Spandidos Publications Logo
  • About
    • About Spandidos
    • Aims and Scopes
    • Abstracting and Indexing
    • Editorial Policies
    • Reprints and Permissions
    • Job Opportunities
    • Terms and Conditions
    • Contact
  • Journals
    • All Journals
    • Oncology Letters
      • Oncology Letters
      • Information for Authors
      • Editorial Policies
      • Editorial Board
      • Aims and Scope
      • Abstracting and Indexing
      • Bibliographic Information
      • Archive
    • International Journal of Oncology
      • International Journal of Oncology
      • Information for Authors
      • Editorial Policies
      • Editorial Board
      • Aims and Scope
      • Abstracting and Indexing
      • Bibliographic Information
      • Archive
    • Molecular and Clinical Oncology
      • Molecular and Clinical Oncology
      • Information for Authors
      • Editorial Policies
      • Editorial Board
      • Aims and Scope
      • Abstracting and Indexing
      • Bibliographic Information
      • Archive
    • Experimental and Therapeutic Medicine
      • Experimental and Therapeutic Medicine
      • Information for Authors
      • Editorial Policies
      • Editorial Board
      • Aims and Scope
      • Abstracting and Indexing
      • Bibliographic Information
      • Archive
    • International Journal of Molecular Medicine
      • International Journal of Molecular Medicine
      • Information for Authors
      • Editorial Policies
      • Editorial Board
      • Aims and Scope
      • Abstracting and Indexing
      • Bibliographic Information
      • Archive
    • Biomedical Reports
      • Biomedical Reports
      • Information for Authors
      • Editorial Policies
      • Editorial Board
      • Aims and Scope
      • Abstracting and Indexing
      • Bibliographic Information
      • Archive
    • Oncology Reports
      • Oncology Reports
      • Information for Authors
      • Editorial Policies
      • Editorial Board
      • Aims and Scope
      • Abstracting and Indexing
      • Bibliographic Information
      • Archive
    • Molecular Medicine Reports
      • Molecular Medicine Reports
      • Information for Authors
      • Editorial Policies
      • Editorial Board
      • Aims and Scope
      • Abstracting and Indexing
      • Bibliographic Information
      • Archive
    • World Academy of Sciences Journal
      • World Academy of Sciences Journal
      • Information for Authors
      • Editorial Policies
      • Editorial Board
      • Aims and Scope
      • Abstracting and Indexing
      • Bibliographic Information
      • Archive
    • International Journal of Functional Nutrition
      • International Journal of Functional Nutrition
      • Information for Authors
      • Editorial Policies
      • Editorial Board
      • Aims and Scope
      • Abstracting and Indexing
      • Bibliographic Information
      • Archive
    • International Journal of Epigenetics
      • International Journal of Epigenetics
      • Information for Authors
      • Editorial Policies
      • Editorial Board
      • Aims and Scope
      • Abstracting and Indexing
      • Bibliographic Information
      • Archive
    • Medicine International
      • Medicine International
      • Information for Authors
      • Editorial Policies
      • Editorial Board
      • Aims and Scope
      • Abstracting and Indexing
      • Bibliographic Information
      • Archive
  • Articles
  • Information
    • Information for Authors
    • Information for Reviewers
    • Information for Librarians
    • Information for Advertisers
    • Conferences
  • Language Editing
Spandidos Publications Logo
  • About
    • About Spandidos
    • Aims and Scopes
    • Abstracting and Indexing
    • Editorial Policies
    • Reprints and Permissions
    • Job Opportunities
    • Terms and Conditions
    • Contact
  • Journals
    • All Journals
    • Biomedical Reports
      • Information for Authors
      • Editorial Policies
      • Editorial Board
      • Aims and Scope
      • Abstracting and Indexing
      • Bibliographic Information
      • Archive
    • Experimental and Therapeutic Medicine
      • Information for Authors
      • Editorial Policies
      • Editorial Board
      • Aims and Scope
      • Abstracting and Indexing
      • Bibliographic Information
      • Archive
    • International Journal of Epigenetics
      • Information for Authors
      • Editorial Policies
      • Editorial Board
      • Aims and Scope
      • Abstracting and Indexing
      • Bibliographic Information
      • Archive
    • International Journal of Functional Nutrition
      • Information for Authors
      • Editorial Policies
      • Editorial Board
      • Aims and Scope
      • Abstracting and Indexing
      • Bibliographic Information
      • Archive
    • International Journal of Molecular Medicine
      • Information for Authors
      • Editorial Policies
      • Editorial Board
      • Aims and Scope
      • Abstracting and Indexing
      • Bibliographic Information
      • Archive
    • International Journal of Oncology
      • Information for Authors
      • Editorial Policies
      • Editorial Board
      • Aims and Scope
      • Abstracting and Indexing
      • Bibliographic Information
      • Archive
    • Medicine International
      • Information for Authors
      • Editorial Policies
      • Editorial Board
      • Aims and Scope
      • Abstracting and Indexing
      • Bibliographic Information
      • Archive
    • Molecular and Clinical Oncology
      • Information for Authors
      • Editorial Policies
      • Editorial Board
      • Aims and Scope
      • Abstracting and Indexing
      • Bibliographic Information
      • Archive
    • Molecular Medicine Reports
      • Information for Authors
      • Editorial Policies
      • Editorial Board
      • Aims and Scope
      • Abstracting and Indexing
      • Bibliographic Information
      • Archive
    • Oncology Letters
      • Information for Authors
      • Editorial Policies
      • Editorial Board
      • Aims and Scope
      • Abstracting and Indexing
      • Bibliographic Information
      • Archive
    • Oncology Reports
      • Information for Authors
      • Editorial Policies
      • Editorial Board
      • Aims and Scope
      • Abstracting and Indexing
      • Bibliographic Information
      • Archive
    • World Academy of Sciences Journal
      • Information for Authors
      • Editorial Policies
      • Editorial Board
      • Aims and Scope
      • Abstracting and Indexing
      • Bibliographic Information
      • Archive
  • Articles
  • Information
    • For Authors
    • For Reviewers
    • For Librarians
    • For Advertisers
    • Conferences
  • Language Editing
Login Register Submit
  • This site uses cookies
  • You can change your cookie settings at any time by following the instructions in our Cookie Policy. To find out more, you may read our Privacy Policy.

