Spandidos Publications Logo
  • About
    • About Spandidos
    • Aims and Scopes
    • Abstracting and Indexing
    • Editorial Policies
    • Reprints and Permissions
    • Job Opportunities
    • Terms and Conditions
    • Contact
  • Journals
    • All Journals
    • Oncology Letters
      • Oncology Letters
      • Information for Authors
      • Editorial Policies
      • Editorial Board
      • Aims and Scope
      • Abstracting and Indexing
      • Bibliographic Information
      • Archive
    • International Journal of Oncology
      • International Journal of Oncology
      • Information for Authors
      • Editorial Policies
      • Editorial Board
      • Aims and Scope
      • Abstracting and Indexing
      • Bibliographic Information
      • Archive
    • Molecular and Clinical Oncology
      • Molecular and Clinical Oncology
      • Information for Authors
      • Editorial Policies
      • Editorial Board
      • Aims and Scope
      • Abstracting and Indexing
      • Bibliographic Information
      • Archive
    • Experimental and Therapeutic Medicine
      • Experimental and Therapeutic Medicine
      • Information for Authors
      • Editorial Policies
      • Editorial Board
      • Aims and Scope
      • Abstracting and Indexing
      • Bibliographic Information
      • Archive
    • International Journal of Molecular Medicine
      • International Journal of Molecular Medicine
      • Information for Authors
      • Editorial Policies
      • Editorial Board
      • Aims and Scope
      • Abstracting and Indexing
      • Bibliographic Information
      • Archive
    • Biomedical Reports
      • Biomedical Reports
      • Information for Authors
      • Editorial Policies
      • Editorial Board
      • Aims and Scope
      • Abstracting and Indexing
      • Bibliographic Information
      • Archive
    • Oncology Reports
      • Oncology Reports
      • Information for Authors
      • Editorial Policies
      • Editorial Board
      • Aims and Scope
      • Abstracting and Indexing
      • Bibliographic Information
      • Archive
    • Molecular Medicine Reports
      • Molecular Medicine Reports
      • Information for Authors
      • Editorial Policies
      • Editorial Board
      • Aims and Scope
      • Abstracting and Indexing
      • Bibliographic Information
      • Archive
    • World Academy of Sciences Journal
      • World Academy of Sciences Journal
      • Information for Authors
      • Editorial Policies
      • Editorial Board
      • Aims and Scope
      • Abstracting and Indexing
      • Bibliographic Information
      • Archive
    • International Journal of Functional Nutrition
      • International Journal of Functional Nutrition
      • Information for Authors
      • Editorial Policies
      • Editorial Board
      • Aims and Scope
      • Abstracting and Indexing
      • Bibliographic Information
      • Archive
    • International Journal of Epigenetics
      • International Journal of Epigenetics
      • Information for Authors
      • Editorial Policies
      • Editorial Board
      • Aims and Scope
      • Abstracting and Indexing
      • Bibliographic Information
      • Archive
    • Medicine International
      • Medicine International
      • Information for Authors
      • Editorial Policies
      • Editorial Board
      • Aims and Scope
      • Abstracting and Indexing
      • Bibliographic Information
      • Archive
  • Articles
  • Information
    • Information for Authors
    • Information for Reviewers
    • Information for Librarians
    • Information for Advertisers
    • Conferences
  • Language Editing
Spandidos Publications Logo
  • About
    • About Spandidos
    • Aims and Scopes
    • Abstracting and Indexing
    • Editorial Policies
    • Reprints and Permissions
    • Job Opportunities
    • Terms and Conditions
    • Contact
  • Journals
    • All Journals
    • Biomedical Reports
      • Information for Authors
      • Editorial Policies
      • Editorial Board
      • Aims and Scope
      • Abstracting and Indexing
      • Bibliographic Information
      • Archive
    • Experimental and Therapeutic Medicine
      • Information for Authors
      • Editorial Policies
      • Editorial Board
      • Aims and Scope
      • Abstracting and Indexing
      • Bibliographic Information
      • Archive
    • International Journal of Epigenetics
      • Information for Authors
      • Editorial Policies
      • Editorial Board
      • Aims and Scope
      • Abstracting and Indexing
      • Bibliographic Information
      • Archive
    • International Journal of Functional Nutrition
      • Information for Authors
      • Editorial Policies
      • Editorial Board
      • Aims and Scope
      • Abstracting and Indexing
      • Bibliographic Information
      • Archive
    • International Journal of Molecular Medicine
      • Information for Authors
      • Editorial Policies
      • Editorial Board
      • Aims and Scope
      • Abstracting and Indexing
      • Bibliographic Information
      • Archive
    • International Journal of Oncology
      • Information for Authors
      • Editorial Policies
      • Editorial Board
      • Aims and Scope
      • Abstracting and Indexing
      • Bibliographic Information
      • Archive
    • Medicine International
      • Information for Authors
      • Editorial Policies
      • Editorial Board
      • Aims and Scope
      • Abstracting and Indexing
      • Bibliographic Information
      • Archive
    • Molecular and Clinical Oncology
      • Information for Authors
      • Editorial Policies
      • Editorial Board
      • Aims and Scope
      • Abstracting and Indexing
      • Bibliographic Information
      • Archive
    • Molecular Medicine Reports
      • Information for Authors
      • Editorial Policies
      • Editorial Board
      • Aims and Scope
      • Abstracting and Indexing
      • Bibliographic Information
      • Archive
    • Oncology Letters
      • Information for Authors
      • Editorial Policies
      • Editorial Board
      • Aims and Scope
      • Abstracting and Indexing
      • Bibliographic Information
      • Archive
    • Oncology Reports
      • Information for Authors
      • Editorial Policies
      • Editorial Board
      • Aims and Scope
      • Abstracting and Indexing
      • Bibliographic Information
      • Archive
    • World Academy of Sciences Journal
      • Information for Authors
      • Editorial Policies
      • Editorial Board
      • Aims and Scope
      • Abstracting and Indexing
      • Bibliographic Information
      • Archive
  • Articles
  • Information
    • For Authors
    • For Reviewers
    • For Librarians
    • For Advertisers
    • Conferences
  • Language Editing
Login Register Submit
  • This site uses cookies
  • You can change your cookie settings at any time by following the instructions in our Cookie Policy. To find out more, you may read our Privacy Policy.

    I agree
Search articles by DOI, keyword, author or affiliation
Search
Advanced Search
presentation
Oncology Reports
Join Editorial Board Propose a Special Issue
Print ISSN: 1021-335X Online ISSN: 1791-2431
Journal Cover
March-2018 Volume 39 Issue 3

Full Size Image

Sign up for eToc alerts
Recommend to Library

Journals

International Journal of Molecular Medicine

International Journal of Molecular Medicine

International Journal of Molecular Medicine is an international journal devoted to molecular mechanisms of human disease.

International Journal of Oncology

International Journal of Oncology

International Journal of Oncology is an international journal devoted to oncology research and cancer treatment.

