Spandidos Publications Logo
  • About
    • About Spandidos
    • Aims and Scopes
    • Abstracting and Indexing
    • Editorial Policies
    • Reprints and Permissions
    • Job Opportunities
    • Terms and Conditions
    • Contact
  • Journals
    • All Journals
    • Oncology Letters
      • Oncology Letters
      • Information for Authors
      • Editorial Policies
      • Editorial Board
      • Aims and Scope
      • Abstracting and Indexing
      • Bibliographic Information
      • Archive
    • International Journal of Oncology
      • International Journal of Oncology
      • Information for Authors
      • Editorial Policies
      • Editorial Board
      • Aims and Scope
      • Abstracting and Indexing
      • Bibliographic Information
      • Archive
    • Molecular and Clinical Oncology
      • Molecular and Clinical Oncology
      • Information for Authors
      • Editorial Policies
      • Editorial Board
      • Aims and Scope
      • Abstracting and Indexing
      • Bibliographic Information
      • Archive
    • Experimental and Therapeutic Medicine
      • Experimental and Therapeutic Medicine
      • Information for Authors
      • Editorial Policies
      • Editorial Board
      • Aims and Scope
      • Abstracting and Indexing
      • Bibliographic Information
      • Archive
    • International Journal of Molecular Medicine
      • International Journal of Molecular Medicine
      • Information for Authors
      • Editorial Policies
      • Editorial Board
      • Aims and Scope
      • Abstracting and Indexing
      • Bibliographic Information
      • Archive
    • Biomedical Reports
      • Biomedical Reports
      • Information for Authors
      • Editorial Policies
      • Editorial Board
      • Aims and Scope
      • Abstracting and Indexing
      • Bibliographic Information
      • Archive
    • Oncology Reports
      • Oncology Reports
      • Information for Authors
      • Editorial Policies
      • Editorial Board
      • Aims and Scope
      • Abstracting and Indexing
      • Bibliographic Information
      • Archive
    • Molecular Medicine Reports
      • Molecular Medicine Reports
      • Information for Authors
      • Editorial Policies
      • Editorial Board
      • Aims and Scope
      • Abstracting and Indexing
      • Bibliographic Information
      • Archive
    • World Academy of Sciences Journal
      • World Academy of Sciences Journal
      • Information for Authors
      • Editorial Policies
      • Editorial Board
      • Aims and Scope
      • Abstracting and Indexing
      • Bibliographic Information
      • Archive
    • International Journal of Functional Nutrition
      • International Journal of Functional Nutrition
      • Information for Authors
      • Editorial Policies
      • Editorial Board
      • Aims and Scope
      • Abstracting and Indexing
      • Bibliographic Information
      • Archive
    • International Journal of Epigenetics
      • International Journal of Epigenetics
      • Information for Authors
      • Editorial Policies
      • Editorial Board
      • Aims and Scope
      • Abstracting and Indexing
      • Bibliographic Information
      • Archive
    • Medicine International
      • Medicine International
      • Information for Authors
      • Editorial Policies
      • Editorial Board
      • Aims and Scope
      • Abstracting and Indexing
      • Bibliographic Information
      • Archive
  • Articles
  • Information
    • Information for Authors
    • Information for Reviewers
    • Information for Librarians
    • Information for Advertisers
    • Conferences
  • Language Editing
Spandidos Publications Logo
  • About
    • About Spandidos
    • Aims and Scopes
    • Abstracting and Indexing
    • Editorial Policies
    • Reprints and Permissions
    • Job Opportunities
    • Terms and Conditions
    • Contact
  • Journals
    • All Journals
    • Biomedical Reports
      • Information for Authors
      • Editorial Policies
      • Editorial Board
      • Aims and Scope
      • Abstracting and Indexing
      • Bibliographic Information
      • Archive
    • Experimental and Therapeutic Medicine
      • Information for Authors
      • Editorial Policies
      • Editorial Board
      • Aims and Scope
      • Abstracting and Indexing
      • Bibliographic Information
      • Archive
    • International Journal of Epigenetics
      • Information for Authors
      • Editorial Policies
      • Editorial Board
      • Aims and Scope
      • Abstracting and Indexing
      • Bibliographic Information
      • Archive
    • International Journal of Functional Nutrition
      • Information for Authors
      • Editorial Policies
      • Editorial Board
      • Aims and Scope
      • Abstracting and Indexing
      • Bibliographic Information
      • Archive
    • International Journal of Molecular Medicine
      • Information for Authors
      • Editorial Policies
      • Editorial Board
      • Aims and Scope
      • Abstracting and Indexing
      • Bibliographic Information
      • Archive
    • International Journal of Oncology
      • Information for Authors
      • Editorial Policies
      • Editorial Board
      • Aims and Scope
      • Abstracting and Indexing
      • Bibliographic Information
      • Archive
    • Medicine International
      • Information for Authors
      • Editorial Policies
      • Editorial Board
      • Aims and Scope
      • Abstracting and Indexing
      • Bibliographic Information
      • Archive
    • Molecular and Clinical Oncology
      • Information for Authors
      • Editorial Policies
      • Editorial Board
      • Aims and Scope
      • Abstracting and Indexing
      • Bibliographic Information
      • Archive
    • Molecular Medicine Reports
      • Information for Authors
      • Editorial Policies
      • Editorial Board
      • Aims and Scope
      • Abstracting and Indexing
      • Bibliographic Information
      • Archive
    • Oncology Letters
      • Information for Authors
      • Editorial Policies
      • Editorial Board
      • Aims and Scope
      • Abstracting and Indexing
      • Bibliographic Information
      • Archive
    • Oncology Reports
      • Information for Authors
      • Editorial Policies
      • Editorial Board
      • Aims and Scope
      • Abstracting and Indexing
      • Bibliographic Information
      • Archive
    • World Academy of Sciences Journal
      • Information for Authors
      • Editorial Policies
      • Editorial Board
      • Aims and Scope
      • Abstracting and Indexing
      • Bibliographic Information
      • Archive
  • Articles
  • Information
    • For Authors
    • For Reviewers
    • For Librarians
    • For Advertisers
    • Conferences
  • Language Editing
Login Register Submit
  • This site uses cookies
  • You can change your cookie settings at any time by following the instructions in our Cookie Policy. To find out more, you may read our Privacy Policy.

