Spandidos Publications Logo
  • About
    • About Spandidos
    • Aims and Scopes
    • Abstracting and Indexing
    • Editorial Policies
    • Reprints and Permissions
    • Job Opportunities
    • Terms and Conditions
    • Contact
  • Journals
    • All Journals
    • Oncology Letters
      • Oncology Letters
      • Information for Authors
      • Editorial Policies
      • Editorial Board
      • Aims and Scope
      • Abstracting and Indexing
      • Bibliographic Information
      • Archive
    • International Journal of Oncology
      • International Journal of Oncology
      • Information for Authors
      • Editorial Policies
      • Editorial Board
      • Aims and Scope
      • Abstracting and Indexing
      • Bibliographic Information
      • Archive
    • Molecular and Clinical Oncology
      • Molecular and Clinical Oncology
      • Information for Authors
      • Editorial Policies
      • Editorial Board
      • Aims and Scope
      • Abstracting and Indexing
      • Bibliographic Information
      • Archive
    • Experimental and Therapeutic Medicine
      • Experimental and Therapeutic Medicine
      • Information for Authors
      • Editorial Policies
      • Editorial Board
      • Aims and Scope
      • Abstracting and Indexing
      • Bibliographic Information
      • Archive
    • International Journal of Molecular Medicine
      • International Journal of Molecular Medicine
      • Information for Authors
      • Editorial Policies
      • Editorial Board
      • Aims and Scope
      • Abstracting and Indexing
      • Bibliographic Information
      • Archive
    • Biomedical Reports
      • Biomedical Reports
      • Information for Authors
      • Editorial Policies
      • Editorial Board
      • Aims and Scope
      • Abstracting and Indexing
      • Bibliographic Information
      • Archive
    • Oncology Reports
      • Oncology Reports
      • Information for Authors
      • Editorial Policies
      • Editorial Board
      • Aims and Scope
      • Abstracting and Indexing
      • Bibliographic Information
      • Archive
    • Molecular Medicine Reports
      • Molecular Medicine Reports
      • Information for Authors
      • Editorial Policies
      • Editorial Board
      • Aims and Scope
      • Abstracting and Indexing
      • Bibliographic Information
      • Archive
    • World Academy of Sciences Journal
      • World Academy of Sciences Journal
      • Information for Authors
      • Editorial Policies
      • Editorial Board
      • Aims and Scope
      • Abstracting and Indexing
      • Bibliographic Information
      • Archive
    • International Journal of Functional Nutrition
      • International Journal of Functional Nutrition
      • Information for Authors
      • Editorial Policies
      • Editorial Board
      • Aims and Scope
      • Abstracting and Indexing
      • Bibliographic Information
      • Archive
    • International Journal of Epigenetics
      • International Journal of Epigenetics
      • Information for Authors
      • Editorial Policies
      • Editorial Board
      • Aims and Scope
      • Abstracting and Indexing
      • Bibliographic Information
      • Archive
    • Medicine International
      • Medicine International
      • Information for Authors
      • Editorial Policies
      • Editorial Board
      • Aims and Scope
      • Abstracting and Indexing
      • Bibliographic Information
      • Archive
  • Articles
  • Information
    • Information for Authors
    • Information for Reviewers
    • Information for Librarians
    • Information for Advertisers
    • Conferences
  • Language Editing
Spandidos Publications Logo
  • About
    • About Spandidos
    • Aims and Scopes
    • Abstracting and Indexing
    • Editorial Policies
    • Reprints and Permissions
    • Job Opportunities
    • Terms and Conditions
    • Contact
  • Journals
    • All Journals
    • Biomedical Reports
      • Information for Authors
      • Editorial Policies
      • Editorial Board
      • Aims and Scope
      • Abstracting and Indexing
      • Bibliographic Information
      • Archive
    • Experimental and Therapeutic Medicine
      • Information for Authors
      • Editorial Policies
      • Editorial Board
      • Aims and Scope
      • Abstracting and Indexing
      • Bibliographic Information
      • Archive
    • International Journal of Epigenetics
      • Information for Authors
      • Editorial Policies
      • Editorial Board
      • Aims and Scope
      • Abstracting and Indexing
      • Bibliographic Information
      • Archive
    • International Journal of Functional Nutrition
      • Information for Authors
      • Editorial Policies
      • Editorial Board
      • Aims and Scope
      • Abstracting and Indexing
      • Bibliographic Information
      • Archive
    • International Journal of Molecular Medicine
      • Information for Authors
      • Editorial Policies
      • Editorial Board
      • Aims and Scope
      • Abstracting and Indexing
      • Bibliographic Information
      • Archive
    • International Journal of Oncology
      • Information for Authors
      • Editorial Policies
      • Editorial Board
      • Aims and Scope
      • Abstracting and Indexing
      • Bibliographic Information
      • Archive
    • Medicine International
      • Information for Authors
      • Editorial Policies
      • Editorial Board
      • Aims and Scope
      • Abstracting and Indexing
      • Bibliographic Information
      • Archive
    • Molecular and Clinical Oncology
      • Information for Authors
      • Editorial Policies
      • Editorial Board
      • Aims and Scope
      • Abstracting and Indexing
      • Bibliographic Information
      • Archive
    • Molecular Medicine Reports
      • Information for Authors
      • Editorial Policies
      • Editorial Board
      • Aims and Scope
      • Abstracting and Indexing
      • Bibliographic Information
      • Archive
    • Oncology Letters
      • Information for Authors
      • Editorial Policies
      • Editorial Board
      • Aims and Scope
      • Abstracting and Indexing
      • Bibliographic Information
      • Archive
    • Oncology Reports
      • Information for Authors
      • Editorial Policies
      • Editorial Board
      • Aims and Scope
      • Abstracting and Indexing
      • Bibliographic Information
      • Archive
    • World Academy of Sciences Journal
      • Information for Authors
      • Editorial Policies
      • Editorial Board
      • Aims and Scope
      • Abstracting and Indexing
      • Bibliographic Information
      • Archive
  • Articles
  • Information
    • For Authors
    • For Reviewers
    • For Librarians
    • For Advertisers
    • Conferences
  • Language Editing
Login Register Submit
  • This site uses cookies
  • You can change your cookie settings at any time by following the instructions in our Cookie Policy. To find out more, you may read our Privacy Policy.

