Spandidos Publications Logo
  • About
    • About Spandidos
    • Aims and Scopes
    • Abstracting and Indexing
    • Editorial Policies
    • Reprints and Permissions
    • Job Opportunities
    • Terms and Conditions
    • Contact
  • Journals
    • All Journals
    • Oncology Letters
      • Oncology Letters
      • Information for Authors
      • Editorial Policies
      • Editorial Board
      • Aims and Scope
      • Abstracting and Indexing
      • Bibliographic Information
      • Archive
    • International Journal of Oncology
      • International Journal of Oncology
      • Information for Authors
      • Editorial Policies
      • Editorial Board
      • Aims and Scope
      • Abstracting and Indexing
      • Bibliographic Information
      • Archive
    • Molecular and Clinical Oncology
      • Molecular and Clinical Oncology
      • Information for Authors
      • Editorial Policies
      • Editorial Board
      • Aims and Scope
      • Abstracting and Indexing
      • Bibliographic Information
      • Archive
    • Experimental and Therapeutic Medicine
      • Experimental and Therapeutic Medicine
      • Information for Authors
      • Editorial Policies
      • Editorial Board
      • Aims and Scope
      • Abstracting and Indexing
      • Bibliographic Information
      • Archive
    • International Journal of Molecular Medicine
      • International Journal of Molecular Medicine
      • Information for Authors
      • Editorial Policies
      • Editorial Board
      • Aims and Scope
      • Abstracting and Indexing
      • Bibliographic Information
      • Archive
    • Biomedical Reports
      • Biomedical Reports
      • Information for Authors
      • Editorial Policies
      • Editorial Board
      • Aims and Scope
      • Abstracting and Indexing
      • Bibliographic Information
      • Archive
    • Oncology Reports
      • Oncology Reports
      • Information for Authors
      • Editorial Policies
      • Editorial Board
      • Aims and Scope
      • Abstracting and Indexing
      • Bibliographic Information
      • Archive
    • Molecular Medicine Reports
      • Molecular Medicine Reports
      • Information for Authors
      • Editorial Policies
      • Editorial Board
      • Aims and Scope
      • Abstracting and Indexing
      • Bibliographic Information
      • Archive
    • World Academy of Sciences Journal
      • World Academy of Sciences Journal
      • Information for Authors
      • Editorial Policies
      • Editorial Board
      • Aims and Scope
      • Abstracting and Indexing
      • Bibliographic Information
      • Archive
    • International Journal of Functional Nutrition
      • International Journal of Functional Nutrition
      • Information for Authors
      • Editorial Policies
      • Editorial Board
      • Aims and Scope
      • Abstracting and Indexing
      • Bibliographic Information
      • Archive
    • International Journal of Epigenetics
      • International Journal of Epigenetics
      • Information for Authors
      • Editorial Policies
      • Editorial Board
      • Aims and Scope
      • Abstracting and Indexing
      • Bibliographic Information
      • Archive
    • Medicine International
      • Medicine International
      • Information for Authors
      • Editorial Policies
      • Editorial Board
      • Aims and Scope
      • Abstracting and Indexing
      • Bibliographic Information
      • Archive
  • Articles
  • Information
    • Information for Authors
    • Information for Reviewers
    • Information for Librarians
    • Information for Advertisers
    • Conferences
  • Language Editing
Spandidos Publications Logo
  • About
    • About Spandidos
    • Aims and Scopes
    • Abstracting and Indexing
    • Editorial Policies
    • Reprints and Permissions
    • Job Opportunities
    • Terms and Conditions
    • Contact
  • Journals
    • All Journals
    • Biomedical Reports
      • Information for Authors
      • Editorial Policies
      • Editorial Board
      • Aims and Scope
      • Abstracting and Indexing
      • Bibliographic Information
      • Archive
    • Experimental and Therapeutic Medicine
      • Information for Authors
      • Editorial Policies
      • Editorial Board
      • Aims and Scope
      • Abstracting and Indexing
      • Bibliographic Information
      • Archive
    • International Journal of Epigenetics
      • Information for Authors
      • Editorial Policies
      • Editorial Board
      • Aims and Scope
      • Abstracting and Indexing
      • Bibliographic Information
      • Archive
    • International Journal of Functional Nutrition
      • Information for Authors
      • Editorial Policies
      • Editorial Board
      • Aims and Scope
      • Abstracting and Indexing
      • Bibliographic Information
      • Archive
    • International Journal of Molecular Medicine
      • Information for Authors
      • Editorial Policies
      • Editorial Board
      • Aims and Scope
      • Abstracting and Indexing
      • Bibliographic Information
      • Archive
    • International Journal of Oncology
      • Information for Authors
      • Editorial Policies
      • Editorial Board
      • Aims and Scope
      • Abstracting and Indexing
      • Bibliographic Information
      • Archive
    • Medicine International
      • Information for Authors
      • Editorial Policies
      • Editorial Board
      • Aims and Scope
      • Abstracting and Indexing
      • Bibliographic Information
      • Archive
    • Molecular and Clinical Oncology
      • Information for Authors
      • Editorial Policies
      • Editorial Board
      • Aims and Scope
      • Abstracting and Indexing
      • Bibliographic Information
      • Archive
    • Molecular Medicine Reports
      • Information for Authors
      • Editorial Policies
      • Editorial Board
      • Aims and Scope
      • Abstracting and Indexing
      • Bibliographic Information
      • Archive
    • Oncology Letters
      • Information for Authors
      • Editorial Policies
      • Editorial Board
      • Aims and Scope
      • Abstracting and Indexing
      • Bibliographic Information
      • Archive
    • Oncology Reports
      • Information for Authors
      • Editorial Policies
      • Editorial Board
      • Aims and Scope
      • Abstracting and Indexing
      • Bibliographic Information
      • Archive
    • World Academy of Sciences Journal
      • Information for Authors
      • Editorial Policies
      • Editorial Board
      • Aims and Scope
      • Abstracting and Indexing
      • Bibliographic Information
      • Archive
  • Articles
  • Information
    • For Authors
    • For Reviewers
    • For Librarians
    • For Advertisers
    • Conferences
  • Language Editing
Login Register Submit
  • This site uses cookies
  • You can change your cookie settings at any time by following the instructions in our Cookie Policy. To find out more, you may read our Privacy Policy.

    I agree
Search articles by DOI, keyword, author or affiliation
Search
Advanced Search
presentation
Molecular Medicine Reports
Join Editorial Board Propose a Special Issue
Print ISSN: 1791-2997 Online ISSN: 1791-3004
Journal Cover
December-2016 Volume 14 Issue 6

Full Size Image

Sign up for eToc alerts
Recommend to Library

Journals

International Journal of Molecular Medicine

International Journal of Molecular Medicine

International Journal of Molecular Medicine is an international journal devoted to molecular mechanisms of human disease.

International Journal of Oncology

International Journal of Oncology

International Journal of Oncology is an international journal devoted to oncology research and cancer treatment.

Molecular Medicine Reports

Molecular Medicine Reports

Covers molecular medicine topics such as pharmacology, pathology, genetics, neuroscience, infectious diseases, molecular cardiology, and molecular surgery.

Oncology Reports

Oncology Reports

Oncology Reports is an international journal devoted to fundamental and applied research in Oncology.

Experimental and Therapeutic Medicine

Experimental and Therapeutic Medicine

Experimental and Therapeutic Medicine is an international journal devoted to laboratory and clinical medicine.

Oncology Letters

Oncology Letters

Oncology Letters is an international journal devoted to Experimental and Clinical Oncology.

Biomedical Reports

Biomedical Reports

Explores a wide range of biological and medical fields, including pharmacology, genetics, microbiology, neuroscience, and molecular cardiology.

Molecular and Clinical Oncology

Molecular and Clinical Oncology

International journal addressing all aspects of oncology research, from tumorigenesis and oncogenes to chemotherapy and metastasis.

