Spandidos Publications Logo
  • About
    • About Spandidos
    • Aims and Scopes
    • Abstracting and Indexing
    • Editorial Policies
    • Reprints and Permissions
    • Job Opportunities
    • Terms and Conditions
    • Contact
  • Journals
    • All Journals
    • Oncology Letters
      • Oncology Letters
      • Information for Authors
      • Editorial Policies
      • Editorial Board
      • Aims and Scope
      • Abstracting and Indexing
      • Bibliographic Information
      • Archive
    • International Journal of Oncology
      • International Journal of Oncology
      • Information for Authors
      • Editorial Policies
      • Editorial Board
      • Aims and Scope
      • Abstracting and Indexing
      • Bibliographic Information
      • Archive
    • Molecular and Clinical Oncology
      • Molecular and Clinical Oncology
      • Information for Authors
      • Editorial Policies
      • Editorial Board
      • Aims and Scope
      • Abstracting and Indexing
      • Bibliographic Information
      • Archive
    • Experimental and Therapeutic Medicine
      • Experimental and Therapeutic Medicine
      • Information for Authors
      • Editorial Policies
      • Editorial Board
      • Aims and Scope
      • Abstracting and Indexing
      • Bibliographic Information
      • Archive
    • International Journal of Molecular Medicine
      • International Journal of Molecular Medicine
      • Information for Authors
      • Editorial Policies
      • Editorial Board
      • Aims and Scope
      • Abstracting and Indexing
      • Bibliographic Information
      • Archive
    • Biomedical Reports
      • Biomedical Reports
      • Information for Authors
      • Editorial Policies
      • Editorial Board
      • Aims and Scope
      • Abstracting and Indexing
      • Bibliographic Information
      • Archive
    • Oncology Reports
      • Oncology Reports
      • Information for Authors
      • Editorial Policies
      • Editorial Board
      • Aims and Scope
      • Abstracting and Indexing
      • Bibliographic Information
      • Archive
    • Molecular Medicine Reports
      • Molecular Medicine Reports
      • Information for Authors
      • Editorial Policies
      • Editorial Board
      • Aims and Scope
      • Abstracting and Indexing
      • Bibliographic Information
      • Archive
    • World Academy of Sciences Journal
      • World Academy of Sciences Journal
      • Information for Authors
      • Editorial Policies
      • Editorial Board
      • Aims and Scope
      • Abstracting and Indexing
      • Bibliographic Information
      • Archive
    • International Journal of Functional Nutrition
      • International Journal of Functional Nutrition
      • Information for Authors
      • Editorial Policies
      • Editorial Board
      • Aims and Scope
      • Abstracting and Indexing
      • Bibliographic Information
      • Archive
    • International Journal of Epigenetics
      • International Journal of Epigenetics
      • Information for Authors
      • Editorial Policies
      • Editorial Board
      • Aims and Scope
      • Abstracting and Indexing
      • Bibliographic Information
      • Archive
    • Medicine International
      • Medicine International
      • Information for Authors
      • Editorial Policies
      • Editorial Board
      • Aims and Scope
      • Abstracting and Indexing
      • Bibliographic Information
      • Archive
  • Articles
  • Information
    • Information for Authors
    • Information for Reviewers
    • Information for Librarians
    • Information for Advertisers
    • Conferences
  • Language Editing
Spandidos Publications Logo
  • About
    • About Spandidos
    • Aims and Scopes
    • Abstracting and Indexing
    • Editorial Policies
    • Reprints and Permissions
    • Job Opportunities
    • Terms and Conditions
    • Contact
  • Journals
    • All Journals
    • Biomedical Reports
      • Information for Authors
      • Editorial Policies
      • Editorial Board
      • Aims and Scope
      • Abstracting and Indexing
      • Bibliographic Information
      • Archive
    • Experimental and Therapeutic Medicine
      • Information for Authors
      • Editorial Policies
      • Editorial Board
      • Aims and Scope
      • Abstracting and Indexing
      • Bibliographic Information
      • Archive
    • International Journal of Epigenetics
      • Information for Authors
      • Editorial Policies
      • Editorial Board
      • Aims and Scope
      • Abstracting and Indexing
      • Bibliographic Information
      • Archive
    • International Journal of Functional Nutrition
      • Information for Authors
      • Editorial Policies
      • Editorial Board
      • Aims and Scope
      • Abstracting and Indexing
      • Bibliographic Information
      • Archive
    • International Journal of Molecular Medicine
      • Information for Authors
      • Editorial Policies
      • Editorial Board
      • Aims and Scope
      • Abstracting and Indexing
      • Bibliographic Information
      • Archive
    • International Journal of Oncology
      • Information for Authors
      • Editorial Policies
      • Editorial Board
      • Aims and Scope
      • Abstracting and Indexing
      • Bibliographic Information
      • Archive
    • Medicine International
      • Information for Authors
      • Editorial Policies
      • Editorial Board
      • Aims and Scope
      • Abstracting and Indexing
      • Bibliographic Information
      • Archive
    • Molecular and Clinical Oncology
      • Information for Authors
      • Editorial Policies
      • Editorial Board
      • Aims and Scope
      • Abstracting and Indexing
      • Bibliographic Information
      • Archive
    • Molecular Medicine Reports
      • Information for Authors
      • Editorial Policies
      • Editorial Board
      • Aims and Scope
      • Abstracting and Indexing
      • Bibliographic Information
      • Archive
    • Oncology Letters
      • Information for Authors
      • Editorial Policies
      • Editorial Board
      • Aims and Scope
      • Abstracting and Indexing
      • Bibliographic Information
      • Archive
    • Oncology Reports
      • Information for Authors
      • Editorial Policies
      • Editorial Board
      • Aims and Scope
      • Abstracting and Indexing
      • Bibliographic Information
      • Archive
    • World Academy of Sciences Journal
      • Information for Authors
      • Editorial Policies
      • Editorial Board
      • Aims and Scope
      • Abstracting and Indexing
      • Bibliographic Information
      • Archive
  • Articles
  • Information
    • For Authors
    • For Reviewers
    • For Librarians
    • For Advertisers
    • Conferences
  • Language Editing
Login Register Submit
  • This site uses cookies
  • You can change your cookie settings at any time by following the instructions in our Cookie Policy. To find out more, you may read our Privacy Policy.

