Spandidos Publications Logo
  • About
    • About Spandidos
    • Aims and Scopes
    • Abstracting and Indexing
    • Editorial Policies
    • Reprints and Permissions
    • Job Opportunities
    • Terms and Conditions
    • Contact
  • Journals
    • All Journals
    • Oncology Letters
      • Oncology Letters
      • Information for Authors
      • Editorial Policies
      • Editorial Board
      • Aims and Scope
      • Abstracting and Indexing
      • Bibliographic Information
      • Archive
    • International Journal of Oncology
      • International Journal of Oncology
      • Information for Authors
      • Editorial Policies
      • Editorial Board
      • Aims and Scope
      • Abstracting and Indexing
      • Bibliographic Information
      • Archive
    • Molecular and Clinical Oncology
      • Molecular and Clinical Oncology
      • Information for Authors
      • Editorial Policies
      • Editorial Board
      • Aims and Scope
      • Abstracting and Indexing
      • Bibliographic Information
      • Archive
    • Experimental and Therapeutic Medicine
      • Experimental and Therapeutic Medicine
      • Information for Authors
      • Editorial Policies
      • Editorial Board
      • Aims and Scope
      • Abstracting and Indexing
      • Bibliographic Information
      • Archive
    • International Journal of Molecular Medicine
      • International Journal of Molecular Medicine
      • Information for Authors
      • Editorial Policies
      • Editorial Board
      • Aims and Scope
      • Abstracting and Indexing
      • Bibliographic Information
      • Archive
    • Biomedical Reports
      • Biomedical Reports
      • Information for Authors
      • Editorial Policies
      • Editorial Board
      • Aims and Scope
      • Abstracting and Indexing
      • Bibliographic Information
      • Archive
    • Oncology Reports
      • Oncology Reports
      • Information for Authors
      • Editorial Policies
      • Editorial Board
      • Aims and Scope
      • Abstracting and Indexing
      • Bibliographic Information
      • Archive
    • Molecular Medicine Reports
      • Molecular Medicine Reports
      • Information for Authors
      • Editorial Policies
      • Editorial Board
      • Aims and Scope
      • Abstracting and Indexing
      • Bibliographic Information
      • Archive
    • World Academy of Sciences Journal
      • World Academy of Sciences Journal
      • Information for Authors
      • Editorial Policies
      • Editorial Board
      • Aims and Scope
      • Abstracting and Indexing
      • Bibliographic Information
      • Archive
    • International Journal of Functional Nutrition
      • International Journal of Functional Nutrition
      • Information for Authors
      • Editorial Policies
      • Editorial Board
      • Aims and Scope
      • Abstracting and Indexing
      • Bibliographic Information
      • Archive
    • International Journal of Epigenetics
      • International Journal of Epigenetics
      • Information for Authors
      • Editorial Policies
      • Editorial Board
      • Aims and Scope
      • Abstracting and Indexing
      • Bibliographic Information
      • Archive
    • Medicine International
      • Medicine International
      • Information for Authors
      • Editorial Policies
      • Editorial Board
      • Aims and Scope
      • Abstracting and Indexing
      • Bibliographic Information
      • Archive
  • Articles
  • Information
    • Information for Authors
    • Information for Reviewers
    • Information for Librarians
    • Information for Advertisers
    • Conferences
  • Language Editing
Spandidos Publications Logo
  • About
    • About Spandidos
    • Aims and Scopes
    • Abstracting and Indexing
    • Editorial Policies
    • Reprints and Permissions
    • Job Opportunities
    • Terms and Conditions
    • Contact
  • Journals
    • All Journals
    • Biomedical Reports
      • Information for Authors
      • Editorial Policies
      • Editorial Board
      • Aims and Scope
      • Abstracting and Indexing
      • Bibliographic Information
      • Archive
    • Experimental and Therapeutic Medicine
      • Information for Authors
      • Editorial Policies
      • Editorial Board
      • Aims and Scope
      • Abstracting and Indexing
      • Bibliographic Information
      • Archive
    • International Journal of Epigenetics
      • Information for Authors
      • Editorial Policies
      • Editorial Board
      • Aims and Scope
      • Abstracting and Indexing
      • Bibliographic Information
      • Archive
    • International Journal of Functional Nutrition
      • Information for Authors
      • Editorial Policies
      • Editorial Board
      • Aims and Scope
      • Abstracting and Indexing
      • Bibliographic Information
      • Archive
    • International Journal of Molecular Medicine
      • Information for Authors
      • Editorial Policies
      • Editorial Board
      • Aims and Scope
      • Abstracting and Indexing
      • Bibliographic Information
      • Archive
    • International Journal of Oncology
      • Information for Authors
      • Editorial Policies
      • Editorial Board
      • Aims and Scope
      • Abstracting and Indexing
      • Bibliographic Information
      • Archive
    • Medicine International
      • Information for Authors
      • Editorial Policies
      • Editorial Board
      • Aims and Scope
      • Abstracting and Indexing
      • Bibliographic Information
      • Archive
    • Molecular and Clinical Oncology
      • Information for Authors
      • Editorial Policies
      • Editorial Board
      • Aims and Scope
      • Abstracting and Indexing
      • Bibliographic Information
      • Archive
    • Molecular Medicine Reports
      • Information for Authors
      • Editorial Policies
      • Editorial Board
      • Aims and Scope
      • Abstracting and Indexing
      • Bibliographic Information
      • Archive
    • Oncology Letters
      • Information for Authors
      • Editorial Policies
      • Editorial Board
      • Aims and Scope
      • Abstracting and Indexing
      • Bibliographic Information
      • Archive
    • Oncology Reports
      • Information for Authors
      • Editorial Policies
      • Editorial Board
      • Aims and Scope
      • Abstracting and Indexing
      • Bibliographic Information
      • Archive
    • World Academy of Sciences Journal
      • Information for Authors
      • Editorial Policies
      • Editorial Board
      • Aims and Scope
      • Abstracting and Indexing
      • Bibliographic Information
      • Archive
  • Articles
  • Information
    • For Authors
    • For Reviewers
    • For Librarians
    • For Advertisers
    • Conferences
  • Language Editing
Login Register Submit
  • This site uses cookies
  • You can change your cookie settings at any time by following the instructions in our Cookie Policy. To find out more, you may read our Privacy Policy.

