Spandidos Publications Logo
  • About
    • About Spandidos
    • Aims and Scopes
    • Abstracting and Indexing
    • Editorial Policies
    • Reprints and Permissions
    • Job Opportunities
    • Terms and Conditions
    • Contact
  • Journals
    • All Journals
    • Oncology Letters
      • Oncology Letters
      • Information for Authors
      • Editorial Policies
      • Editorial Board
      • Aims and Scope
      • Abstracting and Indexing
      • Bibliographic Information
      • Archive
    • International Journal of Oncology
      • International Journal of Oncology
      • Information for Authors
      • Editorial Policies
      • Editorial Board
      • Aims and Scope
      • Abstracting and Indexing
      • Bibliographic Information
      • Archive
    • Molecular and Clinical Oncology
      • Molecular and Clinical Oncology
      • Information for Authors
      • Editorial Policies
      • Editorial Board
      • Aims and Scope
      • Abstracting and Indexing
      • Bibliographic Information
      • Archive
    • Experimental and Therapeutic Medicine
      • Experimental and Therapeutic Medicine
      • Information for Authors
      • Editorial Policies
      • Editorial Board
      • Aims and Scope
      • Abstracting and Indexing
      • Bibliographic Information
      • Archive
    • International Journal of Molecular Medicine
      • International Journal of Molecular Medicine
      • Information for Authors
      • Editorial Policies
      • Editorial Board
      • Aims and Scope
      • Abstracting and Indexing
      • Bibliographic Information
      • Archive
    • Biomedical Reports
      • Biomedical Reports
      • Information for Authors
      • Editorial Policies
      • Editorial Board
      • Aims and Scope
      • Abstracting and Indexing
      • Bibliographic Information
      • Archive
    • Oncology Reports
      • Oncology Reports
      • Information for Authors
      • Editorial Policies
      • Editorial Board
      • Aims and Scope
      • Abstracting and Indexing
      • Bibliographic Information
      • Archive
    • Molecular Medicine Reports
      • Molecular Medicine Reports
      • Information for Authors
      • Editorial Policies
      • Editorial Board
      • Aims and Scope
      • Abstracting and Indexing
      • Bibliographic Information
      • Archive
    • World Academy of Sciences Journal
      • World Academy of Sciences Journal
      • Information for Authors
      • Editorial Policies
      • Editorial Board
      • Aims and Scope
      • Abstracting and Indexing
      • Bibliographic Information
      • Archive
    • International Journal of Functional Nutrition
      • International Journal of Functional Nutrition
      • Information for Authors
      • Editorial Policies
      • Editorial Board
      • Aims and Scope
      • Abstracting and Indexing
      • Bibliographic Information
      • Archive
    • International Journal of Epigenetics
      • International Journal of Epigenetics
      • Information for Authors
      • Editorial Policies
      • Editorial Board
      • Aims and Scope
      • Abstracting and Indexing
      • Bibliographic Information
      • Archive
    • Medicine International
      • Medicine International
      • Information for Authors
      • Editorial Policies
      • Editorial Board
      • Aims and Scope
      • Abstracting and Indexing
      • Bibliographic Information
      • Archive
  • Articles
  • Information
    • Information for Authors
    • Information for Reviewers
    • Information for Librarians
    • Information for Advertisers
    • Conferences
  • Language Editing
Spandidos Publications Logo
  • About
    • About Spandidos
    • Aims and Scopes
    • Abstracting and Indexing
    • Editorial Policies
    • Reprints and Permissions
    • Job Opportunities
    • Terms and Conditions
    • Contact
  • Journals
    • All Journals
    • Biomedical Reports
      • Information for Authors
      • Editorial Policies
      • Editorial Board
      • Aims and Scope
      • Abstracting and Indexing
      • Bibliographic Information
      • Archive
    • Experimental and Therapeutic Medicine
      • Information for Authors
      • Editorial Policies
      • Editorial Board
      • Aims and Scope
      • Abstracting and Indexing
      • Bibliographic Information
      • Archive
    • International Journal of Epigenetics
      • Information for Authors
      • Editorial Policies
      • Editorial Board
      • Aims and Scope
      • Abstracting and Indexing
      • Bibliographic Information
      • Archive
    • International Journal of Functional Nutrition
      • Information for Authors
      • Editorial Policies
      • Editorial Board
      • Aims and Scope
      • Abstracting and Indexing
      • Bibliographic Information
      • Archive
    • International Journal of Molecular Medicine
      • Information for Authors
      • Editorial Policies
      • Editorial Board
      • Aims and Scope
      • Abstracting and Indexing
      • Bibliographic Information
      • Archive
    • International Journal of Oncology
      • Information for Authors
      • Editorial Policies
      • Editorial Board
      • Aims and Scope
      • Abstracting and Indexing
      • Bibliographic Information
      • Archive
    • Medicine International
      • Information for Authors
      • Editorial Policies
      • Editorial Board
      • Aims and Scope
      • Abstracting and Indexing
      • Bibliographic Information
      • Archive
    • Molecular and Clinical Oncology
      • Information for Authors
      • Editorial Policies
      • Editorial Board
      • Aims and Scope
      • Abstracting and Indexing
      • Bibliographic Information
      • Archive
    • Molecular Medicine Reports
      • Information for Authors
      • Editorial Policies
      • Editorial Board
      • Aims and Scope
      • Abstracting and Indexing
      • Bibliographic Information
      • Archive
    • Oncology Letters
      • Information for Authors
      • Editorial Policies
      • Editorial Board
      • Aims and Scope
      • Abstracting and Indexing
      • Bibliographic Information
      • Archive
    • Oncology Reports
      • Information for Authors
      • Editorial Policies
      • Editorial Board
      • Aims and Scope
      • Abstracting and Indexing
      • Bibliographic Information
      • Archive
    • World Academy of Sciences Journal
      • Information for Authors
      • Editorial Policies
      • Editorial Board
      • Aims and Scope
      • Abstracting and Indexing
      • Bibliographic Information
      • Archive
  • Articles
  • Information
    • For Authors
    • For Reviewers
    • For Librarians
    • For Advertisers
    • Conferences
  • Language Editing
Login Register Submit
  • This site uses cookies
  • You can change your cookie settings at any time by following the instructions in our Cookie Policy. To find out more, you may read our Privacy Policy.

