Spandidos Publications Logo
  • About
    • About Spandidos
    • Aims and Scopes
    • Abstracting and Indexing
    • Editorial Policies
    • Reprints and Permissions
    • Job Opportunities
    • Terms and Conditions
    • Contact
  • Journals
    • All Journals
    • Oncology Letters
      • Oncology Letters
      • Information for Authors
      • Editorial Policies
      • Editorial Board
      • Aims and Scope
      • Abstracting and Indexing
      • Bibliographic Information
      • Archive
    • International Journal of Oncology
      • International Journal of Oncology
      • Information for Authors
      • Editorial Policies
      • Editorial Board
      • Aims and Scope
      • Abstracting and Indexing
      • Bibliographic Information
      • Archive
    • Molecular and Clinical Oncology
      • Molecular and Clinical Oncology
      • Information for Authors
      • Editorial Policies
      • Editorial Board
      • Aims and Scope
      • Abstracting and Indexing
      • Bibliographic Information
      • Archive
    • Experimental and Therapeutic Medicine
      • Experimental and Therapeutic Medicine
      • Information for Authors
      • Editorial Policies
      • Editorial Board
      • Aims and Scope
      • Abstracting and Indexing
      • Bibliographic Information
      • Archive
    • International Journal of Molecular Medicine
      • International Journal of Molecular Medicine
      • Information for Authors
      • Editorial Policies
      • Editorial Board
      • Aims and Scope
      • Abstracting and Indexing
      • Bibliographic Information
      • Archive
    • Biomedical Reports
      • Biomedical Reports
      • Information for Authors
      • Editorial Policies
      • Editorial Board
      • Aims and Scope
      • Abstracting and Indexing
      • Bibliographic Information
      • Archive
    • Oncology Reports
      • Oncology Reports
      • Information for Authors
      • Editorial Policies
      • Editorial Board
      • Aims and Scope
      • Abstracting and Indexing
      • Bibliographic Information
      • Archive
    • Molecular Medicine Reports
      • Molecular Medicine Reports
      • Information for Authors
      • Editorial Policies
      • Editorial Board
      • Aims and Scope
      • Abstracting and Indexing
      • Bibliographic Information
      • Archive
    • World Academy of Sciences Journal
      • World Academy of Sciences Journal
      • Information for Authors
      • Editorial Policies
      • Editorial Board
      • Aims and Scope
      • Abstracting and Indexing
      • Bibliographic Information
      • Archive
    • International Journal of Functional Nutrition
      • International Journal of Functional Nutrition
      • Information for Authors
      • Editorial Policies
      • Editorial Board
      • Aims and Scope
      • Abstracting and Indexing
      • Bibliographic Information
      • Archive
    • International Journal of Epigenetics
      • International Journal of Epigenetics
      • Information for Authors
      • Editorial Policies
      • Editorial Board
      • Aims and Scope
      • Abstracting and Indexing
      • Bibliographic Information
      • Archive
    • Medicine International
      • Medicine International
      • Information for Authors
      • Editorial Policies
      • Editorial Board
      • Aims and Scope
      • Abstracting and Indexing
      • Bibliographic Information
      • Archive
  • Articles
  • Information
    • Information for Authors
    • Information for Reviewers
    • Information for Librarians
    • Information for Advertisers
    • Conferences
  • Language Editing
Spandidos Publications Logo
  • About
    • About Spandidos
    • Aims and Scopes
    • Abstracting and Indexing
    • Editorial Policies
    • Reprints and Permissions
    • Job Opportunities
    • Terms and Conditions
    • Contact
  • Journals
    • All Journals
    • Biomedical Reports
      • Information for Authors
      • Editorial Policies
      • Editorial Board
      • Aims and Scope
      • Abstracting and Indexing
      • Bibliographic Information
      • Archive
    • Experimental and Therapeutic Medicine
      • Information for Authors
      • Editorial Policies
      • Editorial Board
      • Aims and Scope
      • Abstracting and Indexing
      • Bibliographic Information
      • Archive
    • International Journal of Epigenetics
      • Information for Authors
      • Editorial Policies
      • Editorial Board
      • Aims and Scope
      • Abstracting and Indexing
      • Bibliographic Information
      • Archive
    • International Journal of Functional Nutrition
      • Information for Authors
      • Editorial Policies
      • Editorial Board
      • Aims and Scope
      • Abstracting and Indexing
      • Bibliographic Information
      • Archive
    • International Journal of Molecular Medicine
      • Information for Authors
      • Editorial Policies
      • Editorial Board
      • Aims and Scope
      • Abstracting and Indexing
      • Bibliographic Information
      • Archive
    • International Journal of Oncology
      • Information for Authors
      • Editorial Policies
      • Editorial Board
      • Aims and Scope
      • Abstracting and Indexing
      • Bibliographic Information
      • Archive
    • Medicine International
      • Information for Authors
      • Editorial Policies
      • Editorial Board
      • Aims and Scope
      • Abstracting and Indexing
      • Bibliographic Information
      • Archive
    • Molecular and Clinical Oncology
      • Information for Authors
      • Editorial Policies
      • Editorial Board
      • Aims and Scope
      • Abstracting and Indexing
      • Bibliographic Information
      • Archive
    • Molecular Medicine Reports
      • Information for Authors
      • Editorial Policies
      • Editorial Board
      • Aims and Scope
      • Abstracting and Indexing
      • Bibliographic Information
      • Archive
    • Oncology Letters
      • Information for Authors
      • Editorial Policies
      • Editorial Board
      • Aims and Scope
      • Abstracting and Indexing
      • Bibliographic Information
      • Archive
    • Oncology Reports
      • Information for Authors
      • Editorial Policies
      • Editorial Board
      • Aims and Scope
      • Abstracting and Indexing
      • Bibliographic Information
      • Archive
    • World Academy of Sciences Journal
      • Information for Authors
      • Editorial Policies
      • Editorial Board
      • Aims and Scope
      • Abstracting and Indexing
      • Bibliographic Information
      • Archive
  • Articles
  • Information
    • For Authors
    • For Reviewers
    • For Librarians
    • For Advertisers
    • Conferences
  • Language Editing
Login Register Submit
  • This site uses cookies
  • You can change your cookie settings at any time by following the instructions in our Cookie Policy. To find out more, you may read our Privacy Policy.

    I agree
Search articles by DOI, keyword, author or affiliation
Search
Advanced Search
presentation
Oncology Reports
Join Editorial Board Propose a Special Issue
Print ISSN: 1021-335X Online ISSN: 1791-2431
Journal Cover
January-2016 Volume 35 Issue 1

Full Size Image

Sign up for eToc alerts
Recommend to Library

Journals

International Journal of Molecular Medicine

International Journal of Molecular Medicine

International Journal of Molecular Medicine is an international journal devoted to molecular mechanisms of human disease.

International Journal of Oncology

International Journal of Oncology

International Journal of Oncology is an international journal devoted to oncology research and cancer treatment.

Molecular Medicine Reports

Molecular Medicine Reports

Covers molecular medicine topics such as pharmacology, pathology, genetics, neuroscience, infectious diseases, molecular cardiology, and molecular surgery.

