Spandidos Publications Logo
  • About
    • About Spandidos
    • Aims and Scopes
    • Abstracting and Indexing
    • Editorial Policies
    • Reprints and Permissions
    • Job Opportunities
    • Terms and Conditions
    • Contact
  • Journals
    • All Journals
    • Oncology Letters
      • Oncology Letters
      • Information for Authors
      • Editorial Policies
      • Editorial Board
      • Aims and Scope
      • Abstracting and Indexing
      • Bibliographic Information
      • Archive
    • International Journal of Oncology
      • International Journal of Oncology
      • Information for Authors
      • Editorial Policies
      • Editorial Board
      • Aims and Scope
      • Abstracting and Indexing
      • Bibliographic Information
      • Archive
    • Molecular and Clinical Oncology
      • Molecular and Clinical Oncology
      • Information for Authors
      • Editorial Policies
      • Editorial Board
      • Aims and Scope
      • Abstracting and Indexing
      • Bibliographic Information
      • Archive
    • Experimental and Therapeutic Medicine
      • Experimental and Therapeutic Medicine
      • Information for Authors
      • Editorial Policies
      • Editorial Board
      • Aims and Scope
      • Abstracting and Indexing
      • Bibliographic Information
      • Archive
    • International Journal of Molecular Medicine
      • International Journal of Molecular Medicine
      • Information for Authors
      • Editorial Policies
      • Editorial Board
      • Aims and Scope
      • Abstracting and Indexing
      • Bibliographic Information
      • Archive
    • Biomedical Reports
      • Biomedical Reports
      • Information for Authors
      • Editorial Policies
      • Editorial Board
      • Aims and Scope
      • Abstracting and Indexing
      • Bibliographic Information
      • Archive
    • Oncology Reports
      • Oncology Reports
      • Information for Authors
      • Editorial Policies
      • Editorial Board
      • Aims and Scope
      • Abstracting and Indexing
      • Bibliographic Information
      • Archive
    • Molecular Medicine Reports
      • Molecular Medicine Reports
      • Information for Authors
      • Editorial Policies
      • Editorial Board
      • Aims and Scope
      • Abstracting and Indexing
      • Bibliographic Information
      • Archive
    • World Academy of Sciences Journal
      • World Academy of Sciences Journal
      • Information for Authors
      • Editorial Policies
      • Editorial Board
      • Aims and Scope
      • Abstracting and Indexing
      • Bibliographic Information
      • Archive
    • International Journal of Functional Nutrition
      • International Journal of Functional Nutrition
      • Information for Authors
      • Editorial Policies
      • Editorial Board
      • Aims and Scope
      • Abstracting and Indexing
      • Bibliographic Information
      • Archive
    • International Journal of Epigenetics
      • International Journal of Epigenetics
      • Information for Authors
      • Editorial Policies
      • Editorial Board
      • Aims and Scope
      • Abstracting and Indexing
      • Bibliographic Information
      • Archive
    • Medicine International
      • Medicine International
      • Information for Authors
      • Editorial Policies
      • Editorial Board
      • Aims and Scope
      • Abstracting and Indexing
      • Bibliographic Information
      • Archive
  • Articles
  • Information
    • Information for Authors
    • Information for Reviewers
    • Information for Librarians
    • Information for Advertisers
    • Conferences
  • Language Editing
Spandidos Publications Logo
  • About
    • About Spandidos
    • Aims and Scopes
    • Abstracting and Indexing
    • Editorial Policies
    • Reprints and Permissions
    • Job Opportunities
    • Terms and Conditions
    • Contact
  • Journals
    • All Journals
    • Biomedical Reports
      • Information for Authors
      • Editorial Policies
      • Editorial Board
      • Aims and Scope
      • Abstracting and Indexing
      • Bibliographic Information
      • Archive
    • Experimental and Therapeutic Medicine
      • Information for Authors
      • Editorial Policies
      • Editorial Board
      • Aims and Scope
      • Abstracting and Indexing
      • Bibliographic Information
      • Archive
    • International Journal of Epigenetics
      • Information for Authors
      • Editorial Policies
      • Editorial Board
      • Aims and Scope
      • Abstracting and Indexing
      • Bibliographic Information
      • Archive
    • International Journal of Functional Nutrition
      • Information for Authors
      • Editorial Policies
      • Editorial Board
      • Aims and Scope
      • Abstracting and Indexing
      • Bibliographic Information
      • Archive
    • International Journal of Molecular Medicine
      • Information for Authors
      • Editorial Policies
      • Editorial Board
      • Aims and Scope
      • Abstracting and Indexing
      • Bibliographic Information
      • Archive
    • International Journal of Oncology
      • Information for Authors
      • Editorial Policies
      • Editorial Board
      • Aims and Scope
      • Abstracting and Indexing
      • Bibliographic Information
      • Archive
    • Medicine International
      • Information for Authors
      • Editorial Policies
      • Editorial Board
      • Aims and Scope
      • Abstracting and Indexing
      • Bibliographic Information
      • Archive
    • Molecular and Clinical Oncology
      • Information for Authors
      • Editorial Policies
      • Editorial Board
      • Aims and Scope
      • Abstracting and Indexing
      • Bibliographic Information
      • Archive
    • Molecular Medicine Reports
      • Information for Authors
      • Editorial Policies
      • Editorial Board
      • Aims and Scope
      • Abstracting and Indexing
      • Bibliographic Information
      • Archive
    • Oncology Letters
      • Information for Authors
      • Editorial Policies
      • Editorial Board
      • Aims and Scope
      • Abstracting and Indexing
      • Bibliographic Information
      • Archive
    • Oncology Reports
      • Information for Authors
      • Editorial Policies
      • Editorial Board
      • Aims and Scope
      • Abstracting and Indexing
      • Bibliographic Information
      • Archive
    • World Academy of Sciences Journal
      • Information for Authors
      • Editorial Policies
      • Editorial Board
      • Aims and Scope
      • Abstracting and Indexing
      • Bibliographic Information
      • Archive
  • Articles
  • Information
    • For Authors
    • For Reviewers
    • For Librarians
    • For Advertisers
    • Conferences
  • Language Editing
Login Register Submit
  • This site uses cookies
  • You can change your cookie settings at any time by following the instructions in our Cookie Policy. To find out more, you may read our Privacy Policy.

    I agree
Search articles by DOI, keyword, author or affiliation
Search
Advanced Search
presentation
Molecular Medicine Reports
Join Editorial Board Propose a Special Issue
Print ISSN: 1791-2997 Online ISSN: 1791-3004
Journal Cover
January-2019 Volume 19 Issue 1

Full Size Image

Sign up for eToc alerts
Recommend to Library

Journals

International Journal of Molecular Medicine

International Journal of Molecular Medicine

International Journal of Molecular Medicine is an international journal devoted to molecular mechanisms of human disease.

International Journal of Oncology

International Journal of Oncology

International Journal of Oncology is an international journal devoted to oncology research and cancer treatment.

Molecular Medicine Reports

Molecular Medicine Reports

Covers molecular medicine topics such as pharmacology, pathology, genetics, neuroscience, infectious diseases, molecular cardiology, and molecular surgery.

Oncology Reports

Oncology Reports

Oncology Reports is an international journal devoted to fundamental and applied research in Oncology.

Experimental and Therapeutic Medicine

Experimental and Therapeutic Medicine

Experimental and Therapeutic Medicine is an international journal devoted to laboratory and clinical medicine.

Oncology Letters

Oncology Letters

Oncology Letters is an international journal devoted to Experimental and Clinical Oncology.

Biomedical Reports

Biomedical Reports

Explores a wide range of biological and medical fields, including pharmacology, genetics, microbiology, neuroscience, and molecular cardiology.

Molecular and Clinical Oncology

Molecular and Clinical Oncology

International journal addressing all aspects of oncology research, from tumorigenesis and oncogenes to chemotherapy and metastasis.

World Academy of Sciences Journal

World Academy of Sciences Journal

Multidisciplinary open-access journal spanning biochemistry, genetics, neuroscience, environmental health, and synthetic biology.

International Journal of Functional Nutrition

International Journal of Functional Nutrition

Open-access journal combining biochemistry, pharmacology, immunology, and genetics to advance health through functional nutrition.

International Journal of Epigenetics

International Journal of Epigenetics

Publishes open-access research on using epigenetics to advance understanding and treatment of human disease.

Medicine International

Medicine International

An International Open Access Journal Devoted to General Medicine.