    I agree
Search articles by DOI, keyword, author or affiliation
Search
Advanced Search
presentation
Experimental and Therapeutic Medicine
Join Editorial Board Propose a Special Issue
Print ISSN: 1792-0981 Online ISSN: 1792-1015
Journal Cover
March-2018 Volume 15 Issue 3

Full Size Image

Sign up for eToc alerts
Recommend to Library

Journals

International Journal of Molecular Medicine

International Journal of Molecular Medicine

International Journal of Molecular Medicine is an international journal devoted to molecular mechanisms of human disease.

International Journal of Oncology

International Journal of Oncology

International Journal of Oncology is an international journal devoted to oncology research and cancer treatment.

Molecular Medicine Reports

Molecular Medicine Reports

Covers molecular medicine topics such as pharmacology, pathology, genetics, neuroscience, infectious diseases, molecular cardiology, and molecular surgery.

Oncology Reports

Oncology Reports

Oncology Reports is an international journal devoted to fundamental and applied research in Oncology.

Experimental and Therapeutic Medicine

Experimental and Therapeutic Medicine

Experimental and Therapeutic Medicine is an international journal devoted to laboratory and clinical medicine.

Oncology Letters

Oncology Letters

Oncology Letters is an international journal devoted to Experimental and Clinical Oncology.

Biomedical Reports

Biomedical Reports

Explores a wide range of biological and medical fields, including pharmacology, genetics, microbiology, neuroscience, and molecular cardiology.

Molecular and Clinical Oncology

Molecular and Clinical Oncology

International journal addressing all aspects of oncology research, from tumorigenesis and oncogenes to chemotherapy and metastasis.

World Academy of Sciences Journal

World Academy of Sciences Journal

Multidisciplinary open-access journal spanning biochemistry, genetics, neuroscience, environmental health, and synthetic biology.

International Journal of Functional Nutrition

International Journal of Functional Nutrition

Open-access journal combining biochemistry, pharmacology, immunology, and genetics to advance health through functional nutrition.

International Journal of Epigenetics

International Journal of Epigenetics

Publishes open-access research on using epigenetics to advance understanding and treatment of human disease.

Medicine International

Medicine International

An International Open Access Journal Devoted to General Medicine.

Journal Cover
March-2018 Volume 15 Issue 3

Full Size Image

Sign up for eToc alerts
Recommend to Library

  • Article
  • Citations
    • Cite This Article
    • Download Citation
    • Create Citation Alert
    • Remove Citation Alert
    • Cited By
  • Similar Articles
    • Related Articles (in Spandidos Publications)
    • Similar Articles (Google Scholar)
    • Similar Articles (PubMed)
  • Download PDF
  • Download XML
  • View XML
Article

The role of miR-766-5p in cell migration and invasion in colorectal cancer

  • Authors:
    • Bin Jia
    • Lei Xia
    • Fang Cao
  • View Affiliations / Copyright

    Affiliations: Department of Gastroenterology, Affiliated Hospital of Shandong University of Traditional Chinese Medicine, Jinan, Shandong 250014, P.R. China, Department of Oncology, Affiliated Hospital of Shandong University of Traditional Chinese Medicine, Jinan, Shandong 250014, P.R. China
  • Pages: 2569-2574
    |
    Published online on: January 8, 2018
       https://doi.org/10.3892/etm.2018.5716
  • Expand metrics +
Metrics: Total Views: 0 (Spandidos Publications: | PMC Statistics: )
Metrics: Total PDF Downloads: 0 (Spandidos Publications: | PMC Statistics: )
Cited By (CrossRef): 0 citations Loading Articles...