    I agree
Search articles by DOI, keyword, author or affiliation
Search
Advanced Search
presentation
Experimental and Therapeutic Medicine
Join Editorial Board Propose a Special Issue
Print ISSN: 1792-0981 Online ISSN: 1792-1015
Journal Cover
November-2018 Volume 16 Issue 5

Full Size Image

Sign up for eToc alerts
Recommend to Library

Journals

International Journal of Molecular Medicine

International Journal of Molecular Medicine

International Journal of Molecular Medicine is an international journal devoted to molecular mechanisms of human disease.

International Journal of Oncology

International Journal of Oncology

International Journal of Oncology is an international journal devoted to oncology research and cancer treatment.

Molecular Medicine Reports

Molecular Medicine Reports

Covers molecular medicine topics such as pharmacology, pathology, genetics, neuroscience, infectious diseases, molecular cardiology, and molecular surgery.

Oncology Reports

Oncology Reports

Oncology Reports is an international journal devoted to fundamental and applied research in Oncology.

Experimental and Therapeutic Medicine

Experimental and Therapeutic Medicine

Experimental and Therapeutic Medicine is an international journal devoted to laboratory and clinical medicine.

Oncology Letters

Oncology Letters

Oncology Letters is an international journal devoted to Experimental and Clinical Oncology.

Biomedical Reports

Biomedical Reports

Explores a wide range of biological and medical fields, including pharmacology, genetics, microbiology, neuroscience, and molecular cardiology.

Molecular and Clinical Oncology

Molecular and Clinical Oncology

International journal addressing all aspects of oncology research, from tumorigenesis and oncogenes to chemotherapy and metastasis.

World Academy of Sciences Journal

World Academy of Sciences Journal

Multidisciplinary open-access journal spanning biochemistry, genetics, neuroscience, environmental health, and synthetic biology.

International Journal of Functional Nutrition

International Journal of Functional Nutrition

Open-access journal combining biochemistry, pharmacology, immunology, and genetics to advance health through functional nutrition.

International Journal of Epigenetics

International Journal of Epigenetics

Publishes open-access research on using epigenetics to advance understanding and treatment of human disease.

Medicine International

Medicine International

An International Open Access Journal Devoted to General Medicine.

