Spandidos Publications Logo
  • About
    • About Spandidos
    • Aims and Scopes
    • Abstracting and Indexing
    • Editorial Policies
    • Reprints and Permissions
    • Job Opportunities
    • Terms and Conditions
    • Contact
  • Journals
    • All Journals
    • Oncology Letters
      • Oncology Letters
      • Information for Authors
      • Editorial Policies
      • Editorial Board
      • Aims and Scope
      • Abstracting and Indexing
      • Bibliographic Information
      • Archive
    • International Journal of Oncology
      • International Journal of Oncology
      • Information for Authors
      • Editorial Policies
      • Editorial Board
      • Aims and Scope
      • Abstracting and Indexing
      • Bibliographic Information
      • Archive
    • Molecular and Clinical Oncology
      • Molecular and Clinical Oncology
      • Information for Authors
      • Editorial Policies
      • Editorial Board
      • Aims and Scope
      • Abstracting and Indexing
      • Bibliographic Information
      • Archive
    • Experimental and Therapeutic Medicine
      • Experimental and Therapeutic Medicine
      • Information for Authors
      • Editorial Policies
      • Editorial Board
      • Aims and Scope
      • Abstracting and Indexing
      • Bibliographic Information
      • Archive
    • International Journal of Molecular Medicine
      • International Journal of Molecular Medicine
      • Information for Authors
      • Editorial Policies
      • Editorial Board
      • Aims and Scope
      • Abstracting and Indexing
      • Bibliographic Information
      • Archive
    • Biomedical Reports
      • Biomedical Reports
      • Information for Authors
      • Editorial Policies
      • Editorial Board
      • Aims and Scope
      • Abstracting and Indexing
      • Bibliographic Information
      • Archive
    • Oncology Reports
      • Oncology Reports
      • Information for Authors
      • Editorial Policies
      • Editorial Board
      • Aims and Scope
      • Abstracting and Indexing
      • Bibliographic Information
      • Archive
    • Molecular Medicine Reports
      • Molecular Medicine Reports
      • Information for Authors
      • Editorial Policies
      • Editorial Board
      • Aims and Scope
      • Abstracting and Indexing
      • Bibliographic Information
      • Archive
    • World Academy of Sciences Journal
      • World Academy of Sciences Journal
      • Information for Authors
      • Editorial Policies
      • Editorial Board
      • Aims and Scope
      • Abstracting and Indexing
      • Bibliographic Information
      • Archive
    • International Journal of Functional Nutrition
      • International Journal of Functional Nutrition
      • Information for Authors
      • Editorial Policies
      • Editorial Board
      • Aims and Scope
      • Abstracting and Indexing
      • Bibliographic Information
      • Archive
    • International Journal of Epigenetics
      • International Journal of Epigenetics
      • Information for Authors
      • Editorial Policies
      • Editorial Board
      • Aims and Scope
      • Abstracting and Indexing
      • Bibliographic Information
      • Archive
    • Medicine International
      • Medicine International
      • Information for Authors
      • Editorial Policies
      • Editorial Board
      • Aims and Scope
      • Abstracting and Indexing
      • Bibliographic Information
      • Archive
  • Articles
  • Information
    • Information for Authors
    • Information for Reviewers
    • Information for Librarians
    • Information for Advertisers
    • Conferences
  • Language Editing
Spandidos Publications Logo
  • About
    • About Spandidos
    • Aims and Scopes
    • Abstracting and Indexing
    • Editorial Policies
    • Reprints and Permissions
    • Job Opportunities
    • Terms and Conditions
    • Contact
  • Journals
    • All Journals
    • Biomedical Reports
      • Information for Authors
      • Editorial Policies
      • Editorial Board
      • Aims and Scope
      • Abstracting and Indexing
      • Bibliographic Information
      • Archive
    • Experimental and Therapeutic Medicine
      • Information for Authors
      • Editorial Policies
      • Editorial Board
      • Aims and Scope
      • Abstracting and Indexing
      • Bibliographic Information
      • Archive
    • International Journal of Epigenetics
      • Information for Authors
      • Editorial Policies
      • Editorial Board
      • Aims and Scope
      • Abstracting and Indexing
      • Bibliographic Information
      • Archive
    • International Journal of Functional Nutrition
      • Information for Authors
      • Editorial Policies
      • Editorial Board
      • Aims and Scope
      • Abstracting and Indexing
      • Bibliographic Information
      • Archive
    • International Journal of Molecular Medicine
      • Information for Authors
      • Editorial Policies
      • Editorial Board
      • Aims and Scope
      • Abstracting and Indexing
      • Bibliographic Information
      • Archive
    • International Journal of Oncology
      • Information for Authors
      • Editorial Policies
      • Editorial Board
      • Aims and Scope
      • Abstracting and Indexing
      • Bibliographic Information
      • Archive
    • Medicine International
      • Information for Authors
      • Editorial Policies
      • Editorial Board
      • Aims and Scope
      • Abstracting and Indexing
      • Bibliographic Information
      • Archive
    • Molecular and Clinical Oncology
      • Information for Authors
      • Editorial Policies
      • Editorial Board
      • Aims and Scope
      • Abstracting and Indexing
      • Bibliographic Information
      • Archive
    • Molecular Medicine Reports
      • Information for Authors
      • Editorial Policies
      • Editorial Board
      • Aims and Scope
      • Abstracting and Indexing
      • Bibliographic Information
      • Archive
    • Oncology Letters
      • Information for Authors
      • Editorial Policies
      • Editorial Board
      • Aims and Scope
      • Abstracting and Indexing
      • Bibliographic Information
      • Archive
    • Oncology Reports
      • Information for Authors
      • Editorial Policies
      • Editorial Board
      • Aims and Scope
      • Abstracting and Indexing
      • Bibliographic Information
      • Archive
    • World Academy of Sciences Journal
      • Information for Authors
      • Editorial Policies
      • Editorial Board
      • Aims and Scope
      • Abstracting and Indexing
      • Bibliographic Information
      • Archive
  • Articles
  • Information
    • For Authors
    • For Reviewers
    • For Librarians
    • For Advertisers
    • Conferences
  • Language Editing
Login Register Submit
  • This site uses cookies
  • You can change your cookie settings at any time by following the instructions in our Cookie Policy. To find out more, you may read our Privacy Policy.