This article is mentioned in:



Abstract

Colorectal cancer (CRC) develops from the colon or rectum and is the fourth highest inducer of cancer mortality. In the present study, cancer tissues and normal tissues were extracted from patients with CRC who were treated in the Affiliated Hospital of Shandong University of Traditional Chinese Medicine (Jinan, China). Reverse transcription-quantitative polymerase chain reaction demonstrated that the expression level of miR‑766‑5p was significantly higher (P<0.01) in cancer tissue than that in normal tissue. SW480 cells were used for in vitro study and randomly separated into the miR‑negative control (NC) inhibitor treatment group and miR‑766‑5p inhibitor treatment group. SW480 cell behaviors were evaluated. Results demonstrated that in the miR‑766‑5p inhibitor group, there was a decreased level of cell proliferation/migration/invasion and higher cell apoptosis compared with that in the miR‑NC inhibitor group. miR‑766‑5p was predicted and verified to target the 3' untranslated region of suppressor of cancer cell invasion (SCAI) in SW480 cells. Protein expression levels of matrix metalloproteinase‑2/phosphoinositide 3‑kinase/AKT were decreased and SCAI was increased following miR‑766‑5p inhibitor treatment. In conclusion, the present study indicated that miR‑766‑5p inhibitor repressed the process of CRC by targeting SCAI.

Introduction

Colorectal cancer (CRC), known as either bowel cancer or colon cancer, develops from the colon or rectum (1). CRC predominantly results from lifestyle and old age, with very few cases of CRC resulting from genetic disorders (2). CRC accounts for 13% of all cancer cases worldwide (3). In 2012, 1.4 million new cases of CRC were diagnosed and 694,000 mortalities as a result of CRC were recorded (4). CRC is the fourth greatest cause of cancer-related mortality after lung, stomach and liver cancer (5).

The purpose of CRC treatment is cure or palliation, and this depends mainly on factors including the patient's health status, preference and tumor stage (6). Currently, a combination of surgery, radiation therapy, chemotherapy and targeted therapy is commonly adopted for the treatment of CRC (1). A cure may be achieved by surgery if CRC is detected at an earlier stage, while palliation may be directed through relieving CRC-related symptoms when CRC is diagnosed later (7). It is necessary to explore effective treatments for patients with CRC.

There are types of microRNA (miRNA), which are ~22 nucleotides long, that inhibit protein expression via targeting its coding gene (8). Generally, miRNA in animals are complementary to a site in the 3′ untranslated region (UTR) of their target gene (9). On account of the involvement of miRNA in eukaryotic cell function, the dysregulation of miRNA is correlated with disease (10) and cancer (11). Notably, miRNA-based therapies have been reported to be a potential for cancer treatment (12). miR-766-5p has been demonstrated to be overexpressed in CRC and promote the cell proliferation of SW480 cells (13). However, the role of miR-766-5p in cell migration and invasion of CRC has not been reported. The present study aimed to investigate the aforementioned question.

Materials and methods

Clinical samples

A total of 31 pairs of tumor tissues and adjacent tissues, which were at least 2-cm distal to tumor margins, were collected from 31 patients with CRC who were admitted to the Affiliated Hospital of Shandong University and underwent surgery between January 2014 and January 2015. There were 15 male patients and 16 female patients with the age ranged from 47 to 73 years old. Following collection, tissues were quickly frozen and stored in −196°C liquid nitrogen. None of the patients received neoadjuvant therapy. The present study was approved by the Ethics Committee of the Affiliated Hospital of Shandong University of Traditional Chinese Medicine (Jinan, China). Informed consent was obtained from each patient. Tissues were used for the detection of mRNA expression levels.

Cell culture

The human CRC cell line, SW480, was purchased from Nanjing KGI Biotechnology (Nanjing, China) and cultured in Dulbecco's modified Eagle's medium supplemented with 10% fetal bovine serum (Invitrogen; Thermo Fisher Scientific, Inc., Waltham, MA, USA), 100 U/ml penicillin and 100 µg/ml streptomycin, and incubated in a humidified chamber at 37°C with an atmosphere of 5% CO2 and 95% air.

Plasmid transfection

SW480 cells were seeded into 24-well plates at a density of 1×105 cells/well. Cells were randomly divided into two groups: miR-766-5p inhibitor group and miR-negative control (NC) inhibitor group. Transfection of SW480 cells with 30 µM miR-766-5p inhibitor or miR-NC inhibitor (GeneCopoeia, Rockville, MD, USA) was conducted by Lipofectamine 2000 transfection reagent (Thermo Fisher Scientific, Inc.) in accordance with the manufacturer's protocol. SW480 cells were collected 48 h after transfection for subsequent experiments.

Luciferase activity assay

Suppressor of cancer cell invasion (SCAI) was predicted to be recognized by miR-766-5p using TargetScan (http://www.targetscan.org/), and the recombinant plasmids of pmir-SCAIwt-3′UTR and pmir-SCAImut-3′UTR (Promega Corporation, Madison, WI, USA) were constructed. SW480 cells were incubated for 24 h at 37°C, followed by co-transfection of miR-766-5p inhibitor and pmir-SCAIwt-3′UTR or pmir-SCAImut-3′UTR using Lipofectamine 2000 reagents. After 24 h, luciferase activities were assessed using the Dual-Luciferase Reporter Assay System (Promega Corporation). Renilla luciferase was used as an internal control.

