Spandidos Publications Logo
  • About
    • About Spandidos
    • Aims and Scopes
    • Abstracting and Indexing
    • Editorial Policies
    • Reprints and Permissions
    • Job Opportunities
    • Terms and Conditions
    • Contact
  • Journals
    • All Journals
    • Oncology Letters
      • Oncology Letters
      • Information for Authors
      • Editorial Policies
      • Editorial Board
      • Aims and Scope
      • Abstracting and Indexing
      • Bibliographic Information
      • Archive
    • International Journal of Oncology
      • International Journal of Oncology
      • Information for Authors
      • Editorial Policies
      • Editorial Board
      • Aims and Scope
      • Abstracting and Indexing
      • Bibliographic Information
      • Archive
    • Molecular and Clinical Oncology
      • Molecular and Clinical Oncology
      • Information for Authors
      • Editorial Policies
      • Editorial Board
      • Aims and Scope
      • Abstracting and Indexing
      • Bibliographic Information
      • Archive
    • Experimental and Therapeutic Medicine
      • Experimental and Therapeutic Medicine
      • Information for Authors
      • Editorial Policies
      • Editorial Board
      • Aims and Scope
      • Abstracting and Indexing
      • Bibliographic Information
      • Archive
    • International Journal of Molecular Medicine
      • International Journal of Molecular Medicine
      • Information for Authors
      • Editorial Policies
      • Editorial Board
      • Aims and Scope
      • Abstracting and Indexing
      • Bibliographic Information
      • Archive
    • Biomedical Reports
      • Biomedical Reports
      • Information for Authors
      • Editorial Policies
      • Editorial Board
      • Aims and Scope
      • Abstracting and Indexing
      • Bibliographic Information
      • Archive
    • Oncology Reports
      • Oncology Reports
      • Information for Authors
      • Editorial Policies
      • Editorial Board
      • Aims and Scope
      • Abstracting and Indexing
      • Bibliographic Information
      • Archive
    • Molecular Medicine Reports
      • Molecular Medicine Reports
      • Information for Authors
      • Editorial Policies
      • Editorial Board
      • Aims and Scope
      • Abstracting and Indexing
      • Bibliographic Information
      • Archive
    • World Academy of Sciences Journal
      • World Academy of Sciences Journal
      • Information for Authors
      • Editorial Policies
      • Editorial Board
      • Aims and Scope
      • Abstracting and Indexing
      • Bibliographic Information
      • Archive
    • International Journal of Functional Nutrition
      • International Journal of Functional Nutrition
      • Information for Authors
      • Editorial Policies
      • Editorial Board
      • Aims and Scope
      • Abstracting and Indexing
      • Bibliographic Information
      • Archive
    • International Journal of Epigenetics
      • International Journal of Epigenetics
      • Information for Authors
      • Editorial Policies
      • Editorial Board
      • Aims and Scope
      • Abstracting and Indexing
      • Bibliographic Information
      • Archive
    • Medicine International
      • Medicine International
      • Information for Authors
      • Editorial Policies
      • Editorial Board
      • Aims and Scope
      • Abstracting and Indexing
      • Bibliographic Information
      • Archive
  • Articles
  • Information
    • Information for Authors
    • Information for Reviewers
    • Information for Librarians
    • Information for Advertisers
    • Conferences
  • Language Editing
Spandidos Publications Logo
  • About
    • About Spandidos
    • Aims and Scopes
    • Abstracting and Indexing
    • Editorial Policies
    • Reprints and Permissions
    • Job Opportunities
    • Terms and Conditions
    • Contact
  • Journals
    • All Journals
    • Biomedical Reports
      • Information for Authors
      • Editorial Policies
      • Editorial Board
      • Aims and Scope
      • Abstracting and Indexing
      • Bibliographic Information
      • Archive
    • Experimental and Therapeutic Medicine
      • Information for Authors
      • Editorial Policies
      • Editorial Board
      • Aims and Scope
      • Abstracting and Indexing
      • Bibliographic Information
      • Archive
    • International Journal of Epigenetics
      • Information for Authors
      • Editorial Policies
      • Editorial Board
      • Aims and Scope
      • Abstracting and Indexing
      • Bibliographic Information
      • Archive
    • International Journal of Functional Nutrition
      • Information for Authors
      • Editorial Policies
      • Editorial Board
      • Aims and Scope
      • Abstracting and Indexing
      • Bibliographic Information
      • Archive
    • International Journal of Molecular Medicine
      • Information for Authors
      • Editorial Policies
      • Editorial Board
      • Aims and Scope
      • Abstracting and Indexing
      • Bibliographic Information
      • Archive
    • International Journal of Oncology
      • Information for Authors
      • Editorial Policies
      • Editorial Board
      • Aims and Scope
      • Abstracting and Indexing
      • Bibliographic Information
      • Archive
    • Medicine International
      • Information for Authors
      • Editorial Policies
      • Editorial Board
      • Aims and Scope
      • Abstracting and Indexing
      • Bibliographic Information
      • Archive
    • Molecular and Clinical Oncology
      • Information for Authors
      • Editorial Policies
      • Editorial Board
      • Aims and Scope
      • Abstracting and Indexing
      • Bibliographic Information
      • Archive
    • Molecular Medicine Reports
      • Information for Authors
      • Editorial Policies
      • Editorial Board
      • Aims and Scope
      • Abstracting and Indexing
      • Bibliographic Information
      • Archive
    • Oncology Letters
      • Information for Authors
      • Editorial Policies
      • Editorial Board
      • Aims and Scope
      • Abstracting and Indexing
      • Bibliographic Information
      • Archive
    • Oncology Reports
      • Information for Authors
      • Editorial Policies
      • Editorial Board
      • Aims and Scope
      • Abstracting and Indexing
      • Bibliographic Information
      • Archive
    • World Academy of Sciences Journal
      • Information for Authors
      • Editorial Policies
      • Editorial Board
      • Aims and Scope
      • Abstracting and Indexing
      • Bibliographic Information
      • Archive
  • Articles
  • Information
    • For Authors
    • For Reviewers
    • For Librarians
    • For Advertisers
    • Conferences
  • Language Editing
Login Register Submit
  • This site uses cookies
  • You can change your cookie settings at any time by following the instructions in our Cookie Policy. To find out more, you may read our Privacy Policy.

