Spandidos Publications Logo
  • About
    • About Spandidos
    • Aims and Scopes
    • Abstracting and Indexing
    • Editorial Policies
    • Reprints and Permissions
    • Job Opportunities
    • Terms and Conditions
    • Contact
  • Journals
    • All Journals
    • Oncology Letters
      • Oncology Letters
      • Information for Authors
      • Editorial Policies
      • Editorial Board
      • Aims and Scope
      • Abstracting and Indexing
      • Bibliographic Information
      • Archive
    • International Journal of Oncology
      • International Journal of Oncology
      • Information for Authors
      • Editorial Policies
      • Editorial Board
      • Aims and Scope
      • Abstracting and Indexing
      • Bibliographic Information
      • Archive
    • Molecular and Clinical Oncology
      • Molecular and Clinical Oncology
      • Information for Authors
      • Editorial Policies
      • Editorial Board
      • Aims and Scope
      • Abstracting and Indexing
      • Bibliographic Information
      • Archive
    • Experimental and Therapeutic Medicine
      • Experimental and Therapeutic Medicine
      • Information for Authors
      • Editorial Policies
      • Editorial Board
      • Aims and Scope
      • Abstracting and Indexing
      • Bibliographic Information
      • Archive
    • International Journal of Molecular Medicine
      • International Journal of Molecular Medicine
      • Information for Authors
      • Editorial Policies
      • Editorial Board
      • Aims and Scope
      • Abstracting and Indexing
      • Bibliographic Information
      • Archive
    • Biomedical Reports
      • Biomedical Reports
      • Information for Authors
      • Editorial Policies
      • Editorial Board
      • Aims and Scope
      • Abstracting and Indexing
      • Bibliographic Information
      • Archive
    • Oncology Reports
      • Oncology Reports
      • Information for Authors
      • Editorial Policies
      • Editorial Board
      • Aims and Scope
      • Abstracting and Indexing
      • Bibliographic Information
      • Archive
    • Molecular Medicine Reports
      • Molecular Medicine Reports
      • Information for Authors
      • Editorial Policies
      • Editorial Board
      • Aims and Scope
      • Abstracting and Indexing
      • Bibliographic Information
      • Archive
    • World Academy of Sciences Journal
      • World Academy of Sciences Journal
      • Information for Authors
      • Editorial Policies
      • Editorial Board
      • Aims and Scope
      • Abstracting and Indexing
      • Bibliographic Information
      • Archive
    • International Journal of Functional Nutrition
      • International Journal of Functional Nutrition
      • Information for Authors
      • Editorial Policies
      • Editorial Board
      • Aims and Scope
      • Abstracting and Indexing
      • Bibliographic Information
      • Archive
    • International Journal of Epigenetics
      • International Journal of Epigenetics
      • Information for Authors
      • Editorial Policies
      • Editorial Board
      • Aims and Scope
      • Abstracting and Indexing
      • Bibliographic Information
      • Archive
    • Medicine International
      • Medicine International
      • Information for Authors
      • Editorial Policies
      • Editorial Board
      • Aims and Scope
      • Abstracting and Indexing
      • Bibliographic Information
      • Archive
  • Articles
  • Information
    • Information for Authors
    • Information for Reviewers
    • Information for Librarians
    • Information for Advertisers
    • Conferences
  • Language Editing
Spandidos Publications Logo
  • About
    • About Spandidos
    • Aims and Scopes
    • Abstracting and Indexing
    • Editorial Policies
    • Reprints and Permissions
    • Job Opportunities
    • Terms and Conditions
    • Contact
  • Journals
    • All Journals
    • Biomedical Reports
      • Information for Authors
      • Editorial Policies
      • Editorial Board
      • Aims and Scope
      • Abstracting and Indexing
      • Bibliographic Information
      • Archive
    • Experimental and Therapeutic Medicine
      • Information for Authors
      • Editorial Policies
      • Editorial Board
      • Aims and Scope
      • Abstracting and Indexing
      • Bibliographic Information
      • Archive
    • International Journal of Epigenetics
      • Information for Authors
      • Editorial Policies
      • Editorial Board
      • Aims and Scope
      • Abstracting and Indexing
      • Bibliographic Information
      • Archive
    • International Journal of Functional Nutrition
      • Information for Authors
      • Editorial Policies
      • Editorial Board
      • Aims and Scope
      • Abstracting and Indexing
      • Bibliographic Information
      • Archive
    • International Journal of Molecular Medicine
      • Information for Authors
      • Editorial Policies
      • Editorial Board
      • Aims and Scope
      • Abstracting and Indexing
      • Bibliographic Information
      • Archive
    • International Journal of Oncology
      • Information for Authors
      • Editorial Policies
      • Editorial Board
      • Aims and Scope
      • Abstracting and Indexing
      • Bibliographic Information
      • Archive
    • Medicine International
      • Information for Authors
      • Editorial Policies
      • Editorial Board
      • Aims and Scope
      • Abstracting and Indexing
      • Bibliographic Information
      • Archive
    • Molecular and Clinical Oncology
      • Information for Authors
      • Editorial Policies
      • Editorial Board
      • Aims and Scope
      • Abstracting and Indexing
      • Bibliographic Information
      • Archive
    • Molecular Medicine Reports
      • Information for Authors
      • Editorial Policies
      • Editorial Board
      • Aims and Scope
      • Abstracting and Indexing
      • Bibliographic Information
      • Archive
    • Oncology Letters
      • Information for Authors
      • Editorial Policies
      • Editorial Board
      • Aims and Scope
      • Abstracting and Indexing
      • Bibliographic Information
      • Archive
    • Oncology Reports
      • Information for Authors
      • Editorial Policies
      • Editorial Board
      • Aims and Scope
      • Abstracting and Indexing
      • Bibliographic Information
      • Archive
    • World Academy of Sciences Journal
      • Information for Authors
      • Editorial Policies
      • Editorial Board
      • Aims and Scope
      • Abstracting and Indexing
      • Bibliographic Information
      • Archive
  • Articles
  • Information
    • For Authors
    • For Reviewers
    • For Librarians
    • For Advertisers
    • Conferences
  • Language Editing
Login Register Submit
  • This site uses cookies
  • You can change your cookie settings at any time by following the instructions in our Cookie Policy. To find out more, you may read our Privacy Policy.

