing Cox regression and time-dependent ROC results obtained using the raw ROC cut-offs compared with the rounded clinical cut-offs, demonstrating minimal differences in predictive accuracy between the two approaches.

Restricted cubic spline (RCS) models were fitted to evaluate potential non-linear associations of ALB and LMR with OS. Kaplan-Meier survival curves were generated and compared using the log-rank test. Univariate Cox analyses were first performed to screen candidate prognostic variables (P<0.05). However, because T stage, N stage and AJCC stage exhibited notable multicollinearity, given that AJCC stage is derived from T and N, simultaneous inclusion of these variables in the multivariable Cox model resulted in unstable estimates. Therefore, to avoid overadjustment and preserve model stability, only T stage was retained among these tumor burden indicators. This decision was supported by both statistical considerations [more stable hazard ratios (HR) with narrower CIs] and clinical interpretability (T stage representing the core component of anatomical tumor extent). Thus, the final multivariate model included T stage, histologic grade and LANI, representing three complementary dimensions of prognosis, namely tumor burden, biological aggressiveness and host inflammatory-nutritional status, respectively. HRs and 95% CIs were calculated using the Wald method. A prognostic nomogram was constructed based on these variables. Model discrimination and calibration were assessed using time-dependent ROC curves, Brier scores and calibration plots for 1-, 3- and 5-year OS. DCA was used to evaluate clinical net benefit. Internal validation was conducted in the predefined validation cohort. All statistical tests were two-sided, with P<0.05 being considered to indicate a statistically significant difference.

Results

Clinicopathological characteristics of the study cohort

Within the present study, 166 patients with TNBC were included, all of whom underwent curative-intent surgery with axillary evaluation as clinically indicated, comprising 116 in the training cohort and 50 in the validation cohort. Among them, 12.7% were >45 years, 31.3% were aged 45–59 years, 44.6% were aged 60–74 years and 11.4% were aged ≥75 years. BMI distribution showed 4.2% underweight, 42.8% normal, 38.0% overweight and 15.1% obese. With regard to tumor characteristics, 16.9, 61.4, 18.1 and 3.6% were T1, T2, T3 and T4 stages, respectively. Nodal status showed 47.0% N0, 25.3% N1, 17.5% N2 and 10.2% N3 stages. AJCC staging included 10.2% exhibiting stage I, 57.8% stage II and 31.9% stage III. Histologic grade comprised 18.1% grade (G) 1, 59.0% G2 and 22.9% G3. High Ki-67 expression (>30%) was observed in 45.8% of tumors. No significant differences were observed between the training and validation cohorts (all P>0.05; Table I).

Table I.

Baseline clinicopathological characteristics of patients with triple-negative breast cancer in the overall (n=166), training (n=116) and validation (n=50) cohorts.

Table I.

Baseline clinicopathological characteristics of patients with triple-negative breast cancer in the overall (n=166), training (n=116) and validation (n=50) cohorts.

Cohort

CharacteristicOverall, n (%)Training, n (%)Validation, n (%)P-value
Age, years 0.886
  <4521 (12.7)16 (13.8)5 (10.0)
  45-5952 (31.3)37 (31.9)15 (30.0)
  60-7474 (44.6)50 (43.1)24 (48.0)
  ≥7519 (11.4)13 (11.2)6 (12.0)
BMI, kg/m2 0.325
  <18.57 (4.2)3 (2.6)4 (8.0)
  >2825 (15.1)18 (15.5)7 (14.0)
  18.5-2471 (42.8)53 (45.7)18 (36.0)
  24-2863 (38.0)42 (36.2)21 (42.0)
T stage 0.337
  T128 (16.9)19 (16.4)9 (18.0)
  T2102 (61.4)68 (58.6)34 (68.0)
  T330 (18.1)25 (21.6)5 (10.0)
  T46 (3.6)4 (3.4)2 (4.0)
N stage 0.832
  N078 (47.0)57 (49.1)21 (42.0)
  N142 (25.3)29 (25.0)13 (26.0)
  N229 (17.5)19 (16.4)10 (20.0)
  N317 (10.2)11 (9.5)6 (12.0)
AJCC stage 0.757
  I17 (10.2)12 (10.3)5 (10.0)
  II96 (57.8)69 (59.5)27 (54.0)
  III53 (31.9)35 (30.2)18 (36.0)
Histologic grade 0.355
  G130 (18.1)24 (20.7)6 (12.0)
  G298 (59.0)65 (56.0)33 (66.0)
  G338 (22.9)27 (23.3)11 (22.0)
Ki-67 0.762
  >30%76 (45.8)54 (46.6)22 (44.0)
  ≤30%90 (54.2)62 (53.4)28 (56.0)

[i] P-values calculated using χ2 tests or Fisher's exact tests as appropriate. T stage, tumor stage; N stage, lymph node stage; AJCC, American Joint Committee on Cancer.

Association of ALB and LMR with clinicopathological features

Within the training cohort, low ALB levels (<40.0 g/l) were significantly associated with advanced N stage (P=0.0301), higher AJCC stage (P=0.0221) and poor histologic grade (P=0.0022). Similarly, low LMR levels (<2.97) were significantly associated with a higher T stage (P=0.0051). However, no significant associations were found between ALB or LMR and age, BMI, pathological subtype or Ki-67 expression (all P>0.05; Table II). Notably, a brief examination of these associations revealed that patients with decreased ALB tended to present with more extensive nodal involvement and a more advanced T stage, whereas patients with lower LMR were more likely to exhibit larger primary tumors (a higher T stage). These associations underscore how both ALB and LMR reflect underlying tumor burden and systemic inflammatory-nutritional status, providing a biological rationale for their integration into the LANI score. These findings suggest that decreased ALB and LMR are associated with tumor progression and adverse pathological characteristics in patients with TNBC.

Table II.

Association between ALB and LMR levels and clinicopathological features in patients with triple-negative breast cancer.

Table II.

Association between ALB and LMR levels and clinicopathological features in patients with triple-negative breast cancer.

ALBLMR


CharacteristicOverall (n=116)<40.0 (n=42)≥40.0 (n=74)P-valueOverall (n=116)<2.97 (n=33)≥2.97 (n=83)P-value
Age, years >0.999a 0.364a
  <4516 (13.8)6 (14.3)10 (13.5) 16 (13.8)5 (15.2)11 (13.3)
  ≥7513 (11.2)5 (11.9)8 (10.8) 13 (11.2)6 |(18.2)7 (8.4)
  45-5937 (31.9)13 (31.0)24 (32.4) 37 (31.9)11 (33.3)26 (31.3)
  60-7450 (43.1)18 (42.9)32 (43.2) 50 (43.1)11 (33.3)39 (47.0)
BMI, kg/m2 0.552a 0.651a
  <18.53 (2.6)2 (4.8)1 (1.4) 3 (2.6)1 (3.0)2 (2.4)
  >2818 (15.5)6 (14.3)12 (16.2) 18 (15.5)3 (9.1)15 (18.1)
  18.5-2453 (45.7)21 (50.0)32 (43.2) 53 (45.7)17 (51.5)36 (43.4)
  24-2842 (36.2)13 (31.0)29 (39.2) 42 (36.2)12 (36.4)30 (36.1)
Pathology 0.918b 0.259b
  Invasive ductal carcinoma89 (76.7)32 (76.2)57 (77.0) 89 (76.7)23 (69.7)66 (79.5)
  Invasive lobular carcinoma27 (23.3)10 (23.8)17 (23.0) 27 (23.3)10 (30.3)17 (20.5)
T stage 0.357a 0.005a
  T119 (16.4)7 (16.7)12 (16.2) 19 (16.4)6 (18.2)13 (15.7)
  T268 (58.6)25 (59.5)43 (58.1) 68 (58.6)20 (60.6)48 (57.8)
  T325 (21.6)7 (16.7)18 (24.3) 25 (21.6)3 (9.1)22 (26.5)
  T44 (3.4)3 (7.1)1 (1.4) 4 (3.4)4 (12.1)0 (0.0)
N stage 0.030a 0.647a
  N057 (49.1)15 (35.7)42 (56.8) 57 (49.1)14 (42.4)43 (51.8)
  N129 (25.0)11 (26.2)18 (24.3) 29 (25.0)8 (24.2)21 (25.3)
  N219 (16.4)8 (19.0)11 (14.9) 19 (16.4)7 (21.2)12 (14.5)
  N311 (9.5)8 (19.0)3 (4.1) 11 (9.5)4 (12.1)7 (8.4)
AJCC stage 0.022a 0.111a
  I12 (10.3)6 (14.3)6 (8.1) 12 (10.3)4 (12.1)8 (9.6)
  II69 (59.5)18 (42.9)51 (68.9) 69 (59.5)15 (45.5)54 (65.1)
  III35 (30.2)18 (42.9)17 (23.0) 35 (30.2)14 (42.4)21 (25.3)
Histologic grade 0.002b 0.271b
  G124 (20.7)4 (9.5)20 (27.0) 24 (20.7)6 (18.2)18 (21.7)
  G265 (56.0)21 (50.0)44 (59.5) 65 (56.0)16 (48.5)49 (59.0)
  G327 (23.3)17 (40.5)10 (13.5) 27 (23.3)11 (33.3)16 (19.3)
Ki-67 0.862b 0.499b
  >30%54 (46.6)20 (47.6)34 (45.9) 54 (46.6)17 (51.5)37 (44.6)
  ≤30%62 (53.4)22 (52.4)40 (54.1) 62 (53.4)16 (48.5)46 (55.4)