World Academy of Sciences Journal

World Academy of Sciences Journal

Multidisciplinary open-access journal spanning biochemistry, genetics, neuroscience, environmental health, and synthetic biology.

International Journal of Functional Nutrition

International Journal of Functional Nutrition

Open-access journal combining biochemistry, pharmacology, immunology, and genetics to advance health through functional nutrition.

International Journal of Epigenetics

International Journal of Epigenetics

Publishes open-access research on using epigenetics to advance understanding and treatment of human disease.

Medicine International

Medicine International

An International Open Access Journal Devoted to General Medicine.

Journal Cover
December-2016 Volume 14 Issue 6

Full Size Image

Sign up for eToc alerts
Recommend to Library

  • Article
  • Citations
    • Cite This Article
    • Download Citation
    • Create Citation Alert
    • Remove Citation Alert
    • Cited By
  • Similar Articles
    • Related Articles (in Spandidos Publications)
    • Similar Articles (Google Scholar)
    • Similar Articles (PubMed)
  • Download PDF
  • Download XML
  • View XML
Article

Effect of ximenynic acid on cell cycle arrest and apoptosis and COX-1 in HepG2 cells

  • Authors:
    • Fang Cai
    • Jianying Li
    • Yandi Liu
    • Zunyi Zhang
    • D. S. Hettiarachchi
    • Duo Li
  • View Affiliations / Copyright

    Affiliations: Department of Food Science and Nutrition, Zhejiang University, Hangzhou, Zhejiang 310058, P.R. China, Institute of Developmental and Regenerative Biology, Hangzhou Normal University, Hangzhou, Zhejiang 310000, P.R. China, School of Pharmacy, Curtin Health Innovation Research Institute, Curtin University, Perth 02042G, Australia
  • Pages: 5667-5676
    |
    Published online on: November 3, 2016
       https://doi.org/10.3892/mmr.2016.5920
  • Expand metrics +
Metrics: Total Views: 0 (Spandidos Publications: | PMC Statistics: )
Metrics: Total PDF Downloads: 0 (Spandidos Publications: | PMC Statistics: )
Cited By (CrossRef): 0 citations Loading Articles...

This article is mentioned in:



Abstract

Ximenynic acid is a conjugated enyne fatty acid, which is currently of interest due to its anti-inflammatory activity. Due to the association between inflammation and cancer, the present study was designed to investigate the anti‑cancer activity of ximenynic acid in the HepG2 human hepatoma cell line and the underlying mechanisms. The current study demonstrated the anti‑proliferation and pro‑apoptosis activities of ximenynic acid by cell viability assay and flow cytometry analysis. The expression of anti‑apoptosis protein silent information regulator T1 (SIRT1) was significantly suppressed by ximenynic acid. Furthermore, ximenynic acid blocked G1/S phase transition by inhibiting the protein expression of the cell cycle‑associated protein general control of amino acid synthesis yeast homolog like 2 (GCN5L2), and the mRNA expression of cyclin D3 and cyclin E1. Furthermore, ximenynic acid suppressed the expression of angiogenesis‑associated genes, including vascular endothelial growth factor (VEGF)‑B and VEGF‑C. Finally, ximenynic acid significantly inhibited the expression of cyclooxygenase‑1 (COX‑1) mRNA and protein, however COX‑2 expression was not reduced. The results of the present study suggested that ximenynic acid may inhibit growth of HepG2 cells by selective inhibition of COX‑1 expression, which leads to cell cycle arrest, and alters the apoptosis pathway and expression of angiogenic factors. The current study aimed to investigate whether ximenynic acid might be developed as novel anticancer agent.

Introduction

Ximenynic acid (also termed santalbic acid) is a conjugated enyne fatty acid that predominantly exists in the seed oil of the Santalaceae, Olacaceae, and Opiliaceae families (1). Previous studies demonstrated that ximenynic acid has antibacterial (2,3), antifungal and anti-inflammatory activities (3,4). Among these properties, the anti-inflammatory activity of ximenynic acid has been widely studied.

The anti-inflammatory activity of ximenynic acid has been reported since the 1980s. Nugteren and Christ-Hazelhof (5) demonstrated that ximenynic acid inhibits the activity of COXs in the sheep vesicular gland microsomes (5). In rat peritoneal leukocytes, ximenynic acid inhibited the phospholipase activity and the production of inflammatory factors, including thromboxane B2, 6-ketoprostaglandin F1α and leukotriene B4 (4). It was observed that the levels of leukotriene B4, thromboxane B2, prostaglandin F2α and prostaglandin E2 (PGE2) in the sandalwood seed oil feeding group, which contains a high percentage of ximenynic acid, were significantly lower in rat liver and plasma compared with soybean oil and safflower oil feeding groups after feeding for 8 weeks (6). These reports suggested that ximenynic acid exerts anti-inflammatory activity by affecting the metabolism of arachidonic acid.

Arachidonic acid metabolism pathways, induced by lipoxygenase, cyclooxygenase (COX) and cytochrome P450, are important for regulating the inflammatory response (7), and they generate several eicosanoid products, including leukotrienes and prostanoids, which are closely associated with the inflammatory response. It is established that lipoxygenase, COX and cytochrome P450 are key targets in various pathologies, including pain, cardiovascular disease, inflammation and cancer (7). The eicosanoids metabolism induced by COX has been previously reported to be involved in various types of cancer (8). Most nonsteroidal anti-inflammatory drugs (NSAIDs) are inhibitors of COXs, and they can reduce the risk of cancer, which was supported by preclinical and clinical studies (9). Furthermore, many natural and synthetic acetylenic acids exert inhibitory effects on cancer cells by suppressing key enzymes of the arachidonic acid metabolism pathways (10).

There are two common types of COX: COX-1 and COX-2. Although COX-2 inhibitors for treating cancer have been a research focus for many years, suppression of COX-1 was also demonstrated to exhibit anti-cancer properties (11,12), and alter the distribution of cell cycle (13) and effect angiogenesis (14). Furthermore, inhibition of angiogenesis and arrest of the cell cycle in oncocytes may induce cell apoptosis (15,16).

There are few reports that directly demonstrate the anti-cancer activity of ximenynic acid, thus, it was hypothesized that ximenynic acid may have antitumor properties through inhibition of COX activation. The current study investigated the anti-cancer activity of ximenynic acid in HepG2, and analyzed the underlying mechanism through determining its effects on cell cycle, angiogenesis and COXs pathways.

Materials and methods

Fatty acid preparation

Ximenynic acid was obtained (99.5% purity) from the seed oil of Santalum spicatum by low temperature recrystallization, as described previously (17). Oleic acid (Sigma-Aldrich; Merck Millipore, Darmstadt, Germany) was selected as the non-alkynyl-fatty acid control for its similar structure to ximenynic acid. All other chemicals were purchased commercially as analytical grade reagents.

Cell culture and cell treatment

HepG2 human hepatoma cell line was obtained from the Type Culture Collection of the Chinese Academy of Sciences (Shanghai, China). Cells were grown in high glucose Dulbecco's modified Eagle's medium (DMEM; Hyclone; GE Healthcare Life Sciences, Logan, UT, USA) supplemented with 110 mg/l sodium pyruvate, 4 mM L-glutamine, 10% fetal bovine serum (Biowest, Nuaillé, France), 10 mM HEPES (Corning Incorporated, Corning, NY, USA), 100 U/ml penicillin and 0.1 mg/ml streptomycin at 37°C in a humidified incubator with 5% CO2. The medium was changed every 2 days. Cells were passaged when they reached 70–80% confluence, and the culture medium was changed 1 day before.