    I agree
Search articles by DOI, keyword, author or affiliation
Search
Advanced Search
presentation
Oncology Reports
Join Editorial Board Propose a Special Issue
Print ISSN: 1021-335X Online ISSN: 1791-2431
Journal Cover
February 2013 Volume 29 Issue 2

Full Size Image

Sign up for eToc alerts
Recommend to Library

Journals

International Journal of Molecular Medicine

International Journal of Molecular Medicine

International Journal of Molecular Medicine is an international journal devoted to molecular mechanisms of human disease.

International Journal of Oncology

International Journal of Oncology

International Journal of Oncology is an international journal devoted to oncology research and cancer treatment.

Molecular Medicine Reports

Molecular Medicine Reports

Covers molecular medicine topics such as pharmacology, pathology, genetics, neuroscience, infectious diseases, molecular cardiology, and molecular surgery.

Oncology Reports

Oncology Reports

Oncology Reports is an international journal devoted to fundamental and applied research in Oncology.

Experimental and Therapeutic Medicine

Experimental and Therapeutic Medicine

Experimental and Therapeutic Medicine is an international journal devoted to laboratory and clinical medicine.

Oncology Letters

Oncology Letters

Oncology Letters is an international journal devoted to Experimental and Clinical Oncology.

Biomedical Reports

Biomedical Reports

Explores a wide range of biological and medical fields, including pharmacology, genetics, microbiology, neuroscience, and molecular cardiology.

Molecular and Clinical Oncology

Molecular and Clinical Oncology

International journal addressing all aspects of oncology research, from tumorigenesis and oncogenes to chemotherapy and metastasis.

World Academy of Sciences Journal

World Academy of Sciences Journal

Multidisciplinary open-access journal spanning biochemistry, genetics, neuroscience, environmental health, and synthetic biology.

International Journal of Functional Nutrition

International Journal of Functional Nutrition

Open-access journal combining biochemistry, pharmacology, immunology, and genetics to advance health through functional nutrition.

International Journal of Epigenetics

International Journal of Epigenetics

Publishes open-access research on using epigenetics to advance understanding and treatment of human disease.

