Spandidos Publications Logo
  • About
    • About Spandidos
    • Aims and Scopes
    • Abstracting and Indexing
    • Editorial Policies
    • Reprints and Permissions
    • Job Opportunities
    • Terms and Conditions
    • Contact
  • Journals
    • All Journals
    • Oncology Letters
      • Oncology Letters
      • Information for Authors
      • Editorial Policies
      • Editorial Board
      • Aims and Scope
      • Abstracting and Indexing
      • Bibliographic Information
      • Archive
    • International Journal of Oncology
      • International Journal of Oncology
      • Information for Authors
      • Editorial Policies
      • Editorial Board
      • Aims and Scope
      • Abstracting and Indexing
      • Bibliographic Information
      • Archive
    • Molecular and Clinical Oncology
      • Molecular and Clinical Oncology
      • Information for Authors
      • Editorial Policies
      • Editorial Board
      • Aims and Scope
      • Abstracting and Indexing
      • Bibliographic Information
      • Archive
    • Experimental and Therapeutic Medicine
      • Experimental and Therapeutic Medicine
      • Information for Authors
      • Editorial Policies
      • Editorial Board
      • Aims and Scope
      • Abstracting and Indexing
      • Bibliographic Information
      • Archive
    • International Journal of Molecular Medicine
      • International Journal of Molecular Medicine
      • Information for Authors
      • Editorial Policies
      • Editorial Board
      • Aims and Scope
      • Abstracting and Indexing
      • Bibliographic Information
      • Archive
    • Biomedical Reports
      • Biomedical Reports
      • Information for Authors
      • Editorial Policies
      • Editorial Board
      • Aims and Scope
      • Abstracting and Indexing
      • Bibliographic Information
      • Archive
    • Oncology Reports
      • Oncology Reports
      • Information for Authors
      • Editorial Policies
      • Editorial Board
      • Aims and Scope
      • Abstracting and Indexing
      • Bibliographic Information
      • Archive
    • Molecular Medicine Reports
      • Molecular Medicine Reports
      • Information for Authors
      • Editorial Policies
      • Editorial Board
      • Aims and Scope
      • Abstracting and Indexing
      • Bibliographic Information
      • Archive
    • World Academy of Sciences Journal
      • World Academy of Sciences Journal
      • Information for Authors
      • Editorial Policies
      • Editorial Board
      • Aims and Scope
      • Abstracting and Indexing
      • Bibliographic Information
      • Archive
    • International Journal of Functional Nutrition
      • International Journal of Functional Nutrition
      • Information for Authors
      • Editorial Policies
      • Editorial Board
      • Aims and Scope
      • Abstracting and Indexing
      • Bibliographic Information
      • Archive
    • International Journal of Epigenetics
      • International Journal of Epigenetics
      • Information for Authors
      • Editorial Policies
      • Editorial Board
      • Aims and Scope
      • Abstracting and Indexing
      • Bibliographic Information
      • Archive
    • Medicine International
      • Medicine International
      • Information for Authors
      • Editorial Policies
      • Editorial Board
      • Aims and Scope
      • Abstracting and Indexing
      • Bibliographic Information
      • Archive
  • Articles
  • Information
    • Information for Authors
    • Information for Reviewers
    • Information for Librarians
    • Information for Advertisers
    • Conferences
  • Language Editing
Spandidos Publications Logo
  • About
    • About Spandidos
    • Aims and Scopes
    • Abstracting and Indexing
    • Editorial Policies
    • Reprints and Permissions
    • Job Opportunities
    • Terms and Conditions
    • Contact
  • Journals
    • All Journals
    • Biomedical Reports
      • Information for Authors
      • Editorial Policies
      • Editorial Board
      • Aims and Scope
      • Abstracting and Indexing
      • Bibliographic Information
      • Archive
    • Experimental and Therapeutic Medicine
      • Information for Authors
      • Editorial Policies
      • Editorial Board
      • Aims and Scope
      • Abstracting and Indexing
      • Bibliographic Information
      • Archive
    • International Journal of Epigenetics
      • Information for Authors
      • Editorial Policies
      • Editorial Board
      • Aims and Scope
      • Abstracting and Indexing
      • Bibliographic Information
      • Archive
    • International Journal of Functional Nutrition
      • Information for Authors
      • Editorial Policies
      • Editorial Board
      • Aims and Scope
      • Abstracting and Indexing
      • Bibliographic Information
      • Archive
    • International Journal of Molecular Medicine
      • Information for Authors
      • Editorial Policies
      • Editorial Board
      • Aims and Scope
      • Abstracting and Indexing
      • Bibliographic Information
      • Archive
    • International Journal of Oncology
      • Information for Authors
      • Editorial Policies
      • Editorial Board
      • Aims and Scope
      • Abstracting and Indexing
      • Bibliographic Information
      • Archive
    • Medicine International
      • Information for Authors
      • Editorial Policies
      • Editorial Board
      • Aims and Scope
      • Abstracting and Indexing
      • Bibliographic Information
      • Archive
    • Molecular and Clinical Oncology
      • Information for Authors
      • Editorial Policies
      • Editorial Board
      • Aims and Scope
      • Abstracting and Indexing
      • Bibliographic Information
      • Archive
    • Molecular Medicine Reports
      • Information for Authors
      • Editorial Policies
      • Editorial Board
      • Aims and Scope
      • Abstracting and Indexing
      • Bibliographic Information
      • Archive
    • Oncology Letters
      • Information for Authors
      • Editorial Policies
      • Editorial Board
      • Aims and Scope
      • Abstracting and Indexing
      • Bibliographic Information
      • Archive
    • Oncology Reports
      • Information for Authors
      • Editorial Policies
      • Editorial Board
      • Aims and Scope
      • Abstracting and Indexing
      • Bibliographic Information
      • Archive
    • World Academy of Sciences Journal
      • Information for Authors
      • Editorial Policies
      • Editorial Board
      • Aims and Scope
      • Abstracting and Indexing
      • Bibliographic Information
      • Archive
  • Articles
  • Information
    • For Authors
    • For Reviewers
    • For Librarians
    • For Advertisers
    • Conferences
  • Language Editing
Login Register Submit
  • This site uses cookies
  • You can change your cookie settings at any time by following the instructions in our Cookie Policy. To find out more, you may read our Privacy Policy.

