Spandidos Publications Logo
  • About
    • About Spandidos
    • Aims and Scopes
    • Abstracting and Indexing
    • Editorial Policies
    • Reprints and Permissions
    • Job Opportunities
    • Terms and Conditions
    • Contact
  • Journals
    • All Journals
    • Oncology Letters
      • Oncology Letters
      • Information for Authors
      • Editorial Policies
      • Editorial Board
      • Aims and Scope
      • Abstracting and Indexing
      • Bibliographic Information
      • Archive
    • International Journal of Oncology
      • International Journal of Oncology
      • Information for Authors
      • Editorial Policies
      • Editorial Board
      • Aims and Scope
      • Abstracting and Indexing
      • Bibliographic Information
      • Archive
    • Molecular and Clinical Oncology
      • Molecular and Clinical Oncology
      • Information for Authors
      • Editorial Policies
      • Editorial Board
      • Aims and Scope
      • Abstracting and Indexing
      • Bibliographic Information
      • Archive
    • Experimental and Therapeutic Medicine
      • Experimental and Therapeutic Medicine
      • Information for Authors
      • Editorial Policies
      • Editorial Board
      • Aims and Scope
      • Abstracting and Indexing
      • Bibliographic Information
      • Archive
    • International Journal of Molecular Medicine
      • International Journal of Molecular Medicine
      • Information for Authors
      • Editorial Policies
      • Editorial Board
      • Aims and Scope
      • Abstracting and Indexing
      • Bibliographic Information
      • Archive
    • Biomedical Reports
      • Biomedical Reports
      • Information for Authors
      • Editorial Policies
      • Editorial Board
      • Aims and Scope
      • Abstracting and Indexing
      • Bibliographic Information
      • Archive
    • Oncology Reports
      • Oncology Reports
      • Information for Authors
      • Editorial Policies
      • Editorial Board
      • Aims and Scope
      • Abstracting and Indexing
      • Bibliographic Information
      • Archive
    • Molecular Medicine Reports
      • Molecular Medicine Reports
      • Information for Authors
      • Editorial Policies
      • Editorial Board
      • Aims and Scope
      • Abstracting and Indexing
      • Bibliographic Information
      • Archive
    • World Academy of Sciences Journal
      • World Academy of Sciences Journal
      • Information for Authors
      • Editorial Policies
      • Editorial Board
      • Aims and Scope
      • Abstracting and Indexing
      • Bibliographic Information
      • Archive
    • International Journal of Functional Nutrition
      • International Journal of Functional Nutrition
      • Information for Authors
      • Editorial Policies
      • Editorial Board
      • Aims and Scope
      • Abstracting and Indexing
      • Bibliographic Information
      • Archive
    • International Journal of Epigenetics
      • International Journal of Epigenetics
      • Information for Authors
      • Editorial Policies
      • Editorial Board
      • Aims and Scope
      • Abstracting and Indexing
      • Bibliographic Information
      • Archive
    • Medicine International
      • Medicine International
      • Information for Authors
      • Editorial Policies
      • Editorial Board
      • Aims and Scope
      • Abstracting and Indexing
      • Bibliographic Information
      • Archive
  • Articles
  • Information
    • Information for Authors
    • Information for Reviewers
    • Information for Librarians
    • Information for Advertisers
    • Conferences
  • Language Editing
Spandidos Publications Logo
  • About
    • About Spandidos
    • Aims and Scopes
    • Abstracting and Indexing
    • Editorial Policies
    • Reprints and Permissions
    • Job Opportunities
    • Terms and Conditions
    • Contact
  • Journals
    • All Journals
    • Biomedical Reports
      • Information for Authors
      • Editorial Policies
      • Editorial Board
      • Aims and Scope
      • Abstracting and Indexing
      • Bibliographic Information
      • Archive
    • Experimental and Therapeutic Medicine
      • Information for Authors
      • Editorial Policies
      • Editorial Board
      • Aims and Scope
      • Abstracting and Indexing
      • Bibliographic Information
      • Archive
    • International Journal of Epigenetics
      • Information for Authors
      • Editorial Policies
      • Editorial Board
      • Aims and Scope
      • Abstracting and Indexing
      • Bibliographic Information
      • Archive
    • International Journal of Functional Nutrition
      • Information for Authors
      • Editorial Policies
      • Editorial Board
      • Aims and Scope
      • Abstracting and Indexing
      • Bibliographic Information
      • Archive
    • International Journal of Molecular Medicine
      • Information for Authors
      • Editorial Policies
      • Editorial Board
      • Aims and Scope
      • Abstracting and Indexing
      • Bibliographic Information
      • Archive
    • International Journal of Oncology
      • Information for Authors
      • Editorial Policies
      • Editorial Board
      • Aims and Scope
      • Abstracting and Indexing
      • Bibliographic Information
      • Archive
    • Medicine International
      • Information for Authors
      • Editorial Policies
      • Editorial Board
      • Aims and Scope
      • Abstracting and Indexing
      • Bibliographic Information
      • Archive
    • Molecular and Clinical Oncology
      • Information for Authors
      • Editorial Policies
      • Editorial Board
      • Aims and Scope
      • Abstracting and Indexing
      • Bibliographic Information
      • Archive
    • Molecular Medicine Reports
      • Information for Authors
      • Editorial Policies
      • Editorial Board
      • Aims and Scope
      • Abstracting and Indexing
      • Bibliographic Information
      • Archive
    • Oncology Letters
      • Information for Authors
      • Editorial Policies
      • Editorial Board
      • Aims and Scope
      • Abstracting and Indexing
      • Bibliographic Information
      • Archive
    • Oncology Reports
      • Information for Authors
      • Editorial Policies
      • Editorial Board
      • Aims and Scope
      • Abstracting and Indexing
      • Bibliographic Information
      • Archive
    • World Academy of Sciences Journal
      • Information for Authors
      • Editorial Policies
      • Editorial Board
      • Aims and Scope
      • Abstracting and Indexing
      • Bibliographic Information
      • Archive
  • Articles
  • Information
    • For Authors
    • For Reviewers
    • For Librarians
    • For Advertisers
    • Conferences
  • Language Editing
Login Register Submit
  • This site uses cookies
  • You can change your cookie settings at any time by following the instructions in our Cookie Policy. To find out more, you may read our Privacy Policy.

    I agree
Search articles by DOI, keyword, author or affiliation
Search
Advanced Search
presentation
International Journal of Molecular Medicine
Join Editorial Board Propose a Special Issue
Print ISSN: 1107-3756 Online ISSN: 1791-244X
Journal Cover
June-2018 Volume 41 Issue 6

Full Size Image

Sign up for eToc alerts
Recommend to Library

Journals

International Journal of Molecular Medicine

International Journal of Molecular Medicine

International Journal of Molecular Medicine is an international journal devoted to molecular mechanisms of human disease.

International Journal of Oncology

International Journal of Oncology

International Journal of Oncology is an international journal devoted to oncology research and cancer treatment.

Molecular Medicine Reports

Molecular Medicine Reports

Covers molecular medicine topics such as pharmacology, pathology, genetics, neuroscience, infectious diseases, molecular cardiology, and molecular surgery.

Oncology Reports

Oncology Reports

Oncology Reports is an international journal devoted to fundamental and applied research in Oncology.

Experimental and Therapeutic Medicine

Experimental and Therapeutic Medicine

Experimental and Therapeutic Medicine is an international journal devoted to laboratory and clinical medicine.

Oncology Letters

Oncology Letters

Oncology Letters is an international journal devoted to Experimental and Clinical Oncology.

Biomedical Reports

Biomedical Reports

Explores a wide range of biological and medical fields, including pharmacology, genetics, microbiology, neuroscience, and molecular cardiology.

Molecular and Clinical Oncology

Molecular and Clinical Oncology

International journal addressing all aspects of oncology research, from tumorigenesis and oncogenes to chemotherapy and metastasis.

World Academy of Sciences Journal

World Academy of Sciences Journal

Multidisciplinary open-access journal spanning biochemistry, genetics, neuroscience, environmental health, and synthetic biology.

International Journal of Functional Nutrition

International Journal of Functional Nutrition

Open-access journal combining biochemistry, pharmacology, immunology, and genetics to advance health through functional nutrition.

International Journal of Epigenetics

International Journal of Epigenetics

Publishes open-access research on using epigenetics to advance understanding and treatment of human disease.

Medicine International

Medicine International

An International Open Access Journal Devoted to General Medicine.