    I agree
Search articles by DOI, keyword, author or affiliation
Search
Advanced Search
presentation
Oncology Reports
Join Editorial Board Propose a Special Issue
Print ISSN: 1021-335X Online ISSN: 1791-2431
Journal Cover
December 2013 Volume 30 Issue 6

Full Size Image

Sign up for eToc alerts
Recommend to Library

Journals

International Journal of Molecular Medicine

International Journal of Molecular Medicine

International Journal of Molecular Medicine is an international journal devoted to molecular mechanisms of human disease.

International Journal of Oncology

International Journal of Oncology

International Journal of Oncology is an international journal devoted to oncology research and cancer treatment.

Molecular Medicine Reports

Molecular Medicine Reports

Covers molecular medicine topics such as pharmacology, pathology, genetics, neuroscience, infectious diseases, molecular cardiology, and molecular surgery.

Oncology Reports

Oncology Reports

Oncology Reports is an international journal devoted to fundamental and applied research in Oncology.

Experimental and Therapeutic Medicine

Experimental and Therapeutic Medicine

Experimental and Therapeutic Medicine is an international journal devoted to laboratory and clinical medicine.

Oncology Letters

Oncology Letters

Oncology Letters is an international journal devoted to Experimental and Clinical Oncology.

Biomedical Reports

Biomedical Reports

Explores a wide range of biological and medical fields, including pharmacology, genetics, microbiology, neuroscience, and molecular cardiology.

Molecular and Clinical Oncology

Molecular and Clinical Oncology

International journal addressing all aspects of oncology research, from tumorigenesis and oncogenes to chemotherapy and metastasis.

World Academy of Sciences Journal

World Academy of Sciences Journal

Multidisciplinary open-access journal spanning biochemistry, genetics, neuroscience, environmental health, and synthetic biology.

International Journal of Functional Nutrition

International Journal of Functional Nutrition

Open-access journal combining biochemistry, pharmacology, immunology, and genetics to advance health through functional nutrition.

International Journal of Epigenetics

International Journal of Epigenetics

Publishes open-access research on using epigenetics to advance understanding and treatment of human disease.

Medicine International

Medicine International

An International Open Access Journal Devoted to General Medicine.

