Spandidos Publications Logo
  • About
    • About Spandidos
    • Aims and Scopes
    • Abstracting and Indexing
    • Editorial Policies
    • Reprints and Permissions
    • Job Opportunities
    • Terms and Conditions
    • Contact
  • Journals
    • All Journals
    • Oncology Letters
      • Oncology Letters
      • Information for Authors
      • Editorial Policies
      • Editorial Board
      • Aims and Scope
      • Abstracting and Indexing
      • Bibliographic Information
      • Archive
    • International Journal of Oncology
      • International Journal of Oncology
      • Information for Authors
      • Editorial Policies
      • Editorial Board
      • Aims and Scope
      • Abstracting and Indexing
      • Bibliographic Information
      • Archive
    • Molecular and Clinical Oncology
      • Molecular and Clinical Oncology
      • Information for Authors
      • Editorial Policies
      • Editorial Board
      • Aims and Scope
      • Abstracting and Indexing
      • Bibliographic Information
      • Archive
    • Experimental and Therapeutic Medicine
      • Experimental and Therapeutic Medicine
      • Information for Authors
      • Editorial Policies
      • Editorial Board
      • Aims and Scope
      • Abstracting and Indexing
      • Bibliographic Information
      • Archive
    • International Journal of Molecular Medicine
      • International Journal of Molecular Medicine
      • Information for Authors
      • Editorial Policies
      • Editorial Board
      • Aims and Scope
      • Abstracting and Indexing
      • Bibliographic Information
      • Archive
    • Biomedical Reports
      • Biomedical Reports
      • Information for Authors
      • Editorial Policies
      • Editorial Board
      • Aims and Scope
      • Abstracting and Indexing
      • Bibliographic Information
      • Archive
    • Oncology Reports
      • Oncology Reports
      • Information for Authors
      • Editorial Policies
      • Editorial Board
      • Aims and Scope
      • Abstracting and Indexing
      • Bibliographic Information
      • Archive
    • Molecular Medicine Reports
      • Molecular Medicine Reports
      • Information for Authors
      • Editorial Policies
      • Editorial Board
      • Aims and Scope
      • Abstracting and Indexing
      • Bibliographic Information
      • Archive
    • World Academy of Sciences Journal
      • World Academy of Sciences Journal
      • Information for Authors
      • Editorial Policies
      • Editorial Board
      • Aims and Scope
      • Abstracting and Indexing
      • Bibliographic Information
      • Archive
    • International Journal of Functional Nutrition
      • International Journal of Functional Nutrition
      • Information for Authors
      • Editorial Policies
      • Editorial Board
      • Aims and Scope
      • Abstracting and Indexing
      • Bibliographic Information
      • Archive
    • International Journal of Epigenetics
      • International Journal of Epigenetics
      • Information for Authors
      • Editorial Policies
      • Editorial Board
      • Aims and Scope
      • Abstracting and Indexing
      • Bibliographic Information
      • Archive
    • Medicine International
      • Medicine International
      • Information for Authors
      • Editorial Policies
      • Editorial Board
      • Aims and Scope
      • Abstracting and Indexing
      • Bibliographic Information
      • Archive
  • Articles
  • Information
    • Information for Authors
    • Information for Reviewers
    • Information for Librarians
    • Information for Advertisers
    • Conferences
  • Language Editing
Spandidos Publications Logo
  • About
    • About Spandidos
    • Aims and Scopes
    • Abstracting and Indexing
    • Editorial Policies
    • Reprints and Permissions
    • Job Opportunities
    • Terms and Conditions
    • Contact
  • Journals
    • All Journals
    • Biomedical Reports
      • Information for Authors
      • Editorial Policies
      • Editorial Board
      • Aims and Scope
      • Abstracting and Indexing
      • Bibliographic Information
      • Archive
    • Experimental and Therapeutic Medicine
      • Information for Authors
      • Editorial Policies
      • Editorial Board
      • Aims and Scope
      • Abstracting and Indexing
      • Bibliographic Information
      • Archive
    • International Journal of Epigenetics
      • Information for Authors
      • Editorial Policies
      • Editorial Board
      • Aims and Scope
      • Abstracting and Indexing
      • Bibliographic Information
      • Archive
    • International Journal of Functional Nutrition
      • Information for Authors
      • Editorial Policies
      • Editorial Board
      • Aims and Scope
      • Abstracting and Indexing
      • Bibliographic Information
      • Archive
    • International Journal of Molecular Medicine
      • Information for Authors
      • Editorial Policies
      • Editorial Board
      • Aims and Scope
      • Abstracting and Indexing
      • Bibliographic Information
      • Archive
    • International Journal of Oncology
      • Information for Authors
      • Editorial Policies
      • Editorial Board
      • Aims and Scope
      • Abstracting and Indexing
      • Bibliographic Information
      • Archive
    • Medicine International
      • Information for Authors
      • Editorial Policies
      • Editorial Board
      • Aims and Scope
      • Abstracting and Indexing
      • Bibliographic Information
      • Archive
    • Molecular and Clinical Oncology
      • Information for Authors
      • Editorial Policies
      • Editorial Board
      • Aims and Scope
      • Abstracting and Indexing
      • Bibliographic Information
      • Archive
    • Molecular Medicine Reports
      • Information for Authors
      • Editorial Policies
      • Editorial Board
      • Aims and Scope
      • Abstracting and Indexing
      • Bibliographic Information
      • Archive
    • Oncology Letters
      • Information for Authors
      • Editorial Policies
      • Editorial Board
      • Aims and Scope
      • Abstracting and Indexing
      • Bibliographic Information
      • Archive
    • Oncology Reports
      • Information for Authors
      • Editorial Policies
      • Editorial Board
      • Aims and Scope
      • Abstracting and Indexing
      • Bibliographic Information
      • Archive
    • World Academy of Sciences Journal
      • Information for Authors
      • Editorial Policies
      • Editorial Board
      • Aims and Scope
      • Abstracting and Indexing
      • Bibliographic Information
      • Archive
  • Articles
  • Information
    • For Authors
    • For Reviewers
    • For Librarians
    • For Advertisers
    • Conferences
  • Language Editing
Login Register Submit
  • This site uses cookies
  • You can change your cookie settings at any time by following the instructions in our Cookie Policy. To find out more, you may read our Privacy Policy.