    I agree
Search articles by DOI, keyword, author or affiliation
Search
Advanced Search
presentation
Experimental and Therapeutic Medicine
Join Editorial Board Propose a Special Issue
Print ISSN: 1792-0981 Online ISSN: 1792-1015
Journal Cover
June-2014 Volume 7 Issue 6

Full Size Image

Sign up for eToc alerts
Recommend to Library

Journals

International Journal of Molecular Medicine

International Journal of Molecular Medicine

International Journal of Molecular Medicine is an international journal devoted to molecular mechanisms of human disease.

International Journal of Oncology

International Journal of Oncology

International Journal of Oncology is an international journal devoted to oncology research and cancer treatment.

Molecular Medicine Reports

Molecular Medicine Reports

Covers molecular medicine topics such as pharmacology, pathology, genetics, neuroscience, infectious diseases, molecular cardiology, and molecular surgery.

Oncology Reports

Oncology Reports

Oncology Reports is an international journal devoted to fundamental and applied research in Oncology.

Experimental and Therapeutic Medicine

Experimental and Therapeutic Medicine

Experimental and Therapeutic Medicine is an international journal devoted to laboratory and clinical medicine.

Oncology Letters

Oncology Letters

Oncology Letters is an international journal devoted to Experimental and Clinical Oncology.

Biomedical Reports

Biomedical Reports

Explores a wide range of biological and medical fields, including pharmacology, genetics, microbiology, neuroscience, and molecular cardiology.

Molecular and Clinical Oncology

Molecular and Clinical Oncology

International journal addressing all aspects of oncology research, from tumorigenesis and oncogenes to chemotherapy and metastasis.

World Academy of Sciences Journal

World Academy of Sciences Journal

Multidisciplinary open-access journal spanning biochemistry, genetics, neuroscience, environmental health, and synthetic biology.

International Journal of Functional Nutrition

International Journal of Functional Nutrition

Open-access journal combining biochemistry, pharmacology, immunology, and genetics to advance health through functional nutrition.

International Journal of Epigenetics

International Journal of Epigenetics

Publishes open-access research on using epigenetics to advance understanding and treatment of human disease.

Medicine International

Medicine International

An International Open Access Journal Devoted to General Medicine.

Journal Cover
June-2014 Volume 7 Issue 6

Full Size Image

Sign up for eToc alerts
Recommend to Library

  • Article
  • Citations
    • Cite This Article
    • Download Citation
    • Create Citation Alert
    • Remove Citation Alert
    • Cited By
  • Similar Articles
    • Related Articles (in Spandidos Publications)
    • Similar Articles (Google Scholar)
    • Similar Articles (PubMed)
  • Download PDF
  • Download XML
  • View XML
Article

Association between serum angiotensin‑converting enzyme 2 levels and postoperative myocardial infarction following coronary artery bypass grafting

  • Authors:
    • Min Wang
    • Wei Zhang
    • Yu Zhou
    • Xinmin Zhou
  • View Affiliations / Copyright

    Affiliations: Department of Cardiothoracic Surgery, The Second Xiangya Hospital, Central South University, Changsha, Hunan 410011, P.R. China, The Second Xiangya Hospital, Central South University, Changsha, Hunan 410011, P.R. China
  • Pages: 1721-1727
    |
    Published online on: March 27, 2014
       https://doi.org/10.3892/etm.2014.1640
  • Expand metrics +
Metrics: Total Views: 0 (Spandidos Publications: | PMC Statistics: )
Metrics: Total PDF Downloads: 0 (Spandidos Publications: | PMC Statistics: )
Cited By (CrossRef): 0 citations Loading Articles...

This article is mentioned in:


Abstract

Myocardial infarction (MI) is a predominant and severe complication in patients that undergo aortocoronary bypass surgery. Angiotensin‑converting enzyme 2 (ACE2) activation is reportedly a protective mechanism in MI; therefore, in the present study, the association between serum ACE2 levels and postoperative MI following coronary artery bypass grafting (CABG) was investigated. Preoperative and postoperative serum ACE2 levels in 136 subjects undergoing CABG were observed and the serum ACE2 levels, 1 h post surgery, were divided into quartile categories. Following adjustment for age, gender, body mass index, hypertension, previous MI, current smoking status, hyperlipidemia, diabetes mellitus, Gensini score, aortic clamp time, number of grafts and pre‑CABG medications; the risk of developing postoperative MI following CABG was observed to be significantly higher in the lowest serum ACE2 level quartile than when compared with the highest quartile (hazard ratio, 2.94; 95% confidence interval, 1.85‑4.16; P=0.009). The subjects that exhibited a serum ACE2 level ≤1.06 ng/ml showed significantly higher rates of postoperative MI, arrhythmia and reduced cardiac output in addition to increased instances of in-hospital mortality post CABG, compared with those exhibiting a serum ACE2 level >1.06 ng/ml. A significant negative correlation was observed between serum ACE2 and serum cardiac troponin I levels, however, no significant association was identified between the serum ACE2 level quartiles and the ACE2 gene polymorphisms. The present study indicated that a low serum ACE2 level, 1 h post CABG was independently associated with an increased risk of postoperative MI. Thus, the serum ACE2 level may be a potential novel prognostic factor for postoperative MI following CABG.