Cell viability analysis

SW480 cells (2×103 cells/well) were seeded onto 96-well plates. Cell viability was evaluated with a cell counting kit-8 (CCK-8; Dojindo Molecular Technologies, Inc., Rockville, MD, USA), according to the manufacturer's protocol, at 24, 48 or 72 h after transfection with miR-766-5p inhibitor or miR-NC inhibitor. Absorbance was read at 490 nm with an iMARK plate reader (Bio-Rad Laboratories, Inc., Hercules, CA, USA).

Cell apoptosis analysis

Transfected SW480 cells were seeded into 12-well plates at the density of 2×105/well, cultured for 48 h at 37°C and collected via centrifugation at 23,200 × g for 5 min at 4°C. Following three washes with PBS, SW480 cells were re-suspended in 100 µl binding buffer, stained with annexin V-fluorescein isothiocyanate and propidium iodide (Roche Diagnostics, Basel, Switzerland) for 15 min at room temperature in the dark. The rate of cell apoptosis was determined by flow cytometry (Beckman Coulter, Inc., Miami, FL, USA) in 1 h. The cell number at each phase was analyzed suing FloJo software (Version 7.6.3, Treestar, Inc., Ashland, OR, USA).

Cell invasion assay

Cell invasiveness of SW480 cells was evaluated by Transwell chambers, which were coated with Matrigel (BD Biosciences, Franklin Lakes, NJ, USA). Transfected SW480 cells were placed in Transwell upper chambers that were coated with gelatin. Functioning as a chemoattractant, 0.2% BSA containing fibronectin (Bio-Techne, Shanghai, China) (10 µg/ml) was added to the bottom chamber. For the invasion assay, 100 µl transfected SW480 cells at a concentration of 1×105 cells were cultured in the upper chamber in serum-free Dulbecco's modified Eagle's medium at 37°C in 5% CO2 humidified air. A total of 16 h later, non-invading cells on the upper chambers were removed with a cotton swab, and invading cells that reached the bottom chambers were fixed with 70% ethanol for 15 min at room temperature and stained by Hemacolor® Rapid staining solution (Merck KGaA, Darmstadt, Germany) at room temperature for 30 min. The number of invasive cells was counted under a light microscope (magnification, ×400).

Cell migration assay

Cell migration was evaluated using a wound healing assay. Transfected SW480 cells were cultured in an incubator at 37°C with 5% CO2. After incubation for 24 h, a wound gap was created using a 20-µl pipette tip. Transfected SW480 cells were further cultured for 24 h. Thereafter, wounded monolayers were photographed with an inverted microscope (magnification, ×400).

Western blotting

Protein lysates were obtained with radioimmunoprecipitation assay buffer (Beyotime Institute of Biotechnology, Shanghai, China). Concentration of protein samples were determined using the BCA method (Beyotime Institute of Biotechnology). Protein samples (15 µg/lane) were first separated by 10% SDS-PAGE and transferred, at 4°C, onto polyvinylidene difluoride membranes followed by blocking by 5% skim milk at room temperature for 1 h. Membranes were first incubated overnight with primary antibodies (SCAI, 12892, 1:1,000, Cell Signaling Technology, Inc., Danvers, MA, USA; MMP2, ab37150, 1:1,000, Abcam, Cambridge, UK; p-PI3K, ab151549, 1:1,000, Abcam; p-AKT, 4060, 1:1,000, Cell Signaling Technology, Inc.; GAPDH, 5174, 1:1,000, Cell Signaling Technology, Inc.) at 4°C, then treated with horseradish peroxidase-conjugated secondary antibodies (Santa Cruz Biotechnology, Inc., Dallas, TX, USA) for 2 h at room temperature. Blots were visualized with an enhanced chemiluminescent kit (Beyotime Institute of Biotechnology).

Reverse transcription-quantitative polymerase chain reaction (RT-qPCR)

Total RNA was extracted from SW480 cells at 48 h after transfection and from tissue samples from patients with CRC using TRIzol (Thermo Fisher Scientific, Inc.), and RT-qPCR for miRNA was executed using a one-step TaqMan miRNA reverse-transcription kit (Thermo Fisher Scientific, Inc.). The following thermocycling conditions were used: 95°C for 40 sec at initial denaturation, followed by 45 cycles for 30 sec at 95°C for denaturation and 30 sec at 58°C, with the final extension at 72°C for 35 sec. The relative mRNA expression levels of miR-766 (normalized to U6) and SCAI (normalized to GAPDH), were calculated using the 2−ΔΔCq method (14). The primer sequences were as followed: GAPDH, forward 5′-AGCCTCCCGCTTCGCTCTCTGC-3′ and reverse 5′-ACCAGGCGCCCAATACGACCAAA-3′; U6, forward 5′-GCTTCGGCAGCACATATACTAAAAT-3′ and reverse 5′-CGCTTCACGAATTTGCGT-3′; SCAI, forward 5′-CGGGAAACACGAAATTATCC-3′ and reverse 5′-GCTTCTGGAGATGAGGATTCTC-3′; and miR-766, forward 5′-TCGAGTACTTGAGATGGAGTTTT-3′ and reverse 5′-GGCCGCGTTGCAGTGAGCCGAG-3′.