Journal Cover
November-2018 Volume 16 Issue 5

Full Size Image

Sign up for eToc alerts
Recommend to Library

  • Article
  • Citations
    • Cite This Article
    • Download Citation
    • Create Citation Alert
    • Remove Citation Alert
    • Cited By
  • Similar Articles
    • Related Articles (in Spandidos Publications)
    • Similar Articles (Google Scholar)
    • Similar Articles (PubMed)
  • Download PDF
  • Download XML
  • View XML
Article Open Access

Baseline serum miR‑125b levels predict virologic response to nucleos(t)ide analogue treatment in patients with HBeAg‑positive chronic hepatitis B

  • Authors:
    • Pu Zhou
    • Minhui Dong
    • Jinyu Wang
    • Fahong Li
    • Jiming Zhang
    • Jingwen Gu
  • View Affiliations / Copyright

    Affiliations: Huashan Worldwide Medical Center, Huashan Hospital, Fudan University, Shanghai 200040, P.R. China, Department of Infectious Diseases, Huashan Hospital, Fudan University, Shanghai 200040, P.R. China
    Copyright: © Zhou et al. This is an open access article distributed under the terms of Creative Commons Attribution License.
  • Pages: 3805-3812
    |
    Published online on: September 3, 2018
       https://doi.org/10.3892/etm.2018.6685
  • Expand metrics +
Metrics: Total Views: 0 (Spandidos Publications: | PMC Statistics: )
Metrics: Total PDF Downloads: 0 (Spandidos Publications: | PMC Statistics: )
Cited By (CrossRef): 0 citations Loading Articles...

This article is mentioned in:



Abstract

The aim of the present study was to investigate the predictive value of baseline serum microRNA (miRNA)-125b for nucleos(t)ide analogues (NAs) in patients with chronic hepatitis B (CHB). A total of 66 patients with Be antigen (HBeAg)‑positive CHB received NAs therapy for 144 weeks. Serum miRNA‑125b levels were measured at the baseline, while hepatitis B virus (HBV) DNA, hepatitis B surface antigen (HBsAg) and alanine aminotransferase (ALT) levels were measured throughout treatment. Stepwise logistic regression analysis was performed to identify predictors of treatment response. The results indicated that baseline serum miR‑125b (OR=4.377; P=0.006), HBsAg (OR=0.120; P=0.010), ALT >5x upper limit of normal (ULN; OR=11.726; P=0.018) and undetectable HBV DNA at week 24 (OR=7.828; P=0.021) were independent predictors of complete response (CR) at 144 weeks (CR is defined as HBV DNA <500 IU/ml and HBeAg seroconversion). The baseline serum miRNA‑125b combined with baseline HBsAg level yielded an area under the receiver‑operating curve of 0.852 in discriminating CR and non‑CR at 144 week. The combination of baseline miRNA‑125b ≥1.7 and ALT >5x ULN had a positive predictive value 80% for CR at 144 weeks. The combination of baseline miRNA‑125b ≥1.7 and HbsAg ≤4.4 (log10 IU/ml) had a negative predictive value of CR at 144 weeks of 100%. Together, these results suggest that baseline miRNA‑125b is a reliable predictor of HBeAg seroconversion following NAs treatment. The present study may be used as a basis for the use of baseline miRNA‑125b to optimize treatment prior to NAs therapy.

Introduction

Hepatitis B virus (HBV) is a pandemic disease, with an estimated 240 million individuals harboring Hepatitis B surface antigen (HBsAg). Patients with chronic hepatitis B (CHB) are at an increased risk of developing cirrhosis and hepatocellular carcinoma. At present, treatments for CHB include pegylated interferon and nucleos(t)ide analogues (NAs) (1). Among these, lamivudine (LAM), adefovir dipivoxil (ADV), entecavir (ETV), telbivudine (LdT), tenofovir disoproxil fumarate (TDF) and tenofovir alafenamide have been approved for CHB treatment (1). Hepatitis B e antigen (HBeAg) seroconversion is considered to be the most important marker for assessing the reliability and efficacy of antiviral therapy in patients with HBeAg-positive CHB (2).

MicroRNAs (miRNAs or miRs) are small (19–24 nucleotides) non-coding RNA molecules that regulate a variety of cellular processes (3). A number of miRNAs have been reported to participate in the regulation of HBV infection and related diseases (4–7). A previous study demonstrated that serum miR-125b was correlated with HBV replication and liver necroinflammation (8), while others have demonstrated that miR-125b-5p expression is associated with the etiology of chronic HBV infection and regulates HBsAg expression (9–10). it has also been observed that miR-125b inhibits the formation of HBV DNA intermediates and the secretion of HBsAg and HBeAg by targeting sodium channel epithelial 1α subunit (11). The various functions of miR-125b in HBV-associated liver diseases suggest that miR-125b level may have clinical value.

