Spandidos Publications Logo
  • About
    • About Spandidos
    • Aims and Scopes
    • Abstracting and Indexing
    • Editorial Policies
    • Reprints and Permissions
    • Job Opportunities
    • Terms and Conditions
    • Contact
  • Journals
    • All Journals
    • Oncology Letters
      • Oncology Letters
      • Information for Authors
      • Editorial Policies
      • Editorial Board
      • Aims and Scope
      • Abstracting and Indexing
      • Bibliographic Information
      • Archive
    • International Journal of Oncology
      • International Journal of Oncology
      • Information for Authors
      • Editorial Policies
      • Editorial Board
      • Aims and Scope
      • Abstracting and Indexing
      • Bibliographic Information
      • Archive
    • Molecular and Clinical Oncology
      • Molecular and Clinical Oncology
      • Information for Authors
      • Editorial Policies
      • Editorial Board
      • Aims and Scope
      • Abstracting and Indexing
      • Bibliographic Information
      • Archive
    • Experimental and Therapeutic Medicine
      • Experimental and Therapeutic Medicine
      • Information for Authors
      • Editorial Policies
      • Editorial Board
      • Aims and Scope
      • Abstracting and Indexing
      • Bibliographic Information
      • Archive
    • International Journal of Molecular Medicine
      • International Journal of Molecular Medicine
      • Information for Authors
      • Editorial Policies
      • Editorial Board
      • Aims and Scope
      • Abstracting and Indexing
      • Bibliographic Information
      • Archive
    • Biomedical Reports
      • Biomedical Reports
      • Information for Authors
      • Editorial Policies
      • Editorial Board
      • Aims and Scope
      • Abstracting and Indexing
      • Bibliographic Information
      • Archive
    • Oncology Reports
      • Oncology Reports
      • Information for Authors
      • Editorial Policies
      • Editorial Board
      • Aims and Scope
      • Abstracting and Indexing
      • Bibliographic Information
      • Archive
    • Molecular Medicine Reports
      • Molecular Medicine Reports
      • Information for Authors
      • Editorial Policies
      • Editorial Board
      • Aims and Scope
      • Abstracting and Indexing
      • Bibliographic Information
      • Archive
    • World Academy of Sciences Journal
      • World Academy of Sciences Journal
      • Information for Authors
      • Editorial Policies
      • Editorial Board
      • Aims and Scope
      • Abstracting and Indexing
      • Bibliographic Information
      • Archive
    • International Journal of Functional Nutrition
      • International Journal of Functional Nutrition
      • Information for Authors
      • Editorial Policies
      • Editorial Board
      • Aims and Scope
      • Abstracting and Indexing
      • Bibliographic Information
      • Archive
    • International Journal of Epigenetics
      • International Journal of Epigenetics
      • Information for Authors
      • Editorial Policies
      • Editorial Board
      • Aims and Scope
      • Abstracting and Indexing
      • Bibliographic Information
      • Archive
    • Medicine International
      • Medicine International
      • Information for Authors
      • Editorial Policies
      • Editorial Board
      • Aims and Scope
      • Abstracting and Indexing
      • Bibliographic Information
      • Archive
  • Articles
  • Information
    • Information for Authors
    • Information for Reviewers
    • Information for Librarians
    • Information for Advertisers
    • Conferences
  • Language Editing
Spandidos Publications Logo
  • About
    • About Spandidos
    • Aims and Scopes
    • Abstracting and Indexing
    • Editorial Policies
    • Reprints and Permissions
    • Job Opportunities
    • Terms and Conditions
    • Contact
  • Journals
    • All Journals
    • Biomedical Reports
      • Information for Authors
      • Editorial Policies
      • Editorial Board
      • Aims and Scope
      • Abstracting and Indexing
      • Bibliographic Information
      • Archive
    • Experimental and Therapeutic Medicine
      • Information for Authors
      • Editorial Policies
      • Editorial Board
      • Aims and Scope
      • Abstracting and Indexing
      • Bibliographic Information
      • Archive
    • International Journal of Epigenetics
      • Information for Authors
      • Editorial Policies
      • Editorial Board
      • Aims and Scope
      • Abstracting and Indexing
      • Bibliographic Information
      • Archive
    • International Journal of Functional Nutrition
      • Information for Authors
      • Editorial Policies
      • Editorial Board
      • Aims and Scope
      • Abstracting and Indexing
      • Bibliographic Information
      • Archive
    • International Journal of Molecular Medicine
      • Information for Authors
      • Editorial Policies
      • Editorial Board
      • Aims and Scope
      • Abstracting and Indexing
      • Bibliographic Information
      • Archive
    • International Journal of Oncology
      • Information for Authors
      • Editorial Policies
      • Editorial Board
      • Aims and Scope
      • Abstracting and Indexing
      • Bibliographic Information
      • Archive
    • Medicine International
      • Information for Authors
      • Editorial Policies
      • Editorial Board
      • Aims and Scope
      • Abstracting and Indexing
      • Bibliographic Information
      • Archive
    • Molecular and Clinical Oncology
      • Information for Authors
      • Editorial Policies
      • Editorial Board
      • Aims and Scope
      • Abstracting and Indexing
      • Bibliographic Information
      • Archive
    • Molecular Medicine Reports
      • Information for Authors
      • Editorial Policies
      • Editorial Board
      • Aims and Scope
      • Abstracting and Indexing
      • Bibliographic Information
      • Archive
    • Oncology Letters
      • Information for Authors
      • Editorial Policies
      • Editorial Board
      • Aims and Scope
      • Abstracting and Indexing
      • Bibliographic Information
      • Archive
    • Oncology Reports
      • Information for Authors
      • Editorial Policies
      • Editorial Board
      • Aims and Scope
      • Abstracting and Indexing
      • Bibliographic Information
      • Archive
    • World Academy of Sciences Journal
      • Information for Authors
      • Editorial Policies
      • Editorial Board
      • Aims and Scope
      • Abstracting and Indexing
      • Bibliographic Information
      • Archive
  • Articles
  • Information
    • For Authors
    • For Reviewers
    • For Librarians
    • For Advertisers
    • Conferences
  • Language Editing
Login Register Submit
  • This site uses cookies
  • You can change your cookie settings at any time by following the instructions in our Cookie Policy. To find out more, you may read our Privacy Policy.