Journal Cover
June-2018 Volume 41 Issue 6

Full Size Image

Sign up for eToc alerts
Recommend to Library

  • Article
  • Citations
    • Cite This Article
    • Download Citation
    • Create Citation Alert
    • Remove Citation Alert
    • Cited By
  • Similar Articles
    • Related Articles (in Spandidos Publications)
    • Similar Articles (Google Scholar)
    • Similar Articles (PubMed)
  • Download PDF
  • Download XML
  • View XML
Article

Rhododendron album Blume extract inhibits TNF-α/IFN-γ-induced chemokine production via blockade of NF-κB and JAK/STAT activation in human epidermal keratinocytes

  • Authors:
    • Ji‑Won Park
    • Han‑Sol Lee
    • Yourim Lim
    • Jin‑Hyub Paik
    • Ok‑Kyoung Kwon
    • Jung‑Hee Kim
    • Imam Paryanto
    • Prasetyawan Yunianto
    • Sangho Choi
    • Sei‑Ryang Oh
    • Kyung‑Seop Ahn
  • View Affiliations / Copyright

    Affiliations: Natural Medicine Research Center, Korea Research Institute of Bioscience and Biotechnology (KRIBB), Cheongju, Chungbuk 28116, Republic of Korea, International Biological Material Research Center, Korea Research Institute of Bioscience and Biotechnology (KRIBB), Daejeon 34141, Republic of Korea, Center for Pharmaceutical and Medical Technology, Kawasan Puspiptek Serpong, LAPTIAB, Tangerang, Banten 15314, Indonesia
  • Pages: 3642-3652
    |
    Published online on: March 9, 2018
       https://doi.org/10.3892/ijmm.2018.3556
  • Expand metrics +
Metrics: Total Views: 0 (Spandidos Publications: | PMC Statistics: )
Metrics: Total PDF Downloads: 0 (Spandidos Publications: | PMC Statistics: )
Cited By (CrossRef): 0 citations Loading Articles...

This article is mentioned in:



Abstract

Rhododendron album Blume (RA) has traditionally been used as an herbal medicine and is considered to have anti‑inflammatory properties. It is a well‑known medicine for treatment of allergic or atopic diseases. In the present study, the biological effects of an RA methanol extract (RAME) on inflammation were investigated in tumor necrosis factor‑α (TNF‑α)/interferon‑γ (IFN‑γ)‑stimulated human keratinocytes. The present study aimed to investigate the potential mechanisms by which RAME inhibited TNF‑α/IFN‑γ‑induced expression of chemokines [thymus‑ and activation-regulated chemokine (TARC) and macrophage‑derived chemokine (MDC)] and cytokines [interleukin (IL)‑6 and IL‑8] through the nuclear factor‑κB (NF‑κB) pathway in human keratinocytes. The effects of RAME treatment on cell viability were investigated in TNF‑α/IFN‑γ‑stimulated HaCaT cells. The expression of TARC, MDC, IL‑6 and IL‑8 was assessed using reverse transcription‑quantitative polymerase chain reaction analysis or ELISA, and its effect on the inhibitory mitogen-activated protein kinase pathway was also studied using western blot analysis. TNF‑α/IFN‑γ induced the expression of IL‑6, IL‑8, TARC and MDC in a dose‑dependent manner through NF‑κB and Janus kinase/signal transducers and activators of transcription (JAK/STAT) activation. Notably, treatment with RAME significantly suppressed TNF-α/IFN-γ-induced expression of IL‑6, IL‑8, TARC, and MDC. In addition, RAME treatment inhibited the activation of NF‑κB and the JAK/STAT pathway in TNF‑α/IFN‑γ‑induced HaCaT cells. These results suggest that RAME decreases the production of chemokines and pro‑inflammatory cytokines by suppressing the NF‑κB and the JAK/STAT pathways. Consequently, RAME may potentially be used for treatment of atopic dermatitis.

Introduction

Atopic dermatitis (AD) is a chronic inflammatory skin disorder and persistent inflammatory skin disease accompanied by eczematous lesions and severe itching. It is caused by environmental and genetic factors, including microbial infection and environmental pollutants (1-3). AD results from a combination of severe pruritus, epidermal barrier abnormalities, imbalanced immune responses and genetic predisposition (4,5). The diagnosis of AD is based on the following clinical phenotypes: Erythematous papules, eczematous skin, and severe pruritus (6,7).

Chemokines are a large group of small cytokines produced by various types of cell, and are separated into the CX3C, CXC, CC, and C subfamilies based on NH2-terminal cysteine-motifs. On the basis of the categorization of these subfamilies, a methodical nomenclature system of the chemokine ligands has been devised in previous studies (8). The main function of chemokines is the control of inflammatory cell recruitment, including macrophages, T cells, eosinophils and the trafficking of dendritic cells (DC) at sites of inflammation and infection (9). The thymus and activation-regulated chemokines (TARC/CCL17) are CC chemokines that are constitutively expressed and produced by monocyte-derived keratinocytes and dendritic cells (10,11). Macrophage-derived chemokines (MDC/CCL22) are also the specific ligands for C-C chemokine receptor type 4 (CCR4). MDC/CCL22 is constitutively produced by epithelial cells, B cells, keratinocytes, macrophages and dendritic cells (10,12). MDC and TARC may serve an important function in increasing the incidence of certain skin diseases, including AD. Previous researchers have reported that serum concentrations of MDC and TARC are positively correlated with disease gravity in patients with AD patients (13). Considering all these factors, MDC and TARC may be involved in the pathogenesis of AD.

Tumor necrosis factor (TNF) is a pro-inflammatory cytokine with multiple biological functions, including cytostatic and cytotoxic effects, differentiation and proliferation in various types of tumor cell. The antitumor effects of TNF are enhanced by interferons (IFNs) (14). The nuclear transcription factor, nuclear factor (NF)-κB has been reported to be an anti-apoptotic factor that serves a major function in cell survival during apoptosis induced by cytokines, including TNF-α/IFN-γ, and various chemotherapeutic agents (15,16). In addition, the phosphorylation of the Janus kinase/signal transducers and activators of transcription (JAK/STAT) pathway has been reported to be an important anti-inflammatory factor. JAK activation stimulates cell differentiation, proliferation, cell migration and apoptosis. Kimura et al (14) reported that a combination of TNF-α and IFN-γ treatment resulted in an upregulated immune response in murine fibroblasts (14). In addition, this TNF-α/IFN-γ combined treatment also increased the in vitro and in vivo induction of human inflammation (17,18). Based on these observations, our group hypothesized that the synergism of atopic dermatitis and immune responses results in the downregulation of TNF-α/IFN-γ-induced cell survival mechanisms.

Rhododendron album Blume (RA) is a species of plant that belongs to the family Ericaceae. It is primarily found in humid primeval forests at high altitudes throughout western and central Java. RA is 1-2 m tall, and the leaves (5-12 cm long, and 2-3 cm wide) are stiff, with a brown, scaly underside. The corolla is widely campanulate, and is pale yellow in colour with scattered brown scales. RA is endemic to Java and is rare in the wild. However, RA is grown widely in nurseries throughout the world, particularly in the United States. Certain plants belonging to the genus Rhododendron have documented anti-cancer (19,20) and antioxidant functions (21). Therefore, RA may also exert anti-atopic or anti-inflammatory activity. The present study focused on the anti-inflammatory effects of RA methanol (MeOH) extract (RAME) (22). At present, there are no data on the anti-inflammatory activity of this plant. Therefore, the purpose of the present study was to evaluate the anti-inflammatory and anti-atopic dermatitis activity of RAME in HaCaT keratinocyte cells.

Materials and methods

Preparation of RA extract

The plant species was collected from Cantigi in Indonesia in 2008, and it was identified by the Center for Pharmaceutical and Medical Technology, Agency for Assessment and Application of Technology (Tangerang, Indonesia) and verified by Herbarium Bogoriense (Indonesian Institute of Sciences, Bogor, Indonesia). A voucher specimen (KRIB 0019989) has been deposited in the herbarium of the Korea Research Institute of Bioscience and Biotechnology, and also in the Center for Pharmaceutical and Medical Technology and Herbarium Bogoriense. The RA plant material was treated with MeOH and sonicated for 15 min, at 36.5 kHz using Ultrasonic Cleaning Bath (Branson Ultrasonics; Emerson Electric Co., St. Louis, MO, USA) and incubated for 2 h at room temperature. This procedure was repeated 30 times for 3 days to produce an extract. The methanol extract (360 mg) was suspended in distilled water, the same amount of n-hexane was added and mixed, and then the n-hexane soluble fraction and the water-soluble fraction were separated. This was performed three times, followed by cotton wool filtration and concentration under reduced pressure to obtain an n-hexane fraction (yield, 17.2 mg). Then, the n-hexane fraction was removed and the same amount of chloroform was added to the remaining water layer. A chloroform fraction (yield, 21.0 mg) was obtained in the same manner. The same amount of ethyl acetate was added to the remaining water later, and an ethyl acetate fraction (yield, 14.0 mg) was obtained in the same manner. Finally, an equivalent amount of butanol was added to the water layer, and a butanol fraction (yield, 47.3 mg) was obtained in the same manner. The remaining water layer was then concentrated to obtain a water fraction (yield, 235.5 mg).