Introduction

Despite substantial advances in surgical, cardioprotective and anesthetic techniques, the incidence of myocardial infarction (MI) following cardiac surgery remains between 3 and 15% and is associated with reduced, long-term survival rates (1). Postoperative MI is a predominant and severe complication in patients undergoing aortocoronary bypass surgery and is a multifactorial disorder with significant inter-patient variability, which is poorly predicted by clinical procedures (1). The development of MI following cardiac surgery has been associated with high morbidity, mortality and cost (2).

The renin-angiotensin system (RAS) is crucial in cardiovascular regulation (3). In the RAS, angiotensin-converting enzyme (ACE) metabolizes angiotensin (Ang) I to form Ang II, which exerts a direct trophic effect upon cardiovascular cells (3). Local Ang II production is important in the pathophysiology of the RAS in the cardiovascular system (4) and recently, ACE2, a novel member of the RAS, was identified to function as a negative regulator of the Ang system by metabolizing Ang II into a putatively protective peptide Ang (1–7) exhibiting high efficiency (5–7). ACE2 is present in the heart and a reduction in its expression is associated with enhanced cardiac hypertrophy and reduced pumping ability (8,9). Although ACE2 was initially localized exclusively in the cardiac endothelial cells, more recent studies have demonstrated ACE2 immunoreactivity in the endothelial and smooth muscle cells of the myocardial vessels, as well as within cardiomyocytes (8,9). Following MI, significant activation of cardiac ACE2 occurs in rats and humans, which combats the adverse effect of an activated cardiac RAS (8). Further evidence of the cardioprotective role of ACE2 arises from studies conducted on ACE2-knockout mice, where the loss of ACE2 facilitated adverse, post-MI ventricular remodeling (10); furthermore, previous studies have indicated that ACE2 overexpression in MI rats improved cardiac contractility and remodeling (10,11). It has been identified that ACE2 serum activity increases during the first week following an acute MI and that ACE2 activation may be a compensatory mechanism in MI (12).

In the present study, the association between serum ACE2 levels and postoperative MI, following coronary artery bypass grafting (CABG), was investigated.

Patients and methods

Patients

Between March 2008 and April 2013, 136 Han Chinese patients, who underwent CABG with a cardiopulmonary bypass (CPB) at the Department of Cardiothoracic Surgery of the Second Xiangya Hospital, Central South University (Hunan, China) were enrolled in the present study. The exclusion criteria were a history of renal failure, active liver disease, bleeding disorders, autoimmune diseases or immunosuppressive therapy; patients with a family history of coronary artery disease were also excluded. The present study was approved by the Ethics Committee of the Second Xiangya Hospital, Central South University and the participants provided written informed consent prior to commencing the study.

Definition of postoperative MI

According to definitions for periprocedural necrosis and periprocedural infarction, collectively established by the American College of Cardiology Foundation, American Heart Association, European Society of Cardiology and the World Heart Federation taskforce, cardiac troponin I (cTnI) is the preferred biomarker for MI. Post-CABG biomarker values that exceed the 99th percentile of the normal reference range represent myocardial necrosis (13) and in the present study, a postoperative MI was defined as an increase of cTnI to greater than five times the 99th percentile of the normal reference range, during the first 72 h following CABG. This was in addition to manifestations of novel pathological Q-waves, a left bundle branch block, an angiographically documented novel graft of native coronary artery occlusion or imaging evidence of a novel loss of a viable MI (13).

Data collection

Patients that were undergoing CABG ceased all antiplatelet agent usage at least two days prior to surgery. Intraoperative anesthetic, perfusion and cardioprotective management was standardized, using fentanyl-isoflurane anesthesia, nonpulsatile CPB (32–35°C), crystalloid prime, pump flow rates >2.4 l/min/m2, cold blood cardioplegia, α-stat blood gas management, heparin (to maintain activated clotting times >450 secs), ɛ-aminocaproic acid infusion and serial hematocrit levels were maintained at ≥0.18 during the CPB. The serum ACE2 levels were measured using an ACE2 (human) ELISA kit (K4918-100; BioVision, Milpitas, CA, USA) according to the manufacturer’s instructions on preoperative day 3 and 1, 1 h post surgery and postoperative days 1, 2, 6, 9 and 12. Serum creatine kinase (CK)-MB levels were measured via a human cTnI ELISA kit (EA-0301; Signosis, Sunnyvale, CA, USA) according the manufacturer’s instructions on preoperative day 1, 1 h post surgery and postoperative days 1, 2, 6 and 9.

Genotyping

Three single nucleotide polymorphisms (SNPs), 1075A/G (rs1978124), 8790A/G (rs2285666) and 16854G/C (rs4646142) were selected as proxies to investigate the ACE2 polymorphisms as previously described (14). Quality control was performed by sequencing the three SNPs in 80 randomly selected subjects from the study cohort; the discrepancy rate was 1.25%.