Oncology Reports

Oncology Reports

Oncology Reports is an international journal devoted to fundamental and applied research in Oncology.

Experimental and Therapeutic Medicine

Experimental and Therapeutic Medicine

Experimental and Therapeutic Medicine is an international journal devoted to laboratory and clinical medicine.

Oncology Letters

Oncology Letters

Oncology Letters is an international journal devoted to Experimental and Clinical Oncology.

Biomedical Reports

Biomedical Reports

Explores a wide range of biological and medical fields, including pharmacology, genetics, microbiology, neuroscience, and molecular cardiology.

Molecular and Clinical Oncology

Molecular and Clinical Oncology

International journal addressing all aspects of oncology research, from tumorigenesis and oncogenes to chemotherapy and metastasis.

World Academy of Sciences Journal

World Academy of Sciences Journal

Multidisciplinary open-access journal spanning biochemistry, genetics, neuroscience, environmental health, and synthetic biology.

International Journal of Functional Nutrition

International Journal of Functional Nutrition

Open-access journal combining biochemistry, pharmacology, immunology, and genetics to advance health through functional nutrition.

International Journal of Epigenetics

International Journal of Epigenetics

Publishes open-access research on using epigenetics to advance understanding and treatment of human disease.

Medicine International

Medicine International

An International Open Access Journal Devoted to General Medicine.

Journal Cover
January-2016 Volume 35 Issue 1

Full Size Image

Sign up for eToc alerts
Recommend to Library

  • Article
  • Citations
    • Cite This Article
    • Download Citation
    • Create Citation Alert
    • Remove Citation Alert
    • Cited By
  • Similar Articles
    • Related Articles (in Spandidos Publications)
    • Similar Articles (Google Scholar)
    • Similar Articles (PubMed)
  • Download PDF
  • Download XML
  • View XML
Article

Lauric acid can improve the sensitization of Cetuximab in KRAS/BRAF mutated colorectal cancer cells by retrievable microRNA-378 expression

  • Authors:
    • Wen-Hui Weng
    • Wai-Hung Leung
    • Yeu-Jye Pang
    • Hsi-Hsien Hsu
  • View Affiliations / Copyright

    Affiliations: Department of Chemical Engineering and Biotechnology, and Graduate Institute of Biochemical and Biomedical Engineering, National Taipei University of Technology, Taipei City 106, Taiwan, R.O.C., Hull York Medical School, Heslington, York YO10 5DD, UK, Division of Colorectal Surgery, Department of Surgery, Mackay Memorial Hospital, Taipei City 104, Taiwan, R.O.C.
  • Pages: 107-116
    |
    Published online on: October 19, 2015
       https://doi.org/10.3892/or.2015.4336
  • Expand metrics +
Metrics: Total Views: 0 (Spandidos Publications: | PMC Statistics: )
Metrics: Total PDF Downloads: 0 (Spandidos Publications: | PMC Statistics: )
Cited By (CrossRef): 0 citations Loading Articles...

This article is mentioned in:



Abstract

EGFR-inhibitor (Cetuximab) is one of the main targeted drugs used for metastatic colorectal carcinoma (CRC). The benefit from Cetuximab appears to be limited to a subtype of patients, not for the patients with tumors harboring mutated BRAF or KRAS genes; unfortunately, it accounts for ~40-50% of CRC cases. Previous studies have connected higher expression levels of miR-378 to be commonly presented in patients without BRAF or KRAS mutants than in mutated CRCs. The microRNA-378 (miR-378) is coexpressed with PGC-1β and can be easily induced by fatty acid, for example lauric acid. Therefore, we hypothesized that elevation of miR-378 expression in mutated CRCs may stimulate the cell response to Cetuximab. Herein, seven CRC cell lines with confirmed mutation status were involved in two parallel experiments; directly in vitro transfected miR-378 mimics, and using lauric acid to indirectly induce the level of miR-378 in cells. After the increase of miR-378 in cells by either direct or indirect approaches, sensitivity to Cetuximab was restored in all BRAF mutants (p-value <0.0001-0.0003), and half of KRAS mutants CRC (p-value 0.039-0.007). Further evidence was gained by decreasing expression of MEK and ERK2 proteins after transfection with miR-378; it was similar to the indirect induction by lauric acid approach. In conclusion, the present study demonstrated that lauric acid may efficiently induce miR-378 expression in CRC mutants, and both BRAF and a subtype of KRAS mutants presented significantly improved sensitivity to Cetuximab. Notably, BRAF mutants could even be inhibited in cell proliferation after elevated concentration of miR-378 in cells without combining with targeted therapy. This new approach may shed new light on BRAF or KRAS mutation in CRC patients for clinical trial, since lauric acid may easily be obtain from natural food, and it is supposed to be harmless to the cardiovascular system.

Introduction

Metastatic colorectal cancers (mCRCs) are known to benefit from targeted therapy of epithelial growth factor receptor (EGFR) inhibitor, including Cetuximab and Panitumumab. However, Cetuximab is ineffective in patients harboring BRAF and KRAS mutations, which accounted for 40 and 10% of CRC patients, respectively (1–6). The phenomenon of mutually exclusivity between mutated BRAF and KRAS in CRCs in a same tumor have been particularly noted (7,8). The high correlation between BRAF and KRAS mutation status and ERK1/2 activation has been proven in many types of cancer included CRC. Nevertheless, once CRCs contain mutation of either BRAF or KRAS genes, Cetuximab cannot suppress the auto-signal transduction downstream of the signaling pathway, and could even trigger uncontrolled abnormal cell growth, proliferation and even metastases (4,9).

The miR-378 is a very short non-coding RNA, reported to possibly play a crucial role in mediating gene expression in CRC cells. It was considered to function as a tumor suppressor in inhibiting tumor growth and invasion; aberrant expression of miR-378 results in dysregulation of cell proliferation, increase the tumor size, as well as the capability of tumor cell invasion (10). Previous studies indicated that miR-378 could act as a new biomarker in CRC, due to higher expression level only observed in wtCRC (the CRC without presenting BRAF or KRAS mutations) or normal of colonic tissues but not in BRAF or KRAS mutated CRC cells (11,12). Most recently, high expression of miR-378 can even suppress the cell proliferation and induces apoptosis by targeting BRAF, as observed by Wang et al (13). Although the correlation between miR-378 and MAPK signaling pathway were revealed by substantial evidence, for example, Nagalingam et al emphasized Ras signaling could be one of the main targets of miR-378 in cardiac hypertrophy (14), however, the underlying mechanism of different subtypes of CRC, which correlated with sensitivity to the targeting therapy or regulation of miR-378 still remain unknown.