    I agree
Search articles by DOI, keyword, author or affiliation
Search
Advanced Search
presentation
Oncology Reports
Join Editorial Board Propose a Special Issue
Print ISSN: 1021-335X Online ISSN: 1791-2431
Journal Cover
April-2021 Volume 45 Issue 4

Full Size Image

Sign up for eToc alerts
Recommend to Library

Journals

International Journal of Molecular Medicine

International Journal of Molecular Medicine

International Journal of Molecular Medicine is an international journal devoted to molecular mechanisms of human disease.

International Journal of Oncology

International Journal of Oncology

International Journal of Oncology is an international journal devoted to oncology research and cancer treatment.

Molecular Medicine Reports

Molecular Medicine Reports

Covers molecular medicine topics such as pharmacology, pathology, genetics, neuroscience, infectious diseases, molecular cardiology, and molecular surgery.

Oncology Reports

Oncology Reports

Oncology Reports is an international journal devoted to fundamental and applied research in Oncology.

Experimental and Therapeutic Medicine

Experimental and Therapeutic Medicine

Experimental and Therapeutic Medicine is an international journal devoted to laboratory and clinical medicine.

Oncology Letters

Oncology Letters

Oncology Letters is an international journal devoted to Experimental and Clinical Oncology.

Biomedical Reports

Biomedical Reports

Explores a wide range of biological and medical fields, including pharmacology, genetics, microbiology, neuroscience, and molecular cardiology.

Molecular and Clinical Oncology

Molecular and Clinical Oncology

International journal addressing all aspects of oncology research, from tumorigenesis and oncogenes to chemotherapy and metastasis.

World Academy of Sciences Journal

World Academy of Sciences Journal

Multidisciplinary open-access journal spanning biochemistry, genetics, neuroscience, environmental health, and synthetic biology.

International Journal of Functional Nutrition

International Journal of Functional Nutrition

Open-access journal combining biochemistry, pharmacology, immunology, and genetics to advance health through functional nutrition.