    I agree
Search articles by DOI, keyword, author or affiliation
Search
Advanced Search
presentation
Experimental and Therapeutic Medicine
Join Editorial Board Propose a Special Issue
Print ISSN: 1792-0981 Online ISSN: 1792-1015
Journal Cover
August-2017 Volume 14 Issue 2

Full Size Image

Sign up for eToc alerts
Recommend to Library

Journals

International Journal of Molecular Medicine

International Journal of Molecular Medicine

International Journal of Molecular Medicine is an international journal devoted to molecular mechanisms of human disease.

International Journal of Oncology

International Journal of Oncology

International Journal of Oncology is an international journal devoted to oncology research and cancer treatment.

Molecular Medicine Reports

Molecular Medicine Reports

Covers molecular medicine topics such as pharmacology, pathology, genetics, neuroscience, infectious diseases, molecular cardiology, and molecular surgery.

Oncology Reports

Oncology Reports

Oncology Reports is an international journal devoted to fundamental and applied research in Oncology.

Experimental and Therapeutic Medicine

Experimental and Therapeutic Medicine

Experimental and Therapeutic Medicine is an international journal devoted to laboratory and clinical medicine.

Oncology Letters

Oncology Letters

Oncology Letters is an international journal devoted to Experimental and Clinical Oncology.

Biomedical Reports

Biomedical Reports

Explores a wide range of biological and medical fields, including pharmacology, genetics, microbiology, neuroscience, and molecular cardiology.

Molecular and Clinical Oncology

Molecular and Clinical Oncology

International journal addressing all aspects of oncology research, from tumorigenesis and oncogenes to chemotherapy and metastasis.

World Academy of Sciences Journal

World Academy of Sciences Journal

Multidisciplinary open-access journal spanning biochemistry, genetics, neuroscience, environmental health, and synthetic biology.

International Journal of Functional Nutrition

International Journal of Functional Nutrition

Open-access journal combining biochemistry, pharmacology, immunology, and genetics to advance health through functional nutrition.

International Journal of Epigenetics

International Journal of Epigenetics

Publishes open-access research on using epigenetics to advance understanding and treatment of human disease.

Medicine International

Medicine International

An International Open Access Journal Devoted to General Medicine.

Journal Cover
August-2017 Volume 14 Issue 2

Full Size Image

Sign up for eToc alerts
Recommend to Library

  • Article
  • Citations
    • Cite This Article
    • Download Citation
    • Create Citation Alert
    • Remove Citation Alert
    • Cited By
  • Similar Articles
    • Related Articles (in Spandidos Publications)
    • Similar Articles (Google Scholar)
    • Similar Articles (PubMed)
  • Download PDF
  • Download XML
  • View XML
Article Open Access

Value of serum Mycoplasma pneumoniae immunoglobulin in the diagnosis of mycoplasma-related pneumonia in newborns

Retraction in: /10.3892/etm.2018.6251
  • Authors:
    • Yan Dong
    • Wei Lv
    • Zhen Lin
  • View Affiliations / Copyright

    Affiliations: Department of Paediatrics, Shanghai Ninth People's Hospital, Shanghai Jiao Tong University School of Medicine, Shanghai 201900, P.R. China
    Copyright: © Dong et al. This is an open access article distributed under the terms of Creative Commons Attribution License.
  • Pages: 1445-1449
    |
    Published online on: June 23, 2017
       https://doi.org/10.3892/etm.2017.4654
  • Expand metrics +
Metrics: Total Views: 0 (Spandidos Publications: | PMC Statistics: )
Metrics: Total PDF Downloads: 0 (Spandidos Publications: | PMC Statistics: )
Cited By (CrossRef): 0 citations Loading Articles...

