Spandidos Publications Logo
  • About
    • About Spandidos
    • Aims and Scopes
    • Abstracting and Indexing
    • Editorial Policies
    • Reprints and Permissions
    • Job Opportunities
    • Terms and Conditions
    • Contact
  • Journals
    • All Journals
    • Oncology Letters
      • Oncology Letters
      • Information for Authors
      • Editorial Policies
      • Editorial Board
      • Aims and Scope
      • Abstracting and Indexing
      • Bibliographic Information
      • Archive
    • International Journal of Oncology
      • International Journal of Oncology
      • Information for Authors
      • Editorial Policies
      • Editorial Board
      • Aims and Scope
      • Abstracting and Indexing
      • Bibliographic Information
      • Archive
    • Molecular and Clinical Oncology
      • Molecular and Clinical Oncology
      • Information for Authors
      • Editorial Policies
      • Editorial Board
      • Aims and Scope
      • Abstracting and Indexing
      • Bibliographic Information
      • Archive
    • Experimental and Therapeutic Medicine
      • Experimental and Therapeutic Medicine
      • Information for Authors
      • Editorial Policies
      • Editorial Board
      • Aims and Scope
      • Abstracting and Indexing
      • Bibliographic Information
      • Archive
    • International Journal of Molecular Medicine
      • International Journal of Molecular Medicine
      • Information for Authors
      • Editorial Policies
      • Editorial Board
      • Aims and Scope
      • Abstracting and Indexing
      • Bibliographic Information
      • Archive
    • Biomedical Reports
      • Biomedical Reports
      • Information for Authors
      • Editorial Policies
      • Editorial Board
      • Aims and Scope
      • Abstracting and Indexing
      • Bibliographic Information
      • Archive
    • Oncology Reports
      • Oncology Reports
      • Information for Authors
      • Editorial Policies
      • Editorial Board
      • Aims and Scope
      • Abstracting and Indexing
      • Bibliographic Information
      • Archive
    • Molecular Medicine Reports
      • Molecular Medicine Reports
      • Information for Authors
      • Editorial Policies
      • Editorial Board
      • Aims and Scope
      • Abstracting and Indexing
      • Bibliographic Information
      • Archive
    • World Academy of Sciences Journal
      • World Academy of Sciences Journal
      • Information for Authors
      • Editorial Policies
      • Editorial Board
      • Aims and Scope
      • Abstracting and Indexing
      • Bibliographic Information
      • Archive
    • International Journal of Functional Nutrition
      • International Journal of Functional Nutrition
      • Information for Authors
      • Editorial Policies
      • Editorial Board
      • Aims and Scope
      • Abstracting and Indexing
      • Bibliographic Information
      • Archive
    • International Journal of Epigenetics
      • International Journal of Epigenetics
      • Information for Authors
      • Editorial Policies
      • Editorial Board
      • Aims and Scope
      • Abstracting and Indexing
      • Bibliographic Information
      • Archive
    • Medicine International
      • Medicine International
      • Information for Authors
      • Editorial Policies
      • Editorial Board
      • Aims and Scope
      • Abstracting and Indexing
      • Bibliographic Information
      • Archive
  • Articles
  • Information
    • Information for Authors
    • Information for Reviewers
    • Information for Librarians
    • Information for Advertisers
    • Conferences
  • Language Editing
Spandidos Publications Logo
  • About
    • About Spandidos
    • Aims and Scopes
    • Abstracting and Indexing
    • Editorial Policies
    • Reprints and Permissions
    • Job Opportunities
    • Terms and Conditions
    • Contact
  • Journals
    • All Journals
    • Biomedical Reports
      • Information for Authors
      • Editorial Policies
      • Editorial Board
      • Aims and Scope
      • Abstracting and Indexing
      • Bibliographic Information
      • Archive
    • Experimental and Therapeutic Medicine
      • Information for Authors
      • Editorial Policies
      • Editorial Board
      • Aims and Scope
      • Abstracting and Indexing
      • Bibliographic Information
      • Archive
    • International Journal of Epigenetics
      • Information for Authors
      • Editorial Policies
      • Editorial Board
      • Aims and Scope
      • Abstracting and Indexing
      • Bibliographic Information
      • Archive
    • International Journal of Functional Nutrition
      • Information for Authors
      • Editorial Policies
      • Editorial Board
      • Aims and Scope
      • Abstracting and Indexing
      • Bibliographic Information
      • Archive
    • International Journal of Molecular Medicine
      • Information for Authors
      • Editorial Policies
      • Editorial Board
      • Aims and Scope
      • Abstracting and Indexing
      • Bibliographic Information
      • Archive
    • International Journal of Oncology
      • Information for Authors
      • Editorial Policies
      • Editorial Board
      • Aims and Scope
      • Abstracting and Indexing
      • Bibliographic Information
      • Archive
    • Medicine International
      • Information for Authors
      • Editorial Policies
      • Editorial Board
      • Aims and Scope
      • Abstracting and Indexing
      • Bibliographic Information
      • Archive
    • Molecular and Clinical Oncology
      • Information for Authors
      • Editorial Policies
      • Editorial Board
      • Aims and Scope
      • Abstracting and Indexing
      • Bibliographic Information
      • Archive
    • Molecular Medicine Reports
      • Information for Authors
      • Editorial Policies
      • Editorial Board
      • Aims and Scope
      • Abstracting and Indexing
      • Bibliographic Information
      • Archive
    • Oncology Letters
      • Information for Authors
      • Editorial Policies
      • Editorial Board
      • Aims and Scope
      • Abstracting and Indexing
      • Bibliographic Information
      • Archive
    • Oncology Reports
      • Information for Authors
      • Editorial Policies
      • Editorial Board
      • Aims and Scope
      • Abstracting and Indexing
      • Bibliographic Information
      • Archive
    • World Academy of Sciences Journal
      • Information for Authors
      • Editorial Policies
      • Editorial Board
      • Aims and Scope
      • Abstracting and Indexing
      • Bibliographic Information
      • Archive
  • Articles
  • Information
    • For Authors
    • For Reviewers
    • For Librarians
    • For Advertisers
    • Conferences
  • Language Editing
Login Register Submit
  • This site uses cookies
  • You can change your cookie settings at any time by following the instructions in our Cookie Policy. To find out more, you may read our Privacy Policy.