a Fisher's exact test;

b χ2 test. ALB, albumin; LMR, lymphocyte-to-monocyte ratio; T stage, tumor stage; N stage, lymph node stage; AJCC, American Joint Committee on Cancer.

Determination of optimal cut-off values for ALB and LMR

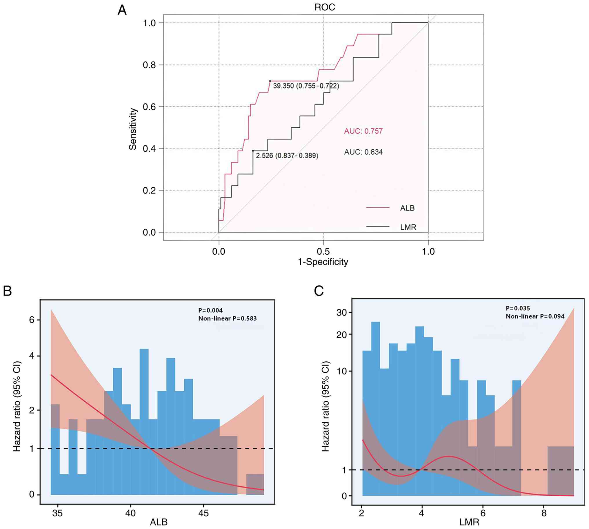
ROC curve analysis identified 39.35 g/l as the optimal cut-off value for ALB [area under the curve (AUC)=0.757] and 2.526 for LMR (AUC=0.634), indicating the prognostic predictive ability of these indices in patients with TNBC (Fig. 1A). RCS analysis further demonstrated a continuous association between decreasing ALB, lower LMR levels and an elevated OS risk, demonstrating their prognostic significance (Fig. 1B and C). For improved clinical interpretability and applicability, the present ROC-derived cut-off values (39.35 g/l and 2.526) were rounded to the nearest conventional clinical thresholds (40.0 g/l and 2.97, respectively) for subsequent LANI model construction. Collectively, these findings highlight the prognostic relevance of ALB and LMR in patients with TNBC. To further enhance predictive accuracy, these markers were integrated into the LANI model for comprehensive prognostic evaluation.

Prognostic relevance of ALB and LMR
in patients with triple-negative breast cancer. (A) ROC curve
analysis for serum ALB and LMR, showing their predictive accuracy
for OS, with optimal cut-off values of 39.35 g/l for ALB
(AUC=0.757) and 2.526 for LMR (AUC=0.634). These ROC-derived
cut-offs closely approximated the prespecified clinical thresholds
for ALB and LMR (40.0 g/l and 2.97, respectively) used in the LANI
classification to enhance clinical applicability. RCS plots
illustrating the continuous relationship between (B) ALB, (C) LMR
and OS risk. ALB, albumin; LMR, lymphocyte-to-monocyte ratio; ROC,
receiver operating curve; AUC, area under the curve; LANI,
lymphocyte-albumin-monocyte index; OS, overall survival.

Figure 1.

Prognostic relevance of ALB and LMR in patients with triple-negative breast cancer. (A) ROC curve analysis for serum ALB and LMR, showing their predictive accuracy for OS, with optimal cut-off values of 39.35 g/l for ALB (AUC=0.757) and 2.526 for LMR (AUC=0.634). These ROC-derived cut-offs closely approximated the prespecified clinical thresholds for ALB and LMR (40.0 g/l and 2.97, respectively) used in the LANI classification to enhance clinical applicability. RCS plots illustrating the continuous relationship between (B) ALB, (C) LMR and OS risk. ALB, albumin; LMR, lymphocyte-to-monocyte ratio; ROC, receiver operating curve; AUC, area under the curve; LANI, lymphocyte-albumin-monocyte index; OS, overall survival.

Development and prognostic value of the LANI model

To improve prognostic stratification in TNBC management, the LANI model was developed using the rounded clinical cut-offs for ALB and LMR (Table III). Patients were categorized into three groups: LANI=0 (ALB <40.0 g/l and LMR <2.97), LANI=1 (either ALB ≥40.0 g/l or LMR ≥2.97) and LANI=2 (ALB ≥40.0 g/l and LMR ≥2.97). To illustrate the distribution of events across LANI strata, survival outcomes were summarized in both cohorts. Within the training cohort (n=116), 18 mortalities occurred. According to the Cox regression dataset, 17/59 (28.8%) mortalities were observed in the LANI ≤1 group, whereas only 1/57 (1.8%) mortalities occurred in the LANI=2 group (Table IV). Within the validation cohort (n=50), 7 mortalities were observed during follow-up. The lower mortality rate consistently observed in the LANI=2 group across both cohorts supports its protective effect and may explain the wide CI exhibited by this group, which reflects a limited number of events rather than model instability. ROC curve analysis demonstrated that LANI achieved a higher discriminatory ability for OS compared with either ALB or LMR alone (AUC=0.792; Fig. 2A). Kaplan-Meier analysis further exhibited significantly longer OS for patients in LANI=2 compared with those of LANI ≤1 (log-rank P<0.001; Fig. 2B).

Development and validation of the
LANI prognostic model in patients with triple-negative breast
cancer. (A) ROC curve analysis evaluating the predictive
performance of the LANI model for OS. The LANI model achieved the
highest AUC (0.792), indicating improved prognostic accuracy. (B)
Kaplan-Meier survival curves stratified by LANI scores, showing
that patients with LANI=2 exhibited significantly improved OS
compared with those with LANI ≤1 (log-rank P<0.001). Numbers at
risk are also shown (LANI ≤1, n=59; LANI=2, n=57). LANI,
lymphocyte-albumin-monocyte index; ROC, receiver operating curve;
AUC, area under the curve; OS, overall survival.

Figure 2.

Development and validation of the LANI prognostic model in patients with triple-negative breast cancer. (A) ROC curve analysis evaluating the predictive performance of the LANI model for OS. The LANI model achieved the highest AUC (0.792), indicating improved prognostic accuracy. (B) Kaplan-Meier survival curves stratified by LANI scores, showing that patients with LANI=2 exhibited significantly improved OS compared with those with LANI ≤1 (log-rank P<0.001). Numbers at risk are also shown (LANI ≤1, n=59; LANI=2, n=57). LANI, lymphocyte-albumin-monocyte index; ROC, receiver operating curve; AUC, area under the curve; OS, overall survival.

Table III.

Development of the LANI prognostic model based on ALB and LMR levels in patients with triple-negative breast cancer.

Table III.

Development of the LANI prognostic model based on ALB and LMR levels in patients with triple-negative breast cancer.

LANILevelsNo. patients
0ALB <40.0 and LMR <2.9716
1ALB ≥40.0 or LMR ≥2.9743
2ALB ≥40.0 and LMR ≥2.9757

[i] LANI, lymphocyte-albumin-monocyte index; ALB, albumin; LMR, lymphocyte-to-monocyte ratio.

Table IV.

Univariate and multivariate Cox regression analyses of clinicopathological factors associated with overall survival in patients with triple-negative breast cancer.