    I agree
Search articles by DOI, keyword, author or affiliation
Search
Advanced Search
presentation
World Academy of Sciences Journal
Join Editorial Board Propose a Special Issue
Print ISSN: 2632-2900 Online ISSN: 2632-2919
Journal Cover
January-February 2021 Volume 3 Issue 1

Full Size Image

Sign up for eToc alerts
Recommend to Library

Journals

International Journal of Molecular Medicine

International Journal of Molecular Medicine

International Journal of Molecular Medicine is an international journal devoted to molecular mechanisms of human disease.

International Journal of Oncology

International Journal of Oncology

International Journal of Oncology is an international journal devoted to oncology research and cancer treatment.

Molecular Medicine Reports

Molecular Medicine Reports

Covers molecular medicine topics such as pharmacology, pathology, genetics, neuroscience, infectious diseases, molecular cardiology, and molecular surgery.

Oncology Reports

Oncology Reports

Oncology Reports is an international journal devoted to fundamental and applied research in Oncology.

Experimental and Therapeutic Medicine

Experimental and Therapeutic Medicine

Experimental and Therapeutic Medicine is an international journal devoted to laboratory and clinical medicine.

Oncology Letters

Oncology Letters

Oncology Letters is an international journal devoted to Experimental and Clinical Oncology.

Biomedical Reports

Biomedical Reports

Explores a wide range of biological and medical fields, including pharmacology, genetics, microbiology, neuroscience, and molecular cardiology.

Molecular and Clinical Oncology

Molecular and Clinical Oncology

International journal addressing all aspects of oncology research, from tumorigenesis and oncogenes to chemotherapy and metastasis.

World Academy of Sciences Journal

World Academy of Sciences Journal

Multidisciplinary open-access journal spanning biochemistry, genetics, neuroscience, environmental health, and synthetic biology.

International Journal of Functional Nutrition

International Journal of Functional Nutrition

Open-access journal combining biochemistry, pharmacology, immunology, and genetics to advance health through functional nutrition.

International Journal of Epigenetics

International Journal of Epigenetics

Publishes open-access research on using epigenetics to advance understanding and treatment of human disease.

Medicine International

Medicine International

An International Open Access Journal Devoted to General Medicine.

Journal Cover
January-February 2021 Volume 3 Issue 1

Full Size Image

Sign up for eToc alerts
Recommend to Library

  • Article
  • Citations
    • Cite This Article
    • Download Citation
    • Create Citation Alert
    • Remove Citation Alert
    • Cited By
  • Similar Articles
    • Related Articles (in Spandidos Publications)
    • Similar Articles (Google Scholar)
    • Similar Articles (PubMed)
  • Download PDF
  • Download XML
  • View XML
Article Open Access

Association between miR‑499 rs3746444 polymorphism and the risk of ischemic stroke: A systematic review and meta‑analysis

  • Authors:
    • Xiang-Hong Liu
    • Mei-Ling Liu
    • Rong Lin
    • Ya-Ping Xing
    • Ting-Li Zhao
    • Wen Zhang
    • Ming Zhao
    • Qing-Rong Liu
    • Kai Cao
  • View Affiliations / Copyright

    Affiliations: Department of Internal Medicine, JiZhong Energy XingTai MIG General Hospital, Xingtai, Hebei 054000, P.R. China, Department of Prevention and Health Care, Dahongmen Community Healthcare Center, Beijing 100050, P.R. China, School of Basic Medical Sciences, Shanxi Medical University, Taiyuan, Shanxi 030604, P.R. China, Beijing Institute of Ophthalmology, Beijing Tongren Hospital, Capital Medical University, Beijing 100005, P.R. China
    Copyright: © Liu et al. This is an open access article distributed under the terms of Creative Commons Attribution License.
  • Article Number: 1
    |
    Published online on: October 6, 2020
       https://doi.org/10.3892/wasj.2020.72
  • Expand metrics +
Metrics: Total Views: 0 (Spandidos Publications: | PMC Statistics: )
Metrics: Total PDF Downloads: 0 (Spandidos Publications: | PMC Statistics: )
Cited By (CrossRef): 0 citations Loading Articles...

