Spandidos Publications Logo
  • About
    • About Spandidos
    • Aims and Scopes
    • Abstracting and Indexing
    • Editorial Policies
    • Reprints and Permissions
    • Job Opportunities
    • Terms and Conditions
    • Contact
  • Journals
    • All Journals
    • Oncology Letters
      • Oncology Letters
      • Information for Authors
      • Editorial Policies
      • Editorial Board
      • Aims and Scope
      • Abstracting and Indexing
      • Bibliographic Information
      • Archive
    • International Journal of Oncology
      • International Journal of Oncology
      • Information for Authors
      • Editorial Policies
      • Editorial Board
      • Aims and Scope
      • Abstracting and Indexing
      • Bibliographic Information
      • Archive
    • Molecular and Clinical Oncology
      • Molecular and Clinical Oncology
      • Information for Authors
      • Editorial Policies
      • Editorial Board
      • Aims and Scope
      • Abstracting and Indexing
      • Bibliographic Information
      • Archive
    • Experimental and Therapeutic Medicine
      • Experimental and Therapeutic Medicine
      • Information for Authors
      • Editorial Policies
      • Editorial Board
      • Aims and Scope
      • Abstracting and Indexing
      • Bibliographic Information
      • Archive
    • International Journal of Molecular Medicine
      • International Journal of Molecular Medicine
      • Information for Authors
      • Editorial Policies
      • Editorial Board
      • Aims and Scope
      • Abstracting and Indexing
      • Bibliographic Information
      • Archive
    • Biomedical Reports
      • Biomedical Reports
      • Information for Authors
      • Editorial Policies
      • Editorial Board
      • Aims and Scope
      • Abstracting and Indexing
      • Bibliographic Information
      • Archive
    • Oncology Reports
      • Oncology Reports
      • Information for Authors
      • Editorial Policies
      • Editorial Board
      • Aims and Scope
      • Abstracting and Indexing
      • Bibliographic Information
      • Archive
    • Molecular Medicine Reports
      • Molecular Medicine Reports
      • Information for Authors
      • Editorial Policies
      • Editorial Board
      • Aims and Scope
      • Abstracting and Indexing
      • Bibliographic Information
      • Archive
    • World Academy of Sciences Journal
      • World Academy of Sciences Journal
      • Information for Authors
      • Editorial Policies
      • Editorial Board
      • Aims and Scope
      • Abstracting and Indexing
      • Bibliographic Information
      • Archive
    • International Journal of Functional Nutrition
      • International Journal of Functional Nutrition
      • Information for Authors
      • Editorial Policies
      • Editorial Board
      • Aims and Scope
      • Abstracting and Indexing
      • Bibliographic Information
      • Archive
    • International Journal of Epigenetics
      • International Journal of Epigenetics
      • Information for Authors
      • Editorial Policies
      • Editorial Board
      • Aims and Scope
      • Abstracting and Indexing
      • Bibliographic Information
      • Archive
    • Medicine International
      • Medicine International
      • Information for Authors
      • Editorial Policies
      • Editorial Board
      • Aims and Scope
      • Abstracting and Indexing
      • Bibliographic Information
      • Archive
  • Articles
  • Information
    • Information for Authors
    • Information for Reviewers
    • Information for Librarians
    • Information for Advertisers
    • Conferences
  • Language Editing
Spandidos Publications Logo
  • About
    • About Spandidos
    • Aims and Scopes
    • Abstracting and Indexing
    • Editorial Policies
    • Reprints and Permissions
    • Job Opportunities
    • Terms and Conditions
    • Contact
  • Journals
    • All Journals
    • Biomedical Reports
      • Information for Authors
      • Editorial Policies
      • Editorial Board
      • Aims and Scope
      • Abstracting and Indexing
      • Bibliographic Information
      • Archive
    • Experimental and Therapeutic Medicine
      • Information for Authors
      • Editorial Policies
      • Editorial Board
      • Aims and Scope
      • Abstracting and Indexing
      • Bibliographic Information
      • Archive
    • International Journal of Epigenetics
      • Information for Authors
      • Editorial Policies
      • Editorial Board
      • Aims and Scope
      • Abstracting and Indexing
      • Bibliographic Information
      • Archive
    • International Journal of Functional Nutrition
      • Information for Authors
      • Editorial Policies
      • Editorial Board
      • Aims and Scope
      • Abstracting and Indexing
      • Bibliographic Information
      • Archive
    • International Journal of Molecular Medicine
      • Information for Authors
      • Editorial Policies
      • Editorial Board
      • Aims and Scope
      • Abstracting and Indexing
      • Bibliographic Information
      • Archive
    • International Journal of Oncology
      • Information for Authors
      • Editorial Policies
      • Editorial Board
      • Aims and Scope
      • Abstracting and Indexing
      • Bibliographic Information
      • Archive
    • Medicine International
      • Information for Authors
      • Editorial Policies
      • Editorial Board
      • Aims and Scope
      • Abstracting and Indexing
      • Bibliographic Information
      • Archive
    • Molecular and Clinical Oncology
      • Information for Authors
      • Editorial Policies
      • Editorial Board
      • Aims and Scope
      • Abstracting and Indexing
      • Bibliographic Information
      • Archive
    • Molecular Medicine Reports
      • Information for Authors
      • Editorial Policies
      • Editorial Board
      • Aims and Scope
      • Abstracting and Indexing
      • Bibliographic Information
      • Archive
    • Oncology Letters
      • Information for Authors
      • Editorial Policies
      • Editorial Board
      • Aims and Scope
      • Abstracting and Indexing
      • Bibliographic Information
      • Archive
    • Oncology Reports
      • Information for Authors
      • Editorial Policies
      • Editorial Board
      • Aims and Scope
      • Abstracting and Indexing
      • Bibliographic Information
      • Archive
    • World Academy of Sciences Journal
      • Information for Authors
      • Editorial Policies
      • Editorial Board
      • Aims and Scope
      • Abstracting and Indexing
      • Bibliographic Information
      • Archive
  • Articles
  • Information
    • For Authors
    • For Reviewers
    • For Librarians
    • For Advertisers
    • Conferences
  • Language Editing
Login Register Submit
  • This site uses cookies
  • You can change your cookie settings at any time by following the instructions in our Cookie Policy. To find out more, you may read our Privacy Policy.