    I agree
Search articles by DOI, keyword, author or affiliation
Search
Advanced Search
presentation
Experimental and Therapeutic Medicine
Join Editorial Board Propose a Special Issue
Print ISSN: 1792-0981 Online ISSN: 1792-1015
Journal Cover
September-October 2010 Volume 1 Issue 5

Full Size Image

Sign up for eToc alerts
Recommend to Library

Journals

International Journal of Molecular Medicine

International Journal of Molecular Medicine

International Journal of Molecular Medicine is an international journal devoted to molecular mechanisms of human disease.

International Journal of Oncology

International Journal of Oncology

International Journal of Oncology is an international journal devoted to oncology research and cancer treatment.

Molecular Medicine Reports

Molecular Medicine Reports

Covers molecular medicine topics such as pharmacology, pathology, genetics, neuroscience, infectious diseases, molecular cardiology, and molecular surgery.

Oncology Reports

Oncology Reports

Oncology Reports is an international journal devoted to fundamental and applied research in Oncology.

Experimental and Therapeutic Medicine

Experimental and Therapeutic Medicine

Experimental and Therapeutic Medicine is an international journal devoted to laboratory and clinical medicine.

Oncology Letters

Oncology Letters

Oncology Letters is an international journal devoted to Experimental and Clinical Oncology.

Biomedical Reports

Biomedical Reports

Explores a wide range of biological and medical fields, including pharmacology, genetics, microbiology, neuroscience, and molecular cardiology.

Molecular and Clinical Oncology

Molecular and Clinical Oncology

International journal addressing all aspects of oncology research, from tumorigenesis and oncogenes to chemotherapy and metastasis.

World Academy of Sciences Journal

World Academy of Sciences Journal

Multidisciplinary open-access journal spanning biochemistry, genetics, neuroscience, environmental health, and synthetic biology.