Table IV.

Univariate and multivariate Cox regression analyses of clinicopathological factors associated with overall survival in patients with triple-negative breast cancer.

UnivariateMultivariate


CharacteristicNo. patientsEvent (n)HR95% CIP-valueHR95% CIP-value
Age, years
  <45163
  ≥751320.790.13-4.750.7992.840.23-34.940.415
  45-593781.210.32-4.560.782.000.36-11.020.426
  60-745050.510.12-2.140.361.240.17-8.940.831
BMI, kg/m2
  <18.530
  >281833.210.44-6.350.1323.990.48-36.920.841
  18.5-245390.770.31-2.560.6710.660.25-1.720.394
  24-284261.220.36-4.990.8651.650.28-9.630.578
T stage
  T1191
  T268123.500.46-26.930.2297.530.54-104.870.133
  T325210.561.94-57.260.0154.121.10-15.480.036
  T44322.812.35-221.190.00724.232.30-255.540.008
N stage
  N0572
  N12955.221.01-26.920.0485.980.60-59.470.127
  N219610.942.21-54.260.0033.020.08-111.190.548
  N311515.813.07-81.51<0.0011.530.02-100.160.842
AJCC stage
  I121
  II6940.670.07-5.980.719
  III35135.270.69-40.320.109
Histologic grade
  G1243
  G26522.411.12-5.180.0241.981.05-3.720.036
  G327134.641.32-16.330.0172.761.41-5.400.003
Ki-67
  >30%5411
  ≤30%6270.530.21-1.380.1961.340.25-7.060.730
ALB
  <40.04213
  ≥40.07450.180.07-0.520.0011.730.23-12.770.591
LMR
  <2.97338
  ≥2.9783100.460.18-1.170.1053.190.47-21.550.234
LANI
  ≤15917
  25710.050.01-0.390.0040.030.002-0.460.012

[i] HRs and 95% CIs were estimated using the Wald method. All P-values were two-sided. The N stage was not retained in the multivariable model due to collinearity with the T stage. Wide confidence intervals (for example, for T4 and N3) and estimates for grade 2 tumors reflect a limited numbers of events rather than model instability. HR, hazard ratio; ALB, albumin; LMR, lymphocyte-to-monocyte ratio; LANI, lymphocyte-albumin-monocyte index; T stage, tumor stage; N stage, lymph node stage; AJCC, American Joint Committee on Cancer.

Within the univariate Cox analysis, a higher T stage, N stage, histologic grade and lower ALB value were all associated with worse survival. Furthermore, within the multivariate model including T stage, histologic grade and LANI, T3 (HR=4.12; 95% CI: 1.10-15.48; P=0.036), T4 (HR=24.23; 95% CI: 2.30-255.54; P=0.008), G3 histologic grade (HR=2.76; 95% CI: 1.41-5.40; P=0.003) and LANI (HR=0.03; 95% CI: 0.002-0.46; P=0.012) remained independent prognostic factors for OS (Table IV). Sensitivity analyses demonstrated the robustness of LANI. Cox models based on raw ROC-derived cut-offs and rounded clinical thresholds yielded comparable estimates, indicating that rounding the cut-offs did not notably compromise model performance (data not shown).

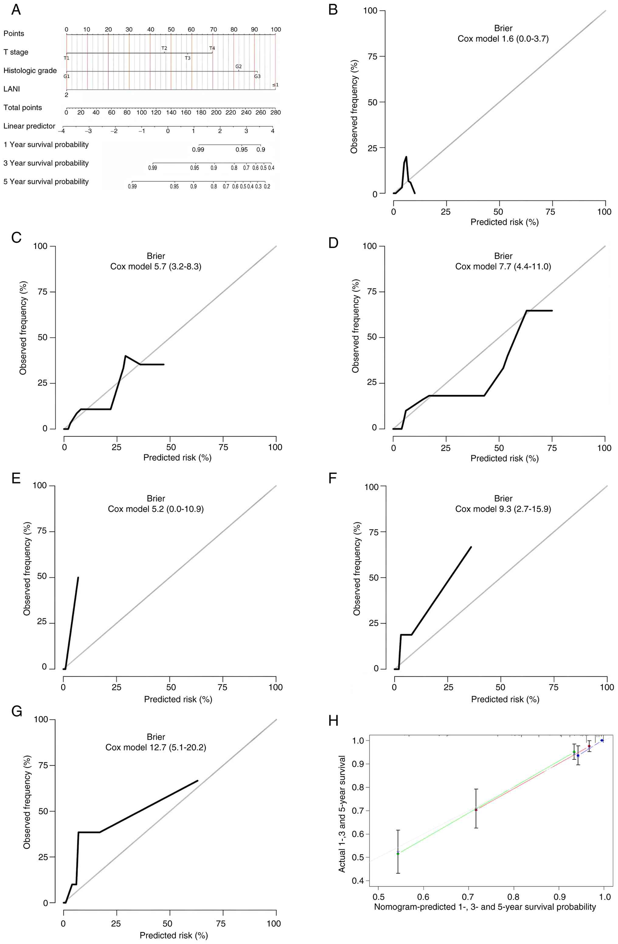
Nomogram construction and calibration

A prognostic nomogram incorporating T stage, histologic grade and LANI was constructed to predict 1-, 3- and 5-year OS in patients with TNBC (Fig. 3A). Brier score analyses demonstrated a good predictive performance by the model, with values of 1.6, 5.7 and 7.7 for 1-, 3- and 5-year OS in the training cohort and 5.2, 9.3 and 12.7 in the validation cohort (Fig. 3B-G). The relatively low Brier scores across different time points indicated stable model accuracy. In addition, calibration plots comparing predicted and observed OS revealed a close concordance, particularly at 1 and 3 years, suggesting a good calibration performance by the nomogram (Fig. 3H). These findings demonstrate that the nomogram based on LANI and clinicopathological factors provides reliable individualized prognostic predictions for patients with TNBC.

Construction and calibration of the
prognostic nomogram for patients with triple-negative breast
cancer. (A) Nomogram integrating T stage, histologic grade and LANI
to predict 1-, 3- and 5-year overall survival. (B) Brier
score-based calibration plot at 1 year. (C) Brier score-based
calibration plot at 3 years. (D) Brier score-based calibration plot
at 5 years. (E) Brier score-based calibration plot at 1 year in the
validation cohort. (F) Brier score-based calibration plot at 3
years in the validation cohort. (G) Brier score-based calibration
plot at 5 years in the validation cohort. (H) Calibration curve
comparing predicted and observed survival probabilities, revealing
a close concordance between predicted and observed survival,
suggesting good calibration performance of the model. T stage,
tumor stage; LANI, lymphocyte-albumin-monocyte index.

Figure 3.

Construction and calibration of the prognostic nomogram for patients with triple-negative breast cancer. (A) Nomogram integrating T stage, histologic grade and LANI to predict 1-, 3- and 5-year overall survival. (B) Brier score-based calibration plot at 1 year. (C) Brier score-based calibration plot at 3 years. (D) Brier score-based calibration plot at 5 years. (E) Brier score-based calibration plot at 1 year in the validation cohort. (F) Brier score-based calibration plot at 3 years in the validation cohort. (G) Brier score-based calibration plot at 5 years in the validation cohort. (H) Calibration curve comparing predicted and observed survival probabilities, revealing a close concordance between predicted and observed survival, suggesting good calibration performance of the model. T stage, tumor stage; LANI, lymphocyte-albumin-monocyte index.