Statistical analysis

All data were presented as the mean ± standard deviation. The analysis was performed using GraphPad Prism 5.0 (GraphPad Software, Inc., La Jolla, CA, USA). Differences between two groups were analyzed using a Student's t-test, and differences between three or more groups were analyzed using one-way analysis of variance followed by Newman-Keuls analysis. P<0.05 was considered to indicate a statistically significant difference.

Results

miR-766-5p expression is higher in CRC tissues than normal tissues

The miR-766-5p expression level in patient tissues was first evaluated by RT-qPCR. Results demonstrated that the expression level of miR-766-5p was significantly higher in cancer tissue than the level in healthy tissue, which suggests that miR-766-5p may be a promoter during the progression of CRC (Fig. 1).

Figure 1.

miR-766-5p expression is elevated in colorectal cancer tissues. Reverse transcription-quantitative polymerase chain reaction results demonstrated that the expression level of miR-766-5p was significantly higher in cancer tissue than in healthy (normal) tissue. **P<0.01 vs. normal tissues.

Interaction between miR-766-5p and its target, SCAI, in SW480 cells

TargetScan was applied for the prediction of interaction between miR-766-5p and its potential targets. SCAI demonstrated a relative higher score when compared with other potential targets, thus, SCAI was selected in the present study. Binding sequences between miR-766-5p and SCAI 3′UTR, as well as the mutant sequences, are presented in Fig. 2A. Luciferase activity in SW480 cells that were transfected with pmir-SCAIwt-3′UTR and miR-766-5p inhibitor was decreased compared with cells transfected with pmir-SCAIwt-3′UTR and miR-NC inhibitor, while there was no significant difference in cells transfected with pmir-SCAImut-3′UTR and miR-766-5p inhibitor in comparison with cells transfected with pmir-SCAImut-3′UTR and miR-NC inhibitor (Fig. 2B). These results demonstrate that miR-766-5p targets and binds with the 3′UTR of SCAI.

Figure 2.

miR-766-5p targets the 3′UTR of SCAI in SW480 cells. (A) Binding position of SCAI 3′UTR and miR-766-5p, and the mutant position of SCAI 3′UTR. (B) miR-766-5p inhibitor significantly decreased the luciferase activity in SW480 cells transfected with pmir-SCAIwt-3′UTR but not pmir-SCAImut-3′UTR. **P<0.01 as indicated as cells transfected with pmir-SCAIwt-3′UTR and miR-766-5p inhibitor vs. cells transfected with pmir-SCAIwt-3′UTR and miR-NC inhibitor. UTR, untranslated region; SCAI, suppressor of cancer cell invasion; WT, wild type-SW480 cells were transfected with pmir-SCAIwt-3′UTR; mutant, SW480 cells were transfected with pmir-SCAImut-3′UTR; NC, negative control.

Characteristics of patients with CRC

Patients' age, sex, tumor size, tumor differentiation degree and metastasis are presented in Table I. There were no significant differences in patient age or gender; however, there were significant differences in tumor size, differentiation degree and metastasis.

Table I.

Patient characteristics.

Table I.

Patient characteristics.

FactornP-value
Gender
  Male15
  Female16>0.05
Age, years
  <6017
  ≥6014>0.05
Tumor size, cm
  <511
  ≥520<0.05
Tumor differentiation degree
  Low degree  9
  Intermediate degree22<0.05
Metastasis
  No10
  Yes21<0.05
SCAI expression is lower in CRC tissues than in normal tissues

SCAI expression level in patient tissues was determined by RT-qPCR. Results demonstrated that the SCAI expression level was significantly lower in cancer tissue than in healthy tissue (Fig. 3).

Figure 3.

SCAI expression is decreased in colorectal cancer tissues. Results of reverse transcription-quantitative polymerase chain reaction demonstrated that the SCAI expression level was significantly lower in tumor tissue than in normal tissue. **P<0.01 vs. normal tissues. SCAI, suppressor of cancer cell invasion.

Effects of miR-766-5p inhibitor on miR-766-5p/SCAI expression in SW480 cells

For in vitro experiments, SW480 cells were transfected with miR-NC inhibitor and miR-766-5p inhibitor. The cells in the two different groups were used for the detection of miR-766-5p and SCAI expression levels by RT-qPCR. Results demonstrated that, compared with the NC group, miR-766-5p expression was significantly decreased and SCAI expression was significantly increased in the miR-766-5p inhibitor group (Fig. 4A and B). These results suggest that SW480 cells were successfully transfected with miR-766-5p inhibitor. The effects of miR-766-5p on cell behaviors and the corresponding molecules were subsequently determined.