International Journal of Functional Nutrition

International Journal of Functional Nutrition

Open-access journal combining biochemistry, pharmacology, immunology, and genetics to advance health through functional nutrition.

International Journal of Epigenetics

International Journal of Epigenetics

Publishes open-access research on using epigenetics to advance understanding and treatment of human disease.

Medicine International

Medicine International

An International Open Access Journal Devoted to General Medicine.

Journal Cover
September-October 2010 Volume 1 Issue 5

Full Size Image

Sign up for eToc alerts
Recommend to Library

  • Article
  • Citations
    • Cite This Article
    • Download Citation
    • Create Citation Alert
    • Remove Citation Alert
    • Cited By
  • Similar Articles
    • Related Articles (in Spandidos Publications)
    • Similar Articles (Google Scholar)
    • Similar Articles (PubMed)
  • Download PDF
  • Download XML
  • View XML
Article

Evaluation of the effects of a supplementary diet containing chicken comb extract on symptoms and cartilage metabolism in patients with knee osteoarthritis

  • Authors:
    • Isao Nagaoka
    • Kunihiro Nabeshima
    • Saya Murakami
    • Tetsuro Yamamoto
    • Keita Watanabe
    • Akihito Tomonaga
    • Hideyo Yamaguchi
  • View Affiliations / Copyright

    Affiliations: Department of Host Defense and Biochemical Research, Juntendo University, Graduate School of Medicine, Tokyo 113-8421, Japan, Everlife Co., Ltd., Fukuoka, Japan, Total Technological Consultant Co., Ltd., Tokyo, Japan, Kitashinyokohama Orthopedic Surgery, Kanagawa, Japan, Tana Orthopedic Surgery, Kanagawa, Japan
  • Pages: 817-827
    |
    Published online on: July 12, 2010
       https://doi.org/10.3892/etm.2010.114
  • Expand metrics +
Metrics: Total Views: 0 (Spandidos Publications: | PMC Statistics: )
Metrics: Total PDF Downloads: 0 (Spandidos Publications: | PMC Statistics: )
Cited By (CrossRef): 0 citations Loading Articles...

This article is mentioned in:



Abstract

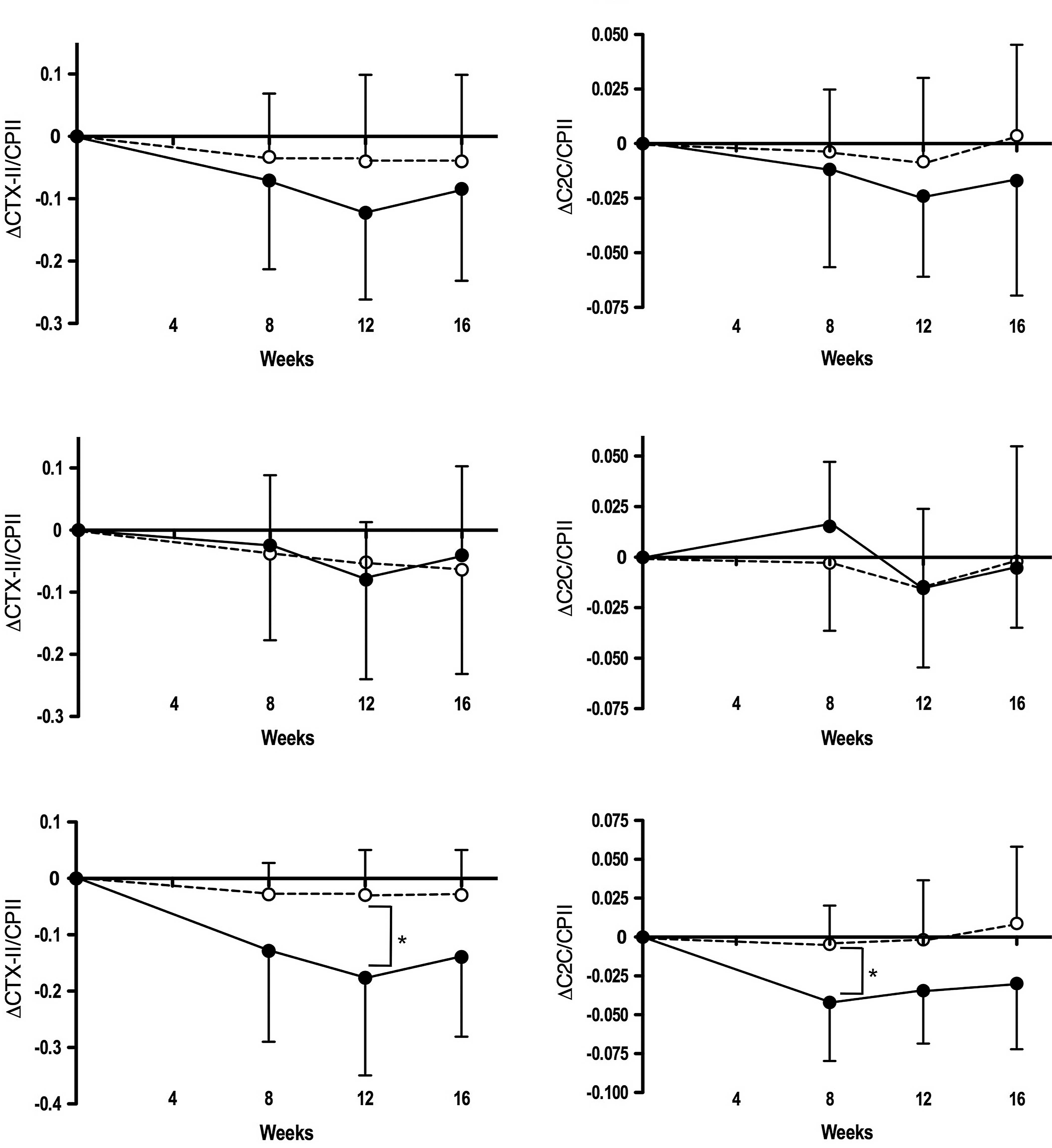
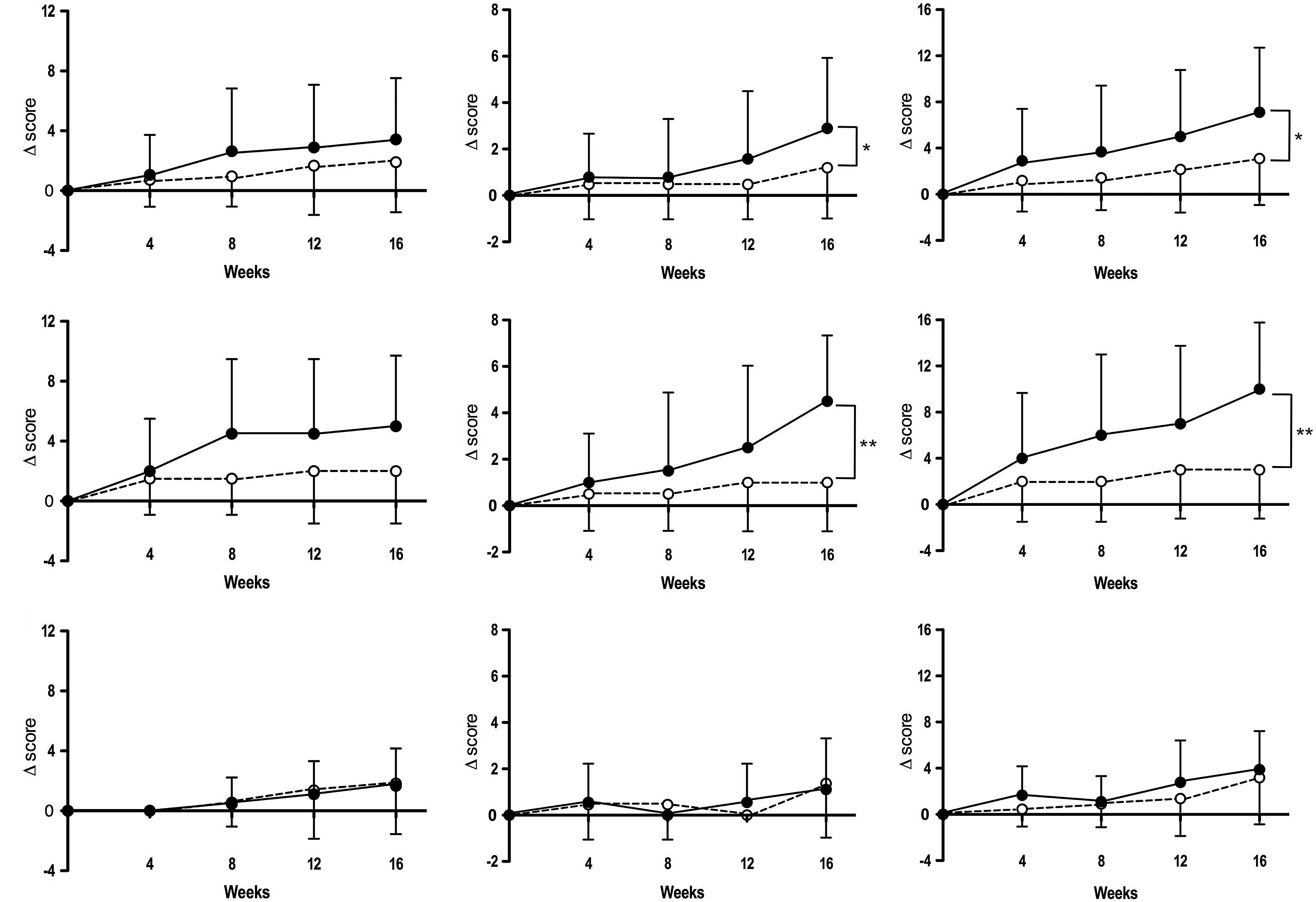
We aimed to investigate whether a supplementary diet containing chicken comb extract (CCE) rich in hyaluronic acid (HA) has an effect on pain and other symptoms, as well as cartilage type II collagen (CII) metabolism in patients with knee osteoarthritis (OA). A randomized double-blind placebo-controlled study was conducted in 43 subjects with knee OA (Kellgren/Lawrence grade, mainly 1-2) comprising 22 patients receiving concurrent exercise therapy (ET) and 21 without ET (referred as ET-receivers and ET-unreceivers, respectively). Subjects were randomized to a CCE-containing diet (active diet) group administered a dose of 1,800 mg/day (containing 630 mg of CCE and approximately 60 mg of HA) and a placebo group, and the intervention was continued for 16 weeks. Symptomatic efficacy was evaluated based on the Japanese Orthopaedic Association clinical trials response criteria (JOA response criteria) and visual analog scales (VAS) before (baseline) and during the intervention. To further examine its effect on CII metabolism, the levels of two degradation biomarkers (CTX-II and C2C) and one synthesis biomarker (CPII) were measured using urine or serum samples. Nineteen subjects (10 ET-receivers and 9 ET-unreceivers) in the active diet group and 21 subjects (10 ET-receivers and 11 ET-unreceivers) in the placebo group were finally included in the study. Compared to the baseline, subscale scores of the JOA response criteria, i.e., ‘pain/walking function’, ‘pain/step-up and -down function’ and ‘aggregate total symptoms’ were more intensely improved in the active diet group than in the placebo group. Moreover, subgroup analyses of ET-receivers and ET-unreceivers indicated that significant improvements were restricted to ET-receivers of the active diet group. Furthermore, VAS assessment indicated that the ‘pain on pressing’ subscale was significantly improved in ET-receivers of the active diet group. In addition, analysis of CII biomarkers revealed that serum C2C and CPII levels, but not the urinary CTX-II level, were increased in the active diet group. Notably, both urinary CTX-II/serum CPII and serum C2C/serum CPII ratios were reduced in the active diet group (particularly ET-unreceivers), suggesting that CII synthesis was relatively increased compared to CII degradation in the active diet group. Finally, no diet-related side effects were observed. The CCE-containing diet is likely to be effective in relieving symptoms in patients with knee OA. In addition, it has the potential to improve the balance of CII degradation/synthesis in knee OA.
View Figures