Journal Cover
January-2019 Volume 19 Issue 1

Full Size Image

Sign up for eToc alerts
Recommend to Library

  • Article
  • Citations
    • Cite This Article
    • Download Citation
    • Create Citation Alert
    • Remove Citation Alert
    • Cited By
  • Similar Articles
    • Related Articles (in Spandidos Publications)
    • Similar Articles (Google Scholar)
    • Similar Articles (PubMed)
  • Download PDF
  • Download XML
  • View XML
Article

(+)‑pinoresinol‑O‑β‑D‑glucopyranoside from Eucommia ulmoides Oliver and its anti‑inflammatory and antiviral effects against influenza A (H1N1) virus infection

  • Authors:
    • Jing Li
    • Xiaoli Liang
    • Beixian Zhou
    • Xiaowei Chen
    • Peifang Xie
    • Haiming Jiang
    • Zhihong Jiang
    • Zifeng Yang
    • Xiping Pan
  • View Affiliations / Copyright

    Affiliations: State Key Laboratory of Respiratory Diseases, Guangzhou Institute of Respiratory Health, National Clinical Centre of Respiratory Disease, The First Affiliated Hospital, Guangzhou Medical University, Guangzhou, Guangdong 510120, P.R. China, Department of Pharmacy, The People's Hospital of Gaozhou, Gaozhou, Guangdong 525200, P.R. China, State Key Laboratory of Quality Research in Chinese Medicine, Macau Institute for Applied Research in Medicine and Health, Macau University of Science and Technology, Taipa, Macau 999078, P.R. China, Institute of Chinese Integrative Medicine, Guangzhou Medical University, Guangzhou, Guangdong 511436, P.R. China
  • Pages: 563-572
    |
    Published online on: November 26, 2018
       https://doi.org/10.3892/mmr.2018.9696
  • Expand metrics +
Metrics: Total Views: 0 (Spandidos Publications: | PMC Statistics: )
Metrics: Total PDF Downloads: 0 (Spandidos Publications: | PMC Statistics: )
Cited By (CrossRef): 0 citations Loading Articles...

This article is mentioned in:



Abstract

Eucommia ulmoides Oliver (Du-Zhong) is an ancient Chinese herbal remedy used for the treatment of various diseases. To date, the effects of its constituent lignans on influenza viruses remain to be elucidated. In the present study, a lignan glycoside was isolated and purified from Eucommia ulmoides Oliver. Its structures were identified via extensive spectroscopic analysis, and its antiviral and anti‑inflammatory activities, specifically against influenza viruses, were determined via a cytopathic effect (CPE) assay, plaque‑reduction assays, a progeny virus yield reduction assay, reverse transcription‑quantitative polymerase chain reaction analysis and a Luminex assay. Additionally, western blot analysis was performed to investigate the underlying mechanisms of its effects against influenza viruses. The chemical and spectroscopic methods determined the structure of lignan glycoside to be (+)‑pinoresinol‑O‑β‑D‑glucopyranoside. The CPE assay showed that (+)‑pinoresinol‑O‑β‑D‑glucopyranoside exerted inhibitory activities with 50% inhibition concentration values of 408.81±5.24 and 176.24±4.41 µg/ml against the influenza A/PR/8/34 (H1N1) and A/Guangzhou/GIRD07/09 (H1N1) strains, respectively. Its antiviral properties were confirmed by plaque reduction and progeny virus yield reduction assays. Additional mechanistic analyses indicated that the anti‑H1N1 virus‑induced effects of (+)‑pinoresinol‑O-β‑D-glucopyranoside were likely due to inactivation of the nuclear factor‑κB, p38 mitogen‑activated protein kinase and AKT signaling pathways. Furthermore, (+)‑pinoresinol‑O‑β‑D‑glucopyranoside exhibited pronounced inhibitory effects on the expression of influenza H1N1 virus‑induced pro‑inflammatory mediators, including tumor necrosis factor‑α, interleukin (IL)‑6, IL‑8 and monocyte chemoattractant protein 1. The data obtained suggest that (+)‑pinoresinol‑O‑β‑D-glucopyranoside may be a candidate drug for treating influenza H1N1 virus infection.

Introduction

Influenza A virus (IAV; orthomyxoviridae) infection in humans affects the upper and lower respiratory tracts, which often causes acute respiratory diseases ranging from mild to severe. For example, the symptoms of seasonal influenza virus infection can include fever, headache and chills, although patients recover in days (1), whereas lower respiratory tract infections, including 1918 H1N1 or H51N1, can contribute to alveolitis and diffuse alveolar damage leading to mortality (2,3). Clinically available anti-influenza virus medications include neuraminidase (NA) inhibitors, for example. oseltamivir and zanamivir, and M2 ion channel blockers, including amantadine and rimantadine, which have been shown to be ineffective due to viral genome mutations (4). It was previously reported that amino acid substitutions in NA (e.g. NA-R292K and NA-Arg292Lys) of H7N9 confer oseltamivir resistance, raising worldwide concerns on preparedness for an influenza pandemic (5).

Interactions between influenza virus hemagglutinin and cell surface sialic acid receptors are important for infection to establish in target cells (6). During viral replication, structural features, including double stranded RNA or 5′-triphosphate RNA, are sensed by the host immune system, leading to elevated pro-inflammatory mediator production and the recruitment of immune cells to the site of infection (7). It is well recognized that the host immune system orchestrates appropriate pro-inflammatory responses to eliminate invading pathogens and clear infected cells. However, it is also becoming clear that viral factors and host immune responses are involved in the pathogenesis of diseases caused by influenza (8). The PB1-F2 protein of H5N1(HK/97) and 1918 H1N1, with an amino acid change at position 66 (N66S), has been found to increase viral virulence (9). Furthermore, exacerbated cytokine production and the dysregulated recruitment of immune cells, including macrophages, following influenza virus infection contribute to the progression of acute lung injury to acute respiratory distress syndrome (ARDS) (10,11). Therefore, data suggests that the most advantageous strategy for the treatment of influenza diseases combines antiviral compounds with immunomodulators.

The activation of host signaling pathways is essential for viral replication and the expression of pro-inflammatory mediators. Activation of the phosphoinositide-3-kinase (PI3K)/AKT, nuclear factor (NF)-κB and mitogen-activated protein kinases (MAPKs), including extracellular signal-regulated kinase (ERK)1/2 and P38 MAPK signaling cascades triggered by influenza virus infection, is significant in viral entry, replication of the viral genome and the nuclear export of viral ribonucleoproteins (vRNPs), but it also elicits an excessive pro-inflammatory response and collateral lung damage (12–15). Therefore, the development of novel compounds that target certain host signaling pathways may be a promising therapeutic direction for diseases caused by influenza.

The herb Eucommia ulmoides Oliver (Du-Zhong) has been used in various clinical situations (16,17); traditionally, it was used for strengthening muscles and pulmonary function, reducing blood pressure and preventing miscarriages. Numerous active components have been identified from Eucommia ulmoides Oliver, including lignans, polyphenolics, triterpenes and flavonoids (18). Among the active components, the main bioactive components, Eucommia lignans, have protective effects against hypertensive renal injury (19). However, their effects on influenza virus infection remain to be fully elucidated. In the present study, the lignan glycoside (+)-pinoresinol-O-β-D-glucopyranoside was isolated from Eucommia ulmoides Oliver and subjected to various assays to characterize its inhibitory activity, and the underlying mechanisms, against influenza virus infection.

Materials and methods

General experimental procedures

The nuclear magnetic resonance (NMR) spectra were obtained using Bruker AVANCE-400 NMR spectrometers (Bruker Corporation, Billerica, MA, USA). Analytical high-performance liquid chromatography (HPLC) was performed using the Shimadzu LC-10A instrument (Shimadzu Corporation, Kyoto, Japan) equipped with a DAD detector and a reversed-phase C18 column (5-µm, 4.60×250 mm; Shimadzu Corporation). Preparative HPLC was performed on a Shimadzu LC-8A instrument (Shimadzu Corporation) with a UV SPD-20A detector using a reversed-phase C18 column (5 µm, 20×250 mm). Silica gel (200–300 mesh) and silica gel G plates (both from Qingdao Haiyang Chemical Co., Ltd., Qingdao, China) were used for thin layer chromatography analysis.

Plant material

Eucommia ulmoides Oliver was collected from Hubei province (China) and authenticated by Professor Xiping Pan (Guangzhou Medical University, Guangzhou, China).

Extraction and isolation

The air-dried bark (1.5 kg) of Eucommia ulmoides Oliver was refluxed with 95% EtOH (v/v, 3×5 l, 1.5 h each). The combined extracts were concentrated in vacuo to generate a brown residue (120 g), which was dissolved in H2O (1.5 l) and subjected to column chromatography (CC) over Diaion HP20 macroporous adsorptive resins, prior to elution with MeOH/H2O (0:100-95:5). The 95% EtOH (v/v) eluate (13.4 g) was subjected to CC on silica gel and eluted with CH3Cl/MeOH (95:5-0:100) to generate eight fractions (Fr. 1–9). Fr.6 was separated by preparative HPLC and eluted with MeOH/H2O (2:8-10:0) to obtain one compound (5.6 mg). The purity of the compound was estimated by HPLC to be >95% and identified as (+)-pinoresinol-O-β-D-glucopyranoside by NMR spectroscopy.