    I agree
Search articles by DOI, keyword, author or affiliation
Search
Advanced Search
presentation
Experimental and Therapeutic Medicine
Join Editorial Board Propose a Special Issue
Print ISSN: 1792-0981 Online ISSN: 1792-1015
Journal Cover
December-2015 Volume 10 Issue 6

Full Size Image

Sign up for eToc alerts
Recommend to Library

Journals

International Journal of Molecular Medicine

International Journal of Molecular Medicine

International Journal of Molecular Medicine is an international journal devoted to molecular mechanisms of human disease.

International Journal of Oncology

International Journal of Oncology

International Journal of Oncology is an international journal devoted to oncology research and cancer treatment.

Molecular Medicine Reports

Molecular Medicine Reports

Covers molecular medicine topics such as pharmacology, pathology, genetics, neuroscience, infectious diseases, molecular cardiology, and molecular surgery.

Oncology Reports

Oncology Reports

Oncology Reports is an international journal devoted to fundamental and applied research in Oncology.

Experimental and Therapeutic Medicine

Experimental and Therapeutic Medicine

Experimental and Therapeutic Medicine is an international journal devoted to laboratory and clinical medicine.

Oncology Letters

Oncology Letters

Oncology Letters is an international journal devoted to Experimental and Clinical Oncology.

Biomedical Reports

Biomedical Reports

Explores a wide range of biological and medical fields, including pharmacology, genetics, microbiology, neuroscience, and molecular cardiology.

