Spandidos Publications Logo
  • About
    • About Spandidos
    • Aims and Scopes
    • Abstracting and Indexing
    • Editorial Policies
    • Reprints and Permissions
    • Job Opportunities
    • Terms and Conditions
    • Contact
  • Journals
    • All Journals
    • Oncology Letters
      • Oncology Letters
      • Information for Authors
      • Editorial Policies
      • Editorial Board
      • Aims and Scope
      • Abstracting and Indexing
      • Bibliographic Information
      • Archive
    • International Journal of Oncology
      • International Journal of Oncology
      • Information for Authors
      • Editorial Policies
      • Editorial Board
      • Aims and Scope
      • Abstracting and Indexing
      • Bibliographic Information
      • Archive
    • Molecular and Clinical Oncology
      • Molecular and Clinical Oncology
      • Information for Authors
      • Editorial Policies
      • Editorial Board
      • Aims and Scope
      • Abstracting and Indexing
      • Bibliographic Information
      • Archive
    • Experimental and Therapeutic Medicine
      • Experimental and Therapeutic Medicine
      • Information for Authors
      • Editorial Policies
      • Editorial Board
      • Aims and Scope
      • Abstracting and Indexing
      • Bibliographic Information
      • Archive
    • International Journal of Molecular Medicine
      • International Journal of Molecular Medicine
      • Information for Authors
      • Editorial Policies
      • Editorial Board
      • Aims and Scope
      • Abstracting and Indexing
      • Bibliographic Information
      • Archive
    • Biomedical Reports
      • Biomedical Reports
      • Information for Authors
      • Editorial Policies
      • Editorial Board
      • Aims and Scope
      • Abstracting and Indexing
      • Bibliographic Information
      • Archive
    • Oncology Reports
      • Oncology Reports
      • Information for Authors
      • Editorial Policies
      • Editorial Board
      • Aims and Scope
      • Abstracting and Indexing
      • Bibliographic Information
      • Archive
    • Molecular Medicine Reports
      • Molecular Medicine Reports
      • Information for Authors
      • Editorial Policies
      • Editorial Board
      • Aims and Scope
      • Abstracting and Indexing
      • Bibliographic Information
      • Archive
    • World Academy of Sciences Journal
      • World Academy of Sciences Journal
      • Information for Authors
      • Editorial Policies
      • Editorial Board
      • Aims and Scope
      • Abstracting and Indexing
      • Bibliographic Information
      • Archive
    • International Journal of Functional Nutrition
      • International Journal of Functional Nutrition
      • Information for Authors
      • Editorial Policies
      • Editorial Board
      • Aims and Scope
      • Abstracting and Indexing
      • Bibliographic Information
      • Archive
    • International Journal of Epigenetics
      • International Journal of Epigenetics
      • Information for Authors
      • Editorial Policies
      • Editorial Board
      • Aims and Scope
      • Abstracting and Indexing
      • Bibliographic Information
      • Archive
    • Medicine International
      • Medicine International
      • Information for Authors
      • Editorial Policies
      • Editorial Board
      • Aims and Scope
      • Abstracting and Indexing
      • Bibliographic Information
      • Archive
  • Articles
  • Information
    • Information for Authors
    • Information for Reviewers
    • Information for Librarians
    • Information for Advertisers
    • Conferences
  • Language Editing
Spandidos Publications Logo
  • About
    • About Spandidos
    • Aims and Scopes
    • Abstracting and Indexing
    • Editorial Policies
    • Reprints and Permissions
    • Job Opportunities
    • Terms and Conditions
    • Contact
  • Journals
    • All Journals
    • Biomedical Reports
      • Information for Authors
      • Editorial Policies
      • Editorial Board
      • Aims and Scope
      • Abstracting and Indexing
      • Bibliographic Information
      • Archive
    • Experimental and Therapeutic Medicine
      • Information for Authors
      • Editorial Policies
      • Editorial Board
      • Aims and Scope
      • Abstracting and Indexing
      • Bibliographic Information
      • Archive
    • International Journal of Epigenetics
      • Information for Authors
      • Editorial Policies
      • Editorial Board
      • Aims and Scope
      • Abstracting and Indexing
      • Bibliographic Information
      • Archive
    • International Journal of Functional Nutrition
      • Information for Authors
      • Editorial Policies
      • Editorial Board
      • Aims and Scope
      • Abstracting and Indexing
      • Bibliographic Information
      • Archive
    • International Journal of Molecular Medicine
      • Information for Authors
      • Editorial Policies
      • Editorial Board
      • Aims and Scope
      • Abstracting and Indexing
      • Bibliographic Information
      • Archive
    • International Journal of Oncology
      • Information for Authors
      • Editorial Policies
      • Editorial Board
      • Aims and Scope
      • Abstracting and Indexing
      • Bibliographic Information
      • Archive
    • Medicine International
      • Information for Authors
      • Editorial Policies
      • Editorial Board
      • Aims and Scope
      • Abstracting and Indexing
      • Bibliographic Information
      • Archive
    • Molecular and Clinical Oncology
      • Information for Authors
      • Editorial Policies
      • Editorial Board
      • Aims and Scope
      • Abstracting and Indexing
      • Bibliographic Information
      • Archive
    • Molecular Medicine Reports
      • Information for Authors
      • Editorial Policies
      • Editorial Board
      • Aims and Scope
      • Abstracting and Indexing
      • Bibliographic Information
      • Archive
    • Oncology Letters
      • Information for Authors
      • Editorial Policies
      • Editorial Board
      • Aims and Scope
      • Abstracting and Indexing
      • Bibliographic Information
      • Archive
    • Oncology Reports
      • Information for Authors
      • Editorial Policies
      • Editorial Board
      • Aims and Scope
      • Abstracting and Indexing
      • Bibliographic Information
      • Archive
    • World Academy of Sciences Journal
      • Information for Authors
      • Editorial Policies
      • Editorial Board
      • Aims and Scope
      • Abstracting and Indexing
      • Bibliographic Information
      • Archive
  • Articles
  • Information
    • For Authors
    • For Reviewers
    • For Librarians
    • For Advertisers
    • Conferences
  • Language Editing
Login Register Submit
  • This site uses cookies
  • You can change your cookie settings at any time by following the instructions in our Cookie Policy. To find out more, you may read our Privacy Policy.