    I agree
Search articles by DOI, keyword, author or affiliation
Search
Advanced Search
presentation
Experimental and Therapeutic Medicine
Join Editorial Board Propose a Special Issue
Print ISSN: 1792-0981 Online ISSN: 1792-1015
Journal Cover
April 2012 Volume 3 Issue 4

Full Size Image

Sign up for eToc alerts
Recommend to Library

Journals

International Journal of Molecular Medicine

International Journal of Molecular Medicine

International Journal of Molecular Medicine is an international journal devoted to molecular mechanisms of human disease.

International Journal of Oncology

International Journal of Oncology

International Journal of Oncology is an international journal devoted to oncology research and cancer treatment.

Molecular Medicine Reports

Molecular Medicine Reports

Covers molecular medicine topics such as pharmacology, pathology, genetics, neuroscience, infectious diseases, molecular cardiology, and molecular surgery.

Oncology Reports

Oncology Reports

Oncology Reports is an international journal devoted to fundamental and applied research in Oncology.

Experimental and Therapeutic Medicine

Experimental and Therapeutic Medicine

Experimental and Therapeutic Medicine is an international journal devoted to laboratory and clinical medicine.

Oncology Letters

Oncology Letters

Oncology Letters is an international journal devoted to Experimental and Clinical Oncology.

Biomedical Reports

Biomedical Reports

Explores a wide range of biological and medical fields, including pharmacology, genetics, microbiology, neuroscience, and molecular cardiology.

Molecular and Clinical Oncology

Molecular and Clinical Oncology

International journal addressing all aspects of oncology research, from tumorigenesis and oncogenes to chemotherapy and metastasis.

World Academy of Sciences Journal

World Academy of Sciences Journal

Multidisciplinary open-access journal spanning biochemistry, genetics, neuroscience, environmental health, and synthetic biology.

International Journal of Functional Nutrition

International Journal of Functional Nutrition

Open-access journal combining biochemistry, pharmacology, immunology, and genetics to advance health through functional nutrition.

International Journal of Epigenetics

International Journal of Epigenetics

Publishes open-access research on using epigenetics to advance understanding and treatment of human disease.

Medicine International

Medicine International

An International Open Access Journal Devoted to General Medicine.

Journal Cover
April 2012 Volume 3 Issue 4

Full Size Image

Sign up for eToc alerts
Recommend to Library

  • Article
  • Citations
    • Cite This Article
    • Download Citation
    • Create Citation Alert
    • Remove Citation Alert
    • Cited By
  • Similar Articles
    • Related Articles (in Spandidos Publications)
    • Similar Articles (Google Scholar)
    • Similar Articles (PubMed)
  • Download PDF
  • Download XML
  • View XML
Article

Global dysregulation of the chromosome 14q32 imprinted region in uterine carcinosarcoma

  • Authors:
    • Eric J. Devor
    • Jillian N. De Mik
    • Shyam Ramachandran
    • Michael J. Goodheart
    • Kimberly K. Leslie
  • View Affiliations / Copyright

    Affiliations: Department of Obstetrics and Gynecology, University of Iowa Carver College of Medicine, Iowa City, IA 52242, USA, Department of Pediatrics, University of Iowa Carver College of Medicine, Iowa City, IA 52242, USA
  • Pages: 677-682
    |
    Published online on: January 25, 2012
       https://doi.org/10.3892/etm.2012.458
  • Expand metrics +
Metrics: Total Views: 0 (Spandidos Publications: | PMC Statistics: )
Metrics: Total PDF Downloads: 0 (Spandidos Publications: | PMC Statistics: )
Cited By (CrossRef): 0 citations Loading Articles...

This article is mentioned in:



Abstract

Uterine carcinosarcoma (UCS) is a rare but very aggressive cancer of the female reproductive tract with an extremely poor prognosis. With the goal of understanding the role of microRNA (miRNA) dysregulation in these tumors, we profiled the expression of 667 human miRNAs in a panel of eight UCS patients and five benign control primary tissue samples. These expression profiles revealed two important characteristics of UCS. First, compared with the two most common uterine cancers, endometrial endometrioid adenocarcinoma and endometrial serous adenocarcinoma, UCS samples display a virtually unique pattern of miRNA dysregulation with an overlap of only 5% among the three tumor types. In addition, nearly one-third of the miRNAs significantly dysregulated in UCS tissues compared with benign endometrium (32 of 114) lie in a single small (250-kb) imprinted region of chromosome 14q32. These data suggest that the presence of such a global, region-specific disruption substantially contributes to the unique histology and poor outcome of this type of cancer.

Introduction

Uterine carcinosarcoma (UCS), also known as malignant mixed Müllerian tumor (MMMT), is a rare and aggressive neoplasia characterized histologically by both carcinomatous/epithelial and sarcomatous/mesenchymal elements (1). These tumors are generally thought to account for 3–7% of uterine cancers (2). In general, UCSs present in the late seventh decade of life, are quite advanced and have a very poor prognosis due to the aggressive nature of the tumors (3). An epidemiological study revealed that UCS and endometrial carcinoma share a similar risk factor profile including obesity and unopposed estrogen exposure (4). Moreover, the behavior of UCS more closely resembles that of the highly aggressive endometrial carcinomas (e.g. serous adenocarcinomas) than that of other uterine sarcomas (5,6). For these reasons, the 2009 revised FIGO staging for uterine sarcomas recommends that UCS be staged as a carcinoma of the endometrium (1). Collectively, these clinical data reflect a need to better understand the molecular characteristics of UCS, particularly the similarities and differences with other endometrial carcinomas.