International Journal of Epigenetics

International Journal of Epigenetics

Publishes open-access research on using epigenetics to advance understanding and treatment of human disease.

Medicine International

Medicine International

An International Open Access Journal Devoted to General Medicine.

Journal Cover
April-2021 Volume 45 Issue 4

Full Size Image

Sign up for eToc alerts
Recommend to Library

  • Article
  • Citations
    • Cite This Article
    • Download Citation
    • Create Citation Alert
    • Remove Citation Alert
    • Cited By
  • Similar Articles
    • Related Articles (in Spandidos Publications)
    • Similar Articles (Google Scholar)
    • Similar Articles (PubMed)
  • Download PDF
  • Download XML
  • View XML

  • Supplementary Files
    • Supplementary_Data.pdf
Article Open Access

Combination of miR‑143 and miR‑506 reduces lung and pancreatic cancer cell growth through the downregulation of cyclin‑dependent kinases

  • Authors:
    • A.K.M. Nawshad Hossian
    • Gerardo G. Mackenzie
    • George Mattheolabakis
  • View Affiliations / Copyright

    Affiliations: School of Basic Pharmaceutical and Toxicological Sciences, College of Pharmacy, University of Louisiana Monroe, Monroe, LA 71201, USA, Department of Nutrition, University of California Davis, Davis, CA 95616, USA
    Copyright: © Hossian et al. This is an open access article distributed under the terms of Creative Commons Attribution License.
  • Article Number: 2
    |
    Published online on: January 27, 2021
       https://doi.org/10.3892/or.2021.7953
  • Expand metrics +
Metrics: Total Views: 0 (Spandidos Publications: | PMC Statistics: )
Metrics: Total PDF Downloads: 0 (Spandidos Publications: | PMC Statistics: )
Cited By (CrossRef): 0 citations Loading Articles...

This article is mentioned in:



Abstract

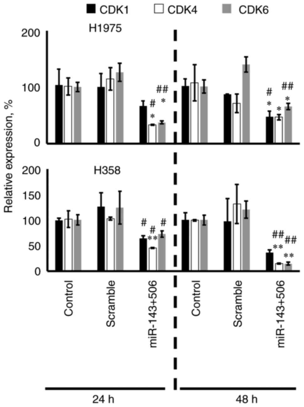
Lung cancer (LC) and pancreatic cancer (PC) are the first and fourth leading causes of cancer‑related deaths in the US. Deregulated cell cycle progression is the cornerstone for rapid cell proliferation, tumor development, and progression. Here, we provide evidence that a novel combinatorial miR treatment inhibits cell cycle progression at two phase transitions, through their activity on the CDK4 and CDK1 genes. Following transfection with miR‑143 and miR‑506, we analyzed the differential gene expression of CDK4 and CDK1, using qPCR or western blot analysis, and evaluated cell cycle inhibition, apoptosis and cytotoxicity. The combinatorial miR‑143/506 treatment downregulated CDK4 and CDK1 levels, and induced apoptosis in LC cells, while sparing normal lung fibroblasts. Moreover, the combinatorial miR treatment demonstrated a comparable activity to clinically tested cell cycle inhibitors in inhibiting cell cycle progression, by presenting substantial inhibition at the G1/S and G2/M cell cycle transitions. More importantly, the miR‑143/506 treatment presented a broader application, effectively downregulating CDK1 and CDK4 levels, and reducing cell growth in PC cells. These findings suggest that the miR‑143/506 combination acts as a promising approach to inhibit cell cycle progression for cancer treatment with minimal toxicity to normal cells.
View Figures

Figure 1

Figure 2

Figure 3

Figure 4

Figure 5

Figure 6

Figure 7

View References

1 

Siegel RL, Miller KD and Jemal A: Cancer statistics, 2020. CA Cancer J Clin. 70:7–30. 2020. View Article : Google Scholar : PubMed/NCBI

2 

Collins K, Jacks T and Pavletich NP: The cell cycle and cancer. Proc Natl Acad Sci USA. 94:2776–2778. 1997. View Article : Google Scholar : PubMed/NCBI