Viruses and cell lines

Influenza A/PR/8/34 (H1N1), A/Hongkong/8/68 (H3N2) and A/Hongkong/Y280/97 (H9N2) were obtained from the American Type Culture Collection (Manassas, VA, USA). Influenza A/Guangzhou/GIRD07/09 (H1N1) and B/Lee/1940 (FluB) were isolated from routine clinical specimens. All viral strains used in the present study were propagated in Madin-Darby canine kidney (MDCK) cells. The viral stocks were stored at −80°C and titrated in a 50% tissue culture infectious dose (TCID50) assay prior to use.

The MDCK and human alveolar A549 cells were obtained from the ATCC and maintained at 37°C in a humidified atmosphere of 5% CO2 in DMEM/F12 (1:1) medium (Gibco; Thermo Fisher Scientific, Inc., Waltham, MA, USA) supplemented with 10% fetal bovine serum (Gibco; Thermo Fisher Scientific, Inc.). The A549 cells were transfected with 20 ng poly (I:C) from Sigma-Aldrich; Merck KGaA (Darmstadt, Germany) using 5 µl Lipofectamine 2000 (Invitrogen; Thermo Fisher Scientific, Inc.), according to the manufacturer's protocol.

Cytopathic effect (CPE) inhibition assay

The MDCK cell monolayers (2×104 cells/well) were grown in 96-well plates and inoculated with 100 TCID50 of serial influenza virus strains at 37°C for 2 h. Subsequently, the inoculum was removed and then incubated with 0–1,000 µg/ml of (+)-pinoresinol-O-β-D-glucopyranoside and the positive control oseltamivir carboxylate (TLC PharmaChem., Inc., Canada) at 37°C, respectively. Following 48 h of incubation, the influenza virus-infected cells were stained with 0.5% crystal violet solution and observed under a routine light microscope (DM 3000; Leica Microsystems GmbH, Wetzlar, Germany). The 50% inhibition concentration (IC50) of the virus-induced CPE was calculated as previously described (20).

Plaque-reduction assays

The MDCK cell monolayers (5×105 cells/well) were seeded in 6-well plates and incubated overnight at 37°C to ensure adherence. The cells were then inoculated with 40 PFU/well of influenza virus, including influenza A/PR/8/34 (H1N1) and influenza A/Guangzhou/GIRD07/09 (H1N1), and incubated at 37°C with constant agitation. Following 2 h of incubation, the inoculum was removed and replaced with maintenance DMEM (Gibco; Thermo Fisher Scientific, Inc.) containing 1.5% agarose, 1.5 µg/ml TPCK-trypsin and the indicated concentration of (+)-pinoresinol-O-β-D-glucopyranoside. After 3 days, the cells were fixed in 10% formalin and stained with 1% crystal violet.

Progeny virus yield reduction assay

The A549 cells were grown to 90% confluency in 6-well plates and then infected with influenza (MOI=0.1) with or without the indicated concentration of (+)-pinoresinol-O-β-D-glucopyranoside. After 24 h, the supernatants were harvested, and the confluent monolayers of MDCK cells (2×104 cells/well) in the 96-well plate were inoculated with 10-fold dilutions of the supernatants at 37°C for 2 h. Subsequently, the inoculum was removed and replaced with serum-free DMEM containing 1.5 µg/ml TPCK-trypsin. After 48 h, the viral plaques were visualized using trypan blue and observed under a light microscope.

Cell viability assay

The cytotoxic effects induced by (+)-pinoresinol-O-β-D-glucopyranoside in A549 cells were evaluated using a 3-(4,5-dimethylthiazol-2-yl)-2,5-diphenyltetrazolium bromide (MTT) assay. In brief, the A549 cells (1×105 cells/well) were seeded into 96-well plates and then incubated with (+)-pinoresinol-O-β-D-glucopyranoside at different concentrations (0–1,000 µg/ml) for 48 h. Subsequently, the cells were washed twice with PBS to remove the drug and incubated with 200 µl MTT solution (5 mg/ml) for an additional 4 h. The formazan crystals generated in each well were dissolved with dimethyl sulfoxide (Sigma-Aldrich; Merck KGaA). The absorbance was determined at 490 nm using a microplate reader (Synergy HT; BioTek Instruments, Inc., Winooski, VT, USA).

Western blot analysis

The following primary antibodies (Cell Signaling Technology, Inc., Danvers, MA, USA) were used for western blot analysis: NF-κB p65 (cat. no. 8242), phosphorylated (phosphor)-NF-κB p65 (Ser536) (cat. no. 3033), p38 MAPK (cat. no. 8690), phospho-p38 MAPK (Thr180/Tyr182) (cat. no. 4511), AKT (cat. no. 4691), phospho-AKT (Thr308) (cat. no. 13038), ERK1/2 MAPK (cat. no. 4695), phospho-ERK1/2 MAPK (Thr202/Tyr204) (cat. no. 9101), c-Jun N-terminal kinase (JNK) MAPK (cat. no. 9252), phospho-JNK MAPK (Thr183/Tyr185) (cat. no. 4671), cyclooxygenase-2 (COX-2; cat. no. 12282) and GAPDH (cat. no. 5174). The HRP-conjugated secondary antibody (cat. no. BAB1302) was acquired from Multisciences Biotech Co., Ltd. (Hangzhou, China).

The cells were rinsed twice with ice-cold PBS and lysed in RIPA lysis buffer containing 50 mM Tris (pH 7.4), 150 mM NaCl, 1% Triton X-100, 1% sodium deoxycholate, 0.1% SDS, 1 mM PMSF and protease inhibitors (Sigma-Aldrich; Merck KGaA). The supernatants from each treatment were collected by centrifugation of the lysates at 13,000 × g for 15 min at 4°C, and then evaluated to determine the protein concentration using a BCA protein assay kit (Pierce; Thermo Fisher Scientific, Inc.). Equivalent quantities of protein (20 µg/lane) were resolved on a 10% polyacrylamide gel and transferred onto a PVDF membrane (Bio-Rad Laboratories, Inc., Hercules, CA, USA). The membranes were then blocked with 5% non-fat milk (w/v) in 1X TBS/Tween-20 buffer (0.1%, v/v) for 1 h at room temperature prior to incubation with the primary and secondary antibodies. Then, the membranes were incubated overnight at 4°C with 1:1,000 dilution of primary antibody in 5% BSA (w/v) in TBS/Tween-20 buffer (0.1% v/v). The HRP-conjugated secondary antibody was used to detect the primary antibody at a dilution of 1:500 for 1 h at room temperature. The bands were detected using an enhanced chemiluminescence reaction kit (Amersham; GE Healthcare Life Sciences, Chalfont, UK). The intensity of the phosphorylated bands was quantified using ImageJ software version 1.43 (National Institutes of Health, Bethesda, MD, USA).

RNA isolation and reverse transcription-quantitative polymerase chain reaction (RT-qPCR) analysis

RT-qPCR analysis was performed to determine the relative mRNA levels of cytokines and chemokines. Briefly, the influenza A virus-infected cells were treated with the indicated concentrations of (+)-pinoresinol-O-β-D-glucopyranoside. Total cellular RNA was extracted using TRIzol (Invitrogen; Thermo Fisher Scientific, Inc.); the cDNA was then synthesized from 1 µg total RNA using a PrimeScript™ RT Reagent kit (Takara Bio, Inc., Otsu, Japan), at 37°C for 15 min followed by 5 sec at 85°C to inactivate the reaction. The qPCR analysis was performed using a Premix Ex Taq™ Reagent kit (Takara Bio, Inc.), with initial heating to 95°C for 30 sec, followed by 40 cycles of denaturation at 95°C for 5 sec and annealing and elongation at 60°C for 40 sec in an Applied Biosystems 7500 Real-Time PCR system with the primers and probes specified in Table I. GAPDH was used as an internal reference gene. The relative mRNA expression data were calculated using the 2−ΔΔCq method (21).

Table I.

Primers and probe sequences for reverse transcription-quantitative polymerase chain reaction analysis.

Table I.

Primers and probe sequences for reverse transcription-quantitative polymerase chain reaction analysis.