    I agree
Search articles by DOI, keyword, author or affiliation
Search
Advanced Search
presentation
Oncology Reports
Join Editorial Board Propose a Special Issue
Print ISSN: 1021-335X Online ISSN: 1791-2431
Journal Cover
October-2017 Volume 38 Issue 4

Full Size Image

Sign up for eToc alerts
Recommend to Library

Journals

International Journal of Molecular Medicine

International Journal of Molecular Medicine

International Journal of Molecular Medicine is an international journal devoted to molecular mechanisms of human disease.

International Journal of Oncology

International Journal of Oncology

International Journal of Oncology is an international journal devoted to oncology research and cancer treatment.

Molecular Medicine Reports

Molecular Medicine Reports

Covers molecular medicine topics such as pharmacology, pathology, genetics, neuroscience, infectious diseases, molecular cardiology, and molecular surgery.

Oncology Reports

Oncology Reports

Oncology Reports is an international journal devoted to fundamental and applied research in Oncology.

Experimental and Therapeutic Medicine

Experimental and Therapeutic Medicine

Experimental and Therapeutic Medicine is an international journal devoted to laboratory and clinical medicine.

Oncology Letters

Oncology Letters

Oncology Letters is an international journal devoted to Experimental and Clinical Oncology.

Biomedical Reports

Biomedical Reports

Explores a wide range of biological and medical fields, including pharmacology, genetics, microbiology, neuroscience, and molecular cardiology.

Molecular and Clinical Oncology

Molecular and Clinical Oncology

International journal addressing all aspects of oncology research, from tumorigenesis and oncogenes to chemotherapy and metastasis.

World Academy of Sciences Journal

World Academy of Sciences Journal

Multidisciplinary open-access journal spanning biochemistry, genetics, neuroscience, environmental health, and synthetic biology.

International Journal of Functional Nutrition

International Journal of Functional Nutrition

Open-access journal combining biochemistry, pharmacology, immunology, and genetics to advance health through functional nutrition.

International Journal of Epigenetics

International Journal of Epigenetics

Publishes open-access research on using epigenetics to advance understanding and treatment of human disease.

Medicine International

Medicine International

An International Open Access Journal Devoted to General Medicine.