    I agree
Search articles by DOI, keyword, author or affiliation
Search
Advanced Search
presentation
World Academy of Sciences Journal
Join Editorial Board Propose a Special Issue
Print ISSN: 2632-2900 Online ISSN: 2632-2919
Journal Cover
September-October 2024 Volume 6 Issue 5

Full Size Image

Sign up for eToc alerts
Recommend to Library

Journals

International Journal of Molecular Medicine

International Journal of Molecular Medicine

International Journal of Molecular Medicine is an international journal devoted to molecular mechanisms of human disease.

International Journal of Oncology

International Journal of Oncology

International Journal of Oncology is an international journal devoted to oncology research and cancer treatment.

Molecular Medicine Reports

Molecular Medicine Reports

Covers molecular medicine topics such as pharmacology, pathology, genetics, neuroscience, infectious diseases, molecular cardiology, and molecular surgery.

Oncology Reports

Oncology Reports

Oncology Reports is an international journal devoted to fundamental and applied research in Oncology.

Experimental and Therapeutic Medicine

Experimental and Therapeutic Medicine

Experimental and Therapeutic Medicine is an international journal devoted to laboratory and clinical medicine.

Oncology Letters

Oncology Letters

Oncology Letters is an international journal devoted to Experimental and Clinical Oncology.

Biomedical Reports

Biomedical Reports

Explores a wide range of biological and medical fields, including pharmacology, genetics, microbiology, neuroscience, and molecular cardiology.

Molecular and Clinical Oncology

Molecular and Clinical Oncology

International journal addressing all aspects of oncology research, from tumorigenesis and oncogenes to chemotherapy and metastasis.

World Academy of Sciences Journal

World Academy of Sciences Journal

Multidisciplinary open-access journal spanning biochemistry, genetics, neuroscience, environmental health, and synthetic biology.

International Journal of Functional Nutrition

International Journal of Functional Nutrition

Open-access journal combining biochemistry, pharmacology, immunology, and genetics to advance health through functional nutrition.

International Journal of Epigenetics

International Journal of Epigenetics

Publishes open-access research on using epigenetics to advance understanding and treatment of human disease.

Medicine International

Medicine International

An International Open Access Journal Devoted to General Medicine.

Journal Cover
September-October 2024 Volume 6 Issue 5

Full Size Image

Sign up for eToc alerts
Recommend to Library

  • Article
  • Citations
    • Cite This Article
    • Download Citation
    • Create Citation Alert
    • Remove Citation Alert
    • Cited By
  • Similar Articles
    • Related Articles (in Spandidos Publications)
    • Similar Articles (Google Scholar)
    • Similar Articles (PubMed)
  • Download PDF
  • Download XML
  • View XML

  • Supplementary Files
    • Supplementary_Data1.pdf
    • Supplementary_Data2.pdf
Article Open Access

Mendelian randomization study of the association between cathepsins and melanoma

  • Authors:
    • Wenwen Wang
    • Jun Li
  • View Affiliations / Copyright

    Affiliations: Department of Dermatology, Peking Union Medical College Hospital, Chinese Academy of Medical Sciences and Peking Union Medical College, Beijing 100730, P.R. China
    Copyright: © Wang et al. This is an open access article distributed under the terms of Creative Commons Attribution License [CC BY 4.0].
  • Article Number: 47
    |
    Published online on: July 3, 2024
       https://doi.org/10.3892/wasj.2024.262
  • Expand metrics +
Metrics: Total Views: 0 (Spandidos Publications: | PMC Statistics: )
Metrics: Total PDF Downloads: 0 (Spandidos Publications: | PMC Statistics: )
Cited By (CrossRef): 0 citations Loading Articles...

This article is mentioned in:



Abstract

Malignant melanoma is a skin tumor with a poor prognosis. Therefore, it is critical to explore the risk factors associated with the outcome of this tumor. In the present study, Mendelian randomization (MR) was used to investigate the causal association between cathepsins and malignant melanoma. Summary statistical data on five cathepsins from European participants were extracted as exposure data. Data on melanoma from a genome‑wide association study of European ancestry were used as outcome data. Single nucleotide polymorphisms associated with cathepsins were used as instrumental variables (IVs). In a genome‑wide association study of malignant melanoma including 3,751 melanoma cases and 372,016 European ancestry controls, MR analysis was conducted to examine the effects of these IVs on melanoma. The inverse variance‑weighted method was used for MR analysis. In addition, MR‑Egger, weighted median and MR pleiotropy residual sum were used for complementary analyses. Furthermore, a series of sensitivity analyses were performed to ensure the validity and robustness of the results. The gene‑predicted results indicated no causal association between the five cathepsins and malignant melanoma (P>0.05). Cathepsin S [odds ratio (OR), 1.000; 95% confidence interval (CI), 0.999‑1.001; P=0.943], cathepsin B (OR, 1.000; 95% CI, 0.999‑1.001; P=0.763), cathepsin O (OR, 1.000; 95% CI, 0.999‑1.001; P=0.646), cathepsin E (OR, 0.999; 95% CI, 0.998‑1.001; P=0.375) and cathepsin L2 (OR, 1.101; 95% CI, 0.831‑1.458; P=0.503) were not significantly associated with the risk of developing melanoma. Sensitivity analysis demonstrated no significant bias in the aforementioned results. On the whole, in the present study, MR analysis did not provide evidence that cathepsins (cathepsin S, cathepsin B, cathepsin O, cathepsin E and cathepsin L2) are causally related to malignant melanoma.

Introduction

Melanoma is an invasive malignant tumor originating from melanocytes (1). The incidence of melanoma exhibits a linear increase in the age group of 25 to 50 years (2). Although melanoma is less common than other types of skin cancer, it accounts for 73% of skin cancer-related mortality (3), with a 5-year survival rate of only ~18%. It is considered that the incidence and mortality rates of melanoma will continue to increase over the next 10 years (4,5). Regrettably, early surgical treatment and late-stage radiation therapy and chemotherapy have not yielded satisfactory therapeutic effects for patients with melanoma (6). Hence, the identification of the risk factors involved in the occurrence of melanoma is of utmost importance.