Figure 1

Figure 2

Figure 3

View References

1. 

Gupta S, Hawker GA, Laporte A, Croxford R and Coyte PC: The economic burden of disabling hip and knee osteoarthritis (OA) from the perspective of individuals living with this condition. Rheumatology. 44:1531–1537. 2005. View Article : Google Scholar : PubMed/NCBI

2. 

Yoshimura N, Oka H, Muraki S, et al: Epidemiology of osteoarthritis in Japan. J Jpn Orthop Assoc (In Japanese). 81:17–21. 2007.

3. 

Budewalter JA, Stanish WD, Rosier RN, Schenck RC Jr, Dennis DA and Coutts RD: The increasing need for nonoperative treatment of patients with osteoarthritis. Clin Orthop. 385:36–45. 2001. View Article : Google Scholar : PubMed/NCBI

4. 

Rashad S, Revell P, Hemmingway A, Low F, Rainsford K and Walker F: Effect of non-steroidal anti-inflammatory drugs on the course of osteoarthritis. Lancet. 2:519–522. 1989. View Article : Google Scholar : PubMed/NCBI

5. 

Clayton JJ: Nutraceuticals in the management of osteoarthritis. Orthopedics. 30:624–629. 2007.PubMed/NCBI

6. 

Verbruggen G: Chondroprotective drugs in degenerative joint diseases. Rheumatology. 45:129–138. 2005. View Article : Google Scholar

7. 

Goldberg VM and Buckwalter JA: Hyaluronans in the treatment of osteoarthritis of the knee: evidence for disease-modifying activity. Osteoarthritis Cartilage. 13:216–224. 2005. View Article : Google Scholar : PubMed/NCBI

8. 

Petrella RT: Hyaluronic acid for the treatment of knee osteoarthritis: long-term outcomes from a naturalistic primary care experience. Am J Phys Med Rehabil. 84:278–283. 2005. View Article : Google Scholar : PubMed/NCBI

9. 

Sun SF, Hsu CW, Hwang CW, Hsu PT, Wang JL, Tsai SL, Chou YJ, Hsu YW, Huang CM and Wang YL: Hyaluronate improves pain, physical function and balance in the geriatric, osteoarthritic knee: a 6-month follow-up study using clinical tests. Osteoarthritis Cartilage. 14:696–701. 2006. View Article : Google Scholar

10. 

Hunter DJ and Hellio Le Graverand-Gastineau M-P: How close are we to having structure-modifying drugs available? Rheum Dis Clin N Am. 34:789–802. 2008. View Article : Google Scholar : PubMed/NCBI

11. 

Gossec L and Dougados M: Intra-articular treatments in osteoarthritis: from the symptomatic to the structure modifying. Ann Rheum Dis. 63:478–482. 2004. View Article : Google Scholar : PubMed/NCBI

12. 

Patti AM, Gabriele A, Vulcano A, Ramieri MT and Della Rocca C: Effect of hyaluronic acid on human chondrocytes cell lines from articular cartilage. Tissue Cell. 33:294–300. 2001. View Article : Google Scholar : PubMed/NCBI

13. 

Akmal M, Siingh A, Anand A, Kesani A, Aslam N, Goodship A and Bentley G: The effects of hyaluronic acid on articular chondrocytes. J Bone Joint Surg Br. 87:1143–1149. 2005. View Article : Google Scholar : PubMed/NCBI

14. 

Adams ME, Lussier AJ and Peyron JG: A risk-benefit assessment of injections of hyaluronan and its derivatives in the treatment of knee osteoarthritis. Drug Saf. 23:115–130. 2000. View Article : Google Scholar : PubMed/NCBI

15. 

Huang SL, Ling PX and Zhang TM: Oral absorption of hyaluronic acid and phospholipids complexes in rats. World J Gastroenterol. 13:945–949. 2007. View Article : Google Scholar : PubMed/NCBI

16. 