Journal Cover
October-2017 Volume 38 Issue 4

Full Size Image

Sign up for eToc alerts
Recommend to Library

  • Article
  • Citations
    • Cite This Article
    • Download Citation
    • Create Citation Alert
    • Remove Citation Alert
    • Cited By
  • Similar Articles
    • Related Articles (in Spandidos Publications)
    • Similar Articles (Google Scholar)
    • Similar Articles (PubMed)
  • Download PDF
  • Download XML
  • View XML
Article

Smad4 re-expression increases the sensitivity to parthenolide in colorectal cancer

  • Authors:
    • Xuemei Li
    • Huike Yang
    • Jia Ke
    • Baoquan Liu
    • Xiaohong Lv
    • Xinlei Li
    • Yafang Zhang
  • View Affiliations / Copyright

    Affiliations: Department of Anatomy, Harbin Medical University, Harbin, Heilongjiang 150086, P.R. China
  • Pages: 2317-2324
    |
    Published online on: August 29, 2017
       https://doi.org/10.3892/or.2017.5929
  • Expand metrics +
Metrics: Total Views: 0 (Spandidos Publications: | PMC Statistics: )
Metrics: Total PDF Downloads: 0 (Spandidos Publications: | PMC Statistics: )
Cited By (CrossRef): 0 citations Loading Articles...

This article is mentioned in:



Abstract

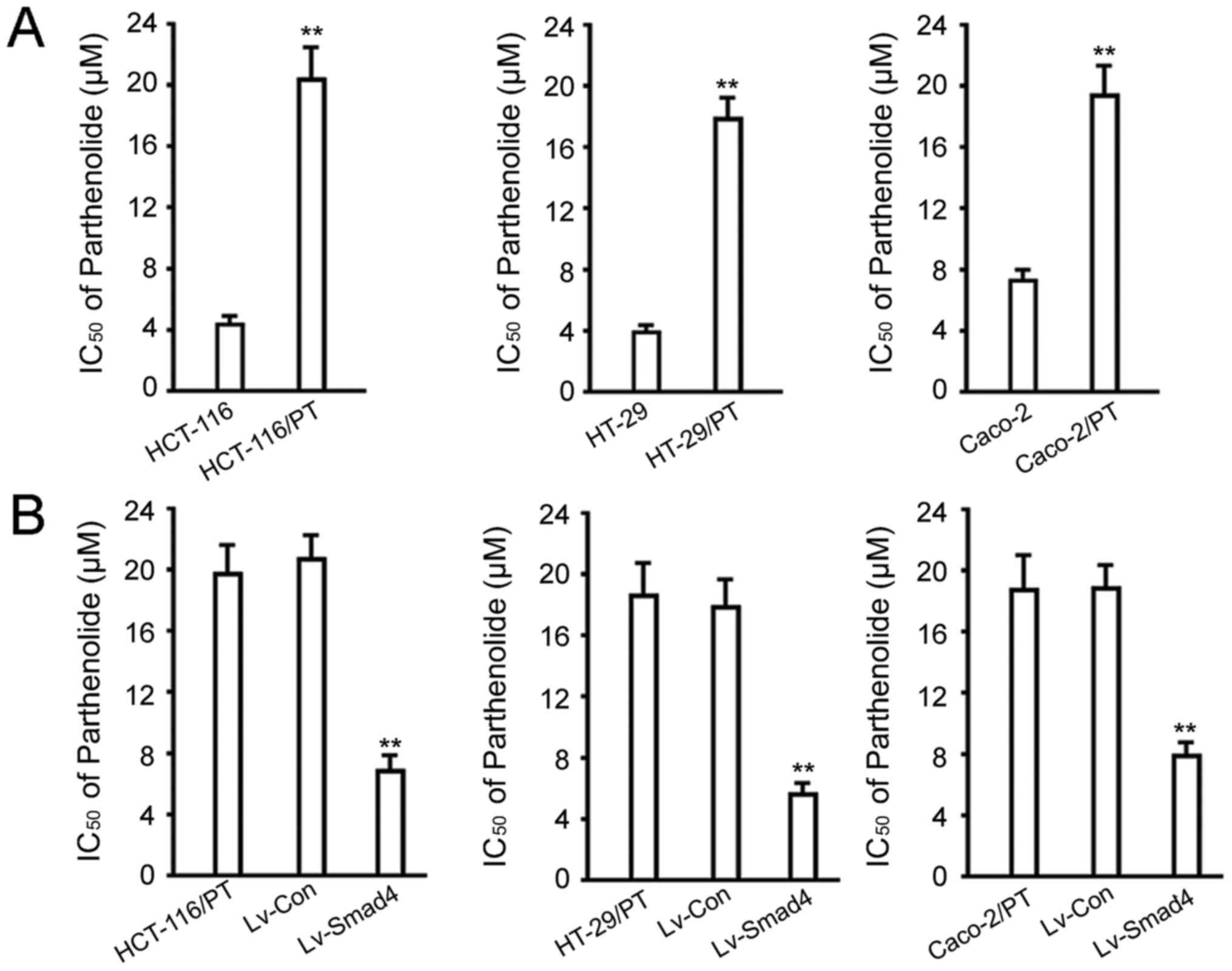
Parthenolide (PT), a sesquiterpene lactone extracted from the plant feverfew, has been demonstrated to have anti-inflammatory and anticancer properties. Although PT has been revealed to markedly inhibit colorectal cancer cell proliferation, the inhibitory effects decrease with administration time. These findings revealed that colorectal cancer cells develop resistance to PT. However, the underlying mechanism is unclear. In the present study we observed significantly low expression of Smad4 in 3 PT-resistant cell lines (HCT‑116/PT, HT-29/PT and Caco-2/PT), which were obtained using in vitro concentration gradient-increased induction, but not in their parental cells. In the present study we used the lentiviral‑mediated transfection method to upregulate Smad4 in resistant colorectal cancer cell lines. Flow cytometry assay was used to assess cell apoptosis. Cell migration was detected using a QCM™ 24-well Fluorimetric Cell Migration Assay kit. Our study showed that Smad4 overexpression notably decreased the half maximal inhibitory concentration (IC50) values for PT in the 3 PT-resistant cell lines, and improved the inhibitory effects of PT on cell migration and enhanced apoptosis in vitro as well as suppressed xenografted tumors in a PT-resistant colorectal cancer mouse model. Further study by western blotting into the underlying mechanism demonstrated that Smad4 overexpression suppressed the expression of MDR1 in the resistant cells, and resulted in the accumulation of PT, which in turn promoted the expession of caspase-3 and Bax and inhibited the expression of Bcl-2 and the phosphorylation of NF-κB p65. In short, Smad4 re-expression may be crucial for enhancing the sensitivity and reversing the resistance to PT in PT-resistant colorectal cancer cells.
View Figures