This article is mentioned in:



Abstract

Mycoplasma pneumoniae (M. pneumoniae) is an important pathogen of neonatal acquired pneumonia in newborns. Rapid and accurate diagnosis of M. pneumoniae infection is critical because timely antibiotic therapy can reduce drug overuse and prevent the development of bacterial resistance. Anti-M. pneumoniae immunoglobulin M (IgM) is an indicator of early infection that can persist for several months. Studies have shown that anti-M. pneumoniae IgA in adults is a reliable indicator of early M. pneumoniae infection. The aim of this study was to assess the association between M. pneumoniae IgA, IgM and IgG in mycoplasma-associated pneumonia. We recruited 80 newborns with pneumonia with potency of serum M. pneumoniae IgM positive or two sera anti-M. pneumoniae IgG increased by 4-fold. The potency of serum M. pneumoniae IgA, IgM and IgG were detected. The initial positive rates of IgM and IgA in M. pneumoniae were 63.6 and 33.8%, respectively, after infection. The positive rate of IgM and IgA in M. pneumoniae increased to 97.5 and 56.3%, respectively, at one week after infection. Compared with anti-M. pneumoniae IgA, anti-M. pneumoniae IgM has higher sensitivity in the diagnosis of neonatal mycoplasma‑associated pneumonia. Detection of two sera can more effectively improve the diagnostic accuracy.

Introduction

Mycoplasma pneumoniae (M. pneumoniae) is one of the most common pathogens causing pneumonia, especially neonatal pneumonia. The typical clinical manifestation is cough without runny nose, but the symptoms vary widely from asymptomatic respiratory infections to severe pulmonary infections (1). M. pneumoniae is sensitive to macrolide or tetracycline antibiotics, but because of the lack of appropriate diagnostic methods, these antibiotics are not used in a timely manner. M. pneumoniae is also sensitive to fluoroquinolone antibiotics, but fluoroquinolones cannot be used in neonates because of cytotoxic side effects (2). In recent years, the extensive use of macrolide antibiotics has led to the increase of macrolide-resistant M. pneumoniae around the world (3). The proportion of macrolide-resistant M. pneumoniae in Asia is 10–20% (4,5), whereas in some parts of China it is as high as 90%. Therefore, there is an urgent need for a rapid and accurate diagnosis method of M. pneumoniae infection to choose appropriate antibiotics to treat M. pneumoniae-associated pneumonia, thereby reducing the abuse of antibiotics and drug-resistant strains.

Anti-M. pneumoniae immunoglobulin M (IgM) is used to detect acute infection. However, the levels of IgM antibody in blood were too low to be detected in some patients in the early stage of acute infection and in reinfection (6). In addition, the IgM antibody can only be detected several months after infection in the blood of some patients (7). So, the clinical diagnosis of M. pneumoniae infection is very difficult. In the last few decades, only a small number of studies have reported the use of M. pneumoniae IgA antibodies to diagnose M. pneumoniae infection. Reports indicate that detection of anti M. pneumoniae IgA antibodies in adults is more sensitive than IgM in the diagnosis of acute mycoplasma-associated pneumonia (8). However, the sensitivity of M. pneumoniae IgA was low for diagnosing of mycoplasma-associated pneumonia in neonates (9).

The incidence of M. pneumoniae-associated pneumonia is high in neonates, but no studies have reported the clinical value of anti-M. pneumoniae Ig in the diagnosis of M. pneumoniae-associated pneumonia in neonates. The purpose of this study was to assess the clinical significance and efficacy of anti-M. pneumoniae Ig in the diagnosis of M. pneumoniae in neonates.