3 

Dominguez-Brauer C, Thu KL, Mason JM, Blaser H, Bray MR and Mak TW: Targeting Mitosis in cancer: Emerging strategies. Mol Cell. 60:524–536. 2015. View Article : Google Scholar : PubMed/NCBI

4 

Otto T and Sicinski P: Cell cycle proteins as promising targets in cancer therapy. Nat Rev Cancer. 17:93–115. 2017. View Article : Google Scholar : PubMed/NCBI

5 

Kastan MB and Bartek J: Cell-cycle checkpoints and cancer. Nature. 432:316–323. 2004. View Article : Google Scholar : PubMed/NCBI

6 

Sanchez-Martinez C, Gelbert LM, Lallena MJ and de Dios A: Cyclin dependent kinase (CDK) inhibitors as anticancer drugs. Bioorg Med Chem Lett. 25:3420–3435. 2015. View Article : Google Scholar : PubMed/NCBI

7 

Shah A, Bloomquist E, Tang S, Fu W, Bi Y, Liu Q, Yu J, Zhao P, Palmby TR, Goldberg KB, et al: FDA approval: Ribociclib for the treatment of postmenopausal women with hormone receptor-positive, HER2-negative advanced or metastatic breast cancer. Clin Cancer Res. 24:2999–3004. 2018. View Article : Google Scholar : PubMed/NCBI

8 

Asghar U, Witkiewicz AK, Turner NC and Knudsen ES: The history and future of targeting cyclin-dependent kinases in cancer therapy. Nat Rev Drug Discov. 14:130–146. 2015. View Article : Google Scholar : PubMed/NCBI

9 

Wedam S, Fashoyin-Aje L, Bloomquist E, Tang S, Sridhara R, Goldberg KB, Theoret MR, Amiri-Kordestani L, Pazdur R and Beaver JA: FDA approval summary: Palbociclib for male patients with metastatic breast cancer. Clin Cancer Res. 26:1208–1212. 2020. View Article : Google Scholar : PubMed/NCBI

10 

FDA expands approved use of ibrance (Palbociclib) for HR+, HER2-metastatic breast cancer. Oncol Times. 38:222016. View Article : Google Scholar

11 

Martin JM and Goldstein LJ: Profile of abemaciclib and its potential in the treatment of breast cancer. Onco Targets Ther. 11:5253–5259. 2018. View Article : Google Scholar : PubMed/NCBI

12 

Jin D, Tran N, Thomas N and Tran DD: Combining CDK4/6 inhibitors ribociclib and palbociclib with cytotoxic agents does not enhance cytotoxicity. PLoS One. 14:e02235552019. View Article : Google Scholar : PubMed/NCBI

13 

Wu A, Wu B, Guo J, Luo W, Wu D, Yang H, Zhen Y, Yu X, Wang H, Zhou Y, et al: Elevated expression of CDK4 in lung cancer. J Transl Med. 9:382011. View Article : Google Scholar : PubMed/NCBI

14 

Gong W, Wang L, Zheng Z, Chen W, Du P and Zhao H: Cyclin-dependent kinase 6 (CDK6) is a candidate diagnostic biomarker for early non-small cell lung cancer. Transl Cancer Res. 9:95–103. 2019. View Article : Google Scholar

15 

Thangavel C, Boopathi E, Liu Y, McNair C, Haber A, Perepelyuk M, Bhardwaj A, Addya S, Ertel A, Shoyele S, et al: Therapeutic challenge with a CDK 4/6 Inhibitor Induces an RB-Dependent SMAC-Mediated apoptotic response in non-small cell lung cancer. Clin Cancer Res. 24:1402–1414. 2018. View Article : Google Scholar : PubMed/NCBI

16 

Patnaik A, Rosen LS, Tolaney SM, Tolcher AW, Goldman JW, Gandhi L, Papadopoulos KP, Beeram M, Rasco DW, Hilton JF, et al: Efficacy and safety of abemaciclib, an inhibitor of CDK4 and CDK6, for patients with breast cancer, non-small cell lung cancer, and other solid tumors. Cancer Discov. 6:740–753. 2016. View Article : Google Scholar : PubMed/NCBI