The precursor of miR-378 is derived from the first intron of peroxisome proliferator-activated receptor γ coactivator 1β (PGC-1β) gene, a cellular energy-related gene. Expression of PGC-1β is highly associated with saturated fatty acid intake (Fig. 1) (15–19). We therefore postulated that once CRC cells were induced by lauric acid, the saturated fatty acid with a 12-carbon atom chain, triggers the transcriptional activity of PGC-1β gene to accumulate messenger RNA (mRNA) expression, consequently resulting in increasing level of coexpressed products of miR-378 in cells (Fig. 1); once elevated the expression level of miR-378 in CRC mutants to the level of wtCRC cells or normal cells, it may automatically suppress cell growth or lead the mutated CRC cells restoring sensitivity to Cetuximab. In the present study, the elevation of miR-378 expression levels in BRAF or KRAS mutated CRC cells were firstly restored by an in vitro transfection method; then the cells were incubated in lauric acid growth medium, and their response to Cetuximab was further measured via cellular viability. In addition, we performed protein analysis to investigate the potential role of miR-378 associated with MAPK signaling pathway.

Figure 1

The sensitivity of anti-EGFR antibody inhibits the RAS/RAF/MAPK pathway leading to cell cycle progression. miR-378 is induced by lauric acid stimulated PGC1-β mRNA expression further blocking the ERK1/2 protein activity resulting in cell death.

Materials and methods

Confirmation of BRAF and KRAS mutational status of the cell lines

Seven colon cancer cell lines were used, these were HCT-116, HCT-15, SW-480, SW-620, WiDr, HT-29 and Caco-2. The mutation statuses of both BRAF and KRAS of each cell line was confirmed by sequencing analysis, and further searched according to the COSMIC database (http://www.sanger.ac.uk/genetics/CGP/cosmic/) before the experiments. KRAS mutation with G13D substitution in exon 2 was confirmed in HCT-116 and HCT-15, SW480 and SW620 are KRAS mutated with G12V in exon 2. HT-29 and WiDr are BRAF mutated with V600E in exon 15. The mutation of BRAF and KRAS did not coexist in any of the cell line used. Caco-2 was confirmed as non-BRAF or non-KRAS mutation, labeled as wtCRC, which is reported to be sensitive to Cetuximab according to clinical experience (20–23), was used as internal control when needed. The cells were cultured in RPMI or Dulbecco's modified Eagle's medium (DMEM) growth medium with 10–20% fetal bovine serum (FBS). Indeed, for the time of lauric acid treatment in vitro, we could only select the more aggressive cell growth, such as HCT116, SW480 and HT29, in order to further obtained proteins for detection and observed differences in cell viability.

Elevated level of miR-378 in cells by direct in vitro miR-378 transfection

Directly transfected miR-378 to all CRC cell lines were performed by seeding into a 6-well plate with 1×105 cells/well and cultured overnight at 37°C with 5% CO2. miR-378 transfection complexes were then prepared by mixing with miR-378 mimic and HiPerFect Transfection Reagent (cat. no. 301704) (both from Qiagen, Valencia, CA, USA) under instructions of the manufacturer's protocol. To confirm successful miR-378 transfection, the commercially available positive control AllStars Hs Cell Death control siRNA (cat. no. 1027298), and Allstars negative control siRNA validated non-silencing siRNA (cat. no. 1027280) (both from Qiagen) were included in every batch of the experiments. Before and after transfection of miR-378, the expression level was detected by qRT-PCR, and the commercial available normal colon RNA extraction (BioChain, Newark, CA, USA) was used as baseline comparison.

Elevated level of miR-378 in cells by indirectly incubating cells in lauric acid medium

In order to indirectly stimulate cells to coexpress miR-378 from its host gene PGC-1β by feeding lauric acid (15–19), the three cell lines (HT29, HCT116 and SW480) with aggressive growth patterns were selected and cultured in a gradient lauric acid concentration (0.15, 0.3, 0.45 and 0.6 mM) of growth medium for 96 h. The metabolic rates of lauric acid in cells were then further measured before the RNA expression level of PGC-1β, and coexpressed miR-378 levels were investigated.

RNA extraction and quantification of miR-378

The expression level of miR-378 in cells was detected at original status cells, before and after miR-378 transfection in vitro or indirectly induced miR-378 by lauric acid feeding. Extraction of total RNA was performed using TRIzol (Invitrogen Inc., Carlsbad, CA, USA), cDNA of miR-378 was synthesized according to the TaqMan microRNA assay protocol (Applied Biosystems, Foster City, CA, USA). Quantitative real-time polymerase chain reaction (qRT-PCR) was performed using TaqMan Universal Master Mix, and 20 times volume of miR-378 primer (TaqMan microRNA assay). The expression level of miR-378 was quantified by comparative CT method with an iCycler iQ Real-Time Detection System (Bio-Rad, Hercules, CA, USA) according to the manufacturer's instruction, the expression level was quantified as the relative quantitative (RQ) level, in which RNU-44 was used as an endogenous control. Normal colon total RNA extract (BioChain) was utilized as normal control in the experiments.

Optimal concentration of Cetuximab-resistant test

The optimal concentration of Cetuximab (Merck Serono) resistant test was determined by flow cytometry with Annexin V-FITC apoptosis detection test (Annexin V-FITC apoptosis detection kit II; BD Pharmingen™) after incubation of cells with Cetuximab for 24 h through a gradient concentration of 0, 20, 50, 100, 120 and 200 µg/ml. The final drug concentration of 100 µg/ml was determined to be the minimal concentration that provided an effective steady apoptotic effect on all cells.

Cell viability analysis

To determine the number of viable cells in culture, CellTiter 96® AQueous One Solution Cell Proliferation Assay (Promega) was performed before and after miR-378 transfection, lauric acid and Cetuximab treatment. In brief, a total of 5×103 cells were cultured in a 96-well plate/well; and then cultured with different concentration of lauric acid (0.15, 0.3, 0.45 and 0.6 mM) for 96 h. For the drug testing, 100 µg/ml Cetuximab was added and for another 72 h. Before detection of cell viability, 20 µl of CellTiter 96® AQueous One Solution Reagent was added and cultured at 37°C in an incubator for 1 h, and the the absorbance at 490 nm was recorded with a 96-well plate reader.

Activation of MAPK pathway analysis for the transfected miR-378 cells

The bioinformatic prediction suggested that factors of the mitogen-activated protein kinase (MAPK) pathway are enriched among miR-378 targets. Therefore, western blotting was performed to analyze the MAPK pathway related proteins before and after transfection of miR-378 cells according to the standard protocol. In brief, cells were washed with phosphate-buffered saline (PBS) and then trypsinized (0.05% trypsin w/v with 0.02% EDTA). The pellets were lysed in buffer [50 mM Tris-HCl, 10 mM EDTA, 1% v/v Triton X-100, 1% phenylmethylsulfonyl fluoride (PMSF), 0.05 mM pepstatin A and 0.2 mM leupeptin], and after mixing with sample loading buffer (50 mM Tris-HCl, pH 6.8, 10% w/v sodium dodecyl sulfate, 10% v/v glycerol, 10% v/v 2-mercaptoethanol and 0.04% bromophenol blue) at a ratio of 4:1 were denatured at 95°C for 5 min. Protein (30 µg) was then loaded into 10% SDS-polyacrylamide (SDS-PAGE) gels and subjected to electrophoresis (120 V, 75 min). The separated proteins were transferred to nitrocellulose membranes (Bio-Rad; 40 min, 350 mA/gel). The blots were incubated and slightly shacken in 5% non-fat milk/TBS-Tween-20 blocking buffer for 1 h, followed by overnight incubation at 4°C with different ratio dilution of the primary antibodies: 1:500 dilution of anti-KRAS (mouse monoclonal, ab55391), 1:2,500 dilution of anti-BRAF (rabbit monoclonal, ab33899), 1:2,000 dilution of anti-MEK (mouse monoclonal, ab69502), 1:2,500 dilution of anti-ERK (mouse monoclonal, ab36991) (Abcam, Cambridge, MA, USA). After washing with TBS, the blots were incubated at room temperature for 1 h with the secondary antibody. Protein detection and quantification by densitometric analysis were performed after normalization with β-actin (mouse monoclonal, NB600-501; Novus Biologicals, Littleton, CO, USA).

