Spandidos Publications Logo
  • About
    • About Spandidos
    • Aims and Scopes
    • Abstracting and Indexing
    • Editorial Policies
    • Reprints and Permissions
    • Job Opportunities
    • Terms and Conditions
    • Contact
  • Journals
    • All Journals
    • Oncology Letters
      • Oncology Letters
      • Information for Authors
      • Editorial Policies
      • Editorial Board
      • Aims and Scope
      • Abstracting and Indexing
      • Bibliographic Information
      • Archive
    • International Journal of Oncology
      • International Journal of Oncology
      • Information for Authors
      • Editorial Policies
      • Editorial Board
      • Aims and Scope
      • Abstracting and Indexing
      • Bibliographic Information
      • Archive
    • Molecular and Clinical Oncology
      • Molecular and Clinical Oncology
      • Information for Authors
      • Editorial Policies
      • Editorial Board
      • Aims and Scope
      • Abstracting and Indexing
      • Bibliographic Information
      • Archive
    • Experimental and Therapeutic Medicine
      • Experimental and Therapeutic Medicine
      • Information for Authors
      • Editorial Policies
      • Editorial Board
      • Aims and Scope
      • Abstracting and Indexing
      • Bibliographic Information
      • Archive
    • International Journal of Molecular Medicine
      • International Journal of Molecular Medicine
      • Information for Authors
      • Editorial Policies
      • Editorial Board
      • Aims and Scope
      • Abstracting and Indexing
      • Bibliographic Information
      • Archive
    • Biomedical Reports
      • Biomedical Reports
      • Information for Authors
      • Editorial Policies
      • Editorial Board
      • Aims and Scope
      • Abstracting and Indexing
      • Bibliographic Information
      • Archive
    • Oncology Reports
      • Oncology Reports
      • Information for Authors
      • Editorial Policies
      • Editorial Board
      • Aims and Scope
      • Abstracting and Indexing
      • Bibliographic Information
      • Archive
    • Molecular Medicine Reports
      • Molecular Medicine Reports
      • Information for Authors
      • Editorial Policies
      • Editorial Board
      • Aims and Scope
      • Abstracting and Indexing
      • Bibliographic Information
      • Archive
    • World Academy of Sciences Journal
      • World Academy of Sciences Journal
      • Information for Authors
      • Editorial Policies
      • Editorial Board
      • Aims and Scope
      • Abstracting and Indexing
      • Bibliographic Information
      • Archive
    • International Journal of Functional Nutrition
      • International Journal of Functional Nutrition
      • Information for Authors
      • Editorial Policies
      • Editorial Board
      • Aims and Scope
      • Abstracting and Indexing
      • Bibliographic Information
      • Archive
    • International Journal of Epigenetics
      • International Journal of Epigenetics
      • Information for Authors
      • Editorial Policies
      • Editorial Board
      • Aims and Scope
      • Abstracting and Indexing
      • Bibliographic Information
      • Archive
    • Medicine International
      • Medicine International
      • Information for Authors
      • Editorial Policies
      • Editorial Board
      • Aims and Scope
      • Abstracting and Indexing
      • Bibliographic Information
      • Archive
  • Articles
  • Information
    • Information for Authors
    • Information for Reviewers
    • Information for Librarians
    • Information for Advertisers
    • Conferences
  • Language Editing
Spandidos Publications Logo
  • About
    • About Spandidos
    • Aims and Scopes
    • Abstracting and Indexing
    • Editorial Policies
    • Reprints and Permissions
    • Job Opportunities
    • Terms and Conditions
    • Contact
  • Journals
    • All Journals
    • Biomedical Reports
      • Information for Authors
      • Editorial Policies
      • Editorial Board
      • Aims and Scope
      • Abstracting and Indexing
      • Bibliographic Information
      • Archive
    • Experimental and Therapeutic Medicine
      • Information for Authors
      • Editorial Policies
      • Editorial Board
      • Aims and Scope
      • Abstracting and Indexing
      • Bibliographic Information
      • Archive
    • International Journal of Epigenetics
      • Information for Authors
      • Editorial Policies
      • Editorial Board
      • Aims and Scope
      • Abstracting and Indexing
      • Bibliographic Information
      • Archive
    • International Journal of Functional Nutrition
      • Information for Authors
      • Editorial Policies
      • Editorial Board
      • Aims and Scope
      • Abstracting and Indexing
      • Bibliographic Information
      • Archive
    • International Journal of Molecular Medicine
      • Information for Authors
      • Editorial Policies
      • Editorial Board
      • Aims and Scope
      • Abstracting and Indexing
      • Bibliographic Information
      • Archive
    • International Journal of Oncology
      • Information for Authors
      • Editorial Policies
      • Editorial Board
      • Aims and Scope
      • Abstracting and Indexing
      • Bibliographic Information
      • Archive
    • Medicine International
      • Information for Authors
      • Editorial Policies
      • Editorial Board
      • Aims and Scope
      • Abstracting and Indexing
      • Bibliographic Information
      • Archive
    • Molecular and Clinical Oncology
      • Information for Authors
      • Editorial Policies
      • Editorial Board
      • Aims and Scope
      • Abstracting and Indexing
      • Bibliographic Information
      • Archive
    • Molecular Medicine Reports
      • Information for Authors
      • Editorial Policies
      • Editorial Board
      • Aims and Scope
      • Abstracting and Indexing
      • Bibliographic Information
      • Archive
    • Oncology Letters
      • Information for Authors
      • Editorial Policies
      • Editorial Board
      • Aims and Scope
      • Abstracting and Indexing
      • Bibliographic Information
      • Archive
    • Oncology Reports
      • Information for Authors
      • Editorial Policies
      • Editorial Board
      • Aims and Scope
      • Abstracting and Indexing
      • Bibliographic Information
      • Archive
    • World Academy of Sciences Journal
      • Information for Authors
      • Editorial Policies
      • Editorial Board
      • Aims and Scope
      • Abstracting and Indexing
      • Bibliographic Information
      • Archive
  • Articles
  • Information
    • For Authors
    • For Reviewers
    • For Librarians
    • For Advertisers
    • Conferences
  • Language Editing
Login Register Submit
  • This site uses cookies
  • You can change your cookie settings at any time by following the instructions in our Cookie Policy. To find out more, you may read our Privacy Policy.