Molecular Medicine Reports

Molecular Medicine Reports

Covers molecular medicine topics such as pharmacology, pathology, genetics, neuroscience, infectious diseases, molecular cardiology, and molecular surgery.

Oncology Reports

Oncology Reports

Oncology Reports is an international journal devoted to fundamental and applied research in Oncology.

Experimental and Therapeutic Medicine

Experimental and Therapeutic Medicine

Experimental and Therapeutic Medicine is an international journal devoted to laboratory and clinical medicine.

Oncology Letters

Oncology Letters

Oncology Letters is an international journal devoted to Experimental and Clinical Oncology.

Biomedical Reports

Biomedical Reports

Explores a wide range of biological and medical fields, including pharmacology, genetics, microbiology, neuroscience, and molecular cardiology.

Molecular and Clinical Oncology

Molecular and Clinical Oncology

International journal addressing all aspects of oncology research, from tumorigenesis and oncogenes to chemotherapy and metastasis.

World Academy of Sciences Journal

World Academy of Sciences Journal

Multidisciplinary open-access journal spanning biochemistry, genetics, neuroscience, environmental health, and synthetic biology.

International Journal of Functional Nutrition

International Journal of Functional Nutrition

Open-access journal combining biochemistry, pharmacology, immunology, and genetics to advance health through functional nutrition.

International Journal of Epigenetics

International Journal of Epigenetics

Publishes open-access research on using epigenetics to advance understanding and treatment of human disease.

Medicine International

Medicine International

An International Open Access Journal Devoted to General Medicine.

Journal Cover
March-2018 Volume 39 Issue 3

Full Size Image

Sign up for eToc alerts
Recommend to Library

  • Article
  • Citations
    • Cite This Article
    • Download Citation
    • Create Citation Alert
    • Remove Citation Alert
    • Cited By
  • Similar Articles
    • Related Articles (in Spandidos Publications)
    • Similar Articles (Google Scholar)
    • Similar Articles (PubMed)
  • Download PDF
  • Download XML
  • View XML
Article

Immune response-associated gene profiling in Japanese melanoma patients using multi-omics analysis

  • Authors:
    • Yasuto Akiyama
    • Yoshio Kiyohara
    • Shusuke Yoshikawa
    • Masaki Otsuka
    • Ryota Kondou
    • Chizu Nonomura
    • Haruo Miyata
    • Akira Iizuka
    • Tadashi Ashizawa
    • Keiichi Ohshima
    • Kenichi Urakami
    • Takeshi Nagashima
    • Masatoshi Kusuhara
    • Takashi Sugino
    • Ken Yamaguchi
  • View Affiliations / Copyright

    Affiliations: Division of Immunotherapy, Shizuoka Cancer Center Research Institute, Shizuoka 411-8777, Japan, Division of Dermatology, Shizuoka Cancer Center Hospital, Shizuoka 411-8777, Japan, Division of Medical Genetics, Shizuoka Cancer Center Research Institute, Shizuoka 411-8777, Japan, Division of Cancer Diagnostics Research, Shizuoka Cancer Center Research Institute, Shizuoka 411-8777, Japan, SRL Inc., Tokyo 191-0002, Japan, Division of Regional Resources, Shizuoka Cancer Center Research Institute, Shizuoka 411-8777, Japan, Division of Pathology, Shizuoka Cancer Center Hospital, Shizuoka 411-8777, Japan, Office of the President, Shizuoka Cancer Center Hospital, Shizuoka 411-8777, Japan
  • Pages: 1125-1131
    |
    Published online on: December 21, 2017
       https://doi.org/10.3892/or.2017.6173
  • Expand metrics +
Metrics: Total Views: 0 (Spandidos Publications: | PMC Statistics: )
Metrics: Total PDF Downloads: 0 (Spandidos Publications: | PMC Statistics: )
Cited By (CrossRef): 0 citations Loading Articles...

This article is mentioned in:



Abstract

Project High-tech Omics-based Patient Evaluation (HOPE), including comprehensive whole-exome sequencing (WES) and gene expression profiling (GEP) using freshly resected tumor specimens, has been in progress since its implementation in 2014. Among a total of 1,685 cancer patients, 13 melanoma patients were registered in the HOPE Project and were characterized using multi-omics analyses. Among the 13 melanoma patients, 4 were deceased, and 9 were alive. The mean overall survival (OS) and relapse‑free survival (RFS) times of the melanoma patients were 16.9 and 14.7 months, respectively. Previously, we developed an immune response‑associated gene list, which consisted of 164 genes in Project HOPE, for evaluating the immunological status. In the present study, the association of immune response‑associated gene expression with immunological parameters, such as programmed death-ligand 1 (PD-L1) and CD8 expression levels, single nucleotide variant (SNV) number, and Vogelstein driver gene mutation number, was investigated. With respect to PD-L1 expression, both immuno-suppression and immuno-stimulation-related genes were upregulated in PD-L1-positive melanomas. In contrast, regarding Vogelstein driver mutations, several T-cell activation-related genes were significantly downregulated in the high driver gene mutation group. In addition, many T-cell activation-related genes were upregulated in the CD8-positive melanomas. The correlation of immune response-associated gene expression with the survival time of the melanoma patients was investigated. Eight specific genes were commonly identified as genes that were significantly correlated for both the overall OS and RFS time, which could be possible prognostic factors for melanoma patients. These results revealed that an immune response-associated gene panel could be an informative tool for evaluating the immunological status prior to clinical immunotherapy in the upcoming era of genomic cancer medicine.

Introduction

Programmed death-ligand 1 (PD-L1) and PD-1 expression is variably regulated in immune cells and tumor cells to maintain immunological tolerance, which controls the occurrence of an autoimmune reaction against self-antigens (1,2). PD-L1-expressing antigen-presenting cells, such as monocytes, macrophages, dendritic and tumor cells regulate excess immune reactions and inhibit activated T-cell function (3,4). Meanwhile, PD-1, the receptor for PD-L1, is expressed on activated T, B and NK cells in the tumor microenvironment. Anti-PD-1 blockade therapy promotes exhaustive marker-positive T-cell expansion and survival (5), resulting in an antitumor response in vivo.

Since the recent success of immune checkpoint antibodies, such as ipilimumab and nivolumab, as reported for metastatic melanoma patients, many ongoing clinical trials have been underway to evaluate their efficacy in various solid cancers other than melanomas (6–8). Despite these promising results, the response rate associated with the single antibody treatment is ~20–40% while 60–70% of cancer patients belong to the non-responding group. Furthermore, it is still difficult to accurately predict the responders to antibody therapy based on the current preclinical studies (9,10).