Enzyme-linked immunosorbent assay using ERK 1/2 protein in the lauric acid fed cells

Amounts of proteins derived from 0.45 mM lauric acid fed CRC cells (HT29, HCT116 and SW480), with or without 0.6 µM Cetuximab, were analyzed using ERK 1/2 (Total) InstantOne™ enzyme-linked immunosorbent assay (ELISA) according to the instructions (Affymetrix, eBioscience®).

Statistical analysis

In order to eliminate any background variation among the experiments, each original CRC cell line was used as a reference group to normalize the following five groups: cells treated with Cetuximab only, cells transfected with miR-378 only, miR-378 transfected cells combined with Cetuximab treatment, lauric acid incubated only, and lauric acid incubated combined with Cetuximab treatment. Analysis were performed with SPSS 15.0 statistics software (SPSS, Inc., Chicago, IL, USA). The difference between miR-378 expression in colon cancer cell lines and normal colon extract was analyzed by single variant post hoc test. Paired comparisons of percentage cell viability analysis of original cells, miR-378 transfected cells with, and without Cetuximab treatment were analyzed with Student's t-test. A p-value of ≤0.05 was considered to indicate a statistically significant result.

Results

Significantly elevated expression level of miR-378 in cells by directly transfected miR-378 or indirectly induced by lauric acid

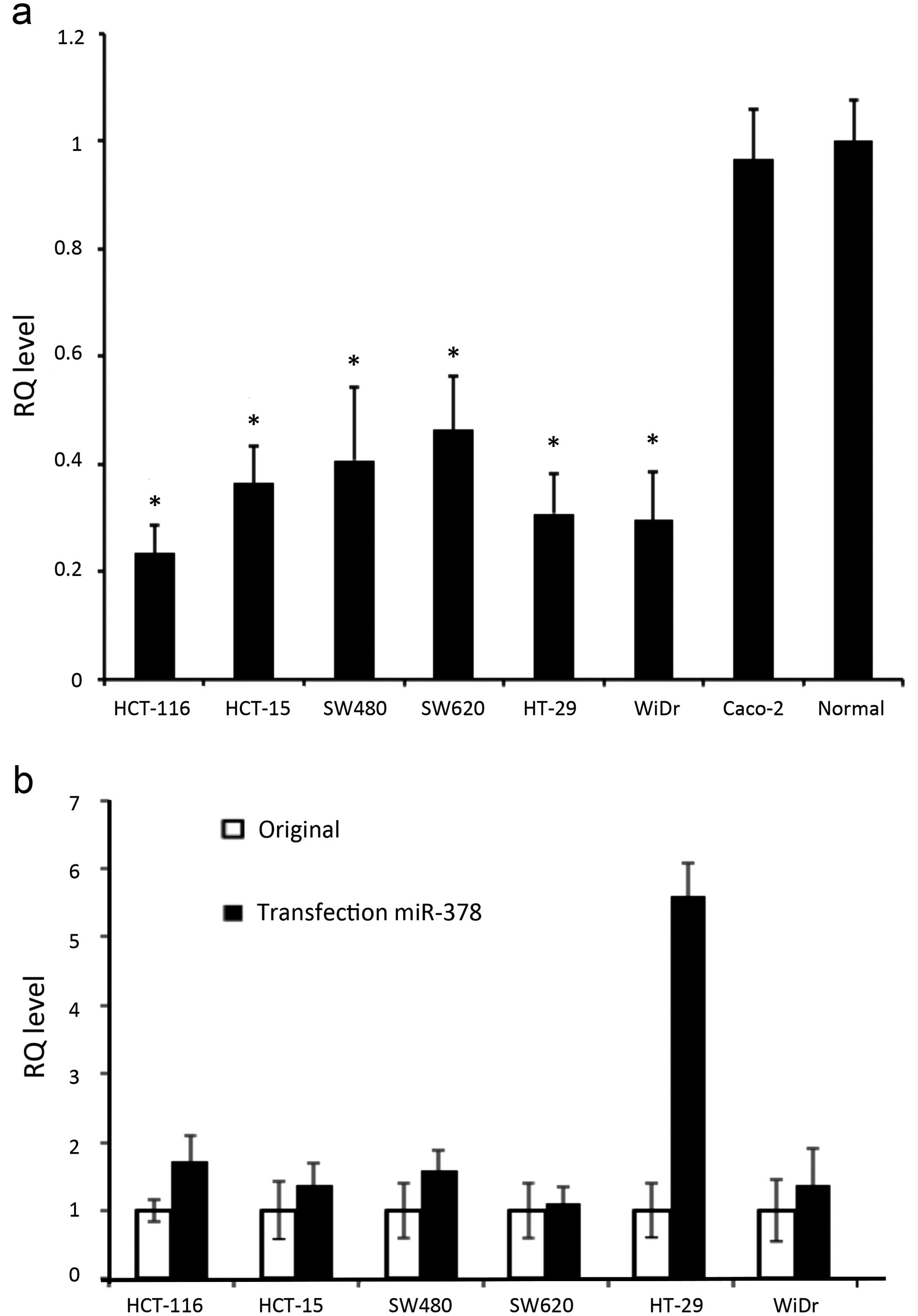
The expression levels of miR-378 in all original mutants were significantly lower than the normal control and Caco-2 (p<0.0001) (Fig. 2a). We succeeded in transfecting miR-378 to all CRC cell lines, confirmed by the parallel experiments of AllStars Hs Cell Death Control siRNA. All CRC cells significantly increased their expression levels of miR-378 after in vitro transfection, in which HT-29 showed the highest efficiency with 5.6-fold and 1.1-fold elevation for SW620 (Fig. 2b). Similarly, three selected aggressive growth pattern cells (HT29, HCT116 and SW480) after incubated in lauric acid culture medium for 24–72 h, also presented increased mRNA level of PGC-1β and also coexpressed miR-378 in cells (Fig. 3a–c).

Figure 2

Relative expression of miR-378 in each CRC cell line compared to wtCRC cells and normal control. (a) Downregulation of miR-378 was shown in both BRAF and KRAS mutants; (b) relative expression of miR-378 of CRC cells before and after miR-378 transfection in vitro. All original cell lines were normalized to RQ=1, *p<0.0001. RQ level, relative quantitative level.