Figure 4.

miR-766-5p inhibitor reduces miR-766-5p and elevates SCAI expression in SW480 cells. Results of reverse transcription-quantitative polymerase chain reaction demonstrated that, compared with the NC group, (A) miR-766-5p expression was significantly decreased in the miR-766-5p inhibitor group. Additionally, when compared with the NC group, (B) SCAI expression was significantly upregulated in the miR-766-5p inhibitor group. **P<0.01 vs. NC group. NC, negative control; SCAI, suppressor of cancer cell invasion.

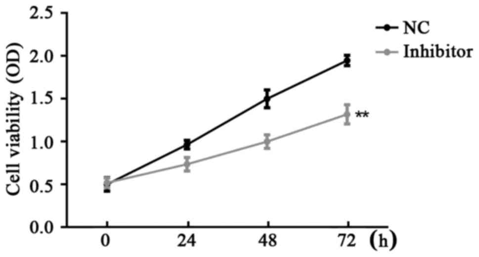
Examination of SW480 cell viability

CCK-8 assay was used for the examination of SW480 cell viability in the different groups. Results demonstrated that miR-766-5p inhibitor significantly inhibited SW480 cell proliferation compared with the NC group at 24, 48 and 72 h after transfection (Fig. 5).

Figure 5.

miR-766-5p inhibitor reduces SW480 cell viability. At 24, 48 and 72 h after transfection, miR-766-5p inhibitor decreased SW480 cell proliferation in comparison with the NC group. **P<0.01 vs. NC group at 24, 48 and 72 h. NC, negative control; OD, optical density.

Detection of SW480 cell apoptosis

Flow cytometry was used for the examination of SW480 cell apoptosis in the different groups. Results demonstrated that miR-766-5p inhibitor significantly promoted SW480 cell apoptosis (35.98%) compared with the NC group (17.79%) (Fig. 6A and B).

Figure 6.

miR-766-5p inhibitor induces SW480 cell apoptosis. (A) Compared with the NC group, the SW480 cell apoptosis rate was higher in the miR-766-5p inhibitor group. (B) The statistical data are also presented. **P<0.01 vs. NC group. NC, negative control; PI, propidium iodide; FITC, fluorescein isothiocyanate.

Evaluation of SW480 cell migration/invasion

A wound healing assay was used for the examination of SW480 cell migration, while Transwell assays were used for the examination of SW480 cell invasion in different groups. Results demonstrated that the miR-766-5p inhibitor markedly inhibited SW480 cell migration/invasion compared with that observed in the NC group (Fig. 7A and B).

Figure 7.

miR-766-5p inhibitor induces SW480 cell migration/invasion. miR-766-5p inhibitor notably inhibited SW480 cell (A) migration (B) invasion compared with that observed in the NC group. Scale bar, 100 µm. Stained was conducted using Hemacolor® Rapid staining solution. NC, negative control.

Determination of protein levels of SCAI, phosphoinositide 3-kinase (PI3K)/AKT and matrix metalloproteinase-2 (MMP2)

In comparison with the NC group, protein expression levels of MMP2 and phosphorylated (p)-PI3K/AKT were decreased, while SCAI was increased following treatment with miR-766-5p inhibitor. GAPDH was used as an internal control (Fig. 8). Taken together, these results indicated that, miR-766-5p inhibitor repressed the activation of p-PI3K/p-AKT signaling by targeting SCAI.

Figure 8.

miR-766-5p inhibitor decreases the PI3K/AKT and MMP2 expression level, and increases the SCAI expression level. Protein levels of MMP2 and p-PI3K/AKT were lower, while SCAI was higher in the miR-766-5p inhibitor group than in the NC group. NC, negative control; SCAI, suppressor of cancer cell invasion; MMP2, matrix metalloproteinase-2; p, phosphorylated; PI3K, phosphoinositide 3-kinase.

Discussion

miRNA function as oncogenes or tumor suppressors (15,16). Mounting evidence suggests that miRNA serve fundamental roles in cell proliferation, migration and invasion (17–19). Aberrant expression of miRNA has been increasingly explored (17–19). Furthermore, miR-766-5p was reported to be overexpressed in CRC and promote the cell proliferation of SW480 cells (13). The present study aimed to investigate the role of miR-766-5p in SW480 cells.

SCAI 3′UTR was verified to be recognized by miR-766-5p. The present study demonstrated that SCAI was deregulated in tumor tissues compared with normal tissues, which was consistent with a previous study that also reported the decrease of SCAI in human cancer, implying a tumor suppressive role (20,21). In the present study, western blotting revealed that, following miR-766-5p inhibitor administration, SCAI protein level was upregulated in SW480 cells in comparison with the level in the NC group, demonstrating the interaction between miR-766-5p and SCAI. RNA-mediated interference-induced knockdown of SCAI has been demonstrated to increase cell migration ability (22). However, the effects of SCAI on SW480 cell behaviors were yet to be investigated.