Medicine International

Medicine International

An International Open Access Journal Devoted to General Medicine.

Journal Cover
February 2013 Volume 29 Issue 2

Full Size Image

Sign up for eToc alerts
Recommend to Library

  • Article
  • Citations
    • Cite This Article
    • Download Citation
    • Create Citation Alert
    • Remove Citation Alert
    • Cited By
  • Similar Articles
    • Related Articles (in Spandidos Publications)
    • Similar Articles (Google Scholar)
    • Similar Articles (PubMed)
  • Download PDF
  • Download XML
  • View XML
Article

Cytotoxicity of herbal extracts used for treatment of prostatic disease on head and neck carcinoma cell lines and non-malignant primary mucosal cells

  • Authors:
    • Marianne Schmidt
    • Christine Polednik
    • Jeanette Roller
    • Rudolf Hagen
  • View Affiliations / Copyright

    Affiliations: Department of Otorhinolaryngology, University of Wuerzburg, D-97080 Würzburg, Germany
  • Pages: 628-636
    |
    Published online on: November 19, 2012
       https://doi.org/10.3892/or.2012.2145
  • Expand metrics +
Metrics: Total Views: 0 (Spandidos Publications: | PMC Statistics: )
Metrics: Total PDF Downloads: 0 (Spandidos Publications: | PMC Statistics: )
Cited By (CrossRef): 0 citations Loading Articles...

This article is mentioned in:



Abstract

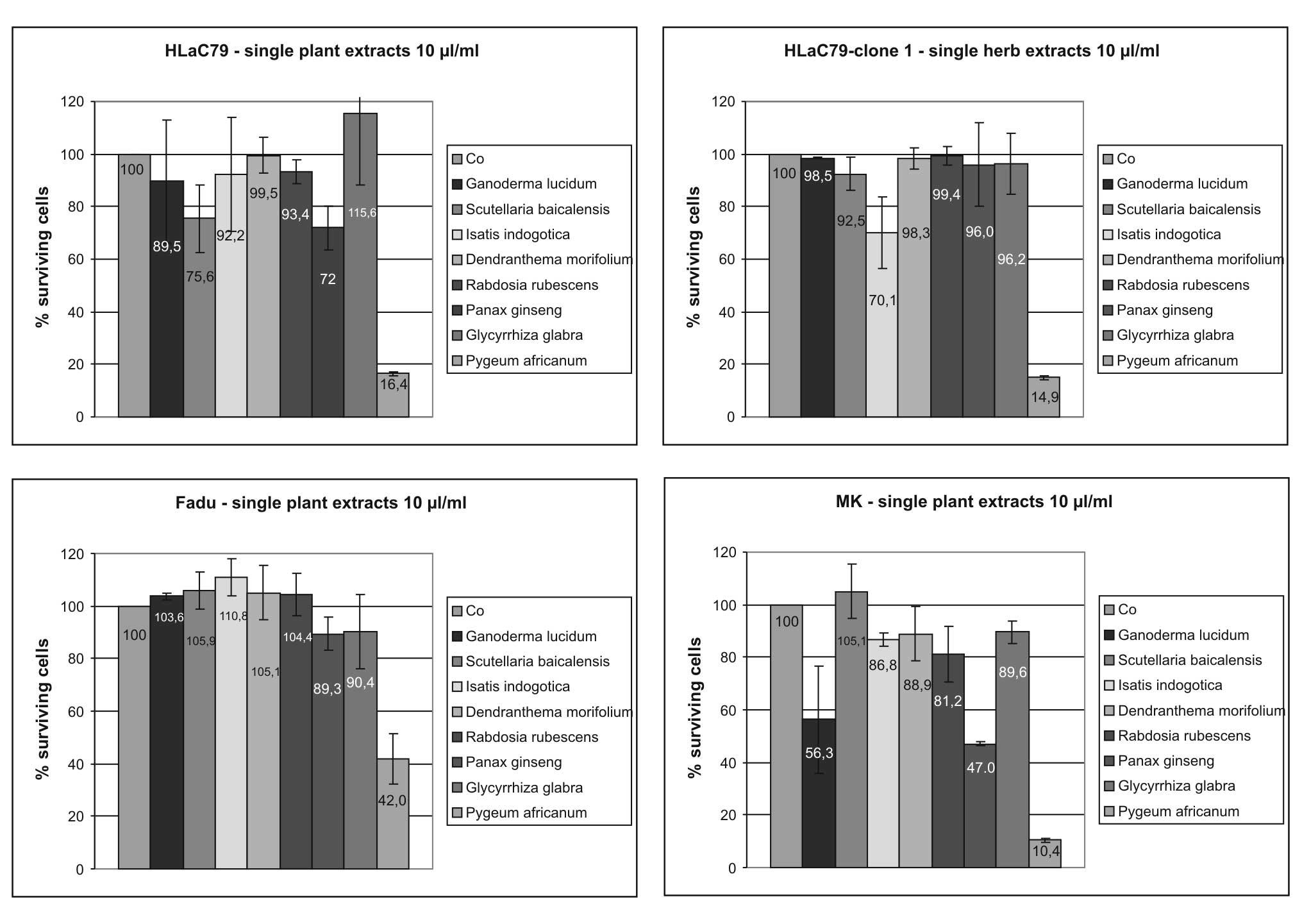
Previously, a growth inhibiting effect of PC-Spes on head and neck carcinoma cell lines had been demonstrated. In order to determine the toxic impact of particular herbs in the mixture, we exposed the head and neck cancer cell lines FADU, HLaC79 and its Paclitaxel-resistant subline HLaC79-Clone1 as well as primary mucosal keratinocytes to increasing concentrations of the herbal mixture Prostaprotect, which has a similar formulation as PC-Spes, as well as its single herbal components Dendranthema morifolium, Ganoderma lucidium, Glycyrrhiza glabra, Isatis indigotica, Panax pseudo-ginseng, Rabdosia rubescens, Scutellaria baicalensis and Pygeum africanum. Growth inhibition was measured using the MTT assay. Expression of P-glycoprotein (P-GP), multidrug resistance protein-1 (MRP-1), multidrug resistance protein-2 (MRP-2), breast cancer resistance protein (BCRP) and androgen receptor (AR) were examined by western blot analysis. Pygeum africanum extract clearly turned out as the main cytotoxic component of the Prostaprotect prescription mixture, and initated apoptosis in sensitive cell lines. All other extracts had only minor toxic effects. Western blot analysis revealed increased expression of P-GP in HLaC79-Clone1 cells, while HLaC79 and FADU cells were negative. All three cell lines were negative for MRP-1 and BCRP but positive for MRP-2. HLaC79 and its descendant HLaC79-Clone1 both expressed AR, as verified by western blotting and immunofluorescence staining. Primary mucosal keratinocytes were negative for all multidrug resistance markers as well as for AR. Growth inhibition rates of the single herbal extracts were compared with previously published results in prostate carcinoma cell lines. The relationship between expression levels of AR and multidrug resistance markers in relation to the measured toxicity of herbal extracts in our head and neck cancer cell system is critically discussed.
View Figures

Figure 1

Figure 2

Figure 3

Figure 4

Figure 5

Figure 6

Figure 7

Figure 8

Figure 9

View References

1 

Schmidt M, Polednik C, Gruensfelder P, Roller J and Hagen R: The effects of PC-Spes on chemosensitive and chemoresistant head and neck cancer cells and primary mucosal keratinocytes. Oncol Rep. 21:1297–1305. 2009. View Article : Google Scholar : PubMed/NCBI

2 

DiPaola RS, Zhang H, Lambert GH, Meeker R, Licitra E, Rafi MM, Zhu BT, Spaulding H, Goodin S, Toledano MB, Hait WN and Gallo MA: Clinical and biologic activity of an estrogenic herbal combination (PC-Spes) in prostate cancer. N Engl J Med. 339:785–791. 1998. View Article : Google Scholar : PubMed/NCBI

3 

De la Taille A, Buttyan R, Hayek O, Bagiella E, Shabsigh A, Burchardt M, Burchardt T, Chopin DK and Katz AE: Herbal therapy PC-Spes: in vitro effects and evaluation of its efficacy in 69 patients with prostate cancer. J Urol. 164:1229–1234. 2000.PubMed/NCBI