Cells were seeded overnight in standard medium and then change to serum-free medium supplemented with 1% insulin-transferrin-selenium (ITS; Invitrogen; Thermo Fisher Scientific, Inc., Waltham, MA, USA), 0.1 mg/ml fatty acid-free bovine serum albumin (BSA; MP Biomedicals, LLC, Santa Ana, CA, USA) for synchronizing cell cycle division. After 24 h serum starvation, cells were incubated in experimental media for indicated times. The experimental media was DMEM supplemented with 1% ITS, 0.1 mg/ml BSA and various concentrations of ximenynic acid or oleic acid with a molar ratio of 4:1 to BSA. Cells treated with medium not containing fatty acids were termed the vehicle control group.

Cell viability assay

Cells were cultured in 96-well plates overnight with ~1500 cells/well. After serum-starving for 24 h, serum-free medium was removed and ximenynic acid or oleic acid at 25, 50, 100 and 150 µM were added to the cells. After 72 h incubation, the media were replaced with serum-free medium diluted methyl thiazolyl tetrazolium (MTT; Amresco, LLC, Solon, OH, USA) solution (5 mg/ml) and incubated at 37°C for 4 h. Subsequently, MTT medium was removed and the cells were dissolved with dimethyl sulfoxide followed by detection of absorption at 595 nm with the Bio-Rad iMark Microplate Absorbance Reader (Bio-Rad Laboratories, Inc., Hercules, CA, USA).

Flow cytometry analysis

Cell cycle distribution was analyzed by propidium iodide (PI) staining. Cells were seeded in the 6-well plates overnight, and then incubated with serum-free media containing 50 or 150 µM ximenynic acid or oleic acid for 24 h and 36 h following rinsing with phosphate-buffered saline (PBS). The harvested cells were slowly fixed in pre-chilled 70% ethanol following washing with PBS. The fixed cells were incubated at −20°C overnight. Subsequently to rinsing with PBS, cells were re-suspended with PI solution from the Cell Cycle Staining kit [CCS012; Multi Sciences (Lianke) Biotech Co., Ltd., Hangzhou, China] and incubated in a dark at room temperature for 30 min. Cell cycle distribution was then analyzed using BD FACSCalibur (Becton Dickinson, USA).

Cell apoptosis was analyzed with Annexin V-FITC (fluorescein isothiocyanate) and PI kit (Multisciences, China). Cells were cultured in 6-well plates overnight, and then starved for 24 h with serum-free medium followed by culture with different concentrations of ximenynic acid or oleic acid for 72 h. The harvested cells were gently rinsed with PBS. Cells were stained with Annexin V-FITC and PI in dark for 15 min. The level of apoptosis was then analyzed by BD FACSCalibur (BD Biosciences, Franklin Lakes, NJ, USA).

Reverse transcription-quantitative polymerase chain reaction (RT-qPCR)

Cells were seeded in 6-well plates overnight. After starving for 24 h with serum-free medium, cells were treated with 50 or 150 µM ximenynic acid or oleic acid for 72 h. Total RNA was extracted by HP Total RNA kit (Omega Bio-Tek, Inc., Norcross, GA, USA) according to the manufacturer's protocol, and the RNA concentration was determined using a NanoDrop 2000 (Thermo Fisher Scientific, Inc., Wilmington, DE, USA). RT was performed on total RNA to produce cDNA with using a Transcriptor First Strand cDNA Synthesis kit (Roche Diagnostics, Basel, Switzerland). The expression of genes was analyzed by qPCR. The sequences of primers are presented in Table I. The qPCR analysis was performed using the SsoFast EvaGreen Supermix (Bio-Rad Laboratories, Inc.), according to the manufacturer's protocol, with a CFX96™ Real Time PCR Detection System (Bio-Rad Laboratories, Inc.). The qPCR program commenced with initial denaturation at 95°C for 30 sec followed by 40 amplification cycles of 95°C for 5 sec (denaturation) and 60°C for 10 sec (annealing and extension). The melting curve program was from 65°C to 95°C for 5 sec with an increment rate of 0.5°C/sec (18). The RPLPO gene was used as the reference gene. Data were selected from a minimum of 3 experiments.

Table I.

Primers used for reverse transcription-quantitative polymerase chain reaction analysis.

Table I.

Primers used for reverse transcription-quantitative polymerase chain reaction analysis.

ProteinGene symbolAccession no.Forward primer (5′-3′)Reverse primer (5′-3′)Product length (bp)
Cyclin D3CCND3NM_001287427 CATGAACTACCTGGATCGCTAC GCCAGGAAATCATGTGCAATC243
Cyclin E1CCNE1NM_001238 ACTCAACGTGCAAGCCTCG GCTCAAGAAAGTGCTGATCCC141
Cyclooxygenase 1PTGS1NM_000962 TTCAATGAGTACCGCAAGAGG GAAGCAGTCCAGGGTAGAAC139
Cyclooxygenase 2PTGS2NM_000963 CAAGACAGATCATAAGCGAGGG GTCTAGCCAGAGTTTCACCG92
Prostaglandin E receptor 2EP2NM_000956 CCTCATTCTCCTGGCTATCATG CTTTCGGGAAGAGGTTTCATTC94
Prostaglandin E receptor 4EP4NM_000958 ATCTTACTCATTGCCACCTCC TGACTTCTCGCTCCAAACTTG106
Vascular endothelial growth factor BVEGF-BNM_003377 CTTAGAGCTCAACCCAGACAC ACCCTGCTGAGTCTGAAAAG76
Vascular endothelial growth factor CVEGF-CNM_005429 GGCTGGCAACATAACAGAGA GTGGCATGCATTGAGTCTTT136
Chemokine (C-C Motif) ligand 2CCL2NM_002982 TGTCCCAAAGAAGCTGTGATC ATTCTTGGGTTGTGGAGTGAG150
Hypoxia-inducible factor-1αHIF-1αNM_001243084 GAAAACTTGGCAACCTTGGA AAATCTCCGTCCCTCAACCT196
High Mobility Group Box 1HMGB1NM_002128 CCATTGGTGATGTTGCGAAG TCAGGCTTTCCTTTAGCTCG145
Transforming growth factor β1TGF-β1NM_000660 TTCAACACATCAGAGCTCCG TGAGGTATCGCCAGGAATTG145
Ribosomal protein, large, P0RPLP0aNM_001002 GAAACTCTGCATTCTCGCTTC GGTGTAATCCGTCTCCACAG150

a Reference gene.

Western blot analysis

Cells were cultured in 100 mm dishes overnight and then starved with serum-free medium for 24 h. After treatment with 50 or 150 µM ximenynic acid or oleic acid for 72 h, cells were harvested and proteins were extracted using cell lysis buffer supplemented with phenylmethylsulfonyl fluoride (Beyotime Institute of Biotechnology, Haimen, China). Whole-cell lysates were centrifuged at 20,000 × g at 4°C, for 10 min to collect the supernatant. The protein concentration was determined by bicinchoninic acid protein assay (Beyotime Institute of Biotechnology). Protein (20 µg) were subjected to sodium dodecyl sulfate-polyacrylamide gel electrophoresis separation and transferred to polyvinylidene difluoride membrane (Bio-Rad Laboratories, Inc.) for probing with antibodies. The antibodies for caspase-3 (cat. no. 9662s), silent information regulator T1 (SIRT1; cat. no. 2496p), COX-2 (cat. no. 12282s), general control of amino acid synthesis yeast homolog like 2 (GCN5L2; cat. no. 3305p), and GAPDH (cat. no. 2118s) were purchased from Cell Signaling Technology, Inc. (Danvers, MA, USA), and COX-1 (cat. no. ab109025) from Abcam (Cambridge, UK). The secondary antibodies were anti-mouse IgG (cat. no. #7076) and anti-rabbit IgG (cat. no. #7074) from Cell Signaling Technology, Inc. These antibodies were diluted in 5% BSA (1:1,000; Beyotime Institute of Biotechnology). The immunoreactive bands were incubated with the primary antibodies overnight at 4°C, then were washed three times with PBS with Tween-20 (PBST). The secondary antibody was incubated for 1 h at room temperature, and also washed three time with PBST. The protein bands were visualized using the ECL reagent (Bio-Rad Laboratories, Inc.). The intensity of immunoreactive bands was analyzed by Quantity One software (Bio-Rad Laboratories, Inc.). Western blotting data were selected from a minimum of three independent experiments.