This article is mentioned in:



Abstract

The aim of the present study was to explore the generic association between the miR‑499 (rs3746444) polymorphism and the risk of ischemic stroke (IS). A systematic review and meta‑analysis was performed, and odds ratios (ORs) and 95% confidence intervals (CIs) were used to quantitatively estimate the association. A total of 8 studies (involving 3,400 IS cases and 3,652 controls) were included in the present meta‑analysis. The results of the allelic model (G allele vs. A allele) revealed a statistically significant association between the miR‑499 (rs3746444) polymorphism and the risk of IS; the OR was 1.16 (95% CI, 1.00‑1.34; P<0.05). Similarly, the results of the recessive model (GG vs. AG + AA), the heterozygote model (AG vs. AA) and the homozygote model (GG vs. AA) were statistically significant; the ORs were 1.36 (95% CI, 1.05‑1.77; P<0.05), 1.11 (95% CI, 1.00‑1.23; P<0.05) and 1.42 (95% CI, 1.09‑1.86; P<0.05), respectively. However, the dominant model (GG + AG vs. AA) did not exhibit any significant differences; the OR was 1.16 (95% CI, 0.99‑1.36; P>0.05). The results of the Q test indicated that the heterogeneity of the allelic model (I2=63%, P=0.01), as well as that of the dominant model (I2=60%, P=0.02), was relatively large. Subsequently, a sensitivity analysis was performed; the I2 of each model then decreased to <50%. Notably, by sensitivity analysis, both the allelic model and the dominant model exhibited a statistically significant association between the miR‑499 (rs3746444) polymorphism and the risk of IS. Egger's test did not reveal any publication bias for any of the models. On the whole, the present study demonstrates that the miR‑499 (rs3746444) polymorphism may contribute to an increased risk of IS.

Introduction

MicroRNAs (miRNAs or miRs) play important roles in gene regulation; more than half of human genes are known to be regulated by miRNAs. miRNAs are also involved in numerous pathological pathways/process, such as the inflammatory response (1,2) and cancer development (3,4), as well as in the formation/development of ischemic stroke (IS) (5-9).

Gene polymorphisms, including the Leu33Pro polymorphism (5), the apolipoprotein E gene polymorphism (among the Chinese population) (6,7), the Gly82Ser polymorphism (8) and the breast susceptibility gene 2 rs9534275 polymorphism (9), have been reported to be associated with an increased risk of IS. Several studies have assessed the association between the miR-499 (rs3746444) polymorphism and the risk of IS; however, the varying conclusions reached by the different studies are contradictory. Jeon et al (10) reported no difference in the allele frequencies of the miR-499 polymorphism between patients with IS and the controls; a previous meta-analysis (11) based on 3 studies reported a similar finding. On the contrary, Darabi et al (12) reported that the miR-499 A/G polymorphism was significantly associated with an increased risk of IS.

Thus, whether the miR-499 polymorphism increases the risk of IS remains controversial. The present study aimed to assess this association through a systematic review and meta-analysis. Odds ratios (ORs) and 95% confidence intervals (CIs) were used to quantitatively estimate the association in 5 models, including the allelic model (G allele vs. A allele), the dominant model (GG + AG vs. AA), the recessive model (GG vs. AG + AA), the heterozygote model (AG vs. AA) and the homozygote model (GG vs. AA).

Materials and methods

Inclusion and exclusion criteria

Studies were selected under the following considerations: i) Studies should use a case-control design; ii) the subjects should include both patients with IS and healthy controls; iii) there must be extractable data on allele frequencies and genotype frequencies; iv) the subjects/models studied should be human, instead of animals or cells.

Studies were excluded if any of the following conditions were met: i) Duplication studies; ii) case reports, letters, editorials, or reviews; iii) studies not written in the English language; iv) studies without extractable data on allele frequencies or genotype frequencies.

Databases and search strategy

A comprehensive literature search was performed using the PubMed, Embase, Science Direct and google scholar databases (from inception to June 15, 2020). The following terms were used to perform the literature search: rs3746444, miRNA-499, microRNA-499, miR-499; with a combination of stroke, ischemic, ischemia, ischemic stroke, cerebrovascular and cerebrovascular disease.

Data extraction

The data were extracted independently by 2 researchers using a predesigned data extraction form; the following information was extracted: i) Name of the first author; ii) year of publication; iii) country where the study was conducted; iv) the study design; v) sample size; vi) gene sequencing method; vii) P-values of Hardy-Weinberg equilibrium (HWE) of the control group. Most importantly, the frequencies of genotypes of the patients with IS and the controls were extracted.