In the present study, we used a previously reported immune response-associated gene panel consisting of 164 genes (56 antigen-presenting cells and T-cell-associated genes, 34 cytokine- and metabolism-associated genes, 47 TNF and TNF receptor superfamily genes and 27 regulatory T-cell-associated genes) (11). The present study investigated the association of the gene panel expression with immunological and clinical parameters, such as i) PD-L1 expression; ii) a high mutation load [single nucleotide variant (SNV) number]; iii) a driver gene mutation; iv) CD8 expression; and v) survival time, using the genomic data from 13 melanoma patients in the Project High-tech Omics-based Patient Evaluation (HOPE). Since 2014, 1,685 cancer patients have been enrolled in Project HOPE in which the simultaneous analyses of whole-exome sequencing (WES) and gene expression profiling (GEP) have been performed (12,13). We aimed to evaluate the immunological status in the tumor tissues using next-generation sequencing and to better obtain a prediction of the responders to immune checkpoint antibody treatment through suitable biomarker detection.

Materials and methods

Patient registration

Project HOPE uses comprehensive whole-exome sequencing and gene expression profiling of various tumor tissues and is conducted in accordance with the ‘Ethical Guidelines for Human Genome and Genetic Analysis Research’ in Japan. Informed consent was obtained from all the patients participating in Project HOPE, and the study was approved by the Institutional Review Board of Shizuoka Cancer Center (SCC), Japan. Tumor tissues, along with the surrounding normal tissues, were dissected from surgical specimens by trained pathologists. A total of 1,685 cancer patients were registered in Project HOPE from 2014 to 2015. Characteristics of the 13 melanoma patients listed are shown in Table I.

Table I.

Melanoma patient list registered in Project HOPE.

Table I.

Melanoma patient list registered in Project HOPE.

CaseAgeSexStatusRelapse-free survival (M)Overall survival (M)PD-L1bSNV no. (exon)Vogelstein mutation no.CD8b
MEL-001a69FAlive192812712122
MEL-00279FDead––28403
MEL-00341FAlive242401502
MEL-00450MAlive222213514
MEL-00560MAlive222203101
MEL-00631FAlive191904532
MEL-00788FDead  4  8173783
MEL-00878MAlive191908814
MEL-00981MAlive171703001
MEL-01085MDead  516129731
MEL-01158FAlive1214011410
MEL-01282FDead  3  406923
MEL-01358MAlive101003902

a Metastatic lesion of the rib was used for analysis.

b Immunohistochemical stain. HOPE, High-tech Omics-based Patient Evaluation; SNV, single nucleotide variant; F, female; M, male.

Comprehensive gene expression analysis using DNA microarray

Total RNA was extracted from ~10 mg of tissue samples using the miRNeasy Mini kit (Qiagen, Hilden, Germany) according to the manufacturer's instructions. The method of performing the DNA microarray analysis was previously described (13,14). Briefly, the ratio of the expression intensity between the tumor tissue (T) and the surrounding normal tissue (N) was calculated from the normalized values. The expression values for all probes were log (base 2) transformed before performing the statistical analysis.

Whole-exome sequencing (WES) analysis of the melanoma tissues using next-generation sequencing

WES analysis including mapping, variant calling and identification of somatic mutation were performed using the Ion Proton system with the Ion AmpliSeq™ Exome kit, Torrent Suite Software and Ion Reporter™ Server system (Thermo Fisher Scientific, Waltham, MA USA) as previously reported (12). Briefly, all the variants called by the variant caller were available. However, the data presented in SCC represent those variants considered to be of good quality, based on the filtering in which the sequences were discarded with a quality <30, variant allele frequency <10% or depth of coverage <20. Those mutations that were identified in tumor samples and not observed in matched normal samples were extracted as somatic mutations. Single-nucleotide variants (SNVs) of the total exonic mutations for each sequenced tumor included non-synonymous, synonymous, and indels/frameshift mutations. In the present study we focused on somatic SNVs. Additionally, Vogelstein driver gene mutation (15) profiling was investigated.

Immunohistochemistry

For the immune checkpoint protein staining, the anti-PD-L1 antibody (rabbit monoclonal, cat. 13684; 1:200 dilution) was purchased (Cell Signaling, Danvers, MA, USA). For the tumor-infiltrating lymphocyte (TIL) staining, anti-CD4 (mouse monoclonal, cat. MS-1528-S; 1:20 dilution) and anti-CD8 (mouse monoclonal, cat. MS-457-S; 1:50 dilution) antibodies (Thermo Fisher Scientific) were purchased and were used for the immunohistochemistry analysis. In each section stained with the various antibodies, 10 high-magnification (×200) fields were analyzed using WinROOF image-analyzing software (Mitani Corporation, Tokyo, Japan). The PD-L1 staining was evaluated as the percentage of tumor cells exhibiting positive membranous staining as follows: score 0, <1%; score 1, 1–5%; score 2, >5-50%; and score 3, >50% (16). The TIL level was assessed by a semi-quantitative estimation of the density of the CD8+ T cells inside the tumor site as follows: score 0, no or sporadic CD8+ T cells; score 1, moderate number of CD8+ T cells; score 2, abundant number of CD8+ T cells; and score 3, highly abundant number of CD8+ T cells (17). The score that was most frequent in entire sections was assigned.

Statistical analysis

The differentially expressed genes derived from the 164 immune response-associated gene panels between the immunological parameter-positive and parameter-negative groups were identified using the volcano plot method. Each microarray probe was considered significantly differentially expressed between two groups of samples if they satisfied the following criteria: i) corrected t-test P-value <0.05; ii) a Benjamini-Hochberg false discovery rate (FDR) <0.1; and iii) a fold change >2.0 or below 1/2. Correlations between the immune response-associated gene expression and the clinicopathological features, including the survival data, were analyzed using an unpaired two-tailed t-test or a Spearman coefficiency test. Values of P<0.05 were considered significant. The relapse-free survival (RFS) was calculated from the date of the diagnosis until the date of distant relapse. The overall survival (OS) was calculated from the date of the diagnosis to the date of death from cancer. Follow-up was assessed from the date of the diagnosis to the last contact date with the event-free patients.

Results

PD-L1 and CD8 expression, Vogelstein driver genes mutations, and SNV number in melanoma tumors

PD-L1 expression was evaluated according to the criteria of the staining score, such that the scores of 1 and 2 were positive and a score of 0 was negative. Five cases were positive and 8 were negative for PD-L1 expression. According to the Vogelstein driver mutation number, the WES analysis revealed that 5 cases had ≥2 mutations, and 8 had <2 mutations. For the SNV number, 4 cases had ≥100 SNVs and 9 had <100. The CD8 expression level was high in 5 (scores 3 and 4) and low in 8 cases (scores 0–2) based on the IHC scoring denotations (Table I).

Association of the immune response-associated gene expression with immunological parameters using a volcano plot

We previously established an immune response-associated gene panel, consisting of 164 genes (11). The association of the immune response-associated gene expression obtained by the GEP data from Project HOPE with PD-L1 expression, SNV number, Vogelstein driver gene mutation number and CD8 expression was investigated using a volcano plot analysis.