    I agree
Search articles by DOI, keyword, author or affiliation
Search
Advanced Search
presentation
Experimental and Therapeutic Medicine
Join Editorial Board Propose a Special Issue
Print ISSN: 1792-0981 Online ISSN: 1792-1015
Journal Cover
November 2012 Volume 4 Issue 5

Full Size Image

Sign up for eToc alerts
Recommend to Library

Journals

International Journal of Molecular Medicine

International Journal of Molecular Medicine

International Journal of Molecular Medicine is an international journal devoted to molecular mechanisms of human disease.

International Journal of Oncology

International Journal of Oncology

International Journal of Oncology is an international journal devoted to oncology research and cancer treatment.

Molecular Medicine Reports

Molecular Medicine Reports

Covers molecular medicine topics such as pharmacology, pathology, genetics, neuroscience, infectious diseases, molecular cardiology, and molecular surgery.

Oncology Reports

Oncology Reports

Oncology Reports is an international journal devoted to fundamental and applied research in Oncology.

Experimental and Therapeutic Medicine

Experimental and Therapeutic Medicine

Experimental and Therapeutic Medicine is an international journal devoted to laboratory and clinical medicine.

Oncology Letters

Oncology Letters

Oncology Letters is an international journal devoted to Experimental and Clinical Oncology.

Biomedical Reports

Biomedical Reports

Explores a wide range of biological and medical fields, including pharmacology, genetics, microbiology, neuroscience, and molecular cardiology.

Molecular and Clinical Oncology

Molecular and Clinical Oncology

International journal addressing all aspects of oncology research, from tumorigenesis and oncogenes to chemotherapy and metastasis.

World Academy of Sciences Journal

World Academy of Sciences Journal

Multidisciplinary open-access journal spanning biochemistry, genetics, neuroscience, environmental health, and synthetic biology.

International Journal of Functional Nutrition

International Journal of Functional Nutrition

Open-access journal combining biochemistry, pharmacology, immunology, and genetics to advance health through functional nutrition.

International Journal of Epigenetics

International Journal of Epigenetics

Publishes open-access research on using epigenetics to advance understanding and treatment of human disease.

Medicine International

Medicine International

An International Open Access Journal Devoted to General Medicine.

Journal Cover
November 2012 Volume 4 Issue 5

Full Size Image

Sign up for eToc alerts
Recommend to Library

  • Article
  • Citations
    • Cite This Article
    • Download Citation
    • Create Citation Alert
    • Remove Citation Alert
    • Cited By
  • Similar Articles
    • Related Articles (in Spandidos Publications)
    • Similar Articles (Google Scholar)
    • Similar Articles (PubMed)
  • Download PDF
  • Download XML
  • View XML
Article

Association of NAT2 polymorphisms with risk of colorectal adenomas: Evidence from 3,197 cases and 4,681 controls

  • Authors:
    • Wenlei Zhuo
    • Liang Zhang
    • Zhiqun Qiu
    • Lei Cai
    • Bo Zhu
    • Zhengtang Chen
  • View Affiliations / Copyright

    Affiliations: Institute of Cancer, Xinqiao Hospital, Third Military Medical University, Chongqing, P.R. China, Department of Environmental Hygiene, College of Preventive Medicine, Third Military Medical University, Chongqing, P.R. China, Institute of Hepatobiliary Surgery, Southwest Hospital, Third Military Medical University, Chongqing, P.R. China
  • Pages: 895-900
    |
    Published online on: September 4, 2012
       https://doi.org/10.3892/etm.2012.695
  • Expand metrics +
Metrics: Total Views: 0 (Spandidos Publications: | PMC Statistics: )
Metrics: Total PDF Downloads: 0 (Spandidos Publications: | PMC Statistics: )
Cited By (CrossRef): 0 citations Loading Articles...