Assessment of methodological quality

Two researchers used the Newcastle-Ottawa scale (13) to assess the quality of the included studies independently. For the Newcastle-Ottawa scale, a full score is 9; a score of 5-9 indicates a high methodological quality, whereas a score of 0-4 indicates poor quality. Any disagreement would be resolved by other authors following a comprehensive reassessment. Low-quality studies were excluded from the current meta-analysis.

Data synthesis and statistical analysis

Prior to the meta-analysis, the heterogeneity across studies was assessed by the Q test and the I2 statistic. I2 describes the percentage of variability caused by heterogeneity rather than by chance. An I2 <50% indicates a small heterogeneity; consequently a fixed-effects model would be used to perform the meta-analysis, otherwise a random-effects model would be used, and a sensitivity analysis (13) would be performed in the case of a large heterogeneity. Odds ratios (ORs) with 95% confidence intervals (CIs) were used to estimate the association between the miR-499 (rs3746444) polymorphism and the risk of IS. Egger's test (14) was used to determine whether there was a publication bias. The significance level was set as 0.05, two-tailed. All the analyses were performed using the open source R program (version 4.0.1).

Results

Study selection

A total of 187 studies were identified through initial database searching. A total of 65 duplicates were removed, and 122 records were reviewed for title and Abstract. In total, 103 irrelevant records and studies not written in the English language were further excluded. A total of 19 articles were full-text reviewed, and 11 records were further excluded due to ineligible study design or the lack of extractable data. The details of the study selection process are presented in Fig. 1.

Figure 1

Flow chart of the study selection.

Characteristics of included studies

A total of 8 studies (10,12,15-20), involving 3,400 patients with IS and 3,652 controls, met the inclusion and exclusion criteria. The characteristics of the included studies are presented in Table I. A total of 5 studies were carried out in China, 2 in Korea and one in Iran. All studies were hospital-based studies, and used a case-control study design. Polymerase chain reaction-restriction fragment length polymorphism (PCR-RFLP) was the most popular method for genotype sequencing. The age and sex of the patients in the selected studies were matched between the patients with IS and the controls in each study. Only in 1 study, the P-value of HWE was <0.05.

Table I

Characteristics of the included studies.

Table I

Characteristics of the included studies.

 Sample size 
AuthorYearCountryStudy designCasesControlsGenotyping methodsP-value (HWE)(Refs.)
Jeon et al2013KoreaHospital-based678553PCR-RFLP0.740(10)
Liu et al2014ChinaHospital-based296391PCR-RFLP0.394(16)
Huang et al2015ChinaHospital-based531531TaqMan0.002(15)
Luo et al2017ChinaHospital-based298303RT-PCR0.447(17)
Darabi et al2019IranHospital-based470489PCR-RFLP0.061(12)
Zhu et al2018ChinaHospital-based296378PCR-RFLP0.512(18)
Hong et al2019KoreaHospital-based264455PCR0.999(19)
Zhu et al2020ChinaHospital-based567552PCR-LDR0.630(20)

[i] PCR, polymerase chain reaction; PCR-RFLP, PCR-restriction fragment length polymorphism; polymerase chain reaction-ligation detection reaction.

Study quality assessment

The mean Newcastle-Ottawa score of the included studies was 7 (Table II); thus, the overall quality of the included studies was high.

Table II

Methodological quality of the studies by the Newcastle-Ottawa scale.

Table II

Methodological quality of the studies by the Newcastle-Ottawa scale.

 Included studies, author, year (Refs.)
ScoreItemsJeon et al, 2013(10)Liu et al, 2014(16)Huang et al, 2015(15)Luo et al, 2017(17)Darabi et al, 2019(12)Zhu et al, 2018(18)Hong et al, 2019(19)Zhu et al, 2020(20)
Selection.Adequate definition of patient cases11111111
 Representativeness of patient cases11111111
 Selection of controls00000000
 Definition of controls11111111
ComparabilityControl for important/additional factor22222211
Exposure.Ascertainment of exposure (blinding)00000000
 Same ascertainment method for participants11111111
 Non-response ratea11111111
Total scoreb 77777777

[i] aWhen there was no significant difference in the response rate between both groups based on a Chi-squared test, 1 point was awarded.

[ii] bTotal score. was calculated by adding up the points awarded in each item.

Results of the allelic model

The results of the allelic model revealed a statistically significant association between the miR-499 (rs3746444) polymorphism and an increased risk of IS (Fig. 2); the OR was 1.16 (95% CI, 1.00-1.34). However, the I2 was 63%, and there was a large heterogeneity across the included studies. A sensitivity analysis was further performed. It was found that after omitting the study of Zhu et al, 2020(20), the I2 decreased to 51.3% (data not shown). Moreover, the conclusion remained unaltered; the association between the miR-499 (rs3746444) polymorphism and the increased risk of IS was still significant; the OR was 1.19 (95% CI, 1.08-1.31; P<0.05) (data not shown).

Figure 2

Forest plot of the allelic model.