The most contentious aspect of UCS in the past has been the origin of the tumor itself. Certain investigators have argued that UCS tumors are actually two independent tumors (the collision model), while others contend that UCS begins as a single tumor that differentiates into carcinomatous and sarcomatous elements (the monoclonal model). While the collision model has not been completely excluded, an increasing number of molecular studies support the monoclonal model. For example, patterns of X-inactivation in most UCSs are identical in the epithelial and mesenchymal components (7,8). Similar findings have been reported for loss of heterozygosity (LOH), the tumor suppressor TP53, the oncogene KRAS and microsatellite instability (MSI) (8–11). Thus, the emerging consensus is that the majority of UCSs are monoclonal.

One aspect of UCS that has received little attention to date is the pattern of microRNA (miRNA) expression in these tumors compared either with benign endometrium or with other endometrial cancers. miRNAs are small (21 to 23 nt) regulatory RNAs whose known role in oncogenesis and cancer progression is rapidly expanding (12,13). We determined the expression of 667 miRNAs in a panel of eight UCS tissue samples and compared the expression patterns with a panel of five benign endometrium, four endometrial endometrioid adenocarcinoma and four endometrial serous adenocarcinoma tissue samples. We found that the expression of 114 miRNAs was significantly dysregulated (106 overexpressed and eight underexpressed) as compared with benign endometrium, but only nine of these miRNAs were found to overlap with those significantly dysregulated in endometrial adenocarcinomas. We also found that, among the 105 significantly dysregulated miRNAs that do not overlap with the adenocarcinomas, nearly one-third (32 miRNAs) lie in the 250-kb imprinted region in chromosome 14q32. Moreover, all but three of the 61 miRNAs in the region whose expression we measured showed at least two-fold overexpression as compared with benign endometrium. Global dysregulation of this region in UCS is further evidenced by the altered expression of the reciprocally imprinted δ-like homolog 1 (Drosophila) (DKL1)/non-coding RNA locus maternally expressed 3 (GTL2) (also known as MEG3) locus that also lies in the same chromosome 14q32 imprinted region (14,15). The dysregulation of expression of such a large number of miRNAs in such a small region suggests the possibility of the disruption of a single regulatory factor, particularly in view of the evidence that the entire region is imprinted.

Materials and methods

Carcinosarcomas and benign endometrium

Primary carcinosarcoma tissues (n=8) and samples of benign endometrium (n=5) were obtained from patients undergoing surgery in the Gynecologic Oncology Division of the Department of Obstetrics and Gynecology at the University of Iowa Hospitals and Clinics. The study was approved by the Institutional Review Board and informed consent was obtained from all patients. All carcinoma patients presented as grade 3 in stages IB to IIIC. Benign endometrium was obtained from post-menopausal patients who were cancer-free. All tissue specimens were snap-frozen and stored at −80°C following histological evaluation.

RNA purification

Tissue samples were transitioned from −80 to −20°C following perfusion in RNAlater ICE (Ambion, Life Technologies) according to the supplier's instructions. Total RNA was extracted from homogenized tissue using the miRvana miRNA isolation kit (Ambion, Life Technologies). RNA yield and quality were assessed on a NanoDrop M-1000 spectrophotometer and an Agilent 2100 Bioanalyzer. An RNA quality cut-off value at RIN ≥7.0 was adhered to and RNAs meeting that cut-off value were standardized to 200 ng/μl (NanoDrop confirmed) for all subsequent analyses.

qPCR assays

miRNA expression levels were determined on miRNA TaqMan Low Density Arrays (TLDA; Applied Biosystems, Life Technologies). The A-set (v. 2.0, 377 miRNAs) and the B-set (v. 2.0, 290 miRNAs) TLDA cards were used for these assays. Reverse transcription of 600 ng of total RNA was carried out for each tissue and TLDA card using the TaqMan miRNA reverse transcription kit (Applied Biosystems, Life Technologies) and either the Human A-pool (v. 2.1) or Human B-pool (v. 2.0) Megaplex RT primers (Applied Biosystems, Life Technologies).

All 26 TLDA cards were processed on an Applied Biosystems Model 7900 Genetic Analyzer and the resulting data analyzed using Applied Biosystems StatMiner software. The expression of all 667 miRNAs in all samples was normalized against the expression of the RNU48 endogenous control RNA. Comparison of individual, normalized miRNA expression levels was performed using the ΔΔCt method where fold change between carcinosarcoma and benign endometrium is given as 2−ΔΔCt for each miRNA (16). Statistical significance of the fold change estimates were assessed using two-tailed t-tests with unequal variances and potential false discovery was adjusted via Bonferroni correction of the p-values. A p-value of ≤0.05 was considered to indicate a statistically significant difference.

mRNA expression assays

Expression of the reciprocally imprinted DKL1/GTL2 locus was examined using 500 ng of RNA from each tissue using Applied Biosystems (Life Technologies) gene-specific TaqMan Assays. RNAs were reverse-transcribed with random hexamers using the Applied Biosystems (Life Technologies) High Capacity cDNA Reverse Transcription Kit. Expression differences between carcinosarcomas and benign endometrium were calculated using the ΔΔCt method as above. The expressions of DLK1 and GTL2 were normalized against 18S rRNA prior to analysis.