Statistical analysis

Serum ACE2 levels were divided into quartile categories; ≤1.06, 1.07–1.42, 1.43–1.85 and ≥1.86 ng/ml. The adjusted hazard ratios (HRs) and the 95% confidence intervals (CIs) were calculated using the Cox proportional hazard model. The continuous variable values were expressed as the mean ± standard deviation and comparisons between the means of the two groups were performed using Student’s t-test. The categorical variables were expressed as n (%) and analyzed using the χ2 test. Statistical analysis was performed using SPSS version 10.0 (SPSS Inc., Chicago, IL, USA). The statistical significance level of this study was set at a two-tailed α=0.05.

Results

Serum ACE2

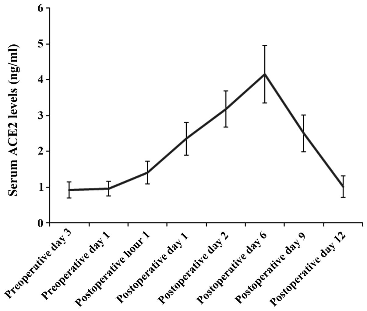
The serum ACE2 levels were measured in the blood samples collected on preoperative days 3 and 1, 1 h post surgery, and postoperative days 1, 2, 6, 9 and 12. The serum ACE2 level observed in the patients who underwent CABG with CPB, was at baseline level prior to surgery and began to rise 1 h post CABG; six days after surgery, the serum ACE2 levels peaked and subsequently returned to baseline 12 days post surgery (Fig. 1). To investigate the prognostic value of the serum ACE2 level for postoperative MI following CABG, the serum ACE2 level was analyzed 1 h post surgery; this was the earliest time point at which the serum ACE2 level began to rise above baseline following CABG. The serum ACE2 levels that were observed 1 h post surgery, were divided into quartile categories; ≤1.06, 1.07–1.42, 1.43–1.85 and ≥1.86 ng/ml. No statistically significant differences were identified between the quartile categories in age, gender, body mass index (BMI), current smoking status, unstable angina, prior MI and prevalence of hyperlipidemia, hypertension and diabetes mellitus (Table I). Furthermore, there were no statistically significant differences observed between the quartile categories regarding disease pattern, procedural characteristics and pre-CABG medication use (Table II).

Figure 1

Preoperative and postoperative serum ACE2 levels in patients undergoing coronary artery bypass grafting. ACE2, angiotensin-converting enzyme.

Table I

General characteristics of study subjects.

Table I

General characteristics of study subjects.

Serum ACE2 quartile categories, ng/ml (n=34)

≤1.061.07–1.421.43–1.85≥1.86P-value
Age (years)63.5±4.564.2±3.863.2±3.463.7±4.20.29
Gender0.83
 Male, n (%)27 (79.4)29 (85.3)26 (76.5)27 (79.4)
 Female, n (%)7 (20.6)5 (14.7)8 (23.5)7 (20.6)
Unstable angina14 (41.2)15 (44.1)13 (38.2)11 (32.4)0.78
Hyperlipidemia, n (%)31 (91.2)31 (91.2)32 (94.1)30 (88.2)0.87
Hypertension, n (%)22 (64.7)21 (61.8)23 (67.6)18 (52.9)0.63
Diabetes mellitus, n (%)6 (17.6)5 (14.7)7 (20.6)5 (14.7)0.90
Prior MI9 (26.5)10 (29.4)8 (23.5)8 (23.5)0.94
BMI (kg/m2)28.7±4.827.9±6.029.3±5.228.1±4.90.27
Current smoker8 (23.5)12 (35.3)9 (26.5)11 (32.4)0.70

[i] ACE, angiotensin-converting enzyme; MI, myocardial infarction; BMI, body mass index.

Table II

Disease and procedural characteristics of study subjects.

Table II

Disease and procedural characteristics of study subjects.

Serum ACE2 quartile categories, ng/ml (n=34)

≤1.061.07–1.421.43–1.85≥1.86P-value
Disease pattern
 LM or LM+1 vessel, n (%)3 (8.8)4 (11.8)3 (8.8)2 (5.9)0.87
 LM+2 or 3 vessels, n (%)5 (14.7)4 (11.8)4 (11.8)3 (8.8)0.90
 Two vessel, n (%)8 (23.5)9 (26.5)8 (23.5)6 (17.6)0.85
 Three vessel, n (%)18 (52.9)17 (50.0)19 (55.9)23 (67.6)0.48
 Lesions (n)3.1±0.23.0±0.33.0±0.33.2±0.40.83
 Gensini score37.5±4.637.3±5.137.4±4.837.0±3.90.92
Procedural characteristics
 On-pump, n (%)34 (100.0)34 (100.0)34 (100.0)34 (100.0)1.00
 CPB time (mins)49.5±3.952.3±4.254.2±3.953.6±4.50.41
 Aortic clamp time (mins)32.5±1.931.9±2.033.2±2.132.9±2.70.53
 Grafts (n)2.5±0.22.4±0.22.5±0.12.5±0.20.95
 LIMA use, n (%)30 (88.2)31 (91.2)31 (91.2)30 (88.2)0.96
 SVG use, n (%)30 (88.2)31 (91.2)31 (91.2)30 (88.2)0.96
 Free arterial graft use, n (%)4 (11.8)3 (8.8)3 (8.8)4 (11.8)0.96
Pre-CABG medication
 Aspirin, n (%)31 (91.2)32 (94.1)30 (88.2)31 (91.2)0.87
 Clopidogrel, n (%)4 (11.8)6 (17.6)5 (14.7)5 (14.7)0.93
 Statin, n (%)31 (91.2)31 (91.2)30 (88.2)32 (94.1)0.87
 β-blocker, n (%)26 (76.5)28 (82.4)27 (79.4)25 (73.5)0.84
 ACE inhibitor/ARB, n (%)21 (61.8)19 (55.9)19 (55.9)20 (58.8)0.95