Figure 3

Three selected cell lines were incubated in lauric acid for 24, 48 and 72 h to stimulate the PGC1β mRNA expression, and coexpressed miR-378. Black bars represent expression level of miR-378 in cells; white bars represent expression level of mRNA PGC-1β in cells. (a) HT29; (b) HCT116; (c) SW480.

All cells restored sensitivity to Cetuximab after elevation of the level miR-378 in cells

The cell viability was significantly decreased after treatment with Cetuximab both in miR-378 transfected mutants and lauric acid incubated cells (Figs. 4a and 5; Table I). Notably, the cell viability of miR-378 transfected KRAS mutants HCT116 and SW620, were significantly decreased after treatment with Cetuximab when compared to the cells treated with Cetuximab only (p=0.007 and 0.39, respectively); a similar response also occurred in the BRAF mutants, HT29 (p<0.0001) and WiDr (p=0.0003). Although there was no statistical significance in the HCT15 and SW480 cells, increasing cell viability should be not ignored when miR-378 transfected before treatment with Cetuximab (Fig. 4a; Table I).

Figure 4

(a) Percentage changes of cell viability after treatment with 0.6 µM Cetuximab, after transfection with miR-378, transfected miR-378 cells treated with Cetuximab with respect to the original untreated cells. All original cell lines were normalized to 100%; (b) comparison of ERK1/2 protein expression level among the groups, included control (Ctr) cells, treated with 0.6 µM Cetuximab=, incubated in 0.45 mM lauric acid, or combined Cetuximab and lauric acid. Each control group was normalized as basal line and compare to the other groups.

Figure 5

Three selected cells cultured in grading concentration of lauric acid (0-0.6 mM), and combined treated with different dosages of Cetuximab (0–0.6 µM). (a) HT29; (b) HCT116; (c) SW480. The mean values ± SD were analyzed; *p<0.05, **p<0.01.

Table I

Statistical significance of changes in cell viability was analyzed by comparison between the status of two different cells, included untreated original cells, cells treated with Cetuximab, cells transfected with miR-378, miR-378 transfected cells treated with Cetuximab.

Table I

Statistical significance of changes in cell viability was analyzed by comparison between the status of two different cells, included untreated original cells, cells treated with Cetuximab, cells transfected with miR-378, miR-378 transfected cells treated with Cetuximab.

Mutation type/cell lineTreated with CetuximabTransfected with miR-378miR-378 transfected cell treated with Cetuximab
KRAS mutation
 HCT-116
  Untreated cell0.2940.00030.0002
  Transfected with miR-3780.0001
  Treated with Cetuximab0.007
 HCT-15
  Untreated cell0.084 <0.0001 <0.0001
  Transfected with miR-378 <0.0001
  Treated with Cetuximab0.081
 SW480
  Untreated cell0.5080.0080.042
  Transfected with miR-3780.008
  Treated with Cetuximab0.160
 SW620
  Untreated cell0.010.3340.005
  Transfected with miR-3780.001
  Treated with Cetuximab0.039
BRAF mutation
 HT-29
  Untreated cell0.010.030.001
  Transfected with miR-378 <0.0001
  Treated with Cetuximab <0.0001
 WIDR
  Untreated cell0.0740.0590.025
  Transfected with miR-3780.028
  Treated with Cetuximab0.0003
Wild-type
 Caco-2
  Untreated cell0.0150.00040.0004
  Transfected with miR-3780.012
  Treated with Cetuximab <0.0001

[i] Bold numbers indicate significance with p-value ≤0.05.

MEK and ERK1/2 protein detection after increasing miR-378 expression level in cells

To investigate the MAPK pathway proteins, western blot analysis was performed. Despite KRAS protein, lower protein products of BRAF were observed in either KRAS or BRAF mutants. Similar results were found in EKR2 protein. However, lower MEK protein was observed in all mutants, except in two KRAS mutants (Fig. 6). Parallel experiments of ERK1/2 proteins were performed by ELISA for the lauric acid induced coexpressed miR-378 in three selected aggressive growth CRC cells (HT29, HCT116 and SW480). Lower protein expression of ERK1/2 were observed after CRC cells were incubated in lauric acid medium and compared to the original cells or Cetuximab-treated only cells (Fig. 4b). Apparently, decreased percentage of cell survival followed by increasing concentration of lauric acid that was absorbed by cells, and even regardless of the mutation types of the cells, all the cells incubated in 0.6 mM lauric acid growth medium presented significant sensitivity at all dosages of Cetuximab tested (p<0.001−0.005) (Fig. 5a–c).

Figure 6

Western blot analysis of the proteins correlated with MAPK pathway applied on KRAS and BRAF mutants. '−' represents the cells derived before miR-378 transfection; '+' represents the cells derived after miR-378 transfection.

Discussion

To improve the benefit to CRC patients with BRAF or KRAS mutations in target drug-Cetuximab therapy, we restored the expression level of miR-378 in BRAF or KRAS mutated CRC cells in two ways: i) directly in vitro transfected miR-378 into cells (Fig. 2b); ii) induced the transcriptional activity of PGC1-β gene to produce mRNA by incubating cells in lauric acid growth medium, and consequently indirectly stimulated coexpression of miR-378 in cells (Fig. 3). We demonstrated lower cell viabilities were strongly linked to higher expression level of miR-378 present in CRC mutated cells, and it further significantly improved the sensitivity of the mutants to Cetuximab (Fig. 4a and Table I). To uncover the possible underlying mechanism between miR-378 and Cetuximab, the association of the proteins with MAPK pathway was investigated. Generally, our findings demonstrated coincident results from parallel experiments both directly in vitro transfected miR-378 into CRC cells and indirectly induced miR-378 by lauric acid (Figs. 4b and 6). Hence, lower level products of MEK, ERK proteins and decreasing cell viability provided evidence to indicate miR-378 inhibited cell proliferations and triggered cell apoptosis (Weng et al, unpublished data), particularly in BRAF mutants (Fig. 4); the phenomena led us to evaluate and address the characteristics of miR-378 in modulating certain molecules in MAPK signaling pathway in CRCs.

The linkage of miR-378 bound MAPK signaling pathway associate with the targeting drug-Cetuximab and CRC the mutants interaction was hypothesized in the present study. Thus, we firstly confirmed the status of BRAF and KRAS mutation of all CRC cells, then tested insensitive to Cetuximab. The results showed the mutants did not respond to the drug, except wtCRC (Caco-2) (Fig. 4a). We then further observed the original basal miR-378 expression levels of all BRAF and KRAS mutants, both were significantly lower than normal control cells and wtCRC cells (Fig. 2a and Table I). A similar finding of lower expression of miR-378 in the BRAF mutated CRC cells were recently demonstrated by Wang et al (13). Our results supported by previous reports that pinpointed the expression of miR-378 in mutated CRC tumors differ from normal tissues or wtCRCs (11). Obviously, after the cells were transfected with miR-378 in vitro to mutants, all BRAF and KRAS mutated cells reversed the drug sensitivity to Cetuximab; simultaneously presented decreasing cell viabilities (p<0.028−0.0001) (Fig. 2a and Table I). Though all the cells presented significant response to Cetuximab after transfection of miR-378 into cells; only half of the KRAS mutants (HCT116 and SW620) showed 'real' significant re-sensitization to Cetuximab when compared the the cell viability of Cetuximab treated-only cells (Fig. 4a and Table I). We assumed that possible subtypes of KRAS mutant CRCs may exist with unknown molecular characteristics. This phenomenon strongly suggested miR-378 plays a crucial role in modulating mutated CRC cells to respond to Cetuximab. Apparently, stable high expression level of miR-378 is required for CRC cells response to Cetuximab, irrespective of their BRAF or KRAS status (Fig. 4a, Table I) (24).