GenePrimer and probeSequence (5′→3′)
TNF-αForward AACATCCAACCTTCCCAAACG
Reverse GACCCTAAGCCCCCAATTCTC
Probe CCCCCTCCTTCAGACACCCTCAACC
IL-6Forward CGGGAACGAAAGAGAAGCTCTA
Reverse CGCTTGTGGAGAAGGAGTTCA
Probe TCCCCTCCAGGAGCCCAGCT
IL-8Forward TTGGCAGCCTTCCTGATTTC
Reverse TATGCACTGACATCTAAGTTCTTTAGCA
Probe CCTTGGCAAAACTGCACCTTCACACA
MCP-1Forward CAAGCAGAAGTGGGTTCAGGAT
Reverse AGTGAGTGTTCAAGTCTTCGGAGTT
Probe CATGGACCACCTGGACAAGCAAACC
COX-2Forward GAATCATTCACCAGGCAAATTG
Reverse TTTCTGTACTGCGGGTGGAAC
Probe TTCCTACCACCAGCAACCCTGCCA
GAPDHForward GAAGGTGAAGGTCGGAGTC
Reverse GAAGATGGTGATGGGATTTC
Probe CAAGCTTCCCGTTCTCAGCC

[i] TNF-α, tumor necrosis factor-α; IL, interleukin; MCP, monocyte chemoattractant protein 1; COX-2, cyclooxygenase-2.

Pro-inflammatory mediator measurements

The inhibitory effects of (+)-pinoresinol-O-β-D-glucopyranoside on the influenza virus-induced production of pro-inflammatory mediators were measured via Luminex assays and ELISAs, respectively. Briefly, the A549 cells in 6-well plates were inoculated with A/PR/8/34 (H1N1) for 2 h, followed by treatment with different concentrations of (+)-pinoresinol-O-β-D-glucopyranoside. Following another 24 h of incubation, the culture supernatants were collected to evaluate the levels of tumor necrosis factor (TNF)-α, interleukin (IL)-6, IL-8, monocyte chemoattractant protein 1 (MCP-1) and prostaglandin E2 (PGE2) using a Luminex kit (Bio-Rad Laboratories, Inc.) and ELISA kits (Invitrogen; Thermo Fisher Scientific, Inc.), according to the manufacturer's protocols.

Statistical analyses

All data were analyzed using SPSS v.18.0 statistical software (SPSS, Inc., Chicago, IL, USA) and are presented as the mean ± standard deviation based on at least three independent experiments. Statistical analyses were performed using one-way analysis of variance followed by Bonferroni's multiple comparisons test. P<0.05 was considered to indicate a statistically significant difference.

Results

Structural elucidation of (+)-pinoresinol-O-β-D-glucopyranoside

White amorphous powder, 1H-NMR (MeOD,400 MHz):δ7.15 (1H, d, J=8.4 Hz, H-5′), 6.95 (1H, d, J=1.6 Hz, H-2′), 6.92 (1H, dd, J=8.4, 1.6 Hz, H-6′), 6.82 (1H, br, J=8.4 Hz, H-6), 6.80(1H, d, J=1.6 Hz, H-2), 6.77 (1H, d, J=8.4 Hz, H-5), 4.88 (1H, d, J=6.0 Hz, Glc-1), 4.76 (1H, d, J=4.0 Hz, H-7′), 4.71 (1H, d, J=4.0 Hz, H-7), 3.88 (3H, s, 3′-OMe), 3.87 (3H, s, 3-OMe). 13C-NMR (MeOD, 100 MHz): 148.0 (C-3′), 146.17 (C-3), 144.53 (C-4′), 144.36 (C-4), 134.49 (C-1′), 130.78 (C-1), 117.10 (C-6), 116.84 (C-6), 115.02 (C-5′), 113.12 (C-5), 108.64 (C-2′), 108.0 (C-2), 99.87 (Glc-1), 84.54 (C-7), 84.15 (C-7′), 75.24 (Glc-3), 74.87 (Glc-5), 71.94 (Glc-2), 69.76 (C-9′), 69.72 (C-9), 68.36 (Glc-4), 59.5 (Glc-6), 53.8 (3-OMe), 53.45 (3′-OMe), 52.58 (C-8′), 52.39 (C-8). The data were in accordance with the literature regarding (+)-pinoresinol-O-β-D-glucopyranoside (Fig. 1) (22).

Figure 1.

Chemical structure of (+)-pinoresinol-O-β-D-glucopyranoside.

Anti-influenza effects of (+)-pinoresinol-O-β-D-glucopyranoside in vitro

The present study initially evaluated the anti-influenza effects of (+)-pinoresinol-O-β-D-glucopyranoside using a CPE reduction assay. The MDCK cells were inoculated with 100 TCID50 of influenza viruses and then incubated with a concentration series of (+)-pinoresinol-O-β-D-glucopyranoside or oseltamivir carboxylate following removal of the inoculum. (+)-pinoresinol-O-β-D-glucopyranoside was found to reduce the CPE induced by two influenza A/H1N1 viral strains (A/PR/8/34 and A/Guangzhou/GIRD07/09), with IC50 values of 176.24–408.81 µg/ml and SI values of 1.80–4.17 (Table II). However, (+)-pinoresinol-O-β-D-glucopyranoside did not exhibit antiviral effects against influenza virus A/Hongkong/8/68 (H3N2), A/Hongkong/Y280/97 (H9N2) or B/Lee/1940 (FluB) (Table II). The activity against A/PR/8/34 and A/Guangzhou/GIRD07/09 was confirmed using plaque reduction assays and progeny virus yield reduction assays. As shown in Fig. 2A, (+)-pinoresinol-O-β-D-glucopyranoside treatment significantly reduced plaque formation in the A/PR/8/34 and A/Guangzhou/GIRD07/09 (H1N1) virus-infected cells. Furthermore, the progeny virus titers of the two virus strains were significantly decreased by treatment with (+)-pinoresinol-O-β-D-glucopyranoside at the concentration of 250 or 500 µg/ml (Fig. 2B). Together, these results suggested that (+)-pinoresinol-O-β-D-glucopyranoside inhibits influenza A H1N1 viruses.

Figure 2.

Antiviral effects of PG. (A) MDCK cells were infected with 40 PFU/well of influenza virus A/PR/8/34 (H1N1) and A/Guangzhou/GIRD07/09 (H1N1). Following adsorption of the virus for 2 h, the inoculum was removed, and the cells were overlaid with DMEM containing 1.5% agarose with serial dilutions of PG. After 3 days, the cells were stained and images were captured. (B) A549 cells were infected with influenza virus A/PR/8/34 (H1N1) and A/Guangzhou/GIRD07/09 (H1N1) (MOI=0.1). The indicated concentrations of PG were added to the medium. After 24 h, supernatants were collected, and virus titers were determined using a plaque assay. Data are expressed as the mean ± standard deviation. **P<0.01 and ***P<0.001, vs. untreated infected cells. PG, (+)-pinoresinol-O-β-D-glucopyranoside.

Table II.

Anti-influenza virus efficacy of (+)-pinoresinol-O-β-D-glucopyranoside.

Table II.

Anti-influenza virus efficacy of (+)-pinoresinol-O-β-D-glucopyranoside.

(+)-pinoresinol-O-β-D-glucopyranoside (µg/ml)Oseltamivir (µg/ml)


Virus type and strain TC50 IC50SIa TC50 IC50SIa
A/PR/8/34 (H1N1)736.49±34.51408.81±5.241.80±0.11>1,0000.041±0.01>1,000
A/GZ/GIRD07/09 (H1N1)736.49±34.51176.24±4.414.17±0.30>1,0000.022±0.01>1,000
A/HK/8/68 (H3N2)736.49±34.51>737<1>1,0000.098±0.01>1,000
A/HK/Y280/97 (H9N2)736.49± 4.51>737<1>1,0000.756±0.12>200
B/Lee/1940 (FluB)736.49±34.51>737<1>1,00011.51±1.19>100

a SI was calculated as the ratio of TC50 to IC50. SI, selectivity index; TC50, 50% toxic concentration; IC50, 50% inhibition concentration.