This article is mentioned in:



Abstract

Previous studies have implicated NAT2 polymorphisms as risk factors for various types of cancer. Colorectal adenomas are recognized as a pre‑neoplastic lesion. A growing body of research documenting the association of NAT2 polymorphisms with the risk of colorectal adenomas has yielded conflicting results. The aim of the present study was to derive a more precise estimation of this association. Meta‑analyses assessing the association of NAT2 variants with colorectal adenomas were conducted and subgroup analyses on smoking status and the source of the controls were also performed. Eligible studies were identified for the period before March 2012. A total of seven case-control studies, including 3,197 cases and 4,681 controls, were selected following extensive searching and screening. In the overall data, no associations between NAT2 polymorphisms and colorectal adenomas were observed [odds ratio (OR), 1.04; 95% confidence interval (CI), 0.90‑1.21]. However, in the subgroup analysis concerning smoking status, slow acetylator variants were revealed to be correlated with increased colorectal adenoma risk in individuals who have smoked (OR, 1.31; 95% CI, 1.04‑1.64). In conclusion, the data of the present study suggested that NAT2 polymorphisms may be a risk factor for colorectal adenomas in individuals who have a history of smoking.

Introduction

Colorectal cancer is one of the most common malignancies worldwide, particularly in Western populations, and is thought to be correlated with colorectal adenoma, a type of pre-neoplastic lesion. The mechanisms of colon adenoma genesis are still unclear.

Evidence indicates that certain epidemiological factors, including cigarette smoking, alcohol use and meat consumption, may contribute to the risk of colorectal adenomas (1,2). Moreover, exposure to certain toxins, such as the heterocyclic aromatic amines formed during the cooking of meat at high temperatures, may increase colorectal adenoma risk (3). However, although numerous individuals are exposed to environmental risk factors, colorectal adenomas develop in only a small proportion of these individuals. Additionally, previous studies suggested a marked association between colonic adenoma risk and a family history of adenomas (4,5), indicating that host genetic factors may play a critical role in the genesis of colorectal adenomas.

Colon tissue is vulnerable to the effects of external toxins by direct exposure. Xenobiotics can be bio-activated into their ultimate carcinogen forms by phase I enzymes and subsequently detoxified by phase II enzymes, such as CYP1A1 and GSTM1, respectively (6). Genetic variation in the genes encoding these enzymes may affect carcinogen activation/detoxification and modulate DNA repair, possibly by altering the genes’ expression and function. This may result in oncogenesis.

Acetylation is an important biotransformation route for these chemicals. In humans, the N-acetyltransferase 2 (NAT2) gene encodes a phase II enzyme that plays an essential role in the metabolism of aromatic heterocyclic amines and hydrazines via N- and O-acetylation (7). Alterations to the NAT2 acetylator status caused by variations in the NAT2 gene have been reported to reduce enzymatic activity, resulting in inefficient detoxification and thus leading to increased cancer susceptibility (8). Several NAT2 genetic variants have been identified in humans, of which NAT2*4 is regarded as the most common allele linked to rapid acetylation. NAT2*12A, NAT2*12C, NAT2*13 and NAT2*18 have also been classified as rapid alleles. The remaining alleles are considered to be slow alleles (9–11).

Published studies have been conducted on the association of NAT2 genetic variants with colorectal adenoma risk and have yielded inconclusive results. Whether NAT2 polymorphisms are a risk factor for colorectal adenoma remains uncertain. Therefore, in the present study, evidence-based quantitative meta-analyses of the published studies were performed to derive a more precise estimation of this association.

Materials and methods

Literature search strategy

A search of the Medline, EMBASE, OVID, Sciencedirect, Google scholar and CNKI databases was performed covering all studies published before March 2012 with no language limitations. Combinations of the following keywords were used: NAT2, Nacetyltransferase 2, colon, colorectal, neoplasm, polyp, adenoma and polymorphism. The bibliographies of all the retrieved studies were searched for further relevant publications. Review articles and the bibliographies of other identified relevant studies were searched manually to identify additional eligible studies.

Inclusion criteria

The following criteria were used for the literature selection: i) studies should be concerned with the association of NAT2 polymorphisms with colorectal adenoma risk; ii) studies should be observational (case-control or cohort); iii) studies must present the sample size, odds ratios (ORs) and the corresponding 95% confidence intervals (CIs) and genetic distributions or information that may aid the interpretation of the results. After extensive searching, all studies were reviewed in accordance with the criteria defined above for further analysis.

Data extraction

Data were extracted and entered into a database by two reviewers independently. In the case of conflicting evaluations, agreement was reached following discussion. If a consensus could not be reached, a third reviewer was consulted to resolve the dispute and a final decision was then made according to the majority decision. Carriers of at least one of the high-activity alleles were identified as rapid acetylators and individuals carrying two low-activity alleles were classified as slow acetylators, as stated in the primary literature.

Statistical analysis

The OR of the NAT2 polymorphisms and colorectal adenoma risk was estimated for each study. To detect possible sample size biases, the OR and corresponding 95% CI of each study were plotted against the number of participants. A Chi-square-based Q statistic test was performed to assess heterogeneity. If the result of the heterogeneity test was P>0.1, ORs were pooled according to the fixed-effects model (Mantel-Haenszel). Otherwise, the random-effects model (DerSimonian and Laird) was used. The significance of the pooled ORs was determined using a Z-test.

Publication bias was assessed by visual inspection of funnel plots (12) in which the standard error of the log(OR) of each study was plotted against the corresponding log(OR). An asymmetric plot indicates a possible publication bias. The symmetry of the funnel plot was evaluated using Egger’s linear regression test (13). Statistical analyses were performed using the STATA 11.0 software (StataCorp, College Station, TX, USA).