[i] Continuous variable values were expressed as the mean ± standard deviation. ACE, angiotensin-converting enzyme; ARB, angiotensin II receptor blocker; CABG, coronary artery bypass grafting; CPB, cardiopulmonary bypass; LIMA, left internal mammary graft; LM, left main; SVG, saphenous vein graft.

Postoperative MI increases following a decrease in the levels of serum ACE2

Postoperative MI increased as the serum ACE2 level decreased and the risk was identified to be significantly higher in the first quartile group when compared with the second, third and fourth quartile groups (Model 1; Table III). Following adjustment for age, gender, BMI, hypertension, prior MI, current smoking status, hyperlipidemia, diabetes mellitus, Gensini score, aortic clamp time, number of grafts and pre-CABG medications, the risk of developing postoperative MI following CABG was significantly higher in the lowest serum ACE2 level quartile group, compared with the highest quartile group (hazard ratio, 2.94; 95% CI, 1.85–4.16; P=0.009). Analysis of serum ACE2 levels on postoperative days 1, 2, 6 and 9 resulted in values that were not statistically significant (data not shown). All of the subjects exhibited significant negative correlation between serum ACE2 and cTnI levels 1 h after surgery, and on days 1, 2, 6 and 9 post surgery, ranging between r=−0.525 (1 h prior to surgery; P<0.001) and r=−462 (postoperative day 9; P<0.001).

Table III

Adjusted HRs of postoperative MI by serum ACE2 levels.

Table III

Adjusted HRs of postoperative MI by serum ACE2 levels.

Serum ACE2 quartile categories, ng/ml (n=34)P-value for trend (across categories)Continuous log scaleaP-value for trend (continuous)

≤1.061.07–1.421.43–1.85≥1.86
Postoperative MI, n (%)9 (26.5)5 (14.7)4 (11.8)2 (5.9)
Model 1b HR (95% CI)5.76 (1.14–29.08)2.76 (0.50–15.33)2.13 (0.36–12.51)1 (Reference)<0.0012.51 (2.06–2.92)<0.001
Model 2c HR (95% CI)2.94 (1.85–4.16)1.49 (0.92–2.58)1.19 (0.57–2.11)1 (Reference)0.0091.92 (1.53–2.27)0.007

a HR per 1 - standard deviation decrease of log-transformed ACE2 levels;

b Model 1: Adjusted for age, gender and BMI;

c Model 2: Adjusted for age, gender, BMI, hypertension, prior MI, current smoking status, hyperlipidemia, diabetes mellitus, Gensini score, aortic clamp time, number of grafts and pre-coronary artery bypass grafting medications.

{ label (or @symbol) needed for fn[@id='tfn6-etm-07-06-1721'] } HR, hazard ratio; MI, myocardial infarction; ACE2, angiotensin-converting enzyme 2; BMI, body mass index.

Association between low serum ACE2 levels and typical morbidities postCABG. The association between the lowest serum ACE2 level quartile group (≤1.06 ng/ml) and the incidence of typical morbidities post CABG, including postoperative MI, arrhythmia, low cardiac output, pulmonary complications, neurological complications and excessive bleeding was investigated. In the analysis, the second, third and fourth quartiles of serum ACE2 levels were combined into a single category (>1.06 ng/ml; n=102) to enable comparison with the first serum ACE2 level quartile group (≤1.06 ng/ml; n=34). The subjects exhibiting a serum ACE2 level ≤1.06 ng/ml indicated significantly higher rates of postoperative MI, arrhythmia and reduced cardiac output, as well as greater in-hospital mortality following CABG, compared with those exhibiting a serum ACE2 level >1.06 ng/ml (Table IV).

Table IV

ACE2 levels with postoperative morbidities and in-hospital mortality.

Table IV

ACE2 levels with postoperative morbidities and in-hospital mortality.

Serum ACE2 quartile categories (ng/ml)

Total (n=136)≤1.06 (n=34)>1.06 (n=102)P-value
Postoperative MI20 (14.7)9 (26.5)11 (10.8)0.046a
Arrhythmia37 (27.2)14 (41.2)23 (22.5)0.045a
Low cardiac output17 (12.5)8 (23.5)9 (8.8)0.036a
Pulmonary complications21 (15.4)8 (23.5)13 (12.7)0.170
Neurologic complications6 (4.4)2 (5.9)4 (3.9)0.640
Excessive bleeding3 (2.2)1 (2.9)2 (2.0)1.000
In-hospital mortality6 (4.4)4 (11.8)2 (2.0)0.034a

a P<0.05. Data are expressed as n (%).

{ label (or @symbol) needed for fn[@id='tfn8-etm-07-06-1721'] } ACE2, angiotensin-converting enzyme 2; MI, myocardial infarction.