Cell culture

The human keratinocyte HaCaT cell line (ATCC; American Type Culture Collection, Manassas, VA, USA) was cultured in high glucose Dulbecco's modified Eagle's medium (DMEM) supplemented with 10% fetal bovine serum (FBS) and antibiotics (100 U/ml penicillin and 100 μg/ml streptomycin) at 37°C in a humidified 5% CO2 incubator. Prior to further association studies, the growth medium was changed to serum-free medium. Cells in the control group were treated with dimethyl sulfoxide (DMSO, 0.1% per 100 μl) alone. DMEM, FBS, penicillin, streptomycin, and PBS (pH 7.4) were purchased from Gibco; Thermo Fisher Scientific, Inc. (Waltham, MA, USA). Recombinant TNF-α (10 ng/ml) was purchased from Invitrogen; Thermo Fisher Scientific, Inc. and IFN-γ (10 ng/ml) was purchased from Merck KGaA (Darmstadt, Germany). The HaCaT cells were pretreated with RAME (2.5, 5, 10, 20 μg/ml) for 1 h and subsequently treated with TNF-α (10 ng/ml) and IFN-γ (10 ng/ml), and incubated for 24 h at 37°C. In another set of cultures, the cells were co-incubated with 5 μM Bay11-7082, a nuclear factor of κ light polypeptide gene enhancer in B-cells inhibitor, α (IκB-α) inhibitor, 10 μM SB203580, a p38 inhibitor, and 10 μM SP600125, a c-Jun N-terminal kinase (JNK) inhibitor (Calbiochem; EMD Millipore, Billerica, MA, USA) for 1 h at 37°C in a humidified 5% CO2 incubator.

Cell viability

To confirm the effect of RAME on HaCaT cells, the reduction of MTT (Amresco, Inc., Solon, OH, USA) by viable cells was measured. The cells were plated in 96-well culture plates (SPL Life Sciences, Pocheon, Korea) at a density of 1×104 cells/well, and allowed to bind for 6 h. Cells were allowed to attach for 6 h, and the culture was continued for 24 h following addition of RAME (2.5, 5, 10, 20 μg/ml) at 37°C. The cells were cultured with 0.5 mg/ml MTT solution. After 4 h of incubation at 37°C in 5% CO2, the supernatant was removed and DMSO was added. Absorbance was measured at 570 nm using a microplate reader (Tecan Group, Ltd., Männedorf, Switzerland). The percentage of viable cells was calculated by taking the optical density of the cells following a particular treatment and dividing that number with the optical density of untreated control cells, followed by multiplication by 100.

Interleukin (IL)-6 and IL-8 production

The culture medium was collected and the production of cytokines (IL-6 and IL-8) in the supernatant was measured using ELISA kits (IL-6; cat. no. 555220, BD Biosciences, San Jose, CA, USA; IL-8; cat. no. DY208, R&D Systems, Inc., Minneapolis, MN, USA) according to the manufacturers' protocols, as previously described (23,24).

TARC and MDC production

The culture medium of the cells was harvested, and chemokine production (TARC and MDC) in the supernatant was measured using ELISA kits (cat nos. TARC cat. no. DY364 and MDC cat. no. DY336; R&D Systems, Inc.) according to the manufacturer's protocol.

Reverse transcription-quantitative polymerase chain reaction (RT-qPCR) analysis

Total RNA was extracted using TRIzol reagent (Thermo Fisher Scientific, Inc.) for RT-qPCR analysis. cDNA was synthesized using the AMPIGENE® cDNA Synthesis kit (cat. no. ENZ-KIT106; Enzo Life Sciences, Inc., Farmingdale, NY, USA). qPCR was performed using SYBR Green PCR Master Mix (KAPA SYBR® FAST qPCR kits; Kapa Biosystems, Inc., Wilmington, MA, USA). Reactions were run in a CFX96 Real-Time PCR System (Bio-Rad Laboratories, Inc., Hercules, CA, USA) using the following thermocycler conditions: Stage 1, 50°C for 2 min and 95°C for 10 min; stage 2, 95°C for 15 sec and 60°C for 1 min. Stage 2 was repeated for 40 cycles. Relative mRNA levels were calculated using the comparative threshold cycle 2−ΔΔCq method and normalized to that of GAPDH (25). The primer sequences used in the present study are listed in Table I.

Table I

Primer sequences.

Table I

Primer sequences.

GenePrimer sequencesa (5′-3′)Fragment size (bp)
TARC222
 Forward CACGCAGCTCGAGGGACCAATGTG
 Reverse TCAAGACCTCTCAAGGCTTTGCAGG
MDC362
 Forward AGGACAGAGCATGGCTCGCCTACAGA
 Reverse TAATGGCAGGGAGGTAGGGCTCCTGA
IL-6124
 Forward GACAGCCACTCACCTCTTCA
 Reverse AGTGCCTCTTTGCTGCTTTC
IL-8299
 Forward ATGACTTCCAAGCTGGCCGTGGCT
 Reverse TTATGAATTCTCAGCCCTCTTCAAAAA
β-actin250
 Forward CATGTACGTTGCTATCCAGGC
 Reverse CTCCTTAATGTCACGCACGAT

a Primer sequences are human. TARC, thymus- and activation-regulated chemokine; MDC, macrophage-derived chemokine; IL, interleukin.

Sodium dodecyl sulfate-polyacrylamide gel electrophoresis (SDS-PAGE) and western blot analysis

Briefly, the HaCaT cells were washed with cold PBS and then lysed in RIPA buffer (ELPIS Biotech, Inc., Daejeon, Korea) on ice for 20 min with a strong vortex. The cell lysate was centrifuged at 10,000 × g for 10 min at 4°C and protein concentrations were measured using the bicinchoninic acid method. Sample proteins (20 μg) were analyzed on 10% SDS-PADE and electrophoretically transferred to a polyvinylidene difluoride (PVDF) membrane, following which the PVDF membrane was blocked in 5% non-fat dry milk in Tris-buffered saline (TBS, 20 mM Tris, 0.2 M NaCl, pH 7.5) containing 0.05% Tween-20 (TBS/T) for 1 h at room temperature. The PVDF membrane was incubated with primary antibodies for overnight at 4°C. Following washing three times with TBS/T, the membranes were incubated for 1 h at room temperature with horseradish peroxidase (HRP)-conjugated secondary antibodies, diluted 1:5,000 with 5% skim milk in TBS/T. The membranes were then visualized using SuperSignal West Pico Chemiluminescent Substrate (cat. no. 32106; Pierce; Thermo Fisher Scientific, Inc.). The primary antibodies used were as follows: anti-NF-κB p65 (cat. no. sc-8242; 1:1,000), anti-JNK (cat. no. sc-474; 1:1,000), anti-extracellular signal-regulated kinase (ERK; cat. no. sc-154; 1:1,000), anti-p38 (cat. no. sc-7149; 1:1,000), anti-p-p38 (cat. no. sc-7973; 1:1,000), anti-phosphorylated (p-) JAK1 (cat. no. sc-16773; 1:1,000), anti-JAK1 (cat. no. sc-376996; 1:1,000), anti-p-STAT1 (cat. no. sc-8394; 1:1,000), anti-STAT1 (cat. no. sc-464; 1:1,000; all from Santa Cruz Biotechnology, Inc., Dallas, TX, USA), anti-p-ERK 1/2 (cat. no. 9101; 1:1,000), anti-p-IκB-α (cat. no. 2859; 1:1,000), anti-IκB-α (cat. no. 9242; 1:1,000), anti-NF-κB p-p65 (cat. no. 3033; 1:1,000; all from Cell Signaling Technology, Inc., Danvers, MA, USA), anti-p-JNK (cat. no. KAP-SA011; 1:1,000; Enzo Life Sciences, Inc.), and anti-β-actin (cat. no. 4967; 1:1,000; Cell Signaling Technology, Inc.). The secondary antibodies used were as follows: HRP-conjugated goat anti-rabbit IgG (cat. no. sc-2030; 1:5,000 in 5% skim milk; Santa Cruz Biotechnology, Inc.; used for detection of NF-κB p65, JNK, ERK, p38, p-p38, p-JNK, p-ERK, p-IκB-α, IκB-α, NF-κB p-p65, β-actin) and HRP-conjugated goat anti-mouse IgG (cat. no. sc-2005; 1:5,000 in 5% skim milk; Santa Cruz Biotechnology, Inc.; used for detection of JAK1, STAT1, p-JAK1, p-STAT1). Each protein was detected using an Enhanced Chemiluminescence detection system using ImageQuant LAS4000 (GE Healthcare Life Sciences, Little Chalfont, UK). Western blot bands were quantified using ImageJ software (version 1.6.0; National Institutes of Health, Bethesda, MD, USA).