Studies have indicated a marked increase in the expression and secretion of cathepsins in cancer, which play recognized roles in cancer progression (7,8). Within tumor cells, cathepsins and their messenger RNAs are frequently upregulated, leading to the secretion of excess proenzyme (unprocessed form) (7). Extracellular cathepsins have been isolated from cancer cell culture media, constituting 40% of total secreted proteins, and have been observed in the serum of patients with cancer (9). Cathepsins play crucial roles in the occurrence, development and metastasis of melanoma (8,10). Secreted cathepsins promote melanoma invasion and metastasis by directly and indirectly facilitating extracellular matrix degradation (11,12). Saenger et al (13) utilized reverse transcription-polymerase chain reaction to measure preprocessed peripheral blood samples from 218 patients with melanoma, demonstrating that the expression levels of cathepsins in peripheral blood can predict the survival rates of patients with melanoma. Elevated levels of cathepsins were shown to be associated with the favorable prognosis of patients with melanoma (13). Kos et al (14) used quantitative enzyme-linked immunosorbent assay to measure cathepsin B levels in the serum of 43 patients with metastatic melanoma, 54 patients with in situ cutaneous melanoma (the absence of evidence of tumor metastasis) and 30 healthy blood donors. The results of their study revealed significantly higher levels of cathepsin B in the serum of patients with metastatic melanoma compared with healthy individuals, and patients with metastatic melanoma with high levels of cathepsin B exhibited markedly lower overall survival rates than those with low levels of cathepsin B (14). These associations suggest a link between cathepsins and malignant melanoma; however, causal associations cannot be established from observational studies due to confounding and reverse causality. These studies may be influenced by various confounding factors, such as the voluntary treatment choices of patients and incomplete data records, potentially resulting in the decreased internal validity of the research findings. Furthermore, causal associations cannot be established from these studies. Manipulating independent variables through data collection and outcome observation does not allow for the verification of causality.

In the present study, Mendelian randomization (MR) was used to validate the causal associations in assessing the role of cathepsins in the development of melanoma. With MR, the impact of exposure (cathepsins) on the risk of developing melanoma is assessed using genetic instrumental variables (IVs) (15). As IVs are randomly distributed in conceptualization, they are not influenced by confounding factors. In genome-wide association studies (GWASs), the common genetic variants associated with cathepsins serve as IVs for measuring cathepsins. The present study also discusses the causal risk of melanoma development from a genetic perspective, providing a basis for further prevention and diagnosis.

Materials and methods

Study design

A two-sample MR was conducted utilizing GWAS data. The MR method was based on the following three assumptions (Fig. 1) (16,17): i) The genetic variants selected as IVs are associated with cathepsins; ii) the genetic variants are independent of any unmeasured confounding factors; iii) the genetic variants are associated with malignant melanoma solely through cathepsins and not through other pathways.

Figure 1

The theory of Mendelian randomization analysis. The broken lines indicate potential pleiotropic or direct causal effects between variables that would not be consistent with the Mendelian randomization assumptions. SNP, single nucleotide polymorphism. The figure was taken and modified from a previous study (17).

Data sources

The GWAS involved in malignant melanoma and cathepsins utilized data from GWAS databases. Specifically, the GWAS data for malignant melanoma were sourced from the UK Biobank (https://www.ukbiobank.ac.uk), and the data for cathepsins were obtained from the GWAS Catalog (https://gwas.mrcieu.ac.uk/datasets). The summarized levels of cathepsin S, cathepsin B, cathepsin O, cathepsin E and cathepsin L2 in the European population were extracted from the comprehensive summary data of GWAS protein-level summaries described by Sun et al (18). As regards the outcome data details, the melanoma data from the UK Biobank included 3,751 cases and 372,016 controls, covering a total of 11,396,019 single nucleotide polymorphisms (SNPs). All melanoma cases met the diagnostic criteria for melanoma: immunohistochemical staining revealed positivity for characteristic markers of melanocytes, including S100, Melan-A, and HMB45(19). The study design, quality control procedures, phenotype definition and inference methods for GWAS were described in the previous publication where sample collection was reported (20). Participants in these data sources were of European ancestry. The intentional selection of European participants helps ensure sample population homogeneity, reduce confounding factors and enhance result reliability. As the data included in the present study have been previously published, ethical approval or informed consent were not required (20). Detailed information regarding the data sources is provided in Table I, along with corresponding links to the specific data sources (Table SI).

Table I

Mendelian randomization results for the causal effects of cathepsins on melanoma.

Table I

Mendelian randomization results for the causal effects of cathepsins on melanoma.

 IVWMR-EggerWeighted modeWeighted median IVW-HeterogeneityPleiotropy
TraitSNPsOR (95% CI)P-valueOR (95% CI)P-valueOR (95% CI)P-valueOR (95% CI)P-valueI2P-valueEgger interceptP-value
Cathepsin S231.000 (0.999-1.001)0.9431.000 (0.999-1.001)0.9241.000 (0.999-1.001)0.8361.000 (0.999-1.001)0.80.1980.196-9.30E-060.947
Cathepsin B171.000 (0.999-1.001)0.7631.000 (0.998-1.002)0.7970.999 (0.998-1.001)0.340.999 (0.998-1.001)0.320.1580.268-0.00011180.673
Cathepsin O101.000 (0.999-1.001)0.6460.998 (0.996-1.001)0.2941.000 (0.997-1.003)0.951.000 (0.998-1.002)0.9270.7420.8200.00030420.335
Cathepsin E110.999 (0.998-1.001)0.3751.000 (0.997-1.003)0.8091.000 (0.998-1.002)0.9061.000 (0.998-1.001)0.8571.4480.943-0.00016680.489
Cathepsin L2111.000 (0.999-1.001)0.8721.001 (0.998-1.004)0.4041.001 (0.998-1.004)0.4471.000 (0.998-1.004)0.3230.2120.242-0.00023780.394

[i] Estimates of inverse-variance weighted, MR-Egger and weighted median of matrix metalloproteinases on sepsis in the Mendelian randomization analysis. SNPs, single nucleotide polymorphisms; IVW, inverse variance weighted; OR, odds ratio; CI, confidence interval; MR-Egger, Mendelian randomization-Egger.