    I agree
Search articles by DOI, keyword, author or affiliation
Search
Advanced Search
presentation
Oncology Reports
Join Editorial Board Propose a Special Issue
Print ISSN: 1021-335X Online ISSN: 1791-2431
Journal Cover
April-2015 Volume 33 Issue 4

Full Size Image

Sign up for eToc alerts
Recommend to Library

Journals

International Journal of Molecular Medicine

International Journal of Molecular Medicine

International Journal of Molecular Medicine is an international journal devoted to molecular mechanisms of human disease.

International Journal of Oncology

International Journal of Oncology

International Journal of Oncology is an international journal devoted to oncology research and cancer treatment.

Molecular Medicine Reports

Molecular Medicine Reports

Covers molecular medicine topics such as pharmacology, pathology, genetics, neuroscience, infectious diseases, molecular cardiology, and molecular surgery.

Oncology Reports

Oncology Reports

Oncology Reports is an international journal devoted to fundamental and applied research in Oncology.

Experimental and Therapeutic Medicine

Experimental and Therapeutic Medicine

Experimental and Therapeutic Medicine is an international journal devoted to laboratory and clinical medicine.

Oncology Letters

Oncology Letters

Oncology Letters is an international journal devoted to Experimental and Clinical Oncology.

Biomedical Reports

Biomedical Reports

Explores a wide range of biological and medical fields, including pharmacology, genetics, microbiology, neuroscience, and molecular cardiology.

Molecular and Clinical Oncology

Molecular and Clinical Oncology

International journal addressing all aspects of oncology research, from tumorigenesis and oncogenes to chemotherapy and metastasis.