    I agree
Search articles by DOI, keyword, author or affiliation
Search
Advanced Search
presentation
Oncology Letters
Join Editorial Board Propose a Special Issue
Print ISSN: 1792-1074 Online ISSN: 1792-1082
Journal Cover
August-2015 Volume 10 Issue 2

Full Size Image

Sign up for eToc alerts
Recommend to Library

Journals

International Journal of Molecular Medicine

International Journal of Molecular Medicine

International Journal of Molecular Medicine is an international journal devoted to molecular mechanisms of human disease.

International Journal of Oncology

International Journal of Oncology

International Journal of Oncology is an international journal devoted to oncology research and cancer treatment.

Molecular Medicine Reports

Molecular Medicine Reports

Covers molecular medicine topics such as pharmacology, pathology, genetics, neuroscience, infectious diseases, molecular cardiology, and molecular surgery.

Oncology Reports

Oncology Reports

Oncology Reports is an international journal devoted to fundamental and applied research in Oncology.

Experimental and Therapeutic Medicine

Experimental and Therapeutic Medicine

Experimental and Therapeutic Medicine is an international journal devoted to laboratory and clinical medicine.

Oncology Letters

Oncology Letters

Oncology Letters is an international journal devoted to Experimental and Clinical Oncology.

Biomedical Reports

Biomedical Reports

Explores a wide range of biological and medical fields, including pharmacology, genetics, microbiology, neuroscience, and molecular cardiology.

Molecular and Clinical Oncology

Molecular and Clinical Oncology

International journal addressing all aspects of oncology research, from tumorigenesis and oncogenes to chemotherapy and metastasis.

World Academy of Sciences Journal

World Academy of Sciences Journal

Multidisciplinary open-access journal spanning biochemistry, genetics, neuroscience, environmental health, and synthetic biology.

International Journal of Functional Nutrition

International Journal of Functional Nutrition

Open-access journal combining biochemistry, pharmacology, immunology, and genetics to advance health through functional nutrition.

International Journal of Epigenetics

International Journal of Epigenetics

Publishes open-access research on using epigenetics to advance understanding and treatment of human disease.

Medicine International

Medicine International

An International Open Access Journal Devoted to General Medicine.

Journal Cover
August-2015 Volume 10 Issue 2

Full Size Image

Sign up for eToc alerts
Recommend to Library

  • Article
  • Citations
    • Cite This Article
    • Download Citation
    • Create Citation Alert
    • Remove Citation Alert
    • Cited By
  • Similar Articles
    • Related Articles (in Spandidos Publications)
    • Similar Articles (Google Scholar)
    • Similar Articles (PubMed)
  • Download PDF
  • Download XML
  • View XML
Article

DNA methylation is involved in the aberrant expression of miR-133b in colorectal cancer cells

Corrigendum in: /10.3892/ol.2023.13998
  • Authors:
    • Lv Lv
    • Jianyu Zhou
    • Changwei Lin
    • Gui Hu
    • Lu Yi
    • Juan Du
    • Kai Gao
    • Xiaorong Li
  • View Affiliations / Copyright

    Affiliations: Department of Emergency Medicine, The Third Xiangya Hospital, Central South University, Changsha, Hunan 410013, P.R. China, Department of General Surgery, The Third Xiangya Hospital, Central South University, Changsha, Hunan 410013, P.R. China, Department of Neurosurgery, The Third Xiangya Hospital, Central South University, Changsha, Hunan 410013, P.R. China
  • Pages: 907-912
    |
    Published online on: June 8, 2015
       https://doi.org/10.3892/ol.2015.3336
  • Expand metrics +
Metrics: Total Views: 0 (Spandidos Publications: | PMC Statistics: )
Metrics: Total PDF Downloads: 0 (Spandidos Publications: | PMC Statistics: )
Cited By (CrossRef): 0 citations Loading Articles...