Patients and methods

Study subjects

We recruited 80 newborns in Shanghai Ninth People's Hospital, Shanghai JiaoTong University School of Medicine from May 2013 to June 2016. The cohort included 31 boys and 49 girls. Mean age: 16.6±5.3 months, age ranged from 8–27 days. All newborns had cough and fever. Bronchial pneumonia or lobar pneumonia was identified in all newborns by chest X-ray. Body temperature was measured with an infrared tympanic thermometer and temperature above 38.0°C was considered as fever. The patients had continued fever (≥38°C) for 4.3±2.7 days before admission (information provided by the relatives of the patients). All patients with M. pneumoniae infection showed serum antibody positive or increased antibody potency at least two weeks after the infection: 26 were serum positive, in 72 IgM potency increased 2-fold, and in 31 IgG potency increased 4-fold. The patients involved in this study had no other disease that could alter the clinical disease process. The clinical data of the patients included age, fever duration, length of hospitalization, laboratory examination, liver zymogram and CRP test results (Table I). This study was approved by the Ethics Committee of Shanghai Ninth People's Hospital. Signed written informed consents were obtained from the patients and/or guardians before the study.

Table I.

Clinical data and blood test results of neonates with mycoplasma-associated pneumonia.

Table I.

Clinical data and blood test results of neonates with mycoplasma-associated pneumonia.

Clinical dataMean ± standard error (range)P-value
Age (days)16.6±5.3 (8–27)0.859
Sex (Male/Female)31/49
Pre-hospital fever duration (days)4.3±2.7 (0–10)0.014
Total fever duration (days)5.7±3.4 (0–15)0.426
Days of hospitalization7.3±5.0 (2–14)0.210
Red blood cells (million/µl)4.6±0.4 (3.4–5.7)0.526
Hemoglobin (g/dl)12.6±1.0 (10.1–14.4)0.855
Platelets (1,000/µl)271.2±76.4 (114.0–454.0)0.004
White blood cells (1,000/µl)9.2±3.9 (3.8–20.7)0.158
Lymphocytes (%)26.3±11.3 (5.0–65.0)0.465
Eosinophils (%)1.9±2.8 (0.0–8.6)0.100
Basophils (%)0.3±0.4 (0.0–3.0)0.216
Monocytes (%)7.0±3.0 (1.8–14.0)0.089
AST (µ/l)34.6±11.3 (22.0–65.0)0.634
ALT (µ/l)20.2±13.2 (9.0–66.0)0.603
CRP (mg/l)43.5±42.6 (1.4–215.4)0.328

[i] The P-value represents the correlation between the patients clinical data and the initial value of M. pneumoniae IgM. The duration of fever before admission and the platelet number were closely correlated with the M. pneumoniae IgM potency. M. pneumoniae, Mycoplasma pneumoniae; IgM, M. pneumoniae immunoglobulin M.

Methods

All children received macrolide antibiotics and the clinical symptoms improved after treatment. The levels of anti-M. pneumoniae IgA, IgM, and IgG in serum were measured at different time points at early stages, during the development of pneumonia, and after pneumonia. The levels of anti-M. pneumoniae IgM and IgG in serum were measured by ELISA (Ben-Bio, San Diego, CA, USA). The levels of anti-M. pneumoniae IgA in serum were measured with the CHORUS kit according to the manufacturers instructions (Diesse Diagnostica Senese, Siena, Italy). The positive cutoff values for anti-M. pneumoniae IgA, IgM and IgG were 18 AU/ml (the upper and lower limits were 10 and 100 AU/ml, respectively), 950 and 320 AU/ml, respectively.

Continuous variables are expressed as mean ± standard error of the mean (mean ± SEM). The initial positive rate of IgA and IgM in M. pneumoniae was analyzed by chi-square test. M. pneumoniae IgM potency, clinical features, blood laboratory test results, and the correlation with CPR were analyzed using Pearson's correlation analysis and multivariate logistic regression analysis. All experimental data were analyzed with SPSS 13.0. P<0.05 was considered to be statistically significant.