World Academy of Sciences Journal

World Academy of Sciences Journal

Multidisciplinary open-access journal spanning biochemistry, genetics, neuroscience, environmental health, and synthetic biology.

International Journal of Functional Nutrition

International Journal of Functional Nutrition

Open-access journal combining biochemistry, pharmacology, immunology, and genetics to advance health through functional nutrition.

International Journal of Epigenetics

International Journal of Epigenetics

Publishes open-access research on using epigenetics to advance understanding and treatment of human disease.

Medicine International

Medicine International

An International Open Access Journal Devoted to General Medicine.

Journal Cover
April-2015 Volume 33 Issue 4

Full Size Image

Sign up for eToc alerts
Recommend to Library

  • Article
  • Citations
    • Cite This Article
    • Download Citation
    • Create Citation Alert
    • Remove Citation Alert
    • Cited By
  • Similar Articles
    • Related Articles (in Spandidos Publications)
    • Similar Articles (Google Scholar)
    • Similar Articles (PubMed)
  • Download PDF
  • Download XML
  • View XML
Article

Honeybee venom possesses anticancer and antiviral effects by differential inhibition of HPV E6 and E7 expression on cervical cancer cell line

  • Authors:
    • Yong-Wan Kim
    • Pankaj Kumar Chaturvedi
    • Sung  Nam Chun
    • Yang Gu Lee
    • Woong Shick Ahn
  • View Affiliations / Copyright

    Affiliations: School of Integrated Technology, Yonsei Institute of Convergence Technology, Yonsei University, Incheon, Republic of Korea , Catholic Research Institute of Medical Science, College of Medicine, The Catholic University of Korea, Seoul, Republic of Korea, Dong Sung Biopharm Co., Seoul, Republic of Korea, Wonkwang Institute of Interfused Biomedical Science, Wonkwang University, Iksan-si, Republic of Korea
  • Pages: 1675-1682
    |
    Published online on: January 28, 2015
       https://doi.org/10.3892/or.2015.3760
  • Expand metrics +
Metrics: Total Views: 0 (Spandidos Publications: | PMC Statistics: )
Metrics: Total PDF Downloads: 0 (Spandidos Publications: | PMC Statistics: )
Cited By (CrossRef): 0 citations Loading Articles...

This article is mentioned in:



Abstract

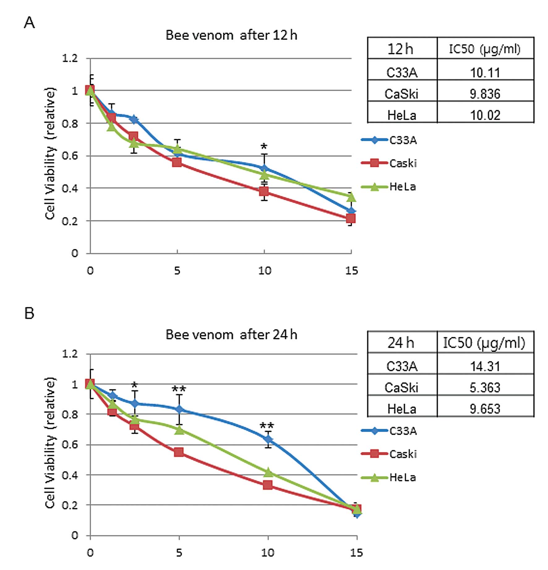
Bee venom (BV) therapy is a type of alternative medical treatment used to treat various diseases in oriental medicine. The mechanisms underlying the effects of BV remain poorly understood. In the present study, we evaluated the antiviral effect of BV on cervical carcinoma cell lines (CaSki, HeLa, C33A and TC-1). BV treatments resulted in a more significant suppression of cell growth in HPV 16-infected cells (CaSki) and a lesser suppression in HPV 18-infected cells (HeLa). However, less suppression was observed in HPV-negative C33A cells. In 10 µg/ml BV-treated CaSki cells, the mRNA expression and protein levels of HPV16 E6 and E7 were significantly decreased by BV, while HPV18 E6 and E7 mRNA expression levels were not significantly altered by 10 µg/ml BV-treated HeLa cells. The antitumor effects of BV were in accordance with in vitro data, in restricting tumor growth in vivo and were much more effective on the suppression of tumor growth. Furthermore, the mRNA and protein expression levels of HPV16 E6 and E7 were decreased by BV in TC-1 tumors. These findings demonstrated the antiviral effects of BV in HPV-infected cervical cancer cells and the anticancer effects of BV in HPV16 E6/E7-expressed TC-1 tumors. Collectively, BV plays a differential role in suppressing HPV16-infected cells (CaSki cells) and HPV18-infected cells (HeLa cells) by the downregulation of E6/E7 protein of HPV16/18.
View Figures