We noted a contradictory effect on the cell survival between BRAF and KRAS mutated CRC cells after performing miR-378 transfection in vitro. The cell growth inhibition was observed in the BRAF mutants; contrarily, increasing cell growth occurred in all KRAS mutants as well as in Caco-2 (Fig. 4a). Similar findings have been discussed in the study of Mosakhani et al, indicating the roles of miR-378 may act as an effector to stimulate cell proliferation, although the reason remain still unknown (11). It is also known that miR-378 acts as a Myc target, and modulates the c-Myc/TOB2/cyclin D1 transformation signaling pathway. Later on miR-378 is involved in activating Ras and EGFR signaling transduction, and acts as a downstream effector of the oncogenic EGFR-Ras-ERK pathway (25). Once a mutation occur in one of the genes it could lead to CRC, although they are considered as independent prognostic factors (26). The contrary evidence was provided by recent finding that emphasized miR-378-5p (5-cuccugacuccagguccugugu-26, the sequence same as the present study) suppresses cell proliferation and induces apoptosis in CRCs by targeting BRAF (13), similar data from the present study also show obviously lower BRAF protein expression in the BRAF-mutated CRCs after transfection of miR-378 in vitro (Fig. 6). Therefore, it may be the reason why transfection of miR-378 into cells trigger cell proliferation in KRAS mutants, but not in BRAF mutants, i.e. due to the molecular alterations and miR-378 modulating in MAPK pathway (Fig. 4a and Table I). Indeed, increasing evidence supports that miR-378 is widely accepted as having diverse roles in carcinogenesis, and involved in the regulation of tumor either in proliferation or apoptosis; and may act as an oncogene or tumor suppressor depending on the targeting of mRNAs or tumors (27–32). Accordingly, we speculated that miR-378 may behave as an effector to manipulate several proteins that involve in the MAPK signaling pathway, and/or block the signaling transduction to preclude the possibility of promotional tumorigenesis. This phenomenon provides information suggesting clinicians may need to make the treatment distinct between BRAF-and KRAS-mutation patients due to their underlying molecular differences. Despite increased cell growth of the KRAS mutants induced by increasing miR-378 amount in cells, it was still overcome by an even higher efficiency in restoring the sensitivity to Cetuximab of miR-378 transfected KRAS mutants (Fig. 4a and Table I).

Based on above findings, we tried to find possible natural resources for clinically practical usage. The precursor of miR-378 coexpressed with PGC-1β mRNA, and was easily induced by saturated oil as previously documented (23,29). The miR-378 is located in the first intron of the PGC-1β gene, and coordinately expressed with PGC1 (24). The expression of PGC-1β is highly inducible in response to the dietary intake of saturated fats in vivo (Fig. 1) (19). Herewith, we elevated the expression level of miR-378 in CRC cells using saturated lauric fatty acid, which contains a 12-carbon atom medium chain and was selected to apply in a series of experiments. Lauric acid is a common fatty acid easily be found in milk, and much more in many vegetable fats, particularly in coconut and palm kernel oils (22). Although it is a saturated fatty acid, it was characterized as having a more favorable effect on total high-density lipoprotein (HDL) cholesterol than any other fatty acid, either saturated or unsaturated (33). Therefore, it has been generally used, and believed it could be applied in medical treatment, such as viral infections, yeast infections and anti-bacteria (34). More evidence associated to CRC was mentioned by Fauser et al, who emphasized induction of apoptosis by the lauric acid in the CRC cells were potentially resulted from oxidative stress (35). In the present study, in spite of in vitro transfected miR-378, we used lauric acid to stimulate the transcriptional activity of the PGC1-β gene and due to the strict experimental time schedule for lauric acid incubation and harvest, we therefore only selected three CRC cell lines with aggressive growth curve (HT29, HCT116 and SW480) for testing. After grading scale of lauric acid dosage supplied to cells, the elevation of the miR-378 levels in cells were followed by increase in expression of mRNA of PGC-1β; the inhibition of protein ERK1/2 was present in all cells, consequently leading to decrease of cell proliferation (Figs. 3 and 4b). Similar data supported by Fauser et al also proved successfully induced apoptosis of CRC cells by lauric acid treated in vitro (35). Our findings imply a possible strategy that should be kept in mind, the mutated CRC cells may simply apply with elevated amount of miR-378 in cells without combining with targeting drug treatment and still efficiently limited the tumor growth (Fig. 4b). Nevertheless, after the lauric acid induced either BRAF or KRAS, mutants tend to present similar results, where decreasing cell viability was followed by increasing the concentration of Cetuximab treatment (Fig. 5). Moreover, in all mutants lower ERK1/2 protein expression was observed either in lauric acid induced growth medium-only or lauric acid combined with Cetuximab treatment (Fig. 4b). These findings provide clinicians a straight, practical and not harmful usage to remedy current difficulties in applying targeted therapy in CRC patients with BRAF or KRAS mutations.

To uncover the mechanism of miR-378 activity correlated with the protein MAPK pathway. KRAS, BRAF, MEK and ERK1/2 proteins were included, and the protein quantities were measured before and after miR-378 transfection in vitro or lauric acid was induced, and then compared the cell viability between with or without Cetuximab treatment (Figs. 4b and 6). Variant levels of protein inhibition were observed in both MEK and ERK proteins when directly transfected with miR-378 in CRC cells, particularly the BRAF mutants (Fig. 6). Moreover, the consistent results of lower ERK1/2 protein expression were also demonstrated in lauric acid-induced cells either in BRAF- or KRAS-mutants (Fig. 4b).

In conclusion, the present study revealed a novel molecular mechanism that tightens the bonds between miR-378 and MAPK pathway, and the association with the efficiency of Cetuximab treatment. The fact that lauric acid induced miR-378 expression in cells affects the sensitivity of the mutated CRC cells to Cetuximab. Hence, high expression level of miR-378 may serve as a treatment modality for CRCs, particularly in BRAF mutation CRC; combination with Cetuximab may even impact the CRC patient treatments. Hopefully, our findings could provide a useful strategy to promote the use of Cetuximab on BRAF or KRAS mutated CRCs.

Acknowledgments

The authors would like to thank the grant NTUT-MMH-104-7 support, Miss Jing-Jung Chen, Mr. Yu-Wen Wu and Mr. Cheng-Chi Wang (National Taipei University of Technology, Taiwan) for their instructions of statistical analysis and excellent assistance with laboratory work.