Journal Cover
December 2013 Volume 30 Issue 6

Full Size Image

Sign up for eToc alerts
Recommend to Library

  • Article
  • Citations
    • Cite This Article
    • Download Citation
    • Create Citation Alert
    • Remove Citation Alert
    • Cited By
  • Similar Articles
    • Related Articles (in Spandidos Publications)
    • Similar Articles (Google Scholar)
    • Similar Articles (PubMed)
  • Download PDF
  • Download XML
  • View XML
Article

Promoter hypermethylation of the tumor-suppressor genes RASSF1A, GSTP1 and CDH1 in endometrial cancer

  • Authors:
    • Roman Fiolka
    • Pavol Zubor
    • Veronika Janusicova
    • Jozef Visnovsky
    • Andrea Mendelova
    • Karol Kajo
    • Zora Lasabova
    • Lukas Plank
    • Jan Danko
  • View Affiliations / Copyright

    Affiliations: Department of Obstetrics and Gynecology, Jessenius Faculty of Medicine, Comenius University in Bratislava, 036 01 Martin, Slovak Republic, Department of Pathology, Jessenius Faculty of Medicine, Comenius University in Bratislava, 036 01 Martin, Slovak Republic, Department of Molecular Biology, Jessenius Faculty of Medicine, Comenius University in Bratislava, 036 01 Martin, Slovak Republic
  • Pages: 2878-2886
    |
    Published online on: September 25, 2013
       https://doi.org/10.3892/or.2013.2752
  • Expand metrics +
Metrics: Total Views: 0 (Spandidos Publications: | PMC Statistics: )
Metrics: Total PDF Downloads: 0 (Spandidos Publications: | PMC Statistics: )
Cited By (CrossRef): 0 citations Loading Articles...

This article is mentioned in:



Abstract

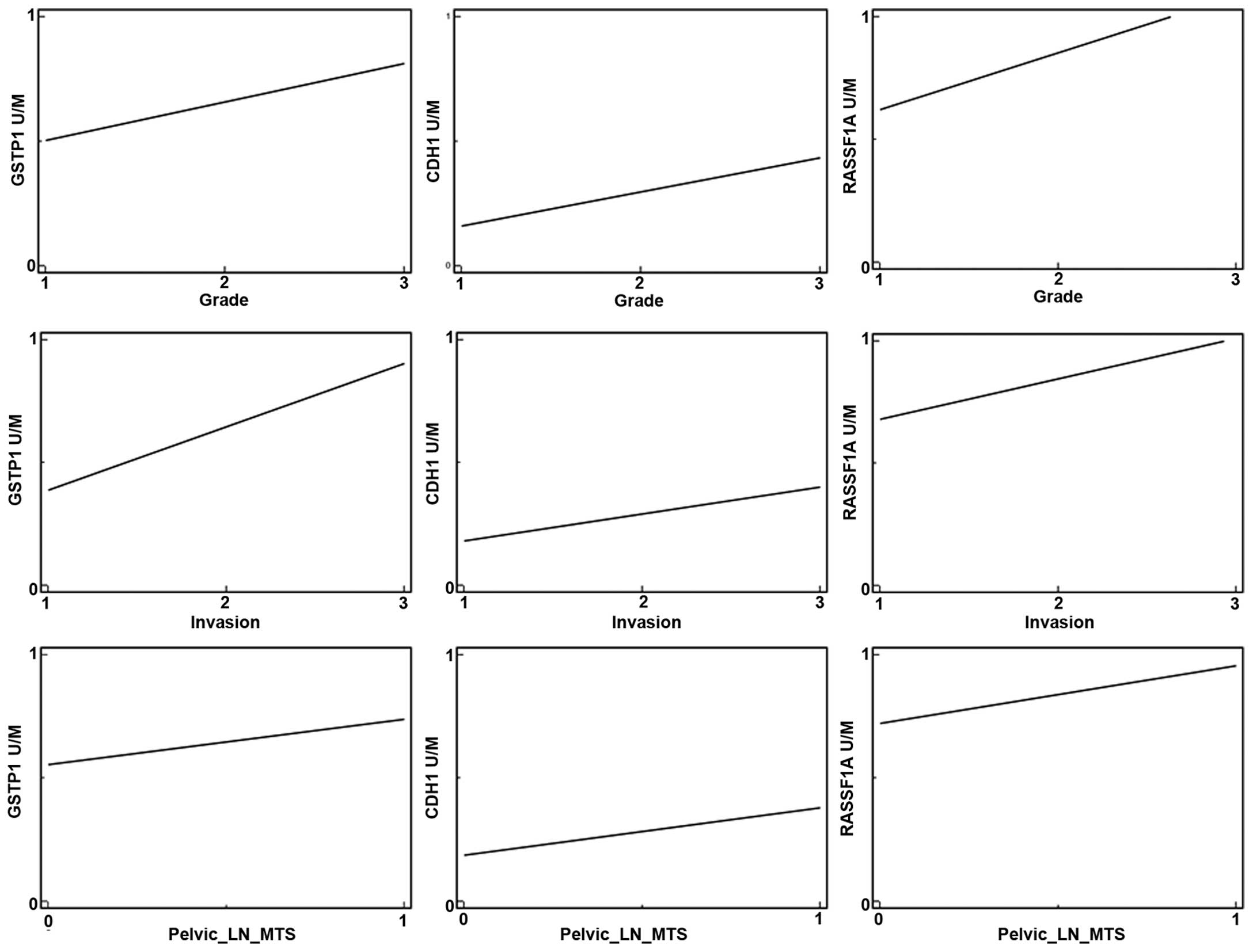
Endometrial cancer is a common gynecological malignancy with a good prognosis in early stages of the disease. The CpG island in the promoter region of tumor-suppressor genes are frequently methylated in various types of human cancers. In the present study, we examined the methylation status of the GSTP1, CDH1 and RASSF1A genes in endometrioid endometrial cancer (EEC), endometrial complex hyperplasia (EHP) and healthy endometrium with the aim to identify correlations between promoter hypermethylation, disease risk and clinicopathological parameters. A nested two-stage methylation-specific PCR (MSP) was performed to analyze the promoter CpG methylation status of GSTP1, CDH1 and RASSF1A genes in the population studied. A total of 92 subjects were initially included in the study of which 41 EEC, 19 EHP and 20 controls were processed for final analyses. A significant difference was found between the study groups and the presence of promoter CpG hypermethylation status in the GSTP1 (p<0.05) and RASSF1A (p<0.0001) genes. RASSF1A, GSTP1 and CDH1 gene promoter methylation was present in 85.4, 68.3 and 31.4% of EEC samples when compared to that in the controls with 30.0, 35.0 and 20.0%, respectively. CpG methylation of all three investigated tumor-suppressor genes was found in 12.2% of EEC patients, in 4.2% of EHP patients and in 3.7% of the controls, respectively. Positive findings for the promoter methylation of two investigated genes were found in 48.7% of EEC patients, 26.0% of EHP patients and in 18.5% of the controls. With regard to histopathological variables and CpG methylation, we found significant correlations between the RASSF1A and GSTP1 genes and higher tumor grade, deeper myometrial invasion and positive metastatic involvement of pelvic lymph nodes. No associations were noted between promoter hypermethylation of the CDH1 gene and biological features of the endometrial cancer cases. The results indicate that aberrant CpG methylation of the promoter region in the GSTP1 and RASSF1A tumor-suppressor genes is an important event in carcinogenesis of endometrial cancer and may have an impact on tumor aggressiveness. Finally, the present study suggests that epigenetic alterations may be of diagnostic value for the better clinical management of premalignant endometrial lesions.
View Figures