Genetic variants

As regards the exposure data, genetic variants exceeding the genome-wide association thresholds (P<5.0x10-6) were selected as IVs, and a clumping algorithm (r2 threshold=0.001; kb=10,000 mB) was used to eliminate linkage disequilibrium. Additionally, the strength of the instrument was assessed using the F-statistic (F-value calculation formula below), which is approximated by the squared SNP-phenotype association divided by its variance. A potential weak instrument is indicated by an F-statistic <10(21). Therefore, strongly correlated IVs, based on an F-statistic >10, were selected to meet the assumption of correlation in MR analysis as follows:

where beta represents the effect size of SNP exposure, and SE is the standard error of SNP exposure. A total of 23 SNPs were found to be associated with cathepsin S, 17 SNPs with cathepsin B, 11 SNPs with cathepsin O, 11 SNPs with cathepsin E and 11 SNPs with cathepsin L2. The effect sizes of changes in cathepsins for each additional effect allele are presented in Table SII, Table SIII, Table SIV, Table SV and Table SVI. No linkage disequilibrium was observed among the SNPs.

Two-sample MR analysis

MR analysis, a prominent tool for determining the causal effect of exposure variables on outcomes via genetic variation, was used to confirm the causal association between cathepsins and melanoma (22,23). Various MR techniques, including inverse variance weighted (IVW), MR-Egger, weighted median (WM) and weighted mode, were utilized. Notably, the IVW and MR-Egger techniques, commonly utilized as fundamental methodologies in MR analysis worldwide, play essential roles. An IVW analysis was conducted, utilizing multiplicative random effects assuming balanced pleiotropy, with SNP-specific Wald estimates, i.e., SNP-outcome association divided by SNP-exposure association, as the main analysis. Additionally, sensitivity analyses were performed using WM and MR-Egger (24). The WM assumes that 50% of the weight comes from valid SNPs. Furthermore, MR-Egger exhibited robustness to genetically invalid instruments due to instrument strength independent of direct effect, meaning the instruments do not confound the exposure of the outcomes. A zero MR-Egger intercept indicated no evidence for this genetic pleiotropy. IVW, serving as the main tool, determines causal links between exposure variables and outcomes in MR analysis, with a result deemed significant when the P-value of IVW is <0.05. Additionally, under the condition of IVW, the direction of MR-Egger and the WM method must align with that of IVW. To eliminate bias, MR-PRESSO (https://github.com/rondolab/MR-PRESSO) was used to detect and correct potentially pleiotropic outliers (SNPs) for all reported results. Heterogeneity, quantified using Cochran Q statistics and I² statistics, increased with larger I² values. Further analysis included leave-one-out analysis conducted by removing each SNP to assess the stability and reliability of the MR results. The final results, depicted using forest plots, scatter plots and funnel plots, showcased the effectiveness of the MR analysis methods. These methods were implemented using the ‘Two-SampleMR’ (https://mrcieu.github.io/TwoSampleMR) and ‘MR-PRESSO’ (https://github.com/rondolab/MR-PRESSO) R packages in R (version 4.0.3).

Statistical analysis

IVW: IVW is a method used in MR for the meta-analysis of the effects of multiple SNPs across different locus. The prerequisite for applying IVW is that all SNPs serve as valid IVs and are completely independent of each other. WM: WM represents the median of the distribution function obtained by sorting the individual SNP effect values according to weights. When at least 50% of the information comes from valid IVs, WM can provide robust estimates. Weighted mode: The weighted mode method evaluates the combined effects of different genotypes on the phenotype by calculating the weighted average of each genotype. This approach can better control the impact of genotype frequency differences on the analysis results, thereby improving the robustness and accuracy of the analysis. MR-Egger method: MR-Egger does not enforce the regression line to pass through the origin, allowing for the inclusion of IVs with directional pleiotropy. The presence of genetic pleiotropy is indicated when the regression intercept is non-zero and P<0.05. MR-PRESSO method: MR-PRESSO can be used to obtain more accurate estimates by identifying and excluding specific SNPs as outliers, thus reducing the influence of potential confounding factors in MR analysis.

Results

Selection of IVs

Following an extensive quality control review, 72 SNPs associated with five cathepsins were identified as IVs for melanoma. Notably, the cathepsin S levels were linked to 23 SNPs, cathepsin B to 17 SNPs, cathepsin O to 11 SNPs, cathepsin E to 11 SNPs and cathepsin L2 to 11 SNPs (Tables I and SII, SIII, SIV, SV and SVI).

Causal role of cathepsins in melanoma

In the analysis, IVW was used to provide estimates of the causal association between cathepsins and melanoma, indicating that cathepsin S [odds ratio (OR), 1.000; 95% confidence interval (CI) 0.999-1.001; P=0.943], cathepsin B (OR, 1.000; 95% CI, 0.999-1.001; P=0.763), cathepsin O (OR, 1.000; 95% CI, 0.999-1.001; P=0.646), cathepsin E (OR, 0.999; 95% CI, 0.998-1.001; P=0.375) and cathepsin L2 (OR, 1.101; 95% CI 0.831-1.458; P=0.503) were not significantly associated with the risk of developing melanoma. The overall estimates of the MR Egger and WM methods were consistent with the IVW analysis (Table I).