Figure 1

Figure 2

Figure 3

Figure 4

Figure 5

Figure 6

View References

1 

Billingham ME, Morley J, Hanson JM, Shipolini RA and Vernon CA: Letter: An anti-inflammatory peptide from bee venom. Nature. 245:163–164. 1973. View Article : Google Scholar : PubMed/NCBI

2 

Orlov BN, Omarov ShM, Gelashvili DB, Korneva NV and Asafova NN: Chemistry and pharmacology of bee venom (a review of the literature). Farmakol Toksikol. 41:358–369. 1978.(In Russian). PubMed/NCBI

3 

Hockenhull J, Elremeli M, Cherry MG, et al: A systematic review of the clinical effectiveness and cost-effectiveness of Pharmalgen® for the treatment of bee and wasp venom allergy. Health Technol Assess. 16:III–IV. 1–110. 2012.

4 

Park HJ, Lee HJ, Choi MS, et al: JNK pathway is involved in the inhibition of inflammatory target gene expression and NF-kappaB activation by melittin. J Inflamm. 5:72008. View Article : Google Scholar

5 

Habermann E: Bee and wasp venoms. Science. 177:314–322. 1972. View Article : Google Scholar : PubMed/NCBI

6 

Schmidt JO: Biochemistry of insect venoms. Annu Rev Entomol. 27:339–368. 1982. View Article : Google Scholar : PubMed/NCBI

7 

Son DJ, Lee JW, Lee YH, Song HS, Lee CK and Hong JT: Therapeutic application of anti-arthritis, pain-releasing, and anti-cancer effects of bee venom and its constituent compounds. Pharmacol Ther. 115:246–270. 2007. View Article : Google Scholar : PubMed/NCBI

8 

Texier C, Pouvelle S, Busson M, et al: HLA-DR restricted peptide candidates for bee venom immunotherapy. J Immunol. 164:3177–3184. 2000. View Article : Google Scholar : PubMed/NCBI

9 

Kleinschmidt JH, Mahaney JE, Thomas DD and Marsh D: Interaction of bee venom melittin with zwitterionic and negatively charged phospholipid bilayers: a spin-label electron spin resonance study. Biophys J. 72:767–778. 1997. View Article : Google Scholar : PubMed/NCBI

10 

Przybilla B: Insect venom allergy. Removing the sting of killer bees! MMW Fortschr Med. 143:41–44. 2001.(In German). PubMed/NCBI

11 

Hong SJ, Rim GS, Yang HI, et al: Bee venom induces apoptosis through caspase-3 activation in synovial fibroblasts of patients with rheumatoid arthritis. Toxicon. 46:39–45. 2005. View Article : Google Scholar : PubMed/NCBI

12 

Park MH, Choi MS, Kwak DH, et al: Anti-cancer effect of bee venom in prostate cancer cells through activation of caspase pathway via inactivation of NF-κB. Prostate. 71:801–812. 2011. View Article : Google Scholar : PubMed/NCBI

13 

Park JH, Kim KH, Kim SJ, Lee WR, Lee KG and Park KK: Bee venom protects hepatocytes from tumor necrosis factor-α and actinomycin D. Arch Pharm Res. 33:215–223. 2010. View Article : Google Scholar : PubMed/NCBI