Results

M. pneumoniae IgM potency and pre-hospital fever duration

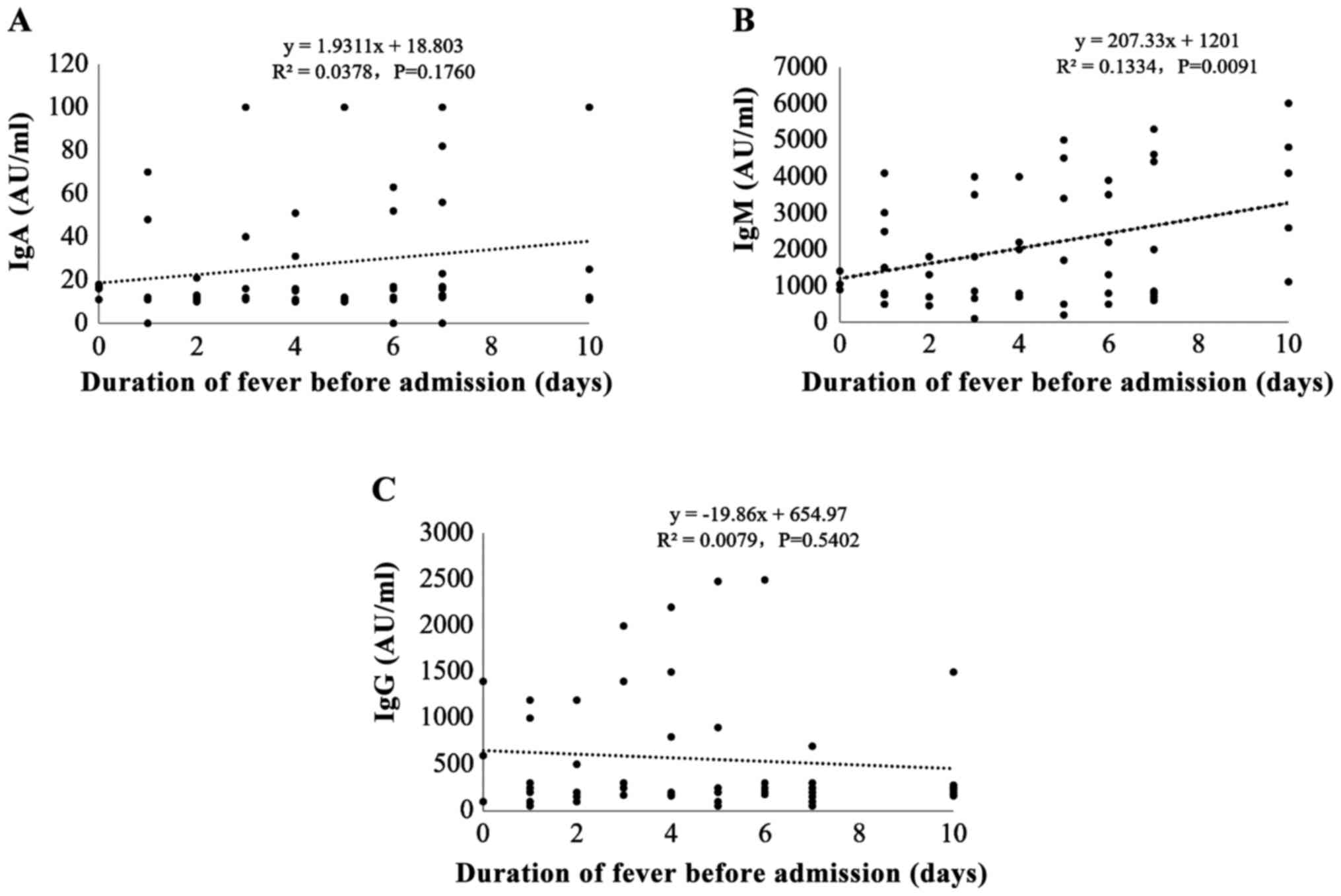
To investigate the correlation between M. pneumoniae IgM potency and pre-hospital fever duration, we divided the patients into three groups according to the duration of fever before admission: ⅰ) 0–3 days, ⅱ) 4–6 days, and ⅲ) 7–10 days. Most children (40%; 32/80) had <3 days of fever before admission; 27 patients (33.8%) had 4–6 days of pre-hospital fever; and 21 patients (26.3%) had 7–10days of pre-hospital fever. The results showed that the potency of M. pneumoniae IgM, but not IgA or IgG, was positively correlated with pre-hospital fever duration (r=0.377, P=0.002) (Fig. 1).

Figure 1.

Correlation between initial values of M. pneumoniae IgA, IgM and IgG and the duration of fever before admission. M. pneumoniae IgM potency and fever duration before admission were positively correlated. The correlations between M. pneumoniae IgA and IgG potency and fever duration before admission were not significant. M. pneumoniae, Mycoplasma pneumoniae; IgM, M. pneumoniae immunoglobulin M.

M. pneumoniae patients show a higher positive rate for IgM

The positive rates for anti-M. pneumoniae IgA, IgM, and IgG were 33.8 (27/80), 63.8 (51/80) and 32.5% (26/80), respectively, in the 80 newborns before admission. IgA and IgM showed relatively higher positive rate. In addition, the positive rates of M. pneumoniae IgM were higher than those of M. pneumoniae IgA in all groups (Fig. 2), indicating that anti-M. pneumoniae IgM had a higher positive rate than that of anti-M. pneumoniae IgA in the diagnosis of neonatal mycoplasma-associated pneumonia.

Figure 2.

The positive rates of M. pneumoniae IgA, IgM and IgG. The positive rate of M. pneumoniae IgA, IgM and IgG in patients with different duration of fever before admission are presented. Patients were divided into 3 groups (0–3, 4–6 and 7–10 days) according to the duration of fever before admission. The results showed that the positive rates of IgM were higher than those of IgA in all groups. M. pneumoniae, Mycoplasma pneumoniae; IgM, M. pneumoniae immunoglobulin M.