Hatayama T, Nagano M, Yamaguchi N, Kumagai S and Ohnuki K: The effect of a supplement on knee pain and discomfort evaluated by visual analog scale (VAS): a randomized, double-blind, placebo-controlled study (in Japanese). Kenkoshien. 10:13–17. 2008.

17. 

Ravaud P, Giraudean B, Auleley GR, Drape JL, Rousselin B, Paolozzi L, Chastang C and Dougados M: Variability in knee radiographing: implication for definition of radiological progression in medical knee osteoarthritis. Ann Rheum Dis. 57:624–629. 1998. View Article : Google Scholar : PubMed/NCBI

18. 

Vignon E, Garnero P, Delmas P, Avouac B, Bettica P, Boers M, Ehrich E, MacKillop N, Rovati L, Serni U, Spector T and Reginster JY: Recommendations for the registiation of drugs used in the treatment of osteoarthritis: an update on biochemical markers. Osteoarthritis Cartilage. 9:289–293. 2001. View Article : Google Scholar : PubMed/NCBI

19. 

Garnero P and Delmas PD: Biomarkers in osteoarthritis. Nature Clin Pract Rheumatol. 3:346–356. 2007. View Article : Google Scholar

20. 

Poole AR, Ionescu M, Fitzcharles MA and Billinghurst RC: The assessment of cartilage degradation in vivo: development of an immunoassay for the measurement of in body fluids of type II collagen cleared by collagenases. J Immunol Methods. 294:145–153. 2004. View Article : Google Scholar : PubMed/NCBI

21. 

Garnero P, Ayral X, Rousseau J-C, Christgau S, Sandell LJ, Dougados M and Delmas P: Uncoupling of type II collagen synthesis and degradation predicts progression of joint damage in patients with knee osteoarthritis. Arthritis Rheum. 46:2613–2624. 2002. View Article : Google Scholar : PubMed/NCBI

22. 

Cahue S, Sharma L, Dunlop D, Ionescu M, Song J, Lobanok T, King L and Poole AR: The ratio of type II collagen breakdown to synthesis and its relationship with the progression of knee osteoarthritis. Osteoarthritis Cartilage. 15:819–823. 2007. View Article : Google Scholar : PubMed/NCBI

23. 

Sato T and Iwaso H: An effectiveness study of hyaluronic acid [Hyabest® (J)] in the treatment of osteoarthritis of the knee on patients in the United States. J New Rem Clin. 58:249–256. 2009.

24. 

Kalman DS, Heimer M, Valdeon A, Schwartz H and Sheldon E: Effect of a natural extract of chicken combs with a high content of hyaluronic acid (Hyal-Joint®) on pain relief and quality of life in subjects with knee osteoarthritis: a pilot randomized double-blind placebo-controlled trial. Nutrition J. 7:32008. View Article : Google Scholar : PubMed/NCBI

25. 

Fransen M, McConnell S and Bell M: Exercise for osteoarthritis of the hip or knee. Cochrane Database Syst Rev (CD 004286). 2003.

26. 

Roos EM and Dahlberg L: Positive effects of moderate exercise on glycosaminoglycan content in knee cartilage: a four-month, randomized, controlled trial in patients at risk of osteoarthritis. Arthritis Rheum. 52:3507–3514. 2005. View Article : Google Scholar

27. 

Christgau S, Henrotin Y, Tankó LB, Rovati LC, Collette J, Bruyere O, Deroisy R and Reginster JY: Osteoarthritic patients with high cartilage turnover show increased responsiveness to the cartilage protecting effects of glucosamine sulfate. Clin Exp Rheumatol. 22:36–42. 2004.

28. 

Cibere J, Thorne A, Kopec JA, Singer J, Canvin J, Robinson DB, Pope J, Hong P, Grant E, Lobanok T, Ionescu M, Poole AR and Esdaile JM: Glucosamine sulfate and cartilage type II collagen degradation in patients with knee osteoarthritis. J Rheumatol. 32:896–902. 2005.PubMed/NCBI

29. 

Mazières B, Hucher M, Zaïm M and Garnero P: Effect of chondroitin sulfate in symptomatic knee osteoarthritis: a multicentre, randomised, double-blind, placebo-controlled study. Ann Rheum Dis. 66:639–645. 2007.PubMed/NCBI

30. 