Luciferase assay

HaCaT cells were transfected with 0.1 μg pGL4.32 (luc2P/NF-κB-RE/Hygro, Promega Corporation, Madison, WI, USA) plasmids, using Lipofectamine 2000 transfection reagent (Invitrogen; Thermo Fisher Scientific, Inc.) according to the manufacturer's protocol. Then, 20 h after transfection, the cells were stimulated with TNF-α/IFN-γ (10 ng/ml) for 24 h at 37°C, harvested, and then assessed for luciferase activity using the ONE-Glo™ luciferase reporter assay system (Promega Corporation) according to the manufacturer's protocol. Normalization was performed by comparison with Renilla luciferase activity.

Immunocytochemistry (ICC)

HaCaT cells were cultured in Lab-Tek™ chamber slides (Thermo Fisher Scientific, Inc.) and immobilized in ethanol at 4°C for 15 min. Slides were washed three times with PBS and blocked with 2% (w/v) bovine serum albumin (BSA100, Bovogen Biologicals Pty Ltd., Melbourne, Australia) in PBS for an additional 1 h at room temperature. Slides were then incubated with anti-NF-κB p65 subunit (cat. no. sc-8242; rabbit polyclonal IgG; 1:200, Santa Cruz Biotechnology) and anti-STAT1 (cat. no. sc-464; mouse monoclonal IgG; 1:100, Santa Cruz Biotechnology, Inc.) antibodies for 24 h at 4°C. Following washing with PBS three times to remove excess primary antibody, the slides were further incubated with Alexa Fluor 488-conjugated goat anti-rabbit IgG (cat. no. A-11034; 1:1,000; Invitrogen; Thermo Fisher Scientific, Inc.) or Texas Red conjugated goat anti-mouse IgG secondary antibodies (cat. no. A-11003; 1:1,000; Invitrogen; Thermo Fisher Scientific, Inc.) for 2 h at room temperature, washed with PBS, and stained with Gold Antifade reagent containing DAPI (Invitrogen; Thermo Fisher Scientific, Inc.) for 5 min prior to the position and quantification of ProLong nuclei. Subsequently, the slides were coverslipped and visualized using confocal laser scanning microscopy (LSM 510 m; Carl Zeiss AG, Oberkochen, Germany). All samples were quantified from the images obtained, which were taken under the same exposure conditions.

Statistical analysis

The data represent the mean ± standard error of the mean. Statistical differences among groups were determined by one-way analysis of variance with repeated measures followed by Student-Newman–Keuls testing in SPSS 14.0 software (SPSS, Inc., Chicago, IL, USA). P<0.05 was considered to indicate a statistically significant difference.

Results

Cell viability

The effect of RAME on cell viability was confirmed using HaCaT cells and an MTT assay. As presented in Fig. 1, RAME did not result in a significant cytotoxic effect, failing to affect cell viability even at a relatively high concentration of 20 μg/ml for a treatment period of 24 h. Therefore, RAME was experimentally confirmed to not show toxicity, even when HaCaT cells were treated with 20 μg/ml. In addition, the effect of RAME and solvent fraction (n-hexane, chloroform, ethyl acetate, butanol, water layer) on cell viability was confirmed using HaCaT cells and MTT assays. RAME and solvent fraction did not affect cell viability, even at a relatively high concentration of 20 μg/ml for a 24 h treatment period (data not shown).

Figure 1

Cytotoxicity of RAME treatment in HaCaT cells. Cells were seeded in 96-well plates and treated with RAME (2.5, 5, 10, 20 μg/ml) for 24 h. Cell viability was assessed using the MTT assay. RAME, Rhododendron album Blume methanol extract.

Treatment with RAME inhibits TNF-α/IFN-γ-induced TARC and MDC expression in HaCaT cells

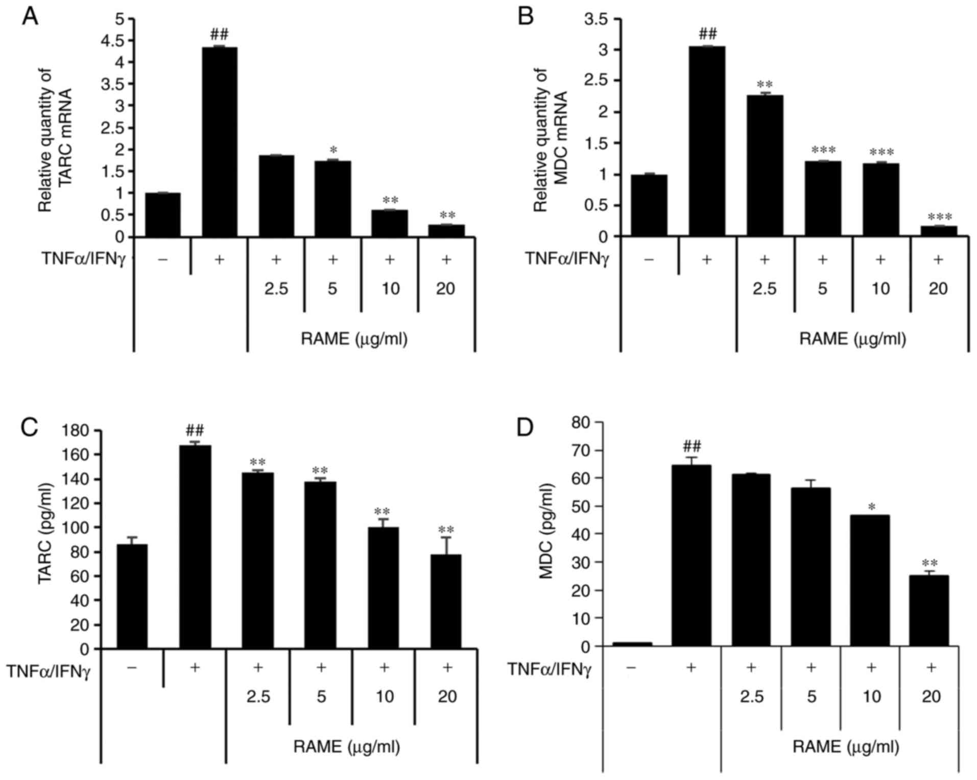
Next, the effect of suppressing TARC and MDC production by RAME in HaCaT cells stimulated with TNF-α/IFN-γ was investigated using ELISA and RT-qPCR (Fig. 2). TARC and MDC were significantly increased in the group treated with TNF-α/IFN-γ compared with the untreated group. In addition, when HaCaT cells were treated with TNF-α/IFN-γ following RAME treatment, TARC and MDC mRNA expression decreased in a concentration-dependent manner, compared with the group treated with TNF-α/IFN-γ. Furthermore, RAME treatment inhibited the expression of TARC and MDC protein in the HaCaT cells stimulated with TNF-α/IFN-γ.

Figure 2

RAME affects the expression of chemokines in HaCaT cells. HaCaT keratinocytes were pretreated with RAME (2.5, 5.0, 10.0 or 20.0 μg/ml) and stimulated with TNF-α (10 ng/ml) and IFN-γ (10 ng/ml) for 24 h. (A) TARC and (B) MDC mRNA expression in HaCaT cells. (C) TARC and (D) MDC levels were measured using culture supernatants of cells treated with RAME and TNF-α/IFN-γ for 24 h. Data are presented as the mean ± standard error of the mean of 3 samples. ##P<0.01 vs. the negative control; *P<0.05, **P<0.01 and ***P<0.001 vs. TNF-α/IFN-γ stimulated cells. RAME, Rhododendron album Blume methanol extract; TNF-α, tumor necrosis factor-α; IFN-γ, interferon-γ; TARC, thymus- and activation-regulated chemokine; MDC, macrophage-derived chemokine.