Results

Literature search and meta-analysis databases

As shown in Fig. 1, a total of 59 publications were searched and screened for retrieval, of which 43 irrelevant studies were excluded. Thus, 16 studies were primarily identified, of which one review was excluded (14). Subsequently, two articles which were not case-control studies (15,16) and five studies lacking sufficient information (17–21) were also excluded. Eight publications were identified (22–29). Two studies conducted by Tiemersma et al (22,28) concerned the same research subjects. Thus, the study concerning cigarette smoking was selected (28). Finally, seven case-control studies were selected (23–29).

Figure 1

Flow diagram of included/excluded studies in this meta-analysis. NAT2, N-acetyltransferase 2.

The included studies were all written in English, of which one involved a Caucasian population (28) and the remaining six involved multi-ethnic populations. We were able to extract information about smoking status from two of the studies (25,28).

We established a database of the extracted information from each study. The relevant information is shown in Table I. The first author and the number and characteristics of cases and controls for each study are presented, as well as the other necessary information. The genetic distributions of the control groups were in Hardy-Weinberg equilibrium. The distributions of the NAT2 acetylator variants (classified as rapid or slow) are presented in Table II.

Table I

Characteristics of the studies included in the meta-analysis.

Table I

Characteristics of the studies included in the meta-analysis.

First author (ref.)Publication yearCases (male/female)Controls (male/female)Type of controlsAge range (mean), years
EthnicityCountry
CasesControls
Lang (24)199441 (28/13)205 (129/76)205 volunteers (population-based)36–84 (60.6)20–80 (46.9)MixedUSA
Probst-Hensch (26)1996441 (280/161)484 (326/158)484 controls (age- and gender-matched; population-based)50–74 (61.7)50–74 (61.6)MixedUSA
Ishibe (23)2002146 (111/35)228 (144/84)228 controls (age- and gender-matched; hospital-based)18–74 (58)18–74 (59)MixedUSA
Tiemersma (28)2004431 (236/195)433 (160/273)433 controls (age- and gender-matched; hospital-based)18–75 (58.8)18–75 (50.4)CaucasianNetherlands
Moslehi (25)2006772 (535/237)777 (536/241)777 controls (gender- and ethnicity-matched; population-based)55–74 (NA)55–74 (NA)MixedUSA
Shin (27)2008557 (418/139)1493 (1250/243)1493 controls (hospital-based)40–75 (59.6)40–75 (57.2)MixedUSA
Wang (29)2011914 (550/364)1185 (745/440)1185 controls (age-, gender- and ethnicity-matched; hospital-based)NA (61)NA (62)MixedUSA

[i] NA, not available.

Table II

Distribution of NAT2 acetylator variants among colorectal adenoma cases and controls included in the meta-analysis.

Table II

Distribution of NAT2 acetylator variants among colorectal adenoma cases and controls included in the meta-analysis.

First authorYearGenotyping methodCases
Controls
RapidSlowRapidSlow
Lang1994Use of caffeine251692113
Probst-Hensch1996AS-PCR213228226258
Ishibe2002PCR-RFLP647998110
Tiemersma2004PCR-RFLP168259179253
Moslehi2006Taqman272413317376
Shin2008Taqman243311609880
Wang2011PCR-RFLP449457631539

[i] NAT2, N-acetyltransferase 2; AS-PCR, allele-specific polymerase chain reaction; PCR-RFLP, polymerase chain reaction-restriction fragment length polymorphism.

Test of heterogeneity

As shown in Table III, the heterogeneity of the overall data was significant since the P-value of the Q tests was <0.1 and thus the random-effects model was used. However, when subgroup analysis with regard to the source of the controls was conducted, no heterogeneity in the hospital-based subgroup was found.

Table III

Main results of the pooled data in the meta-analysis.

Table III

Main results of the pooled data in the meta-analysis.

CharacteristicSlow vs. rapid acetylator variants
Number of cases/controlsOR95% CIP-value for Q-test
Overall3197/46811.040.90–1.210.043
Smoking status
  Never smoked387/4810.920.53–1.580.051
  Have smoked665/5611.311.04–1.640.795
Source of control
  Population-based1167/13820.960.66–1.390.019
  Hospital-based2030/32991.050.90–1.230.172

[i] OR, odds ratio; 95% CI, 95% confidence interval.

Quantitative data synthesis

Table III lists the main results of the meta-analysis. The overall data from the seven studies containing 3,197 cases and 4,681 controls revealed no significant associations between NAT2 polymorphisms and colorectal adenoma risk (OR, 1.04; 95% CI, 0.90–1.21; P=0.043 for heterogeneity), suggesting that NAT2 polymorphisms may have little association with colorectal adenoma risk (Fig. 2).

Figure 2

Meta-analysis of the association of colorectal adenoma risk with NAT2 polymorphisms for the overall data (slow vs. rapid). OR, odds ratio; 95% CI, 95% confidence interval; NAT2, N-acetyltransferase 2.