Sensitivity analyses

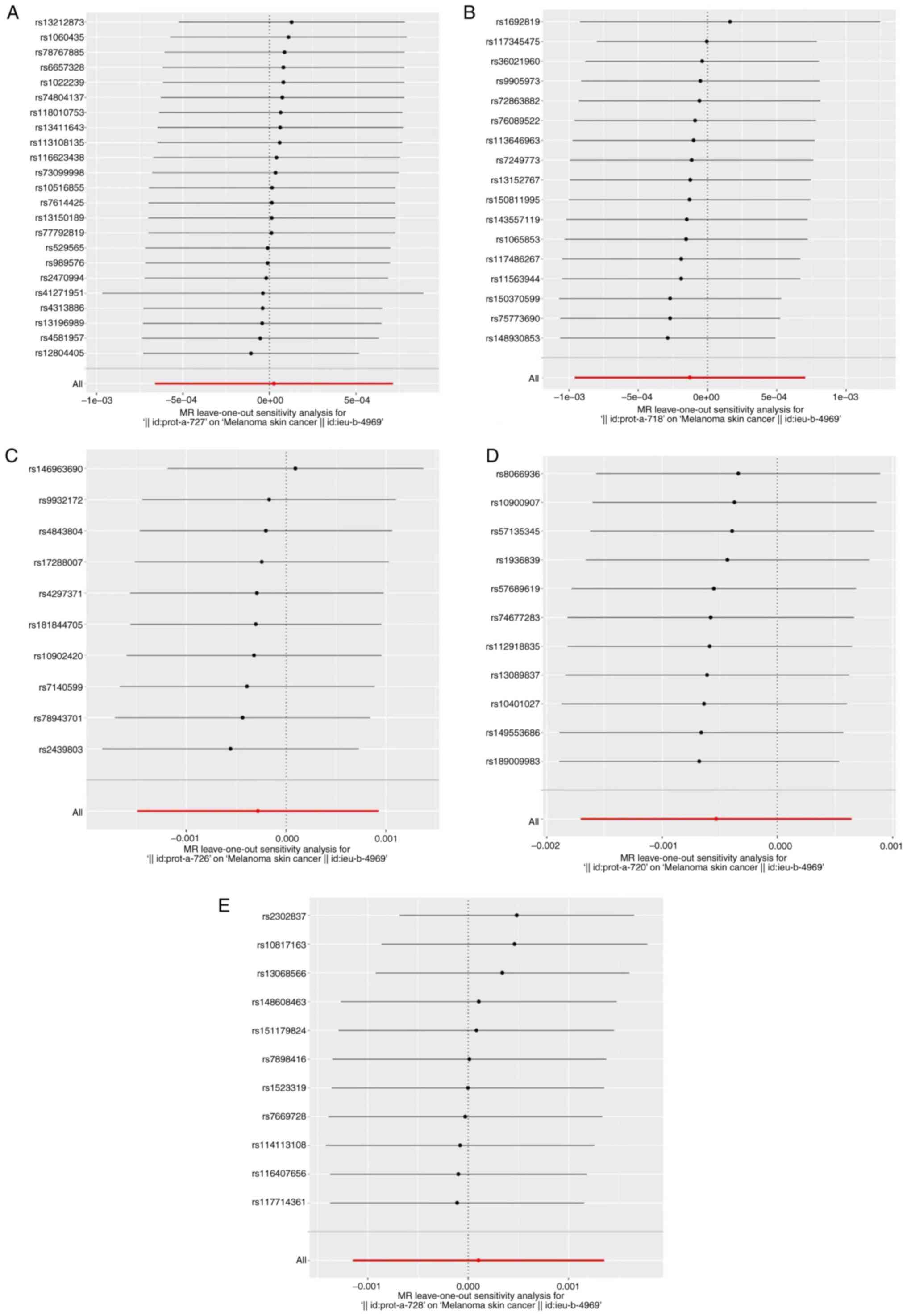
For cathepsin S, neither the IVW test (Q=27.421, P=0.196) nor the MR-Egger test (Q=27.415, P=0.158) revealed significant heterogeneity (P>0.05). Similarly, for cathepsin B (IVW test: Q=19.013, P=0.268; MR-Egger test: Q=18.782, P=0.224), cathepsin O (IVW test: Q=5.165, P=0.820; MR-Egger test: Q=4.114, P=0.847), cathepsin E (IVW test: Q=4.086, p = 0.943; MR-Egger test: Q=3.566, P=0.938) and cathepsin L2 (IVW test: Q=12.683, P=0.242; MR-Egger test: Q=11.644, P=0.234), no apparent heterogeneity was observed (Table SVII). Additionally, the MR-Egger intercept test indicated the absence of horizontal pleiotropy (P>0.05) (Table SVIII). Scatter plots demonstrated the genetic association between cathepsins and melanoma (Fig. S1). Furthermore, funnel plots revealed no significant asymmetry, suggesting negligible publication bias and directional horizontal pleiotropy (Fig. S2). Following a systematic elimination of SNPs through leave-one-out analysis, the outcomes showed minimal alteration, indicating that no single variant influenced the association between cathepsins (cathepsin S, cathepsin B, cathepsin O, cathepsin E and cathepsin L2) and melanoma (Fig. 2).

Figure 2

Leave-one-out analysis of cathepsins on melanoma skin cancer in the Mendelian randomization study. MR, Mendelian randomization. (A) Associations between cathepsin S and melanoma. (B) Associations between cathepsin B and melanoma. (C) Associations between cathepsin O and melanoma. (D) Associations between cathepsin E and melanoma. (E) Associations between cathepsin L2 and melanoma.

Discussion

In the present study, genetic variants were utilized to assess whether a risk factor has a causal effect on the results of MR studies. To the best of our knowledge, this is the first MR study aimed at evaluating the impact of cathepsins on the occurrence of melanoma. The present study found no causal association between several cathepsins (cathepsin S, cathepsin B, cathepsin O, cathepsin E and cathepsin L2) and melanoma among Europeans. In other words, alterations in cathepsins levels are not associated with the occurrence of melanoma.

Cathepsins are a group of enzymes involved in determining the metastatic potential of cancer cells (10), including cysteine cathepsins (cathepsin B and cathepsin L) and aspartyl protease (cathepsin D), which are typically present in the form of inactive zymogens in lysosomes. Once released into the extracellular space, cathepsins contribute to the enhancement of tumor metastatic potential by promoting cell migration and invasion capabilities (25,26). However, the current understanding of the association between cathepsins and melanoma is still at a laboratory experiment phase. Only a limited number of clinical observational studies are currently available; however, due to limitations in sample size, the results of these observational studies are not yet reliable (13,14,27). In the present study, not all capabilities were selected as exposure factors for MR analysis, as other capabilities are rarely reported to be closely associated with cutaneous melanoma. Previous studies have indicated that various cathepsins are overexpressed in melanoma . Furthermore, cathepsin B co-localizes with HMB-45-positive cells in malignant melanoma (28). It is noteworthy that the levels of cathepsin B and H are significantly elevated in metastatic melanoma patient groups compared to healthy control groups (14). The transition of human melanoma cells from a non-metastatic to a highly metastatic phenotype is directly associated with the secretion of cathepsin L (29). The precursor of cathepsin-L is a protease capable of cleaving human C3 (the third component of complement), imparting high tumorigenicity and metastatic potential to human melanoma cells (29). Cathepsin S is a single-chain non-glycosylated enzyme, the only member among 11 cathepsins (Cat B, C, F, H, L, K, O, S, V, W, X/Z) possessing protein hydrolysis activity at neutral pH (30). Research has also revealed increased expression of cathepsin S in certain types of cancer, such as colorectal, gastric and breast cancer (31-33), with its crucial role demonstrated in tumor invasion and metastasis through inducing tumor angiogenesis and degradation of the extracellular matrix (34,35). The inhibition of cathepsin S expression has been shown to be associated with the inhibition of malignant phenotypes in cancer cells and improved clinical outcomes in patients with breast cancer (33,36). Additionally, specific cathepsin S activity in primary choroidal melanoma is the strongest predictor of tumor metastatic behavior (37). Notably, unlike other cathepsins, cathepsin E has been found to be associated with antitumor activity in vitro, as research using mice carrying human and murine tumor xenografts has demonstrated the antitumor activity of cathepsin E (38). In addition, the injection of purified cathepsin E into nude mice carrying human tumor xenografts has been shown to induce tumor cell apoptosis in a dose-dependent manner and to inhibit tumor growth (38).