Treatment with RAME inhibits TNF-α/IFN-γ-induced IL-8 and IL-6 expression in HaCaT cells

Next, the effect of inhibiting the production of IL-6 and IL-8 through RAME treatment was investigated in HaCaT cells stimulated with TNF-α/IFN-γ using ELISA and RT-qPCR (Fig. 3). The results revealed that IL-6 and IL-8 were significantly increased in the group treated with TNF-α/IFN-γ compared with the untreated group. In addition, when HaCaT cells were treated with TNF-α/IFN-γ following RAME treatment, IL-6 and IL-8 mRNA expression decreased in a concentration-dependent manner compared with the group treated with TNF-α/IFN-γ. Furthermore, RAME treatment inhibited the expression of IL-6 and IL-8 protein in the HaCaT cells stimulated with TNF-α/IFN-γ.

Figure 3

Effect of RAME on the expression of cytokines and intracellular adhesion molecules from HaCaT cells. HaCaT cells pretreated with RAME (2.5, 5.0, 10.0 or 20.0 μg/ml) and then induced with TNF-α (10 ng/ml) and IFN-γ (10 ng/ml) for 24 h. (A) IL-8 and (B) IL-6 mRNA expression in HaCaT cells. (C) IL-6 and (D) IL-8 protein expression was measured using culture supernatants of cells treated with RAME and TNF-α/IFN-γ for 24 h. A group of bars represents the average of three independent experiments. Data are presented as the mean ± standard error of the mean of 3 samples. ##P<0.01 vs. the negative control; *P<0.05, **P<0.01 and ***P<0.001 vs. TNF-α/IFN-γ stimulated cells. RAME, Rhododendron album Blume methanol extract; TNF-α, tumor necrosis factor-α; IFN-γ, interferon-γ; IL, interleukin.

Treatment with RAME inhibits the activation of mitogen activated protein kinases (MAPKs) in HaCaT cells

TNF-α/IFN-γ activate JNK, ERK and p38 expression (24). Therefore, the effect of RAME on JNK, ERK and p38 protein expression in HaCaT cells was investigated (Fig. 4). HaCaT cells were treated with TNF-α/IFN-γ and RAME was added after 2 h. Phosphorylation changes to JNK, ERK, and p38, which are MAPKs that are known to be important in the atopy pathway, were confirmed. The results revealed an increase in the phosphorylation of JNK, ERK, and p38 in HaCaT cells stimulated for 1 h with TNF-α/IFN-γ, compared with unstimulated HaCaT cells. Furthermore, this experiment confirmed that when the cells were pretreated with RAME, the phos-phorylation of JNK, ERK, and p38 was markedly suppressed as compared with the group treated with TNF-α/IFN-γ alone. Consequently, RAME exerted an inhibitory effect on the expression of p-JNK, p-ERK, and p-p38 following TNF-α/IFN-γ stimulation.

Figure 4

Effect of RAME treatment on TNF-α/IFN-γ induced MAPKs in HaCaT cells. Cells were pretreated with 2.5, 5.0, 10.0, and 20.0 μg/ml RAME for 1 h and then exposed to TNF-α and IFN-γ (each 10 ng/ml) for 2 h. Cell extracts were prepared and MAPK activation was analyzed by western blotting, using specific antibodies. ##P<0.01 vs. the negative control; *P<0.05, **P<0.01 and ***P<0.001 vs. TNF-α/IFN-γ stimulated cells. RAME, Rhododendron album Blume methanol extract; TNF-α, tumor necrosis factor-α; IFN-γ, interferon-γ; MAPK, mitogen-activated protein kinase; p-, phosphorylated; ERK, extracellular signal-regulated kinase; JNK, c-Jun N-terminal kinase.

RAME inhibited the activation of NF-κB in HaCaT cells

NF-κB signaling is critical in skin inflammatory AD responses induced by MDC and TARC (26). To examine whether RAME downregulated TNF-α/IFN-γ-mediated NF-κB activation in the keratinocyte cells, the expression of associated proteins was examined by western blot analysis using specific antibodies, ICC, and luciferase assays. TNF-α/IFN-γ significantly increased the phosphorylation of NF-κB p65 at 1 h. RAME decreased the phosphorylation of NF-κB p65 in TNF-α/IFN-γ-induced HaCaT cells (Fig. 5A). TNF-α/IFN-γ-induced nuclear translocation of p65 was inhibited by treatment with RAME at 10 μg/ml (Fig. 5B). Furthermore, the inhibitory effect of RAME on TNF-α/IFN-γ-stimulated nuclear translocation of NF-κB p65 was also observed during ICC analysis (Fig. 5C). These results revealed that RAME inhibited the activation of NF-κB in HaCaT cells.

Figure 5

Effect of RAME treatment on TNF-α/IFN-γ induced NF-κB activation in HaCaT cells. (A) The activation of p65 and IκB-α was analyzed using western blotting. (B) Cell localization of p65 was determined by immunocytochemistry (×400 magnification). (C) HaCaT cells were transfected with the expression vector luciferase (Luc) reporter plasmid (0.1 μg). Then, 24 h after transfection, HaCaT cells were treated with RAME for 1 h and the luciferase activity was measured. Data are presented as the mean ± standard error of the mean of three samples. ##P<0.01 vs. the negative control; *P<0.05 and **P<0.01 vs. TNF-α/IFN-γ stimulated cells. RAME, Rhododendron album Blume methanol extract; TNF-α, tumor necrosis factor-α; IFN-γ, interferon-γ; p-, phosphorylated; IκB-α, nuclear factor of κ light polypeptide gene enhancer in B-cells.

RAME and Bay11-7082 inhibited the activation of NF-κB in HaCaT cells

The p65 subunit is an important element of activated NF-κB. Activation of NF-κB in TNF-α/IFN-γ induced HaCaT cells was studied by measuring the phosphorylation of NF-κB subunit p65 by western blot analysis. Pretreatment with RAME and Bay11-7082 decreased the levels of p-IκB-α and p-p65 compared with the TNF-α/IFN-γ treatment only, while the TNF-α/IFN-γ treatment group increased the levels of p-IκB-α and p-p65 compared with the negative control (Fig. 6A). Stimulation of HaCaT cells with TNF-α/IFN-γ induced nuclear translocation of p65 NF-κB and degradation of IκB-α. NF-κB-dependent gene reporter analysis was used to confirm the inhibitory effect of RAME and Bay11-7082 on NF-κB activation. RAME and Bay11-7082 suppressed TNF-α/IFN-γ-stimulated nuclear translocation of p65 NF-κB (Fig. 6B). As presented in Fig. 6C, the TNF-α/IFN-γ stimulated NF-κB promoter activity in HaCaT cells was significantly reduced by RAME and Bay11-7082 inhibitors. In addition, stimulation of HaCaT cells with TNF-α/IFN-γ induced the expression of chemokines and pro-inflammatory cytokines. RAME and Bay11-7082 treatment suppressed TNF-α/IFN-γ-stimulated expression of TARC, MDC, IL-6, and IL-8 (Fig. 7A-D). As presented in Fig. 7, the expression of TNF-α/IFN-γ stimulated chemokines (TARC and MDC) and pro-inflammatory cytokines (IL-6 and IL-8) in HaCaT cells was significantly decreased by treatment with RAME and Bay11-7082 inhibitors.

Figure 6

Effect of RAME and Bay11-7082 on TNF-α/IFN-γ induced NF-κB activation in HaCaT cells. (A) The phosphorylation of p65 and IκB-α was analyzed using western blotting. (B) Intracellular NF-κB staining from TNF-α/IFN-γ-stimulated HaCaT cells pretreated with RAME and Bay11-7082. DAPI staining was used to visualize the nuclei of the corresponding cells (×400 magnification). (C) Analysis of NF-κB p65 luciferase reporter activity in HaCaT cells pretreated with increasing concentrations of Bay11-7082 prior to TNF-α/IFN-γ stimulation for 30 min. Data are presented as the mean ± standard error of the mean of three samples. ##P<0.01 vs. the negative control; *P<0.05 and **P<0.01 vs. TNF-α/IFN-γ stimulated cells. RAME, Rhododendron album Blume methanol extract; TNF-α, tumor necrosis factor-α; IFN-γ, interferon-γ; NF-κB, nuclear factor-κB; p-, phosphorylated; IκB-α, nuclear factor of κ light polypeptide gene enhancer in B-cells.

Figure 7

Effects of mitogen-activated protein kinase inhibitors on the expression of chemokines and pro-inflammatory cytokines. HaCaT cells were pretreated with 20 μg/ml RAME, and 5 μM Bay11-7082, 10 μM SB203580, 10 μM PD98059 and 10 μM SP600125 for 1 h followed by incubation with 10 ng/ml TNF-α/IFN-γ for 18 h. (A) TARC (B) MDC (C) IL-8 and (D) IL-6 levels were measured by ELISA. Data are presented as the mean ± standard error of the mean (n=3). ##P<0.01 vs. the the normal control group, *P<0.05 and **P<0.01 vs the TNF-α/IFN-γ stimulated cells. RAME, Rhododendron album Blume methanol extract; TNF-α, tumor necrosis factor-α; IFN-γ, interferon-γ; TARC, thymus- and activation-regulated chemokine; MDC, macrophage-derived chemokine; IL, interleukin.