4 

Moyad MA, Pienta KJ and Montie JE: Use of PC-Spes, a commercially available supplement for prostate cancer, in a patient with hormone-naive disease. Urology. 54:319–324. 1999. View Article : Google Scholar : PubMed/NCBI

5 

Small EJ, Frohlich MW, Bok R, Shinohara K, Grossfeld G, Rozenblat Z, Kelly WK, Corry M and Reese DM: Prospective trial of the herbal supplement PC-Spes in patients with progressive prostate cancer. J Clin Oncol. 18:3595–3603. 2000.PubMed/NCBI

6 

Dedhia RC and McVary KT: Phytotherapy for lower urinary tract symptoms secondary to benign prostatic hyperplasia. J Urol. 179:2119–2125. 2008. View Article : Google Scholar : PubMed/NCBI

7 

Shenouda NS, Sakla MS, Newton LG, et al: Phytosterol Pygeum africanum regulates prostate cancer in vitro and in vivo. Endocrine. 31:72–81. 2007.

8 

Pierini N, Citti F, Di Marzio S, Pozzato C and Quercia V: Identification and determination of N-docosanol in the bark extract of Pygeum africanum and in patent medicines containing it. Boll Chim Farm. 121:27–34. 1982.(In Italian).

9 

Roell D and Baniahmad A: The natural compounds atraric acid and N-butylbenzene-sulfonamide as antagonists of the human androgen receptor and inhibitors of prostate cancer cell growth. Mol Cell Endocrinol. 332:1–8. 2011. View Article : Google Scholar

10 

Pfreundner L, Hoppe F, Willner J, Preisler V, Bratengeier K, Hagen R, Helms J and Flentje M: Induction chemotherapy with paclitaxel and cisplatin and CT-based 3D radiotherapy in patients with advanced laryngeal and hypopharyngeal carcinomas - a possibility for organ preservation. Radiother Oncol. 68:163–170. 2003. View Article : Google Scholar

11 

Zenner HP, Lehner W and Herrmann IF: Establishment of carcinoma cell lines from larynx and submandibular gland. Arch Otorhinolaryngol. 225:269–277. 1979. View Article : Google Scholar : PubMed/NCBI

12 

Imaizumi F, Asahina I, Moriyama T, Ishii M and Omura K: Cultured mucosal cell sheet with a double layer of keratinocytes and fibroblasts on a collagen membrane. Tissue Eng. 10:657–664. 2004. View Article : Google Scholar : PubMed/NCBI

13 

Limtrakul P, Anuchapreeda S and Buddhasukh D: Modulation of human multidrug-resistance MDR-1 gene by natural curcuminoids. BMC Cancer. 4:132004. View Article : Google Scholar : PubMed/NCBI

14 

Lowry OH, Rosebrough NJ, Farr AL and Randall RJ: Protein measurement with the Folin phenol reagent. J Biol Chem. 193:265–275. 1951.PubMed/NCBI

15 

Kyhse-Andersen J: Electroblotting of multiple gels: a simple apparatus without tank for rapid transfer of proteins from polyacrylamide to nitrocellulose. J Biochem Biophys Methods. 10:203–210. 1984. View Article : Google Scholar : PubMed/NCBI

16 

Yablonsky F, Nicolas V, Riffaud JP and Bellamy F: Antiproliferative effect of Pygeum africanum extract on rat prostatic fibroblasts. J Urol. 157:2381–2387. 1997.

17 

Hsieh TC and Wu JM: Mechanism of action of herbal supplement PC-SPES: elucidation of effects of individual herbs of PC-SPES on proliferation and prostate specific gene expression in androgen-dependent LNCaP cells. Int J Oncol. 20:583–588. 2002.PubMed/NCBI

18 

Kimura M, Inoue H, Hirabayashi K, Natsume H and Ogihara M: Glycyrrhizin and some analogues induce growth of primary cultured adult rat hepatocytes via epidermal growth factor receptors. Eur J Pharmacol. 431:151–161. 2001. View Article : Google Scholar : PubMed/NCBI

19 

Grandis JR and Tweardy DJ: Elevated levels of transforming growth factor alpha and epidermal growth factor receptor messenger RNA are early markers of carcinogenesis in head and neck cancer. Cancer Res. 53:3579–3584. 1993.PubMed/NCBI