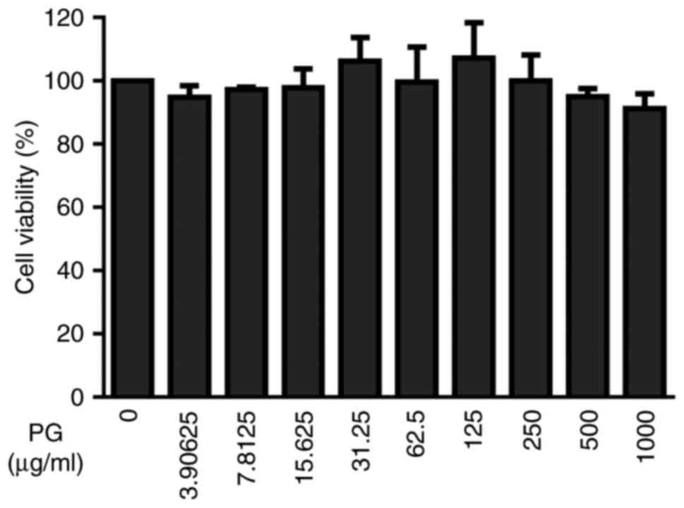
Effects of (+)-pinoresinol-O-β-D-glucopyranoside on A549 cell viability

To select appropriate concentrations for further experiments, the A549 cells were incubated with increasing concentrations of (+)-pinoresinol-O-β-D-glucopyranoside for 48 h. Following this, cell viability was assessed with an MTT assay to evaluate the potential cytotoxicity of lignan (+)-pinoresinol-O-β-D-glucopyranoside. The results showed that (+)-pinoresinol-O-β-D-glucopyranoside did not affect the viability of A549 cells up to a concentration of 1,000 µg/ml (Fig. 3). Therefore, the pharmacological effects of (+)-pinoresinol-O-β-D-glucopyranoside on viral infection were investigated using a concentration range of 150–450 µg/ml.

Figure 3.

Effect of PG on A549 cell viability. A549 cells were treated with increasing concentrations of PG for 48 h, and cell viability was determined with an MTT assay. The percentage cell viability was calculated as the absorbance of PG-treated cells relative to the untreated cells. Data are expressed as the mean ± standard deviation. PG, (+)-pinoresinol-O-β-D-glucopyranoside.

Effect of (+)-pinoresinol-O-β-D-glucopyranoside on influenza virus-induced cellular signaling

Studies have revealed that influenza A virus exploits multiple host cell signaling pathways to facilitate self-replication (23,24). It has been suggested that the pharmacological inhibition of cellular signaling may be a potential strategy for controlling viral infection (25). The results of the study indicated that (+)-pinoresinol-O-β-D-glucopyranoside possesses antiviral activity against influenza A H1N1, therefore, whether the anti-H1N1 virus activity was associated with the inhibition of signaling pathways required for influenza virus infection was determined. Treatment with (+)-pinoresinol-O-β-D-glucopyranoside significantly decreased the influenza H1N1-induced activation of multiple cellular signaling pathways, including the NF-κB, p38, MAPK and AKT pathways, but not the JNK or ERK MAPK pathways (Fig. 4A and B). As these pathways may also have been activated by viral products, whether (+)-pinoresinol-O-β-D-glucopyranoside affected synthetic mimics of viral RNA poly (I:C)-mediated pathway activation was investigated. As shown in Fig. 4C and D, it was found that (+)-pinoresinol-O-β-D-glucopyranoside did not affect the poly (I:C)-induced activation of NF-κB, p38 MAPK or AKT signaling. Taken together, these results suggested that (+)-pinoresinol-O-β-D-glucopyranoside inactivates multiple cellular signaling pathways triggered by viral infection, therefore exerting antivirus effects against H1N1.

Figure 4.

PG treatment inhibits IAV-induced activation of cellular signaling pathways. (A) A549 cells seeded in 6-well plates were either mock-infected or infected with influenza virus A/PR8/34 (H1N1) (MOI=0.1), and then cultured in the presence or absence of PG (150–450 µg/ml). Following cell lysis for 24 h, equal quantities of protein lysates were analyzed via western blot analysis using the indicated antibodies. (B) Quantification of indicated phosphorylated proteins. (C) A549 cells were transfected with 20 ng poly (I:C) using Lipofectamine 2000 in the presence or absence of PG (150–450 µg/ml) for 24 h. The cells were lysed and the lysates were subjected to western blot analysis. (D) Quantification of indicated phosphorylated proteins. Quantification was performed using the ImageJ software (normalized to GAPDH protein levels). Data are expressed as the mean ± standard deviation of three separate experiments. *P<0.05, **P<0.01 and ***P<0.001, vs. untreated infected cells. PG, (+)-pinoresinol-O-β-D-glucopyranoside; IAV, influenza A virus; JNK, c-Jun N-terminal kinase; ERK, extracellular signal-regulated kinase; P-, phosphorylated.

Effects of (+)-pinoresinol-O-β-D-glucopyranoside on the influenza virus-induced expression of pro-inflammatory mediators

The high or low pathogenic influenza virus-induced hyperinduction of pro-inflammatory mediators was mediated though specific host cellular pathways, which are considered to affect the severity of influenza diseases (26,27). To determine whether (+)-pinoresinol-O-β-D-glucopyranoside can affect the H1N1 influenza virus-induced expression of pro-inflammatory mediators though the inhibition of cellular signaling, the present study assessed the expression of pro-inflammatory mediators at the mRNA and protein levels via RT-qPCR and Luminex assays, respectively. As shown in Fig. 5A and B, treatment with (+)-pinoresinol-O-β-D-glucopyranoside decreased the H1N1 influenza virus-induced upregulation of cytokine and chemokine expression, including that of TNF-α, IL-6, IL-8 and MCP-1, in a concentration-dependent manner. Furthermore, it was found that treatment with (+)-pinoresinol-O-β-D-glucopyranoside suppressed the H1N1 virus-induced production of COX-2 (Fig. 5C and D) and that of the derived PGE2 (Fig. 5E). These results indicated that (+)-pinoresinol-O-β-D-glucopyranoside decreased the H1N1 influenza virus-induced expression of pro-inflammatory mediators via the inhibition of multiple signaling pathways.

Figure 5.

PG treatment reduces IAV-induced expression of pro-inflammatory mediators. (A) A549 cells were either mock-infected or infected with IAV/PR8/34 (H1N1) (MOI=0.1) in the presence or absence of PG (150–450 µg/ml), and then lysed with TRIzol reagent for 24 h. Total RNA was isolated and RT-qPCR analyses were performed to measure the gene expression of TNF-α, IL-6, IL-8 and MCP-1. (B) Culture supernatants of H1N1 virus-infected A549 cells treated with different concentrations of PG were harvested for the evaluation of cytokines and chemokines using a Luminex assay. (C) mRNA and (D) protein levels of COX-2 in H1N1 virus-infected A549 cells with treated with different concentrations of PG were analyzed via RT-qPCR and western blot analyses, respectively. (E) PGE2 levels in the culture supernatants from virus-infected A549 cells with/without PG treatment were evaluated using ELISAs. Data are expressed as the mean ± standard deviation. *P<0.05, **P<0.01 and ***P<0.001, vs. untreated infected cells. PG, (+)-pinoresinol-O-β-D-glucopyranoside; IAV, influenza A virus; Con, control; TNF-α, tumor necrosis factor-α; IL, interleukin; MCP, monocyte chemoattractant protein 1; COX-2, cyclooxygenase-2; PGE2, prostaglandin E2; RT-qPCR, reverse transcription-quantitative polymerase chain reaction.

Discussion

In previous decades, the increasing incidence of antiviral drug-resistant influenza viruses has highlighted the urgency for novel antiviral drugs. Compounds from Chinese herbal medicines have gained interest in the development of novel antiviral medications as they tend to possess multiple activities and a broad safety window. In the present study, a lignan compound was isolated from Eucommia ulmoides Oliver and its structure was subjected to extensive spectroscopic analysis; it was identified as (+)-pinoresinol-O-β-D-glucopyranoside. Further investigation showed that the antiviral and anti-inflammatory effects of (+)-pinoresinol-O-β-D-glucopyranoside against influenza virus infection likely occur through the inhibition of AKT, NF-κB, and p38 MAPK signaling.

Our previous study reported on the structure of a novel lignan glycoside [(+)-pinoresinol 4-O-[6-O-vanilloyl]-β-D-glucopyranoside)] from the latex of Calotropis gigantean, comprised of (+)-pinoresinol-O-β-D-glucopyranoside moiety and a vanilloyl group, which possessed antiviral activity though the retention of vRNPs in the nucleus (28). Additionally, it was found that (+)-pinoresinol-O-β-D-glucopyranoside did not have any inhibitory effects on influenza A/PR/8/34 (H1N1) virus with an IC50 value >348.6 µM and SI value <1.0 (28). In the present study, the antiviral effect of (+)-pinoresinol-O-β-D-glucopyranoside was re-evaluated, and the compound was found to have antiviral activity against the influenza A/PR/8/34 (H1N1) virus with an IC50 value of 408.81±5.24 µg/ml (785.37±10.07 µM) (Table II), which was higher than previously reported and for that of (+)-pinoresinol 4-O-[6′-O-vanilloyl]-β-D-glucopyranoside. These results suggested that (+)-pinoresinol-O-β-D-glucopyranoside was not potent enough to exert inhibitory effects on the influenza A/PR/8/34 (H1N1) virus at low doses due to the absence of a vanilloyl moiety. The antiviral properties of (+)-pinoresinol-O-β-D-glucopyranoside were confirmed by the result that treatment reduced influenza A/GZ/GIRD07/09 (H1N1) virus-induced CPE in MDCK cells (Table II).