Two sera test of the patients with clinical symptoms and M. pneumoniae IgM negative

To compare the cumulative positive rates of M. pneumoniae IgA, IgM, and IgG, we compared the values within 14 days after admission. We collected blood samples at different time points before and after admission. The samples were divided into 5 groups according to the time of sampling: ⅰ) the day of admission, ⅱ) 2–4 days after admission, ⅲ) 5–7 days after admission, ⅳ) 8–10 days after admission, and ⅴ) 11–14 days after admission. The initial positive rate of M. pneumoniae IgM was 63.8% (51/80) (Fig. 3A). The cumulative positive rates of M. pneumoniae IgM in groups 2 and 3 were 85.0 and 97.5%, respectively (Fig. 3A). Serum M. pneumoniae IgM for 26 cases (32.5%) turned positive one week after admission. These results suggest that it is necessary to collect double serum for patients with clinical symptoms, but initially negative for anti-M. pneumoniae IgM. In addition, the results also showed that the cumulative positive rate of serum M. pneumoniae IgM was higher than that of IgA.

Figure 3.

The cumulative positive rates of M. pneumoniae IgA, IgM and IgG. (A) The cumulative positive rate of M. pneumoniae IgA, IgM and IgG in 80 children at 5 time points after admission. (B) The positive rate of M. pneumoniae IgA, IgM and IgG in 26 patients. The 26 patients had initial M. pneumoniae IgM negative but turned positive at one week after admission. The cumulative positive rate of M. pneumoniae IgM was higher than that of IgA at 2 weeks after admission. M. pneumoniae, Mycoplasma pneumoniae; IgM, M. pneumoniae immunoglobulin M.

Of the 80 children, 26 (32.5%) cases had serum M. pneumoniae IgM negative at admission and turned positive two weeks after admission. Of these 26 patients, 4 (15.4%) had initial serum M. pneumoniae IgA positive. However, the positive rate of serum M. pneumoniae IgM was higher than that of IgA in all patients 2–4 days after admission (61.5 vs. 46.2%) (Fig. 3B), indicating the importance of two sera tests in the clinical diagnosis.

Discussion

The course of mycoplasma infection is often relatively long. In adults, M. pneumoniae can still exist one week after medical treatment (8). Our results showed that most newborns with mycoplasma-associated pneumonia were admitted to the hospital within one week (4.3±2.7 days) after M. pneumoniae infection. The possible explanation is that fever is the main clinical symptoms in children, but persistent cough is the typical symptom in adults. Compared with adults, newborns with infection can be admitted earlier to hospital. Our results showed that many children (21/80, 26.3%) were negative for M. pneumoniae-specific antibodies at admission. To avoid false negatives, two serum samples were used to test M. pneumoniae IgA, IgM and IgG after admission.

Previous studies reported that serum anti-M. pneumoniae IgA is a good indicator for the detection of M. pneumoniae infection in adults (10–12). Detection of serum M. pneumoniae IgA in adults is more sensitive for the diagnosis of M. pneumoniae infection than detection of IgM (8). However, this conclusion is inconsistent with the results reported by Yamazaki et al (9) who found that serum M. pneumoniae IgA was a poor indicator of M. pneumoniae infection. Here, we examined the efficacy of M. pneumoniae IgA in the diagnosis of neonatal mycoplasma-associated pneumonia. The positive rates of serum M. pneumoniae IgM and IgA were 63.8 and 33.8%, respectively, on the day of admission. These rates were positively correlated with the duration of fever before admission. We also found that the positive rate of serum M. pneumoniae IgM was higher than that of IgA in all the groups classified by pre-hospitalization fever duration, suggesting that detection of serum M. pneumoniae IgA is less sensitive than IgM in the diagnosis of neonatal mycoplasma-associated pneumonia. This may be explained by the immature immune system of newborns.

In our study, the positive rate of M. pneumoniae IgM was 63.8% in patients with an average duration of 4.3±2.7 days before admission. This result is consistent with a previous report (13). That is, the positive rate of M. pneumoniae IgM was 62.2% in the first week after mycoplasma infection and ranged from 70.9 to 81.8% in the second week after infection (14,15). The sensitivity of serological testing is limited by the specimen, the standard diagnostic method and the method of detection. This may be used to explain the high sensitivity of M. pneumoniae IgM in patients with longer hospitalization. We found that the positive rate of M. pneumoniae IgA was positively correlated with the pre-hospitalization fever duration, although this correlation was lower than the correlation between IgM and pre-hospitalization fever duration.