Figure 1

Figure 2

Figure 3

Figure 4

Figure 5

View References

1 

Sun J, Zhang C, Bao YL, Wu Y, Chen ZL, Yu CL, Huang YX, Sun Y, Zheng LH, Wang X, et al: Parthenolide-induced apoptosis, autophagy and suppression of proliferation in HepG2 cells. Asian Pac J Cancer Prev. 15:4897–4902. 2014. View Article : Google Scholar : PubMed/NCBI

2 

Carlisi D, D'Anneo A, Martinez R, Emanuele S, Buttitta G, Di Fiore R, Vento R, Tesoriere G and Lauricella M: The oxygen radicals involved in the toxicity induced by parthenolide in MDA-MB-231 cells. Oncol Rep. 32:167–172. 2014. View Article : Google Scholar : PubMed/NCBI

3 

Al-Fatlawi AA, Al-Fatlawi AA, Irshad M, Rahisuddin and Ahmad A: Effect of parthenolide on growth and apoptosis regulatory genes of human cancer cell lines. Pharm Biol. 53:104–109. 2015. View Article : Google Scholar : PubMed/NCBI

4 

Lu C, Wang W, Jia Y, Liu X, Tong Z and Li B: Inhibition of AMPK/autophagy potentiates parthenolide-induced apoptosis in human breast cancer cells. J Cell Biochem. 115:1458–1466. 2014. View Article : Google Scholar : PubMed/NCBI

5 

Yu HJ, Jung JY, Jeong JH, Cho SD and Lee JS: Induction of apoptosis by parthenolide in human oral cancer cell lines and tumor xenografts. Oral Oncol. 51:602–609. 2015. View Article : Google Scholar : PubMed/NCBI

6 

Ding Z, Wu CJ, Chu GC, Xiao Y, Ho D, Zhang J, Perry SR, Labrot ES, Wu X, Lis R, et al: SMAD4-dependent barrier constrains prostate cancer growth and metastatic progression. Nature. 470:269–273. 2011. View Article : Google Scholar : PubMed/NCBI

7 

Chen C, Sun MZ, Liu S, Yeh D, Yu L, Song Y, Gong L, Hao L, Hu J and Shao S: Smad4 mediates malignant behaviors of human ovarian carcinoma cell through the effect on expressions of E-cadherin, plasminogen activator inhibitor-1 and VEGF. BMB Rep. 43:554–560. 2010. View Article : Google Scholar : PubMed/NCBI