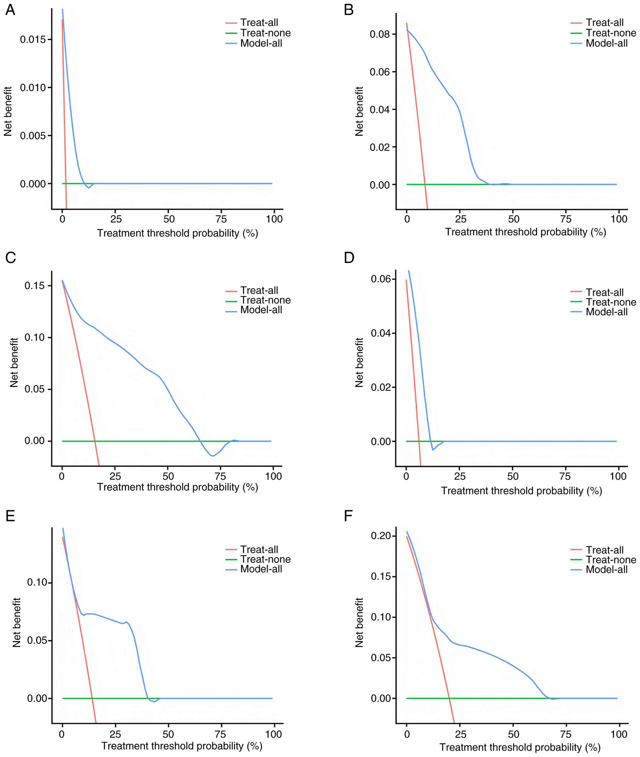
Clinical utility of the nomogram

DCA was applied to assess the net clinical benefit of the LANI-based nomogram in patients with TNBC (Fig. 4A-F). Within the training cohort, the nomogram consistently outperformed the treat-all and treat-none strategies across a range of threshold probabilities for 1-, 3- and 5-year OS, with the most pronounced benefit observed between 5–45% for 3-year OS and up to 70% for 5-year OS. Within the validation cohort, the nomogram similarly demonstrated a higher net benefit compared with the treat-all and treat-none strategies across a clinically relevant range of threshold probabilities (Fig. 4D-F). These findings suggest that the nomogram may provide good value in guiding individualized clinical decisions, especially for medium- to long-term prognostic assessment. Collectively, the DCA results highlight the robustness and translational potential of the LANI-based nomogram as a reliable tool for risk stratification in TNBC.

DCA of the LANI-based nomogram in
patients with triple-negative breast cancer. (A) DCA for 1-year OS
in the training cohort. (B) DCA for 3-year OS in the training
cohort. (C) DCA for 5-year OS in the training cohort. (D) DCA for
1-year OS in the validation cohort. (E) DCA for 3-year OS in the
validation cohort. (F) DCA for 5-year OS in the validation cohort.
Blue curves represent the nomogram incorporating LANI, T stage and
histologic grade, compared with the treat-all (red) and treat-none
(green) strategies. Across clinically relevant thresholds, the
nomogram consistently yielded greater net benefit, underscoring its
potential clinical applicability in risk stratification. DCA,
decision curve analysis; LANI, lymphocyte-albumin-monocyte index; T
stage, tumor stage; OS, overall survival.

Figure 4.

DCA of the LANI-based nomogram in patients with triple-negative breast cancer. (A) DCA for 1-year OS in the training cohort. (B) DCA for 3-year OS in the training cohort. (C) DCA for 5-year OS in the training cohort. (D) DCA for 1-year OS in the validation cohort. (E) DCA for 3-year OS in the validation cohort. (F) DCA for 5-year OS in the validation cohort. Blue curves represent the nomogram incorporating LANI, T stage and histologic grade, compared with the treat-all (red) and treat-none (green) strategies. Across clinically relevant thresholds, the nomogram consistently yielded greater net benefit, underscoring its potential clinical applicability in risk stratification. DCA, decision curve analysis; LANI, lymphocyte-albumin-monocyte index; T stage, tumor stage; OS, overall survival.

Internal validation of the LANI model

To further demonstrate the robustness of the LANI model, internal validation was performed using the predefined validation cohort. Model discrimination remained robust in the validation cohort (Fig. 2). Kaplan-Meier analysis demonstrated that patients with LANI=2 exhibited a significantly longer OS compared with those of LANI ≤1 (log-rank P<0.001; Fig. 2B), consistent with findings from the training cohort. These validation results reinforced the stability and generalizability of the LANI-based nomogram across independent subsets. Calibration analyses (Fig. 3B-H) showed close agreement between predicted and observed outcomes, supporting the calibration accuracy of the model. In addition, DCA (Fig. 4D-F) demonstrated a consistently higher net clinical benefit of the LANI-based nomogram compared with the treat-all or treat-none strategies. Collectively, these results support the feasibility of integrating the LANI score into individualized prognostic assessments and clinical decision-making for patients with TNBC.

Discussion

Within the present study, the LANI model, an integrative biomarker combining serum ALB and the LMR, was developed. Furthermore, its strong prognostic value in TNBC was demonstrated. Among 166 surgically treated patients, those with LANI=2 (ALB ≥40.0 g/l and LMR ≥2.97) consistently showed the most favorable OS. Multivariate Cox regression demonstrated LANI as an independent protective factor, whereas higher T stage (T3-T4) and poor histologic differentiation (G3) were adverse prognostic indicators. A prognostic nomogram incorporating LANI, T stage and histologic grade achieved robust discrimination, reliable calibration and clear clinical net benefits, highlighting its translational potential. The LANI thresholds were derived from ROC-based cut-off values and rounded to commonly used clinical reference points to enhance interpretability without impairing predictive performance.

Beyond statistical performance, the biological foundation of LANI provides a coherent mechanistic explanation for its prognostic relevance in TNBC. In this cohort, low serum ALB was significantly associated with higher nodal burden, a more advanced AJCC stage and worse histologic differentiation, whereas a reduced LMR was associated with deeper primary tumor invasion. These clinical patterns suggest that an unfavorable LANI profile reflects not only anatomical tumor advancement but also a profoundly perturbed host milieu characterized by chronic inflammation, metabolic stress and compromised antitumor immunity.

Serum ALB is a sensitive indicator of protein-energy reserve and inflammatory-metabolic load, whereby in aggressive breast cancer types, proinflammatory cytokines, such as IL-6 and TNF-α, are frequently elevated and activate STAT3 and NF-κB signaling in hepatocytes, shifting protein synthesis toward acute-phase reactants at the expense of ALB production (42–44). This negative acute-phase response accelerates proteolysis, amplifies oxidative stress and sustains a systemic catabolic state, consistent with studies showing that ALB-related inflammatory ratios, such as the neutrophil percentage-to-ALB ratio (NPAR), reflect systemic inflammation and distant metastatic potential in breast cancer (45–47). Meanwhile, the LMR captures the balance between lymphocyte-mediated antitumor immunity and monocyte/macrophage-driven protumor inflammation. Accumulating evidence has shown that breast cancer cells promote monocyte differentiation into M2-polarized tumor-associated macrophages through exosomal long non-coding RNAs, the MIR4435-2HG/ubiquitin-conjugating enzyme E2 N axis and the leupaxin/histone deacetylase 6/early growth response 2 pathway, accompanied by upregulation of IL-10, VEGF and TGF-β, thereby facilitating angiogenesis, epithelial-mesenchymal transition and immune escape (48–50). Integration of these findings with the present results suggests LANI effectively unifies two key biological axes, protein-energy reserve and immune-cell homeostasis, into a condensed surrogate of the host immunometabolic state, providing a robust mechanistic basis for its association with TNBC clinical outcomes.

Growing evidence has indicated that inflammatory-nutritional composite indices exhibit improved prognostic discrimination compared with single inflammatory markers in breast cancer. For example, in a postoperative TNBC cohort (n=223), the NPS demonstrated higher AUCs and C-indices compared with PNI, NLR, PLR and CONUT for both OS and breast cancer-specific survival, underscoring the value of integrating immune and nutritional dimensions (28). In a neoadjuvant TNBC population, Zhu et al (30) showed that a multiparametric model incorporating IL-6, PLR, SII and Ki-67 exhibited improved stratification of disease-free survival compared with any single indicator. Consistently, Sun et al (38) introduced the ALB-corrected NLR ratio (NLR-0.04 × ALB), reporting C-indices of 0.74-0.76 for disease-free survival and OS in both the training and validation cohorts, outperforming traditional inflammation-based parameters. Furthermore, a large neoadjuvant study demonstrated that pretreatment and posttreatment NLR markedly contributed to OS prediction, with the constructed nomogram reaching a C-index of ~0.76, further supporting the rationale for embedding inflammatory markers into composite prognostic models (51).