17 

Pacheco J and Schenk E: CDK4/6 inhibition alone and in combination for non-small cell lung cancer. Oncotarget. 10:618–619. 2019. View Article : Google Scholar : PubMed/NCBI

18 

Waddell N, Pajic M, Patch AM, Chang DK, Kassahn KS, Bailey P, Johns AL, Miller D, Nones K, Quek K, et al: Whole genomes redefine the mutational landscape of pancreatic cancer. Nature. 518:495–501. 2015. View Article : Google Scholar : PubMed/NCBI

19 

Witkiewicz AK, McMillan EA, Balaji U, Baek G, Lin WC, Mansour J, Mollaee M, Wagner KU, Koduru P, Yopp A, et al: Whole-exome sequencing of pancreatic cancer defines genetic diversity and therapeutic targets. Nat Commun. 6:67442015. View Article : Google Scholar : PubMed/NCBI

20 

Serrano M, Lin AW, McCurrach ME, Beach D and Lowe SW: Oncogenic ras provokes premature cell senescence associated with accumulation of p53 and p16INK4a. Cell. 88:593–602. 1997. View Article : Google Scholar : PubMed/NCBI

21 

Weinberg F, Hamanaka R, Wheaton WW, Weinberg S, Joseph J, Lopez M, Kalyanaraman B, Mutlu GM, Budinger GR and Chandel NS: Mitochondrial metabolism and ROS generation are essential for Kras-mediated tumorigenicity. Proc Natl Acad Sci USA. 107:8788–8793. 2010. View Article : Google Scholar : PubMed/NCBI

22 

Garcia-Reyes B, Kretz AL, Ruff JP, von Karstedt S, Hillenbrand A, Knippschild U, Henne-Bruns D and Lemke J: The emerging role of cyclin-dependent kinases (CDKs) in pancreatic ductal adenocarcinoma. Int J Mol Sci. 19:32192018. View Article : Google Scholar

23 

Knudsen ES, Kumarasamy V, Ruiz A, Sivinski J, Chung S, Grant A, Vail P, Chauhan SS, Jie T, Riall TS and Witkiewicz AK: Cell cycle plasticity driven by MTOR signaling: Integral resistance to CDK4/6 inhibition in patient-derived models of pancreatic cancer. Oncogene. 38:3355–3370. 2019. View Article : Google Scholar : PubMed/NCBI

24 

Franco J, Balaji U, Freinkman E, Witkiewicz AK and Knudsen ES: Metabolic reprogramming of pancreatic cancer mediated by CDK4/6 inhibition elicits unique vulnerabilities. Cell Rep. 14:979–990. 2016. View Article : Google Scholar : PubMed/NCBI

25 

Liu F and Korc M: Cdk4/6 inhibition induces epithelial-mesenchymal transition and enhances invasiveness in pancreatic cancer cells. Mol Cancer Ther. 11:2138–2148. 2012. View Article : Google Scholar : PubMed/NCBI

26 

Franco J, Witkiewicz AK and Knudsen ES: CDK4/6 inhibitors have potent activity in combination with pathway selective therapeutic agents in models of pancreatic cancer. Oncotarget. 5:6512–6525. 2014. View Article : Google Scholar : PubMed/NCBI

27 

Santamaria D, Barriere C, Cerqueira A, Hunt S, Tardy C, Newton K, Cáceres JF, Dubus P, Malumbres M and Barbacid M: Cdk1 is sufficient to drive the mammalian cell cycle. Nature. 448:811–815. 2007. View Article : Google Scholar : PubMed/NCBI

28 

Malumbres M, Sotillo R, Santamaria D, Galán J, Cerezo A, Ortega S, Dubus P and Barbacid M: Mammalian cells cycle without the D-type cyclin-dependent kinases Cdk4 and Cdk6. Cell. 118:493–504. 2004. View Article : Google Scholar : PubMed/NCBI

29 

Piao J, Zhu L, Sun J, Li N, Dong B, Yang Y and Chen L: High expression of CDK1 and BUB1 predicts poor prognosis of pancreatic ductal adenocarcinoma. Gene. 701:15–22. 2019. View Article : Google Scholar : PubMed/NCBI