This article is mentioned in:



Abstract

The dysregulation of microRNA (miRNA) expression is highly involved in cancer. Recently, a number of studies have demonstrated that the silencing of specific miRNAs is associated with DNA methylation. The muscle‑specific miRNA‑113b (miR‑133b) is markedly downregulated in human colorectal cancer (CRC) compared with healthy colon cells, and is critical in the regulation of CRC cell proliferation and apoptosis. However, the mechanism of miR‑133b downregulation in CRC has yet to be elucidated. Therefore, the aim of the present study was to determine the existence of an association between DNA methylation and miR‑133b expression in CRC cells. It was identified that miR‑133b promoter hypermethylation is upregulated in CRC tissues. To investigate the role of miR‑133b methylation in CRC cells, the survival, cell cycle and invasion were analyzed in HT‑29 and SW620 CRC cells treated with 5‑aza‑2'‑deoxycytidine (5‑Aza‑CdR), 4‑phenylbutyric acid (PBA) and 5‑Aza‑CdR/PBA. Functional analysis demonstrated that demethylation increased the expression of miR‑133b, which restored migration and apoptosis in CRC cells. Thus, these results indicate that the regulation of miR‑133b methylation may provide a novel therapeutic strategy for CRC treatment.

Introduction

Colorectal cancer (CRC) is the third most commonly diagnosed type of cancer worldwide and demonstrates a high incidence and mortality rate (1), with the number of cases continuing to rise, particularly in Asian countries (2). Despite a progressive improvement in the available treatment regimens, prolonging patient survival following surgery continues to be predominantly hindered by post-operative recurrence and metastasis. Therefore, the development of more efficient treatment regimens and greater understanding of the precise molecular mechanisms of CRC are required.

MicroRNAs (miRNAs) are conserved short sequences of non-coding RNA that are 22–24 nucleotides long and appear to be involved in a broad range of biological functions, such as cell invasion, metastasis, proliferation, angiogenesis and apoptosis (3,4). miRNAs bind to complementary target mRNA sequences and regulate the expression of target genes at the post-transcriptional level. In the last decade, an increasing number of studies have identified miRNAs as critical regulators of carcinogenesis and tumor progression, affecting tumor growth, progression, metastasis and drug resistance (5–7). As a result, an increasing number of studies have demonstrated the potential of miRNAs as novel therapeutic targets and diagnostic markers (8,9).

Despite a lack of comprehensive understanding of the mechanisms underlying miRNA dysregulation in cancer, a number of studies have demonstrated that the silencing of specific miRNAs and DNA methylation are strongly associated. For example, in cancer cells, hypermethylated CpG islands are found within the DNA sequences encoding miR-127 and miR-124a. Furthermore, miR-127 expression was restored in a human bladder cancer cell line following treatment with chromatin-modifying agents (10,11) and restoration of miR-124a expression was observed in a CRC cell line following genetic disruption of DNA methyltransferases (11). Similarly, miR-34b and miR-34c CpG island hypermethylation was observed in CRC (12,13). Thus, the silencing of miRNA expression in cancer appears to be largely mediated by DNA methylation, particularly the methylation of tumor suppressor genes.

miR-133b is known to be a muscle-specific miRNA and has been reported to be involved in the development of skeletal muscle (14). However, previous studies have supported a broader expression pattern of miR-133b in a diverse range of tissues. Furthermore, miR-133b has previously been identified as a tumor suppressor, with miR-133b deregulation observed in colorectal, head and neck, squamous cell, lung, and bladder cancers (15–17). miR-133b regulates various target genes in these cancer types, such as myeloid cell leukemia sequence 1, B-cell lymphoma-like 2, fascin homolog 1, c-Met and epidermal growth factor receptor (16,18–21). Although previous studies have demonstrated that miR-133b is significantly downregulated in CRC, the epigenetic mechanisms associated with aberrant miR-133b expression in CRC remain unclear. Therefore, the present study aimed to determine the epigenetic mechanisms involved in the regulation of miR-133b silencing in CRC cells.

Materials and methods

Cell lines and specimens

Five CRC cell lines, consisting of the HT-29, HCT-116, SW480, SW620 and LoVo cell lines (American Type Culture Collection, Rockville, MD, USA), and the healthy human colonic epithelial HCoEpiC cell line (Sciencell Research Laboratories, Carlsbad, CA, USA) were used in the present study. The cells were maintained under the recommended conditions.

In total, 6 human CRC, 2 adjacent non-tumor and 2 healthy colorectal tissue samples were obtained in March 2014 from patients that were diagnosed with colon adenocarcinoma at the Department of General Surgery, The Third Xiangya Hospital of Central South University (Changsha, Hunan, China). The specimens were obtained subsequent to surgical resection and were immediately frozen at −80°C until use. Written informed consent was obtained from all patients. The methodology used in the present study conformed to the standards set by the Declaration of Helsinki (22) and was approved by the ethics committee of The Third Xiangya Hospital of Central South University.

5-aza-2′-deoxycytidine (5-Aza-CdR) and 4-phenylbutyric acid (PBA) treatment

To evaluate the expression of miR-133b, all cell lines were treated with 3 µM of the demethylation agent 5-Aza-CdR, 3 mM histone deacetylase (HDAC) inhibitor (PBA), or 3 µM 5-Aza-CdR (Sigma-Aldrich, St. Louis, MO, USA) and 3 mM PBA (Sigma-Aldrich) for 24, 48 and 72 h. The cells were seeded 24 h prior to treatment.