Molecular and Clinical Oncology

Molecular and Clinical Oncology

International journal addressing all aspects of oncology research, from tumorigenesis and oncogenes to chemotherapy and metastasis.

World Academy of Sciences Journal

World Academy of Sciences Journal

Multidisciplinary open-access journal spanning biochemistry, genetics, neuroscience, environmental health, and synthetic biology.

International Journal of Functional Nutrition

International Journal of Functional Nutrition

Open-access journal combining biochemistry, pharmacology, immunology, and genetics to advance health through functional nutrition.

International Journal of Epigenetics

International Journal of Epigenetics

Publishes open-access research on using epigenetics to advance understanding and treatment of human disease.

Medicine International

Medicine International

An International Open Access Journal Devoted to General Medicine.

Journal Cover
December-2015 Volume 10 Issue 6

Full Size Image

Sign up for eToc alerts
Recommend to Library

  • Article
  • Citations
    • Cite This Article
    • Download Citation
    • Create Citation Alert
    • Remove Citation Alert
    • Cited By
  • Similar Articles
    • Related Articles (in Spandidos Publications)
    • Similar Articles (Google Scholar)
    • Similar Articles (PubMed)
  • Download PDF
  • Download XML
  • View XML
Article

Novel keratin 5 mutation in a family with epidermolysis bullosa simplex

  • Authors:
    • Jiajia Gao
    • Xuebin Wang
    • Fang Zheng
    • Sufang Dong
    • Xueping Qiu
  • View Affiliations / Copyright

    Affiliations: Center for Gene Diagnosis, Zhongnan Hospital of Wuhan University, Wuhan, Hubei 430071, P.R. China
  • Pages: 2432-2436
    |
    Published online on: October 16, 2015
       https://doi.org/10.3892/etm.2015.2811
  • Expand metrics +
Metrics: Total Views: 0 (Spandidos Publications: | PMC Statistics: )
Metrics: Total PDF Downloads: 0 (Spandidos Publications: | PMC Statistics: )
Cited By (CrossRef): 0 citations Loading Articles...

This article is mentioned in:



Abstract

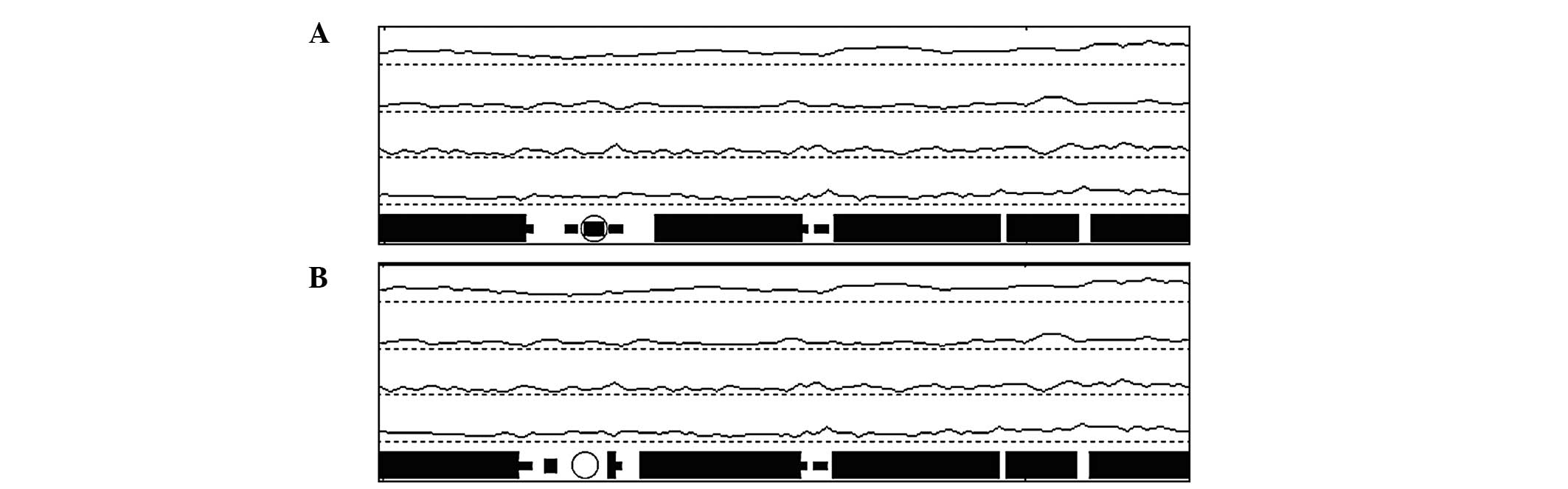
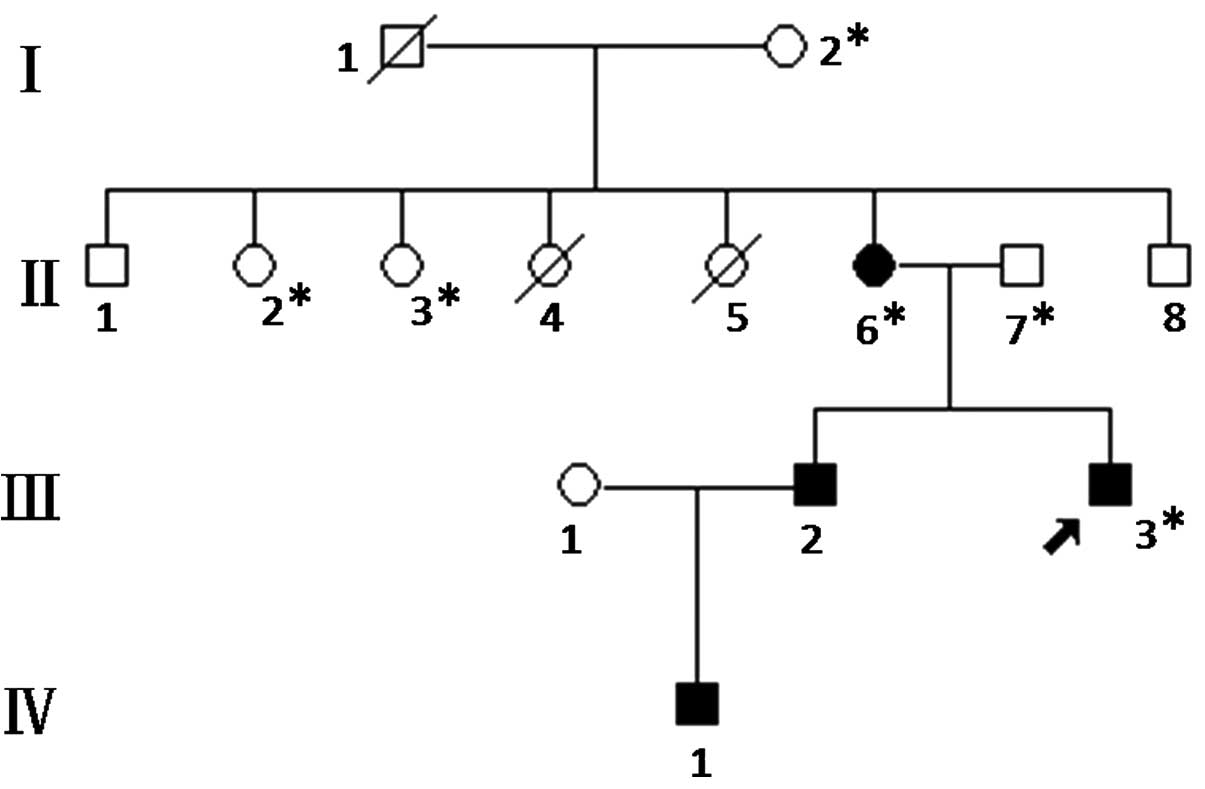
The aim of the present study was to identify the causative gene defects associated with epidermolysis bullosa simplex (EBS) in a pedigree. The diagnosis of EBS was confirmed in two patients from that pedigree based on the clinical manifestations, histopathological examination of the skin and family history. Blood samples were collected from 6 family members and 100 heathy controls, and genomic DNA and RNA were extracted. Mutation analysis of the keratin 5 gene (KRT5) was conducted using polymerase chain reaction (PCR) direct sequencing and PCR‑restriction fragment length polymorphism. In the pedigree, the results of PCR direct sequencing revealed a heterozygous missense mutation in codon 202 of exon 2 of KRT5 (c.605T>A), which led to an amino acid change (p.L202Q) in the patients with EBS but was absent from the unaffected family members and 100 population controls. In conclusion, a novel missense mutation in the KRT5 gene was identified that had a pathogenic role in EBS in the population studied, which enriches the germline mutation spectrum of the KRT5 gene.
View Figures