References

1 

Lièvre A, Bachet JB, Le Corre D, Boige V, Landi B, Emile JF, Côté JF, Tomasic G, Penna C, Ducreux M, et al: KRAS mutation status is predictive of response to cetuximab therapy in colorectal cancer. Cancer Res. 66:3992–3995. 2006. View Article : Google Scholar : PubMed/NCBI

2 

Di Fiore F, Blanchard F, Charbonnier F, Le Pessot F, Lamy A, Galais MP, Bastit L, Killian A, Sesboüé R, Tuech JJ, et al: Clinical relevance of KRAS mutation detection in metastatic colorectal cancer treated by Cetuximab plus chemotherapy. Br J Cancer. 96:1166–1169. 2007. View Article : Google Scholar : PubMed/NCBI

3 

Khambata-Ford S, Garrett CR, Meropol NJ, Basik M, Harbison CT, Wu S, Wong TW, Huang X, Takimoto CH, Godwin AK, et al: Expression of epiregulin and amphiregulin and K-ras mutation status predict disease control in metastatic colorectal cancer patients treated with cetuximab. J Clin Oncol. 25:3230–3237. 2007. View Article : Google Scholar : PubMed/NCBI

4 

Amado RG, Wolf M, Peeters M, Van Cutsem E, Siena S, Freeman DJ, Juan T, Sikorski R, Suggs S, Radinsky R, et al: Wild-type KRAS is required for panitumumab efficacy in patients with metastatic colorectal cancer. J Clin Oncol. 26:1626–1634. 2008. View Article : Google Scholar : PubMed/NCBI

5 

Benvenuti S, Sartore-Bianchi A, Di Nicolantonio F, Zanon C, Moroni M, Veronese S, Siena S and Bardelli A: Oncogenic activation of the RAS/RAF signaling pathway impairs the response of metastatic colorectal cancers to anti-epidermal growth factor receptor antibody therapies. Cancer Res. 67:2643–2648. 2007. View Article : Google Scholar : PubMed/NCBI

6 

Di Nicolantonio F, Martini M, Molinari F, Sartore-Bianchi A, Arena S, Saletti P, De Dosso S, Mazzucchelli L, Frattini M, Siena S, et al: Wild-type BRAF is required for response to panitumumab or cetuximab in metastatic colorectal cancer. J Clin Oncol. 26:5705–5712. 2008. View Article : Google Scholar : PubMed/NCBI

7 

Gibbs JBSI, Sigal IS, Poe M and Scolnick EM: Intrinsic GTPase activity distinguishes normal and oncogenic ras p21 molecules. Proc Natl Acad Sci USA. 81:5704–5708. 1984. View Article : Google Scholar : PubMed/NCBI

8 

Garnett MJ and Marais R: Guilty as charged: B-RAF is a human oncogene. Cancer Cell. 6:313–319. 2004. View Article : Google Scholar : PubMed/NCBI

9 

Karapetis CS, Khambata-Ford S, Jonker DJ, O'Callaghan CJ, Tu D, Tebbutt NC, Simes RJ, Chalchal H, Shapiro JD, Robitaille S, et al: K-ras mutations and benefit from cetuximab in advanced colorectal cancer. N Engl J Med. 359:1757–1765. 2008. View Article : Google Scholar : PubMed/NCBI

10 

Zhang GJ, Zhou H, Xiao HX, Li Y and Zhou T: MiR-378 is an independent prognostic factor and inhibits cell growth and invasion in colorectal cancer. BMC Cancer. 14:109–118. 2014. View Article : Google Scholar : PubMed/NCBI

11 

Mosakhani N, Sarhadi VK, Borze I, Karjalainen-Lindsberg ML, Sundström J, Ristamäki R, Osterlund P and Knuutila S: MicroRNA profiling differentiates colorectal cancer according to KRAS status. Genes Chromosomes Cancer. 51:1–9. 2012. View Article : Google Scholar

12 

Faltejskova P, Svoboda M, Srutova K, Mlcochova J, Besse A, Nekvindova J, Radova L, Fabian P, Slaba K, Kiss I, et al: Identification and functional screening of microRNAs highly deregulated in colorectal cancer. J Cell Mol Med. 16:2655–2666. 2012. View Article : Google Scholar : PubMed/NCBI

13 

Wang Z, Ma B, Ji X, Deng Y, Zhang T, Zhang X, Gao H, Sun H, Wu H, Chen X, et al: MicroRNA-378-5p suppresses cell proliferation and induces apoptosis in colorectal cancer cells by targeting BRAF. Cancer Cell Int. 15:402015. View Article : Google Scholar : PubMed/NCBI

14 

Nagalingam RS, Sundaresan NR, Gupta MP, Geenen DL, Solaro RJ and Gupta M: A cardiac-enriched microRNA, miR-378, blocks cardiac hypertrophy by targeting Ras signaling. J Biol Chem. 288:11216–11232. 2013. View Article : Google Scholar : PubMed/NCBI

15 

Walczak R and Tontonoz P: Setting fat on fire. Nat Med. 9:1348–1349. 2003. View Article : Google Scholar : PubMed/NCBI

16 

Crunkhorn S, Dearie F, Mantzoros C, Gami H, da Silva WS, Espinoza D, Faucette R, Barry K, Bianco AC and Patti ME: Peroxisome proliferator activator receptor gamma coactivator-1 expression is reduced in obesity: Potential pathogenic role of saturated fatty acids and p38 mitogen-activated protein kinase activation. J Biol Chem. 282:15439–15450. 2007. View Article : Google Scholar : PubMed/NCBI

17 

Gerin I, Bommer GT, McCoin CS, Sousa KM, Krishnan V and MacDougald OA: Roles for miRNA-378/378* in adipocyte gene expression and lipogenesis. Am J Physiol Endocrinol Metab. 299:198–206. 2010.

18 

Carrer M, Liu N, Grueter CE, Williams AH, Frisard MI, Hulver MW, Bassel-Duby R and Olson EN: Control of mitochondrial metabolism and systemic energy homeostasis by microRNAs 378 and 378. Proc Natl Acad Sci USA. 109:15330–15335. 2012. View Article : Google Scholar

19 

Lin J, Yang R, Tarr PT, Wu PH, Handschin C, Li S, Yang W, Pei L, Uldry M, Tontonoz P, et al: Hyperlipidemic effects of dietary saturated fats mediated through PGC-1beta coactivation of SREBP. Cell. 120:261–273. 2005. View Article : Google Scholar : PubMed/NCBI

20 

Wilson PM and Lenz HJ: Integrating biomarkers into clinical decision making for colorectal cancer. Clin Colorectal Cancer. 9(Suppl 1): S16–S27. 2010. View Article : Google Scholar : PubMed/NCBI

21 

Cushman-Vokoun AM, Stover DG, Zhao Z, Koehler EA, Berlin JD and Vnencak-Jones CL: Clinical utility of KRAS and BRAF mutations in a cohort of patients with colorectal neoplasms submitted for microsatellite instability testing. Clin Colorectal Cancer. 12:168–178. 2013. View Article : Google Scholar : PubMed/NCBI