RNA extraction and reverse transcription quantitative-polymerase chain reaction (RT-qPCR)

Total RNA was extracted from the CRC cell lines and HCoEpiC cells using TRIzol reagent (Invitrogen Life Technologies, Carlsbad, CA, USA) and then reverse-transcribed into complementary DNA. HmiRQP0167 primers were obtained from GeneCopoeia, Inc. (Rockville, MD, USA). The PCR protocol consisted of 35 cycles at 95°C for 3 min, 95°C for 12 sec and 58°C for 30 sec. The relative expression level of miRNA was normalized to the expression of the internal control U6 small nuclear RNA using the 2−ΔΔCt method (23).

Methylation-specific PCR (MSP)

MSP was used to analyze the methylation status of healthy and CRC tissues, as well as healthy, HT-29 and SW620 cell lines, as described previously (24). Genomic DNA was extracted from tissues or cells using the DNA Extraction Mini Kit (Qiagen GmbH, Hilden, Germany) according to the manufacturer's instructions. Extracted DNA samples underwent sodium bisulfite modification using a Universal CpGenome™ DNA Modification Kit (Merck Millipore, Darmstadt, Germany). MethPrimer software (available from www.methdb.de) was used to design the two sets of primers, as follows: methylated miR-133b forward, 3′-TTTATTTAAAATATAAAAATA GCGG-5′ and reverse, 3′-TCACCCAAACTAAAATACAAT AACG-5′; and unmethylated miR-133b forward, 3′-TTTTTA TTTAAAATATAAAAATAGTGG-5′ and reverse, 3′-ACC CAAACTAAAATACAATAACACT-5′. MSP was performed using the previously described negative controls and conditions (25).

Combined bisulfite restriction analysis (COBRA)

The methylation pattern of miR-133b was analyzed using COBRA, as previously described (26). Briefly, the process involved sodium bisulfite treatment, which was followed by PCR, restriction digestion and quantitation (27). The following primers were designed using MethPrimer software to specifically amplify the methylated sequence of miR-133b: Forward, 3′-GTATTT AGTATAAAGAAAGTAA-5′ and reverse, 3′-ACCAATACC CATAAACAACG-5′.

Cell viability assay

The cells were seeded into 96-well plates at a density of 1×103 cells/well. Following treatment, cell viability was evaluated at 0, 24, 48 and 72h using a Cell Counting Kit-8 (CCK-8; Dojindo Laboratories, Kumamoto, Japan), according to the manufacturer's instructions. Optical density was measured at a wavelength of 450 nm and all data is based on the results of three independent experiments with six replicates.

Transwell migration assay

Transwell migration chambers (BioCoat Matrigel Invasion Chamber; BD Biosciences, Franklin Lakes, NJ, USA) were used to evaluate cell invasion. A total of 2.5×105 cells/well were starved in serum-free medium (Invitrogen Life Technologies) for 24 h, then resuspended in serum-free medium. The cells were added to the upper chamber, while the lower chamber was filled with basic medium containing 10% fetal bovine serum. Following incubation for 24 h, the cells that had migrated across the membrane were fixed with 75% alcohol and stained with crystal violet (Amresco LLC, Solon, OH, USA) for 20 min. Migrated cells were then counted using an inverted microscope (TS100; Nikon Corporation, Tokyo, Japan). All experiments were repeated in triplicate.

Flow cytometry analysis of the cell cycle

Flow cytometry was used to analyze cell cycle distribution, as previously described (27). Briefly, 5-Aza-CdR or PBA-treated cells were fixed in ice-cold 70% ethanol and stained with propidium iodide. The cell cycle profiles were assayed using EPICS Elite ESP flow cytometry (Beckman Coulter, Inc., Brea, CA, USA) at a wavelength of 488 nm and the data were analyzed using the BD CellQuest software (BD Biosciences, San Jose, CA, USA).

Statistical analysis

Data in the present study are expressed as the mean ± standard deviation of a minimum of three independent experiments, unless otherwise stated. Analyses were conducted using SPSS software version 17.0 (SPSS, Inc., Chicago, IL, USA). An unpaired Student's t-test was used for comparisons between two groups. P<0.05 was considered to indicate a statistically significant difference.