Figure 1

Figure 2

Figure 3

Figure 4

View References

1 

Fine JD, Eady RA, Bauer EA, Briggaman RA, Tuderman Bruckner L, Christiano A, Heagerty A, Hintner H, Jonkman MF, McGrath J, et al: Revised classification system for inherited epidermolysis bullosa: Report of the Second International Consensus Meeting on diagnosis and classification of epidermolysis bullosa. J Am Acad Dermatol. 42:1051–1066. 2000. View Article : Google Scholar : PubMed/NCBI

2 

Coulombe PA, Kerns ML and Fuchs E: Epidermolysis bullosa simplex: A paradigm for disorders of tissue fragility. J Clin Invest. 119:1784–1793. 2009. View Article : Google Scholar : PubMed/NCBI

3 

Fuchs EV: The molecular biology of epidermolysis bullosa simplex. Clinical. Bauer EA, McGuire J and Moshell A: (Baltimore). Johns Hopkins University Press. 280–299. 1999.

4 

Horn HM and Tidman MJ: The clinical spectrum of epidermolysis bullosa simplex. Br J Dermatol. 142:468–472. 2000. View Article : Google Scholar : PubMed/NCBI

5 

Steinert PM: The two-chain coiled-coil molecule of native epidermal keratin intermediate filaments is a type I-type II heterodimer. J Biol Chem. 265:8766–8774. 1990.PubMed/NCBI

6 

Soetens O, Vauloup-Fellous C, Foulon I, Dubreuil P, De Saeger B, Grangeot-Keros L and Naessens A: Evaluation of different cytomegalovirus (CMV) DNA PCR protocols for analysis of dried blood spots from consecutive cases of neonates with congenital CMV infections. J Clin Microbiol. 46:943–946. 2008. View Article : Google Scholar : PubMed/NCBI

7 

Fine JD, Eady RA, Bauer EA, Bauer JW, Bruckner-Tuderman L, Heagerty A, Hintner H, Hovnanian A, Jonkman MF, Leigh I, et al: The classification of inherited epidermolysis bullosa (EB): Report of the third international consensus meeting on diagnosis and classification of EB. J Am Acad Dermatol. 58:931–950. 2008. View Article : Google Scholar : PubMed/NCBI

8 

Liovic M, Stojan J, Bowden PE, Gibbs D, Vahlquist A, Lane EB and Komel R: A novel keratin 5 mutation (K5V186L) in a family with EBS-K: A conservative substitution can lead to development of different disease phenotypes. J Invest Dermatol. 116:964–969. 2001. View Article : Google Scholar : PubMed/NCBI

9 

Murrell DF, Trisnowati N, Miyakis S and Paller AS: The yin and the yang of keratin amino acid substitutions and epidermolysis bullosa simplex. J Invest Dermatol. 131:1787–1790. 2011. View Article : Google Scholar : PubMed/NCBI