Bisulfite sequencing

To assess methylation status, bisulfite sequencing was performed on the differentially methylated region (DMR) lying between DLK1 and GTL2 in the carcinosarcomas. DNA was purified from tumor tissue and 2 μg aliquots were bisulfite converted using the EZ DNA Methylation-Direct Kit (Zymo Research) according to the manufacturer's instructions. The DKL1/GTL2 DMR was then amplified from converted DNA using the following primer pair, DMRFOR: 5′-GTGGATTTGTGAGAAATGATTTTGT-3′ and DMRREV: 5′-CCATTATAACCAATTACAATACCAC-3′ as specified by Guens et al (15). Amplicons were cloned into pGEM T-EASY (Promega), multiple colonies were selected for each tumor and DNA was prepared using the QIAprep Spin Miniprep Kit (Qiagen). These DNAs were then sequenced in both directions on an Applied Biosystems Model 3730xl DNA Sequencer using vector M13 primers.

Results

miRNA expression

The results of the TLDA array comparisons of the eight UCS samples with the five benign endometrium samples are presented in Table I. A total of 114 miRNAs were significantly altered in the UCSs versus benign endometrium after the p-values were adjusted by Bonferroni correction to reduce the false discovery rate (FDR) (17). The majority of these differences are in the direction of overexpression among the UCSs (n=106) as opposed to underexpression among the UCSs (n=8). A number of miRNAs, including miR-431, miR-888 and miR-206, are very highly expressed in UCS tissues as compared with benign samples.

Table I.

Fold change and adjusted p-values of the 114 microRNAs significantly dysregulated in UCSs compared with benign endometrium.

Table I.

Fold change and adjusted p-values of the 114 microRNAs significantly dysregulated in UCSs compared with benign endometrium.

MicroRNAFold changeAdjusted p-valueMicroRNAFold changeAdjusted p-valueMicroRNAFold changeAdjusted p-value
Underexpressed
  miR-29c−10.60.009miR-143−11.70.009miR-145−8.40.02
  miR-195*−7.10.03let-7c−7.50.03miR-133α−8.20.04
  let-7b−6.20.04miR-29a−6.00.04
Overexpressed
  miR-4311525.30.0001miR-888132.70.0001miR-216b91.50.0001
  miR-54365.80.0002miR-206135.10.0003miR-330-5p46.90.0003
  miR-15b*56.40.0003miR-15330.10.0004miR-18343.70.0004
  miR-33b30.20.0004 let-7f-1*79.40.0004miR-43270.20.0007
  miR-54132.90.0008 miR-369-3p67.90.0008 miR-20b*92.90.001
  miR-62220.90.001miR-20526.40.002miR-769-3p86.70.002
  miR-43336.10.002miR-18223.30.003 miR-183*26.40.003
  miR-65620.30.004miR-60523.00.004 miR-493*31.20.004
  miR-376a*33.00.004 miR-516α-3p17.10.005miR-296-3p18.10.005
  miR-615-3p53.80.006miR-551a43.70.006 miR-192*17.50.006
  miR-376b32.60.006miR-892a58.30.006 miR-130b*15.80.006
  miR-488*38.70.006 miR-154*32.90.006miR-37746.80.006
  miR-88915.40.007miR-49640.90.007miR-66832.80.007
  miR-541*35.70.007 miR-18a*12.40.008miR-49315.40.008
  miR-518d-3p14.20.008 miR-323-3p13.40.009 miR-155*28.90.009
  miR-713.30.009miR-64125.80.01 miR-135b*17.50.01
  miR-223*12.60.01 miR-654-5p17.30.01miR-92226.70.01
  miR-21714.10.01 miR-551b*9.70.01miR-53913.30.01
  miR-147b12.80.01miR-499-5p13.70.01miR-38218.40.01
  miR-88710.70.01 miR-195*21.10.02miR-63911.00.02
  miR-37322.50.02miR-10710.00.02miR-582-3p10.20.02
  miR-891a14.60.02 miR-409-5p10.50.02 miR-138-1*9.60.02
  miR-2108.10.02 let-7f-2*10.10.02 let-7a*13.50.02
  miR-65110.70.02miR-1989.80.02miR-3468.20.02
  miR-146a*17.50.02miR-93712.00.02miR-450b-3p16.60.02
  miR-5059.40.02miR-491-3p18.00.02miR-501-3p13.40.02
  miR-369-5p8.50.02miR-6307.60.02 miR-181c*8.30.03
  miR-18b8.40.03miR-6437.60.03miR-50615.70.03
  miR-94316.10.03miR-5707.70.03miR-188-3p14.00.03
  miR-299-3p8.70.03miR-9418.70.03miR-5848.50.03
  miR-545*7.90.03miR-6388.00.04 miR-409-3p9.60.04
  miR-875-5p7.50.04 miR-485-3p8.90.04 miR-379*7.50.04
  miR-5617.20.04miR-6617.20.04 miR-432*7.10.04
  miR-2237.00.04 miR-487b8.60.05miR-301b8.20.05
  miR-127-5p6.70.05 miR-654-3p7.40.05 miR-376a7.20.05
  miR-3726.80.05

[i] MicroRNAs in the chromosome 14q32 imprinted cluster are shown in bold type. MicroRNAs shared between UCSs and endometrioid adenocarcinomas are italicized. UCS, uterine carcinosarcoma.

When compared with the 71 miRNAs found to be significantly dysregulated among endometrial adenocarcinomas (18), only nine were found to overlap with altered UCS miRNAs (Table I). These nine miRNAs are the underexpressed miR-133a and let-7c and the overexpressed miR-107, miR-181c*, miR-205, miR-210, miR-516a-3p, miR-888 and let-7f-2*.