Previous studies have identified multiple predictors of NA treatment outcome, including pre-treatment alanine aminotransferase (ALT) level, HBV DNA level during treatment and HBsAg, HBeAg and anti- Hepatitis B core antigen (HBcAg) antibody levels (12–19); however, the predictive value of serum miR-125b level for NA treatment response is unknown. The aim of the present study was to assess whether miR-125b expression, alone or in combination with other parameters, is an effective predictor of complete remission (CR) following 44 weeks of Nas therapy (CR is defined as HBV DNA <500 IU/ml and HBeAg seroconversion) in patients with CHB.

Patients and methods

Patients

A total of 66 HBeAg-positive CHB patients [age range, 17–64 years; males, 84.8% (56/66)] were retrospectively analyzed. All patients had received optimized LdT therapy (with additional ADV if HBV DNA ≥500 IU/ml at week 24; n=39) or TDF monotherapy (n=27) for at least 144 weeks at the Department of Infectious Diseases, Huashan Hospital (Fudan University, Shanghai, China) between January 2013 and December 2016. A total of 34 healthy individuals (age range, 18–60 years) matched for age and with 85.3% (29/34) males were enrolled as healthy controls (HCs) at Huashan Hospital. Inclusion criteria were as follows: Baseline serum samples available, aged 16–65 years, HBsAg positive for a ≥6 months, HBeAg positive, anti-HB e antibody (anti-HBe) negative; serum HBV DNA ≥20,000 IU/ml; ALT ≥2× upper limit of normal (ULN) and no history of antiviral therapy with NA or interferon within the previous 6 months. Exclusion criteria were as follows: Simultaneously positive for HBeAg and anti-Hbe, co-infection with hepatitis C virus, hepatitis D virus, or human immunodeficiency virus, hepatic decomposition and history of other acquired or inherited causes of liver disease. All patients provided written, informed consent prior to participation in the study. The study protocol was performed in accordance with the Declaration of Helsinki and was approved by the Institutional Ethics Committee of Huashan Hospital.

Evaluation of miR-125b levels and other serological parameters

Quantitative miR-125b evaluation was performed for all patients at baseline. Serum miRNA isolation and quantification was performed using miRcute miRNA extraction and first-strand cDNA synthesis and qPCR detection kits (cat. nos. DP503 and KR201; Tiangen Biotech Co., Ltd., Beijing, China) according to the manufacturer's protocol. All reactions were performed in triplicate. The miRNA levels were normalized to an internal control (5S rRNA) according to the manufacturer's protocol. Primers for 5S (cat. no. 201-0001) and miR-125b (cat. no. 201-00047) were purchased from Tiangen Biotech Co., Ltd and the relative expression of target miRNAs was determined using the 2−∆∆Cq method (20).

HBV DNA levels were determined using the Da-an real-time PCR HBV DNA assay (cat. no. DA-L051; Daan Gene Co, Ltd of Sun Yat-sen University, Guangdong, China) following the manuscript's instrument. According to the instructions, HBV DNA was extracted from 100 µl serum. The TaqMan probe (provided as part of the kit) was used in qPCR amplification, performed using the LightCycler 480 system (Roche Diagnostics, Basel, Switzerland), by incubating the reaction mixture at 93°C for 2 min, followed by 40 cycles of 93°C for 5 sec and 57°C for 45 sec. The dynamic range for this kit to detect HBVDNA ranged from 5×102−1×108 IU/ml.

The quantification of HBsAg was performed by ADICON Clinical Laboratories (Shanghai, China) using the Abbott ARCHITECT I2000 platform (Abbott Pharmaceutical Co. Ltd., Lake Bluff, IL, USA). Serological HBV markers were measured by Chemiluminescent Microparticle ImmunoAssays for HBsAg, anti-HBs, HBeAg and anti-HBe (cat. nos. 6C36, 7C18, 6C32 and 6C34; Abbott Pharmaceutical Co. Ltd.). Serum HBsAg and anti-HBs were determined quantitatively, while serum HBeAg and anti-HBe were determined qualitatively. Positive cut-offs values for HBsAg and anti-HBs were ≥0.05 and ≥10 IU/l, respectively. The upper detection limits for HBsAg and anti-HBs were 250 and 1,000 IU/l, respectively. HBeAg and anti-HBe were interpreted using a ratio of the sample relative light unit (RLU) rate/the cut-off RLU.