Figure 1

Figure 2

Figure 3

Figure 4

Figure 5

View References

1 

Ferlay J, Steliarova-Foucher E, Lortet-Tieulent J, Rosso S, Coebergh JW, Comber H, Forman D and Bray F: Cancer incidence and mortality patterns in Europe: estimates for 40 countries in 2012. Eur J Cancer. 49:1374–1403. 2013. View Article : Google Scholar : PubMed/NCBI

2 

Lutz JM, Francisci S, Mugno E, Usel M, Pompe-Kirn V, Coebergh JW and Bieslka-Lasota M; EUROPREVAL Working Group. Cancer prevalence in Central Europe: the EUROPREVAL Study. Ann Oncol. 14:313–322. 2003. View Article : Google Scholar : PubMed/NCBI

3 

Emons G, Fleckenstein G, Hinney B, Huschmand A and Heyl W: Hormonal interactions in endometrial cancer. Endocr Relat Cancer. 7:227–242. 2000. View Article : Google Scholar : PubMed/NCBI

4 

Cirisano FD Jr, Robboy SJ, Dodge RK, Bentley RC, Krigman HR, Synan IS, Soper JT and Clarke-Pearson DL: The outcome of stage I–II clinically and surgically staged papillary serous and clear cell endometrial cancers when compared with endometrioid carcinoma. Gynecol Oncol. 77:55–65. 2000.

5 

Ito K, Utsunomiya H, Yaegashi N and Sasano H: Biological roles of estrogen and progesterone in human endometrial carcinoma - new developments in potential endocrine therapy for endometrial cancer. Endocr J. 54:667–679. 2007. View Article : Google Scholar : PubMed/NCBI

6 

Gründker C, Günthert AR and Emons G: Hormonal heterogeneity of endometrial cancer. Adv Exp Med Biol. 630:166–188. 2008.