Metastasis, the major cause of cancer mortality, is a complex process caused by changes in proto-oncogenes and tumor suppressor genes, which are implicated in cancer cell growth, migration, invasion and angiogenesis (23,24). As acknowledged, cell migration and invasion serve pivotal roles in angiogenesis, tissue repair and immune response, which are all deregulated in cancer cells (25,26). In the present study, the influence of miR-766-5p inhibitor on SW480 cell proliferation, apoptosis, migration and invasion was investigated. Results demonstrated that, miR-766-5p inhibitor treatment reduced cell proliferation, migration and invasion ability, and induced cell apoptosis of SW480 cells. Taken together, the miR-766-5p inhibitor slowed down the process of CRC. The present study also explored whether there are other molecules that are influenced by miR-766-5p.

MMP family proteolytic enzymes are indispensable for the remodeling of extracellular matrix, of which the degradation is a prerequisite for the invasion and metastasis of cancer (27,28). In the present study, it was demonstrated that the protein expression level of MMP2 was notably decreased following miR-766-5p inhibitor treatment compared to that following treatment with the NC. Additionally, the PI3K/AKT/mammalian target of rapamycin pathway was reported to be a potential target for prevention of CRC (29,30). In the present study, protein expression levels of p-PI3K and p-AKT were also found to be markedly decreased following miR-766-5p inhibitor treatment compared to the levels in the NC group.

In conclusion, treatment with a miR-766-5p inhibitor reduces cell proliferation, migration, invasion, and MMP2/PI3K/AKT protein expression in the SW480 CRC cell line, and induces cell apoptosis via targeting SCAI. The findings of the present study propose a possible treatment target for CRC.

References

1 

National Cancer Institute (NCI), . Colon Cancer Treatment (PDQ®)-Patient Version. NCI; Bethesda, MD: 2017, https://www.cancer.gov/types/colorectal/patient/colon-treatment-pdqFebruary 27–2017

2 

IARC, . World Cancer Report 2014: World Health Organization. Chapter. 5:52014.

3 

Parkin DM, Bray F, Ferlay J and Pisani P: Global cancer statistics, 2002. CA Cancer J Clin. 55:74–108. 2005. View Article : Google Scholar

4 

IARC, . World Cancer Report 2014: World Health Organization. Chapter. 1:12014.

5 

Brody H: Colorectal cancer. Nature. 521:S12015. View Article : Google Scholar

6 

Stein A, Atanackovic D and Bokemeyer C: Current standards and new trends in the primary treatment of colorectal cancer. Eur J Cancer. 47 Suppl 3:S312–S314. 2011. View Article : Google Scholar

7 

Cunningham D, Atkin W, Lenz HJ, Lynch HT, Minsky B, Nordlinger B and Starling N: Colorectal cancer. Lancet. 375:1030–1047. 2010. View Article : Google Scholar

8 

Bartel DP: MicroRNAs: Genomics, biogenesis, mechanism, and function. Cell. 116:281–297. 2004. View Article : Google Scholar

9 

Wang XJ, Reyes JL, Chua NH and Gaasterland T: Prediction and identification of Arabidopsis thaliana microRNAs and their mRNA targets. Genome Biol. 5:R652004. View Article : Google Scholar

10 

Mraz M and Pospisilova S: MicroRNAs in chronic lymphocytic leukemia: From causality to associations and back. Expert Rev Hematol. 5:579–581. 2012. View Article : Google Scholar

11 

Musilova K and Mraz M: MicroRNAs in B cell lymphomas: How a complex biology gets more complex. Leukemia. 29:1004–1017. 2015. View Article : Google Scholar

12 

Trang P, Weidhaas JB and Slack FJ: MicroRNAs as potential cancer therapeutics. Oncogene. 27 Suppl 2:S52–S57. 2008. View Article : Google Scholar

13 

Li YC, Li CF, Chen LB, Li DD, Yang L, Jin JP and Zhang B: MicroRNA-766 targeting regulation of SOX6 expression promoted cell proliferation of human colorectal cancer. Onco Targets Ther. 8:2981–2988. 2015. View Article : Google Scholar

14 

Livak KJ and Schmittgen TD: Analysis of relative gene expression data using real-time quantitative PCR and the 2(-Delta Delta C(T)) method. Methods. 25:402–408. 2001. View Article : Google Scholar

15 

Esquela-Kerscher A and Slack FJ: Oncomirs-microRNAs with a role in cancer. Nat Rev Cancer. 6:259–269. 2006. View Article : Google Scholar

16 

Osada H and Takahashi T: MicroRNAs in biological processes and carcinogenesis. Carcinogenesis. 28:2–12. 2007. View Article : Google Scholar

17 

Shen F, Cai WS, Feng Z, Li JL, Chen JW, Cao J and Xu B: miR-492 contributes to cell proliferation and cell cycle of human breast cancer cells by suppressing SOX7 expression. Tumour Biol. 36:1913–1921. 2015. View Article : Google Scholar

18 

Zhang Z, Sun J, Bai Z, Li H, He S, Chen R and Che X: MicroRNA-153 acts as a prognostic marker in gastric cancer and its role in cell migration and invasion. Onco Targets Ther. 8:357–364. 2015.