Based upon these breast cancer-specific findings, the present study introduced a simple TNBC-focused composite index (LANI) that integrates serum ALB and the LMR into a single prognostic measure and to the best of our knowledge, this was applied for the first time in tumor prognostic research. In the present cohort, preoperative LANI achieved an AUC of 0.792 for OS, outperforming ALB alone (AUC=0.757) and the LMR alone (AUC=0.634). Previous breast cancer studies have shown that commonly used inflammatory or inflammatory-nutritional markers, such as NLR, SII, and SIRI, typically yield AUC values between 0.58-0.63, whereas composite scores such as NPS, PLR or NLR-based prognostic models frequently fall between 0.60-0.70 (28,52,53). Within this framework, the AUC=0.792 of LANI lies toward the upper end of the performance spectrum reported for similar indices and reflects a comparatively strong discriminatory ability in the TNBC setting. Although isolated studies have described higher AUCs, such as an NLR AUC=0.827 in an overall breast cancer population (54), these findings were influenced by differences in study population and the incorporation of tumor markers, limiting direct comparison. Collectively, these observations position LANI as a high-performing, biologically grounded inflammatory-nutritional index with potential utility for prognostic refinement in TNBC.

Although neutrophil, lymphocyte, monocyte, platelet and ALB values were available for all patients in the present study, a number of biochemical indicators required for reconstructing mGPS, PNI or CONUT, specifically C-reactive protein, total protein and total cholesterol, were not consistently documented. As the present study was retrospective and relied entirely on electronic medical records, these parameters were only obtained when clinicians suspected inflammatory activity or metabolic-nutritional abnormalities, resulting in marked missingness and precluding reconstruction of those indices. Despite this limitation, the prognostic performance of LANI remained comparable with and in some instances higher than that reported for established inflammatory-nutritional markers, suggesting the potential advantages of integrating immune and nutritional components into a unified index. As LANI was newly introduced in the present study, its prognostic utility has not been evaluated previously in breast cancer or other malignancies. Future prospective TNBC cohorts with complete biochemical datasets will be key in reconstructing established indices and enabling direct, head-to-head comparisons of ROC-based and C-index performances to precisely determine the clinical positioning of LANI.

By jointly incorporating serum ALB and the LMR, LANI consolidates nutritional and immune status into a quantitative surrogate of immunometabolic exhaustion. Patients with LANI=0, defined by concurrent hypoalbuminemia and low LMR, exhibit a high-risk host phenotype marked by chronic inflammation, catabolic metabolic remodeling, lymphocyte depletion and myeloid-dominant immunosuppression. This phenotype aligns with recent studies demonstrating that ALB-based inflammatory ratios and lymphocyte-derived indices (including NPAR and PLR) predict distant metastasis and unfavorable survival in breast cancer (50,55). In TNBC, such immunometabolic exhaustion frequently coexists with an immunosuppressive tumor microenvironment characterized by M2-type macrophage enrichment, insufficient CD8+ T-cell infiltration and elevated expression of checkpoint molecules including programmed cell death protein 1/programmed death-ligand 1, T cell immunoglobulin and mucin domain-containing 3 and lymphocyte activation gene 3, all of which promote immune evasion and diminish therapeutic benefit (56–59). Inflammatory cytokines, tumor-infiltrating lymphocytes and immune checkpoint molecules were not analyzed in the present study, as owing to the retrospective design, such measurements were not part of the routine assessment at the time of patient enrollment. Consequently, long-term archived serum or tissue specimens suitable for multiplex cytokine testing or immune profiling were not consistently available, precluding reliable quantification of these biomarkers. Nevertheless, the clinical patterns observed in the present cohort, including the significantly worse OS in patients with low LANI and its association with more advanced clinicopathological features, are consistent with established translational evidence suggesting that IL-6/TNF-α-driven inflammation, M2 macrophage polarization and CD8+ T-cell dysfunction shape an immunosuppressive TNBC microenvironment and contribute to adverse outcomes (60). These consistencies suggest that LANI may capture an underlying immunometabolic program integral to tumor aggressiveness and treatment responsiveness. Future investigations should therefore aim to incorporate LANI-stratified immune analyses, including: i) Multiplex immunohistochemistry to assess CD8, CD68 and CD163 expression and characterize TIL density and tumor-associated macrophage polarization; ii) serum multiplex cytokine profiling of IL-6, TNF-α and IL-10; and iii) single-cell or spatial transcriptomic profiling to delineate immunometabolic niches across LANI groups (61–63). Through such integrative approaches, LANI may evolve from a pragmatic clinical index into a translational bridge associating routine hematologic markers with high-dimensional immune-molecular phenotyping, supporting its development as a mechanistically grounded prognostic and potentially predictive biomarker in TNBC.

In addition, a number of methodological considerations should be acknowledged when interpreting the present findings. The present study was retrospective and single-center in design, with a modest sample size and a relatively limited number of outcome events, which inherently restricts the generalizability of the results. Although internal validation supported the stability of the model, the absence of external, multicenter validation precludes a full assessment of its reproducibility and robustness in broader TNBC populations. Furthermore, despite multivariable adjustment, residual confounding cannot be fully excluded, particularly because comorbidities, inflammatory conditions and medication exposures that could influence ALB, lymphocyte or monocyte measurements were not systematically documented. More specifically, serum ALB may be influenced by unrecognized hepatic dysfunction (including steatosis, chronic hepatitis or impaired synthetic capacity), renal protein loss, inflammatory cytokine-driven acute-phase responses, perioperative hemodilution from intravenous fluids, malnutrition, catabolic illness and less commonly, protein-losing enteropathy (64,65). In addition, lymphocyte and monocyte counts may fluctuate with acute or chronic infections, autoimmune or inflammatory disorders, hematologic abnormalities, physiologic stress responses and prior or undocumented exposure to immunosuppressive medications or corticosteroids. Given that such factors were not consistently captured in the present retrospective dataset, their potential confounding effects could not be fully assessed. Furthermore, although G2 tumors exhibited an intermediate risk in the multivariate analysis, the modest effect size and limited number of events necessitate cautious interpretation and further validation in larger cohorts. Similarly, the low HR observed in the LANI=2 subgroup must be viewed in the context of event sparsity, as only a single mortality occurred within this category in each cohort, which inevitably broadened the CIs, reflecting statistical limitations rather than model instability. Despite this, the protective direction of association remained consistent across all cohorts and sensitivity analyses, supporting the biological plausibility of LANI as an indicator of host resilience. The integrated nomogram combining LANI, T stage and histologic grade demonstrated strong discrimination, favorable calibration and meaningful clinical utility, yet these prognostic properties also require validation in larger, more event-rich populations. Collectively, these sources of bias are likely non-differential in nature and would tend to attenuate, rather than exaggerate, the observed associations, suggesting that the estimated effect of LANI may, if anything, be conservative.

Future prospective, large-scale, multicenter studies with standardized documentation of comorbidities, inflammatory and nutritional biomarkers and medication exposures will be key in validating these findings across heterogeneous TNBC populations. Incorporating serial measurements will allow characterization of dynamic immuno-nutritional trajectories throughout the perioperative period and adjuvant therapy. Further integration of LANI with TNBC molecular subtyping, genomic and immunogenomic features and emerging multi-omics signatures, may deepen understanding of the immunometabolic mechanisms underlying host-tumor interactions. Embedding LANI into clinical prediction models or digital decision-support platforms may ultimately enhance individualized risk stratification and guide perioperative and systemic treatment planning within precision oncology frameworks. Overall, LANI represents a simple, accessible and biologically grounded biomarker with promising utility in the preoperative evaluation of TNBC, warranting further validation and clinical translation in future multicenter prospective studies.

In conclusion, the present study demonstrates that the LANI, derived from serum ALB and the LMR, is a reliable and independent predictor of OS in patients with TNBC. LANI reflects the combined influence of nutritional status and systemic immune-inflammatory balance, enabling clearer preoperative risk stratification compared with either component alone. The LANI-based nomogram showed strong discrimination, good calibration and meaningful clinical benefits in both the training and validation cohorts. These findings support LANI as a simple and reproducible tool that may complement conventional pathological parameters and assist individualized perioperative management of TNBC.

Acknowledgements

Not applicable.

Funding

The present study was supported by The National Natural Science Foundation of China (grant no. 82260549).

Availability of data and materials

The data generated in the present study may be requested from the corresponding author.

Authors' contributions

BM contributed to the conception and design of the present study. BZ, KW, MA and FL collected and analyzed data. BZ and KW wrote and revised the manuscript. BZ and FL confirm the authenticity of all the raw data. All authors read and approved the final version of the manuscript.