Although some of the aforementioned studies strongly suggest that cathepsins in serum can serve as serum markers for the early diagnosis and prognostic prediction of melanoma, the present study did not provide sufficient evidence to support this conclusion. Serum markers possess advantages, such as easy detection, minimal patient trauma and a low cost, rendering them markedly advantageous for the early screening and follow-up care of patients with cancer, and they are also a current focus and priority of research (39,40). Tumor markers for melanoma lack specificity; hence, broad-spectrum tumor markers, such as CA50, CA199, etc., can serve as melanoma tumor markers. Since these tumor markers are also highly expressed in patients with other types of cancer, there is a need to discover sensitive and specific biomarkers for cutaneous malignant melanoma (41). The cathepsins hold value for the early diagnosis and prognosis assessment of patients with melanoma; however, the results are typically derived from clinical studies with small sample sizes, lacking authenticity and reliability (14,27). In conclusion, diagnosing melanoma using cathepsins remains challenging; therefore, further evaluation using large sample sizes, multicenter, and rigorously designed studies are required to validate their authenticity. Further prospective studies are warranted to verify their effectiveness, and concrete steps should be taken to establish standards for guiding the effective use of diagnostic and prognostic assessment tools.

In addition, the present study aimed to increase the number of SNPs to alleviate bias caused by limited IVs; therefore, relevant literature on MR of cathepsins was examined and a significance threshold with a P-value <5x10-6 was established. However, caution is required in interpreting the results. Third, the MR analysis method is a theoretical causal analysis method that requires further validation through animal experiments to establish causality. On the whole, the findings in the present study may aid in the understanding of the complex mechanisms linking cathepsins and melanoma.

In conclusion, the present study found no evidence of a causal association between cathepsins and melanoma, which contradicts the results of the majority of previous observational studies, as aforementioned. Prior research has suggested a potential association between melanoma and cathepsins (42); however, confounding factors or reverse causality may also be at play. Further investigations are required to fully elucidate the association between melanoma and cathepsins.

Supplementary Material

Scatter plots for the causal association between cathepsins and melanoma. (A) Associations between cathepsin S and melanoma. (B) Associations between cathepsin B and melanoma. (C) Associations between cathepsin O and melanoma. (D) Associations between cathepsin E and melanoma. (E) Associations between cathepsin L2 and melanoma.
Funnel plots of cathepsins. (A) Funnel plots of cathepsin S. (B) Funnel plots of cathepsin B. (C) Funnel plots of cathepsin O. (D) Funnel plots of cathepsin E. (E) Funnel plots of cathepsin L2.
Data sources of the Mendelian randomization study.
Summary statistics utilized in the Mendelian randomization study of cathepsin S in melanoma.
Summary statistics utilized in the Mendelian randomization study of cathepsin B in melanoma.
Summary statistics utilized in the Mendelian randomization study of cathepsin O in melanoma.
Summary statistics utilized in the Mendelian randomization study of cathepsin E in melanoma.
Summary statistics utilized in the Mendelian randomization study of cathepsin L2 in melanoma.
Heterogeneity tests of cathepsins in melanoma.
Test for the directional horizontal pleiotropy of cathepsins in melanoma.

Acknowledgements

Not applicable.

Funding

Funding: No funding was received.

Availability of data and materials

The datasets used and/or analyzed during the current study are available from the corresponding author on reasonable request.

Author's contributions

WW contributed to the conceptualization and methodology of the study. JL and WW were involved in the data analysis and visualization of the results. WW participated in the drafting and reviewing of the main manuscript. JL and WW have reviewed and approved the final manuscript. JL and WW confirm the authenticity of all the raw data

Ethics approval and consent to participate

Two-sample MR was conducted using GWAS data. The study did not require ethical approval since all data were derived from summary statistics from previously published GWASs.

Patient consent for publication

Not applicable.

Competing interests

The authors declare that they have no competing interests.

References

1 

Hasan N, Nadaf A, Imran M, Jiba U, Sheikh A, Almalki WH, Almujri SS, Mohammed YH, Kesharwani P and Ahmad FJ: Skin cancer: Understanding the journey of transformation from conventional to advanced treatment approaches. Mol Cancer. 22(168)2023.PubMed/NCBI View Article : Google Scholar

2 

Carr S, Smith C and Wernberg J: Epidemiology and risk factors of melanoma. Surg Clin North Am. 100:1–12. 2020.PubMed/NCBI View Article : Google Scholar

3 

Welch HG, Mazer BL and Adamson AS: The rapid rise in cutaneous melanoma diagnoses. N Engl J Med. 384:72–79. 2021.PubMed/NCBI View Article : Google Scholar

4 

Whiteman DC, Green AC and Olsen CM: The growing burden of invasive melanoma: Projections of incidence rates and numbers of new cases in six susceptible populations through 2031. J Invest Dermatol. 136:1161–1171. 2016.PubMed/NCBI View Article : Google Scholar

5 

Yuan J, Li X and Yu S: Global, Regional, and National incidence trend analysis of malignant skin melanoma between 1990 and. 2019, and projections until 2034. Cancer Control. 31(10732748241227340)2024.PubMed/NCBI View Article : Google Scholar

6 

Oya K, Nakamura Y, Shen LT, Ishizuki S, Matsusaka S and Fujisawa Y: Soluble PD-L1 predicts tumor response and immune-related adverse events in patients with advanced melanoma treated with anti-PD-1 antibodies. J Dermatol. 51:807–815. 2024.PubMed/NCBI View Article : Google Scholar

7 

Olson OC and Joyce JA: Cysteine cathepsin proteases: Regulators of cancer progression and therapeutic response. Nat Rev Cancer. 15:712–729. 2015.PubMed/NCBI View Article : Google Scholar