Influenza viruses exploit multiple host cell signaling cascades to facilitate their replication. An increasing number of reports have demonstrated that the suppression of cellular signaling using pharmacological agents can limit the spread of influenza. The inhibition of NF-κB activity by acetylsalicylic acid or Bay 11–7082 inhibited influenza virus propagation via the retention of vRNP in the nucleus, and effectively reduced viral titers in vitro and in vivo (13,29). Furthermore, the synthesis of eight segments of the viral RNA (vRNA) genome was reduced by an NF-κB inhibitor (30). Similarly, the inhibition of PI3K/AKT signaling confirmed its importance in viral processes, including viral uptake, vRNA synthesis and vRNP nuclear export (14,31). Phosphorylation of the early-endosomal protein EEA1 and anti-apoptotic factor B-cell lymphoma 2 by P38 MAPK has been reported to enhance the endocytosis of virus particles and the nucleocytoplasmic export of viral NP proteins, and this was eradicated following treatment with a P38 MAPK-specific inhibitor (15,32). Findings indicated that inhibition of the NF-κB, p38 MAPK, and AKT signaling pathways by specific inhibitors exerted antiviral activity. However, certain compounds from Chinese herbal medicines with NF-κB inhibition activity did not exhibit broad antiviral activity and the detailed mechanism was not revealed (28,33). In concordance, although the present found that the virus-induced NF-κB, p38 MAPK, and AKT signaling pathways were inhibited by (+)-pinoresinol-O-β-D-glucopyranoside, (+)-pinoresinol-O-β-D-glucopyranoside did not exert inhibitory effects on influenza virus A/Hongkong/8/68 (H3N2), A/Hongkong/Y280/97 (H9N2) or B/Lee/1940 (FluB) (Table II). In the present study, the reasons why lignan (+)-pinoresinol-O-β-D-glucopyranoside, with its NF-κB, p38 MAPK, and AKT signaling inhibition properties, did not show broad antiviral activity were not elucidated. The results suggested that the inhibition activity of natural compounds from traditional Chinese medicine on cellular molecules was not potent enough, compared with specific inhibitors. It is anticipated that investigations in the future will elucidate the detailed mechanism. The possible underlying mechanism of (+)-pinoresinol-O-β-D-glucopyranoside against influenza infection may involve inactivation of the NF-κB, P38 MAPK and PI3K/AKT signaling pathways (Fig. 3).

The results of the present study demonstrated that (+)-pinoresinol-O-β-D-glucopyranoside decreased the expression of TNF-α, IL-6, IL-8 and MCP-1 (Fig. 5A and B). During influenza virus infection, the abnormal activation of host signaling pathways leads to an excessive inflammatory response, which is considered to result in lung tissue injury and may progress to ARDS (34). In patients infected with seasonal influenza viruses, the levels of cytokines, including IL-6, TNF-α and interferon (IFN)-γ-inducible protein 10 (IP-10), were elevated on day 1 but had declined rapidly by day 5 (35). By contrast, the persistent elevation of cytokines in patients infected with avian H7N9 or H5N1 viruses resulted in poor outcomes and even mortality (27,36). Dysregulation among pro-inflammatory cytokines has served as a hallmark of influenza disease severity (37). The suppression of NF-κB signaling has been shown to decrease the influenza virus-mediated expression of IL-6, IL-8, MCP-1 and RANTES in vitro and in vivo (13). p50 subunit deficiency in mice attenuated an array of NF-κB-targeted genes induced by influenza A (H5N1) (38). P38-mediated signaling is also involved in the initiation of pro-inflammatory cytokine synthesis. Treatment with a p38 MAPK inhibitor (SB203580) reduced the H5N1 virus-mediated expression of cytokines and chemokines, including TNF-α, IP-10, MCP-1 and RANTES (39). The cytokine levels, including those of IP-10 and MCP-1, in patients with severe influenza A virus infection were positively correlated with the expression of P38 MAPK in CD4+ lymphocytes (40). During viral replication, the viral products, including viral RNA sensed by host pattern recognition receptors can also activate cellular signaling and initiate the expression of pro-inflammatory cytokines. In examining whether that the anti-inflammatory effects of (+)-pinoresinol-O-β-D-glucopyranoside is due to its antiviral property or the inhibition of cellular signaling triggered by viral products, the present study found that treatment with (+)-pinoresinol-O-β-D-glucopyranoside did not affect the poly (I:C)-mediated activation of NF-κB, p38 kinase or AKT signaling (Fig. 4B). These results suggested that the anti-inflammatory effects of (+)-pinoresinol-O-β-D-glucopyranoside were a result of its antiviral effects. Therefore, it was hypothesized that the inhibitory effects of (+)-pinoresinol-O-β-D-glucopyranoside on infection-activated NF-κB and p38 kinase led to a decrease in the influenza virus-induced expression of pro-inflammatory cytokines.

Previous studies have reported that NF-κB and p38 kinase signaling are required for the expression of COX-2, which is involved in the pathogenesis of pneumococcal pneumonia and influenza H5N1 viral disease (41–43). From the data presented in the present study, the inhibitory effects on NF-κB and p38 kinase signaling by (+)-pinoresinol-O-β-D-glucopyranoside treatment were correlated with the decreased expression of COX-2 and PGE2 (Fig. 5C-E). Previous studies have demonstrated that COX-2 deficiency or inhibition significantly reduced virus-induced inflammation and changes in body temperature, and protected against life-threatening influenza challenge (44,45). Notably, the delayed combination of antiviral agents with COX-2 inhibitor treatment significantly prolonged the survival of mice infected with H5N1 (46). Additionally, Coulombe et al revealed that PGE2 impaired the type I IFN-mediated antiviral response (47). Therefore, it appears that suppression of the expression of COX-2 and PGE2 by (+)-pinoresinol-O-β-D-glucopyranoside is beneficial to the host during influenza infection.

In conclusion, the present study found that (+)-pinoresinol-O-β-D-glucopyranoside from Eucommia ulmoides Oliver exerts antiviral and anti-inflammatory effects through NF-κB, P38 MAPK and AKT signaling pathway inhibition in influenza virus-infected cells. Therefore, it was hypothesized that the product possesses multiple biological activities and low toxicity, and that it may be a promising anti-influenza candidate drug.

Acknowledgements

Not applicable.

Funding

The present study was financially supported by the Ministry of Science and Technology of China (grant no. 2015DFM30010), the Secondary Development Projects of Guangdong Famous and Excellent Traditional Chinese Patent Medicines (grant no. 20174005), the First Affiliated Hospital of Guangzhou Medical University (grant no. LJ2016) and the International S&T Cooperation Program of Guangdong Province (grant no. 2013B051000085).

Availability of data and materials

The datasets used and analyzed during the present study are available from the corresponding authors on reasonable request.

Author contributions

ZY, XP and ZJ conceived and designed the experiments; JL, XL, BZ, XC, PX and HJ performed the experiments; JL and XL analyzed the data; JL, XL and BZ wrote the manuscript. ZY, XP and ZJ contributed to revisions of the manuscript. All authors read and approved the final manuscript.

Ethical approval and consent to participate

Not applicable.

Patient consent for publication

Not applicable.

Competing interests

The authors declare that they have no competing interests.

References

1 

Hayden FG and Gwaltney JMJ: Viral infections. In textbook of respiratory medicine. Murray JF and Nadel JA: WB. Saunders Co.; Philadelphia: pp. 977–1035. 1994

2 

Peiris JS, Yu WC, Leung CW, Cheung CY, Ng WF, Nicholls JM, Ng TK, Chan KH, Lai ST, Lim WL, et al: Re-emergence of fatal human influenza A subtype H5N1 disease. Lancet. 363:617–619. 2004. View Article : Google Scholar : PubMed/NCBI

3 

Kash JC, Tumpey TM, Proll SC, Carter V, Perwitasari O, Thomas MJ, Basler CF, Palese P, Taubenberger JK, García-Sastre A, et al: Genomic analysis of increased host immune and cell death responses induced by 1918 influenza virus. Nature. 443:578–581. 2006.PubMed/NCBI

4 

Hayden FG and de Jong MD: Emerging influenza antiviral resistance threats. J Infect Dis. 203:6–10. 2011. View Article : Google Scholar : PubMed/NCBI

5 

Hai R, Schmolke M, Leyva-Grado VH, Thangavel RR, Margine I, Jaffe EL, Krammer F, Solórzano A, García-Sastre A, Palese P and Bouvier NM: Influenza A(H7N9) virus gains neuraminidase inhibitor resistance without loss of in vivo virulence or transmissibility. Nat Commun. 4:28542013. View Article : Google Scholar : PubMed/NCBI