Statistical analysis

Data are expressed as the mean ± standard deviation of three independent experiments. The significance of the difference between groups was analyzed by SPSS software version 18 (SPSS, Inc., Chicago, IL, USA) using the Bonferroni or Dunnett's T3 method of single factor analysis of variance (19). P<0.05 was considered to indicate a statistically significant difference.

Results

Inhibition of proliferation by ximenynic acid

HepG2 cells were treated with different concentrations (0–150 µM) of ximenynic acid or oleic acid for 72 h, and the cell viability was measured by MTT assay. As shown in Fig. 1, ximenynic acid significantly inhibited the growth of HepG2 cells from 0 to 150 µM in a dose-dependent manner compared with the control group (P=0.12, 25 µM; P=0.04, 50 µM; P=0.03, 100 µM; P=0.12, 150 µM), while oleic acid could not inhibit HepG2 cell growth at every concentration compared with the control group (Fig. 1).

Figure 1.

Cell viability analysis of HepG2 cells with XA or OA treatment by methyl thiazolyl tetrazolium assay. Variation curves of cell viability by XA or OA treatment with different concentrations ranging from 0–150 µM. Values are expressed as the mean ± standard deviation; n=3. *P<0.05 vs. the vehicle group. OA, oleic acid; XA, ximenynic acid.

Induction of HepG2 apoptosis and caspase-3 activation by ximenynic acid

Considering the anti-proliferation activity of ximenynic acid demonstrated in Fig. 1, it was suspected that ximenynic acid may also lead to apoptosis of HepG2 cells. Thus, the HepG2 cells were treated with ximenynic acid or oleic acid (50 and 150 µM) for 72 h followed by PI staining and flow cytometry analysis (Fig. 2A). It was observed that the percentage of apoptotic cells was significantly increased by ximenynic acid at a concentration of 150 µM in a dose-dependent manner (P=0.018; Fig. 2B), and accordingly the percentage of live cells was significantly reduced at the same concentration (P=0.004; Fig. 2C) compared with the vehicle control group. In the oleic acid group, the percentage of apoptotic cells and living cells was not significantly different compared with the control group (Fig. 2B and C). The anti-cancer activity of 150 µM ximenynic acid was greater than that of oleic acid.

Figure 2.

Ximenynic acid induced apoptosis of HepG2 cells. (A) Cell apoptosis analysis of HepG2 cells treated with ximenynic acid or oleic acid at different concentrations by flow cytometry. (B) Levels of early apoptosis cells in the different groups. (C) Levels of alive cells in the different groups. (D) Caspase-3 protein expression in different groups. O50 and O150 groups were treated with oleic acid at 50 and 150 µM, respectively. X50 and X150 groups were treated with ximenynic acid at 50 and 150 µM, respectively. Values are expressed as the means ± standard deviation; n=3. *P<0.05 vs. the vehicle group.

The degradation of pro-caspase-3 protein occurs during the process of cell apoptosis, which results in protein cleavage into several fragments (20) and indirectly induces a decrease in the pro-protein. The cleaved caspase-3 (17 KDa) was not detected in the ximenynic acid group, however western blot analysis demonstrated that the level of pro-caspase-3 (35 KDa) was significantly decreased by 150 µM ximenynic acid compared with the vehicle control (P=0.001, P<0.05; Fig. 2D). Together, flow cytometry and western blot analyses indicated that ximenynic acid promotes apoptosis of HepG2 cells in a dose-dependent manner, and was more effective than oleic acid.

Effect of ximenynic acid on SIRT1 protein expression

The upstream signals that mediate the effect of ximenynic acid on apoptosis remain unclear. SIRT1 is a NAD-dependent deacetylase that inhibits apoptosis by downregulating transcriptional activity of p53 (21). In addition, SIRT1 silencing induces activation of caspase-3, indicating it is a downstream target of SIRT1 (22). The current study demonstrated that SIRT1 protein expression was significantly reduced by 150 µM ximenynic acid compared with the vehicle control group (P=0.013, 50 µM; P=0.019, 150 µM), whereas there was no significant difference in the oleic acid groups compared with vehicle (Fig. 3). These results indicate that ximenynic acid-induced apoptosis is associated with SIRT1 inhibition in HepG2 cells.

Figure 3.

The expression of fold change of SIRT1 protein in HepG2 cells following fatty acids treatment. Cells were incubated with ximenynic acid or oleic acid at two concentrations (50 and 150 µM) and with vehicle medium for 72 h. O50 and O150 groups were treated with oleic acid at 50 and 150 µM, respectively. X50 and X150 groups were treated with ximenynic acid at 50 and 150 µM, respectively. Data are presented as the mean ± standard deviation; n=3. *P<0.05 vs. the vehicle group. SIRT1, silent information regulator T1.

Cell cycle changes and expression variation of cell cycle-associated genes and proteins in HepG2 cells

Cell cycle arrest in G1/S transition can induce cancer cell apoptosis (16). The current study investigated whether ximenynic acid affects the cell cycle distribution. After treatment with ximenynic acid for 24 or 36 h, the cell cycle distributions of HepG2 cells were observably changed (Fig. 4A-C). The percentage of cells in G0/G1 phase was significantly increased in the ximenynic acid groups (P=0.002, 24 h, 50 µM; P=0.001, 24 h, 150 µM; P=0.001, 36 h, 50 µM; P=0.001, 36 h, 150 µM; Fig. 4A), and significantly decreased in S phase (P=0.002, 24 h, 50 µM; P=0.001, 24 h, 150 µM; P=0.001, 36 h, 50 µM; P=0.001, 36 h, 150 µM; Fig. 4B) and G2/M phase (P=0.014, 24 h, 50 µM; P=0.001, 24 h, 150 µM; P=0.001, 36 h, 50 µM; P=0.005, 36 h, 150 µM; Fig. 4C) compared with the vehicle control group in a dose- and time-dependent manner. The structures of ximenynic acid and oleic acid are similar, however, oleic acid did not observably alter the cell cycle distributions of HepG2 cells at 50 or 150 µM (Fig. 4A-C). These results indicate that ximenynic acid change the cell cycle distribution of HepG2 cells depending on the dose and duration of ximenynic acid treatment.

Figure 4.

The effects of ximenynic acid or oleic acid treatment on cell cycle distribution and expression of cell cycle related genes and protein. Flow cytometry analysis of HepG2 cells treated with vehicle, ximenynic acid or oleic acid by staining with propidium iodide. Variations of cell cycle distributions in the (A) G0/G1, (B) S, and (C) G2/M phases were determined. Expression fold changes of (D) CCNE1 and (E) CCND3 mRNA after 36 h fatty acid treatment were measured by reverse transcription-polymerase chain reaction. (F) Differential expression of GCN5L2 protein in different fatty acids treatment groups were determined by western blot analysis. O50 and O150 groups were treated with oleic acid at 50 and 150 µM, respectively. X50 and X150 groups were treated with ximenynic acid at 50 and 150 µM, respectively. Data are presented as the mean ± standard deviation; n=3. *P<0.05 vs. the 24 h vehicle group; #P<0.05 vs. the 36 h vehicle group. CCNE1, cyclin E1; CCND3, cyclin D3; GCN5L2, general control of amino acid synthesis yeast homolog like 2.

To understand whether ximenynic acid affects the expression of cell cycle-associated genes in HepG2 cells, qPCR analysis was performed to determine the expression variation of cyclin genes, including cyclin E1 (CCNE1) and cyclin D3 (CCND3). After treatment for 36 h, the mRNA levels of CCNE1 and CCND3 were significantly decreased in the50 and 150 µM ximenynic acid group compared with the vehicle control group (CCNE1, P=0.001; CCND3, P=0.043; Fig. 4D and E), and its inhibitory effect on CCND3 and CCNE1 was stronger than oleic acid.