8 

Palermo C and Joyce JA: Cysteine cathepsin proteases as pharmacological targets in cancer. Trends Pharmacol Sci. 29:22–28. 2008.PubMed/NCBI View Article : Google Scholar

9 

Sudhan DR and Siemann DW: Cathepsin L targeting in cancer treatment. Pharmacol Ther. 155:105–116. 2015.PubMed/NCBI View Article : Google Scholar

10 

Mohamed MM and Sloane BF: Cysteine cathepsins: Multifunctional enzymes in cancer. Nat Rev Cancer. 6:764–775. 2006.PubMed/NCBI View Article : Google Scholar

11 

Tripathi R and Plattner R: EnABLing cathepsin-driven melanoma metastasis. Molr Cell Oncol. 5(e1458016)2018.PubMed/NCBI View Article : Google Scholar

12 

Tripathi R, Fiore LS, Richards DL, Yang Y, Liu J, Wang C and Plattner R: Abl and Arg mediate cysteine cathepsin secretion to facilitate melanoma invasion and metastasis. Sci Signal. 11(eaao0422)2018.PubMed/NCBI View Article : Google Scholar

13 

Saenger Y, Magidson J, Liaw B, de Moll E, Harcharik S, Fu Y, Wassmann K, Fisher D, Kirkwood J, Oh WK and Friedlander P: Blood mRNA expression profiling predicts survival in patients treated with tremelimumab. Clin Cancer Res. 20:3310–3318. 2014.PubMed/NCBI View Article : Google Scholar

14 

Kos J, Stabuc B, Schweiger A, Krasovec M, Cimerman N, Kopitar-Jerala N and Vrhovec I: Cathepsins B, H, and L and their inhibitors stefin A and cystatin C in sera of melanoma patients. Clin Cancer Res. 3:1815–1822. 1997.PubMed/NCBI

15 

Guo W, Zhao L, Huang W, Chen J, Zhong T, Yan S, Hu W, Zeng F, Peng C and Yan H: Sodium-glucose cotransporter 2 inhibitors, inflammation, and heart failure: A two-sample Mendelian randomization study. Cardiovasc Diabetol. 23(118)2024.PubMed/NCBI View Article : Google Scholar

16 

Bowden J, Davey Smith G and Burgess S: Mendelian randomization with invalid instruments: Effect estimation and bias detection through Egger regression. Int J Epidemiol. 44:512–525. 2015.PubMed/NCBI View Article : Google Scholar

17 

Yang C, Long C, Zhang Q, He D, Bi H and Liu X: Mendelian randomization study of the relationship between serum matrix metalloproteinases and the occurrence of sepsis. Int Care Res. 3:215–220. 2023.

18 

Sun BB, Maranville JC, Peters JE, Stacey D, Staley JR, Blackshaw J, Burgess S, Jiang T, Paige E, Surendran P, et al: Genomic atlas of the human plasma proteome. Nature. 558:73–79. 2018.PubMed/NCBI View Article : Google Scholar

19 

Swetter SM, Thompson JA, Albertini MR, Barker CA, Baumgartner J, Boland G, Chmielowski B, DiMaio D, Durham A, Fields RC, et al: NCCN Guidelines® Insights: Melanoma: Cutaneous, Version 2.2021. J Natl Compr Canc Netw. 19:364–376. 2021.PubMed/NCBI View Article : Google Scholar

20 

Lou J, Cui S, Li J, Jin G, Fan Y and Huang N: Causal relationship between the gut microbiome and basal cell carcinoma, melanoma skin cancer, ease of skin tanning: Evidence from three two-sample mendelian randomisation studies. Front Immunol. 15(1279680)2024.PubMed/NCBI View Article : Google Scholar

21 

Chan II, Kwok MK and Schooling CM: The total and direct effects of systolic and diastolic blood pressure on cardiovascular disease and longevity using Mendelian randomisation. Sci Rep. 11(21799)2021.PubMed/NCBI View Article : Google Scholar

22 

Agarwal I, Fuller ZL, Myers SR and Przeworski M: Relating pathogenic loss-of-function mutations in humans to their evolutionary fitness costs. Elife. 12(e83172)2023.PubMed/NCBI View Article : Google Scholar

23 

Burgess S and Thompson SG: Avoiding bias from weak instruments in Mendelian randomization studies. Int J Epidemiol. 40:755–764. 2011.PubMed/NCBI View Article : Google Scholar

24 

Zhao G, Lu Z, Liao Y, Sun Y, Zhang Y, Kang Z, Feng X, Sun J and Yue W: Association of intestinal anti-inflammatory drug target genes with psychiatric Disorders: A Mendelian randomization study. J Adv Res: S2090-S1232, 2024 doi: 10.1016/j.jare.2024.05.002 (Epub ahead of print).

25 

Matarrese P, Ascione B, Ciarlo L, Vona R, Leonetti C, Scarsella M, Mileo AM, Catricalà C, Paggi MG and Malorni W: Cathepsin B inhibition interferes with metastatic potential of human melanoma: An in vitro and in vivo study. Mol Cancer. 9(207)2010.PubMed/NCBI View Article : Google Scholar

26 

Mijanović O, Branković A, Panin AN, Savchuk S, Timashev P, Ulasov I and Lesniak MS: Cathepsin B: A sellsword of cancer progression. Cancer Lett. 449:207–214. 2019.PubMed/NCBI View Article : Google Scholar

27 

Yadati T, Houben T, Bitorina A and Shiri-Sverdlov R: The ins and outs of cathepsins: Physiological function and role in disease management. Cells. 9(1679)2020.PubMed/NCBI View Article : Google Scholar

28 

Fröhlich E, Mack AF, Garbe C and Klessen C: Distribution and colocalization of markers for proliferation, invasion, motility and neoangiogenesis in benign melanocytic naevi and malignant melanomas. Br J Dermatol. 153:1159–1165. 2005.PubMed/NCBI View Article : Google Scholar

29 

Frade R, Rodrigues-Lima F, Huang S, Xie K, Guillaume N and Bar-Eli M: Procathepsin-L, a proteinase that cleaves human C3 (the third component of complement), confers high tumorigenic and metastatic properties to human melanoma cells. Cancer Res. 58:2733–2736. 1998.PubMed/NCBI