7 

Armstrong AJ, Hurd WW, Elguero S, Barker NM and Zanotti KM: Diagnosis and management of endometrial hyperplasia. J Minim Invasive Gynecol. 19:562–571. 2012. View Article : Google Scholar

8 

Sorosky JI: Endometrial cancer. Obstet Gynecol. 120:383–397. 2012. View Article : Google Scholar

9 

Lax S: Precursor lesions of endometrial carcinoma: diagnostic approach and molecular pathology. Pathologe. 32(Suppl 2): S255–S264. 2011.(In German).

10 

Tao MH and Freudenheim JL: DNA methylation in endometrial cancer. Epigenetics. 5:491–498. 2010. View Article : Google Scholar : PubMed/NCBI

11 

Reinhold WC, Reimers MA, Lorenzi P, Ho J, Shankavaram UT, Ziegler MS, Bussey KJ, Nishizuka S, Ikediobi O, Pommier YG and Weinstein JN: Multifactorial regulation of E-cadherin expression: an integrative study. Mol Cancer Ther. 9:1–16. 2010. View Article : Google Scholar : PubMed/NCBI

12 

Fanelli F and Raimondi F: Nucleotide binding affects intrinsic dynamics and structural communication in Ras GTPases. Curr Pharm Des. 19:4214–4225. 2012. View Article : Google Scholar : PubMed/NCBI

13 

Kang J and Pervaiz S: Crosstalk between Bcl-2 family and Ras family small GTPases: potential cell fate regulation? Front Oncol. 2:2062012.PubMed/NCBI

14 

Di Domenico M, Santoro A, Ricciardi C, Iaccarino M, Iaccarino S, Freda M, Feola A, Sanguedolce F, Losito S, Pasquali D, Di Spiezio Sardo A, Bifulco G, Nappi C, Bufo P, Guida M, De Rosa G, Abbruzzese A, Caraglia M and Pannone G: Epigenetic fingerprint in endometrial carcinogenesis: the hypothesis of a uterine field cancerization. Cancer Biol Ther. 12:447–457. 2011.PubMed/NCBI

15 

Holliday R: The inheritance of epigenetic defects. Science. 238:163–170. 1987. View Article : Google Scholar : PubMed/NCBI

16 

Jones PA: DNA methylation errors and cancer. Cancer Res. 56:2463–2467. 1996.PubMed/NCBI

17 

Holliday R: DNA methylation and epigenetic defects in carcinogenesis. Mutat Res. 181:215–217. 1987. View Article : Google Scholar : PubMed/NCBI

18 

Jones A, Lechner M, Fourkala EO, Kristeleit R and Widschwendter M: Emerging promise of epigenetics and DNA methylation for the diagnosis and management of women’s cancers. Epigenomics. 2:9–38. 2010.PubMed/NCBI

19 

Banno K, Kisu I, Yanokura M, Masuda K, Ueki A, Kobayashi Y, Susumu N and Aoki D: Epigenetics and genetics in endometrial cancer: new carcinogenic mechanisms and relationship with clinical practice. Epigenomics. 4:147–162. 2012. View Article : Google Scholar : PubMed/NCBI

20 

Yi TZ, Li J, Han X, Guo J, Qu Q, Guo L, Sun HD and Tan WH: DNMT inhibitors and HDAC inhibitors regulate E-cadherin and Bcl-2 expression in endometrial carcinoma in vitro and in vivo. Chemotherapy. 58:19–29. 2012. View Article : Google Scholar : PubMed/NCBI

21 

Lasabova Z, Tilandyova P, Kajo K, Zubor P, Burjanivova T, Danko J and Plank L: Hypermethylation of the GSTP1 promoter region in breast cancer is associated with prognostic clinicopathological parameters. Neoplasma. 57:35–40. 2010. View Article : Google Scholar : PubMed/NCBI

22 

Culbova M, Lasabova Z, Stanclova A, Tilandyova P, Zubor P, Fiolka R, Danko J and Visnovsky J: Methylation of selected tumor-suppressor genes in benign and malignant ovarian tumors. Ceska Gynekol. 76:274–279. 2011.(In Slovak).

23 

Jha AK, Nikbakht M, Jain V, Capalash N and Kaur J: p16(INK4a) and p15(INK4b) gene promoter methylation in cervical cancer patients. Oncol Lett. 3:1331–1335. 2012.