Results

Reduced expression of miR-133b in CRC

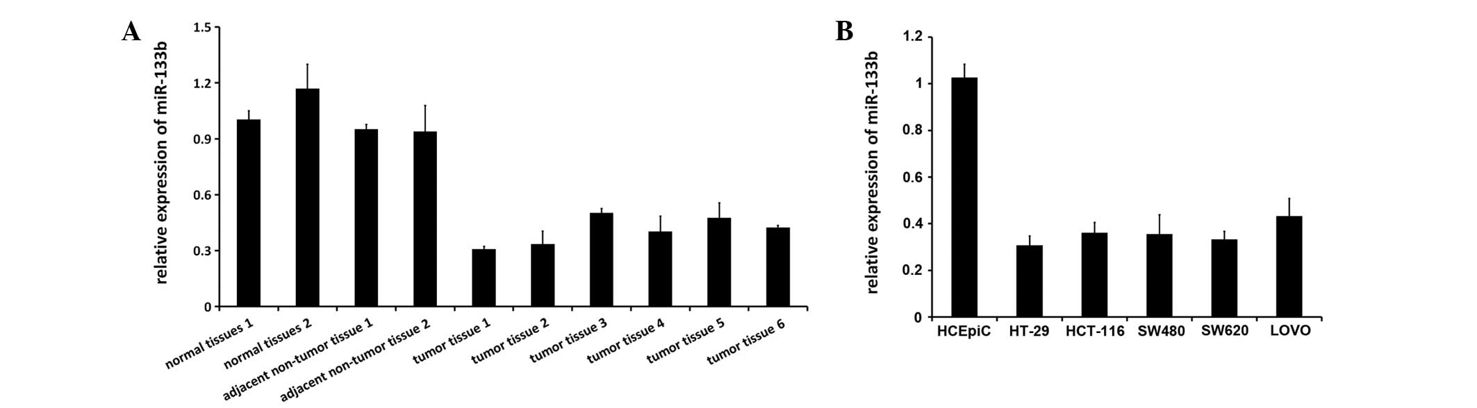
The expression of miR-133b was previously reported to be decreased in CRC tissues and two colon adenocarcinoma cell lines (21). Therefore, the present study used RT-qPCR to determine miR-133b expression levels in healthy colon tissues, human CRC tissue and adjacent non-tumor tissue, as well as five CRC cell lines, consisting of the HT-29, HCT-116, SW480, SW620 and LOVO cell lines, and the healthy HCoEpiC colon cell line. miR-133b expression was notably downregulated or silenced in all the investigated CRC tissues and cell lines (P=0.013), but miR-133b was broadly expressed in all healthy tissues and HCoEpiC cell lines (Fig. 1A and B).

Figure 1.

miR-133b expression is downregulated in CRC tissues and cell lines. (A) Reverse transcription-quantitative polymerase chain reaction identified significant downregulation in the expression levels of miR-133b in CRC tissues but not in healthy or matched adjacent non-tumor tissues. U6 small nuclear RNA was used as the endogenous control. (B) Relative expression level of miR-133b in one healthy colon cell line and five CRC cell lines. CRC, colorectal cancer; miR, microRNA.

Promoter methylation of miR-133b and restoration of miR-133b expression by demethylation

The present study investigated whether miR-133b silencing in CRC was caused by CpG methylation in the promoter region. MSP analysis revealed that miR-133b was frequently methylated in the investigated CRC tissues and in the SW260 and HT-29 colon cancer cell lines, and was strongly associated with expression levels. However, no miR-133b methylation was identified in the healthy colon tissue samples or healthy colon cell line (Fig. 2A and B). This finding was supported by results obtained from the RT-qPCR and COBRA analyses (Fig. 2C and D), which indicated that the expression of miR133b was increased in SW620 and HT-29 cells treated with Aza, PBA and Aza+PBA. CCK-8 was also used to assess the effects of demethylation agents on SW620 and HT-29 cell proliferation. It was observed that inhibition of proliferation was induced by Aza or PBA treatment, whilst a significantly higher level of inhibition was induced by Aza+PBA treatment (Fig. 2E).

Figure 2.

miR-133b methylation in CRC tissue samples and cell lines, and reactivation of miR-133b by demethylation. (A and B) Methylation-specific PCR, revealing frequent methylation of miR-133b in CRC tissue samples and the CRC HT-29 and SW60 cell lines, and healthy human colonic HCoEpiC cell lines. A1-A2, Healthy colon tissue; A3-A4, adjacent non-tumor tissue; C1-C6, human CRC tissue. (C) Reverse transcription-quantitative PCR and (D) combined bisulfite restriction analysis demonstrating that pharmacological demethylation can restore miR-133b expression in CRC cells. (E) Survival curve of CRC cells following treatment with 5-Aza/PBA, determined by using CCK-8. CRC, colorectal cancer; PCR, polymerase chain reaction; M, methylated; U, unmethylated; miR, microRNA; con, control; 5-Aza, 5-aza-2′-deoxycytidine; PBA, 4-phenylbutyric acid; OD, optical density; CCK-8, cell counting kit-8.

miR-133b demethylation affects cell cycle arrest and cell invasion in CRC

The present study investigated the effects of miR-133b expression on the cell cycle and invasive ability of the HT-29 and SW620 CRC cell lines. Representative results of cell cycle distribution in control and 5-Aza-CdR/PBA-treated cells are shown in Fig. 3A–D. Flow cytometry analysis revealed a statistically significant increase in the number of 5-Aza-CdR/PBA-treated cells in the G0/G1 phase (13% in HT-29 cells and 12% in SW620 cells) compared with the number of control cells in the G0/G1 phase (P<0.05). This was accompanied by a significant decrease in the number of 5-Aza-CdR/PBA-treated cells in the S and G2-M phase compared with the control cells (P=0.027; Fig. 3E).

Figure 3.

Effect of miR-133b demethylation on the cell cycle distribution of CRC HT-29 and SW620 cells. Representative cell cycle analysis graphs of (A) control HT-29 cells, (B) HT-29 5-Aza/PBA-treated cells, (C) control SW620 cells and (D) SW620 5-Aza/PBA-treated cells. (E) Summarized flow cytometry data. Results are presented as the mean ± standard deviation and are based on three independent experiments. *P<0.05 vs. untreated control cells, determined using a Student's t-test. miR, microRNA; 5-Aza, 5-aza-2′-deoxycytidine; PBA, 4-phenylbutyric acid.