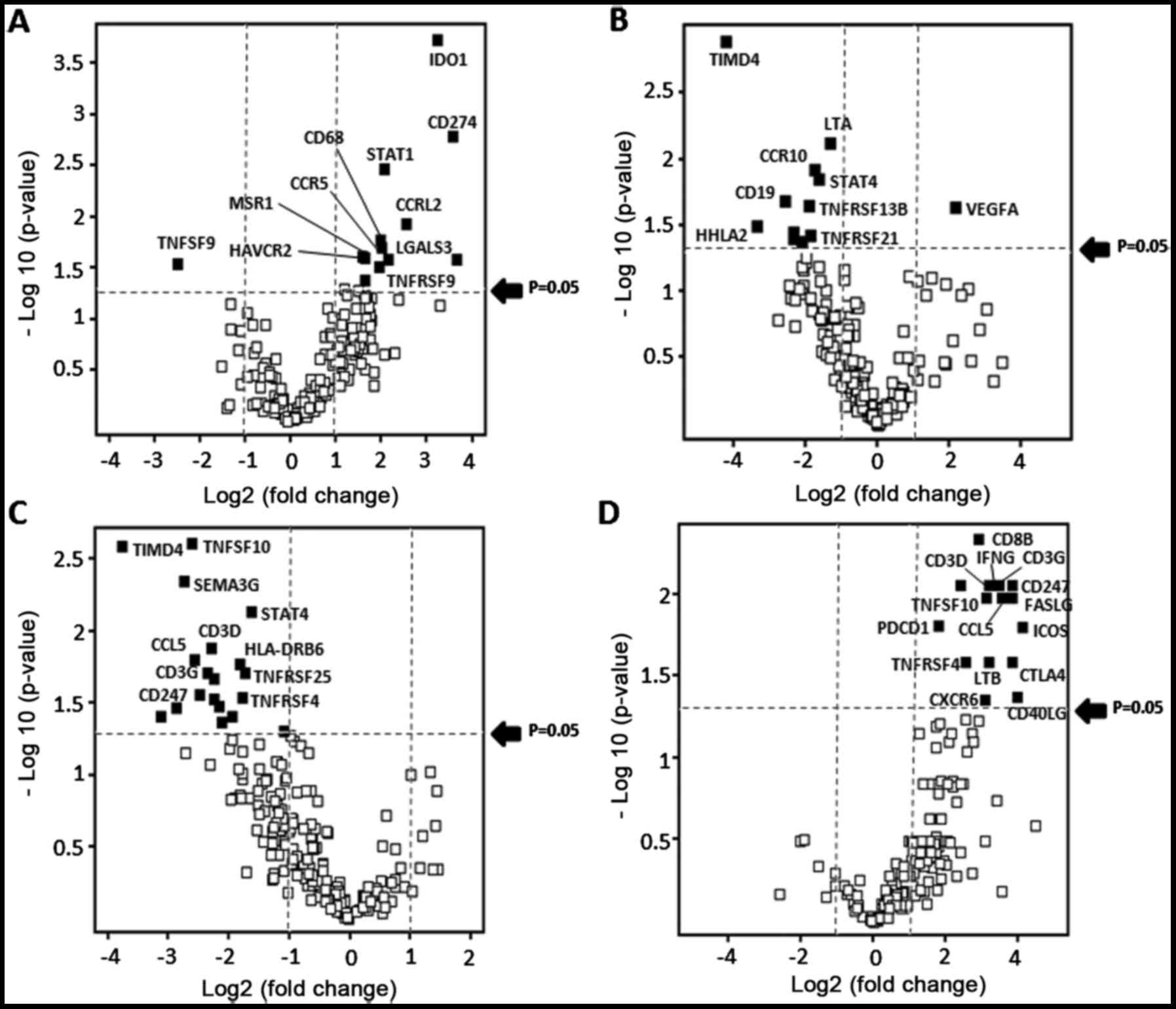
With regard to the PD-L1 expression, 12 immune response-associated genes were identified as upregulated genes in the PD-L1-positive melanomas, in which 6 genes were involved in T-cell suppression and 6 were related to T-cell activation (Fig. 1A and Table II). In addition, the VEGF gene alone was identified as an upregulated gene in high SNV number with >100 melanomas (Fig. 1B). Regarding the Vogelstein driver mutation number, in contrast, 18 immune response-associated genes were downregulated in the Vogelstein mutation high-number group. Notably, 9 genes involved in T-cell activation, such as CD3 (D, G and Z), CD40LG, STAT4, CCL5, TNFRSF4, TNFSF8 and TNFSF14, were identified (Fig. 1C and Table III). Notably, 14 immune response-associated genes were identified as upregulated genes in the TIL marker CD8-high melanomas, which were mostly correlated to T-cell activation favoring a Th1 response leading to tumor killing by CTLs (Fig. 1D).

Figure 1.

The association of the expression of the immune response-associated genes with PD-L1 expression, SNV number, Vogelstein driver gene mutation number and CD8 expression. The GEP data of a panel of 164 immune response-associated genes from 13 melanoma tumors were analyzed in terms of the association with various parameters using a volcano plot method. (A) PD-L1 expression. Five positive (IHC score ≥1) and 8 negative (IHC score 0) cases. (B) SNV number. Four positive (SNV no. ≥100) and 9 negative (SNV no. <100) cases. (C) Vogelstein mutation number. Five positive (mutation no. ≥2) and 8 negative (mutation no. <2) cases. (D) CD8 expression. Five positive (IHC score 3–4) and 8 negative (IHC score 0–2) cases. The horizontal dashed line represented a P-value of 0.05. The vertical dashed lines revealed 2- and 0.5-fold changes in gene expression. The closed squares represented differentially altered genes in expression, with more than a 2-fold difference. PD-L1, programmed death-ligand 1; SNV, single nucleotide variant; GEP, gene expression profiling; IHC, immunohistochemistry.

Table II.

Upregulated gene list in PD-L1-positive melanomas.

Table II.

Upregulated gene list in PD-L1-positive melanomas.

Probe nameGene symbolFCLog FCRegulationP-value
A_23_P412321CCR53.9481.981Up 1.99×10−2
A_23_P69310CCRL25.7532.524Up 1.16×10−2
A_23_P338479CD27411.8253.564Up 1.60×10−3
A_23_P15394CD683.9301.975Up 1.68×10−2
A_24_P411561HAVCR22.9531.562Up 2.43×10−2
A_32_P351968HLA-DMB3.0571.612Up 4.15×10−2
A_23_P112026IDO19.2843.215Up 1.80×10−4
A_23_P128919LGALS34.4022.138Up 2.58×10−2
A_24_P372223MSR13.0881.627Up 2.53×10−2
A_24_P274270STAT14.1262.045Up 3.31×10−3
A_23_P49338TNFRSF12A12.5123.645Up 2.56×10−2
A_23_P51936TNFRSF93.8081.929Up 3.06×10−2
A_33_P3397763TNFSF9−5.673−2.504Down 2.84×10−2

[i] PD-L1, programmed death-ligand 1; FC, fold change.

Table III.