Statistical analysis

Data were analyzed using SPSS v.19.0 for Windows (IBM Corp., Armonk, NY, USA). Categorical and continuous variables are presented as a proportion (%) and median (range), respectively. Pearson's χ2 analysis or Fisher's exact test were used to compare categorical variables, while the Student's t-test or Wilcoxon non-parametric test was used for normally distributed data. Cumulative CR rates were analyzed with the Kaplan-Meier method and significant differences were determined using the log-rank test. Variables with P values <0.10 were subjected to multivariate logistic regression analysis to identify independent variables for predicting CR. The optimal cut-off value of each variable was determined by the Youden index using MedCalc v.4.20 (MedCalc Software, Mariakerke, Belgium). Serum HBsAg and HBV DNA levels are expressed as log values. P<0.05 was considered to indicate a statistically significant difference.

Results

Patient characteristics and treatment outcomes

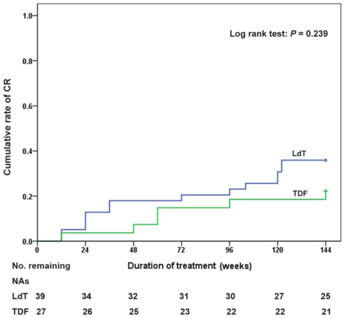
It was observed that the serum miRNA was positively correlated with serum ALT (r=0.300; P=0.014) and HBV DNA (r=0.353; P=0.004) prior to treatment (Fig. 1). Furthermore, it was suggested that in the CHB group, serum miRNA-125b levels were significantly higher compared with HCs (P=0.0037; Fig. 2A). A total of 66 patients, who received LdT optimized therapy (n=39; 12 patients supplemented with ADV during the treatment) or TDF monotherapy (n=27) were analyzed. The baseline characteristics of patients who achieved or did not achieve CR following 144 weeks of NA treatment are presented in Table I. Baseline fold change in serum miR-125b (1.80 vs. 0.87; P=0.002; Fig. 2B) were significantly higher in the CR group compared with the non-CR group, while HBsAg (3.88 vs. 4.46 log10 IU/ml; P=0.009) levels and percentages of ALT <5× ULN (11% vs. 37%; P=0.033) at baseline were significantly lower in CR group compared with the non-CR group. No significant differences were observed with respect to age, sex, baseline serum HBV DNA level, HBeAg level or HBV genotype (Table I). The cumulative CR rates of patients who received LdT optimized therapy were 23.1 and 35.9% at weeks 96 and 144, respectively (Fig. 3). The 144-week cumulative CR rate of patients who received TDF monotherapy was 22.2%.

Figure 1.

Correlation between miRNA-125b and (A) ALT or (B) HBV DNA. miRNA, microRNA; ALT, alanine aminotransferase; HBV, hepatitis B virus.

Figure 2.

miRNA-125b levels in (A) HC and CHB groups and (B) responder and non-responder groups prior to treatment. **P<0.001 vs. responder and ****P<0.0001 vs. HC. miRNA, microRNA; HC, healthy control; CHB, chronic hepatitis B.

Figure 3.

Correlation of CR with LdT and TDF treatment in patients with HBeAg-positive CHB. CR, complete response; LdT, telbivudine; TDF, tenofovir disoproxilfumarate; HBeAg, hepatitis B e antigen; CHB, chronic hepatitis B; Nas, nucleos(t)ide analogues.

Table I.

Baseline characteristics of responders and non-responders.

Table I.

Baseline characteristics of responders and non-responders.

CharacteristicAll patients (n=66)Responders (n=20)Non-responders (n=46)P-value
Age (years)30 (17–64)28 (20–60)31 (17–64)0.785
Male sex, n (%)56 (84.8)17 (85.0)39 (84.8)1.000
Nucleos(t)ide analogue
  LdT optimized therapy, n (%)39 (59.1)14 (70.0)25 (54.3)
  TDF monotherapy, n (%)27 (40.9)6 (30.0)21 (45.7)0.235
Serum miR-125b (fold change)1.02 (−2.27–3.86)1.80 (0.29–3.86)0.87 (−2.27–2.70)0.002
ALT (ULN)2.96 (0.48–16.74)3.96 (0.50–11.14) 2.93(0.48–16.74)0.410
  ≤5, n (%)48 (72.7)11 (55.0)37 (80.4
  >5, n (%)18 (27.3)9 (45.0)9 (19.6)0.033
Log10 HBV DNA (IU/ml)7.60 (4.00–9.76)7.64 (4.00–9.38)7.60 (4.00–9.76)0.751
  <8, n (%)41 (62.1)13 (65.0)28 (60.9)
  ≥8, n (%)25 (37.9)7 (35.0)18 (39.1)1.000
Log10 HBeAg (s/co)2.92 (0.48–3.64)2.54 (0.90–3.64)3.04 (0.48–3.23)0.075
Log10 HBsAg (IU/ml)4.28 (2.00–5.28)3.88 (2.00–4.88)4.46 (2.72–5.28)0.009
  <4.4, n (%)38 (57.6)16 (80.0)22 (47.8)
  ≥4.4, n (%)28 (42.4)4 (20.0)24 (52.2)0.015
HBV genotype (%)
  B38 (57.6)12 (60)26 (56.5)
  C28 (42.4)8 (40)20 (43.4)0.945