The effect of miR-133b methylation on tumor metastasis was evaluated by performing a cell invasion assay. Analysis of the Transwell invasion chamber assay data indicated that the invasive ability of cells in the miR-133b demethylation group treated with 5-Aza-CdR/PBA was significantly inhibited compared with the control group (P<0.05; Fig. 4).

Figure 4.

miR-133b demethylation inhibits tumor cell invasion. Colorectal cancer HT-29 and SW620 cells were treated with 5-Aza, PBA and 5-Aza/PBA. The number of invading tumor cells was calculated by analyzing Transwell invasion assays, and the miR-133b demethylation and control groups were compared. *P<0.05 vs. untreated control cells. miR, microRNA; 5-Aza, 5-aza-2′-deoxycytidine; PBA, 4-phenylbutyric acid; OD, optical density.

The aforementioned results indicate that miR-133b methylation reduced CRC cell cycle progression and the invasiveness of CRC tumor cells.

Discussion

In previous years, an increasing number of studies have identified the dysregulation of miRNA expression in a broad range of cancer types (3,5,6,8,11,12). Epigenetic mechanisms were found to be the key mediators underlying the downregulation of miRNA expression. For example, miR-126 was downregulated in human cancer cells and was activated by inhibitors of DNA methylation and histone deacetylation (28). In addition, the activation of miR-512-5p by epigenetic treatment resulted in the apoptosis of gastric cancer cells (29). Similarly, miR-34b and miR-34c are novel tumor suppressors that are frequently silenced by DNA methylation in gastric cancer (12). In addition, the hypermethylation of miRNA genes that is frequently observed in CRC, as well as the association between the clinicopathological features and methylation status, provides evidence for the hypothesis that epigenetic instability is an important event in tumorigenesis, particularly in CRC. The present findings revealed miRNA methylation is involved in an epigenetic field defect and may be a target of epigenetic therapy in cancer.

Considering the high occurrence, mortality and relapse rates of CRC, there is an acute requirement for the identification of novel prognostic factors and development of therapeutic strategies. miR-133b is known to be a muscle-specific miRNA (30) and has recently been reported to act as a tumor suppressor that is dysregulated in colorectal, head and neck, squamous cell, lung, and bladder cancer (20,31). Aberrant miR-133b expression has been identified in CRC cancer tissues (24), with the overexpression of miR-133b in CRC cells observed to induce apoptosis and G1 phase cell cycle arrest (20). However, the epigenetic mechanisms associated with aberrant miR-133b expression remain unclear.

The present study identified that the expression of miR-133b was significantly decreased in CRC cells with miR-133b promoter hypermethylation, indicating that miR-133b was silenced by epigenetic mechanisms. Furthermore, inhibitors of DNA methylation and HDAC reduced the extent of DNA methylation and activated the expression of silenced miR-133b in human CRC cells. In addition, functional studies have revealed that miR-133b methylation interfered with CRC cell apoptosis, cell cycle progression and cell invasion. The results of the present study are consistent with those of previous studies which revealed that miR-133b inhibits cell growth and invasion in bladder (32), non-small-cell lung (33) and prostate (34) cancer.

In conclusion, the present study observed a high frequency of miR-133b hypermethylation in CRC cells and tissue samples, indicating that methylation of the miR-133b gene may be a useful diagnostic marker for patients with CRC. However, future in vivo studies are required to investigate the tumor-suppressive role of miR-133b in CRC.

References

1 

Jemal A, Bray F, Center MM, Ferlay J, Ward E and Forman D: Global cancer statistics. CA Cancer J Clin. 61:69–90. 2011. View Article : Google Scholar : PubMed/NCBI

2 

Sung JJ, Lau JY, Goh KL and Leung WKAsia Pacific Working Group on Colorectal Cancer: Increasing incidence of colorectal cancer in Asia: Implications for screening. Lancet Oncol. 6:871–876. 2005. View Article : Google Scholar : PubMed/NCBI

3 

Calin GA and Croce CM: MicroRNA signatures in human cancers. Nat Rev Cancer. 6:857–866. 2006. View Article : Google Scholar : PubMed/NCBI

4 

Bartel DP: MicroRNAs: Genomics, biogenesis, mechanism and function. Cell. 116:281–297. 2004. View Article : Google Scholar : PubMed/NCBI

5 

Lu J, Getz G, Miska EA, et al: MicroRNA expression profiles classify human cancers. Nature. 435:834–838. 2005. View Article : Google Scholar : PubMed/NCBI

6 

Esquela-Kerscher A and Slack FJ: Oncomirs-microRNAs with a role in cancer. Nat Rev Cancer. 6:259–269. 2006. View Article : Google Scholar : PubMed/NCBI

7 

Manikandan J, Aarthi JJ, Kumar SD and Pushparaj PN: Oncomirs: The potential role of non-coding microRNAs in understanding cancer. Bioinformation. 2:330–334. 2008. View Article : Google Scholar : PubMed/NCBI

8 

Meltzer PS: Cancer genomics: Small RNAs with big impacts. Nature. 435:745–746. 2005. View Article : Google Scholar : PubMed/NCBI