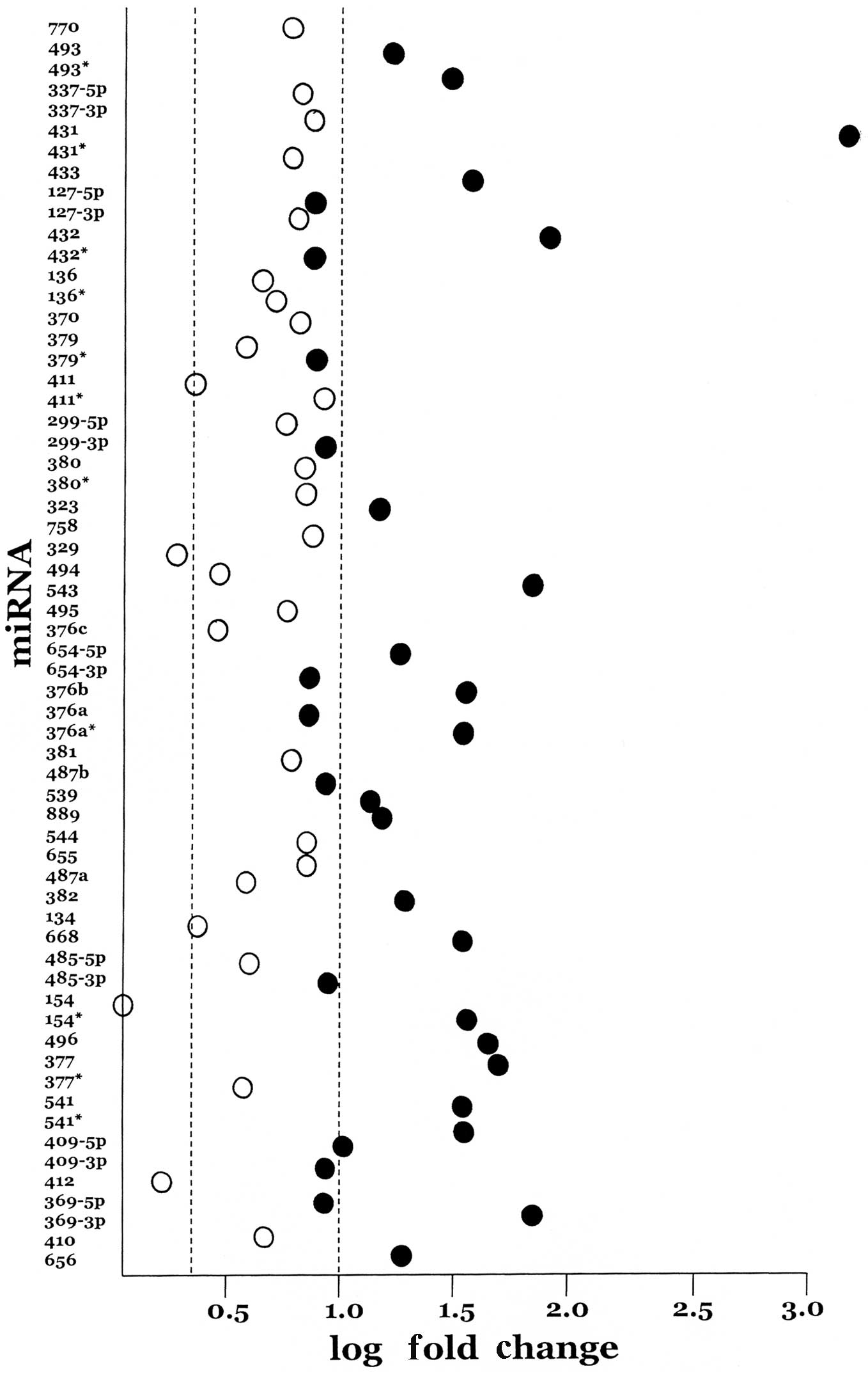
Among the twenty most highly expressed miRNAs are miR-431, miR-432, miR-541, miR-543 and miR-369-3p. These five miRNAs are all from the cluster of miRNAs found in the imprinted region of chromosome 14q32, demonstrating that a quarter of the most highly expressed miRNAs in UCS are found in this small (250 kb) region. A complete scan of the A-set and B-set miRNAs on the TLDA arrays revealed that 43 miRNA loci in this chromosome 14q32 region, accounting for a total of 61 miRNAs (9.2%), were represented. The current miRNA content of the chromosome 14q32 cluster is 57 loci accounting for 71 miRNAs (miRBase, release 17 April 2011). Of the 61 chromosome 14q32 cluster miRNAs represented on the TLDA cards, all but three (miR-154, miR-329 and miR-412) were overexpressed in the UCSs by at least two-fold and, of these, 32 achieved statistical significance (Fig. 1). Thus, while chromosome 14q32 miRNAs represent 9.2% of the miRNAs present on the TLDA arrays, they account for a statistically significant 30.5% (χ2=56.9, p<0.001) proportion of the significantly overexpressed miRNAs. Moreover, among the 18 miRNAs in which mature sequences from both sides of the hairpin are expressed, that is, both the 5p and the 3p arms, eight show nearly equal expression.

Figure 1.

Log fold change of 61 microRNAs in the chromosome 14q32 imprinted region. The microRNAs are shown in their physical order from 5′ (miR-770) to 3′ (miR-656). The dashed lines indicate 2-fold and 10-fold increased expression in UCSs compared with benign endometrium. Closed circles represent those microRNAs reaching at least p≤0.05 statistical significance and open circles indicate those microRNAs at p>0.05.

DLK1/GTL2 expression in UCS

On the centromeric flank of the chromosome 14q32 miRNA cluster is the reciprocally imprinted locus composed of DLK1 and GTL2. In order to discover whether the global dysregulation of the miRNAs in chromosome 14q32 extends to other genes, the expression of both DKL1 and GTL2 was assessed in the UCS tumor panel as well as the benign endometrium group. DKL1/GTL2 expression in UCSs and benign endometrium, normalized against 18S rRNA transcription, is shown in Fig. 2. These data show that GTL2 expression is higher (lower ΔCt) than DLK1 expression (higher ΔCt) in the benign endometrium panel whereas levels are nearly equal in the UCS panel. In a reciprocally imprinted locus a modest negative correlation of expression levels of the two transcripts is anticipated. In the benign endometrium panel, the correlation between DLK1 and GTL2 is r=−0.21 [not significant (ns)] whereas we see a positive correlation in the UCS panel, r=0.52 (ns). While GTL2 expression levels were not altered in the UCSs as compared to benign endometrium, the DLK1 expression level increased 92-fold (p<0.02) in the UCSs. This result suggests that paternal chromosome expression (DLK1) has become uncoupled from maternal chromosome expression (GTL2).