[i] LdT, telbivudine; TDF, tenofovir disoproxil fumarate; ALT, alanine aminotransferase; ULN, upper limit of normal; HBV, hepatitis B virus; HBeAg, hepatitis B e antigen; HBsAg, hepatitis B s antigen.

Baseline and on-treatment parameters associated with 144-week CR

To identify factors associated with CR, baseline parameters including age, sex, treatment strategy, ALT >5× ULN, HBV DNA level, HBsAg level, HBeAg level and serum miR-125b level were included in the logistic regression analysis, as were on-treatment parameters, including undetectable HBV DNA (HBV DNA <500 IU/ml) at week 24. Uni- and multivariate analyses demonstrated that changes in serum miR-125b (OR=4.377; P=0.006), HBsAg (OR=0.120; P=0.010), ALT >5× ULN (OR=11.726; P=0.018) and undetectable HBV DNA (OR=7.828; P=0.021) between the baseline and week 24 were independent predictors of 144-week CR (Table II).

Table II.

Logistic regression analysis of parameters to predict complete response at week 144.

Table II.

Logistic regression analysis of parameters to predict complete response at week 144.

Complete response

Univariate analysisMultivariate analysis


FactorsOR (95% CI)P-valueOR (95% CI)P-value
Age (years)0.994 (0.950–1.040)0.781
Male sex, n (%)1.017 (0.234–4.413)0.982
Baseline
  TDF monotherapy0.510 (0.167–1.561)0.2380.516 (0.105–2.542)0.416
  ALT >5 ULN3.364 (1.072–10.550)0.03811.726 (1.512–90.920)0.018
  Log10 HBV DNA (IU/ml)0.886 (0.632–1.242)0.482
  Log10 HBeAg (s/co)0.601 (0.339–1.063)0.0801.379 (0.472–4.034)0.557
  Log10 HBsAg (IU/ml)0.391 (0.184–0.832)0.0150.120 (0.024–0.597)0.010
  Serum miR-125b (fold change)2.561 (1.332–4.927)0.0054.377 (1.513–12.661)0.006
Week 24
  HBV DNA <500 (IU/ml)7.424 (2.3–23.969)0.0017.828 (1.371–44.711)0.021

[i] OR, odds ratio; CI, confidence interval; TDF, tenofovir disoproxil fumarate; ALT, alanine aminotransferase; ULN, upper limit of normal; HBV, hepatitis B virus; HBeAg, hepatitis B e antigen; HBsAg, hepatitis B s antigen.

Value of baseline HBsAg and miR-125b fold change for predicting 144-week CR

The predictive value of baseline HBsAg and miR-125b fold change for 144-week CR was evaluated by calculating the area under the receiver operating characteristic curve (AUROC). The AUROC of miR-125b at the baseline was 0.753 (P<0.001). Baseline HBsAg levels were revealed to predict CR at week 144 with an AUROC of 0.663 (P=0.026). The combination of miR-125b fold change and baseline HBsAg level at the baseline had a higher predictive value than either parameter alone, with an AUROC of 0.852 (P<0.001; Fig. 4). Based on ROC analysis, several cut-off values of fold change in serum miR-125b and HBsAg level at baseline were selected for further evaluation. A cut-off value of 1.7 was considered optimal for predicting 144-week CR based on fold change in baseline miR-125b, with a sensitivity of 65%, specificity of 78.3%, positive predictive value (PPV) of 56.5% and negative predictive value (NPV) of 83.7%. The optimal cut-off value for baseline HBsAg (log10 IU/ml) was 4.4, with a sensitivity of 80%, specificity of 52.2%, PPV of 42.1% and NPV of 85.7% (Table III).

Figure 4.

AUROC of baseline miR-125b and HBsAg and their combination for predicting complete response in patients with HBeAg-positive CHB following 144 weeks of treatment. AUROC, area under the receiver operating characteristic curve; miR, microRNA; HBsAg, hepatitis B s antigen; CHB, chronic hepatitis B.

Table III.

Predictive value of miRNA-125b fold change and HBsAg levels for complete response at 144 weeks.

Table III.