Results of the dominant model

The results of the dominant model revealed a non-significant association between the miR-499 (rs3746444) polymorphism and the risk of IS (Fig. 3); the OR was 1.16 (95% CI, 0.99-1.36). The I2 was 60%; a sensitivity analysis was subsequently performed. After omitting the study of Zhu et al, 2020(20), the I2 dropped to 50.9% (data not shown). Notably, the conclusion changed, and there was a statistically significant association between the miR-499 (rs3746444) polymorphism and the risk of IS; the OR was 1.19 (95% CI, 1.07-1.33) (data not shown).

Figure 3

Forest plot of the dominant model.

Results of the recessive model

The results of the recessive model (Fig. 4) revealed a statistically significant association between the miR-499 (rs3746444) polymorphism and the increased risk of IS; the OR was 1.36 (95% CI, 1.05-1.77). The heterogeneity was small (I2=4%).

Figure 4

Forest plot of the recessive model.

Results of the heterozygote model

The results of the heterozygote model (Fig. 5) also revealed a statistically significant association between the miR-499 (rs3746444) polymorphism and the increased risk of IS; the OR was 1.11 (95% CI, 1.00-1.23). The I2 was 50%; the heterogeneity was not large.

Figure 5

Forest plot of the heterozygote model.

Results of the homozygote model

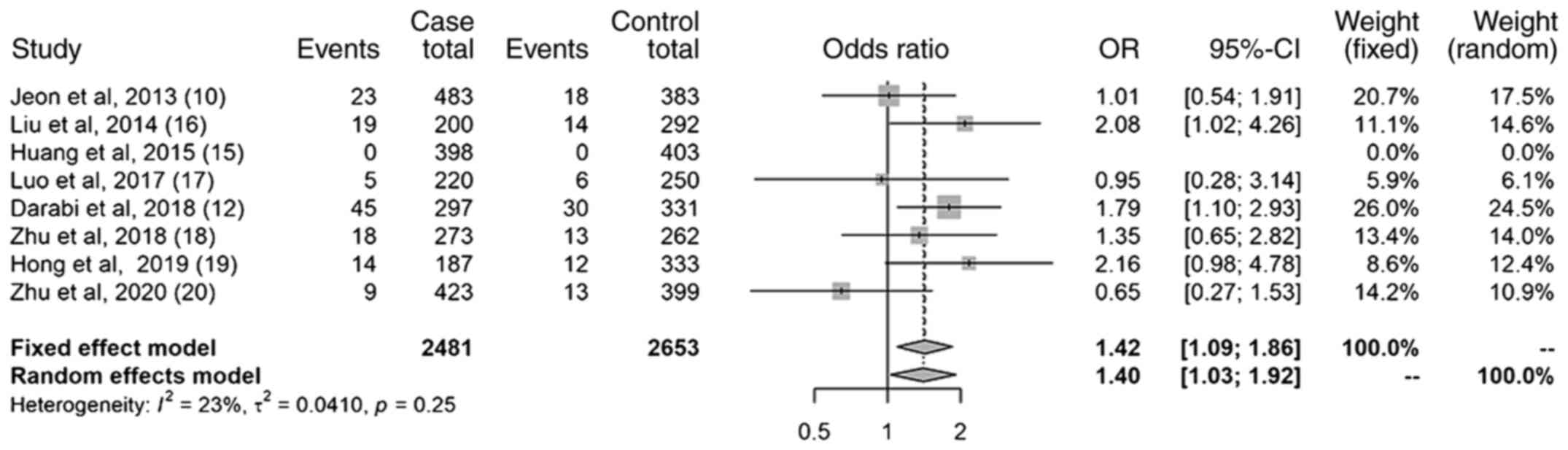
The results of the homozygote model (Fig. 6) revealed a statistically significant association between the miR-499 (rs3746444) polymorphism and the increased risk of IS; the OR was 1.42 (95% CI, 1.09-1.86). The heterogeneity was small (I2=23%).

Figure 6

Forest plot of the homozygote model.

Publication bias

There was no publication bias for all the 5 models according to results of Eggers' test (Table III).

Table III

Egger's test results.

Table III

Egger's test results.

Modelt valueP-value
Allele0.8180.440
Dominant2.2230.067
Recessive-0.9690.377
Heterozygous2.1240.053
Homozygous-0.8980.410

Discussion

The present meta-analysis aimed to determine whether the miR-499 (rs3746444) polymorphism had an influence on the risk of IS based on case-control studies. The main finding was that the miR-499 (rs3746444) polymorphism was associated with an increased risk of IS; the association was statistically significant in the allelic model, the recessive model, the heterozygote model and the homozygote model. Furthermore, by sensitivity analysis, the dominant model was found to be significant.

In a previous review article, Zou et al (21) concluded that the miR-499 (rs3746444) polymorphism may not be associated with a risk of IS in Asian populations. However, in the present study, neither the allelic model, dominant model, recessive model, homozygote model, or the heterozygote model were found to be significant in the study by Zou et al. However, as 3 Chinese articles were included in the review article by Zou et al (21), it is difficult for researchers who do not speak Chinese to repeat the results.