19 

Li X, Wang J, Jia Z, Cui Q, Zhang C, Wang W, Chen P, Ma K and Zhou C: miR-499 regulates cell proliferation and apoptosis during late-stage cardiac differentiation via Sox6 and cyclin D1. PLoS One. 8:e745042013. View Article : Google Scholar

20 

Brandt DT, Baarlink C, Kitzing TM, Kremmer E, Ivaska J, Nollau P and Grosse R: SCAI acts as a suppressor of cancer cell invasion through the transcriptional control of beta1-integrin. Nat Cell Biol. 11:557–568. 2009. View Article : Google Scholar

21 

Chen X, Hu W, Xie B, Gao H, Xu C and Chen J: Downregulation of SCAI enhances glioma cell invasion and stem cell like phenotype by acti-vating Wnt/β-catenin signaling. Biochem Biophys Res Commun. 448:206–211. 2014. View Article : Google Scholar

22 

Juliano R: SCAI blocks MAL-evolent effects on cancer cell invasion. Nat Cell Biol. 11:540–542. 2009. View Article : Google Scholar

23 

Turajlic S and Swanton C: Metastasis as an evolutionary process. Science. 352:169–175. 2016. View Article : Google Scholar

24 

Brábek J, Mierke CT, Rösel D, Veselý P and Fabry B: The role of the tissue microenvironment in the regulation of cancer cell motility and invasion. Cell Commun Signa. 8:222010. View Article : Google Scholar

25 

Haeger A, Wolf K, Zegers MM and Friedl P: Collective cell migration: Guidance principles and hierarchies. Trends Cell Biol. 25:556–566. 2015. View Article : Google Scholar

26 

Clark AG and Vignjevic DM: Modes of cancer cell invasion and the role of the microenvironment. Curr Opin Cell Biol. 36:13–22. 2015. View Article : Google Scholar

27 

Galliera E, Tacchini L and Corsi Romanelli MM: Matrix metalloproteinases as biomarkers of disease: Updates and new insights. Clin Chem Lab Med. 53:349–355. 2015. View Article : Google Scholar

28 

Cathcart J, Pulkoski-Gross A and Cao J: Targeting matrix metalloproteinases in cancer: Bringing new life to old ideas. Genes Dis. 2:26–34. 2015. View Article : Google Scholar

29 

Ballard-Barbash R, Friedenreich CM, Courneya KS, Siddiqi SM, McTiernan A and Alfano CM: Physical activity, biomarkers, and disease outcomes in cancer survivors: A systematic review. J Natl Cancer Inst. 104:815–840. 2012. View Article : Google Scholar

30 

Pandurangan AK: Potential targets for prevention of colorectal cancer: A focus on PI3K/Akt/mTOR and Wnt pathways. Asian Pac J Cancer Prev. 14:2201–2205. 2013. View Article : Google Scholar

Related Articles

  • Abstract
  • View
  • Download
  • Twitter
Copy and paste a formatted citation
Spandidos Publications style
Jia B, Xia L and Cao F: The role of miR-766-5p in cell migration and invasion in colorectal cancer. Exp Ther Med 15: 2569-2574, 2018.
APA
Jia, B., Xia, L., & Cao, F. (2018). The role of miR-766-5p in cell migration and invasion in colorectal cancer. Experimental and Therapeutic Medicine, 15, 2569-2574. https://doi.org/10.3892/etm.2018.5716
MLA
Jia, B., Xia, L., Cao, F."The role of miR-766-5p in cell migration and invasion in colorectal cancer". Experimental and Therapeutic Medicine 15.3 (2018): 2569-2574.
Chicago
Jia, B., Xia, L., Cao, F."The role of miR-766-5p in cell migration and invasion in colorectal cancer". Experimental and Therapeutic Medicine 15, no. 3 (2018): 2569-2574. https://doi.org/10.3892/etm.2018.5716
Copy and paste a formatted citation
x
Spandidos Publications style
Jia B, Xia L and Cao F: The role of miR-766-5p in cell migration and invasion in colorectal cancer. Exp Ther Med 15: 2569-2574, 2018.
APA
Jia, B., Xia, L., & Cao, F. (2018). The role of miR-766-5p in cell migration and invasion in colorectal cancer. Experimental and Therapeutic Medicine, 15, 2569-2574. https://doi.org/10.3892/etm.2018.5716
MLA
Jia, B., Xia, L., Cao, F."The role of miR-766-5p in cell migration and invasion in colorectal cancer". Experimental and Therapeutic Medicine 15.3 (2018): 2569-2574.
Chicago
Jia, B., Xia, L., Cao, F."The role of miR-766-5p in cell migration and invasion in colorectal cancer". Experimental and Therapeutic Medicine 15, no. 3 (2018): 2569-2574. https://doi.org/10.3892/etm.2018.5716
Follow us
  • Twitter
  • LinkedIn
  • Facebook
About
  • Spandidos Publications
  • Careers
  • Cookie Policy
  • Privacy Policy
How can we help?
  • Help
  • Live Chat
  • Contact
  • Email to our Support Team