RAME and inhibitors inhibit the expression of chemokines and cytokines in TNF-α/IFN-γ-stimulated HaCaT cells

The translocation of NF-κB into the nucleus was reduced in RAME-treated HaCaT cells (Fig. 5). The MAPKs may be activated by TNF-α/IFN-γ, a key stimulator of the skin inflammation response in keratinocytes, as well as multiple other types of cell. As presented in Fig. 4, RAME markedly decreased the expression levels of p-p38, p-ERK, and p-JNK in TNF-α/IFN-γ-induced HaCaT cells compared with untreated cells. These data suggested that RAME suppresses the inflammatory response via partial regulation of NF-κB and MAPK signaling. To assess the function of NF-κB and MAPKs in the production of TNF-α/IFN-γ-induced inflammatory mediators, the effects of selective NF-κB and MAPK inhibitors on TNF-α/IFN-γ-induced chemokine and cytokine production were investigated. ELISA analysis revealed that Bay11-7082 (IκB-α inhibitor) SP600125 (JNK inhibitor), PD98059 (ERK inhibitor) and SB203580 (p38 inhibitor) markedly inhibited TARC, MDC, IL-6, and IL-8 expression, respectively. Furthermore, treatment with RAME and inhibitors were demonstrated to markedly inhibit TNF-α/IFN-γ-mediated expression of TARC (Fig. 7A), MDC (Fig. 7B), IL-8 (Fig. 7C), and IL-6 (Fig. 7D). These results suggested that RAME-mediated inactivation of NF-κB p65, JNK, ERK, and p38 MAPK may, at least in part, be responsible for the suppression of TARC, MDC, IL-8 and IL-6 in HaCaT cells. In addition, TNF-α/IFN-γ stimulation induced an increase in the activation of NF-κB and MAPKs, while treatment with RAME inhibited this effect.

Treatment with RAME inhibits the activation of JAK/STAT in HaCaT cells

The JAK/STAT pathway is important to the immune system. To investigate whether RAME treatment resulted in the downregulation of TNF-α/IFN-γ-mediated JAK/STAT activation in HaCaT cells, western blot analysis and immunocytochemistry using specific antibodies were utilized (Fig. 8). RAME pre-treatment 1 h prior to TNF-α/IFN-γ exposure in the HaCaT cells. TNF-α/IFN-γ increased the phosphorylation of JAK/STAT signaling for 1 h. As a result, RAME was revealed to inhibit the phosphorylation of the JAK/STAT pathway in TNF-α/IFN-γ-stimulated HaCAT cells (Fig. 8A). In addition, RAME treatment was revealed to decrease translocation of STAT1 in HaCaT cells by immunocytochemistry (Fig. 8B). These results revealed that RAME inhibited the activation of JAK/STAT in HaCaT cells.

Figure 8

Effect of RAME on TNF-α/IFN-γ induced NF-κB activation in HaCaT cells. (A) The phosphorylation of JAK1, JAK2 and STAT1 was analyzed using western blotting. (B) Cell localization of STAT1 was determined by immunocytochemistry. Using DAPI (blue), the nuclei were visualized and observed at ×400 magnification. Data are presented as the mean ± standard error of the mean of three samples. ##P<0.01 vs. the negative control; *P<0.05, **P<0.01 and ***P<0.001 vs. TNF-α/IFN-γ stimulated cells. RAME, Rhododendron album Blume methanol extract; TNF-α, tumor necrosis factor-α; IFN-γ, interferon-γ; NF-κB, nuclear factor-κB; JAK, Janus kinase; STAT, signal transducers and activators of transcription; p-, phosphorylated.

Discussion

Traditional medicine using natural herbs may help to prevent and treat several immune-related diseases, including AD, atopic inflammation and allergy (27). The present study revealed that RAME treatment reduced the production of various inflammatory and allergy-mediated chemokines and cytokines in TNF-α/IFN-γ-induced HaCaT cells, through inactivation of NF-κB and MAPKs.

Regulation of cytokine production is central to the pathogenesis of allergic disorders. Cho et al (27) observed increased levels of IL-6, IL-8, IL-10, IL-23 and TGF-β expression in patients with AD compared with healthy individuals. In the present study, RAME decreased IL-8 and IL-6 gene expression in HaCaT cells (Fig. 3A-D). These data suggested that RAME exerted anti-inflammatory effects by suppressing the production of inflammatory chemokines and cytokines. In addition, chemokines and their receptors serve an important function in AD by regulating the onset and worsening of inflammation in response to allergens (28,29). Giuliani et al and Chen et al (30,31) have demonstrated that serum levels of MDC and TARC are increased in AD, and that this increase is positively correlated with the illness severity in AD. To the best of our knowledge, the present study is the first to demonstrate that RAME inhibits TNF-α/IFN-γ-induced TARC and MDC expression in HaCaT keratinocyte cells (Fig. 2A-D).

NF-κB represents part of an important pro-inflammatory signaling pathway. NF-κB regulates the expression of several asthma, inflammation, allergy and immune-associated genes through the degradation of IκB (30-32). Therefore, RAME may have an anti-allergic effect based on a decrease in activated NF-κB levels (Fig. 5A-C). The IκB-α inhibitor Bay11-7082 (33), which prevents the phosphorylation and activation of p65, was used because specific inhibitor constructs that reduce p65 and IκB-α levels in HaCaT cells were not identified (Fig. 6A-C). The effect of the NF-κB specific inhibitor Bay11-7082 was investigated and revealed to significantly inhibit the activation of NF-κB. This result seems to be due to the mechanisms underlying the anti-inflammatory effects of RAME, which are caused by the suppression of NF-κB transcriptional activity. The MAPK cascade is one of the signaling pathways involved in immune responses (24,34,35). The MAPK signaling pathway regulates multiple cellular processes, including gene expression, cell death and survival, cell motility and cell proliferation (36,37). MAPKs include three major subfamilies, namely p42/p44 ERKs, p38 MAPKs, and JNKs. The inhibition of MAPKs has been reported to reduce the synthesis of pro-inflammatory cytokines and their intracellular signaling pathways, and inhibit the activation of NF-κB (38,39). TNF-α/IFN-γ stimulation of HaCaT cells was confirmed to activate three major MAPK modules, including ERK, JNK and p38. Treatment with RAME, the p38 MAPK inhibitor SB203580, the ERK inhibitor PD98059 and the JNK inhibitor SP600125 reduced TNF-α/IFN-γ-activated expression of pro-inflammatory cytokine (IL-6 and IL-8) and chemokines (TARC and MDC) to baseline values. Furthermore, these inhibitors and RAME reduced pro-inflammatory cytokine (IL-6 and IL-8) and chemokine (TARC and MDC) expression by ~50% (Fig. 7). These results suggested that the inhibition of JNK, ERK and p38 MAPK by RAME treatment reduces the production of pro-inflammatory cytokines and chemo-kines in HaCaT cells (Fig. 4). The fact that RAME reduces TNF-α/IFN-γ-induced MAPK, MDC, and TARC mRNA expression again suggested that RAME has anti-allergic and anti-inflammatory effects.

In mammals, the JAK/STAT pathway is the main signaling mechanism for a wide array of growth factors and cytokines. JAK/STAT signaling is one of a number of pleiotropic cascades used to transduce signals for development in animals and humans. The results of the present study suggested that the RAME may have an anti-allergic effect based on the decrease in activated JAK/STAT (Fig. 8A and B).

In conclusion, the present study confirmed that RAME inhibits the expression of AD-associated chemokines and cytokines in TNF-α/IFN-γ-induced keratinocytes. These effects were considered to be associated with the suppression of NF-κB activation, These experimental results provide a scientific basis for the use of RAME to treat AD. Additional experiments to test the in vitro effects of RAME on AD are currently in progress in our laboratory.

Acknowledgments

Not applicable.

Notes

[1] Funding

The present study was supported by the Bio & Medical Technology Development Program of the National Research Foundation and funded by the Korean government (MSIT; grant no. NRF-2016K1A1A8A01939075) and the Korea Research Institute of Bioscience and Biotechnology Research Initiative Program of the Republic of Korea (grant no. KGM1221814).

[2] Availability of data and materials

The analyzed data sets generated during the study are available from the corresponding author on reasonable request.