Downregulated gene list in driver mutation high melanomas.

Table III.

Downregulated gene list in driver mutation high melanomas.

Probe nameGene symbolFCRegulationP-value
A_24_P63380BMPR1B−4.37088Down 4.24×10−2
A_33_P3358923BTLA−4.76685Down 2.12×10−2
A_23_P152838CCL5−5.93301Down 1.55×10−2
A_23_P34676CD247 (CD3ζ)−5.64369Down 2.71×10−2
A_33_P3375541CD3D−4.90473Down 1.29×10−2
A_23_P98410CD3G−5.11053Down 1.91×10−2
A_33_P3250680CD40LG−7.29745Down 3.38×10−2
A_33_P3218980ENTPD1−3.87063Down 3.87×10−2
A_24_P169013HLA-DRB6−3.53737Down 1.66×10−2
A_33_P3248265LTB−4.80739Down 2.93×10−2
A_23_P6818SEMA3G−6.73986Down 4.43×10−3
A_23_P68031STAT4−3.11526Down 7.24×10−3
A_23_P7503TIMD4−13.6631Down 2.52×10−3
A_33_P3234530TNFRSF25−3.34808Down 1.91×10−2
A_33_P3286157TNFRSF4−3.47391Down 2.84×10−2
A_23_P121253TNFSF10−4.52915Down 3.28×10−2
A_21_P0000113TNFSF10−6.11132Down 2.40×10−3
A_24_P237036TNFSF14−8.744Down 3.86×10−2
A_23_P169257TNFSF8−2.1605Down 4.88×10−2

[i] Bold indicates activated T-cell-associated genes. FC, fold change.

Correlation of the immune response-associated gene expression with the survival time of the melanoma patients

The correlation of the expression of 164 immune response-associated genes with the overall and relapse-free survival time was investigated using a Spearman's rank-order correlation. Fourteen genes and 17 genes were significantly correlated with the overall and relapse-free survival time, respectively (Table IV). Eight genes, including CD27, CXCR6, IL17RB, PDCD1, TNFRSF11A, ADAM12, EDA2R and TREM1, were commonly identified in both the overall and relapse-free survival time groups, and 5 were positively correlated and 3 were negatively correlated.

Table IV.

Correlation of immune response-associated genes with survival time.

Table IV.

Correlation of immune response-associated genes with survival time.

Overall survival

Gene namer-valueP-value
CCR60.68290.0295
CD270.75610.0114
CDH30.77440.0085
CXCR60.75610.0114
IL17RB0.66460.0036
PDCD10.65250.0409
TNFRSF11A0.91470.0002
ADAM12−0.87210.0011
EDA2R−0.85980.0014
GREB1−0.70730.0221
IL6−0.68290.0295
STAT5A−0.76220.0014
TDO2−0.63420.0489
TREM1−0.70120.0239

Relapse-free survival

Gene namer-valueP-value

BTLA0.70780.0221
B7H50.65850.0384
B7H70.76320.0102
CD270.84930.0019
CD3E0.68930.0274
CD8B0.78160.0076
CXCR60.85550.0016
FASLG0.64010.0462
IL17RB0.75710.0112
LAG30.74470.0135
PDCD10.79360.0061
TIMD40.75090.0123
TNFRSF11A0.77550.0084
TNFRSF210.66470.0362
ADAM12−0.73850.0147
EDA2R−0.70160.0237
TREM1−0.65240.0409

[i] Bold indicates common genes in both overall and relapse-free survival.

Discussion

In the present study, we used a previously reported immune response-associated gene panel that consisted of 164 genes (11), and investigated the association of the expression of the gene panel with immunological and clinical parameters, such as: i) PD-L1 expression; ii) a high mutation load [single nucleotide variant (SNV) number]; iii) driver gene mutation; iv) CD8 expression; and v) survival time, using the genomic data from 13 melanoma patients registered in Project HOPE.

With advances in cancer genomic sequencing, specific gene signatures involved in the therapeutic response and prognosis have been reported, and their accuracy and efficiency have been investigated in various types of cancer, such as breast, stomach, non-small cell lung cancers and melanomas (18,19). However, few studies focusing on immune-related gene panels or signature identifications have been reported since the development of cancer genomic technologies such as next-generation sequencing. The identification of cancer-specific T-cell receptor (TCR) sequences has been attempted in immunological routine analyses (20), but not much success has been obtained. Small scale genetic studies focusing on renal cell cancer or polypoid precancerous colorectal lesions revealed that tumor-associated macrophage markers or TIL markers were involved in the prognosis or the progression of precancerous to cancerous lesions (21,22). However, Lee et al (23) obtained biopsy tissues from 55 triple-negative breast cancer patients treated with combined chemotherapy, and evaluated immune responses using the NanoString nCounter GX human immunology panel (579 immune-related genes), which demonstrated that a higher expression of cytotoxic molecules, TCR signaling pathway molecules, Th1 cytokines and B cell markers were associated with a pathological complete response (CR).

First, the association of the immune response-associated gene panel expression with the expression level of PD-L1 was investigated in the present study. Twelve immune response-associated genes were identified as upregulated in the PD-L1-positive melanomas; 6 of these genes were involved in T-cell suppression and 6 were related to T-cell activation. In particular, the 6 T-cell stimulation-related genes were: CCRL2 (attraction of TILs) (24); CD68 (M1 macrophage activation); CCR5 (T-cell migration); HLA-DMB (increase of CD8+ TIL and IFN-γ level, and improvement of survival) (25); STAT1 (IFN-γ signal activation in T cells) (26) and TNFRSF9 (T-cell activation) (27). However, the others were T-cell inhibition-related genes, including; CD274 (PD-L1), IDO-1, HAVCR2 (TIM-3), LGALS3 (galectin-3), MSR1 and TNFRSF12A. Taube et al (28) reported similar results using a volcano plot of 11 melanoma patients, which demonstrated 12 upregulated genes in PD-L1-positive melanomas including 4 immuno-regulatory genes, such as CD274, PDCD1 (PD-1), LAG3 and IL-10. The upregulated gene profile in the PD-L1-positive melanomas in our study was similar to their analysis.

Second, the association of the immune response-associated gene panel expression with Vogelstein driver mutation number was investigated. Eighteen immune response-associated genes were downregulated in the Vogelstein mutation high-number (>2) group. Notably, 9 genes involved in T-cell activation, including CD3 (D, G and Z), CD40LG, STAT4, CCL5, TNFRSF4, TNFSF8 and TNFSF14, were identified. Among these, TNFRSF4 (OX40), TNFSF8 (CD30-L) and TNFSE14 (HVEM-L) are TNF ligand superfamily members and trigger T-cell stimulating signals by binding to their specific receptors. A constitutive signal activation, such as MAPK, STAT3, NF-κB, and β-catenin, in cancer cells induces an immunosuppressive effect that is mediated by the TGF-β, IL-6, IL-10 and VEGF produced by the cancer cells, resulting in regulatory T-cell and myeloid derived suppressor cell (MDSC) induction (29). Specifically, an STK11 mutation and RAS/MAPK activation were linked to CD3 gene downregulation or a TIL reduction in the tumor (30,31) Additionally, Frederick et al (32) demonstrated that a BRAF inhibition was associated with an upregulation of melanoma antigen expression and a favorable tumor microenvironment through the reduction of immunosuppressive cytokines, such as IL-6 and IL-8. In the present study, an extensive immunosuppressive effect on the T-cell activation signal was ascertained, but the upregulation of melanoma antigens was not significant because of the small number of cases in the evaluation.