The 4-fold increase of M. pneumoniae IgG in the acute phase and the reversion of the disease is considered the gold standard for diagnosis of M. pneumoniae respiratory tract infection (16). Medjo et al (14) reported that 90% of the patients with 4-fold increase of M. pneumoniae IgG antibody potency in two sera also showed throat swab M. pneumoniae positive in PCR detection. While Ma et al (15) reported that only 2.4% of the patients with a four-fold increase of M. pneumoniae IgG antibody potency in two sera also showed throat swab M. pneumoniae positive. However, 38.8% of patients in this study had a 4-fold increase in M. pneumoniae IgG antibody potency in two sera. Thus, anti-M. pneumoniae IgG cannot provide a timely diagnosis of M. pneumoniae infection. Given the complications of obtaining two sera from newborns, M. pneumoniae IgG is not the best indicator to diagnose M. pneumoniae infection.

In conclusion, detection of M. pneumoniae IgM has higher sensitivity in the diagnosis of neonatal mycoplasma-associated pneumonia than that of the detection of M. pneumoniae IgA. Two sera detection can more effectively improve the diagnostic accuracy.

References

1 

Ali NJ, Sillis M, Andrews BE, Jenkins PF and Harrison BD: The clinical spectrum and diagnosis of Mycoplasma pneumoniae infection. Q J Med. 58:241–251. 1986.PubMed/NCBI

2 

Bradley JS and Jackson MA: Committee on Infectious Diseases; American Academy of Pediatrics: The use of systemic and topical fluoroquinolones. Pediatrics. 128:e1034–e1045. 2011. View Article : Google Scholar : PubMed/NCBI

3 

Pereyre S, Goret J and Bébéar C: Mycoplasma pneumoniae: Current knowledge on macrolide resistance and treatment. Front Microbiol. 7:9742016. View Article : Google Scholar : PubMed/NCBI

4 

Wu PS, Chang LY, Lin HC, Chi H, Hsieh YC, Huang YC, Liu CC, Huang YC and Huang LM: Epidemiology and clinical manifestations of children with macrolide-resistant Mycoplasma pneumoniae pneumonia in Taiwan. Pediatr Pulmonol. 48:904–911. 2013. View Article : Google Scholar : PubMed/NCBI

5 

Wu HM, Wong KS, Huang YC, Lai SH, Tsao KC, Lin YJ and Lin TY: Macrolide-resistant Mycoplasma pneumoniae in children in Taiwan. J Infect Chemother. 19:782–786. 2013. View Article : Google Scholar : PubMed/NCBI

6 

Sillis M: The limitations of IgM assays in the serological diagnosis of Mycoplasma pneumoniae infections. J Med Microbiol. 33:253–258. 1990. View Article : Google Scholar : PubMed/NCBI

7 

Thacker WL and Talkington DF: Analysis of complement fixation and commercial enzyme immunoassays for detection of antibodies to Mycoplasma pneumoniae in human serum. Clin Diagn Lab Immunol. 7:778–780. 2000.PubMed/NCBI

8 

Granström M, Holme T, Sjögren AM, Ortqvist A and Kalin M: The role of IgA determination by ELISA in the early serodiagnosis of Mycoplasma pneumoniae infection, in relation to IgG and mu-capture IgM methods. J Med Microbiol. 40:288–292. 1994. View Article : Google Scholar : PubMed/NCBI

9 

Yamazaki T, Narita M, Sasaki N, Kenri T, Arakawa Y and Sasaki T: Comparison of PCR for sputum samples obtained by induced cough and serological tests for diagnosis of Mycoplasma pneumoniae infection in children. Clin Vaccine Immunol. 13:708–710. 2006. View Article : Google Scholar : PubMed/NCBI

10 

Lieberman D, Lieberman D, Ben-Yaakov M, Shmarkov O, Gelfer Y, Varshavsky R, Ohana B, Lazarovich Z and Boldur I: Serological evidence of Mycoplasma pneumoniae infection in acute exacerbation of COPD. Diagn Microbiol Infect Dis. 44:1–6. 2002. View Article : Google Scholar : PubMed/NCBI

11 

Lieberman D, Lieberman D, Korsonsky I, Ben-Yaakov M, Lazarovich Z, Friedman MG, Dvoskin B, Leinonen M, Ohana B and Boldur I: A comparative study of the etiology of adult upper and lower respiratory tract infections in the community. Diagn Microbiol Infect Dis. 42:21–28. 2002. View Article : Google Scholar : PubMed/NCBI

12 

Watkins-Riedel T, Stanek G and Daxboeck F: Comparison of SeroMP IgA with four other commercial assays for serodiagnosis of Mycoplasma pneumoniae pneumonia. Diagn Microbiol Infect Dis. 40:21–25. 2001. View Article : Google Scholar : PubMed/NCBI