Predictive value of miRNA-125b fold change and HBsAg levels for complete response at 144 weeks.

Cut-off valuesSensitivity (%)Specificity (%)PPV (%)NPV (%)
miRNA-125b (fold change)
  1.075.056.542.983.9
  1.365.067.446.481.6
  1.7a65.078.356.583.7
  2.135.082.646.774.5
  2.425.093.562.574.1
Log10 HBsAg
  4.160.063.041.478.4
  4.370.056.541.281.2
  4.4a80.052.242.185.7
  4.685.041.338.686.4
  4.790.030.436.087.5
Combination45.092.369.279.2

a Optimal cut-off values determined by Youden Index. miRNA, microRNA; HBsAg, hepatitis B s antigen; PPV, positive predictive value; NPV, negative predictive value.

Predictive algorithms for predicting 144-week CR

Predictive algorithms for CR at week 144 were developed based on baseline serum miR-125b combined with ALT or HBsAg levels (Fig. 5). A total of 10 patients achieved miRNA-125b ≥1.7 and ALT >5× ULN at the baseline. A total of 80% (8/10) patients achieved CR by the end of week 144 (PPV=80%; Fig. 5A). However, 18 patients did not achieve miR-125b ≥1.7 and HBsAg ≤4.4 (log10 IU/ml) at the baseline. None of these patients achieved CR by the end of week 144 (NPV=100%; Fig. 5B).

Figure 5.

Baseline miR-125 fold change ≥1.7 with (A) ALT >5× ULN and (B) HBsAg IU/ml ≤4.4 at baseline to predict CR after 144 weeks of NAs treatment. ALT, aminotransferase; ULN, upper limit of normal; HBsAg, hepatitis B surface antigen; NAs, nucleos(t)ide analogues; CR, complete response.

Discussion

HBeAg seroconversion is an important landmark in the treatment of patients with HBeAg-positive CHB (2). Given the indeterminate duration of NA treatment and the drawbacks of long-term therapy (1), predicting HBeAg seroconversion has clinical benefits.

A number of virological parameters have been investigated for their utility as predictors of NA treatment efficacy in patients with CHB. Serum HBV DNA at week 24 has been reported to be an essential marker for monitoring HBeAg status in HBeAg-positive patients receiving long-term NA treatment (21). The combination of HBeAg levels at baseline and its decline from baseline after 24 weeks may be a useful predictor of the efficacy of NA therapy (15). Baseline anti-HBcAg titer has also been used to predict the therapeutic efficacy of NAs in HBeAg-positive CHB patients (16), while patients with low HBsAg levels demonstrated satisfactory responses to NA treatment (17–18). In addition to these virological parameters, HBeAg seroconversion following NA treatment can be predicted by high baseline ALT (12) and serum interleukin-21 levels at week 12 (22). Quantifying interferon-γ-inducible protein-10 during entecavir (ETV) treatment may predict long-term HBeAg seroconversion in patients with CHB (23).

Changes in miRNA expression have been linked to disease progression in patients with HBV (24). Serum miR-125b has previously been reported to be associated with HBV replication, liver necroinflammation (8) and the etiology of CHB infection (via regulating BsAg expression) (10). miR-125b inhibits the formation of HBV DNA intermediates and HBsAg and HBeAg secretion (11). miR-125b can also regulate several oncogenes, including Mothers against decapentaplegic homolog 2/4), Sirtuin 7, suppressor of variegation 3–9 homolog 1, Lin-28 homolog B and phosphatidylinositol-glycan biosynthesis class F protein (25–29). These genes are associated with HBV hepatocarcinogenesis, which indicates that miR-125b also serves an important role in HBV hepatocarcinogenesis.

Multivariate regression analysis identified baseline miR-125b level as an independent predictor of 144-week CR. It was also demonstrated that HBsAg level, ALT >5× ULN at the baseline and HBV DNA <500 IU/ml at week 24 were independently associated with 144-week CR, which is consistent with previous studies (16). The AUROC of anti-HBcAg antibody at the baseline was reported as 0.646 for predicting HBeAg seroconversion following NA treatment; however, the AUROC of baseline miR-125b level for predicting CR was 0.753 and increased to 0.852 when combined with HBsAg level.