Third, the correlation of the expression of 164 immune response-associated genes with the overall and relapse-free survival time was investigated using a Spearman's rank-order correlation. Eventually, 8 genes, such as CD27, CXCR6, IL17RB, PDCD1, TNFRSF11A, ADAM12, EDA2R and TREM1, were commonly identified in both the overall and relapse-free survival time groups, of which 5 were positively correlated and 3 were negatively correlated. Briefly, the survival-correlated gene profiling was as follows: CD27 (expressed on CD8+ TIL was associated with a good prognosis) (33); CXCR6 (the CXCR6/CXCL16 axis in the tumor was associated with a TIL increase and a good prognosis) (34); IL17RB (a higher HOXB13-to-IL17RB ratio was linked to a worse outcome) (35); TNFRSF11A (RANK upregulation may be linked to mammary tumorigenesis in BRCA1-mutant carriers) (36); ADAM12 [an aggressive ovarian cancer marker was associated with a TGF-β-induced epithelial to mesenchymal transition (EMT)] (37); EDA2R (highly expressed in ovarian cancer and was associated with a poor prognosis); and TREM1 (induced a proinflammatory and protumor microenvironment and was associated with a poor prognosis) (38). Based on these observations, the protein expression of the 8 markers, using previously resected melanoma tissues, warrants future investigation, and the specific association of the protein expression with the survival data based on a Kaplan-Meier analysis should be precisely performed.

Finally, in the present study, we investigated the association of the expression of the immune response-associated gene panel with various parameters, mainly PD-L1 and CD8 expression, driver gene mutation and survival time, and several gene signatures involved in patient prognosis were identified. These results revealed that cancer genomic data may be associated with specific immunological gene signatures closely linked to the immunological status in the tumor microenvironment, which could contribute to the development of specific cancer immunotherapies for tailored medicine called precision immunotherapy (39).

Acknowledgements

The authors thank the staff at the Shizuoka Cancer Center Hospital for the clinical support and sample preparation.

Glossary

Abbreviations

Abbreviations:

WES

whole-exome sequencing

GEP

gene expression profiling

PD-1

programmed death-1

PD-L1

programmed death-ligand 1

NGS

next-generation sequencing

SNV

single nucleotide variant

TIL

tumor-infiltrating lymphocyte

OS

overall survival

RFS

relapse-free survival

References

1 

Zhang B, Chikuma S, Hori S, Fagarasan S and Honjo T: Nonoverlapping roles of PD-1 and FoxP3 in maintaining immune tolerance in a novel autoimmune pancreatitis mouse model. Proc Natl Acad Sci USA. 113:pp. 8490–8495. 2016; View Article : Google Scholar : PubMed/NCBI

2 

Wang J, Okazaki IM, Yoshida T, Chikuma S, Kato Y, Nakaki F, Hiai H, Honjo T and Okazaki T: PD-1 deficiency results in the development of fatal myocarditis in MRL mice. Int Immunol. 22:443–452. 2010. View Article : Google Scholar : PubMed/NCBI

3 

Heeren AM, Koster BD, Samuels S, Ferns DM, Chondronasiou D, Kenter GG, Jordanova ES and de Gruijl TD: High and interrelated rates of PD-L1+CD14+ antigen-presenting cells and regulatory T cells mark the microenvironment of metastatic lymph nodes from patients with cervical cancer. Cancer Immunol Res. 3:48–58. 2015. View Article : Google Scholar : PubMed/NCBI

4 

Yaguchi T and Kawakami Y: Cancer-induced heterogeneous immunosuppressive tumor microenvironments and their personalized modulation. Int Immunol. 28:393–399. 2016. View Article : Google Scholar : PubMed/NCBI

5 

Fourcade J, Sun Z, Pagliano O, Chauvin JM, Sander C, Janjic B, Tarhini AA, Tawbi HA, Kirkwood JM, Moschos S, et al: PD-1 and Tim-3 regulate the expansion of tumor antigen-specific CD8+ T cells induced by melanoma vaccines. Cancer Res. 74:1045–1055. 2014. View Article : Google Scholar : PubMed/NCBI

6 

Topalian SL, Hodi FS, Brahmer JR, Gettinger SN, Smith DC, McDermott DF, Powderly JD, Carvajal RD, Sosman JA, Atkins MB, et al: Safety, activity, and immune correlates of anti-PD-1 antibody in cancer. N Engl J Med. 366:2443–2454. 2012. View Article : Google Scholar : PubMed/NCBI

7 

Weber JS, O'Day S, Urba W, Powderly J, Nichol G, Yellin M, Snively J and Hersh E: Phase I/II study of ipilimumab for patients with metastatic melanoma. J Clin Oncol. 26:5950–5956. 2008. View Article : Google Scholar : PubMed/NCBI

8 

Wolchok JD, Kluger H, Callahan MK, Postow MA, Rizvi NA, Lesokhin AM, Segal NH, Ariyan CE, Gordon RA, Reed K, et al: Nivolumab plus ipilimumab in advanced melanoma. N Engl J Med. 369:122–133. 2013. View Article : Google Scholar : PubMed/NCBI

9 

Okazaki T, Chikuma S, Iwai Y, Fagarasan S and Honjo T: A rheostat for immune responses: The unique properties of PD-1 and their advantages for clinical application. Nat Immunol. 14:1212–1218. 2013. View Article : Google Scholar : PubMed/NCBI

10 

Weber JS, D'Angelo SP, Minor D, Hodi FS, Gutzmer R, Neyns B, Hoeller C, Khushalani NI, Miller WH Jr, Lao CD, et al: Nivolumab versus chemotherapy in patients with advanced melanoma who progressed after anti-CTLA-4 treatment (CheckMate 037): A randomised, controlled, open-label, phase 3 trial. Lancet Oncol. 16:375–384. 2015. View Article : Google Scholar : PubMed/NCBI

11 

Akiyama Y, Kondou R, Iizuka A, Ohshima K, Urakami K, Nagashima T, Shimoda Y, Tanabe T, Ohnami S, Ohnami S, et al: Immune response-associated gene analysis of 1,000 cancer patients using whole-exome sequencing and gene expression profiling-Project HOPE. Biomed Res. 37:233–242. 2016. View Article : Google Scholar : PubMed/NCBI