The present study attempted to explain why findings by the previous review article were contrary to those of the present study. Considering that the previous review article focused on a Chinese population, the present study performed a subgroup analysis in the meta-analysis, and studies were divided by ethnicity into subgroup 1 (studies based on Chinese population) and subgroup 2 (studies based on non-Chinese population). Subgroup analysis revealed that the homozygote model and the recessive model of subgroup 1 was indeed non-significant; however, the allelic model, the dominant model, and the heterozygote model still exhibited a significant association between the miR-499 (rs3746444) polymorphisms and the increased risk of IS. Notably, there was a tendency that the ORs of subgroup 2 were larger than those of subgroup 1. The results of subgroup analysis indicated that the association between the miR-499 (rs3746444) polymorphism and the risk of IS may vary for different ethnicities (data not shown). The relatively small sample size of the study by Zou et al (21) (there were only 4 studies if the 3 articles written in Chinese were not counted) may be another reason why non-significant results were found, and that is why an updated meta-analysis is of utmost importance.

The association between the miR-499 polymorphism and the increased risk of IS was understandable: It has been reported that hsa-miR-499 plays a role in cell apoptosis under ischemic conditions (22); the mechanisms involved may be that miR-499 inhibits cell apoptosis by suppressing the dephosphorylation of dynamin-related protein-1 (Drp1) that is mediated by calcineurin. miR-499 affects the regulation of C-reactive protein (CRP) (23), and C-reactive protein has been reported to be a cause of cerebral ischemia (24). Similarly, TNF-α (25), another general cause of cerebral ischemia, has been reported to be regulated by miR-499; both CRP and TNF-α are activated under conditions of stress (26). Furthermore, it has been reported that the thrombosis and inflammation pathways of the.

In conclusion, miR-circulation system can be influenced by the miR-499 (rs3746444) polymorphism; an A:U pair to a G:U mismatch of hsa-miR-499 precursor caused by miR-499 (rs3746444) (27,28) polymorphism can alter the function/expression of mature hsa-miR-499, and the regulation of its' target mRNAs. The miR-499 polymorphism is associated with a risk of IS, and the G allele increases the risk of IS.

There are two limitations to the current meta-analysis. On the one hand, all the included studies used a case-control design; there may thus be a selection bias, which could enhance or weaken the true association between miR-499 polymorphism and the risk of IS. On the other hand, subgroup analysis based on 8 studies was not sufficient; thus, whether the association between the miR-499 polymorphism and risk of IS is dependent on ethnicity remains a matter of debate.

Acknowledgements

Not applicable.

Funding

Not applicable.

Availability of data and materials

The datasets used and/or analyzed during the current study is available from the corresponding author on reasonable request.

Authors' contributions

KC designed the study. XHL and MLL performed the literature search and manuscript writing. RL extracted the data for the analysis. YPX performed the quality control of the extracted data. MZ and QRL performed the data analysis. WZ and TLZ interpreted the data and revised the manuscript. All authors read and approved the final manuscript.

Ethics approval and consent to participate

Not applicable.

Patient consent for publication

Not applicable.

Competing interests

The authors declare that they have no competing interests.

References

1 

Olivieri F, Capri M, Bonafe M, Morsiani C, Jung HJ, Spazzafumo L, Vina J and Suh Y: Circulating miRNAs and miRNA shuttles as biomarkers: Perspective trajectories of healthy and unhealthy aging. Mech Ageing Dev. 165:162–170. 2017.PubMed/NCBI View Article : Google Scholar

2 

Xu XM and Zhang HJ: MiRNAs as new molecular insights into inflammatory bowel disease: Crucial regulators in autoimmunity and inflammation. World J Gastroenterol. 22:2206–2218. 2016.PubMed/NCBI View Article : Google Scholar

3 

Qadir MI and Faheem A: MiRNA: A diagnostic and therapeutic tool for pancreatic cancer. Crit Rev Eukaryot Gene Expr. 27:197–204. 2017.PubMed/NCBI View Article : Google Scholar

4 

Huang Z, Zhu D, Wu L, He M, Zhou X, Zhang L, Zhang H, Wang W, Zhu J, Cheng W, et al: Six serum-based miRNAs as potential diagnostic biomarkers for gastric cancer. Cancer Epidemiol Biomarkers Prev. 26:188–196. 2017.PubMed/NCBI View Article : Google Scholar

5 

Kekomaki S, Hamalainen L, Kauppinen-Makelin R, Palomaki H, Kaste M and Kontula K: Genetic polymorphism of platelet glycoprotein IIIa in patients with acute myocardial infarction and acute ischaemic stroke. J Cardiovasc Risk. 6:13–17. 1999.PubMed/NCBI View Article : Google Scholar

6 

Gu L, Su L, Chen Q, Liang B, Qin Y, Xie J, Wu G, Yan Y, Long J, Wu H, et al: Association between the apolipoprotein E gene polymorphism and ischemic stroke in Chinese populations: New data and meta-analysis. Exp Ther Med. 5:853–859. 2013.PubMed/NCBI View Article : Google Scholar