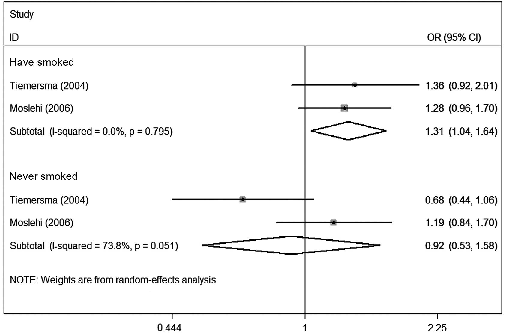
To further assess the possible impact of smoking and the source of the controls on the results, relevant data were extracted to conduct subgroup analyses. In the subgroup analysis of the source of the controls, no significant associations were observed in either the hospital-based group (OR, 1.05; 95% CI, 0.90–1.23; P=0.172 for heterogeneity) or the population-based group (OR, 0.96; 95% CI, 0.66–1.39; P=0.019 for heterogeneity; Fig. 3). In the smoking status subgroups, the data showed that slow acetylator variants may be associated with increased colonic adenoma risk in smokers (OR, 1.31; 95% CI, 1.04–1.64; P=0.795 for heterogeneity). Nevertheless, no marked associations were observed in the never smoked subgroup (OR, 0.92; 95% CI, 0.53–1.58; P=0.051 for heterogeneity; Fig. 4).

Figure 3

Meta-analysis of the association of colorectal adenoma risk with NAT2 polymorphisms (slow vs. rapid; stratified by source of controls). HB, hospital-based; PB, population-based; OR, odds ratio; 95% CI, 95% confidence interval; NAT2, N-acetyltransferase 2.

Figure 4

Meta-analysis of the association of colorectal adenoma risk with NAT2 polymorphisms (slow vs. rapid; stratified by smoking status). OR, odds ratio; 95% CI, 95% confidence interval; NAT2, N-acetyltransferase 2.

An attempt was made to extract relevant data concerning meat and alcohol consumption to use in the subgroup analysis, but insufficient data were available.

Sensitivity analysis

In order to compare the differences and evaluate the sensitivity of the meta-analyses, the results of the fixed-effects model for the overall data were also reported. The combined OR and 95% CI were 1.07 and 0.97–1.17, respectively, similar to the results of the random-effects model, suggesting that the meta-analyses were stable. Additionally, one-way sensitivity analysis (30) was also used to evaluate the stability of the meta-analysis. The statistical significance of any of the results was not altered by the omission of any single study, suggesting that the data in this meta-analysis were relatively stable and credible.

Bias diagnostics

A funnel plot was created to assess possible publication biases (Fig. 5A). Egger’s linear regression test was then used to assess the symmetry of the plot (Fig. 5B). The data suggested that the funnel plot was symmetrical (t=−1.25, P>0.05), indicating that the results of the meta-analyses were relatively stable and that publication bias had little effect on the results.

Figure 5

Publication bias tests. (A) Funnel plot; (B) Egger’s linear regression test. OR, odds ratio; s.e., standard error.

Discussion

In the present study, the overall data of the meta-analyses showed that the NAT2 polymorphism may not have a significant association with colorectal adenoma risk. Nevertheless, in subgroup analysis, slow acetylator variants may modify the colorectal adenoma susceptibility of individuals who have a history of smoking.

Possible correlations of NAT2 polymorphisms with cancer risk were evaluated by the meta-analyses. Previously, NAT2 polymorphisms have been indicated to be associated with an increased susceptibility to prostate cancer and laryngeal cancer in Asian populations (31,32). However, meta-analyses with regard to lung and gastric cancer did not reveal any marked associations (33,34). Similarly, meta-analyses published in 2002, 2006 and 2012 failed to demonstrate a significant association between NAT2 polymorphisms and colorectal cancer risk (35–37). In the present study, the overall data also failed to reveal a significant association of the NAT2 variants with colorectal adenoma, in line with the meta-analyses concerning colorectal cancer.

A previous meta-analysis suggested that smoking affected the formation and aggressiveness of colon adenomas (38). Another meta-analysis suggested that smoking may interact with certain gene variants, such as the NQO1 genetic variant (39), in the development of colorectal adenomas. Thus, we attempted to extract relevant data from the primary literature to conduct a subgroup analysis. The data showed that slow acetylator variants may be associated with an increased adenoma risk in individuals who have a history of smoking. The data indicate possible interactions between smoking with slow acetylator variants in the pathological mechanisms of colorectal adenoma. The underlying mechanisms by which NAT2 polymorphisms affect colon adenomas in individuals with a history of smoking are not fully understood. The NAT2 gene is located on chromosome 8p22, encodes a 290-amino acid protein (40) and catalyzes the detoxification and/or activation of aromatic and heterocyclic amine carcinogens by two pathways. This metabolic reaction may result in detoxification by N-acetylation or bioactivation by O-acetylation which is often proceeded by CYP450 hydroxylation (41). Polymorphisms of NAT2 may lead to differences in the rate of arylamine metabolism and consequently cancer risk (42). Individuals with a history of smoking and NAT2 genetic variants who are exposed to cigarette toxins, such as nickel sulphate and benzo(b)fluoranthene, may have a reduced detoxification ability, thus resulting in an increased risk of colon adenoma as well as cancer. However, only two of the studies provided sufficient data concerning smoking status for subgroup analysis. Biases may be noted due to the limited number of selected studies and sample sizes. Therefore, these results should be interpreted with care.

Subgroup analyses of the source of the controls also failed to reveal significant associations in studies using hospital- or population-based controls. Since hospital-based controls may not always truly represent the general population, particularly when the controls have any disease-related conditions relevant to the studied genotypes, inherent selection biases may exist. Further well-designed studies, including population-based controls with strict matching criteria, are required to reduce such possible biases.