30 

Dong S, Huang F, Zhang H and Chen Q: Overexpression of BUB1B, CCNA2, CDC20, and CDK1 in tumor tissues predicts poor survival in pancreatic ductal adenocarcinoma. Biosci Rep. 39:BSR201823062019. View Article : Google Scholar : PubMed/NCBI

31 

Shi YX, Zhu T, Zou T, Zhuo W, Chen YX, Huang MS, Zheng W, Wang CJ, Li X, Mao XY, et al: Prognostic and predictive values of CDK1 and MAD2L1 in lung adenocarcinoma. Oncotarget. 7:85235–85243. 2016. View Article : Google Scholar : PubMed/NCBI

32 

Li M, He F, Zhang Z, Xiang Z and Hu D: CDK1 serves as a potential prognostic biomarker and target for lung cancer. J Int Med Res. 48:3000605198975082020.PubMed/NCBI

33 

O'Brien J, Hayder H, Zayed Y and Peng C: Overview of MicroRNA biogenesis, mechanisms of actions, and circulation. Front Endocrinol (Lausanne). 9:4022018. View Article : Google Scholar : PubMed/NCBI

34 

Hossian AK, Muthumula CM, Sajib MS, Tullar PE, Stelly AM, Briski KP, Mikelis CM and Matthaiolampakis G: Analysis of combinatorial miRNA treatments to regulate cell cycle and angiogenesis. J Vis Ex. e594602019.

35 

Hossian AKMN, Sajib MS, Tullar PE, Mikelis CM and Mattheolabakis G: Multipronged activity of combinatorial miR-143 and miR-506 inhibits lung cancer cell cycle progression and angiogenesis in vitro. Sci Rep. 8:104952018. View Article : Google Scholar : PubMed/NCBI

36 

Livak KJ and Schmittgen TD: Analysis of relative gene expression data using real-time quantitative PCR and the 2(-Delta Delta C(T)) method. Methods. 25:402–408. 2001. View Article : Google Scholar : PubMed/NCBI

37 

Li JH, Liu S, Zhou H, Qu LH and Yang JH: StarBase v2.0: Decoding miRNA-ceRNA, miRNA-ncRNA and protein-RNA interaction networks from large-scale CLIP-Seq data. Nucleic Acids Res. 42:D92–D97. 2014. View Article : Google Scholar : PubMed/NCBI

38 

Yang JH, Li JH, Shao P, Zhou H, Chen YQ and Qu LH: StarBase: A database for exploring microRNA-mRNA interaction maps from Argonaute CLIP-Seq and degradome-Seq data. Nucleic Acids Res. 39:D202–D209. 2011. View Article : Google Scholar : PubMed/NCBI

39 

Thul PJ and Lindskog C: The human protein atlas: A spatial map of the human proteome. Protein Sci. 27:233–244. 2018. View Article : Google Scholar : PubMed/NCBI

40 

Uhlen M, Fagerberg L, Hallstrom BM, Lindskog C, Oksvold P, Mardinoglu A, Sivertsson Å, Kampf C, Sjöstedt E, Asplund A, et al: Proteomics. Tissue-based map of the human proteome. Science. 347:12604192015. View Article : Google Scholar : PubMed/NCBI

41 

Zhang N, Su Y and Xu L: Targeting PKCε by miR-143 regulates cell apoptosis in lung cancer. FEBS Lett. 587:3661–3667. 2013. View Article : Google Scholar : PubMed/NCBI

42 

van Caloen G, Schmitz S, El Baroudi M, Caignet X, Pyr Dit Ruys S, Roger PP, Vertommen D and Machiels JP: Preclinical activity of ribociclib in squamous cell carcinoma of the head and neck. Mol Cancer Ther. 19:777–789. 2020. View Article : Google Scholar : PubMed/NCBI

43 

Wong CH, Ma BB, Hui CW, Lo KW, Hui EP and Chan AT: Preclinical evaluation of ribociclib and its synergistic effect in combination with alpelisib in non-keratinizing nasopharyngeal carcinoma. Sci Rep. 8:80102018. View Article : Google Scholar : PubMed/NCBI

44 

Kelland LR: Flavopiridol, the first cyclin-dependent kinase inhibitor to enter the clinic: Current status. Expert Opin Investig Drugs. 9:2903–2911. 2000. View Article : Google Scholar : PubMed/NCBI