9 

Fang K, Qian F and Chen YQ: MicroRNAs as regulators in normal hematopoietic and leukemia stem cells: Current concepts and clinical implications. Curr Mol Med. 12:536–546. 2012. View Article : Google Scholar : PubMed/NCBI

10 

Saito Y, Liang G, Egger G, et al: Specific activation of microRNA-127 with downregulation of the proto-oncogene BCL6 by chromatin-modifying drugs in human cancer cells. Cancer Cell. 9:435–443. 2006. View Article : Google Scholar : PubMed/NCBI

11 

Lujambio A, Ropero S, Ballestar E, et al: Genetic unmasking of an epigenetically silenced microRNA in human cancer cells. Cancer Res. 67:1424–1429. 2007. View Article : Google Scholar : PubMed/NCBI

12 

Suzuki H, Yamamoto E, Nojima M, et al: Methylation-associated silencing of microRNA-34b/c in gastric cancer and its involvement in an epigenetic field defect. Carcinogenesis. 31:2066–2073. 2010. View Article : Google Scholar : PubMed/NCBI

13 

Toyota M, Suzuki H, Sasaki Y, et al: Epigenetic silencing of microRNA-34b/c and B-cell translocation gene 4 is associated with CpG island methylation in colorectal cancer. Cancer Res. 68:4123–4132. 2008. View Article : Google Scholar : PubMed/NCBI

14 

Koutsoulidou A, Mastroyiannopoulos NP, Furling D, Uney JB and Phylactou LA: Expression of miR-1, miR-133a, miR-133b and miR-206 increases during development of human skeletal muscle. BMC Dev Biol. 11:342011. View Article : Google Scholar : PubMed/NCBI

15 

Wu J, Yang T, Li X, et al: Alteration of serum miR-206 and miR-133b is associated with lung carcinogenesis induced by 4-(methylnitrosamino)-1-(3-pyridyl)-1-butanone. Toxicol Appl Pharmacol. 267:238–246. 2013. View Article : Google Scholar : PubMed/NCBI

16 

Yamamoto H, Kohashi K, Fujita A and Oda Y: Fascin-1 overexpression and miR-133b downregulation in the progression of gastrointestinal stromal tumor. Mod Pathol. 26:563–571. 2013. View Article : Google Scholar : PubMed/NCBI

17 

Zhao H, Li M, Li L, Yang X, Lan G and Zhang Y: MiR-133b is down-regulated in human osteosarcoma and inhibits osteosarcoma cells proliferation, migration and invasion and promotes apoptosis. PLoS One. 8:e835712013. View Article : Google Scholar : PubMed/NCBI

18 

Crawford M, Batte K, Yu L, et al: MicroRNA 133B targets pro-survival molecules MCL-1 and BCL2L2 in lung cancer. Biochem Biophys Res Commun. 388:483–489. 2009. View Article : Google Scholar : PubMed/NCBI

19 

Patron JP, Fendler A, Bild M, et al: MiR-133b targets antiapoptotic genes and enhances death receptor-induced apoptosis. PLoS One. 7:e353452012. View Article : Google Scholar : PubMed/NCBI

20 

Hu G, Chen D, Li X, Yang K, Wang H and Wu W: miR-133b regulates the MET proto-oncogene and inhibits the growth of colorectal cancer cells in vitro and in vivo. Cancer Biol Ther. 10:190–197. 2010. View Article : Google Scholar : PubMed/NCBI

21 

Xiang KM and Li XR: MiR-133b acts as a tumor suppressor and negatively regulates TBPL1 in colorectal cancer cells. Asian Pac J Cancer Prev. 15:3767–3772. 2014. View Article : Google Scholar : PubMed/NCBI

22 

General Assembly of the World Medical Association, . World Medical Association Declaration of Helsinki: Ethical principles for medical research involving human subjects. J Am Coll Dent. 81:14–18. 2014.PubMed/NCBI

23 

Izutsu N, Maesawa C, Shibazaki M, et al: Epigenetic modification is involved in aberrant expression of class III beta-tubulin, TUBB3, in ovarian cancer cells. Int J Oncol. 32:1227–1235. 2008.PubMed/NCBI

24 

Bandrés E, Cubedo E, Agirre X, et al: Identification by Real-time PCR of 13 mature microRNAs differentially expressed in colorectal cancer and non-tumoral tissues. Mol Cancer. 5:292006. View Article : Google Scholar : PubMed/NCBI

25 

Ogasawara S, Maesawa C, Yamamoto M, et al: Disruption of cell-type-specific methylation at the Maspin gene promoter is frequently involved in undifferentiated thyroid cancers. Oncogene. 23:1117–1124. 2004. View Article : Google Scholar : PubMed/NCBI

26 

Karpinski P, Szmida E, Misiak B, et al: Assessment of three epigenotypes in colorectal cancer by combined bisulfite restriction analysis. Mol Carcinog. 51:1003–1008. 2012. View Article : Google Scholar : PubMed/NCBI

27 

Xiang T, Li L, Yin X, et al: The ubiquitin peptidase UCHL1 induces G0/G1 cell cycle arrest and apoptosis through stabilizing p53 and is frequently silenced in breast cancer. PLoS One. 7:e297832012. View Article : Google Scholar : PubMed/NCBI