GCN5L2 (also termed lysine acetyltransferase 2A) is a typical histone acetyltransferase (HAT), which promotes cell cycle progression by acetylation and deacetylation of histones (23). The expression of GCN5L2 protein was significantly downregulated in the 150 µM ximenynic acid group compared with the vehicle control group (P=0.026; Fig. 4F).

Effect of ximenynic acid on cyclooxygenase pathway

COX-1 and COX-2 mRNA and protein were demonstrated to be expressed in the HepG2 cells (Fig. 5). After serum starvation for 24 h, HepG2 cells were incubated with fatty acids for 72 h. Although COX-2 protein expression was significantly increased in oleic acid group at 50 µM (P=0.01, P<0.05), it was not changed in the ximenynic acid group compared with the vehicle control group (Fig. 5A). These results were largely in keeping with the COX-2 gene expression of PTGS2 [prostaglandin-endoperoxide synthase 2 (PTGS2)] in HepG2 (Fig. 5C).

Figure 5.

Influence of ximenynic acid or oleic acid treatments on the cyclooxygenase pathway. (A) PTGS2 and (B) PTGS1 mRNA expression levels in different treatment groups. (C) COX-1 and (D) COX-2 proteins expression levels in different treatment groups. (E) EP2 and (F) EP4 mRNA expression levels in different groups. O50 and O150 groups were treated with oleic acid at 50 and 150 µM, respectively. X50 and X150 groups were treated with ximenynic acid at 50 and 150 µM, respectively. Data are presented as the mean ± standard deviation; n=3. *P<0.05 vs. the vehicle group. COX, cyclooxygenase; PTGS, prostaglandin-endoperoxide synthase; EP, prostaglandin E receptor.

Unexpectedly, compared with COX-2, ximenynic acid exerted a greater effect on COX-1, with PTGS1 mRNA (P=0.009, 50 µM; P=0.001, 150 µM; Fig. 5D) and COX-1 protein (P=0.005, 50 µM; P=0.001, 150 µM; Fig. 5B) levels significantly decreased by 50 to 150 µM ximenynic acid compared with the vehicle control group, whereas PTGS1 levels were significantly increased by oleic acid treatment at the concentrations of 50 and 150 µM (P=0.001, 50 µM; P=0.001, 150 µM; Fig. 5D). These results indicate that ximenynic acid selectively inhibits COX-1 expression.

PGE2 is the product of arachidonic acid metabolism by COXs (24). Prostaglandin E receptor 2 (EP2) a prostaglandin E receptor 4 (EP4) are PGE2 receptors involved in various physiological and pathophysiological processes (25). EP2 and EP4 mRNAs were significantly downregulated in the 150 µM ximenynic acid group compared with the vehicle control (EP2, P=0.03; EP4, P=0.001), while they were unchanged by oleic acid (Fig. 5E and F). It was indicated that the inhibitory effect of ximenynic acid on EP2 and EP4 mRNA levels was more effective than that of oleic acid.

Effect of ximenynic acid on angiogenesis pathways

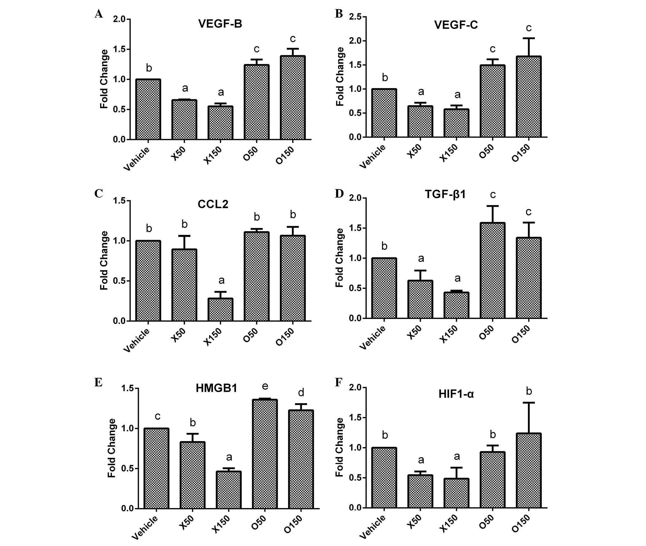
Vascular endothelial growth factor (VEGF)-B and VEGF-C are two members of the VEGF family that induce angiogenesis and inhibit apoptosis (26). The VEGF-B and VEGF-C mRNA levels were significantly decreased in the 50 and 150 µM ximenynic acid groups compared with the vehicle control group (P<0.05) and oleic acid (P<0.05) groups (VEGF-B: P=0.001, 50 µM; P=0.001, 150 µM; VEGF-C: P=0.049, 50 µM; P=0.044, 150 µM), whereas VEGF-B was significantly upregulated in the oleic acid (P<0.05) groups (Fig. 6A and B).

Figure 6.

Expression variations of angiogenesis-associated genes in HepG2 cells following fatty acids treatment. Following incubation with ximenynic acid or oleic acid for 72 h, the expression of angiogenesis-associated genes including (A) VEGF-B, (B) VEGF-C, (C) CCL2, (D) TGF-β1, (E) HMGB1 and (F) HIF-1α were analysed by reverse transcription-polymerase chain reaction. O50 and O150 groups were treated with oleic acid at 50 and 150 µM, respectively. X50 and X150 groups were treated with ximenynic acid at 50 and 150 µM, respectively. Data are presented as the mean ± standard deviation; n=3. *P<0.05 vs. the vehicle group. VEGF, vascular endothelial growth factor; CCL2, chemokine (C-C motif) ligand 2; TGF-β1, transforming growth factor-β1; HMGB1, high mobility group box 1; HIF-1α, hypoxia inducible factor-1α.

Numerous factors modulate angiogenesis in cancer. The current study investigated the expression of several angiogenesis-associated genes including chemokine (C-C motif) ligand 2 (CCL2), Hypoxia inducible factor 1, α submit (HIF-1α), high mobility group box 1 (HMGB1), and transforming growth factor-β1 (TGF-β1). CCL2 is recognized for its role in the inflammatory response and modulation of angiogenesis (27). HMGB1, a proinflammatory cytokine, is crucial for inflammation-associated diseases and involved in cell apoptosis and angiogenesis (28). HIF-1α, an oxygen balance regulator, regulates VEGF transcription and is involved in numerous cell functions, including angiogenesis (29). TGF-β1, a multifunction factor for cells, has also been previously demonstrated to induce angiogenesis progression (30). In the present study, these four mRNA levels were significantly inhibited by 150 µM ximenynic acid compared with the vehicle control group (CCL2, P=0.016; TGF-β1, P=0.004; HMGB1, P=0.007; HIF-1α, P=0.044; Fig. 6C-F). By contrast, oleic acid acid significantly promoted the expression of HMGB1 genes at 50 µM (P=0.002), however did not show significant effects on TGF-β1, CCL2 and HIF-1α genes compared with the control group (Fig. 6C-F).

Discussion

Ximenynic acid is one of main components of sandalwood seed fatty acids, and remains to be fully investigated. Sandalwood is widely used in perfume, artwork, furniture and for religious reasons, however, the sandalwood tree is a slow-growing plant and requires decades or even centuries for full growth. For the sustainable development of the sandalwood industry, it the value of the sandalwood seed should be investigated.