[3] Authors' contributions

JWP analyzed the data and wrote the manuscript. HSL and YRL conducted the in vitro experiments. JHP, OKK, JHK, IP and PY prepared the Rhododendron album Blume, and analyzed and edited the manuscript. SC, SRO and KSA designed the study and edited the manuscript. All authors critically revised the article and have consented to the final version of the manuscript.

[4] Ethics approval and consent to participate

Not applicable.

[5] Consent for publication

Not applicable.

[6] Competing interests

The authors declare that they have no competing interests.

References

1 

Brandt EB and Sivaprasad U: Th2 cytokines and atopic dermatitis. J Clin Cell Immunol. 2:pii. 1102011. View Article : Google Scholar : PubMed/NCBI

2 

Abramovits W: Atopic dermatitis. J Am Acad Dermatol. 53(1 Suppl 1): S86–S93. 2005. View Article : Google Scholar : PubMed/NCBI

3 

Portugal-Cohen M, Horev L, Ruffer C, Schlippe G, Voss W, Ma'or Z, Oron M, Soroka Y, Frušić-Zlotkin M, Milner Y and Kohen R: Non-invasive skin biomarkers quantification of psoriasis and atopic dermatitis: Cytokines, antioxidants and psoriatic skin auto-fluorescence. Biomed Pharmacother. 66:293–299. 2012. View Article : Google Scholar : PubMed/NCBI

4 

Hoffjan S and Stemmler S: On the role of the epidermal differentiation complex in ichthyosis vulgaris, atopic dermatitis and psoriasis. Br J Dermatol. 157:441–449. 2007. View Article : Google Scholar : PubMed/NCBI

5 

Nakatsuji T, Chen TH, Two AM, Chun KA, Narala S, Geha RS, Hata TR and Gallo RL: Staphylococcus aureus exploits epidermal barrier defects in atopic dermatitis to trigger cytokine expression. J Invest Dermatol. 136:2192–2200. 2016. View Article : Google Scholar : PubMed/NCBI

6 

Leung DY, Boguniewicz M, Howell MD, Nomura I and Hamid QA: New insights into atopic dermatitis. J Clin Invest. 113:651–657. 2004. View Article : Google Scholar : PubMed/NCBI

7 

Yang IJ, Lee DU and Shin HM: Inhibitory effect of valencene on the development of atopic dermatitis-like skin lesions in nc/nga mice. Evid Based Complement Alternat Med. 2016:93708932016. View Article : Google Scholar : PubMed/NCBI

8 

Zlotnik A and Yoshie O: Chemokines: A new classification system and their role in immunity. Immunity. 12:121–127. 2000. View Article : Google Scholar : PubMed/NCBI

9 

Kang GJ, Han SC, Yi EJ, Kang HK and Yoo ES: The inhibitory effect of premature citrus unshiu extract on atopic dermatitis in vitro and in vivo. Toxicol Res. 27:173–180. 2011. View Article : Google Scholar

10 

Vestergaard C, Yoneyama H, Murai M, Nakamura K, Tamaki K, Terashima Y, Imai T, Yoshie O, Irimura T, Mizutani H and Matsushima K: Overproduction of Th2-specific chemokines in NC/Nga mice exhibiting atopic dermatitis-like lesions. J Clin Invest. 104:1097–1105. 1999. View Article : Google Scholar : PubMed/NCBI

11 

Horikawa T, Nakayama T, Hikita I, Yamada H, Fujisawa R, Bito T, Harada S, Fukunaga A, Chantry D, Gray PW, et al: IFN-gamma-inducible expression of thymus and activation-regulated chemokine/CCL17 and macrophage-derived chemokine/CCL22 in epidermal keratinocytes and their roles in atopic dermatitis. Int Immunol. 14:767–773. 2002. View Article : Google Scholar : PubMed/NCBI

12 

Sebastiani S, Albanesi C, De PO, Puddu P, Cavani A and Girolomoni G: The role of chemokines in allergic contact dermatitis. Arch Dermatol Res. 293:552–559. 2002. View Article : Google Scholar : PubMed/NCBI

13 

Shimada Y, Takehara K and Sato S: Both Th2 and Th1 chemokines (TARC/CCL17, MDC/CCL22, and Mig/CXCL9) are elevated in sera from patients with atopic dermatitis. J Dermatol Sci. 34:201–208. 2004. View Article : Google Scholar : PubMed/NCBI

14 

Kimura M, Haisa M, Uetsuka H, Takaoka M, Ohkawa T, Kawashima R, Yamatsuji T, Gunduz M, Kaneda Y, Tanaka N and Naomoto Y: TNF combined with IFN-alpha accelerates NF-kappaB-mediated apoptosis through enhancement of Fas expression in colon cancer cells. Cell Death Differ. 10:718–728. 2003. View Article : Google Scholar : PubMed/NCBI

15 

Rath PC: Relationship between constitutive nuclear factor-kappaB (NF-kappaB) and inhibitor kappaB-alpha (IkappaB-alpha) in an interferon-alpha-sensitive human Burkitt lymphoma cell line. Biochim Biophys Acta. 1741:253–263. 2005. View Article : Google Scholar : PubMed/NCBI

16 

Baeuerle PA and Baichwal VR: NF-kappa B as a frequent target for immunosuppressive and anti-inflammatory molecules. Adv Immunol. 65:111–137. 1997. View Article : Google Scholar : PubMed/NCBI

17 

Ortis F, Pirot P, Naamane N, Kreins AY, Rasschaert J, Moore F, Théâtre E, Verhaeghe C, Magnusson NE, Chariot A, et al: Induction of nuclear factor-kappaB and its downstream genes by TNF-alpha and IL-1beta has a pro-apoptotic role in pancreatic beta cells. Diabetologia. 51:1213–1225. 2008. View Article : Google Scholar : PubMed/NCBI

18 

Cao ZH, Yin WD, Zheng QY, Feng SL, Xu GL and Zhang KQ: Caspase-3 is involved in IFN-γ- and TNF-α-mediated MIN6 cells apoptosis via NF-κB/Bcl-2 pathway. Cell Biochem Biophys. 67:1239–1248. 2013. View Article : Google Scholar

19 

Ali S, Nisar M, Qaisar M, Khan A and Khan AA: Evaluation of the cytotoxic potential of a new pentacyclic triterpene from Rhododendron arboreum stem bark. Pharm Biol. 55:1927–1930. 2017. View Article : Google Scholar : PubMed/NCBI

20 

Li FR, Yu FX, Yao ST, Si YH, Zhang W and Gao LL: Hyperin extracted from Manchurian rhododendron leaf induces apoptosis in human endometrial cancer cells through a mitochondrial pathway. Asian Pac J Cancer Prev. 13:3653–3656. 2012. View Article : Google Scholar : PubMed/NCBI

21 

Liu YL, Lin LC, Tung YT, Ho ST, Chen YL, Lin CC and Wu JH: Rhododendron oldhamii leaf extract improves fatty liver syndrome by increasing lipid oxidation and decreasing the lipogenesis pathway in mice. Int J Med Sci. 14:862–870. 2017. View Article : Google Scholar :

22 

Park JW, Kwon OK, Kim JH, Oh SR, Kim JH, Paik JH, Marwoto B, Widjhati R, Juniarti F, Irawan D and Ahn KS: Rhododendron album Blume inhibits iNOS and COX-2 expression in LPS-stimulated RAW264.7 cells through the downregulation of NF- κB signaling. Int J Mol Med. 35:987–994. 2015. View Article : Google Scholar : PubMed/NCBI

23 

Lee JW, Park JW, Kwon OK, Lee HJ, Jeong HG, Kim JH, Oh SR and Ahn KS: NPS2143 Inhibits MUC5AC and proinflammatory mediators in cigarette smoke extract (CSE)-stimulated human airway epithelial cells. Inflammation. 40:184–194. 2017. View Article : Google Scholar

24 

Ko JW, Park JW, Shin NR, Kim JH, Cho YK, Shin DH, Kim JC, Lee IC, Oh SR, Ahn KS and Shin IS: Copper oxide nanoparticle induces inflammatory response and mucus production via MAPK signaling in human bronchial epithelial cells. Environ Toxicol Pharmacol. 43:21–26. 2016. View Article : Google Scholar : PubMed/NCBI

25 

Livak KJ and Schmittgen TD: Analysis of relative gene expression data using real-time quantitative PCR and the 2(−Delta Delta C(T)) method. Methods. 25:402–408. 2001. View Article : Google Scholar

26 

Shibata S, Maeda S, Kondo N, Chimura N, Inoue A and Fukata T: Identification of the signaling pathway of TNF-α-induced CCL17/TARC transcription in a canine keratinocyte cell line. Vet Immunol Immunopathol. 139:90–98. 2011. View Article : Google Scholar