Ethics approval and consent to participate

The present study was approved by The Ethics Committee of the Affiliated Cancer Hospital of Xinjiang Medical University (approval no. K-2024056) in accordance with the Declaration of Helsinki. All patients signed a written informed consent form, which included consent to participate in the present study, use of their medical data for research purposes and the publication of anonymized findings.

Patient consent for publication

Not applicable.

Competing interests

The authors declare that they have no competing interests.

References

1 

Dogra AK, Prakash A, Gupta S and Gupta M: Prognostic significance and molecular classification of triple negative breast cancer: A systematic review. Eur J Breast Health. 21:101–114. 2025.PubMed/NCBI

2 

Bray F, Laversanne M, Sung H, Ferlay J, Siegel RL, Soerjomataram I and Jemal A: Global cancer statistics 2022: GLOBOCAN estimates of incidence and mortality worldwide for 36 cancers in 185 countries. CA Cancer J Clin. 74:229–263. 2022.PubMed/NCBI

3 

Chen Z, Liu Y, Lyu M, Chan CH, Sun M, Yang X, Qiao S, Chen Z, Yu S, Ren M, et al: Classifications of triple-negative breast cancer: insights and current therapeutic approaches. Cell Biosci. 15:132025. View Article : Google Scholar : PubMed/NCBI

4 

Kannan K, Srinivasan A, Kannan A and Ali N: The underlying mechanisms and emerging strategies to overcome resistance in breast cancer. Cancers (Basel). 17:29382025. View Article : Google Scholar : PubMed/NCBI

5 

Martorana TM, Ricciardi G, Tralongo P, Fiorentino V, Pizzimenti C, Franchina M, Marino MA, Santarpia M, Tuccari G, Ieni A, et al: Targeting the tumor microenvironment in triple-negative breast cancer: Biological insights and therapeutic opportunities. Pathol Res Pract. 275:1562262025. View Article : Google Scholar : PubMed/NCBI

6 

Chen Y, Anwar M, Wang X, Zhang B and Ma B: Integrative transcriptomic and single-cell analysis reveals IL27RA as a key immune regulator and therapeutic indicator in breast cancer. Discov Oncol. 16:9772025. View Article : Google Scholar : PubMed/NCBI

7 

Chen H, Gui X, Zhou Z, Su F, Gong C, Li S, Wu W, Rao N, Liu Q and Yao H: Distinct ER and PR expression patterns significantly affect the clinical outcomes of early HER2-positive breast cancer: A real-world analysis of 871 patients treated with neoadjuvant therapy. Breast. 75:1037332024. View Article : Google Scholar : PubMed/NCBI

8 

Li Y, Zhang H, Merkher Y, Chen L, Liu N, Leonov S and Chen Y: Recent advances in therapeutic strategies for triple-negative breast cancer. J Hematol Oncol. 15:1212022. View Article : Google Scholar : PubMed/NCBI

9 

Jiang C, Zhang S, Jiang L, Chen Z, Chen H, Huang J, Tang J, Luo X, Yang G, Liu J and Chi H: Precision unveiled: Synergistic genomic landscapes in breast cancer-Integrating single-cell analysis and decoding drug toxicity for elite prognostication and tailored therapeutics. Environ Toxicol. 39:3448–3472. 2024. View Article : Google Scholar : PubMed/NCBI

10 

Zhou Y, Tao L, Qiu J, Xu J, Yang X, Zhang Y, Tian X, Guan X, Cen X and Zhao Y: Tumor biomarkers for diagnosis, prognosis and targeted therapy. Signal Transduct Target Ther. 9:1322024. View Article : Google Scholar : PubMed/NCBI

11 

He M, Zhang JX, Jiang YZ, Chen YL, Yang HY, Tang LC, Shao ZM and Di GH: The lymph node ratio as an independent prognostic factor for node-positive triple-negative breast cancer. Oncotarget. 8:44870–44880. 2017. View Article : Google Scholar : PubMed/NCBI

12 

Altea-Manzano P, Decker-Farrell A, Janowitz T and Erez A: Metabolic interplays between the tumour and the host shape the tumour macroenvironment. Nat Rev Cancer. 25:274–292. 2025. View Article : Google Scholar : PubMed/NCBI

13 

Li B, Lin R, Hua Y, Ma B and Chen Y: Single-cell RNA sequencing reveals TMEM71 as an immunomodulatory biomarker predicting immune checkpoint blockade response in breast cancer. Discov Oncol. 16:12562025. View Article : Google Scholar : PubMed/NCBI

14 

Tripathi S, Sharma Y and Kumar D: Unveiling the link between chronic inflammation and cancer. Metabol Open. 25:1003472025. View Article : Google Scholar : PubMed/NCBI

15 

Hassan AF, Kheraldine H, Abujamous L, Al-Thawadi H and Elhissi A: Inflammation-associated drug resistance and tumor growth in TNBC. Front Immunol. 16:16231372025. View Article : Google Scholar : PubMed/NCBI

16 

Hua S, Wang W, Yao Z, Gu J, Zhang H, Zhu J, Xie Z and Jiang H: The fatty acid-related gene signature stratifies poor prognosis patients and characterizes TIME in cutaneous melanoma. J Cancer Res Clin Oncol. 150:402024. View Article : Google Scholar : PubMed/NCBI

17 

Li KJ, Zhang ZY, Wang K, Sulayman S, Zeng XY, Liu J, Chen Y and Zhao ZL: Prognostic scoring system using inflammation- and nutrition-related biomarkers to predict prognosis in stage I-III colorectal cancer patients. World J Gastroenterol. 31:1045882025.PubMed/NCBI

18 

Zhang M, Liu J, Zhang F, Liang Q and Guo Z: Comprehensive characterization of neddylation related genes in cutaneous melanoma identified a novel prognostic signature for treatment outcomes, immune landscape. Discov Oncol. 15:7222024. View Article : Google Scholar : PubMed/NCBI

19 

Majumdar A, Saraf SK, Sahu C, Verma K and Vishwakarma P: Current perspectives on malnutrition and immunomodulators bridging nutritional deficiencies and immune health. Future J Pharm Sci. 11:502025. View Article : Google Scholar

20 

Kanbur B, Unek IT, Uzun M, Ozturk C, Yarol RC and Balci A: Association of systemic inflammatory response index and prognostic nutritional index scores with sarcopenia in patients with metastatic gastric cancer. Medicina (Kaunas). 61:7852025. View Article : Google Scholar : PubMed/NCBI

21 

Shayimu P, Awula M, Wang CY, Jiapaer R, Pan YP, Wu ZM, Chen Y and Zhao ZL: Serum nutritional predictive biomarkers and risk assessment for anastomotic leakage after laparoscopic surgery in rectal cancer patients. World J Gastrointest Surg. 16:3142–3154. 2024. View Article : Google Scholar : PubMed/NCBI

22 

Stotz M, Gerger A, Eisner F, Szkandera J, Loibner H, Ress AL, Kornprat P, AlZoughbi W, Seggewies FS, Lackner C, et al: Increased neutrophil-lymphocyte ratio is a poor prognostic factor in patients with primary operable and inoperable pancreatic cancer. Br J Cancer. 109:416–421. 2013. View Article : Google Scholar : PubMed/NCBI

23 

Chen Y, Zhang B, Wang X, Chen Y, Anwar M, Fan J and Ma B: Prognostic value of preoperative modified Glasgow prognostic score in predicting overall survival in breast cancer patients: A retrospective cohort study. Oncol Lett. 29:1802025. View Article : Google Scholar : PubMed/NCBI

24 

Lee YK, Hsu CY, Wang MY, Kuo WH, Lien HC, Lee YH, Lo C and Huang CS: Prognostic factors for early-stage triple-negative breast cancer with a focus on neutrophil-to-lymphocyte ratio: A single-center retrospective study. Taiwan J Obstet Gynecol. 64:1030–1036. 2025. View Article : Google Scholar : PubMed/NCBI

25 

Alzogaray V, Defante MLR, Celso DSG, Torres LA, Bearse M and Lopes ACFMM: Prognostic significance of platelet-to-lymphocyte ratio in patients with triple-negative breast cancer: Systematic review and meta-analysis. Cancer Diagn Progn. 5:779–787. 2025. View Article : Google Scholar : PubMed/NCBI