28 

Saito Y, Friedman JM, Chihara Y, Egger G, Chuang JC and Liang G: Epigenetic therapy upregulates the tumor suppressor microRNA-126 and its host gene EGFL7 in human cancer cells. Biochem Biophys Res Commun. 379:726–731. 2009. View Article : Google Scholar : PubMed/NCBI

29 

Saito Y, Suzuki H, Tsugawa H, et al: Chromatin remodeling at Alu repeats by epigenetic treatment activates silenced microRNA-512-5p with downregulation of Mcl-1 in human gastric cancer cells. Oncogene. 28:2738–2744. 2009. View Article : Google Scholar : PubMed/NCBI

30 

Duan FT, Qian F, Fang K, et al: miR-133b, a muscle-specific microRNA, is a novel prognostic marker that participates in the progression of human colorectal cancer via regulation of CXCR4 expression. Mol Cancer. 12:1642013. View Article : Google Scholar : PubMed/NCBI

31 

Wen D, Li S, Ji F, et al: miR-133b acts as a tumor suppressor and negatively regulates FGFR1 in gastric cancer. Tumour Biol. 34:793–803. 2013. View Article : Google Scholar : PubMed/NCBI

32 

Zhou Y, Wu D, Tao J, Qu P, Zhou Z and Hou J: MicroRNA-133 inhibits cell proliferation, migration and invasion by targeting epidermal growth factor receptor and its downstream effector proteins in bladder cancer. Scand J Urol. 47:423–432. 2013. View Article : Google Scholar : PubMed/NCBI

33 

Liu L, Shao X, Gao W, Zhang Z, Liu P, Wang R, Huang P, Yin Y and Shu Y: MicroRNA-133b inhibits the growth of non-small-cell lung cancer by targeting the epidermal growth factor receptor. FEBS J. 279:3800–3812. 2012. View Article : Google Scholar : PubMed/NCBI

34 

Tao J, Wu D, Xu B, Qian W, Li P, Lu Q, Yin C and Zhang W: microRNA-133 inhibits cell proliferation, migration and invasion in prostate cancer cells by targeting the epidermal growth factor receptor. Oncol Rep. 27:1967–1975. 2012.PubMed/NCBI

Related Articles

  • Abstract
  • View
  • Download
  • Twitter
Copy and paste a formatted citation
Spandidos Publications style
Lv L, Zhou J, Lin C, Hu G, Yi L, Du J, Gao K and Li X: DNA methylation is involved in the aberrant expression of miR-133b in colorectal cancer cells Corrigendum in /10.3892/ol.2023.13998. Oncol Lett 10: 907-912, 2015.
APA
Lv, L., Zhou, J., Lin, C., Hu, G., Yi, L., Du, J. ... Li, X. (2015). DNA methylation is involved in the aberrant expression of miR-133b in colorectal cancer cells Corrigendum in /10.3892/ol.2023.13998. Oncology Letters, 10, 907-912. https://doi.org/10.3892/ol.2015.3336
MLA
Lv, L., Zhou, J., Lin, C., Hu, G., Yi, L., Du, J., Gao, K., Li, X."DNA methylation is involved in the aberrant expression of miR-133b in colorectal cancer cells Corrigendum in /10.3892/ol.2023.13998". Oncology Letters 10.2 (2015): 907-912.
Chicago
Lv, L., Zhou, J., Lin, C., Hu, G., Yi, L., Du, J., Gao, K., Li, X."DNA methylation is involved in the aberrant expression of miR-133b in colorectal cancer cells Corrigendum in /10.3892/ol.2023.13998". Oncology Letters 10, no. 2 (2015): 907-912. https://doi.org/10.3892/ol.2015.3336
Copy and paste a formatted citation
x
Spandidos Publications style
Lv L, Zhou J, Lin C, Hu G, Yi L, Du J, Gao K and Li X: DNA methylation is involved in the aberrant expression of miR-133b in colorectal cancer cells Corrigendum in /10.3892/ol.2023.13998. Oncol Lett 10: 907-912, 2015.
APA
Lv, L., Zhou, J., Lin, C., Hu, G., Yi, L., Du, J. ... Li, X. (2015). DNA methylation is involved in the aberrant expression of miR-133b in colorectal cancer cells Corrigendum in /10.3892/ol.2023.13998. Oncology Letters, 10, 907-912. https://doi.org/10.3892/ol.2015.3336
MLA
Lv, L., Zhou, J., Lin, C., Hu, G., Yi, L., Du, J., Gao, K., Li, X."DNA methylation is involved in the aberrant expression of miR-133b in colorectal cancer cells Corrigendum in /10.3892/ol.2023.13998". Oncology Letters 10.2 (2015): 907-912.
Chicago
Lv, L., Zhou, J., Lin, C., Hu, G., Yi, L., Du, J., Gao, K., Li, X."DNA methylation is involved in the aberrant expression of miR-133b in colorectal cancer cells Corrigendum in /10.3892/ol.2023.13998". Oncology Letters 10, no. 2 (2015): 907-912. https://doi.org/10.3892/ol.2015.3336
Follow us
  • Twitter
  • LinkedIn
  • Facebook
About
  • Spandidos Publications
  • Careers
  • Cookie Policy
  • Privacy Policy
How can we help?
  • Help
  • Live Chat
  • Contact
  • Email to our Support Team