Inter-study heterogeneity was observed in this study. Thus, the random-effects model was used. Subgroup analyses were then conducted. As expected, the heterogeneities of the subgroups were reduced or removed. The data suggested that the source of the controls and smoking status may partly contribute to the heterogeneities. Additionally, other factors, including age, gender, ethnicity and the prevalence of lifestyle factors, may also generate heterogeneities.

Publication bias is an important factor that should be considered in a meta-analysis. In the present study, a funnel plot and Egger’s test were used to assess publication biases. The results indicated that publication biases exerted little effect on the overall results, suggesting that the meta-analysis was robust and credible.

Certain limitations may be included in this study. Firstly, in this meta-analysis, the majority of published studies and papers written in English were searched. However, it is possible that some related published or unpublished studies that may have met the inclusion criteria were missed. Thus, it is inevitable that publication biases may exist in the results. Secondly, all the studies concerned mixed ethnicities, with the exception of one study by Tiemersma (28) involving a Caucasian population. Therefore, subgroup analysis concerning ethnicity was not conducted and we were unable to assess the possible effects of ethnic variation on the results. Further studies conducted on separated ethnicities in various areas are required. Thirdly, subgroup analyses of age, gender, alochol use and meat consumption were not performed since insufficient information was available in the primary literature. Gene-gene and gene-environment interactions should also be considered in the further investigations.

In conclusion, although no significant associations of NAT2 genetic variations with the overall risk of colorectal adenoma were revealed, statistically significant findings were noted in individuals with a history of smoking, suggesting that NAT2 genetic variations may modify the colorectal adenoma risk of smokers. Further investigations are required to confirm this conclusion.

References

1 

Toyomura K, Yamaguchi K, Kawamoto H, et al: Relation of cigarette smoking and alcohol use to colorectal adenomas by subsite: the self-defense forces health study. Cancer Sci. 95:72–76. 2004. View Article : Google Scholar : PubMed/NCBI

2 

Robertson DJ, Sandler RS, Haile R, et al: Fat, fiber, meat and the risk of colorectal adenomas. Am J Gastroenterol. 100:2789–2795. 2005. View Article : Google Scholar : PubMed/NCBI

3 

Sharma S, Iwasaki M, Kunieda C, et al: Development of a quantitative food frequency questionnaire for assessing food, nutrient, and heterocyclic aromatic amines intake in Japanese Brazilians for a colorectal adenoma case-control study. Int J Food Sci Nutr. 60(Suppl 7): 128–139. 2009. View Article : Google Scholar

4 

Mansoor-ul-Haq and Faisal N: Familial adenomatous polyposis. J Coll Physicians Surg Pak. 21:46–48. 2011.

5 

Wilschut JA, Habbema JD, Ramsey SD, Boer R, Looman CW and van Ballegooijen M: Increased risk of adenomas in individuals with a family history of colorectal cancer: results of a meta-analysis. Cancer Causes Control. 21:2287–2293. 2010. View Article : Google Scholar : PubMed/NCBI

6 

Zhuo W, Wang Y, Zhuo X, et al: CYP1A1 and GSTM1 polymorphisms and oral cancer risk: association studies via evidence-based meta-analyses. Cancer Invest. 27:86–95. 2009. View Article : Google Scholar : PubMed/NCBI

7 

Hein DW: N-acetyltransferase 2 genetic polymorphism: effects of carcinogen and haplotype on urinary bladder cancer risk. Oncogene. 25:1649–1658. 2006. View Article : Google Scholar : PubMed/NCBI

8 

Zhou W, Liu G, Thurston SW, et al: Genetic polymorphisms in N-acetyltransferase-2 and microsomal epoxide hydrolase, cumulative cigarette smoking, and lung cancer. Cancer Epidemiol Biomarkers Prev. 11:15–21. 2002.PubMed/NCBI

9 

Bolt HM, Selinski S, Dannappel D, Blaszkewicz M and Golka K: Re-investigation of the concordance of human NAT2 phenotypes and genotypes. Arch Toxicol. 79:196–200. 2005. View Article : Google Scholar : PubMed/NCBI

10 

Hein DW and Doll MA: Accuracy of various human NAT2 SNP genotyping panels to infer rapid, intermediate and slow acetylator phenotypes. Pharmacogenomics. 13:31–42. 2012. View Article : Google Scholar : PubMed/NCBI

11 

Taja-Chayeb L, González-Fierro A, Miguez-Muñoz C, et al: Acetylator status and N-acetyltransferase 2 gene polymorphisms; phenotype-genotype correlation with the sulfamethazine test. Pharmacogenet Genomics. 21:894–901. 2011. View Article : Google Scholar : PubMed/NCBI

12 

Munafò MR, Clark TG and Flint J: Assessing publication bias in genetic association studies: evidence from a recent meta-analysis. Psychiatry Res. 129:39–44. 2004.PubMed/NCBI

13 

Egger M, Davey Smith G, Schneider M and Minder C: Bias in meta-analysis detected by a simple, graphical test. BMJ. 315:629–634. 1997. View Article : Google Scholar : PubMed/NCBI

14 

Raimondi S, Botteri E, Iodice S, Lowenfels AB and Maisonneuve P: Gene-smoking interaction on colorectal adenoma and cancer risk: review and meta-analysis. Mutat Res. 670:6–14. 2009. View Article : Google Scholar : PubMed/NCBI

15 

Potter JD, Bigler J, Fosdick L, et al: Colorectal adenomatous and hyperplastic polyps: smoking and N-acetyltransferase 2 polymorphisms. Cancer Epidemiol Biomarkers Prev. 8:69–75. 1999.PubMed/NCBI

16 

Moonen H, Engels L, Kleinjans J and Kok T: The CYP1A2-164A→C polymorphism (CYP1A2*1F) is associated with the risk for colorectal adenomas in humans. Cancer Lett. 229:25–31. 2005.