8 

Inamoto S, Itatani Y, Yamamoto T, Minamiguchi S, Hirai H, Iwamoto M, Hasegawa S, Taketo MM, Sakai Y and Kawada K: Loss of SMAD4 promotes colorectal cancer progression by accumulation of myeloid-derived suppressor cells through the CCL15-CCR1 chemokine axis. Clin Cancer Res. 22:492–501. 2016. View Article : Google Scholar : PubMed/NCBI

9 

Nikolic A, Ristanovic M, Zivaljevic V, Rankov AD, Radojkovic D and Paunovic I: SMAD4 gene promoter mutations in patients with thyroid tumors. Exp Mol Pathol. 99:100–103. 2015. View Article : Google Scholar : PubMed/NCBI

10 

Boulay JL, Mild G, Lowy A, Reuter J, Lagrange M, Terracciano L, Laffer U, Herrmann R and Rochlitz C: SMAD4 is a predictive marker for 5-fluorouracil-based chemotherapy in patients with colorectal cancer. Br J Cancer. 87:630–634. 2002. View Article : Google Scholar : PubMed/NCBI

11 

Papageorgis P, Cheng K, Ozturk S, Gong Y, Lambert AW, Abdolmaleky HM, Zhou JR and Thiagalingam S: Smad4 inactivation promotes malignancy and drug resistance of colon cancer. Cancer Res. 71:998–1008. 2011. View Article : Google Scholar : PubMed/NCBI

12 

Kim SL, Liu YC, Seo SY, Kim SH, Kim IH, Lee SO, Lee ST, Kim DG and Kim SW: Parthenolide induces apoptosis in colitis-associated colon cancer, inhibiting NF-κB signaling. Oncol Lett. 9:2135–2142. 2015.PubMed/NCBI

13 

Zhao X, Liu X and Su L: Parthenolide induces apoptosis via TNFRSF10B and PMAIP1 pathways in human lung cancer cells. J Exp Clin Cancer Res. 33:32014. View Article : Google Scholar : PubMed/NCBI

14 

Ghantous A, Saikali M, Rau T, Gali-Muhtasib H, Schneider-Stock R and Darwiche N: Inhibition of tumor promotion by parthenolide: Epigenetic modulation of p21. Cancer Prev Res. 5:1298–1309. 2012. View Article : Google Scholar

15 

Li CJ, Guo SF and Shi TM: Culture supernatants of breast cancer cell line MDA-MB-231 treated with parthenolide inhibit the proliferation, migration, and lumen formation capacity of human umbilical vein endothelial cells. Chin Med J. 125:2195–2199. 2012.PubMed/NCBI

16 

Sohma I, Fujiwara Y, Sugita Y, Yoshioka A, Shirakawa M, Moon JH, Takiguchi S, Miyata H, Yamasaki M, Mori M, et al: Parthenolide, an NF-κB inhibitor, suppresses tumor growth and enhances response to chemotherapy in gastric cancer. Cancer Genomics Proteomics. 8:39–47. 2011.PubMed/NCBI

17 

Xin Y, Yin F, Qi S, Shen L, Xu Y, Luo L, Lan L and Yin Z: Parthenolide reverses doxorubicin resistance in human lung carcinoma A549 cells by attenuating NF-κB activation and HSP70 up-regulation. Toxicol Lett. 221:73–82. 2013. View Article : Google Scholar : PubMed/NCBI

18 

Liu D, Liu Y, Liu M, Ran L and Li Y: Reversing resistance of multidrug-resistant hepatic carcinoma cells with parthenolide. Future Oncol. 9:595–604. 2013. View Article : Google Scholar : PubMed/NCBI

19 

Ramachandra M, Atencio I, Rahman A, Vaillancourt M, Zou A, Avanzini J, Wills K, Bookstein R and Shabram P: Restoration of transforming growth factor Beta signaling by functional expression of smad4 induces anoikis. Cancer Res. 62:6045–6051. 2002.PubMed/NCBI

20 

Li X, Liu B, Xiao J, Yuan Y, Ma J and Zhang Y: Roles of VEGF-C and Smad4 in the lymphangiogenesis, lymphatic metastasis, and prognosis in colon cancer. J Gastrointest Surg. 15:2001–2010. 2011. View Article : Google Scholar : PubMed/NCBI

21 

Bierie B and Moses HL: Tumour microenvironment: TGFbeta: the molecular Jekyll and Hyde of cancer. Nat Rev Cancer. 6:506–520. 2006. View Article : Google Scholar : PubMed/NCBI