ACE2 polymorphisms

ACE2 polymorphisms are reportedly associated with MI; Yang et al (14) reported that ACE2 SNPs, 1075A/G (rs1978124), 8790A/G (rs2285666) and 16854G/C (rs4646142) were associated with MI (14). Association analysis that was conducted with female subjects indicated that the 1075AA and 16854GG genotypes were significantly associated with MI (P<0.05) and that the 8790AA genotype was associated with MI at a non-significant level (P=0.058). In the male subjects, the 1075A/G-8790A/G and 16854G/C haplotype GGC was significantly associated with MI, when compared with the most common haplotype AAG (P<0.05) (14). To determine whether those ACE2 polymorphisms were associated with the serum ACE2 level in the present study, the association between the serum ACE2 level and the ACE2 genotypes and haplotypes, reportedly associated with MI, were examined in all of the subjects. As the ACE2 gene is located on the X chromosome, the association analysis was conducted by gender. There was no significant association observed between the serum ACE2 level quartile groups and the ACE2 1075AA, 16854GG or 8790AA genotypes in the female subjects, or the ACE2 1075A/G-8790A/G and 16854G/C haplotype GGC in the male subjects (Table V). The results indicated that the observed association between the serum ACE2 level and postoperative MI following CABG, in the present study, was not a result of ACE2 gene polymorphisms.

Table V

ACE2 polymorphisms and serum ACE2 levels.

Table V

ACE2 polymorphisms and serum ACE2 levels.

A, Female (n=27)

Serum ACE2 quartile categories (ng/ml)

ACE2 polymorphisms≤1.061.07–1.421.43–1.85≥1.86TotalP-value
1075A/G (rs1978124)0.87
 AA32229
 Non-AA436518
 Total758727
8790A/G (rs2285666)0.85
 AA21339
 Non-AA545418
 Total758727
16854G/C (rs4646142)0.73
 GG334212
 Non-GG424515
 Total758727

B, Male (n=109)

Serum ACE2 quartile categories (ng/ml)

ACE2 polymorphisms≤1.061.07–1.421.43–1.85≥1.86TotalP-value

1075A/G-8790A/G and 16854G/C haplotype0.57
 GGC374620
 Non-GGC2422222189
 Total27292627109

[i] ACE, angiotensin-converting enzyme.

Discussion

MI is a predominant and severe complication in patients undergoing aortocoronary bypass surgery. Early diagnosis and prediction of MI is an important condition for optimal postoperative patient management. Previous studies have indicated that ACE2 activation is a protective mechanism in MI and that supplementing ACE2 may be a potential therapy for MI/ischemic heart disease (8–11,15). In the present study, the results indicated that the serum ACE2 level was associated with postoperative MI and in-hospital mortality following CABG.

The serum ACE2 level remained at baseline level preoperatively, began to rise 1 h post CABG, peaked on day 6 post surgery and returned to baseline level on day 12, post surgery. As MI can occur within 24 h of CABG, the serum ACE2 level 1 h post surgery was analyzed to evaluate the potential prognostic value of the serum ACE2 level for postoperative MI following CABG. The association analysis results 1 h post surgery were significant compared with those at other time points. According to previous studies, the duration of aortic cross-clamping, number of coronary grafts and history of previous cardiac surgery were independent predictors of postoperative MI (1). In addition, ACE inhibitors and angiotensin receptor blockers are capable of enhancing ACE2 expression (16,17). Thus, the hazard ratio was adjusted for prior MI, aortic clamp time, number of grafts and pre-CABG medications, in addition to a variety of other confounding factors that may have affected the incidence of postoperative MI and/or serum ACE2 levels, including age, gender, BMI, hypertension, current smoking status, hyperlipidemia, diabetes mellitus and Gensini score. After adjusting for the confounding factors, the risk of developing postoperative MI remained significantly higher in the lowest serum ACE2 level quartile group than in the highest quartile group, 1 h post surgery, indicating that the serum ACE2 level 1 h post surgery may be an independent risk factor for postoperative MI following CABG. Thus, the serum ACE2 level 1 h post surgery may be a potential novel biomarker or prognostic factor for postoperative MI following CABG; its value in clinical applications may be investigated in future studies using a larger patient population.

Postoperative MI, following cardiac surgery is associated with reduced long-term survival rates (1). In the present study, the serum ACE2 level in the lowest quartile group was observed to be associated with the increased rate of postoperative MI, arrhythmia, low cardiac output and in-hospital mortality, indicating that the serum ACE2 level may be a potential novel prognostic factor for short-term survival following cardiac surgery. A prospective study, using the same patient cohort, is being conducted to investigate the association between the serum ACE2 level, postoperative MI and long-term survival rate following CABG.

cTnI, a contractile protein unique to the heart muscle, is a sensitive biomarker, which was introduced predominantly for risk stratification in patients exhibiting acute coronary syndrome and is the gold standard for identifying MI (18,19); in addition, ACE2 is expressed in the heart and has been observed to exhibit a protective effect during MI (8–11). Increasing evidence indicates that the expression of cardiac ACE2 is higher following MI, which combats the adverse effects of an activated cardiac RAS and, therefore, may be a compensatory mechanism in MI (8–11,15,20). In agreement with this, a significant increase in the ACE2 serum level following MI was observed in the present study. Notably, postoperative serum ACE2 and cTnI levels exhibited significant negative correlation, which confirmed that ACE2 protects against MI; therefore, a relatively low serum ACE2 level shortly after CABG, may indicate a deficient protective mechanism against MI. This may explain why the risk of developing postoperative MI was significantly greater in the lowest serum ACE2 level quartile group following CABG. The troponin system has been observed to be extremely sensitive, however, not definitive (21). Therefore, future investigations are required to identify whether the serum ACE2 level may be a more specific marker than cardiac troponin levels for detecting postoperative MI.