17 

Bunschoten A, Tiemersma E, Schouls L and Kampman E: Simultaneous determination of polymorphism in N-acetyltransferase 1 and 2 genes by reverse line blot hybridization. Anal Biochem. 285:156–162. 2000. View Article : Google Scholar : PubMed/NCBI

18 

Crabtree MD, Fletcher C, Churchman M, et al: Analysis of candidate modifier loci for the severity of colonic familial adenomatous polyposis, with evidence for the importance of the N-acetyl transferases. Gut. 53:271–276. 2004. View Article : Google Scholar : PubMed/NCBI

19 

Lin HJ, Probst-Hensch NM, Hughes NC, et al: Variants of N-acetyltransferase NAT1 and a case-control study of colorectal adenomas. Pharmacogenetics. 8:269–281. 1998. View Article : Google Scholar : PubMed/NCBI

20 

Probst-Hensch NM, Haile RW, Ingles SA, et al: Acetylation polymorphism and prevalence of colorectal adenomas. Cancer Res. 55:2017–2020. 1995.PubMed/NCBI

21 

Voskuil DW, Kampman E, Grubben MJ, et al: Meat consumption and preparation, and genetic susceptibility in relation to colorectal adenomas. Cancer Lett. 114:309–311. 1997. View Article : Google Scholar : PubMed/NCBI

22 

Tiemersma EW, Voskuil DW, Bunschoten A, et al: Risk of colorectal adenomas in relation to meat consumption, meat preparation, and genetic susceptibility in a Dutch population. Cancer Causes Control. 15:225–236. 2004. View Article : Google Scholar : PubMed/NCBI

23 

Ishibe N, Sinha R, Hein DW, et al: Genetic polymorphisms in heterocyclic amine metabolism and risk of colorectal adenomas. Pharmacogenetics. 12:145–150. 2002. View Article : Google Scholar : PubMed/NCBI

24 

Lang NP, Butler MA, Massengill J, et al: Rapid metabolic phenotypes for acetyltransferase and cytochrome P4501A2 and putative exposure to food-borne heterocyclic amines increase the risk for colorectal cancer or polyps. Cancer Epidemiol Biomarkers Prev. 3:675–682. 1994.

25 

Moslehi R, Chatterjee N, Church TR, et al: Cigarette smoking, N-acetyltransferase genes and the risk of advanced colorectal adenoma. Pharmacogenomics. 7:819–829. 2006. View Article : Google Scholar : PubMed/NCBI

26 

Probst-Hensch NM, Haile RW, Li DS, et al: Lack of association between the polyadenylation polymorphism in the NAT1 (acetyltransferase 1) gene and colorectal adenomas. Carcinogenesis. 17:2125–2129. 1996. View Article : Google Scholar : PubMed/NCBI

27 

Shin A, Shrubsole MJ, Rice JM, et al: Meat intake, heterocyclic amine exposure, and metabolizing enzyme polymorphisms in relation to colorectal polyp risk. Cancer Epidemiol Biomarkers Prev. 17:320–329. 2008. View Article : Google Scholar : PubMed/NCBI

28 

Tiemersma EW, Bunschoten A, Kok FJ, Glatt H, de Boer SY and Kampman E: Effect of SULT1A1 and NAT2 genetic polymorphism on the association between cigarette smoking and colorectal adenomas. Int J Cancer. 108:97–103. 2004. View Article : Google Scholar : PubMed/NCBI

29 

Wang H, Yamamoto JF, Caberto C, et al: Genetic variation in the bioactivation pathway for polycyclic hydrocarbons and heterocyclic amines in relation to risk of colorectal neoplasia. Carcinogenesis. 32:203–209. 2011. View Article : Google Scholar : PubMed/NCBI

30 

Tobias A: Assessing the influence of a single study in the meta-analysis estimate. Stata Techn Bull. 47:15–17. 1999.

31 

Gong C, Hu X, Gao Y, Cao Y, Gao F and Mo Z: A meta-analysis of the NAT1 and NAT2 polymorphisms and prostate cancer: a huge review. Med Oncol. 28:365–376. 2011. View Article : Google Scholar : PubMed/NCBI

32 

Ying XJ, Dong P, Shen B, Wang J, Wang S and Wang G: Possible association of NAT2 polymorphism with laryngeal cancer risk: an evidence-based meta-analysis. J Cancer Res Clin Oncol. 137:1661–1667. 2011. View Article : Google Scholar : PubMed/NCBI

33 

Cui D, Wang Z, Zhao E, Ma J and Lu W: NAT2 polymorphism and lung cancer risk: a meta-analysis. Lung Cancer. 73:153–157. 2011. View Article : Google Scholar : PubMed/NCBI

34 

Zhong X, Hui C, Xiao-Ling W, Yan L and Na L: NAT2 polymorphism and gastric cancer susceptibility: a meta-analysis. Arch Med Res. 41:275–280. 2010. View Article : Google Scholar : PubMed/NCBI