22 

Kozak MM, von Eyben R, Pai J, Vossler SR, Limaye M, Jayachandran P, Anderson EM, Shaffer JL, Longacre T, Pai RK, et al: Smad4 inactivation predicts for worse prognosis and response to fluorouracil-based treatment in colorectal cancer. J Clin Pathol. 68:341–345. 2015. View Article : Google Scholar : PubMed/NCBI

23 

Alhopuro P, Alazzouzi H, Sammalkorpi H, Dávalos V, Salovaara R, Hemminki A, Järvinen H, Mecklin JP, Schwartz S Jr, Aaltonen LA, et al: SMAD4 levels and response to 5-fluorouracil in colorectal cancer. Clin Cancer Res. 11:6311–6316. 2005. View Article : Google Scholar : PubMed/NCBI

24 

Zhang B, Leng C, Wu C, Zhang Z, Dou L, Luo X, Zhang B and Chen X: Smad4 sensitizes colorectal cancer to 5-fluorouracil through cell cycle arrest by inhibiting the PI3K/Akt/CDC2/survivin cascade. Oncol Rep. 35:1807–1815. 2016. View Article : Google Scholar : PubMed/NCBI

25 

Yu SL, Lee DC, Son JW, Park CG, Lee HY and Kang J: Histone deacetylase 4 mediates SMAD family member 4 deacetylation and induces 5-fluorouracil resistance in breast cancer cells. Oncol Rep. 30:1293–1300. 2013. View Article : Google Scholar : PubMed/NCBI

26 

Abdallah HM, Al-Abd AM, El-Dine RS and El-Halawany AM: P-glycoprotein inhibitors of natural origin as potential tumor chemo-sensitizers: A review. J Adv Res. 6:45–62. 2015. View Article : Google Scholar : PubMed/NCBI

Related Articles

  • Abstract
  • View
  • Download
  • Twitter
Copy and paste a formatted citation
Spandidos Publications style
Li X, Yang H, Ke J, Liu B, Lv X, Li X and Zhang Y: Smad4 re-expression increases the sensitivity to parthenolide in colorectal cancer. Oncol Rep 38: 2317-2324, 2017.
APA
Li, X., Yang, H., Ke, J., Liu, B., Lv, X., Li, X., & Zhang, Y. (2017). Smad4 re-expression increases the sensitivity to parthenolide in colorectal cancer. Oncology Reports, 38, 2317-2324. https://doi.org/10.3892/or.2017.5929
MLA
Li, X., Yang, H., Ke, J., Liu, B., Lv, X., Li, X., Zhang, Y."Smad4 re-expression increases the sensitivity to parthenolide in colorectal cancer". Oncology Reports 38.4 (2017): 2317-2324.
Chicago
Li, X., Yang, H., Ke, J., Liu, B., Lv, X., Li, X., Zhang, Y."Smad4 re-expression increases the sensitivity to parthenolide in colorectal cancer". Oncology Reports 38, no. 4 (2017): 2317-2324. https://doi.org/10.3892/or.2017.5929
Copy and paste a formatted citation
x
Spandidos Publications style
Li X, Yang H, Ke J, Liu B, Lv X, Li X and Zhang Y: Smad4 re-expression increases the sensitivity to parthenolide in colorectal cancer. Oncol Rep 38: 2317-2324, 2017.
APA
Li, X., Yang, H., Ke, J., Liu, B., Lv, X., Li, X., & Zhang, Y. (2017). Smad4 re-expression increases the sensitivity to parthenolide in colorectal cancer. Oncology Reports, 38, 2317-2324. https://doi.org/10.3892/or.2017.5929
MLA
Li, X., Yang, H., Ke, J., Liu, B., Lv, X., Li, X., Zhang, Y."Smad4 re-expression increases the sensitivity to parthenolide in colorectal cancer". Oncology Reports 38.4 (2017): 2317-2324.
Chicago
Li, X., Yang, H., Ke, J., Liu, B., Lv, X., Li, X., Zhang, Y."Smad4 re-expression increases the sensitivity to parthenolide in colorectal cancer". Oncology Reports 38, no. 4 (2017): 2317-2324. https://doi.org/10.3892/or.2017.5929
Follow us
  • Twitter
  • LinkedIn
  • Facebook
About
  • Spandidos Publications
  • Careers
  • Cookie Policy
  • Privacy Policy
How can we help?
  • Help
  • Live Chat
  • Contact
  • Email to our Support Team