Figure 2.

Expression of DLK1 and GTL2 mRNA in uterine carcinosarcoma (UCS) and in benign endometrium (BE). Three additional benign samples were added to the panel to equalize sample sizes. DKL1 shows a significant increase in expression in UCS compared with benign endometrium while GTL2 shows no change in expression. ns, not significant.

Previous studies have shown that reciprocal expression of DKL1 and GTL2 is regulated in part by the methylation status of a DMR located between the two loci (14). Bisulfite sequencing of the DKL1/GTL2 DMR in the eight carcinosarcomas and five benign endometrium samples revealed no change in methylation patterns. This implies that the change in expression of DLK1 in UCS tissues versus benign endometrium is not attributable to altered methylation.

Discussion

UCSs display a unique miRNA expression signature

A recent TLDA-based miRNA expression survey of uterine cancers including a small number of UCSs concluded that these tumors display a unique miRNA dysregulation signature compared with other uterine cancers, specifically endometrial adenocarcinomas (19). Our data reinforce and expand upon this observation. Specifically, we show from our larger panel of miRNAs that, among the same 667 miRNAs surveyed by us in both endometrial adenocarcinoma (18) and UCS, only nine of the 71 miRNAs significantly dysregulated in endometrial adenocarcinoma compared with benign endometrium overlap with the 114 miRNAs significantly dysregulated in UCS compared with benign endometrium. Apart from these few miRNAs, it is the unique miRNA signature of UCSs that dominates the data presented here. A recent TLDA-based miRNA study of UCSs focused upon the biphasic nature of these tumors (20). Using the A-set miRNAs, the present study separated the epithelial from the mesenchymal components of 23 tumors and reported on a modest differential miRNA expression signature observed in the two components. Not surprisingly, a number of the miRNAs reported in that study also appear in the present study. Among these is miR-29c which is more highly expressed in the epithelial component but significantly underexpressed overall compared with benign endometrium. This miRNA has been shown to be involved in the regulation of the extracellular matrix marker SPARC and other markers associated with invasion and metastasis (21). Another miRNA shown to be differentially expressed in UCSs and underexpressed overall in UCSs compared with benign endometrium is miR-23b which is also negatively associated with the proliferation of cancer cells (22). One notable finding is that none of the five members of the miR-200 family, known to be intimately involved in epithelial to mesenchymal transition (19,23–25) and significantly overexpressed in the epithelial component of UCSs (20) as well as in endometrial adenocarcinomas (18), achieved statistical significance in our data, although all five miR-200 family members were more highly expressed in UCSs than in benign endometrium.

miRNAs in the chromosome 14q32 imprinted region are globally dysregulated

In the above-mentioned study on miRNA expression in the epithelial and mesenchymal components of UCSs (20), 24 miRNAs were shown to be more highly expressed in the mesenchymal component than in the epithelial component. Of these, seven (29.2%) are from the imprinted region at chromosome 14q32. This is a statistically significant over-representation of the chromosome 14q32 imprinted region miRNAs present on the A-set TLDA card (χ2=7.7, p<0.05) and is consistent with the statistically significant overrepresentation of miRNAs from this region in UCSs compared with benign endometrium that we report here. Our data also demonstrate that the dysregulation of miRNA expression among the UCSs is distributed across the entire 251 kb breadth of the region. However, the extent of this phenomenon is clearly contained within the boundaries of the imprinted region as three miRNAs at the 5′ boundary, miR-342-5p, miR-342-3p and miR-345, and the miRNA closest to the 3′ boundary, miR-203, are all expressed at the same level in the UCSs as in the benign endometrium. Future studies are necessary to understand the mechanisms by which miRNA expression in this region is coordinately regulated and dysregulated.

The correlated expression of miRNAs in the chromosome 14q32 imprinted region has previously been reported. For example, correlated overexpression was observed in acute myeloid leukemia (26) and in gastrointestinal stromal tumors without loss of chromosome 14q (27). Cytogenetic effects, either amplifications or deletions, are not at issue here as no such events have ever been reported on chromosome 14 in uterine cancers (28,29).

miRNAs in the chromosome 14q32 imprinted cluster show uncharacteristically low complementarity with cellular mRNA targets, suggesting that they are involved in a shared mechanism of action involving general inhibition of translation rather than degradation of specific mRNA targets (27). In mice, coordinated expression of the entire cluster has been linked with a DMR between the imprinted non-miRNA loci DLK1/GTL2 (30). Our examination of the methylation status of this DMR in relation to DLK1/GTL2 expression in our UCSs and benign endometrium clearly shows that this cis-acting regulation is disrupted, and it is likely that this regulatory disruption extends throughout the region and results in the observed miRNA expression patterns as well.

We have carried out an miRNA expression survey of UCSs which confirms that these tumors display a largely unique miRNA signature. Most striking is the observation that the entire imprinted region at chromosome 14q32 is dysregulated with all but one of the 61 miRNAs assayed overexpressed in UCSs compared with benign endometrium and more than half (32 of 60) reaching statistical significance. We find that this dysregulation includes the reciprocally imprinted gene pair DLK1/GTL2 lying at the upstream boundary of the region where, in spite of a ‘normal’ methylation pattern in the intergenic DMR, both members of the pair are highly expressed. It is possible that this DMR regulates expression of the entire region in cis (30). Coordinated overexpression of such a large block of miRNAs may contribute to the unique nature and aggressive behavior of these tumors. In addition, the significant increase in DLK1 expression may also play a role, as DLK1 has been shown to inhibit Notch signaling in mesenchymal multipotent cells (31). Whatever the effect of increased DLK1 expression coupled with the global overexpression of the chromosome 14q32 miRNA cluster may turn out to be, understanding the mechanism that leads to the dysregulation of multiple miRNAs at once may present a unique opportunity to identify a therapeutic target whose effects are widespread.