7 

Ariyaratnam R, Casas JP, Whittaker J, Smeeth L, Hingorani AD and Sharma P: Genetics of ischaemic stroke among persons of non-European descent: A meta-analysis of eight genes involving approximately 32,500 individuals. PLoS Med. 4(e131)2007.PubMed/NCBI View Article : Google Scholar

8 

Ma WQ, Qu QR, Zhao Y and Liu NF: Association of RAGE gene Gly82Ser polymorphism with coronary artery disease and ischemic stroke: A systematic review and meta-analysis. Medicine (Baltimore). 95(e5593)2016.PubMed/NCBI View Article : Google Scholar

9 

Miao L, Yin RX, Yang S, Huang F, Chen WX and Cao XL: Association between single nucleotide polymorphism rs9534275 and the risk of coronary artery disease and ischemic stroke. Lipids Health Dis. 16(193)2017.PubMed/NCBI View Article : Google Scholar

10 

Jeon YJ, Kim OJ, Kim SY, Oh SH, Oh D, Kim OJ, Shin BS and Kim NK: Association of the miR-146a, miR-149, miR-196a2, and miR-499 polymorphisms with ischemic stroke and silent brain infarction risk. Arterioscler Thromb Vasc Biol. 33:420–430. 2013.PubMed/NCBI View Article : Google Scholar

11 

Xiao Y, Bao MH, Luo HQ, Xiang J and Li JM: A meta-analysis of the association between polymorphisms in MicroRNAs and risk of ischemic stroke. Genes (Basel). 6:1283–1299. 2015.PubMed/NCBI View Article : Google Scholar

12 

Darabi H, Salmaninejad A, Jaripour ME, Azarpazhooh MR, Mojarrad M and Sadr-Nabavi A: Association of the genetic polymorphisms in immunoinflammatory microRNAs with risk of ischemic stroke and subtypes in an Iranian population. J Cell Physiol. 234:3874–3886. 2019.PubMed/NCBI View Article : Google Scholar

13 

Wells GA, Shea B, O'Connell D, Peterson J, Welch V, Losos M and Tugwell P: The Newcastle-Ottawa Scale (NOS) for assessing the quality of nonrandomised studies in meta-analyses. The Ottawa Hospital Research Institute. urihttp://www.ohri.ca/programs/clinical_epidemiology/oxford.aspsimplehttp://www.ohri.ca/programs/clinical_epidemiology/oxford.asp.

14 

Egger M, Davey Smith G, Schneider M and Minder C: Bias in meta-analysis detected by a simple, graphical test. BMJ. 315:629–634. 1997.PubMed/NCBI View Article : Google Scholar

15 

Huang S, Zhou S, Zhang Y, Lv Z, Li S, Xie C, Ke Y, Deng P, Geng Y, Zhang Q, et al: Association of the genetic polymorphisms in pre-microRNAs with risk of ischemic stroke in a Chinese population. PLoS One. 10(e117007)2015.PubMed/NCBI View Article : Google Scholar

16 

Liu Y, Ma Y, Zhang B, Wang SX, Wang XM and Yu JM: Genetic polymorphisms in pre-microRNAs and risk of ischemic stroke in a Chinese population. J Mol Neurosci. 52:473–480. 2014.PubMed/NCBI View Article : Google Scholar

17 

Luo HC, Luo QS, Wang CF, Lei M, Li BL and Wei YS: Association of miR-146a, miR-149, miR-196a2, miR-499 gene polymorphisms with ischemic stroke in a Chinese people. Oncotarget. 8:81295–81304. 2017.PubMed/NCBI View Article : Google Scholar

18 

Zhu X, Hou R, Ma A, Yang S and Pan X: Associations of miR-146a, miR-149, miR-196a2, and miR-499 polymorphisms with ischemic stroke in the Northern Chinese Han population. Med Sci Monit. 24:7366–7374. 2018.PubMed/NCBI View Article : Google Scholar

19 

Hong SJ, Kim SK, Yun DH, Chon J and Park HJ: Association between MicroRNA-4669 polymorphism and ischemic stroke in a Korean population. Dis Markers. 2019(7238319)2019.PubMed/NCBI View Article : Google Scholar

20 

Zhu R, Wang QW, Zhao J, Liu X and He Z: MiR-149 and miR-499 gene polymorphism and the incident of ischemic stroke in the Asian population: From a case-control study to meta-analysis. Clin Neurol Neurosurg. 193(105789)2020.PubMed/NCBI View Article : Google Scholar

21 

Zou D, Liu C, Zhang Q, Li X, Qin G, Huang Q, Meng Y, Chen L and Wei J: Association between polymorphisms in microRNAs and ischemic stroke in an Asian population: Evidence based on 6,083 cases and 7,248 controls. Clin Interv Aging. 13:1709–1726. 2018.PubMed/NCBI View Article : Google Scholar

22 

Wang JX, Jiao JQ, Li Q, Long B, Wang K, Liu JP, Li YR and Li PF: MiR-499 regulates mitochondrial dynamics by targeting calcineurin and dynamin-related protein-1. Nat Med. 17:71–78. 2011.PubMed/NCBI View Article : Google Scholar