Sandalwood seeds are rich in oil, and the main fatty acids of the oil are oleic acid and ximenynic acid. The structure of oleic acid is very similar to ximenynic acid, excluding a triple bond. The anti-inflammatory and anti-cancer properties of oleic acid are inferior compared with ximenynic acid, which suggests that the conjugated enyne structure of ximenynic acid is crucial for the medicinal properties. Thus, ximenynic acid may be the key functional factor of sandalwood seed oil. In addition, numerous acetylenic fatty acids exert important pharmacological functions, including antibacterial (2), anti-inflammatory (5) and anti-cancer (10) activities. Ximenynic acid has been demonstrated to be anti-bacterial (3) and anti-inflammatory (5), whereas the anti-cancer properties remain unclear. In the current study MTT assay and flow cytometry results demonstrated the anti-proliferative and apoptosis-promoting activities of ximenynic acid on HepG2 cells. Western blotting and qPCR analysis revealed the suppressive effect of ximenynic acid on the expression of apoptosis- and angiogenesis-associated factors. These suggest that the anti-cancer activity of ximenynic acid is mediated by regulating cell cycle, apoptosis and angiogenesis pathways.

Ximenynic acid induced G1/G0 phase arrest in HepG2 cells and inhibited the expression of CCND3 and CCNE1 genes, and GCN5L2 protein. G1/G0 phase is the critical stage for DNA replication, therefore, arrest of cancer cells in G1/G0 phase may contribute to inhibition of cancer cell proliferation (31). D type-cyclins (D1, D2, D3) are important for cell cycle progression, inducing the transition from G1 to S phase (32). It previously demonstrated that downregulation of cyclin D3 was correlated with cell cycle arrest and apoptosis (33). Cyclin E is the key factor of G1/S transition, and overexpression of cyclin E protein can induce tumorigenesis (34) and shorten the cell cycle (35). In addition, GCN5L2 was previously reported to promote G1/S transition and promote the expression of cell cycle-associated factors, including cyclin D3 (23) and cyclin E1 (36). The present study demonstrated that the protein levels of GCN5L2 were reduced by ximenynic acid. This suggests that the anti-cancer activity of ximenynic acid is associated with histone acetylation via downregulation of GCN5L2 that inhibits cyclin expression to arrest cancer cells in G0/G1 phase.

Ximenynic acid induced HepG2 cell apoptosis and inhibited SIRT1 expression. SIRT1 has been previously reported to inhibit cellular senescence and suppress cell apoptosis (37). Overexpression of SIRT1 affects histone deacetylation and inhibits deacetylation of certain tumor repressor proteins, including p53 (38). The results of the present study demonstrated that ximenynic acid downregulates the expression of SIRT1 in a dose-dependent manner. The progression of cancer is promoted by accumulation of epigenetic and genetic changes (39). Acetylation and methylation are post-translational histone modifications that modulate transcriptional activity, DNA recombination and repair. The results of the present study suggest that the anti-cancer activity of ximenynic acid may be mediated through the deacetylation or methylation of certain critical factors in tumor progression.

Ximenynic acid selectively inhibited COX-1 expression, however it exhibited no effect on COX-2. Typically, ximenynic acid has been previously used for anti-inflammatory treatment and decreases the activity of COXs (4,5). It was previously reported that NSAIDs inhibit cancer cell growth by suppressing COX-2 activity (40), but selective inhibition of COX-1 may achieve the same effect (11,12). As a typical example, aspirin, a COX-1 relative inhibitor, was demonstrated to be beneficial for inhibiting a wide variety of cancers (9). In addition, selective inhibition of COX-1 expression induces apoptosis in certain types of cancer cells (41). The present study demonstrated that ximenynic acid did not alter the COX-2 level, however had resulted in clear inhibition of COX-1 expression. COX-2 was increased following ximenynic acid treatment, however, the expression of COX-1 was reduced. This indicates that ximenynic acid is a selectively inhibits COX-1 expression. Ximenynic acid may suppress angiogenesis of HepG2 cells through inhibition of COX-1 expression. Angiogenesis is involved in de novo generation of blood vessels, and is considered crucial for tumor growth and metastasis (42). Overexpression of COX-1 has previously been demonstrated to promote the expression of angiogenic growth factors (11). In the current study, ximenynic acid suppressed COX-1 protein expression, and inhibited the gene expression of TGF-β1, and HMGB1. As a multifunctional cytokine, TGF-β1 has previously been revealed to induce angiogenesis (30) and be involved in the progression of angiogenesis induced by COX-1 (43) or HMGB1 (44). In addition, overexpression of HMGB1 has been observed to induce proliferation of cancer cells and angiogenesis (28). Gene and protein expression of HIF-1α is also affected by HMGB1 (45). This suggests that the anti-cancer activity of ximenynic acid in the HepG2 cell line may be achieved through inhibiting angiogenic factors.

The anti-cancer activity of ximenynic acid is predominantly attributed to the inhibition of COX-1, which may be associated with histone acetylation modification (46,47). A previous report demonstrated that selective inhibition of COX-1 could suppress angiogenesis (14) and induce G0/G1 phase arrest of the cell cycle due to suppression of cyclin E, which is the key protein for G1/S transition (13). Furthermore, inhibition of COX-1 has previously been observed to induce apoptosis and activation of capspase-3 (48). Additionally, ximenynic acid may affect the histone acetylation. The association between COX-1, GCN5L2 and SIRT1 proteins remains unclear, however, the latter two are involved in histone acetylation. In addition, aspirin, a relative COX-1 inhibitor, has an enhanced anti-carcinogenic activity when it was used in combination with a histone deacetylase inhibitor (49). Taken together, the results of the present study indicate that ximenynic acid may regulate the acetylation of histones to exert anti-cancer and anti-inflammatory activities.

The anti-cancer activity of ximenynic acid may be associated with the cell cycle, angiogenesis and cell apoptosis pathways. The putative pathways of ximenynic acid are presented in Fig. 7, and the anti-cancer activity of ximenynic acid may be associated with the suppression of the expression of COX-1, GCN5L2 and SIRT1 proteins, promotion of cell cycle arrest in G0/G1 phase through suppression cell cycle regulatory factors, blocking of angiogenesis by inhibiting the VEGF family, and the acceleration of cell apoptosis via caspase-3 activation. In summary, ximenynic acid inhibited proliferation and induced apoptosis of HepG2 cells, altered cell cycle distribution and inhibited the expression of angiogenesis-associated factors.

Figure 7.

The putative pathways of ximenynic acid-induced anticancer activity. The anticancer activity of ximenynic acid may associate with cell cycle, angiogenesis and cell apoptosis pathways by inhibition of COX-1, GCN5L2 and SIRT1 proteins, and COX-1 may be the key factor of this pathway. GCN5L2, general control of amino acid synthesis yeast homolog like 2; COX,-1 cyclooxygenase; SIRT1, silent information regulator T1; VEGF, vascular endothelial growth factor.

Acknowledgements

This work was supported by a grant from the National Program on Key Basic Research Project of China (973 Program; grant no. 2015CB553600).

References

1 

Aitzetmuller K: Santalbic acid in the plant kingdom. Plant Syst Evol. 298:1609–1617. 2012. View Article : Google Scholar

2 

Shawar RM, Humble DJ, Van Dalfsen JM, Stover CK, Hickey MJ, Steele S, Mitscher LA and Baker W: Rapid screening of natural products for antimycobacterial activity by using luciferase-expressing strains of Mycobacterium bovis BCG and Mycobacterium intracellulare. Antimicrob Agents Chemother. 41:570–574. 1997.PubMed/NCBI

3 

Jones GP, Rao KS, Tucker DJ, Richardson B, Barnes A and Rivett DE: Antimicrobial activity of santalbic acid from the oil of Santalum-Acuminatum (Quandong). Int J Pharmacogn. 33:120–123. 1995. View Article : Google Scholar

4 

Croft KD, Beilin LJ and Ford GL: Differential inhibition of thromboxane B2 and leukotriene B4 biosynthesis by two naturally occurring acetylenic fatty acids. Biochim Biophys Acta. 921:621–624. 1987. View Article : Google Scholar : PubMed/NCBI

5 

Nugteren DH and Christ-Hazelhof E: Naturally occurring conjugated octadecatrienoic acids are strong inhibitors of prostaglandin biosynthesis. Prostaglandins. 33:403–417. 1987. View Article : Google Scholar : PubMed/NCBI