24 

Silverberg SG, Kurman RJ, Nogales F, Mutter GL, Kubik-Huch RA and Tavassoli FA: Epithelial tumours and related lesions. Pathology and Genetics of Tumours of the Breast and Female Genital Organs. Tavassoli FA and DeVilee P: IARC Press; Lyon: pp. 221–232. 2003

25 

Zaino RJ, Kurman RJ, Diana KL and Morrow CP: The utility of the revised International Federation of Gynecology and Obstetrics histologic grading of endometrial adenocarcinoma using a defined nuclear grading system. A Gynecologic Oncology Group study. Cancer. 75:81–86. 1995. View Article : Google Scholar

26 

Zaino RJ: FIGO staging of endometrial adenocarcinoma: a critical review and proposal. Int J Gynecol Pathol. 28:1–9. 2009. View Article : Google Scholar : PubMed/NCBI

27 

Pecorelli S: Revised FIGO staging for carcinoma of the vulva, cervix, and endometrium. Int J Gynaecol Obstet. 105:103–104. 2009. View Article : Google Scholar : PubMed/NCBI

28 

Herman JG, Graff JR, Myohanen S, Nelkin BD and Baylin SB: Methylation-specific PCR: a novel PCR assay for methylation status of CpG islands. Proc Natl Acad Sci USA. 93:9821–9826. 1996. View Article : Google Scholar : PubMed/NCBI

29 

House MG, Guo MZ, Iacobuzio-Donahue C and Herman JG: Molecular progression of promoter methylation in intraductal papillary mucinous neoplasms (IPMN) of the pancreas. Carcinogenesis. 24:193–198. 2003. View Article : Google Scholar : PubMed/NCBI

30 

Leu YW, Rahmatpanah F, Shi H, Wei SH, Liu JC, Yan PS and Huang TH: Double RNA interference of DNMT3b and DNMT1 enhances DNA demethylation and gene reactivation. Cancer Res. 63:6110–6115. 2003.PubMed/NCBI

31 

Shen WJ, Dai DQ, Teng Y and Liu HB: Regulation of demethylation and re-expression of RASSF1A gene in gastric cancer cell lines by combined treatment of 5-Aza-CdR and NaB. World J Gastroenterol. 14:595–600. 2008. View Article : Google Scholar : PubMed/NCBI

32 

Heichman KA and Warren JD: DNA methylation biomarkers and their utility for solid cancer diagnostics. Clin Chem Lab Med. 50:1707–1721. 2012. View Article : Google Scholar : PubMed/NCBI

33 

Hatzimichael E and Crook T: Cancer epigenetics: new therapies and new challenges. J Drug Deliv. 13:5293122013.PubMed/NCBI

34 

Pallarés J, Velasco A, Eritja N, Santacana M, Dolcet X, Cuatrecasas M, Palomar-Asenjo V, Catasús L, Prat J and Matias-Guiu X: Promoter hypermethylation and reduced expression of RASSF1A are frequent molecular alterations of endometrial carcinoma. Mod Pathol. 21:691–699. 2008.

35 

Fiegl H, Gattringer C, Widschwendter A, Schneitter A, Ramoni A, Sarlay D, Gaugg I, Goebel G, Müller HM, Mueller-Holzner E, Marth C and Widschwendter M: Methylated DNA collected by tampons - a new tool to detect endometrial cancer. Cancer Epidemiol Biomarkers Prev. 13:882–888. 2004.PubMed/NCBI

36 

Kang S, Kim JW, Kang GH, Lee S, Park NH, Song YS, Park SY, Kang SB and Lee HP: Comparison of DNA hypermethylation patterns in different types of uterine cancer: cervical squamous cell carcinoma, cervical adenocarcinoma and endometrial adenocarcinoma. Int J Cancer. 118:2168–2171. 2006. View Article : Google Scholar

37 

Pijnenborg JM, Kisters N, van Engeland M, Dunselman GA, de Haan J, de Goeij AF and Groothuis PG: APC, beta-catenin, and E-cadherin and the development of recurrent endometrial carcinoma. Int J Gynecol Cancer. 14:947–956. 2004. View Article : Google Scholar : PubMed/NCBI

38 

Arafa M, Kridelka F, Mathias V, Vanbellinghen JF, Renard I, Foidart JM, Boniver J and Delvenne P: High frequency of RASSF1A and RARb2 gene promoter methylation in morphologically normal endometrium adjacent to endometrioid adenocarcinoma. Histopathology. 53:525–532. 2008.