12 

Urakami K, Shimoda Y, Ohshima K, Nagashima T, Serizawa M, Tanabe T, Saito J, Usui T, Watanabe Y, Naruoka A, et al: Next generation sequencing approach for detecting 491 fusion genes from human cancer. Biomed Res. 37:51–62. 2016. View Article : Google Scholar : PubMed/NCBI

13 

Yamaguchi K, Urakami K, Ohshima K, Mochizuki T, Akiyama Y, Uesaka K, Nakajima T, Takahashi M, Tamai S and Kusuhara M: Implementation of individualized medicine for cancer patients by multiomics-based analyses-the Project HOPE-. Biomed Res. 35:407–412. 2014. View Article : Google Scholar : PubMed/NCBI

14 

Ohshima K, Hatakeyama K, Nagashima T, Watanabe Y, Kanto K, Doi Y, Ide T, Shimoda Y, Tanabe T, Ohnami S, et al: Integrated analysis of gene expression and copy number identified potential cancer driver genes with amplification-dependent overexpression in 1,454 solid tumors. Sci Rep. 7:6412017. View Article : Google Scholar : PubMed/NCBI

15 

Vogelstein B, Papadopoulos N, Velculescu VE, Zhou S, Diaz LA Jr and Kinzler KW: Cancer genome landscapes. Science. 339:1546–1558. 2013. View Article : Google Scholar : PubMed/NCBI

16 

Garon EB, Rizvi NA, Hui R, Leighl N, Balmanoukian AS, Eder JP, Patnaik A, Aggarwal C, Gubens M, Horn L, et al: KEYNOTE-001 Investigators: Pembrolizumab for the treatment of non-small-cell lung cancer. N Engl J Med. 372:2018–2028. 2015. View Article : Google Scholar : PubMed/NCBI

17 

Dahlin AM, Henriksson ML, Van Guelpen B, Stenling R, Oberg A, Rutegård J and Palmqvist R: Colorectal cancer prognosis depends on T-cell infiltration and molecular characteristics of the tumor. Mod Pathol. 24:671–682. 2011. View Article : Google Scholar : PubMed/NCBI

18 

Hallett RM, Dvorkin-Gheva A, Bane A and Hassell JA: A gene signature for predicting outcome in patients with basal-like breast cancer. Sci Rep. 2:2272012. View Article : Google Scholar : PubMed/NCBI

19 

Cristescu R, Lee J, Nebozhyn M, Kim KM, Ting JC, Wong SS, Liu J, Yue YG, Wang J, Yu K, et al: Molecular analysis of gastric cancer identifies subtypes associated with distinct clinical outcomes. Nat Med. 21:449–456. 2015. View Article : Google Scholar : PubMed/NCBI

20 

Munson DJ, Egelston CA, Chiotti KE, Parra ZE, Bruno TC, Moore BL, Nakano TA, Simons DL, Jimenez G, Yim JH, et al: Identification of shared TCR sequences from T cells in human breast cancer using emulsion RT-PCR. Proc Natl Acad Sci USA. 113:pp. 8272–8277. 2016; View Article : Google Scholar : PubMed/NCBI

21 

Mickley A, Kovaleva O, Kzhyshkowska J and Gratchev A: Molecular and immunologic markers of kidney cancer-potential applications in predictive, preventive and personalized medicine. EPMA J. 6:202015. View Article : Google Scholar : PubMed/NCBI

22 

Maglietta A, Maglietta R, Staiano T, Bertoni R, Ancona N, Marra G and Resta L: The immune landscapes of polypoid and nonpolypoid precancerous colorectal lesions. PLoS One. 11:e01593732016. View Article : Google Scholar : PubMed/NCBI

23 

Lee HJ, Lee JJ, Song IH, Park IA, Kang J, Yu JH, Ahn JH and Gong G: Prognostic and predictive value of NanoString-based immune-related gene signatures in a neoadjuvant setting of triple-negative breast cancer: Relationship to tumor-infiltrating lymphocytes. Breast Cancer Res Treat. 151:619–627. 2015. View Article : Google Scholar : PubMed/NCBI

24 

Wang LP, Cao J, Zhang J, Wang BY, Hu XC, Shao ZM, Wang ZH and Ou ZL: The human chemokine receptor CCRL2 suppresses chemotaxis and invasion by blocking CCL2-induced phosphorylation of p38 MAPK in human breast cancer cells. Med Oncol. 32:2542015. View Article : Google Scholar : PubMed/NCBI

25 

Callahan MJ, Nagymanyoki Z, Bonome T, Johnson ME, Litkouhi B, Sullivan EH, Hirsch MS, Matulonis UA, Liu J, Birrer MJ, et al: Increased HLA-DMB expression in the tumor epithelium is associated with increased CTL infiltration and improved prognosis in advanced-stage serous ovarian cancer. Clin Cancer Res. 14:7667–7673. 2008. View Article : Google Scholar : PubMed/NCBI

26 

Avalle L, Pensa S, Regis G, Novelli F and Poli V: STAT1 and STAT3 in tumorigenesis: A matter of balance. JAK-STAT. 1:65–72. 2012. View Article : Google Scholar : PubMed/NCBI

27 

Nam KO, Kang WJ, Kwon BS, Kim SJ and Lee HW: The therapeutic potential of 4–1BB (CD137) in cancer. Curr Cancer Drug Targets. 5:357–363. 2005. View Article : Google Scholar : PubMed/NCBI

28 

Taube JM, Young GD, McMiller TL, Chen S, Salas JT, Pritchard TS, Xu H, Meeker AK, Fan J, Cheadle C, et al: Differential expression of immune-regulatory genes associated with PD-L1 display in melanoma: Implications for PD-1 pathway blockade. Clin Cancer Res. 21:3969–3976. 2015. View Article : Google Scholar : PubMed/NCBI

29 

Kawakami Y, Yaguchi T, Sumimoto H, Kudo-Saito C, Tsukamoto N, Iwata-Kajihara T, Nakamura S, Nishio H, Satomi R, Kobayashi A, et al: Roles of signaling pathways in cancer cells and immune cells in generation of immunosuppressive tumor-associated microenvironmentsThe Tumor Immunoenvironment. Shurin MR, Umansky V and Malyguine A: Springer Science+Buisiness Media B.V.; Dordrecht, The Netherlands: pp. 307–323. 2013, View Article : Google Scholar

30 

Schabath MB, Welsh EA, Fulp WJ, Chen L, Teer JK, Thompson ZJ, Engel BE, Xie M, Berglund AE, Creelan BC, et al: Differential association of STK11 and TP53 with KRAS mutation-associated gene expression, proliferation and immune surveillance in lung adenocarcinoma. Oncogene. 35:3209–3216. 2016. View Article : Google Scholar : PubMed/NCBI

31 

Loi S, Dushyanthen S, Beavis PA, Salgado R, Denkert C, Savas P, Combs S, Rimm DL, Giltnane JM, Estrada MV, et al: RAS/MAPK activation is associated with reduced tumor-infiltrating lymphocytes in triple-negative breast cancer: Therapeutic cooperation between MEK and PD-1/PD-L1 immune checkpoint inhibitors. Clin Cancer Res. 22:1499–1509. 2016. View Article : Google Scholar : PubMed/NCBI