6 

Gamblin SJ and Skehel JJ: Influenza hemagglutinin and neuraminidase membrane glycoproteins. J Biol Chem. 285:28403–28409. 2010. View Article : Google Scholar : PubMed/NCBI

7 

Thompson AJ and Locarnini SA: Toll-like receptors, RIG-I-like RNA helicases and the antiviral innate immune response. Immunol Cell Biol. 85:435–445. 2007. View Article : Google Scholar : PubMed/NCBI

8 

Fukuyama S and Kawaoka Y: The pathogenesis of influenza virus infections: The contributions of virus and host factors. Curr Opin Immunol. 23:481–486. 2011. View Article : Google Scholar : PubMed/NCBI

9 

Conenello GM, Zamarin D, Perrone LA, Tumpey T and Palese P: A single mutation in the PB1-F2 of H5N1 (HK/97) and 1918 influenza A viruses contributes to increased virulence. PLoS Pathog. 3:1414–1421. 2007. View Article : Google Scholar : PubMed/NCBI

10 

Högner K, Wolff T, Pleschka S, Plog S, Gruber AD, Kalinke U, Walmrath HD, Bodner J, Gattenlöhner S, Lewe-Schlosser P, et al: Macrophage-expressed IFN-β contributes to apoptotic alveolar epithelial cell injury in severe influenza virus pneumonia. PLoS Pathog. 9:e10031882013. View Article : Google Scholar : PubMed/NCBI

11 

Hagau N, Slavcovici A, Gonganau DN, Oltean S, Dirzu DS, Brezoszki ES, Maxim M, Ciuce C, Mlesnite M, Gavrus RL, et al: Clinical aspects and cytokine response in severe H1N1 influenza A virus infection. Crit Care. 14:R2032010. View Article : Google Scholar : PubMed/NCBI

12 

Ludwig S and Planz O: Influenza viruses and the NF-kappaB signaling pathway-towards a novel concept of antiviral therapy. Biol Chem. 389:1307–1312. 2008. View Article : Google Scholar : PubMed/NCBI

13 

Pinto R, Herold S, Cakarova L, Hoegner K, Lohmeyer J, Planz O and Pleschka S: Inhibition of influenza virus-induced NF-kappaB and Raf/MEK/ERK activation can reduce both virus titers and cytokine expression simultaneously in vitro and in vivo. Antiviral Res. 92:45–56. 2011. View Article : Google Scholar : PubMed/NCBI

14 

Ehrhardt C, Marjuki H, Wolff T, Nürnberg B, Planz O, Pleschka S and Ludwig S: Bivalent role of the phosphatidylinositol-3-kinase (PI3K) during influenza virus infection and host cell defence. Cell Microbiol. 8:1336–1348. 2006. View Article : Google Scholar : PubMed/NCBI

15 

Marchant D, Singhera GK, Utokaparch S, Hackett TL, Boyd JH, Luo Z, Si X, Dorscheid DR, McManus BM and Hegele RG: Toll-like receptor 4-mediated activation of p38 mitogen-activated protein kinase is a determinant of respiratory virus entry and tropism. J Virol. 84:11359–11373. 2010. View Article : Google Scholar : PubMed/NCBI

16 

Xu Z, Tang M, Li Y, Liu F, Li X and Dai R: Antioxidant properties of Du-zhong (Eucommia ulmoides Oliv.) extracts and their effects on color stability and lipid oxidation of raw pork patties. J Agric Food Chem. 58:7289–7296. 2010. View Article : Google Scholar : PubMed/NCBI

17 

Lee MK, Cho SY, Kim DJ, Jang JY, Shin KH, Park SA, Park EM, Lee JS, Choi MS, Lee JS, et al: Du-zhong (Eucommia ulmoides Oliv.) cortex water extract alters heme biosynthesis and erythrocyte antioxidant defense system in lead-administered rats. J Med Food. 8:86–92. 2005. View Article : Google Scholar : PubMed/NCBI

18 

Hussain T, Tan B, Liu G, Oladele OA, Rahu N, Tossou MC and Yin Y: Health-promoting properties of eucommia ulmoides: A review. Evid Based Complement Alternat Med. 2016:52029082016. View Article : Google Scholar : PubMed/NCBI

19 

Li L, Yan J, Hu K, Gu J, Wang JJ, Deng XL, Li H, Jing X, Li ZY, Ye QF, et al: Protective effects of Eucommia lignans against hypertensive renal injury by inhibiting expression of aldose reductase. J Ethnopharmacol. 139:454–461. 2012. View Article : Google Scholar : PubMed/NCBI

20 

Reed LJ and Muench H: A simple method of estimating fifty percent endpoints. American J Epidemiol. 27:493–497. 1938. View Article : Google Scholar

21 

Livak KJ and Schmittgen TD: Analysis of relative gene expression data using real-time quantitative PCR and the 2ΔΔCT method.

22 

Sugiyama M and Kikuchi M: Studies on the constituents of osmanthus species. VII. Structures of lignan glycosides from the leaves of osmanthus asiaticus NAKAI. Chem Pharm Bull. 396:483–485. 1991. View Article : Google Scholar

23 

Marjuki H, Gornitzky A, Marathe BM, Ilyushina NA, Aldridge JR, Desai G, Webby RJ and Webster RG: Influenza A virus-induced early activation of ERK and PI3K mediates V-ATPase-dependent intracellular pH change required for fusion. Cell Microbiol. 13:587–601. 2011. View Article : Google Scholar : PubMed/NCBI

24 

Marjuki H, Alam MI, Ehrhardt C, Wagner R, Planz O, Klenk HD, Ludwig S and Pleschka S: Membrane accumulation of influenza A virus hemagglutinin triggers nuclear export of the viral genome via protein kinase Calpha-mediated activation of ERK signaling. J Biol Chem. 281:16707–16715. 2006. View Article : Google Scholar : PubMed/NCBI

25 

Ludwig S: Targeting cell signalling pathways to fight the flu: Towards a paradigm change in anti-influenza therapy. J Antimicrob Chemother. 64:1–4. 2009. View Article : Google Scholar : PubMed/NCBI

26 

Hayden FG, Fritz R, Lobo MC, Alvord W, Strober W and Straus SE: Local and systemic cytokine responses during experimental human influenza A virus infection. Relation to symptom formation and host defense. J Clin Invest. 101:643–649. 1998. View Article : Google Scholar : PubMed/NCBI

27 

de Jong MD, Simmons CP, Thanh TT, Hien VM, Smith GJ, Chau TN, Hoang DM, Chau NV, Khanh TH, Dong VC, et al: Fatal outcome of human influenza A (H5N1) is associated with high viral load and hypercytokinemia. Nat Med. 12:1203–1207. 2006. View Article : Google Scholar : PubMed/NCBI

28 

Parhira S, Yang ZF, Zhu GY, Chen QL, Zhou BX, Wang YT, Liu L, Bai LP and Jiang ZH: In vitro anti-influenza virus activities of a new lignan glycoside from the latex of Calotropis gigantea. PLoS One. 9:e1045442014. View Article : Google Scholar : PubMed/NCBI

29 

Mazur I, Wurzer WJ, Ehrhardt C, Pleschka S, Puthavathana P, Silberzahn T, Wolff T, Planz O and Ludwig S: Acetylsalicylic acid (ASA) blocks influenza virus propagation via its NF-kappaB-inhibiting activity. Cell Microbiol. 9:1683–1694. 2007. View Article : Google Scholar : PubMed/NCBI

30 

Kumar N, Xin ZT and Liang Y, Ly H and Liang Y: NF-kappaB signaling differentially regulates influenza virus RNA synthesis. J Virol. 82:9880–9889. 2008. View Article : Google Scholar : PubMed/NCBI

31 

Shin YK, Liu Q, Tikoo SK, Babiuk LA and Zhou Y: Effect of the phosphatidylinositol 3-kinase/Akt pathway on influenza A virus propagation. J Gen Virol. 88:942–950. 2007. View Article : Google Scholar : PubMed/NCBI

32 

Nencioni L, De Chiara G, Sgarbanti R, Amatore D, Aquilano K, Marcocci ME, Serafino A, Torcia M, Cozzolino F, Ciriolo MR, et al: Bcl-2 expression and p38MAPK activity in cells infected with influenza A virus: Impact on virally induced apoptosis and viral replication. J Biol Chem. 284:16004–16015. 2009. View Article : Google Scholar : PubMed/NCBI

33 

Guan W, Li J, Chen Q, Jiang Z, Zhang R, Wang X, Yang Z and Pan X: Pterodontic acid isolated from laggera pterodonta inhibits viral replication and inflammation induced by influenza A virus. Molecules. 22:E17382017. View Article : Google Scholar : PubMed/NCBI