39 

Liao X, Siu MK, Chan KY, Wong ES, Ngan HY, Chan QK, Li AS, Khoo US and Cheung AN: Hypermethylation of RAS effector-related genes and DNA methyltransferase 1 expression in endometrial carcinogenesis. Int J Cancer. 123:296–302. 2008. View Article : Google Scholar : PubMed/NCBI

40 

Seeber LM, Zweemer RP, Marchionni L, Massuger LF, Smit VT, van Baal WM, Verheijen RH and van Diest PJ: Methylation profiles of endometrioid and serous endometrial cancers. Endocr Relat Cancer. 17:663–673. 2010. View Article : Google Scholar : PubMed/NCBI

41 

Pijnenborg JM, Dam-de Veen GC, Kisters N, Delvoux B, van Engeland M, Herman JG and Groothuis PG: RASSF1A methylation and K-ras and B-raf mutations and recurrent endometrial cancer. Ann Oncol. 18:491–497. 2007. View Article : Google Scholar

42 

Jo H, Kim JW, Kang GH, Park NH, Song YS, Kang SB and Lee HP: Association of promoter hypermethylation of the RASSF1A gene with prognostic parameters in endometrial cancer. Oncol Res. 16:205–209. 2006.PubMed/NCBI

43 

Kang S, Lee JM, Jeon ES, Lee S, Kim H, Kim HS, Seo SS, Park SY, Sidransky D and Dong SM: RASSF1A hypermethylation and its inverse correlation with BRAF and/or KRAS mutations in MSI-associated endometrial carcinoma. Int J Cancer. 119:1316–1321. 2006. View Article : Google Scholar

44 

Zhang YQ, Mao XY, Ma XL, Zhang M and Sheng N: Effects and mechanisms of 5-aza-2′-deoxycytidine on endometrial cancer cell. Zhonghua Fu Chan Ke Za Zhi. 44:861–864. 2009.(In Chinese).

45 

Yu MY, Tong JH, Chan PK, Lee TL, Chan MW, Chan AW, Lo KW and To KF: Hypermethylation of the tumor suppressor gene RASSFIA and frequent concomitant loss of heterozygosity at 3p21 in cervical cancers. Int J Cancer. 105:204–209. 2003.PubMed/NCBI

46 

Moreno-Bueno G, Hardisson D, Sarrió D, Sánchez C, Cassia R, Prat J, Herman JG, Esteller M, Matías-Guiu X and Palacios J: Abnormalities of E- and P-cadherin and catenin (β-, γ-catenin, and p120ctn) expression in endometrial cancer and endometrial atypical hyperplasia. J Pathol. 199:471–478. 2003.PubMed/NCBI

47 

Saito T, Nishimura M, Yamasaki H and Kudo R: Hypermethylation in promoter region of E-cadherin gene is associated with tumor dedifferentiation and myometrial invasion in endometrial carcinoma. Cancer. 97:1002–1009. 2003. View Article : Google Scholar : PubMed/NCBI

48 

Banno K, Yanokura M, Susumu N, Kawaguchi M, Hirao N, Hirasawa A, Tsukazaki K and Aoki D: Relationship of the aberrant DNA hypermethylation of cancer-related genes with carcinogenesis of endometrial cancer. Oncol Rep. 16:1189–1196. 2006.PubMed/NCBI

49 

Yi TZ, Guo J, Zhou L, Chen X, Mi RR, Qu QX, Zheng JH and Zhai L: Prognostic value of E-cadherin expression and CDH1 promoter methylation in patients with endometrial carcinoma. Cancer Invest. 29:86–92. 2011. View Article : Google Scholar : PubMed/NCBI

50 

Graff JR, Gabrielson E, Fujii H, Baylin SB and Herman JG: Methylation patterns of the E-cadherin 5′ CpG island are unstable and reflect the dynamic, heterogeneous loss of E-cadherin expression during metastatic progression. J Biol Chem. 275:2727–2732. 2000.

51 

Moreno-Bueno G, Hardisson D, Sánchez C, Sarrió D, Cassia R, García-Rostán G, Prat J, Guo M, Herman JG, Matías-Guiu X, Esteller M and Palacios J: Abnormalities of the APC/β-catenin pathway in endometrial cancer. Oncogene. 21:7981–7990. 2002.

52 

Yoshiura K, Kanai Y, Ochiai A, Shimoyama Y, Sugimura T and Hirohashi S: Silencing of the E-cadherin invasion-suppressor gene by CpG methylation in human carcinomas. Proc Natl Acad Sci USA. 92:7416–7419. 1995. View Article : Google Scholar : PubMed/NCBI

53 

Takai N, Desmond JC, Kumagai T, Gui D, Said JW, Whittaker S, Miyakawa I and Koeffler HP: Histone deacetylase inhibitors have a profound antigrowth activity in endometrial cancer cells. Clin Cancer Res. 10:1141–1149. 2004. View Article : Google Scholar : PubMed/NCBI

54 

Hirohashi S: Inactivation of the E-cadherin-mediated cell adhesion system in human cancers. Am J Pathol. 153:333–339. 1998. View Article : Google Scholar : PubMed/NCBI

55 

Chan QK, Khoo US, Chan KY, Ngan HY, Li SS, Chiu PM, Man LS, Ip PP, Xue WC and Cheung AN: Promoter methylation and differential expression of π-class glutathione S-transferase in endometrial carcinoma. J Mol Diagn. 7:8–16. 2005.