27 

Cho BO, Che DN, Yin HH, Shin JY and Jang SI: Diospyros lotus leaf and grapefruit stem extract synergistically ameliorate atopic dermatitis-like skin lesion in mice by suppressing infiltration of mast cells in skin lesions. Biomed Pharmacother. 89:819–826. 2017. View Article : Google Scholar : PubMed/NCBI

28 

Homey B, Steinhoff M, Ruzicka T and Leung DY: Cytokines and chemokines orchestrate atopic skin inflammation. J Allergy Clin Immunol. 118:178–189. 2006. View Article : Google Scholar : PubMed/NCBI

29 

Nedoszytko B, Sokołowska-Wojdyło M, Ruckemann-Dziurdzińska K, Roszkiewicz J and Nowicki RJ: Chemokines and cytokines network in the pathogenesis of the inflammatory skin diseases: Atopic dermatitis, psoriasis and skin mastocytosis. Postepy Dermatol Alergol. 31:84–91. 2014. View Article : Google Scholar : PubMed/NCBI

30 

Giuliani C, Napolitano G, Bucci I, Montani V and Monaco F: Nf-κB transcription factor: Role in the pathogenesis of inflammatory, autoimmune, and neoplastic diseases and therapy implications. Clin Ter. 152:249–253. 2001.In Italian. PubMed/NCBI

31 

Chen Y, Xian Y, Lai Z, Loo S, Chan WY and Lin ZX: Anti-inflammatory and anti-allergic effects and underlying mechanisms of Huang-Lian-Jie-Du extract: Implication for atopic dermatitis treatment. J Ethnopharmacol. 185:41–52. 2016. View Article : Google Scholar : PubMed/NCBI

32 

Park JW, Kim YJ, Shin IS, Kwon OK, Hong JM, Shin NR, Oh SR, Ha UH, Kim JH and Ahn KS: Type III secretion system of Pseudomonas aeruginosa affects matrix metalloproteinase 12 (MMP-12) and MMP-13 Expression via nuclear factor κB signaling in human carcinoma epithelial cells and a pneumonia mouse model. J Infect Dis. 214:962–969. 2016. View Article : Google Scholar : PubMed/NCBI

33 

Park JW, Shin IS, Ha UH, Oh SR, Kim JH and Ahn KS: Pathophysiological changes induced by Pseudomonas aeruginosa infection are involved in MMP-12 and MMP-13 upregulation in human carcinoma epithelial cells and a pneumonia mouse model. Infect Immun. 83:4791–4799. 2015. View Article : Google Scholar : PubMed/NCBI

34 

Kim HH, Kim SW, Kim DS, Oh HM, Rho MC and Kim SH: Vigna angularis inhibits mast cell-mediated allergic inflammation. Int J Mol Med. 32:736–742. 2013. View Article : Google Scholar : PubMed/NCBI

35 

Park JW, Lee IC, Shin NR, Jeon CM, Kwon OK, Ko JW, Kim JC, Oh SR, Shin IS and Ahn KS: Copper oxide nanoparticles aggravate airway inflammation and mucus production in asthmatic mice via MAPK signaling. Nanotoxicology. 10:445–452. 2016. View Article : Google Scholar

36 

Jeong YH, Oh YC, Cho WK, Lee B and Ma JY: Anti-inflammatory effects of melandrii herba ethanol extract via inhibition of NF-κB and MAPK signaling pathways and induction of HO-1 in RAW 264.7 cells and mouse primary macrophages. Molecules. 21:pii. E8182016. View Article : Google Scholar

37 

Zheng G, Shen Z, Chen H, Liu J, Jiang K, Fan L, Jia L and Shao J: Metapristone suppresses non-small cell lung cancer proliferation and metastasis via modulating RAS/RAF/MEK/MAPK signaling pathway. Biomed Pharmacother. 90:437–445. 2017. View Article : Google Scholar : PubMed/NCBI

38 

Zhao S, Sun Y, Li X, Wang J, Yan L, Zhang Z, Wang D, Dai J, He J and Wang S: Scutellarin inhibits RANKL-mediated osteoclastogenesis and titanium particle-induced osteolysis via suppression of NF-κB and MAPK signaling pathway. Int Immunopharmacol. 40:458–465. 2016. View Article : Google Scholar : PubMed/NCBI

39 

Park JW, Kwon OK, Yuniato P, Marwoto B, Lee J, Oh SR, Kim JH and Ahn KS: Amelioration of an LPS-induced inflammatory response using a methanolic extract of Lagerstroemia ovalifolia to suppress the activation of NF-κB in RAW264.7 macrophages. Int J Mol Med. 38:482–490. 2016. View Article : Google Scholar : PubMed/NCBI

Related Articles

  • Abstract
  • View
  • Download
  • Twitter
Copy and paste a formatted citation
Spandidos Publications style
Park JW, Lee HS, Lim Y, Paik JH, Kwon OK, Kim JH, Paryanto I, Yunianto P, Choi S, Oh SR, Oh SR, et al: Rhododendron album Blume extract inhibits TNF-α/IFN-γ-induced chemokine production via blockade of NF-κB and JAK/STAT activation in human epidermal keratinocytes. Int J Mol Med 41: 3642-3652, 2018.
APA
Park, J., Lee, H., Lim, Y., Paik, J., Kwon, O., Kim, J. ... Ahn, K. (2018). Rhododendron album Blume extract inhibits TNF-α/IFN-γ-induced chemokine production via blockade of NF-κB and JAK/STAT activation in human epidermal keratinocytes. International Journal of Molecular Medicine, 41, 3642-3652. https://doi.org/10.3892/ijmm.2018.3556
MLA
Park, J., Lee, H., Lim, Y., Paik, J., Kwon, O., Kim, J., Paryanto, I., Yunianto, P., Choi, S., Oh, S., Ahn, K."Rhododendron album Blume extract inhibits TNF-α/IFN-γ-induced chemokine production via blockade of NF-κB and JAK/STAT activation in human epidermal keratinocytes". International Journal of Molecular Medicine 41.6 (2018): 3642-3652.
Chicago
Park, J., Lee, H., Lim, Y., Paik, J., Kwon, O., Kim, J., Paryanto, I., Yunianto, P., Choi, S., Oh, S., Ahn, K."Rhododendron album Blume extract inhibits TNF-α/IFN-γ-induced chemokine production via blockade of NF-κB and JAK/STAT activation in human epidermal keratinocytes". International Journal of Molecular Medicine 41, no. 6 (2018): 3642-3652. https://doi.org/10.3892/ijmm.2018.3556
Copy and paste a formatted citation
x
Spandidos Publications style
Park JW, Lee HS, Lim Y, Paik JH, Kwon OK, Kim JH, Paryanto I, Yunianto P, Choi S, Oh SR, Oh SR, et al: Rhododendron album Blume extract inhibits TNF-α/IFN-γ-induced chemokine production via blockade of NF-κB and JAK/STAT activation in human epidermal keratinocytes. Int J Mol Med 41: 3642-3652, 2018.
APA
Park, J., Lee, H., Lim, Y., Paik, J., Kwon, O., Kim, J. ... Ahn, K. (2018). Rhododendron album Blume extract inhibits TNF-α/IFN-γ-induced chemokine production via blockade of NF-κB and JAK/STAT activation in human epidermal keratinocytes. International Journal of Molecular Medicine, 41, 3642-3652. https://doi.org/10.3892/ijmm.2018.3556
MLA
Park, J., Lee, H., Lim, Y., Paik, J., Kwon, O., Kim, J., Paryanto, I., Yunianto, P., Choi, S., Oh, S., Ahn, K."Rhododendron album Blume extract inhibits TNF-α/IFN-γ-induced chemokine production via blockade of NF-κB and JAK/STAT activation in human epidermal keratinocytes". International Journal of Molecular Medicine 41.6 (2018): 3642-3652.
Chicago
Park, J., Lee, H., Lim, Y., Paik, J., Kwon, O., Kim, J., Paryanto, I., Yunianto, P., Choi, S., Oh, S., Ahn, K."Rhododendron album Blume extract inhibits TNF-α/IFN-γ-induced chemokine production via blockade of NF-κB and JAK/STAT activation in human epidermal keratinocytes". International Journal of Molecular Medicine 41, no. 6 (2018): 3642-3652. https://doi.org/10.3892/ijmm.2018.3556
Follow us
  • Twitter
  • LinkedIn
  • Facebook
About
  • Spandidos Publications
  • Careers
  • Cookie Policy
  • Privacy Policy
How can we help?
  • Help
  • Live Chat
  • Contact
  • Email to our Support Team