Polymorphisms in the ACE2 gene are associated with the development of pathological myocardial hypertrophy and heart disease in humans (14). No significant associations were identified between the serum ACE2 level quartile groups and the ACE2 genotypes and haplotypes, in the present study, which were identified to be associated with MI in previous studies (14). Although the sample size may not be adequate for a definitive answer to address this issue (particularly in the female group), the findings reduced the possibility that the observed association between the serum ACE2 level and postoperative MI following CABG was a result of ACE2 polymorphisms.

The strength of the present study was due to the use of a relatively large sample size of patients who underwent CABG and the analysis results were adjusted for multiple relevant factors, including aortic clamp time, number of grafts and pre-CABG medication use. The findings indicated that post surgery, specific attention should be given to CABG patients exhibiting a relatively low serum ACE2 level (when based on an established population-specific normal referencing range) shortly after undergoing CABG, as there is a tendency to develop postoperative MI following CABG. In addition, the findings indicate that supplementing ACE2 levels may be a potential novel therapy for postoperative MI following CABG. The limitation of the present study was that it was conducted only with patients undergoing CABG with a CPB, and patients undergoing off-pump CABG was not included. This was because CABG with a CPB was the predominant type of CABG surgery with which we were able to recruit for an adequate sample size. The association between the serum ACE2 level and postoperative MI following off-pump CABG will be investigated in future studies, based on accumulating a sample of appropriate patients.

In conclusion, the present study indicated that the serum ACE2 level 1 h post CABG was independently associated with an increased risk of postoperative MI. Thus, observations of the serum ACE2 level may be a potential novel prognostic factor for postoperative MI, following CABG.

References

1 

Podgoreanu MV, White WD, Morris RW, et al; Perioperative Genetics and Safety Outcomes Study (PEGASUS) Investigative Team. Inflammatory gene polymorphisms and risk of postoperative myocardial infarction after cardiac surgery. Circulation. 114(1 Suppl): I275–I281. 2006. View Article : Google Scholar : PubMed/NCBI

2 

Nathoe HM, van Dijk D, Jansen EW, et al; Octopus Study Group. A comparison of on-pump and off-pump coronary bypass surgery in low-risk patients. N Engl J Med. 348:394–402. 2003. View Article : Google Scholar : PubMed/NCBI

3 

Domenighetti AA, Wang Q, Egger M, Richards SM, Pedrazzini T and Delbridge LM: Angiotensin II-mediated phenotypic cardiomyocyte remodeling leads to age-dependent cardiac dysfunction and failure. Hypertension. 46:426–432. 2005. View Article : Google Scholar : PubMed/NCBI

4 

Mazzolai L, Pedrazzini T, Nicoud F, Gabbiani G, Brunner HR and Nussberger J: Increased cardiac angiotensin II levels induce right and left ventricular hypertrophy in normotensives mice. Hypertension. 35:985–991. 2000. View Article : Google Scholar : PubMed/NCBI

5 

Vickers C, Hales P, Kaushik V, Dick L, Gavin J, Tang J, Godbout K, Parsons T, Baronas E, Hsieh F, et al: Hydrolysis of biological peptides by human angiotensin-converting enzyme-related carboxypeptidase. J Biol Chem. 277:14838–14843. 2002. View Article : Google Scholar : PubMed/NCBI

6 

Der Sarkissian S, Huentelman MJ, Stewart J, Katovich MJ and Raizada MK: ACE2: A novel therapeutic target for cardiovascular diseases. Prog Biophys Mol Biol. 91:163–198. 2006.PubMed/NCBI

7 

Raizada MK and Ferreira AJ: ACE2: a new target for cardiovascular disease therapeutics. J Cardiovasc Pharmacol. 50:112–119. 2007. View Article : Google Scholar : PubMed/NCBI

8 

Burrell LM, Risvanis J, Kubota E, et al: Myocardial infarction increases ACE2 expression in rat and humans. Eur Heart J. 26:369–375; discussion 322–324. 2005. View Article : Google Scholar : PubMed/NCBI

9 

Hamming I, Cooper ME, Haagmans BL, et al: The emerging role of ACE2 in physiology and disease. J Pathol. 212:1–11. 2007. View Article : Google Scholar : PubMed/NCBI

10 

Der Sarkissian S, Grobe JL, Yuan L, Narielwala DR, Walter GA, Katovich MJ and Raizada MK: Cardiac overexpression of angiotensin converting enzyme 2 protects the heart from ischemia-induced pathophysiology. Hypertension. 51:712–718. 2008.PubMed/NCBI

11 

Zhao YX, Yin HQ, Yu QT, et al: ACE2 overexpression ameliorates left ventricular remodeling and dysfunction in a rat model of myocardial infarction. Hum Gene Ther. 21:1545–1554. 2010. View Article : Google Scholar : PubMed/NCBI

12 

Ortiz Pérez JT, Riera M, Genover XB, De Caralt TM, et al: Serum ACE2 activity correlates with infarct size and left ventricular dysfunction during acute myocardial infarction. J Cardiovasc Magn Reson. 13(Suppl 1): P1422011.