35 

Ye Z and Parry JM: Meta-analysis of 20 case-control studies on the N-acetyltransferase 2 acetylation status and colorectal cancer risk. Med Sci Monit. 8:CR558–565. 2002.PubMed/NCBI

36 

Borlak J and Reamon-Buettner SM: N-acetyltransferase 2 (NAT2) gene polymorphisms in colon and lung cancer patients. BMC Med Genet. 7:582006. View Article : Google Scholar : PubMed/NCBI

37 

Zhang LQ, Zhou JN, Wang J, et al: Absence of association between N-acetyltransferase 2 acetylator status and colorectal cancer susceptibility: based on evidence from 40 studies. PLoS One. 7:e324252012. View Article : Google Scholar : PubMed/NCBI

38 

Botteri E, Iodice S, Raimondi S, Maisonneuve P and Lowenfels AB: Cigarette smoking and adenomatous polyps: a meta-analysis. Gastroenterology. 134:388–395. 2008. View Article : Google Scholar : PubMed/NCBI

39 

Zhou JY, Shi R, Yu HL, Zheng WL and Ma WL: Association of NQO1 Pro187Ser polymorphism with the risks for colorectal cancer and colorectal adenoma: a meta-analysis. Int J Colorectal Dis. 27:1123–1124. 2012. View Article : Google Scholar : PubMed/NCBI

40 

Brockton N, Little J, Sharp L and Cotton SC: N-acetyltransferase polymorphisms and colorectal cancer: a HuGE review. Am J Epidemiol. 151:846–861. 2000. View Article : Google Scholar : PubMed/NCBI

41 

Liu L, Wagner CR and Hanna PE: Isoform-selective inactivation of human arylamine N-acetyltransferases by reactive metabolites of carcinogenic arylamines. Chem Res Toxicol. 22:1962–1974. 2009. View Article : Google Scholar : PubMed/NCBI

42 

Walker K, Ginsberg G, Hattis D, Johns DO, Guyton KZ and Sonawane B: Genetic polymorphism in N-acetyltransferase (NAT): population distribution of NAT1 and NAT2 activity. J Toxicol Environ Health B Crit Rev. 12:440–472. 2009. View Article : Google Scholar : PubMed/NCBI

Related Articles

  • Abstract
  • View
  • Download
  • Twitter
Copy and paste a formatted citation
Spandidos Publications style
Zhuo W, Zhang L, Qiu Z, Cai L, Zhu B and Chen Z: Association of NAT2 polymorphisms with risk of colorectal adenomas: Evidence from 3,197 cases and 4,681 controls. Exp Ther Med 4: 895-900, 2012.
APA
Zhuo, W., Zhang, L., Qiu, Z., Cai, L., Zhu, B., & Chen, Z. (2012). Association of NAT2 polymorphisms with risk of colorectal adenomas: Evidence from 3,197 cases and 4,681 controls. Experimental and Therapeutic Medicine, 4, 895-900. https://doi.org/10.3892/etm.2012.695
MLA
Zhuo, W., Zhang, L., Qiu, Z., Cai, L., Zhu, B., Chen, Z."Association of NAT2 polymorphisms with risk of colorectal adenomas: Evidence from 3,197 cases and 4,681 controls". Experimental and Therapeutic Medicine 4.5 (2012): 895-900.
Chicago
Zhuo, W., Zhang, L., Qiu, Z., Cai, L., Zhu, B., Chen, Z."Association of NAT2 polymorphisms with risk of colorectal adenomas: Evidence from 3,197 cases and 4,681 controls". Experimental and Therapeutic Medicine 4, no. 5 (2012): 895-900. https://doi.org/10.3892/etm.2012.695
Copy and paste a formatted citation
x
Spandidos Publications style
Zhuo W, Zhang L, Qiu Z, Cai L, Zhu B and Chen Z: Association of NAT2 polymorphisms with risk of colorectal adenomas: Evidence from 3,197 cases and 4,681 controls. Exp Ther Med 4: 895-900, 2012.
APA
Zhuo, W., Zhang, L., Qiu, Z., Cai, L., Zhu, B., & Chen, Z. (2012). Association of NAT2 polymorphisms with risk of colorectal adenomas: Evidence from 3,197 cases and 4,681 controls. Experimental and Therapeutic Medicine, 4, 895-900. https://doi.org/10.3892/etm.2012.695
MLA
Zhuo, W., Zhang, L., Qiu, Z., Cai, L., Zhu, B., Chen, Z."Association of NAT2 polymorphisms with risk of colorectal adenomas: Evidence from 3,197 cases and 4,681 controls". Experimental and Therapeutic Medicine 4.5 (2012): 895-900.
Chicago
Zhuo, W., Zhang, L., Qiu, Z., Cai, L., Zhu, B., Chen, Z."Association of NAT2 polymorphisms with risk of colorectal adenomas: Evidence from 3,197 cases and 4,681 controls". Experimental and Therapeutic Medicine 4, no. 5 (2012): 895-900. https://doi.org/10.3892/etm.2012.695
Follow us
  • Twitter
  • LinkedIn
  • Facebook
About
  • Spandidos Publications
  • Careers
  • Cookie Policy
  • Privacy Policy
How can we help?
  • Help
  • Live Chat
  • Contact
  • Email to our Support Team