30 

Yuan L, Sheng L, He W, Zou C, Hu B, Liu J, Ge W, Liu Y, Wang J and Ma E: Discovery of novel cathepsin inhibitors with potent anti-metastatic effects in breast cancer cells. Bioorg Chem. 81:672–680. 2018.PubMed/NCBI View Article : Google Scholar

31 

Gormley JA, Hegarty SM, O'Grady A, Stevenson MR, Burden RE, Barrett HL, Scott CJ, Johnston JA, Wilson RH, Kay EW, et al: The role of Cathepsin S as a marker of prognosis and predictor of chemotherapy benefit in adjuvant CRC: A pilot study. Br J Cancer. 105:1487–1494. 2011.PubMed/NCBI View Article : Google Scholar

32 

Yang Y, Lim SK, Choong LY, Lee H, Chen Y, Chong PK, Ashktorab H, Wang TT, Salto-Tellez M, Yeoh KG and Lim YP: Cathepsin S mediates gastric cancer cell migration and invasion via a putative network of metastasis-associated proteins. J Proteome Res. 9:4767–4778. 2010.PubMed/NCBI View Article : Google Scholar

33 

Gautam J, Bae YK and Kim JA: Up-regulation of cathepsin S expression by HSP90 and 5-HT7 receptor-dependent serotonin signaling correlates with triple negativity of human breast cancer. Breast Cancer Res Treat. 161:29–40. 2017.PubMed/NCBI View Article : Google Scholar

34 

Small DM, Burden RE, Jaworski J, Hegarty SM, Spence S, Burrows JF, McFarlane C, Kissenpfennig A, McCarthy HO, Johnston JA, et al: Cathepsin S from both tumor and tumor-associated cells promote cancer growth and neovascularization. Int J Cancer. 133:2102–2112. 2013.PubMed/NCBI View Article : Google Scholar

35 

Arnlöv J: Cathepsin S as a biomarker: Where are we now and what are the future challenges? Biomark Med. 6:9–11. 2012.PubMed/NCBI View Article : Google Scholar

36 

Wilkinson RDA, Burden RE, McDowell SH, McArt DG, McQuaid S, Bingham V, Williams R, Cox ÓT, O'Connor R, McCabe N, et al: A novel role for cathepsin S as a potential biomarker in triple negative breast cancer. J Oncol. 2019(3980273)2019.PubMed/NCBI View Article : Google Scholar

37 

Sangster AB, Chang-McDonald B, Patel J, Bockett N, Paterson E, Davis PF and Tan ST: Expression of cathepsins B and D by cancer stem cells in head and neck metastatic malignant melanoma. Melanoma Res. 31:426–438. 2021.PubMed/NCBI View Article : Google Scholar

38 

Kawakubo T, Okamoto K, Iwata J, Shin M, Okamoto Y, Yasukochi A, Nakayama KI, Kadowaki T, Tsukuba T and Yamamoto K: Cathepsin E prevents tumor growth and metastasis by catalyzing the proteolytic release of soluble TRAIL from tumor cell surface. Cancer Res. 67:10869–10878. 2007.PubMed/NCBI View Article : Google Scholar

39 

Smith-Byrne K, Hedman Å, Dimitriou M, Desai T, Sokolov AV, Schioth HB, Koprulu M, Pietzner M, Langenberg C, Atkins J, et al: Identifying therapeutic targets for cancer among 2074 circulating proteins and risk of nine cancers. Nat Commun. 15(3621)2024.PubMed/NCBI View Article : Google Scholar

40 

Versluis JM, Blankenstein SA, Dimitriadis P, Wilmott JS, Elens R, Blokx WAM, van Houdt W, Menzies AM, Schrage YM, Wouters MWJM, et al: Interferon-gamma signature as prognostic and predictive marker in macroscopic stage III melanoma. J Immunother Cancer. 12(e008125)2024.PubMed/NCBI View Article : Google Scholar

41 

Liu X, Feng F, Wang T, Qin J, Yin X, Meng G, Yan C, Xing Z, Duan J, Liu C and Liu J: Laparoscopic pancreaticoduodenectomy for metastatic pancreatic melanoma: A case report. Medicine (Baltimore). 97(e12940)2018.PubMed/NCBI View Article : Google Scholar

42 

Quintanilla-Dieck MJ, Codriansky K, Keady M, Bhawan J and Rünger TM: Cathepsin K in melanoma invasion. J Invest Dermatol. 128:2281–2288. 2008.PubMed/NCBI View Article : Google Scholar

Related Articles

  • Abstract
  • View
  • Download
Copy and paste a formatted citation
Spandidos Publications style
Wang W and Li J: Mendelian randomization study of the association between cathepsins and melanoma. World Acad Sci J 6: 47, 2024.
APA
Wang, W., & Li, J. (2024). Mendelian randomization study of the association between cathepsins and melanoma. World Academy of Sciences Journal, 6, 47. https://doi.org/10.3892/wasj.2024.262
MLA
Wang, W., Li, J."Mendelian randomization study of the association between cathepsins and melanoma". World Academy of Sciences Journal 6.5 (2024): 47.
Chicago
Wang, W., Li, J."Mendelian randomization study of the association between cathepsins and melanoma". World Academy of Sciences Journal 6, no. 5 (2024): 47. https://doi.org/10.3892/wasj.2024.262
Copy and paste a formatted citation
x
Spandidos Publications style
Wang W and Li J: Mendelian randomization study of the association between cathepsins and melanoma. World Acad Sci J 6: 47, 2024.
APA
Wang, W., & Li, J. (2024). Mendelian randomization study of the association between cathepsins and melanoma. World Academy of Sciences Journal, 6, 47. https://doi.org/10.3892/wasj.2024.262
MLA
Wang, W., Li, J."Mendelian randomization study of the association between cathepsins and melanoma". World Academy of Sciences Journal 6.5 (2024): 47.
Chicago
Wang, W., Li, J."Mendelian randomization study of the association between cathepsins and melanoma". World Academy of Sciences Journal 6, no. 5 (2024): 47. https://doi.org/10.3892/wasj.2024.262
Follow us
  • Twitter
  • LinkedIn
  • Facebook
About
  • Spandidos Publications
  • Careers
  • Cookie Policy
  • Privacy Policy
How can we help?
  • Help
  • Live Chat
  • Contact
  • Email to our Support Team