45 

Saisomboon S, Kariya R, Vaeteewoottacharn K, Wongkham S, Sawanyawisuth K and Okada S: Antitumor effects of flavopiridol, a cyclin-dependent kinase inhibitor, on human cholangiocarcinoma in vitro and in an in vivo xenograft model. Heliyon. 5:e016752019. View Article : Google Scholar : PubMed/NCBI

46 

Senderowicz AM and Sausville EA: Preclinical and clinical development of cyclin-dependent kinase modulators. J Natl Cancer Inst. 92:376–387. 2000. View Article : Google Scholar : PubMed/NCBI

47 

Hossian AKMN, Mackenzie GG and Mattheolabakis G: miRNAs in gastrointestinal diseases: Can we effectively deliver RNA-based therapeutics orally? Nanomedicine (Lond). 14:2873–2889. 2019. View Article : Google Scholar : PubMed/NCBI

48 

Labatut AE and Mattheolabakis G: Non-viral based miR delivery and recent developments. Eur J Pharm Biopharm. 128:82–90. 2018. View Article : Google Scholar : PubMed/NCBI

49 

Zhao W, Zhao SP and Zhao YH: MicroRNA-143/-145 in cardiovascular diseases. Biomed Res Int. 2015:5317402015. View Article : Google Scholar : PubMed/NCBI

50 

Lovendorf MB, Zibert JR, Gyldenlove M, Ropke MA and Skov L: MicroRNA-223 and miR-143 are important systemic biomarkers for disease activity in psoriasis. J Dermatol Sci. 75:133–139. 2014. View Article : Google Scholar : PubMed/NCBI

51 

Anton L, DeVine A, Sierra LJ, Brown AG and Elovitz MA: miR-143 and miR-145 disrupt the cervical epithelial barrier through dysregulation of cell adhesion, apoptosis and proliferation. Sci Rep. 7:30202017. View Article : Google Scholar : PubMed/NCBI

52 

Liu G, Sun Y, Ji P, Li X, Cogdell D, Yang D, Parker Kerrigan BC, Shmulevich I, Chen K, Sood AK, et al: MiR-506 suppresses proliferation and induces senescence by directly targeting the CDK4/6-FOXM1 axis in ovarian cancer. J Pathol. 233:308–318. 2014. View Article : Google Scholar : PubMed/NCBI

53 

Yin M, Ren X, Zhang X, Luo Y, Wang G, Huang K, Feng S, Bao X, Huang K, He X, et al: Selective killing of lung cancer cells by miRNA-506 molecule through inhibiting NF-κB p65 to evoke reactive oxygen species generation and p53 activation. Oncogene. 34:691–703. 2015. View Article : Google Scholar : PubMed/NCBI

54 

Li J, Wu H, Li W, Yin L, Guo S, Xu X, Ouyang Y, Zhao Z, Liu S, Tian Y, et al: Downregulated miR-506 expression facilitates pancreatic cancer progression and chemoresistance via SPHK1/Akt/NF-κB signaling. Oncogene. 35:5501–5514. 2016. View Article : Google Scholar : PubMed/NCBI

55 

Senderowicz AM: Flavopiridol: The first cyclin-dependent kinase inhibitor in human clinical trials. Invest New Drugs. 17:313–320. 1999. View Article : Google Scholar : PubMed/NCBI

56 

Deep A, Marwaha RK, Marwaha MG, Jyoti, Nandal R and Sharma AK: Flavopiridol as cyclin dependent kinase (CDK) inhibitor: A review. New J Chem. 42:18500–18507. 2018. View Article : Google Scholar

57 

Sunaga N, Shames DS, Girard L, Peyton M, Larsen JE, Imai H, Soh J, Sato M, Yanagitani N, Kaira K, et al: Knockdown of oncogenic KRAS in non-small cell lung cancers suppresses tumor growth and sensitizes tumor cells to targeted therapy. Mol Cancer Ther. 10:336–346. 2011. View Article : Google Scholar : PubMed/NCBI