22 

Dollah S, Abdulkarim SM, Ahmad SH, Khoramnia A and Ghazali HM: Physicochemical properties and potential food applications of Moringa oleifera seed oil blended with other vegetable oils. J Oleo Sci. 63:811–822. 2014. View Article : Google Scholar : PubMed/NCBI

23 

Nelson VM and Benson AB III: Status of targeted therapies in the adjuvant treatment of colon cancer. J Gastrointest Oncol. 4:245–252. 2013.PubMed/NCBI

24 

Yu J, Kong X, Liu J, Lv Y, Sheng Y, Lv S, Di W, Wang C, Zhang F and Ding G: Expression profiling of PPARγ-regulated microRNAs in human subcutaneous and visceral adipogenesis in both genders. Endocrinology. 155:2155–2165. 2014. View Article : Google Scholar : PubMed/NCBI

25 

Feng M, Li Z, Aau M, Wong CH, Yang X and Yu Q: Myc/miR-378/TOB2/cyclin D1 functional module regulates oncogenic transformation. Oncogene. 30:2242–2251. 2011. View Article : Google Scholar : PubMed/NCBI

26 

Kruszewski W, Kowara R, Rzepko R, Warezak C, Zieliński J, Gryglewski G, Kopacz A, Jastrzebski T and Pawełczyk T: K-RAS point mutation, and amplification of C-MYC and C-ERBB2 in colon adenocarcinoma. Folia Histochem Cytobiol. 42:173–179. 2004.PubMed/NCBI

27 

Chen LT, Xu SD, Xu H, Zhang JF, Ning JF and Wang SF: MicroRNA-378 is associated with non-small cell lung cancer brain metastasis by promoting cell migration, invasion and tumor angiogenesis. Med Oncol. 29:1673–1680. 2012. View Article : Google Scholar

28 

Deng H, Guo Y, Song H, Xiao B, Sun W, Liu Z, Yu X, Xia T, Cui L and Guo J: MicroRNA-195 and microRNA-378 mediate tumor growth suppression by epigenetical regulation in gastric cancer. Gene. 518:351–359. 2013. View Article : Google Scholar : PubMed/NCBI

29 

Eichner LJ, Perry MC, Dufour CR, Bertos N, Park M, St-Pierre J and Giguère V: miR-378* mediates metabolic shift in breast cancer cells via the PGC-1β/ERRγ transcriptional pathway. Cell Metab. 12:352–361. 2010. View Article : Google Scholar : PubMed/NCBI

30 

Lee DY, Deng Z, Wang CH and Yang BB: MicroRNA-378 promotes cell survival, tumor growth, and angiogenesis by targeting SuFu and Fus-1 expression. Proc Natl Acad Sci USA. 104:20350–20355. 2007. View Article : Google Scholar : PubMed/NCBI

31 

Li LH, Gao Q, Wang XY and Guo ZJ: miR-378 suppresses HBV-related hepatocellular carcinoma tumor growth by directly targeting the insulin-like growth factor 1 receptor. Zhonghua Gan Zang Bing Za Zhi. 21:609–613. 2013.In Chinese. PubMed/NCBI

32 

Scapoli L, Palmieri A, Lo Muzio L, Pezzetti F, Rubini C, Girardi A, Farinella F, Mazzotta M and Carinci F: MicroRNA expression profiling of oral carcinoma identifies new markers of tumor progression. Int J Immunopathol Pharmacol. 23:1229–1234. 2010.

33 

Mensink RP, Zock PL, Kester AD and Katan MB: Effects of dietary fatty acids and carbohydrates on the ratio of serum total to HDL cholesterol and on serum lipids and apolipoproteins: A meta-analysis of 60 controlled trials. Am J Clin Nutr. 77:1146–1155. 2003.PubMed/NCBI

34 

Zhao L, Hu Y, Xu D and Cai K: Surface functionalization of titanium substrates with chitosan-lauric acid conjugate to enhance osteoblasts functions and inhibit bacteria adhesion. Colloids Surf B Biointerfaces. 119:115–125. 2014. View Article : Google Scholar : PubMed/NCBI

35 

Fauser JK, Matthews GM, Cummins AG and Howarth GS: Induction of apoptosis by the medium-chain length fatty acid lauric acid in colon cancer cells due to induction of oxidative stress. Chemotherapy. 59:214–224. 2013. View Article : Google Scholar : PubMed/NCBI

Related Articles

  • Abstract
  • View
  • Download
  • Twitter
Copy and paste a formatted citation
Spandidos Publications style
Weng W, Leung W, Pang Y and Hsu H: Lauric acid can improve the sensitization of Cetuximab in KRAS/BRAF mutated colorectal cancer cells by retrievable microRNA-378 expression. Oncol Rep 35: 107-116, 2016.
APA
Weng, W., Leung, W., Pang, Y., & Hsu, H. (2016). Lauric acid can improve the sensitization of Cetuximab in KRAS/BRAF mutated colorectal cancer cells by retrievable microRNA-378 expression. Oncology Reports, 35, 107-116. https://doi.org/10.3892/or.2015.4336
MLA
Weng, W., Leung, W., Pang, Y., Hsu, H."Lauric acid can improve the sensitization of Cetuximab in KRAS/BRAF mutated colorectal cancer cells by retrievable microRNA-378 expression". Oncology Reports 35.1 (2016): 107-116.
Chicago
Weng, W., Leung, W., Pang, Y., Hsu, H."Lauric acid can improve the sensitization of Cetuximab in KRAS/BRAF mutated colorectal cancer cells by retrievable microRNA-378 expression". Oncology Reports 35, no. 1 (2016): 107-116. https://doi.org/10.3892/or.2015.4336
Copy and paste a formatted citation
x
Spandidos Publications style
Weng W, Leung W, Pang Y and Hsu H: Lauric acid can improve the sensitization of Cetuximab in KRAS/BRAF mutated colorectal cancer cells by retrievable microRNA-378 expression. Oncol Rep 35: 107-116, 2016.
APA
Weng, W., Leung, W., Pang, Y., & Hsu, H. (2016). Lauric acid can improve the sensitization of Cetuximab in KRAS/BRAF mutated colorectal cancer cells by retrievable microRNA-378 expression. Oncology Reports, 35, 107-116. https://doi.org/10.3892/or.2015.4336
MLA
Weng, W., Leung, W., Pang, Y., Hsu, H."Lauric acid can improve the sensitization of Cetuximab in KRAS/BRAF mutated colorectal cancer cells by retrievable microRNA-378 expression". Oncology Reports 35.1 (2016): 107-116.
Chicago
Weng, W., Leung, W., Pang, Y., Hsu, H."Lauric acid can improve the sensitization of Cetuximab in KRAS/BRAF mutated colorectal cancer cells by retrievable microRNA-378 expression". Oncology Reports 35, no. 1 (2016): 107-116. https://doi.org/10.3892/or.2015.4336
Follow us
  • Twitter
  • LinkedIn
  • Facebook
About
  • Spandidos Publications
  • Careers
  • Cookie Policy
  • Privacy Policy
How can we help?
  • Help
  • Live Chat
  • Contact
  • Email to our Support Team