Acknowledgements

This study was supported by NIH Grant RO1CA99908 to K.K.L. and in part by the Department of Obstetrics and Gynecology Research Development Fund. We thank the University of Iowa Carver College of Medicine DNA Core Facility, particularly Garry Hauser and Mary Boes, for their invaluable assistance and Dr Kristina W. Thiel for assistance in manuscript preparation.

References

1. 

D'Angelo E and Prat J: Uterine sarcomas: A review. Gynecol Oncol. 116:131–139. 2010.

2. 

Evans HL, Chawla SP, Simpson C and Finn KP: Smooth muscle neoplasms of the uterus other than ordinary leiomyoma. A study of 46 cases with emphasis on diagnostic criteria and prognostic factors. Cancer. 62:2239–2247. 1988. View Article : Google Scholar : PubMed/NCBI

3. 

Kernochan LE and Garcia RL: Carcinosarcomas (malignant mixed Müllerian tumor) of the uterus: Advances in elucidation of biologic and clinical characteristics. J Natl Compr Canc Netw. 7:550–557. 2009.

4. 

Zelmanowicz A, Hildesheim A, Sherman ME, et al: Evidence for a common etiology for endometrial carcinomas and malignant mixed mullerian tumors. Gynecol Oncol. 69:253–257. 1998. View Article : Google Scholar : PubMed/NCBI

5. 

Silverberg SG, Major FJ, Blessing JA, et al: Carcinosarcoma (malignant mixed mesodermal tumor) of the uterus. A Gynecologic Oncology Group pathologic study of 203 cases. Int J Gynecol Pathol. 9:1–19. 1990. View Article : Google Scholar

6. 

Sreenan JJ and Hart WR: A pathologic study of 29 metastatic tumors: Further evidence for the dominant role of the epithelial component and the conversion theory of histogenesis. Am J Surg Pathol. 19:666–674. 1995. View Article : Google Scholar : PubMed/NCBI

7. 

Jin Z, Ogata S, Tamura G, et al: Carcinosarcomas (malignant mullerian mixed tumors) of the uterus and ovary: A genetic study with special reference to histogenesis. Int J Gynecol Pathol. 22:368–373. 2003. View Article : Google Scholar : PubMed/NCBI

8. 

Wada H, Enomoto T, Fujita M, et al: Molecular evidence that most but not all carcinosarcomas of the uterus are combination tumors. Cancer Res. 57:5379–5385. 1997.PubMed/NCBI

9. 

Abeln EC, Smit VT, Wessels JW, et al: Molecular genetic evidence for the conversion hypothesis of the origin of malignant mixed Müllerian tumors. J Pathol. 183:424–431. 1997.PubMed/NCBI

10. 

Fujii H, Yoshida M, Gong ZX, et al: Frequent genetic heterogeneity in the clonal evolution of gynecological carcinosarcoma and its influence on phenotypic diversity. Cancer Res. 60:114–120. 2000.PubMed/NCBI

11. 

Taylor NP, Zighelboim I, Huettner PC, et al: DNA mismatch repair and TP53 defects are early events in uterine carcinosarcoma tumorigenesis. Mod Pathol. 19:1333–1338. 2006. View Article : Google Scholar : PubMed/NCBI

12. 

Melo SA and Esteller M: Dysregulation of microRNAs in cancer: Playing with fire. FEBS Lett. 585:2087–2099. 2011. View Article : Google Scholar : PubMed/NCBI

13. 

Rovira C, Güida MC and Cayota A: MicroRNAs and other small silencing RNAs in cancer. IUBMB Life. 62:859–868. 2010. View Article : Google Scholar : PubMed/NCBI

14. 

Kircher M, Bock C and Paulsen M: Structural conservation versus functional divergence of maternally expressed microRNAs in the Dlk1/Gtl2 imprinting region. BMC Genomics. 9:3462008. View Article : Google Scholar : PubMed/NCBI

15. 

Guens E, De Temmerman N, Hilven P, et al: Methylation analysis of the intergenic differentially methylated region of DLK1-GTL2 in human. Eur J Hum Genet. 15:352–361. 2007. View Article : Google Scholar : PubMed/NCBI

16. 

Livak KJ and Schmittgen TD: Analysis of relative gene expression data using real-time quantitative PCR and the 2(-delta delta C(T)) method. Methods. 25:402–408. 2001. View Article : Google Scholar : PubMed/NCBI

17. 

Guo W, Sarkar SK and Peddada SD: Controlling false discoveries in multidimensional directional decisions, with applications to gene expression data on ordered categories. Biometrics. 66:485–492. 2010. View Article : Google Scholar : PubMed/NCBI

18. 

Devor EJ, Hovey AM, Goodheart MJ, Ramachandran S and Leslie KK: microRNA expression profiling of endometrial endometrioid adenocarcinomas and serous adenocarcinomas reveals profiles containing shared, unique and differentiating groups of microRNAs. Oncol Rep. 26:995–1002. 2011.

19. 

Ratner ES, Tuck D, Richter C, et al: MicroRNA signatures differentiate uterine cancer tumor subtypes. Gynecol Oncol. 118:251–257. 2010. View Article : Google Scholar : PubMed/NCBI

20. 

Castilla MA, Moreno-Bueno G, Romero-Perez L, et al: Micro-RNA signature of the epithelial-mesenchymal transition in endometrial carcinosarcoma. J Pathol. 223:72–80. 2011. View Article : Google Scholar : PubMed/NCBI

21. 