6 

Li G, Singh A, Liu Y, Sunderland B and Li D: Comparative effects of sandalwood seed oil on fatty acid profiles and inflammatory factors in rats. Lipids. 48:105–113. 2013. View Article : Google Scholar : PubMed/NCBI

7 

Imig JD and Hammock BD: Soluble epoxide hydrolase as a therapeutic target for cardiovascular diseases. Nat Rev Drug Discov. 8:794–805. 2009. View Article : Google Scholar : PubMed/NCBI

8 

Wang D and Dubois RN: Eicosanoids and cancer. Nat Rev Cancer. 10:181–193. 2010. View Article : Google Scholar : PubMed/NCBI

9 

Rothwell PM, Price JF, Fowkes FG, Zanchetti A, Roncaglioni MC, Tognoni G, Lee R, Belch JF, Wilson M, Mehta Z and Meade TW: Short-term effects of daily aspirin on cancer incidence, mortality, and non-vascular death: Analysis of the time course of risks and benefits in 51 randomised controlled trials. Lancet. 379:1602–1612. 2012. View Article : Google Scholar : PubMed/NCBI

10 

Dembitsky V: Anticancer activity of natural and synthetic acetylenic lipids. Lipids. 41:883–924. 2006. View Article : Google Scholar : PubMed/NCBI

11 

Gupta RA, Tejada LV, Tong BJ, Das SK, Morrow JD, Dey SK and DuBois RN: Cyclooxygenase-1 is overexpressed and promotes angiogenic growth factor production in ovarian cancer. Cancer Res. 63:906–911. 2003.PubMed/NCBI

12 

Cho M, Kabir SM, Dong Y, Lee E, Rice VM, Khabele D and Son DS: Aspirin blocks EGF-stimulated cell viability in a COX-1 dependent manner in ovarian cancer cells. J Cancer. 4:671–678. 2013. View Article : Google Scholar : PubMed/NCBI

13 

Wu WK, Sung JJ, Wu YC, Li HT, Yu L, Li ZJ and Cho CH: Inhibition of cyclooxygenase-1 lowers proliferation and induces macroautophagy in colon cancer cells. Biochem Biophys Res Commun. 382:79–84. 2009. View Article : Google Scholar : PubMed/NCBI

14 

Sano H, Noguchi T, Miyajima A, Hashimoto Y and Miyachi H: Anti-angiogenic activity of basic-type, selective cyclooxygenase (COX)-1 inhibitors. Bioorg Med Chem Lett. 16:3068–3072. 2006. View Article : Google Scholar : PubMed/NCBI

15 

Carmeliet P and Jain RK: Angiogenesis in cancer and other diseases. Nature. 407:249–257. 2000. View Article : Google Scholar : PubMed/NCBI

16 

Schwartz GK and Shah MA: Targeting the cell cycle: A new approach to cancer therapy. J Clin Oncol. 23:9408–9421. 2005. View Article : Google Scholar : PubMed/NCBI

17 

Liu YD, Longmore RB and Fox JED: Separation and identification of ximenynic acid isomers in the seed oil of Santalum spicatum RBr as their 4,4-dimethyloxazoline derivatives. J Am Oil Chem Soc. 73:1729–1731. 1996. View Article : Google Scholar

18 

Sun G, Zhou Y, Li H, Guo Y, Shan J, Xia M, Li Y, Li S, Long D and Feng L: Over-expression of microRNA-494 up-regulates hypoxia-inducible factor-1 alpha expression via PI3K/Akt pathway and protects against hypoxia-induced apoptosis. J Biomed Sci. 20:1002013. View Article : Google Scholar : PubMed/NCBI

19 

Herrmann E, Call J, Hernandez-Lloreda MV, Hare B and Tomasello M: Humans have evolved specialized skills of social cognition: The cultural intelligence hypothesis. Science. 317:1360–1366. 2007. View Article : Google Scholar : PubMed/NCBI

20 

Han Z, Hendrickson EA, Bremner TA and Wyche JH: A sequential two-step mechanism for the production of the mature p17:p12 form of caspase-3 in vitro. J Biol Chem. 272:13432–13436. 1997. View Article : Google Scholar : PubMed/NCBI

21 

Vaziri H, Dessain SK, Ng Eaton E, Imai SI, Frye RA, Pandita TK, Guarente L and Weinberg RA: hSIR2 (SIRT1) functions as an NAD-dependent p53 deacetylase. Cell. 107:149–159. 2001. View Article : Google Scholar : PubMed/NCBI

22 

Ford J, Jiang M and Milner J: Cancer-specific functions of SIRT1 enable human epithelial cancer cell growth and survival. Cancer Res. 65:10457–10463. 2005. View Article : Google Scholar : PubMed/NCBI

23 

Kikuchi H, Takami Y and Nakayama T: GCN5: A supervisor in all-inclusive control of vertebrate cell cycle progression through transcription regulation of various cell cycle-related genes. Gene. 347:83–97. 2005. View Article : Google Scholar : PubMed/NCBI

24 

Williams CS, Mann M and DuBois RN: The role of cyclooxygenases in inflammation, cancer, and development. Oncogene. 18:7908–7916. 1999. View Article : Google Scholar : PubMed/NCBI

25 

Regan JW: EP2 and EP4 prostanoid receptor signaling. Life Sci. 74:143–153. 2003. View Article : Google Scholar : PubMed/NCBI

26 

Neufeld G, Cohen T, Gengrinovitch S and Poltorak Z: Vascular endothelial growth factor (VEGF) and its receptors. Faseb J. 13:9–22. 1999.PubMed/NCBI

27 

Salcedo R, Ponce ML, Young HA, Wasserman K, Ward JM, Kleinman HK, Oppenheim JJ and Murphy WJ: Human endothelial cells express CCR2 and respond to MCP-1: Direct role of MCP-1 in angiogenesis and tumor progression. Blood. 96:34–40. 2000.PubMed/NCBI

28 

Volp K, Brezniceanu ML, Bösser S, Brabletz T, Kirchner T, Göttel D, Joos S and Zörnig M: Increased expression of high mobility group box 1 (HMGB1) is associated with an elevated level of the antiapoptotic c-IAP2 protein in human colon carcinomas. Gut. 55:234–242. 2006. View Article : Google Scholar : PubMed/NCBI

29 

Carmeliet P, Dor Y, Herbert JM, Fukumura D, Brusselmans K, Dewerchin M, Neeman M, Bono F, Abramovitch R, Maxwell P, et al: Role of HIF-1alpha in hypoxia-mediated apoptosis, cell proliferation and tumour angiogenesis. Nature. 394:485–490. 1998. View Article : Google Scholar : PubMed/NCBI

30 

Nakagawa T, Li JH, Garcia G, Mu W, Piek E, Böttinger EP, Chen Y, Zhu HJ, Kang DH, Schreiner GF, et al: TGF-beta induces proangiogenic and antiangiogenic factors via parallel but distinct Smad pathways. Kidney Int. 66:605–613. 2004. View Article : Google Scholar : PubMed/NCBI

31 

Grana X and Reddy EP: Cell cycle control in mammalian cells: Role of cyclins, cyclin dependent kinases (CDKs), growth suppressor genes and cyclin-dependent kinase inhibitors (CKIs). Oncogene. 11:211–219. 1995.PubMed/NCBI

32 

Hunter T and Pines J: Cyclins and cancer. II: Cyclin D and CDK inhibitors come of age. Cell. 79:573–582. 1994. View Article : Google Scholar : PubMed/NCBI

33 

Fimognari C, Nüsse M, Berti F, Iori R, Cantelli-Forti G and Hrelia P: Cyclin D3 and p53 mediate sulforaphane-induced cell cycle delay and apoptosis in non-transformed human T lymphocytes. Cell Mol Life Sci. 59:2004–2012. 2002. View Article : Google Scholar : PubMed/NCBI