58 

Berger AH, Brooks AN, Wu X, Shrestha Y, Chouinard C, Piccioni F, Bagul M, Kamburov A, Imielinski M, Hogstrom L, et al: High-throughput phenotyping of lung cancer somatic mutations. Cancer Cell. 30:214–228. 2016. View Article : Google Scholar : PubMed/NCBI

59 

Hung MS, Chen IC, Lin PY, Lung JH, Li YC, Lin YC, Yang CT and Tsai YH: Epidermal growth factor receptor mutation enhances expression of vascular endothelial growth factor in lung cancer. Oncol Lett. 12:4598–4604. 2016. View Article : Google Scholar : PubMed/NCBI

60 

Korc M: Driver mutations: A roadmap for getting close and personal in pancreatic cancer. Cancer Biol Ther. 10:588–591. 2010. View Article : Google Scholar : PubMed/NCBI

61 

Timar J and Kashofer K: Molecular epidemiology and diagnostics of KRAS mutations in human cancer. Cancer Metastasis Rev. 39:1029–1038. 2020. View Article : Google Scholar : PubMed/NCBI

62 

Gradiz R, Silva HC, Carvalho L, Botelho MF and Mota-Pinto A: MIA PaCa-2 and PANC-1-pancreas ductal adenocarcinoma cell lines with neuroendocrine differentiation and somatostatin receptors. Sci Rep. 6:216482016. View Article : Google Scholar : PubMed/NCBI

Related Articles

  • Abstract
  • View
  • Download
  • Twitter
Copy and paste a formatted citation
Spandidos Publications style
Hossian AN, Mackenzie GG and Mattheolabakis G: Combination of miR‑143 and miR‑506 reduces lung and pancreatic cancer cell growth through the downregulation of cyclin‑dependent kinases. Oncol Rep 45: 2, 2021.
APA
Hossian, A.N., Mackenzie, G.G., & Mattheolabakis, G. (2021). Combination of miR‑143 and miR‑506 reduces lung and pancreatic cancer cell growth through the downregulation of cyclin‑dependent kinases. Oncology Reports, 45, 2. https://doi.org/10.3892/or.2021.7953
MLA
Hossian, A. N., Mackenzie, G. G., Mattheolabakis, G."Combination of miR‑143 and miR‑506 reduces lung and pancreatic cancer cell growth through the downregulation of cyclin‑dependent kinases". Oncology Reports 45.4 (2021): 2.
Chicago
Hossian, A. N., Mackenzie, G. G., Mattheolabakis, G."Combination of miR‑143 and miR‑506 reduces lung and pancreatic cancer cell growth through the downregulation of cyclin‑dependent kinases". Oncology Reports 45, no. 4 (2021): 2. https://doi.org/10.3892/or.2021.7953
Copy and paste a formatted citation
x
Spandidos Publications style
Hossian AN, Mackenzie GG and Mattheolabakis G: Combination of miR‑143 and miR‑506 reduces lung and pancreatic cancer cell growth through the downregulation of cyclin‑dependent kinases. Oncol Rep 45: 2, 2021.
APA
Hossian, A.N., Mackenzie, G.G., & Mattheolabakis, G. (2021). Combination of miR‑143 and miR‑506 reduces lung and pancreatic cancer cell growth through the downregulation of cyclin‑dependent kinases. Oncology Reports, 45, 2. https://doi.org/10.3892/or.2021.7953
MLA
Hossian, A. N., Mackenzie, G. G., Mattheolabakis, G."Combination of miR‑143 and miR‑506 reduces lung and pancreatic cancer cell growth through the downregulation of cyclin‑dependent kinases". Oncology Reports 45.4 (2021): 2.
Chicago
Hossian, A. N., Mackenzie, G. G., Mattheolabakis, G."Combination of miR‑143 and miR‑506 reduces lung and pancreatic cancer cell growth through the downregulation of cyclin‑dependent kinases". Oncology Reports 45, no. 4 (2021): 2. https://doi.org/10.3892/or.2021.7953
Follow us
  • Twitter
  • LinkedIn
  • Facebook
About
  • Spandidos Publications
  • Careers
  • Cookie Policy
  • Privacy Policy
How can we help?
  • Help
  • Live Chat
  • Contact
  • Email to our Support Team