20 

Bianchini C, Pastore A, Pelucchi S, et al: Sex hormone receptor levels in laryngeal carcinoma: a comparison between protein and RNA evaluations. Eur Arch Otorhinolaryngol. 265:1089–1094. 2008. View Article : Google Scholar : PubMed/NCBI

21 

Chen B, Wang J, Li W and Ji W: Expression of androgen receptor and estrogen receptor in carcinoma of larynx. Lin Chuang Er Bi Yan Hou Ke Za Zhi. 20:649–651. 2006.(In Chinese).

22 

Nehse G and Tunn S: Androgen and progesterone receptors in oral carcinoma. J Craniomaxillofac Surg. 22:114–119. 1994. View Article : Google Scholar : PubMed/NCBI

23 

Fedoruk MN, Gimenez-Bonafe P, Guns ES, Mayer LD and Nelson CC: P-glycoprotein increases the efflux of the androgen dihydrotestosterone and reduces androgen responsive gene activity in prostate tumor cells. Prostate. 59:77–90. 2004. View Article : Google Scholar : PubMed/NCBI

24 

Izzo AA and Ernst E: Interactions between herbal medicines and prescribed drugs: a systematic review. Drugs. 61:2163–2175. 2001. View Article : Google Scholar : PubMed/NCBI

Related Articles

  • Abstract
  • View
  • Download
  • Twitter
Copy and paste a formatted citation
Spandidos Publications style
Schmidt M, Polednik C, Roller J and Hagen R: Cytotoxicity of herbal extracts used for treatment of prostatic disease on head and neck carcinoma cell lines and non-malignant primary mucosal cells. Oncol Rep 29: 628-636, 2013.
APA
Schmidt, M., Polednik, C., Roller, J., & Hagen, R. (2013). Cytotoxicity of herbal extracts used for treatment of prostatic disease on head and neck carcinoma cell lines and non-malignant primary mucosal cells. Oncology Reports, 29, 628-636. https://doi.org/10.3892/or.2012.2145
MLA
Schmidt, M., Polednik, C., Roller, J., Hagen, R."Cytotoxicity of herbal extracts used for treatment of prostatic disease on head and neck carcinoma cell lines and non-malignant primary mucosal cells". Oncology Reports 29.2 (2013): 628-636.
Chicago
Schmidt, M., Polednik, C., Roller, J., Hagen, R."Cytotoxicity of herbal extracts used for treatment of prostatic disease on head and neck carcinoma cell lines and non-malignant primary mucosal cells". Oncology Reports 29, no. 2 (2013): 628-636. https://doi.org/10.3892/or.2012.2145
Copy and paste a formatted citation
x
Spandidos Publications style
Schmidt M, Polednik C, Roller J and Hagen R: Cytotoxicity of herbal extracts used for treatment of prostatic disease on head and neck carcinoma cell lines and non-malignant primary mucosal cells. Oncol Rep 29: 628-636, 2013.
APA
Schmidt, M., Polednik, C., Roller, J., & Hagen, R. (2013). Cytotoxicity of herbal extracts used for treatment of prostatic disease on head and neck carcinoma cell lines and non-malignant primary mucosal cells. Oncology Reports, 29, 628-636. https://doi.org/10.3892/or.2012.2145
MLA
Schmidt, M., Polednik, C., Roller, J., Hagen, R."Cytotoxicity of herbal extracts used for treatment of prostatic disease on head and neck carcinoma cell lines and non-malignant primary mucosal cells". Oncology Reports 29.2 (2013): 628-636.
Chicago
Schmidt, M., Polednik, C., Roller, J., Hagen, R."Cytotoxicity of herbal extracts used for treatment of prostatic disease on head and neck carcinoma cell lines and non-malignant primary mucosal cells". Oncology Reports 29, no. 2 (2013): 628-636. https://doi.org/10.3892/or.2012.2145
Follow us
  • Twitter
  • LinkedIn
  • Facebook
About
  • Spandidos Publications
  • Careers
  • Cookie Policy
  • Privacy Policy
How can we help?
  • Help
  • Live Chat
  • Contact
  • Email to our Support Team