14 

Liu XD, Zhang JL, Zheng HG, Liu FY and Chen Y: Clinical randomized study of bee-sting therapy for rheumatoid arthritis. Zhen Ci Yan Jiu. 33:197–200. 2008.(In Chinese). PubMed/NCBI

15 

Ip SW, Liao SS, Lin SY, et al: The role of mitochondria in bee venom-induced apoptosis in human breast cancer MCF7 cells. In Vivo. 22:237–245. 2008.PubMed/NCBI

16 

Ip SW, Wei HC, Lin JP, et al: Bee venom induced cell cycle arrest and apoptosis in human cervical epidermoid carcinoma Ca Ski cells. Anticancer Res. 28:833–842. 2008.PubMed/NCBI

17 

Han HJ, Lee JH, Park SH, et al: Effect of bee venom and its melittin on apical transporters of renal proximal tubule cells. Kidney Blood Press Res. 23:393–399. 2000. View Article : Google Scholar : PubMed/NCBI

18 

Hood JL, Jallouk AP, Campbell N, Ratner L and Wickline SA: Cytolytic nanoparticles attenuate HIV-1 infectivity. Antivir Ther. 18:95–103. 2013. View Article : Google Scholar

19 

Fenard D, Lambeau G, Maurin T, Lefebvre JC and Doglio A: A peptide derived from bee venom-secreted phospholipase A2 inhibits replication of T-cell tropic HIV-1 strains via interaction with the CXCR4 chemokine receptor. Mol Pharmacol. 60:341–347. 2001.PubMed/NCBI

20 

Soman NR, Baldwin SL, Hu G, et al: Molecularly targeted nanocarriers deliver the cytolytic peptide melittin specifically to tumor cells in mice, reducing tumor growth. J Clin Invest. 119:2830–2842. 2009. View Article : Google Scholar : PubMed/NCBI

21 

Jemon K, Young V, Wilson M, et al: An enhanced heterologous virus-like particle for human papillomavirus type 16 tumour immunotherapy. PLoS One. 8:e668662013. View Article : Google Scholar : PubMed/NCBI

22 

Kim YW, Bae SM, Battogtokh G, Bang HJ and Ahn WS: Synergistic anti-tumor effects of combination of photodynamic therapy and arsenic compound in cervical cancer cells: in vivo and in vitro studies. PLoS One. 7:e385832012. View Article : Google Scholar : PubMed/NCBI

23 

Kim SK, Park KY, Yoon WC, et al: Melittin enhances apoptosis through suppression of IL-6/sIL-6R complex-induced NF-κB and STAT3 activation and Bcl-2 expression for human fibroblast-like synoviocytes in rheumatoid arthritis. Joint Bone Spine. 78:471–477. 2011. View Article : Google Scholar : PubMed/NCBI

24 

Su PF and Wu FY: Differential suppression of the tumorigenicity of HeLa and SiHa cells by adeno-associated virus. Br J Cancer. 73:1533–1537. 1996. View Article : Google Scholar : PubMed/NCBI

25 

Kwon YB, Kim HW, Ham TW, et al: The anti-inflammatory effect of bee venom stimulation in a mouse air pouch model is mediated by adrenal medullary activity. J Neuroendocrinol. 15:93–96. 2003. View Article : Google Scholar : PubMed/NCBI

26 

Ownby CL, Powell JR, Jiang MS and Fletcher JE: Melittin and phospholipase A2 from bee (Apis mellifera) venom cause necrosis of murine skeletal muscle in vivo. Toxicon. 35:67–80. 1997. View Article : Google Scholar : PubMed/NCBI

27 

Son DJ, Ha SJ, Song HS, et al: Melittin inhibits vascular smooth muscle cell proliferation through induction of apoptosis via suppression of nuclear factor-κB and Akt activation and enhancement of apoptotic protein expression. J Pharmacol Exp Ther. 317:627–634. 2006. View Article : Google Scholar : PubMed/NCBI