32 

Frederick DT, Piris A, Cogdill AP, Cooper ZA, Lezcano C, Ferrone CR, Mitra D, Boni A, Newton LP, Liu C, et al: BRAF inhibition is associated with enhanced melanoma antigen expression and a move favorable tumor microenvironment in patients with metastatic melanoma. Clin Cancer Res. 19:1225–1231. 2013. View Article : Google Scholar : PubMed/NCBI

33 

Wouters MC, Komdeur FL, Workel HH, Klip HG, Plat A, Kooi NM, Wisman GB, Mourits MJ, Arts HJ, Oonk MH, et al: Treatment regimen, surgical outcome, and T-cell differentiation influence prognostic benefit of tumor-infiltrating lymphocytes in high-grade serous ovarian cancer. Clin Cancer Res. 22:714–724. 2016. View Article : Google Scholar : PubMed/NCBI

34 

Hojo S, Koizumi K, Tsuneyama K, Arita Y, Cui Z, Shinohara K, Minami T, Hashimoto I, Nakayama T, Sakurai H, et al: High-level expression of chemokine CXCL16 by tumor cells correlates with a good prognosis and increased tumor-infiltrating lymphocytes in colorectal cancer. Cancer Res. 67:4725–4731. 2007. View Article : Google Scholar : PubMed/NCBI

35 

Zhao L, Zhu S, Gao Y and Wang Y: Two-gene expression ratio as predictor for breast cancer treated with tamoxifen: Evidence from meta-analysis. Tumour Biol. 35:3113–3117. 2014. View Article : Google Scholar : PubMed/NCBI

36 

Nolan E, Vaillant F, Branstetter D, Pal B, Giner G, Whitehead L, Lok SW, Mann GB, Rohrbach K, Huang LY, et al Kathleen Cuningham Foundation Consortium for Research into Familial Breast Cancer (kConFab), : RANK ligand as a potential target for breast cancer prevention in BRCA1-mutation carriers. Nat Med. 22:933–939. 2016. View Article : Google Scholar : PubMed/NCBI

37 

Cheon DJ, Li AJ, Beach JA, Walts AE, Tran H, Lester J, Karlan BY and Orsulic S: ADAM12 is a prognostic factor associated with an aggressive molecular subtype of high-grade serous ovarian carcinoma. Carcinogenesis. 36:739–747. 2015. View Article : Google Scholar : PubMed/NCBI

38 

Duan M, Wang ZC, Wang XY, Shi JY, Yang LX, Ding ZB, Gao Q, Zhou J and Fan J: TREM-1, an inflammatory modulator, is expressed in hepatocellular carcinoma cells and significantly promotes tumor progression. Ann Surg Oncol. 22:3121–3129. 2015. View Article : Google Scholar : PubMed/NCBI

39 

Mandal R and Chan TA: Personalized oncology meets immunology: The path toward precision immunotherapy. Cancer Discov. 6:703–713. 2016. View Article : Google Scholar : PubMed/NCBI

Related Articles

  • Abstract
  • View
  • Download
  • Twitter
Copy and paste a formatted citation
Spandidos Publications style
Akiyama Y, Kiyohara Y, Yoshikawa S, Otsuka M, Kondou R, Nonomura C, Miyata H, Iizuka A, Ashizawa T, Ohshima K, Ohshima K, et al: Immune response-associated gene profiling in Japanese melanoma patients using multi-omics analysis. Oncol Rep 39: 1125-1131, 2018.
APA
Akiyama, Y., Kiyohara, Y., Yoshikawa, S., Otsuka, M., Kondou, R., Nonomura, C. ... Yamaguchi, K. (2018). Immune response-associated gene profiling in Japanese melanoma patients using multi-omics analysis. Oncology Reports, 39, 1125-1131. https://doi.org/10.3892/or.2017.6173
MLA
Akiyama, Y., Kiyohara, Y., Yoshikawa, S., Otsuka, M., Kondou, R., Nonomura, C., Miyata, H., Iizuka, A., Ashizawa, T., Ohshima, K., Urakami, K., Nagashima, T., Kusuhara, M., Sugino, T., Yamaguchi, K."Immune response-associated gene profiling in Japanese melanoma patients using multi-omics analysis". Oncology Reports 39.3 (2018): 1125-1131.
Chicago
Akiyama, Y., Kiyohara, Y., Yoshikawa, S., Otsuka, M., Kondou, R., Nonomura, C., Miyata, H., Iizuka, A., Ashizawa, T., Ohshima, K., Urakami, K., Nagashima, T., Kusuhara, M., Sugino, T., Yamaguchi, K."Immune response-associated gene profiling in Japanese melanoma patients using multi-omics analysis". Oncology Reports 39, no. 3 (2018): 1125-1131. https://doi.org/10.3892/or.2017.6173
Copy and paste a formatted citation
x
Spandidos Publications style
Akiyama Y, Kiyohara Y, Yoshikawa S, Otsuka M, Kondou R, Nonomura C, Miyata H, Iizuka A, Ashizawa T, Ohshima K, Ohshima K, et al: Immune response-associated gene profiling in Japanese melanoma patients using multi-omics analysis. Oncol Rep 39: 1125-1131, 2018.
APA
Akiyama, Y., Kiyohara, Y., Yoshikawa, S., Otsuka, M., Kondou, R., Nonomura, C. ... Yamaguchi, K. (2018). Immune response-associated gene profiling in Japanese melanoma patients using multi-omics analysis. Oncology Reports, 39, 1125-1131. https://doi.org/10.3892/or.2017.6173
MLA
Akiyama, Y., Kiyohara, Y., Yoshikawa, S., Otsuka, M., Kondou, R., Nonomura, C., Miyata, H., Iizuka, A., Ashizawa, T., Ohshima, K., Urakami, K., Nagashima, T., Kusuhara, M., Sugino, T., Yamaguchi, K."Immune response-associated gene profiling in Japanese melanoma patients using multi-omics analysis". Oncology Reports 39.3 (2018): 1125-1131.
Chicago
Akiyama, Y., Kiyohara, Y., Yoshikawa, S., Otsuka, M., Kondou, R., Nonomura, C., Miyata, H., Iizuka, A., Ashizawa, T., Ohshima, K., Urakami, K., Nagashima, T., Kusuhara, M., Sugino, T., Yamaguchi, K."Immune response-associated gene profiling in Japanese melanoma patients using multi-omics analysis". Oncology Reports 39, no. 3 (2018): 1125-1131. https://doi.org/10.3892/or.2017.6173
Follow us
  • Twitter
  • LinkedIn
  • Facebook
About
  • Spandidos Publications
  • Careers
  • Cookie Policy
  • Privacy Policy
How can we help?
  • Help
  • Live Chat
  • Contact
  • Email to our Support Team