26 

Zhao J, Chen X, Zhang Z, Zhao D, Cao X, Mao F, Sun Q and Peng L: Prognostic value of the systemic immune-inflammation index in recurrent/metastatic triple-negative breast cancer: A retrospective cohort study. Gland Surg. 14:1858–1872. 2025. View Article : Google Scholar : PubMed/NCBI

27 

Guo Q, Wang B, Gao X, Zhao P and Lv S: Predicting prognosis of patients with triple-negative breast cancer undergoing neoadjuvant chemotherapy based on inflammatory status at different time points: A propensity score matching analysis. Oncol Lett. 29:2522025. View Article : Google Scholar : PubMed/NCBI

28 

Qiu Y, Chen Y, Shen H, Yan S, Li J and Wu W: Naples prognostic score: A novel predictor of survival in patients with triple-negative breast cancer. J Inflamm Res. 17:5253–5269. 2024. View Article : Google Scholar : PubMed/NCBI

29 

Kotowicz B, Fuksiewicz M, Jodkiewicz M, Makowka A and Jagiełło-Gruszfeld A: Evaluation of the prognostic value of obesity, vitamin d concentrations, and systemic inflammatory response indexes (SIRI, SII, PIV) in patients with breast cancer scheduled for neoadjuvant treatment. Breast Cancer (Auckl). 19:117822342513694632025. View Article : Google Scholar : PubMed/NCBI

30 

Zhu J, Cheng J, Ma Y, Wang Y, Zou Z, Wang W, Shi H and Meng Y: The value of inflammation-related indicators in chemotherapy efficacy and disease-free survival of triple-negative breast cancer. Eur J Med Res. 30:772025. View Article : Google Scholar : PubMed/NCBI

31 

Eckart A, Struja T, Kutz A, Baumgartner A, Baumgartner T, Zurfluh S, Neeser O, Huber A, Stanga Z, Mueller B and Schuetz P: Relationship of nutritional status, inflammation, and serum albumin levels during acute illness: A prospective study. Am J Med. 133:713–722.e7. 2020. View Article : Google Scholar : PubMed/NCBI

32 

Gremese E, Bruno D, Varriano V, Perniola S, Petricca L and Ferraccioli G: Serum albumin levels: A biomarker to be repurposed in different disease settings in clinical practice. J Clin Med. 12:60172023. View Article : Google Scholar : PubMed/NCBI

33 

Wang K, Li K, Zhang Z, Zeng X, Wu Z, Zhang B, Pan Y, Lau LY, Zhao Z and Chen Y: Combined preoperative platelet-albumin ratio and cancer inflammation prognostic index predicts prognosis in colorectal cancer: A retrospective study. Sci Rep. 15:295002025. View Article : Google Scholar : PubMed/NCBI

34 

Benner B, Scarberry L, Suarez-Kelly LP, Duggan MC, Campbell AR, Smith E, Lapurga G, Jiang K, Butchar JP, Tridandapani S, et al: Generation of monocyte-derived tumor-associated macrophages using tumor-conditioned media provides a novel method to study tumor-associated macrophages in vitro. J Immunother Cancer. 7:1402019. View Article : Google Scholar : PubMed/NCBI

35 

Zhang H, Tang S, Biskup E, Zhang Y, Yong L, Chen L and Cai F: Long-term survival after diverse therapeutic modalities in malignant phyllodes tumors of the breast. Technol Cancer Res Treat. 21:153303382211210862022. View Article : Google Scholar : PubMed/NCBI

36 

Tokumaru Y, Oshi M, Murthy V, Tian W, Yan L, Angarita FA, Nagahashi M, Matsuhashi N, Futamura M, Yoshida K, et al: Low intratumoral genetic neutrophil-to-lymphocyte ratio (NLR) is associated with favorable tumor immune microenvironment and with survival in triple negative breast cancer (TNBC). Am J Cancer Res. 11:5743–5755. 2021.PubMed/NCBI

37 

Bae SJ, Cha YJ, Yoon C, Kim D, Lee J, Park S, Cha C, Kim JY, Ahn SG, Park HS, et al: Prognostic value of neutrophil-to-lymphocyte ratio in human epidermal growth factor receptor 2-negative breast cancer patients who received neoadjuvant chemotherapy. Sci Rep. 10:130782020. View Article : Google Scholar : PubMed/NCBI

38 

Sun H, Liang J, Xue S, Zhang X, Ding M, Zhu J, Nanding A, Liu T, Lou G, Gao Y, et al: Establishment and clinical application of a prognostic index for inflammatory status in triple-negative breast cancer patients undergoing neoadjuvant therapy using machine learning. BMC Cancer. 24:15592024. View Article : Google Scholar : PubMed/NCBI

39 

Giro A, Passildas-Jahanmohan J, Kossai M, Bidet Y, Molnar I, Bernadach M, Penault-Llorca F, Abrial C, Durando X and Radosevic-Robin N: Comparison of the predictive and prognostic capacities of neutrophil, lymphocyte and platelet counts and tumor-infiltrating lymphocytes in triple-negative breast cancer: Preliminary RESULTS of the PERCEPTION study. Anticancer Res. 44:4983–4994. 2024. View Article : Google Scholar : PubMed/NCBI

40 

Fang Q, Jiang H, Deng L, Sun W, Wang M, Liu Y and Xu J: Constructing and evaluating a predictive model for the risk of preoperative frailty in breast cancer patients. BMC Womens Health. 25:5832025. View Article : Google Scholar : PubMed/NCBI

41 

Miao Y, Yang R, Zhang B, Yang J, Yao L, Wang W, Liu X, Guo X and Jia H: Naples prognostic score (NPS) as a novel prognostic score for stage III breast cancer patients: A real-world retrospective study. Breast Cancer (Dove Med Press). 17:403–421. 2025.PubMed/NCBI

42 

Hou M, Li H, He T, Hui S, Dai W, Hou X, Zhao J, Zhao J, Wen J, Kan W, et al: Icariside I reduces breast cancer proliferation, apoptosis, invasion, and metastasis probably through inhibiting IL-6/STAT3 signaling pathway. J Pharm Pharmacol. 76:499–513. 2024. View Article : Google Scholar : PubMed/NCBI

43 

Vu NT, Vu QV, Vo NT, Tanigaki R, Quach HT, Miyake Y, Shiba T and Kataoka T: Cardamonin inhibits the nuclear translocation and DNA binding of RelA in the tumor necrosis factor-α-induced NF-κB signaling pathway in human lung adenocarcinoma A549 cells. Molecules. 30:43242025. View Article : Google Scholar : PubMed/NCBI

44 

Ma H, Liu J, Jin H, Zhang M, Liang Q and Guo Z: Comprehensive characterization of NK cell-related genes in cutaneous melanoma identified a novel prognostic signature for predicting the prognosis, immunotherapy, and chemotherapy efficacy. Discov Oncol. 16:12432025. View Article : Google Scholar : PubMed/NCBI

45 

Liu Y, Luo R, Wu Z, Zhang W, Liang C, Liu Z and Zhao H: Association of neutrophil percentage-to-albumin ratio with distant metastasis and survival outcomes in breast cancer patients: A retrospective and prospective cohort study. Sci Rep. 15:454562025. View Article : Google Scholar : PubMed/NCBI

46 

Gruys E, Toussaint MJ, Niewold TA and Koopmans SJ: Acute phase reaction and acute phase proteins. J Zhejiang Univ Sci B. 6:1045–1056. 2005. View Article : Google Scholar : PubMed/NCBI

47 

Shang Y, Duan Y, Liu J, Guo R, Fang Z, Ma F and Guo B: Association between albumin-related inflammatory biomarkers and breast cancer risk: A secondary analysis of NHANES 1998–2018. Medicine (Baltimore). 104:e464822025. View Article : Google Scholar : PubMed/NCBI

48 

Zhang R, Meng Z, Wu X, Piao Z, Jin T and Zhang M: MIR4435-2HG promotes breast cancer evolution through miR-205-5p/UBE2N axis and exosome-mediated macrophage M2-like polarization. Cell Signal. 139:1122872026. View Article : Google Scholar : PubMed/NCBI

49 

He S, Wang Q, He J, Chen Z and Xiao Y: The Leupaxin/ HDAC6/EGR2 axis facilitates breast cancer progression by enhancing macrophage M2 polarization. Cell Biol Toxicol. 41:1542025. View Article : Google Scholar : PubMed/NCBI