Sengupta S, den Boon JA, Chen IH, et al: MicroRNA 29c is down-regulated in nasalpharyngeal carcinomas, up-regulating mRNAs encoding extracellular matrix proteins. Proc Natl Acad Sci USA. 105:5874–5878. 2008. View Article : Google Scholar : PubMed/NCBI

22. 

Salvi A, Sabelli C, Moncini S, et al: MicroRNA-23b mediates urokinase and c-met downmodulation and a decreased migration of human hepatocellular carcinoma cells. FEBS J. 276:2966–2982. 2009. View Article : Google Scholar : PubMed/NCBI

23. 

Cochrane DR, Spoelstra NS, Howe EN, Nordeen SK and Richer JK: MicroRNA-200c mitigates invasiveness and restores sensitivity to microtubule-targeting chemotherapeutic agents. Mol Cancer Ther. 8:1055–1066. 2009. View Article : Google Scholar : PubMed/NCBI

24. 

Gregory P, Bert A, Paterson E, et al: The miR-200 family and miR-205 regulate epithelial to mesenchymal transition by targeting ZEB1 and SIP1. Nat Cell Biol. 10:593–601. 2008. View Article : Google Scholar : PubMed/NCBI

25. 

Vrba L, Jensen TJ and Garbe JC: Role for DNA methylation in the regulation of miR-200c and miR-141 expression in normal and cancer cells. PLoS ONE. 5:e86972010. View Article : Google Scholar : PubMed/NCBI

26. 

Dixon-McIver A, East P, Mein CA, et al: Distinctive patterns of microRNA expression associated with karyotype in acute myeloid leulaemia. PLoS ONE. 3:e21412008. View Article : Google Scholar : PubMed/NCBI

27. 

Haller F, von Heydebreck A, Zhang JD, et al: Localization- and mutation-dependent microRNA (miRNA) expression signatures in gastrointestinal stromal tumours (GISTs), with a cluster of co-expressed miRNAs located at 14q32.31. J Pathol. 220:71–86. 2010. View Article : Google Scholar

28. 

Micci F, Tiexeira MR, Haugom L, Abeler VM and Heim S: Genomic aberrations in carcinomas of the uterine corpus. Genes Chrom Cancer. 40:229–246. 2004. View Article : Google Scholar : PubMed/NCBI

29. 

Salvesen HB, Carter SL, Mannelqvist M, et al: Integrated genomic profiling of endometrial carcinoma associates aggressive tumors with indicators of PI3 kinase activation. Proc Natl Acad Sci USA. 106:4834–4839. 2009. View Article : Google Scholar : PubMed/NCBI

30. 

Seitz H, Royo H, Bortolin M-L, et al: A large imprinted microRNA gene cluster at the mouse Dlk1-Gtl2 domain. Genome Res. 14:1741–1748. 2004. View Article : Google Scholar : PubMed/NCBI

31. 

Sánchez-Solana B, Nueda ML, Ruvira MD, et al: The EGF-like proteins DLK1 and DLK2 function as inhibitory non-canonical ligands of NOTCH1 receptor that modulate each other's activities. Biochim Biophys Acta. 1813:1153–1164. 2011.PubMed/NCBI

Related Articles

  • Abstract
  • View
  • Download
  • Twitter
Copy and paste a formatted citation
Spandidos Publications style
Devor EJ, De Mik JN, Ramachandran S, Goodheart MJ and Leslie KK: Global dysregulation of the chromosome 14q32 imprinted region in uterine carcinosarcoma. Exp Ther Med 3: 677-682, 2012.
APA
Devor, E.J., De Mik, J.N., Ramachandran, S., Goodheart, M.J., & Leslie, K.K. (2012). Global dysregulation of the chromosome 14q32 imprinted region in uterine carcinosarcoma. Experimental and Therapeutic Medicine, 3, 677-682. https://doi.org/10.3892/etm.2012.458
MLA
Devor, E. J., De Mik, J. N., Ramachandran, S., Goodheart, M. J., Leslie, K. K."Global dysregulation of the chromosome 14q32 imprinted region in uterine carcinosarcoma". Experimental and Therapeutic Medicine 3.4 (2012): 677-682.
Chicago
Devor, E. J., De Mik, J. N., Ramachandran, S., Goodheart, M. J., Leslie, K. K."Global dysregulation of the chromosome 14q32 imprinted region in uterine carcinosarcoma". Experimental and Therapeutic Medicine 3, no. 4 (2012): 677-682. https://doi.org/10.3892/etm.2012.458
Copy and paste a formatted citation
x
Spandidos Publications style
Devor EJ, De Mik JN, Ramachandran S, Goodheart MJ and Leslie KK: Global dysregulation of the chromosome 14q32 imprinted region in uterine carcinosarcoma. Exp Ther Med 3: 677-682, 2012.
APA
Devor, E.J., De Mik, J.N., Ramachandran, S., Goodheart, M.J., & Leslie, K.K. (2012). Global dysregulation of the chromosome 14q32 imprinted region in uterine carcinosarcoma. Experimental and Therapeutic Medicine, 3, 677-682. https://doi.org/10.3892/etm.2012.458
MLA
Devor, E. J., De Mik, J. N., Ramachandran, S., Goodheart, M. J., Leslie, K. K."Global dysregulation of the chromosome 14q32 imprinted region in uterine carcinosarcoma". Experimental and Therapeutic Medicine 3.4 (2012): 677-682.
Chicago
Devor, E. J., De Mik, J. N., Ramachandran, S., Goodheart, M. J., Leslie, K. K."Global dysregulation of the chromosome 14q32 imprinted region in uterine carcinosarcoma". Experimental and Therapeutic Medicine 3, no. 4 (2012): 677-682. https://doi.org/10.3892/etm.2012.458
Follow us
  • Twitter
  • LinkedIn
  • Facebook
About
  • Spandidos Publications
  • Careers
  • Cookie Policy
  • Privacy Policy
How can we help?
  • Help
  • Live Chat
  • Contact
  • Email to our Support Team