Bay-Jensen AC, Andersen TL, Charni-Ben Tabassi N, Kristensen PW, Kjaersgaard-Andersen P, Sandell L, Garnero P and Delaissé JM: Biochemical markers of type II collagen breakdown and synthesis are positioned at specific sites in human osteoarthritic knee cartilage. Osteoarthritis Cartilage. 16:615–623. 2008. View Article : Google Scholar : PubMed/NCBI

Related Articles

  • Abstract
  • View
  • Download
  • Twitter
Copy and paste a formatted citation
Spandidos Publications style
Nagaoka I, Nabeshima K, Murakami S, Yamamoto T, Watanabe K, Tomonaga A and Yamaguchi H: Evaluation of the effects of a supplementary diet containing chicken comb extract on symptoms and cartilage metabolism in patients with knee osteoarthritis. Exp Ther Med 1: 817-827, 2010.
APA
Nagaoka, I., Nabeshima, K., Murakami, S., Yamamoto, T., Watanabe, K., Tomonaga, A., & Yamaguchi, H. (2010). Evaluation of the effects of a supplementary diet containing chicken comb extract on symptoms and cartilage metabolism in patients with knee osteoarthritis. Experimental and Therapeutic Medicine, 1, 817-827. https://doi.org/10.3892/etm.2010.114
MLA
Nagaoka, I., Nabeshima, K., Murakami, S., Yamamoto, T., Watanabe, K., Tomonaga, A., Yamaguchi, H."Evaluation of the effects of a supplementary diet containing chicken comb extract on symptoms and cartilage metabolism in patients with knee osteoarthritis". Experimental and Therapeutic Medicine 1.5 (2010): 817-827.
Chicago
Nagaoka, I., Nabeshima, K., Murakami, S., Yamamoto, T., Watanabe, K., Tomonaga, A., Yamaguchi, H."Evaluation of the effects of a supplementary diet containing chicken comb extract on symptoms and cartilage metabolism in patients with knee osteoarthritis". Experimental and Therapeutic Medicine 1, no. 5 (2010): 817-827. https://doi.org/10.3892/etm.2010.114
Copy and paste a formatted citation
x
Spandidos Publications style
Nagaoka I, Nabeshima K, Murakami S, Yamamoto T, Watanabe K, Tomonaga A and Yamaguchi H: Evaluation of the effects of a supplementary diet containing chicken comb extract on symptoms and cartilage metabolism in patients with knee osteoarthritis. Exp Ther Med 1: 817-827, 2010.
APA
Nagaoka, I., Nabeshima, K., Murakami, S., Yamamoto, T., Watanabe, K., Tomonaga, A., & Yamaguchi, H. (2010). Evaluation of the effects of a supplementary diet containing chicken comb extract on symptoms and cartilage metabolism in patients with knee osteoarthritis. Experimental and Therapeutic Medicine, 1, 817-827. https://doi.org/10.3892/etm.2010.114
MLA
Nagaoka, I., Nabeshima, K., Murakami, S., Yamamoto, T., Watanabe, K., Tomonaga, A., Yamaguchi, H."Evaluation of the effects of a supplementary diet containing chicken comb extract on symptoms and cartilage metabolism in patients with knee osteoarthritis". Experimental and Therapeutic Medicine 1.5 (2010): 817-827.
Chicago
Nagaoka, I., Nabeshima, K., Murakami, S., Yamamoto, T., Watanabe, K., Tomonaga, A., Yamaguchi, H."Evaluation of the effects of a supplementary diet containing chicken comb extract on symptoms and cartilage metabolism in patients with knee osteoarthritis". Experimental and Therapeutic Medicine 1, no. 5 (2010): 817-827. https://doi.org/10.3892/etm.2010.114
Follow us
  • Twitter
  • LinkedIn
  • Facebook
About
  • Spandidos Publications
  • Careers
  • Cookie Policy
  • Privacy Policy
How can we help?
  • Help
  • Live Chat
  • Contact
  • Email to our Support Team