50 

Zhang J, Huang X, Ma L, Chen Z, Li T, Wang L, Guo Y, Xu H, Li J, Qin JJ, et al: Micro-organ chip deciphers tumor-derived G-CSF as remote commander of lung pre-metastatic niche via VEGFA-KDR cascade. Adv Sci (Weinh). e185842025.(Epub ahead of print). PubMed/NCBI

51 

Gao S, Tang W, Zuo B, Mulvihill L, Yu J and Yu Y: The predictive value of neutrophil-to-lymphocyte ratio for overall survival and pathological complete response in breast cancer patients receiving neoadjuvant chemotherapy. Front Oncol. 12:10656062023. View Article : Google Scholar : PubMed/NCBI

52 

Zhang Y, Wu J, Chen W and Liang X: Pretreatment system inflammation response index (SIRI) is a valuable marker for evaluating the efficacy of neoadjuvant therapy in breast cancer patients. Int J Gen Med. 17:4359–4368. 2024. View Article : Google Scholar : PubMed/NCBI

53 

Li Y and Fei Y: The predictive value of serum NLR, SII, and OPNI for lymph node metastasis in breast cancer patients with internal mammary lymph nodes after thoracoscopic surgery. Open Life Sci. 19:202207632024. View Article : Google Scholar : PubMed/NCBI

54 

Fan S, Xie X, Shen Y, Wang W, Gu X and Yao Z: The predictive value of preoperative serum neutrophil-to-lymphocyte ratio and tumor markers for early breast cancer patients: A retrospective study. Medicine (Baltimore). 101:e300112022. View Article : Google Scholar : PubMed/NCBI

55 

Zhao Z, Xu H, Ma B and Dong C: Prognostic value of platelet to lymphocyte ratio (PLR) in breast cancer patients receiving neoadjuvant therapy: A systematic review and meta-analysis. Front Immunol. 16:16585712025. View Article : Google Scholar : PubMed/NCBI

56 

Tan Z, Xin H, Chen J, Lei M, Tu G and Tang L: SIGLEC15 modulates the immunosuppressive microenvironment and suppresses malignant phenotypes in triple-negative breast cancer. Genes Dis. 13:1017992025. View Article : Google Scholar : PubMed/NCBI

57 

Liu J, Wang YT, Zeng LL and Chen CL: Lactate-related genes signature as a novel prognostic landscape in laryngeal squamous cell carcinoma: Insights from 156 machine learning algorithms and in vitro validation. Int J Biol Macromol. 323:1470982025. View Article : Google Scholar : PubMed/NCBI

58 

Zhang P, Zhang H, Tang J, Ren Q, Zhang J, Chi H, Xiong J, Gong X, Wang W, Lin H, et al: The integrated single-cell analysis developed an immunogenic cell death signature to predict lung adenocarcinoma prognosis and immunotherapy. Aging (Albany NY). 15:10305–10329. 2023. View Article : Google Scholar : PubMed/NCBI

59 

Imani S, Farghadani R, Roozitalab G, Maghsoudloo M, Emadi M, Moradi A, Abedi B and Jabbarzadeh Kaboli P: Reprogramming the breast tumor immune microenvironment: Cold-to-hot transition for enhanced immunotherapy. J Exp Clin Cancer Res. 44:1312025. View Article : Google Scholar : PubMed/NCBI

60 

Li Y, Gao Y, Wang L and Si J: NK cell adaptation in the tumor microenvironment: Insights for NK cell-based immunotherapy. Cytokine Growth Factor Rev. 86:181–198. 2025. View Article : Google Scholar : PubMed/NCBI

61 

Chen X, Chi H, Zhao X, Pan R, Wei Y and Han Y: Role of exosomes in immune microenvironment of hepatocellular carcinoma. J Oncol. 2022:25210252022.PubMed/NCBI

62 

Xiang Y, Du D, Su Y, Guo L and Chen S: Integrated pan-cancer analysis and experimental verification of the roles of retinoid-binding proteins in breast cancer. Cancers (Basel). 17:37062025. View Article : Google Scholar : PubMed/NCBI

63 

Mardamshina M, Karagach S, Mohan V, Arad G, Necula D, Golani O, Fellus-Alyagor L, Shenoy A, Krol K, Pirak D, et al: Integrated spatial proteomic analysis of breast cancer heterogeneity unravels cancer cell phenotypic plasticity. Nat Commun. 16:104822025. View Article : Google Scholar : PubMed/NCBI

64 

Cheng T, Wang X, Han Y, Hao J, Hu H and Hao L: The level of serum albumin is associated with renal prognosis and renal function decline in patients with chronic kidney disease. BMC Nephrol. 24:572023. View Article : Google Scholar : PubMed/NCBI

65 

Wiedermann CJ: Hypoalbuminemia as surrogate and culprit of infections. Int J Mol Sci. 22:44962021. View Article : Google Scholar : PubMed/NCBI

Related Articles

  • Abstract
  • View
  • Download
  • Twitter
Copy and paste a formatted citation
Spandidos Publications style
Zhang B, Wang K, Aishanjiang M, Lan F and Ma B: <p>Preoperative lymphocyte‑albumin‑monocyte index as an inflammation‑ and nutrition‑based predictor of overall survival in triple‑negative breast cancer: A retrospective cohort study</p>. Oncol Lett 31: 125, 2026.
APA
Zhang, B., Wang, K., Aishanjiang, M., Lan, F., & Ma, B. (2026). <p>Preoperative lymphocyte‑albumin‑monocyte index as an inflammation‑ and nutrition‑based predictor of overall survival in triple‑negative breast cancer: A retrospective cohort study</p>. Oncology Letters, 31, 125. https://doi.org/10.3892/ol.2026.15478
MLA
Zhang, B., Wang, K., Aishanjiang, M., Lan, F., Ma, B."<p>Preoperative lymphocyte‑albumin‑monocyte index as an inflammation‑ and nutrition‑based predictor of overall survival in triple‑negative breast cancer: A retrospective cohort study</p>". Oncology Letters 31.4 (2026): 125.
Chicago
Zhang, B., Wang, K., Aishanjiang, M., Lan, F., Ma, B."<p>Preoperative lymphocyte‑albumin‑monocyte index as an inflammation‑ and nutrition‑based predictor of overall survival in triple‑negative breast cancer: A retrospective cohort study</p>". Oncology Letters 31, no. 4 (2026): 125. https://doi.org/10.3892/ol.2026.15478
Copy and paste a formatted citation
x
Spandidos Publications style
Zhang B, Wang K, Aishanjiang M, Lan F and Ma B: <p>Preoperative lymphocyte‑albumin‑monocyte index as an inflammation‑ and nutrition‑based predictor of overall survival in triple‑negative breast cancer: A retrospective cohort study</p>. Oncol Lett 31: 125, 2026.
APA
Zhang, B., Wang, K., Aishanjiang, M., Lan, F., & Ma, B. (2026). <p>Preoperative lymphocyte‑albumin‑monocyte index as an inflammation‑ and nutrition‑based predictor of overall survival in triple‑negative breast cancer: A retrospective cohort study</p>. Oncology Letters, 31, 125. https://doi.org/10.3892/ol.2026.15478
MLA
Zhang, B., Wang, K., Aishanjiang, M., Lan, F., Ma, B."<p>Preoperative lymphocyte‑albumin‑monocyte index as an inflammation‑ and nutrition‑based predictor of overall survival in triple‑negative breast cancer: A retrospective cohort study</p>". Oncology Letters 31.4 (2026): 125.
Chicago
Zhang, B., Wang, K., Aishanjiang, M., Lan, F., Ma, B."<p>Preoperative lymphocyte‑albumin‑monocyte index as an inflammation‑ and nutrition‑based predictor of overall survival in triple‑negative breast cancer: A retrospective cohort study</p>". Oncology Letters 31, no. 4 (2026): 125. https://doi.org/10.3892/ol.2026.15478
Follow us
  • Twitter
  • LinkedIn
  • Facebook
About
  • Spandidos Publications
  • Careers
  • Cookie Policy
  • Privacy Policy
How can we help?
  • Help
  • Live Chat
  • Contact
  • Email to our Support Team