34 

Bauer TT, Ewig S, Rodloff AC and Müller EE: Acute respiratory distress syndrome and pneumonia: A comprehensive review of clinical data. Clin Infect Dis. 43:748–756. 2006. View Article : Google Scholar : PubMed/NCBI

35 

Bian JR, Nie W, Zang YS, Fang Z, Xiu QY and Xu XX: Clinical aspects and cytokine response in adults with seasonal influenza infection. Int J Clin Exp Med. 7:5593–5602. 2014.PubMed/NCBI

36 

Yang ZF, Mok CK, Liu XQ, Li XB, He JF, Guan WD, Xu YH, Pan WQ, Chen LY, Lin YP, et al: Clinical, virological and immunological features from patients infected with re-emergent avian-origin human H7N9 influenza disease of varying severity in Guangdong province. PLoS One. 10:e01178462015. View Article : Google Scholar : PubMed/NCBI

37 

Ramos I and Fernandez-Sesma A: Modulating the innate immune response to influenza A virus: Potential therapeutic use of anti-inflammatory drugs. Front Immunol. 6:3612015. View Article : Google Scholar : PubMed/NCBI

38 

Droebner K, Reiling SJ and Planz O: Role of hypercytokinemia in NF-kappaB p50-deficient mice after H5N1 influenza A virus infection. J Virol. 82:11461–11466. 2008. View Article : Google Scholar : PubMed/NCBI

39 

Hui KP, Lee SM, Cheung CY, Ng IH, Poon LL, Guan Y, Ip NY, Lau AS and Peiris JS: Induction of proinflammatory cytokines in primary human macrophages by influenza A virus (H5N1) is selectively regulated by IFN regulatory factor 3 and p38 MAPK. J Immunol. 182:1088–1098. 2009. View Article : Google Scholar : PubMed/NCBI

40 

Lee N, Wong CK, Chan PK, Lun SW, Lui G, Wong B, Hui DS, Lam CW, Cockram CS, Choi KW, et al: Hypercytokinemia and hyperactivation of phospho-p38 mitogen-activated protein kinase in severe human influenza A virus infection. Clin Infect Dis. 45:723–731. 2007. View Article : Google Scholar : PubMed/NCBI

41 

N'Guessan PD, Hippenstiel S, Etouem MO, Zahlten J, Beermann W, Lindner D, Opitz B, Witzenrath M, Rosseau S, Suttorp N, et al: Streptococcus pneumoniae induced p38 MAPK- and NF-kappaB-dependent COX-2 expression in human lung epithelium. Am J Physiol Lung Cell Mol Physiol. 290:L1131–L1138. 2006. View Article : Google Scholar : PubMed/NCBI

42 

Singer CA, Baker KJ, McCaffrey A, AuCoin DP, Dechert MA and Gerthoffer WT: p38 MAPK and NF-kappaB mediate COX-2 expression in human airway myocytes. Am J Physiol Lung Cell Mol Physiol. 285:L1087–L1098. 2003. View Article : Google Scholar : PubMed/NCBI

43 

Lee SM, Cheung CY, Nicholls JM, Hui KP, Leung CY, Uiprasertkul M, Tipoe GL, Lau YL, Poon LL, Ip NY, et al: Hyperinduction of cyclooxygenase-2-mediated proinflammatory cascade: A mechanism for the pathogenesis of avian influenza H5N1 infection. J Infect Dis. 198:525–535. 2008. View Article : Google Scholar : PubMed/NCBI

44 

Carey MA, Bradbury JA, Seubert JM, Langenbach R, Zeldin DC and Germolec DR: Contrasting effects of cyclooxygenase-1 (COX-1) and COX-2 deficiency on the host response to influenza A viral infection. J Immunol. 175:6878–6884. 2005. View Article : Google Scholar : PubMed/NCBI

45 

Carey MA, Bradbury JA, Rebolloso YD, Graves JP, Zeldin DC and Germolec DR: Pharmacologic inhibition of COX-1 and COX-2 in influenza A viral infection in mice. PLoS One. 5:e116102010. View Article : Google Scholar : PubMed/NCBI

46 

Zheng BJ, Chan KW, Lin YP, Zhao GY, Chan C, Zhang HJ, Chen HL, Wong SS, Lau SK, Woo PC, et al: Delayed antiviral plus immunomodulator treatment still reduces mortality in mice infected by high inoculum of influenza A/H5N1 virus. Proc Natl Acad Sci USA. 105:8091–8096. 2008. View Article : Google Scholar : PubMed/NCBI

47 

Coulombe F, Jaworska J, Verway M, Tzelepis F, Massoud A, Gillard J, Wong G, Kobinger G, Xing Z, Couture C, et al: Targeted prostaglandin E2 inhibition enhances antiviral immunity through induction of type I interferon and apoptosis in macrophages. Immunity. 40:554–568. 2014. View Article : Google Scholar : PubMed/NCBI

Related Articles

  • Abstract
  • View
  • Download
  • Twitter
Copy and paste a formatted citation
Spandidos Publications style
Li J, Liang X, Zhou B, Chen X, Xie P, Jiang H, Jiang Z, Yang Z and Pan X: (+)‑pinoresinol‑O‑β‑D‑glucopyranoside from Eucommia ulmoides Oliver and its anti‑inflammatory and antiviral effects against influenza A (H1N1) virus infection. Mol Med Rep 19: 563-572, 2019.
APA
Li, J., Liang, X., Zhou, B., Chen, X., Xie, P., Jiang, H. ... Pan, X. (2019). (+)‑pinoresinol‑O‑β‑D‑glucopyranoside from Eucommia ulmoides Oliver and its anti‑inflammatory and antiviral effects against influenza A (H1N1) virus infection. Molecular Medicine Reports, 19, 563-572. https://doi.org/10.3892/mmr.2018.9696
MLA
Li, J., Liang, X., Zhou, B., Chen, X., Xie, P., Jiang, H., Jiang, Z., Yang, Z., Pan, X."(+)‑pinoresinol‑O‑β‑D‑glucopyranoside from Eucommia ulmoides Oliver and its anti‑inflammatory and antiviral effects against influenza A (H1N1) virus infection". Molecular Medicine Reports 19.1 (2019): 563-572.
Chicago
Li, J., Liang, X., Zhou, B., Chen, X., Xie, P., Jiang, H., Jiang, Z., Yang, Z., Pan, X."(+)‑pinoresinol‑O‑β‑D‑glucopyranoside from Eucommia ulmoides Oliver and its anti‑inflammatory and antiviral effects against influenza A (H1N1) virus infection". Molecular Medicine Reports 19, no. 1 (2019): 563-572. https://doi.org/10.3892/mmr.2018.9696
Copy and paste a formatted citation
x
Spandidos Publications style
Li J, Liang X, Zhou B, Chen X, Xie P, Jiang H, Jiang Z, Yang Z and Pan X: (+)‑pinoresinol‑O‑β‑D‑glucopyranoside from Eucommia ulmoides Oliver and its anti‑inflammatory and antiviral effects against influenza A (H1N1) virus infection. Mol Med Rep 19: 563-572, 2019.
APA
Li, J., Liang, X., Zhou, B., Chen, X., Xie, P., Jiang, H. ... Pan, X. (2019). (+)‑pinoresinol‑O‑β‑D‑glucopyranoside from Eucommia ulmoides Oliver and its anti‑inflammatory and antiviral effects against influenza A (H1N1) virus infection. Molecular Medicine Reports, 19, 563-572. https://doi.org/10.3892/mmr.2018.9696
MLA
Li, J., Liang, X., Zhou, B., Chen, X., Xie, P., Jiang, H., Jiang, Z., Yang, Z., Pan, X."(+)‑pinoresinol‑O‑β‑D‑glucopyranoside from Eucommia ulmoides Oliver and its anti‑inflammatory and antiviral effects against influenza A (H1N1) virus infection". Molecular Medicine Reports 19.1 (2019): 563-572.
Chicago
Li, J., Liang, X., Zhou, B., Chen, X., Xie, P., Jiang, H., Jiang, Z., Yang, Z., Pan, X."(+)‑pinoresinol‑O‑β‑D‑glucopyranoside from Eucommia ulmoides Oliver and its anti‑inflammatory and antiviral effects against influenza A (H1N1) virus infection". Molecular Medicine Reports 19, no. 1 (2019): 563-572. https://doi.org/10.3892/mmr.2018.9696
Follow us
  • Twitter
  • LinkedIn
  • Facebook
About
  • Spandidos Publications
  • Careers
  • Cookie Policy
  • Privacy Policy
How can we help?
  • Help
  • Live Chat
  • Contact
  • Email to our Support Team