13 

Chang HY, Chang LY, Shao PL, Lee PI, Chen JM, Lee CY, Lu CY and Huang LM: Comparison of real-time polymerase chain reaction and serological tests for the confirmation of Mycoplasma pneumoniae infection in children with clinical diagnosis of atypical pneumonia. J Microbiol Immunol Infect. 47:137–144. 2014. View Article : Google Scholar : PubMed/NCBI

14 

Medjo B, Atanaskovic-Markovic M, Radic S, Nikolic D, Lukac M and Djukic S: Mycoplasma pneumoniae as a causative agent of community-acquired pneumonia in children: Clinical features and laboratory diagnosis. Ital J Pediatr. 40:1042014. View Article : Google Scholar : PubMed/NCBI

15 

Ma YJ, Wang SM, Cho YH, Shen CF, Liu CC, Chi H, Huang YC, Huang LM, Huang YC, Lin HC, et al: Taiwan Pediatric Infectious Disease Alliance: Clinical and epidemiological characteristics in children with community-acquired mycoplasma pneumonia in Taiwan: A nationwide surveillance. J Microbiol Immunol Infect. 48:632–638. 2015. View Article : Google Scholar : PubMed/NCBI

16 

Gavranich JB and Chang AB: Antibiotics for community acquired lower respiratory tract infections (LRTI) secondary to Mycoplasma pneumoniae in children. Cochrane Database Syst Rev. 3:CD0048752005.

Related Articles

  • Abstract
  • View
  • Download
  • Twitter
Copy and paste a formatted citation
Spandidos Publications style
Dong Y, Lv W and Lin Z: Value of serum Mycoplasma pneumoniae immunoglobulin in the diagnosis of mycoplasma-related pneumonia in newborns Retraction in /10.3892/etm.2018.6251. Exp Ther Med 14: 1445-1449, 2017.
APA
Dong, Y., Lv, W., & Lin, Z. (2017). Value of serum Mycoplasma pneumoniae immunoglobulin in the diagnosis of mycoplasma-related pneumonia in newborns Retraction in /10.3892/etm.2018.6251. Experimental and Therapeutic Medicine, 14, 1445-1449. https://doi.org/10.3892/etm.2017.4654
MLA
Dong, Y., Lv, W., Lin, Z."Value of serum Mycoplasma pneumoniae immunoglobulin in the diagnosis of mycoplasma-related pneumonia in newborns Retraction in /10.3892/etm.2018.6251". Experimental and Therapeutic Medicine 14.2 (2017): 1445-1449.
Chicago
Dong, Y., Lv, W., Lin, Z."Value of serum Mycoplasma pneumoniae immunoglobulin in the diagnosis of mycoplasma-related pneumonia in newborns Retraction in /10.3892/etm.2018.6251". Experimental and Therapeutic Medicine 14, no. 2 (2017): 1445-1449. https://doi.org/10.3892/etm.2017.4654
Copy and paste a formatted citation
x
Spandidos Publications style
Dong Y, Lv W and Lin Z: Value of serum Mycoplasma pneumoniae immunoglobulin in the diagnosis of mycoplasma-related pneumonia in newborns Retraction in /10.3892/etm.2018.6251. Exp Ther Med 14: 1445-1449, 2017.
APA
Dong, Y., Lv, W., & Lin, Z. (2017). Value of serum Mycoplasma pneumoniae immunoglobulin in the diagnosis of mycoplasma-related pneumonia in newborns Retraction in /10.3892/etm.2018.6251. Experimental and Therapeutic Medicine, 14, 1445-1449. https://doi.org/10.3892/etm.2017.4654
MLA
Dong, Y., Lv, W., Lin, Z."Value of serum Mycoplasma pneumoniae immunoglobulin in the diagnosis of mycoplasma-related pneumonia in newborns Retraction in /10.3892/etm.2018.6251". Experimental and Therapeutic Medicine 14.2 (2017): 1445-1449.
Chicago
Dong, Y., Lv, W., Lin, Z."Value of serum Mycoplasma pneumoniae immunoglobulin in the diagnosis of mycoplasma-related pneumonia in newborns Retraction in /10.3892/etm.2018.6251". Experimental and Therapeutic Medicine 14, no. 2 (2017): 1445-1449. https://doi.org/10.3892/etm.2017.4654
Follow us
  • Twitter
  • LinkedIn
  • Facebook
About
  • Spandidos Publications
  • Careers
  • Cookie Policy
  • Privacy Policy
How can we help?
  • Help
  • Live Chat
  • Contact
  • Email to our Support Team