10 

Bolling MC, Lemmink HH, Jansen GH and Jonkman MF: Mutations in KRT5 and KRT14 cause epidermolysis bullosa simplex in 75% of the patients. Br J Dermatol. 164:637–644. 2011.PubMed/NCBI

11 

Smith TA, Steinert PM and Parry DA: Modeling effects of mutations in coiled-coil structures: Case study using epidermolysis bullosa simplex mutations in segment 1a of K5/K14 intermediate filaments. Proteins. 55:1043–1052. 2004. View Article : Google Scholar : PubMed/NCBI

12 

Ciubotaru D, Bergman R, Baty D, Indelman M, Pfendner E, Petronius D, Moualem H, Kanaan M, Ben Amitai D, McLean WH, et al: Epidermolysis bullosa simplex in Israel: Clinical and genetic features. Arch Dermatol. 139:498–505. 2003. View Article : Google Scholar : PubMed/NCBI

13 

Yasukawa K, Sawamura D, Goto M, Nakamura H, Jung SY, Kim SC and Shimizu H: Epidermolysis bullosa simplex in Japanese and Korean patients: Genetic studies in 19 cases. Br J Dermatol. 155:313–317. 2006. View Article : Google Scholar : PubMed/NCBI

14 

Shinkuma S, Natsuga K, Nishie W and Shimizu H: Epidermolysis bullosa in Japan. Dermatol Clin. 28:431–432. 2010. View Article : Google Scholar : PubMed/NCBI

Related Articles

  • Abstract
  • View
  • Download
  • Twitter
Copy and paste a formatted citation
Spandidos Publications style
Gao J, Wang X, Zheng F, Dong S and Qiu X: Novel keratin 5 mutation in a family with epidermolysis bullosa simplex. Exp Ther Med 10: 2432-2436, 2015.
APA
Gao, J., Wang, X., Zheng, F., Dong, S., & Qiu, X. (2015). Novel keratin 5 mutation in a family with epidermolysis bullosa simplex. Experimental and Therapeutic Medicine, 10, 2432-2436. https://doi.org/10.3892/etm.2015.2811
MLA
Gao, J., Wang, X., Zheng, F., Dong, S., Qiu, X."Novel keratin 5 mutation in a family with epidermolysis bullosa simplex". Experimental and Therapeutic Medicine 10.6 (2015): 2432-2436.
Chicago
Gao, J., Wang, X., Zheng, F., Dong, S., Qiu, X."Novel keratin 5 mutation in a family with epidermolysis bullosa simplex". Experimental and Therapeutic Medicine 10, no. 6 (2015): 2432-2436. https://doi.org/10.3892/etm.2015.2811
Copy and paste a formatted citation
x
Spandidos Publications style
Gao J, Wang X, Zheng F, Dong S and Qiu X: Novel keratin 5 mutation in a family with epidermolysis bullosa simplex. Exp Ther Med 10: 2432-2436, 2015.
APA
Gao, J., Wang, X., Zheng, F., Dong, S., & Qiu, X. (2015). Novel keratin 5 mutation in a family with epidermolysis bullosa simplex. Experimental and Therapeutic Medicine, 10, 2432-2436. https://doi.org/10.3892/etm.2015.2811
MLA
Gao, J., Wang, X., Zheng, F., Dong, S., Qiu, X."Novel keratin 5 mutation in a family with epidermolysis bullosa simplex". Experimental and Therapeutic Medicine 10.6 (2015): 2432-2436.
Chicago
Gao, J., Wang, X., Zheng, F., Dong, S., Qiu, X."Novel keratin 5 mutation in a family with epidermolysis bullosa simplex". Experimental and Therapeutic Medicine 10, no. 6 (2015): 2432-2436. https://doi.org/10.3892/etm.2015.2811
Follow us
  • Twitter
  • LinkedIn
  • Facebook
About
  • Spandidos Publications
  • Careers
  • Cookie Policy
  • Privacy Policy
How can we help?
  • Help
  • Live Chat
  • Contact
  • Email to our Support Team