56 

Kim GE, Kweon SS, Lee JS, Lee JH, Nam JH and Choi C: Quantitative assessment of DNA methylation for the detection of cervical and endometrial adenocarcinomas in liquid-based cytology specimens. Anal Quant Cytol Histol. 34:195–203. 2012.PubMed/NCBI

57 

Nieminen TT, Gylling A, Abdel-Rahman WM, Nuorva K, Aarnio M, Renkonen-Sinisalo L, Järvinen HJ, Mecklin JP, Bützow R and Peltomäki P: Molecular analysis of endometrial tumorigenesis: importance of complex hyperplasia regardless of atypia. Clin Cancer Res. 15:5772–5783. 2009. View Article : Google Scholar : PubMed/NCBI

Related Articles

  • Abstract
  • View
  • Download
  • Twitter
Copy and paste a formatted citation
Spandidos Publications style
Fiolka R, Zubor P, Janusicova V, Visnovsky J, Mendelova A, Kajo K, Lasabova Z, Plank L and Danko J: Promoter hypermethylation of the tumor-suppressor genes RASSF1A, GSTP1 and CDH1 in endometrial cancer. Oncol Rep 30: 2878-2886, 2013.
APA
Fiolka, R., Zubor, P., Janusicova, V., Visnovsky, J., Mendelova, A., Kajo, K. ... Danko, J. (2013). Promoter hypermethylation of the tumor-suppressor genes RASSF1A, GSTP1 and CDH1 in endometrial cancer. Oncology Reports, 30, 2878-2886. https://doi.org/10.3892/or.2013.2752
MLA
Fiolka, R., Zubor, P., Janusicova, V., Visnovsky, J., Mendelova, A., Kajo, K., Lasabova, Z., Plank, L., Danko, J."Promoter hypermethylation of the tumor-suppressor genes RASSF1A, GSTP1 and CDH1 in endometrial cancer". Oncology Reports 30.6 (2013): 2878-2886.
Chicago
Fiolka, R., Zubor, P., Janusicova, V., Visnovsky, J., Mendelova, A., Kajo, K., Lasabova, Z., Plank, L., Danko, J."Promoter hypermethylation of the tumor-suppressor genes RASSF1A, GSTP1 and CDH1 in endometrial cancer". Oncology Reports 30, no. 6 (2013): 2878-2886. https://doi.org/10.3892/or.2013.2752
Copy and paste a formatted citation
x
Spandidos Publications style
Fiolka R, Zubor P, Janusicova V, Visnovsky J, Mendelova A, Kajo K, Lasabova Z, Plank L and Danko J: Promoter hypermethylation of the tumor-suppressor genes RASSF1A, GSTP1 and CDH1 in endometrial cancer. Oncol Rep 30: 2878-2886, 2013.
APA
Fiolka, R., Zubor, P., Janusicova, V., Visnovsky, J., Mendelova, A., Kajo, K. ... Danko, J. (2013). Promoter hypermethylation of the tumor-suppressor genes RASSF1A, GSTP1 and CDH1 in endometrial cancer. Oncology Reports, 30, 2878-2886. https://doi.org/10.3892/or.2013.2752
MLA
Fiolka, R., Zubor, P., Janusicova, V., Visnovsky, J., Mendelova, A., Kajo, K., Lasabova, Z., Plank, L., Danko, J."Promoter hypermethylation of the tumor-suppressor genes RASSF1A, GSTP1 and CDH1 in endometrial cancer". Oncology Reports 30.6 (2013): 2878-2886.
Chicago
Fiolka, R., Zubor, P., Janusicova, V., Visnovsky, J., Mendelova, A., Kajo, K., Lasabova, Z., Plank, L., Danko, J."Promoter hypermethylation of the tumor-suppressor genes RASSF1A, GSTP1 and CDH1 in endometrial cancer". Oncology Reports 30, no. 6 (2013): 2878-2886. https://doi.org/10.3892/or.2013.2752
Follow us
  • Twitter
  • LinkedIn
  • Facebook
About
  • Spandidos Publications
  • Careers
  • Cookie Policy
  • Privacy Policy
How can we help?
  • Help
  • Live Chat
  • Contact
  • Email to our Support Team