23 

Yang B, Chen J, Li Y, Zhang J, Li D, Huang Z, Cai B, Li L, Shi Y, Ying B and Wang L: Association of polymorphisms in pre-miRNA with inflammatory biomarkers in rheumatoid arthritis in the Chinese Han population. Hum Immunol. 73:101–106. 2012.PubMed/NCBI View Article : Google Scholar

24 

Cattin L, Da Col PG, Feruglio FS, Finazzo L, Rimondi S, Descovich G, Manzato E, Zambon S, Crepaldi G, Siepi D, et al: Efficacy of ciprofibrate in primary type II and IV hyperlipidemia: The Italian multicenter study. Clin Ther. 12:482–488. 1990.PubMed/NCBI

25 

El Gazzar M, Church A, Liu T and McCall CE: MicroRNA-146a regulates both transcription silencing and translation disruption of TNF-α during TLR4-induced gene reprogramming. J Leukoc Biol. 90:509–519. 2011.PubMed/NCBI View Article : Google Scholar

26 

Calcagni E and Elenkov I: Stress system activity, innate and T helper cytokines, and susceptibility to immune-related diseases. Ann N Y Acad Sci. 1069:62–76. 2006.PubMed/NCBI View Article : Google Scholar

27 

Hu Z, Liang J, Wang Z, Tian T, Zhou X, Chen J, Miao R, Wang Y, Wang X and Shen H: Common genetic variants in pre-microRNAs were associated with increased risk of breast cancer in Chinese women. Hum Mutat. 30:79–84. 2009.PubMed/NCBI View Article : Google Scholar

28 

Xiang Y, Fan S, Cao J, Huang S and Zhang LP: Association of the microRNA-499 variants with susceptibility to hepatocellular carcinoma in a Chinese population. Mol Biol Rep. 39:7019–7023. 2012.PubMed/NCBI View Article : Google Scholar

Related Articles

  • Abstract
  • View
  • Download
Copy and paste a formatted citation
Spandidos Publications style
Liu X, Liu M, Lin R, Xing Y, Zhao T, Zhang W, Zhao M, Liu Q and Cao K: Association between miR‑499 rs3746444 polymorphism and the risk of ischemic stroke: A systematic review and meta‑analysis. World Acad Sci J 3: 1, 2021.
APA
Liu, X., Liu, M., Lin, R., Xing, Y., Zhao, T., Zhang, W. ... Cao, K. (2021). Association between miR‑499 rs3746444 polymorphism and the risk of ischemic stroke: A systematic review and meta‑analysis. World Academy of Sciences Journal, 3, 1. https://doi.org/10.3892/wasj.2020.72
MLA
Liu, X., Liu, M., Lin, R., Xing, Y., Zhao, T., Zhang, W., Zhao, M., Liu, Q., Cao, K."Association between miR‑499 rs3746444 polymorphism and the risk of ischemic stroke: A systematic review and meta‑analysis". World Academy of Sciences Journal 3.1 (2021): 1.
Chicago
Liu, X., Liu, M., Lin, R., Xing, Y., Zhao, T., Zhang, W., Zhao, M., Liu, Q., Cao, K."Association between miR‑499 rs3746444 polymorphism and the risk of ischemic stroke: A systematic review and meta‑analysis". World Academy of Sciences Journal 3, no. 1 (2021): 1. https://doi.org/10.3892/wasj.2020.72
Copy and paste a formatted citation
x
Spandidos Publications style
Liu X, Liu M, Lin R, Xing Y, Zhao T, Zhang W, Zhao M, Liu Q and Cao K: Association between miR‑499 rs3746444 polymorphism and the risk of ischemic stroke: A systematic review and meta‑analysis. World Acad Sci J 3: 1, 2021.
APA
Liu, X., Liu, M., Lin, R., Xing, Y., Zhao, T., Zhang, W. ... Cao, K. (2021). Association between miR‑499 rs3746444 polymorphism and the risk of ischemic stroke: A systematic review and meta‑analysis. World Academy of Sciences Journal, 3, 1. https://doi.org/10.3892/wasj.2020.72
MLA
Liu, X., Liu, M., Lin, R., Xing, Y., Zhao, T., Zhang, W., Zhao, M., Liu, Q., Cao, K."Association between miR‑499 rs3746444 polymorphism and the risk of ischemic stroke: A systematic review and meta‑analysis". World Academy of Sciences Journal 3.1 (2021): 1.
Chicago
Liu, X., Liu, M., Lin, R., Xing, Y., Zhao, T., Zhang, W., Zhao, M., Liu, Q., Cao, K."Association between miR‑499 rs3746444 polymorphism and the risk of ischemic stroke: A systematic review and meta‑analysis". World Academy of Sciences Journal 3, no. 1 (2021): 1. https://doi.org/10.3892/wasj.2020.72
Follow us
  • Twitter
  • LinkedIn
  • Facebook
About
  • Spandidos Publications
  • Careers
  • Cookie Policy
  • Privacy Policy
How can we help?
  • Help
  • Live Chat
  • Contact
  • Email to our Support Team