13 

Thygesen K, Alpert JS and White HD; Joint ESC/ACCF/AHA/WHF Task Force for the Redefinition of Myocardial Infarction. Universal definition of myocardial infarction. J Am Coll Cardiol. 50:2173–2195. 2007. View Article : Google Scholar : PubMed/NCBI

14 

Yang W, Huang W, Su S, Li B, Zhao W, Chen S and Gu D: Association study of ACE2 (angiotensin I-converting enzyme 2) gene polymorphisms with coronary heart disease and myocardial infarction in a Chinese Han population. Clin Sci (Lond). 111:333–340. 2006. View Article : Google Scholar : PubMed/NCBI

15 

Kassiri Z, Zhong J, Guo D, et al: Loss of angiotensin-converting enzyme 2 accelerates maladaptive left ventricular remodeling in response to myocardial infarction. Circ Heart Fail. 2:446–455. 2009. View Article : Google Scholar : PubMed/NCBI

16 

Keidar S, Gamliel-Lazarovich A, Kaplan M, et al: Mineralocorticoid receptor blocker increases angiotensin-converting enzyme 2 activity in congestive heart failure patients. Circ Res. 97:946–953. 2005. View Article : Google Scholar

17 

Ferrario CM, Jessup J, Chappell MC, et al: Effect of angiotensin.converting enzyme inhibition and angiotensin. II receptor blockers on cardiac angiotensin.converting enzyme.2. Circulation. 111:2605–2610. 2005. View Article : Google Scholar : PubMed/NCBI

18 

Alyanakian MA, Dehoux M, Chatel D, et al: Cardiac troponin I in diagnosis of perioperative myocardial infarction after cardiac surgery. J Cardiothorac Vasc Anesth. 12:288–294. 1998. View Article : Google Scholar : PubMed/NCBI

19 

Lim CC, Cuculi F, van Gaal WJ, et al: Early diagnosis of perioperative myocardial infarction after coronary bypass grafting: a study using biomarkers and cardiac magnetic resonance imaging. Ann Thorac Surg. 92:2046–2053. 2011. View Article : Google Scholar

20 

Burchill LJ, Velkoska E, Dean RG, Griggs K, Patel SK and Burrell LM: Combination renin-angiotensin system blockade and angiotensin-converting enzyme 2 in experimental myocardial infarction: implications for future therapeutic directions. Clin Sci (Lond). 123:649–658. 2012. View Article : Google Scholar

21 

Mahajan VS and Jarolim P: How to interpret elevated cardiac troponin levels. Circulation. 124:2350–2354. 2011. View Article : Google Scholar : PubMed/NCBI

Related Articles

  • Abstract
  • View
  • Download
  • Twitter
Copy and paste a formatted citation
Spandidos Publications style
Wang M, Zhang W, Zhou Y and Zhou X: Association between serum angiotensin‑converting enzyme 2 levels and postoperative myocardial infarction following coronary artery bypass grafting. Exp Ther Med 7: 1721-1727, 2014.
APA
Wang, M., Zhang, W., Zhou, Y., & Zhou, X. (2014). Association between serum angiotensin‑converting enzyme 2 levels and postoperative myocardial infarction following coronary artery bypass grafting. Experimental and Therapeutic Medicine, 7, 1721-1727. https://doi.org/10.3892/etm.2014.1640
MLA
Wang, M., Zhang, W., Zhou, Y., Zhou, X."Association between serum angiotensin‑converting enzyme 2 levels and postoperative myocardial infarction following coronary artery bypass grafting". Experimental and Therapeutic Medicine 7.6 (2014): 1721-1727.
Chicago
Wang, M., Zhang, W., Zhou, Y., Zhou, X."Association between serum angiotensin‑converting enzyme 2 levels and postoperative myocardial infarction following coronary artery bypass grafting". Experimental and Therapeutic Medicine 7, no. 6 (2014): 1721-1727. https://doi.org/10.3892/etm.2014.1640
Copy and paste a formatted citation
x
Spandidos Publications style
Wang M, Zhang W, Zhou Y and Zhou X: Association between serum angiotensin‑converting enzyme 2 levels and postoperative myocardial infarction following coronary artery bypass grafting. Exp Ther Med 7: 1721-1727, 2014.
APA
Wang, M., Zhang, W., Zhou, Y., & Zhou, X. (2014). Association between serum angiotensin‑converting enzyme 2 levels and postoperative myocardial infarction following coronary artery bypass grafting. Experimental and Therapeutic Medicine, 7, 1721-1727. https://doi.org/10.3892/etm.2014.1640
MLA
Wang, M., Zhang, W., Zhou, Y., Zhou, X."Association between serum angiotensin‑converting enzyme 2 levels and postoperative myocardial infarction following coronary artery bypass grafting". Experimental and Therapeutic Medicine 7.6 (2014): 1721-1727.
Chicago
Wang, M., Zhang, W., Zhou, Y., Zhou, X."Association between serum angiotensin‑converting enzyme 2 levels and postoperative myocardial infarction following coronary artery bypass grafting". Experimental and Therapeutic Medicine 7, no. 6 (2014): 1721-1727. https://doi.org/10.3892/etm.2014.1640
Follow us
  • Twitter
  • LinkedIn
  • Facebook
About
  • Spandidos Publications
  • Careers
  • Cookie Policy
  • Privacy Policy
How can we help?
  • Help
  • Live Chat
  • Contact
  • Email to our Support Team