28 

Ahn WS, Han YJ, Bae SM, et al: Differential suppression of human cervical cancer cell growth by adenovirus delivery of p53 in vitro: arrest phase of cell cycle is dependent on cell line. Jpn J Cancer Res. 93:1012–1019. 2002. View Article : Google Scholar : PubMed/NCBI

29 

Jang HS, Chung HS, Ko E, et al: Microarray analysis of gene expression profiles in response to treatment with bee venom in lipopolysaccharide activated RAW 264.7 cells. J Ethnopharmacol. 121:213–220. 2009. View Article : Google Scholar

30 

Han S, Lee K, Yeo J, et al: Effect of honey bee venom on microglial cells nitric oxide and tumor necrosis factor-α production stimulated by LPS. J Ethnopharmacol. 111:176–181. 2007. View Article : Google Scholar

Related Articles

  • Abstract
  • View
  • Download
  • Twitter
Copy and paste a formatted citation
Spandidos Publications style
Kim Y, Chaturvedi PK, Chun SN, Lee YG and Ahn WS: Honeybee venom possesses anticancer and antiviral effects by differential inhibition of HPV E6 and E7 expression on cervical cancer cell line. Oncol Rep 33: 1675-1682, 2015.
APA
Kim, Y., Chaturvedi, P.K., Chun, S.N., Lee, Y.G., & Ahn, W.S. (2015). Honeybee venom possesses anticancer and antiviral effects by differential inhibition of HPV E6 and E7 expression on cervical cancer cell line. Oncology Reports, 33, 1675-1682. https://doi.org/10.3892/or.2015.3760
MLA
Kim, Y., Chaturvedi, P. K., Chun, S. N., Lee, Y. G., Ahn, W. S."Honeybee venom possesses anticancer and antiviral effects by differential inhibition of HPV E6 and E7 expression on cervical cancer cell line". Oncology Reports 33.4 (2015): 1675-1682.
Chicago
Kim, Y., Chaturvedi, P. K., Chun, S. N., Lee, Y. G., Ahn, W. S."Honeybee venom possesses anticancer and antiviral effects by differential inhibition of HPV E6 and E7 expression on cervical cancer cell line". Oncology Reports 33, no. 4 (2015): 1675-1682. https://doi.org/10.3892/or.2015.3760
Copy and paste a formatted citation
x
Spandidos Publications style
Kim Y, Chaturvedi PK, Chun SN, Lee YG and Ahn WS: Honeybee venom possesses anticancer and antiviral effects by differential inhibition of HPV E6 and E7 expression on cervical cancer cell line. Oncol Rep 33: 1675-1682, 2015.
APA
Kim, Y., Chaturvedi, P.K., Chun, S.N., Lee, Y.G., & Ahn, W.S. (2015). Honeybee venom possesses anticancer and antiviral effects by differential inhibition of HPV E6 and E7 expression on cervical cancer cell line. Oncology Reports, 33, 1675-1682. https://doi.org/10.3892/or.2015.3760
MLA
Kim, Y., Chaturvedi, P. K., Chun, S. N., Lee, Y. G., Ahn, W. S."Honeybee venom possesses anticancer and antiviral effects by differential inhibition of HPV E6 and E7 expression on cervical cancer cell line". Oncology Reports 33.4 (2015): 1675-1682.
Chicago
Kim, Y., Chaturvedi, P. K., Chun, S. N., Lee, Y. G., Ahn, W. S."Honeybee venom possesses anticancer and antiviral effects by differential inhibition of HPV E6 and E7 expression on cervical cancer cell line". Oncology Reports 33, no. 4 (2015): 1675-1682. https://doi.org/10.3892/or.2015.3760
Follow us
  • Twitter
  • LinkedIn
  • Facebook
About
  • Spandidos Publications
  • Careers
  • Cookie Policy
  • Privacy Policy
How can we help?
  • Help
  • Live Chat
  • Contact
  • Email to our Support Team