34 

Keyomarsi K, Tucker SL, Buchholz TA, Callister M, Ding Y, Hortobagyi GN, Bedrosian I, Knickerbocker C, Toyofuku W, Lowe M, et al: Cyclin E and survival in patients with breast cancer. N Engl J Med. 347:1566–1575. 2002. View Article : Google Scholar : PubMed/NCBI

35 

Ohtsubo M, Theodoras AM, Schumacher J, Roberts JM and Pagano M: Human cyclin E, a nuclear protein essential for the G1-to-S phase transition. Mol Cell Biol. 15:2612–2624. 1995. View Article : Google Scholar : PubMed/NCBI

36 

Chen L, Wei T, Si X, Wang Q, Li Y, Leng Y, Deng A, Chen J, Wang G, Zhu S and Kang J: Lysine acetyltransferase GCN5 potentiates the growth of non-small cell lung cancer via promotion of E2F1, cyclin D1, and cyclin E1 expression. J Biol Chem. 288:14510–14521. 2013. View Article : Google Scholar : PubMed/NCBI

37 

Longo VD and Kennedy BK: Sirtuins in aging and age-related disease. Cell. 126:257–268. 2006. View Article : Google Scholar : PubMed/NCBI

38 

Liu T, Liu PY and Marshall GM: The critical role of the class III histone deacetylase SIRT1 in cancer. Cancer Res. 69:1702–1705. 2009. View Article : Google Scholar : PubMed/NCBI

39 

Baylin SB and Herman JG: DNA hypermethylation in tumorigenesis: Epigenetics joins genetics. Trends Genet. 16:168–174. 2000. View Article : Google Scholar : PubMed/NCBI

40 

Fosslien E: Molecular pathology of cyclooxygenase-2 in neoplasia. Ann Clin Lab Sci. 30:3–21. 2000.PubMed/NCBI

41 

Daikoku T, Wang D, Tranguch S, Morrow JD, Orsulic S, DuBois RN and Dey SK: Cyclooxygenase-1 is a potential target for prevention and treatment of ovarian epithelial cancer. Cancer Res. 65:3735–3744. 2005. View Article : Google Scholar : PubMed/NCBI

42 

Wu Q, Wang H, Zhao X, Shi Y, Jin M, Wan B, Xu H, Cheng Y, Ge H and Zhang Y: Identification of G-protein-coupled receptor 120 as a tumor-promoting receptor that induces angiogenesis and migration in human colorectal carcinoma. Oncogene. 32:5541–5550. 2013. View Article : Google Scholar : PubMed/NCBI

43 

Yang DH, Hsu CF, Lin CY, Guo JY, Yu WC and Chang VH: Kruppel-like factor 10 upregulates the expression of cyclooxygenase 1 and further modulates angiogenesis in endothelial cell and platelet aggregation in gene-deficient mice. Int J Biochem Cell Biol. 45:419–428. 2013. View Article : Google Scholar : PubMed/NCBI

44 

Pittet JF, Koh H, Fang X, Iles K, Christiaans S, Anjun N, Wagener BM, Park DW, Zmijewski JW, Matthay MA and Roux J: HMGB1 accelerates alveolar epithelial repair via an IL-1β- and αvβ6 integrin-dependent activation of TGF-β1. PloS One. 8:e639072013. View Article : Google Scholar : PubMed/NCBI

45 

Kim HY, Park SY, Lee SW, Lee HR, Lee WS, Rhim BY, Hong KW and Kim CD: Inhibition of HMGB1-induced angiogenesis by cilostazol via SIRT1 activation in synovial fibroblasts from rheumatoid arthritis. PloS One. 9:e1047432014. View Article : Google Scholar : PubMed/NCBI

46 

Taniura S, Kamitani H, Watanabe T and Eling TE: Transcriptional regulation of cyclooxygenase-1 by histone deacetylase inhibitors in normal human astrocyte cells. J Biol Chem. 277:16823–16830. 2002. View Article : Google Scholar : PubMed/NCBI

47 

Omura N, Griffith M, Vincent A, Li A, Hong SM, Walter K, Borges M and Goggins M: Cyclooxygenase-deficient pancreatic cancer cells utilize exogenous sources of prostaglandins. Mol Cancer Res. 8:821–832. 2010. View Article : Google Scholar : PubMed/NCBI

48 

Kolaczkowska E, Koziol A, Plytycz B, Arnold B and Opdenakker G: Altered apoptosis of inflammatory neutrophils in MMP-9-deficient mice is due to lower expression and activity of caspase-3. Immunol Lett. 126:73–82. 2009. View Article : Google Scholar : PubMed/NCBI

49 

Son DS, Wilson AJ, Parl AK and Khabele D: The effects of the histone deacetylase inhibitor romidepsin (FK228) are enhanced by aspirin (ASA) in COX-1 positive ovarian cancer cells through augmentation of p21. Cancer Biol Ther. 9:928–935. 2010. View Article : Google Scholar : PubMed/NCBI

Related Articles

  • Abstract
  • View
  • Download
  • Twitter
Copy and paste a formatted citation
Spandidos Publications style
Cai F, Li J, Liu Y, Zhang Z, Hettiarachchi DS and Li D: Effect of ximenynic acid on cell cycle arrest and apoptosis and COX-1 in HepG2 cells. Mol Med Rep 14: 5667-5676, 2016.
APA
Cai, F., Li, J., Liu, Y., Zhang, Z., Hettiarachchi, D.S., & Li, D. (2016). Effect of ximenynic acid on cell cycle arrest and apoptosis and COX-1 in HepG2 cells. Molecular Medicine Reports, 14, 5667-5676. https://doi.org/10.3892/mmr.2016.5920
MLA
Cai, F., Li, J., Liu, Y., Zhang, Z., Hettiarachchi, D. S., Li, D."Effect of ximenynic acid on cell cycle arrest and apoptosis and COX-1 in HepG2 cells". Molecular Medicine Reports 14.6 (2016): 5667-5676.
Chicago
Cai, F., Li, J., Liu, Y., Zhang, Z., Hettiarachchi, D. S., Li, D."Effect of ximenynic acid on cell cycle arrest and apoptosis and COX-1 in HepG2 cells". Molecular Medicine Reports 14, no. 6 (2016): 5667-5676. https://doi.org/10.3892/mmr.2016.5920
Copy and paste a formatted citation
x
Spandidos Publications style
Cai F, Li J, Liu Y, Zhang Z, Hettiarachchi DS and Li D: Effect of ximenynic acid on cell cycle arrest and apoptosis and COX-1 in HepG2 cells. Mol Med Rep 14: 5667-5676, 2016.
APA
Cai, F., Li, J., Liu, Y., Zhang, Z., Hettiarachchi, D.S., & Li, D. (2016). Effect of ximenynic acid on cell cycle arrest and apoptosis and COX-1 in HepG2 cells. Molecular Medicine Reports, 14, 5667-5676. https://doi.org/10.3892/mmr.2016.5920
MLA
Cai, F., Li, J., Liu, Y., Zhang, Z., Hettiarachchi, D. S., Li, D."Effect of ximenynic acid on cell cycle arrest and apoptosis and COX-1 in HepG2 cells". Molecular Medicine Reports 14.6 (2016): 5667-5676.
Chicago
Cai, F., Li, J., Liu, Y., Zhang, Z., Hettiarachchi, D. S., Li, D."Effect of ximenynic acid on cell cycle arrest and apoptosis and COX-1 in HepG2 cells". Molecular Medicine Reports 14, no. 6 (2016): 5667-5676. https://doi.org/10.3892/mmr.2016.5920
Follow us
  • Twitter
  • LinkedIn
  • Facebook
About
  • Spandidos Publications
  • Careers
  • Cookie Policy
  • Privacy Policy
How can we help?
  • Help
  • Live Chat
  • Contact
  • Email to our Support Team