Cut-off values for miR-125b and HBsAg were obtained via ROC analysis. The sum of sensitivity and specificity was highest when the cut-off values were 1.7 for miR-125b fold change and 4.4 log10 IU/ml for HBsAg. The predictive algorithm combining fold change in baseline miR-125b ≥1.7 and HBsAg ≤4.4 (log10 IU/ml) demonstrated good performance in excluding 144-week CR following NA treatment, with an NPV of 100%. This indicates that patients who did not exhibit a fold change ≥1.7 in miR-125b and ≤4.4 in HBsAg (log10 IU/ml) at the baseline would have little chance of achieving CR with long-term NA therapy. Another predictive algorithm, combining ≥1.7 fold change in baseline miR-125b and ALT >5× ULN, was a good predictor of 144-week CR, with a PPV of 80%. These results suggest that a patient achieving ≥1.7 fold change in miR-125b and ALT >5× ULN at the baseline is likely to respond favorably to long-term NA therapy.

The majority of patients enrolled in the present study were <40 years of age; previous studies recommended that young patients with CHB and fertility requirements should receive LdT and TDF as a first-choice treatment, as these agents have ben reported to reduce perinatal HBV transmission (30,31). Two global phase III clinical trials of NA TDF reported that HBeAg seroconversion rates were 21 and 40% at weeks 48 and 240, respectively, in patients with HBeAg-positive CHB (32) LdT is an L-deoxythymidine analogue that has greater efficacy than LAM in patients with CHB (33). Although LdT is not recommended as a first-line NA according to current guidelines, it is widely prescribed to patients with CHB in developing countries due to its low cost and potency, which is comparable to that of ETV and TDF (34,35). The rate of HBeAg seroconversion was 29.6% in a 2-year global trial of LdT (36). However, cumulative HBeAg seroconversion rates in the present study were lower than those previously reported, likely due to the small sample size and predominance of HBV genotype C in China, which has lower rates of seroconversion than genotypes A and B (37).

To the best of our knowledge, the present study is the first to report the predictive value of baseline serum miR-125b for patient response to long-term NA treatment. However, a number of limitations were noted. Firstly, the sample size and age range of enrolled patients relatively small, and so the conclusions herein require confirmation in multi-center studies with a large cohort. Secondly, all patients enrolled were Asian; as such, it is unclear whether the results can be generalized to other ethnic groups or HBV genotypes. Thirdly, the present study lacked a validation group in which to verify the predictive model. In the future, a prospective cohort should be enrolled to evaluate and confirm the predictive validity of miR-125b at the baseline and during therapy. Nonetheless, the present study suggests that baseline miR-125b is a reliable predictor for HBeAg seroconversion following NA treatment. These results may be used in the clinic to optimize therapeutic regimens prior to initiating antiviral treatment.

Acknowledgements

The authors would like to thank Dr. Xiaoqin Wang from the Department of Hemotology Diseases at Huashan Hospital for the assistance during the study.

Funding

The present study was supported by the Science and Technology Commission of Shanghai Municipality (grant no. 17ZR1403600), the Three-year Action Plan on Public Health, Phase IV, Shanghai, China (grant no. 15GWZK0801) and the National Natural Science Foundation of China (grant nos. 81670560 and 1471933).

Availability of data and materials

The datasets used and/or analyzed during the current study are available from the corresponding author on reasonable request.

Authors' contributions

PZ, MD, JZ and JG were responsible for conception, study design and data analysis. PZ, MD, JW FL, JZ and JG performed data collection. PZ and MD wrote the manuscript. JZ and JG critically revised the manuscript prior to submission. All authors approved the final version of the manuscript.

Ethics approval and consent to participate

All procedures performed in studies involving human participants were approved by the Ethic Committee of Huashan Hospital, Fudan University and in accordance with the 1964 Helsinki declaration and its later amendments or comparable ethical standards. Informed consent was obtained from all individual participants included in the study.

Patient consent for publication

Not applicable.

Competing interests

The authors declare that they have no conflicts of interest.

Glossary

Abbreviations

Abbreviations:

ADV

adefovir dipivoxil

ALT

alanine aminotransferase

AUROC

area under the receiver operating characteristic curve

CHB

chronic hepatitis B

CR

complete response

ETV

entecavir

HBeAg

hepatitis B e antigen

HBsAg

hepatitis B surface antigen

HBV

hepatitis B virus

LAM

lamivudine

LdT

telbivudine

miRNA

microRNA

NA

nucleos(t) ide analogue

NPV

negative predictive value

OR

odds ratio

peg-IFN

pegylated interferon

PPV

positive predictive value

TDF

tenofovir disoproxil fumarate

ULN

upper limit of normal

References

1 

Lampertico P, Agarwal K, Berg T, Buti M, Janssen H, Papatheodoridis G, Zoulim F and Tacke F: EASL 2017 clinical practice guidelines on the management of hepatitis B virus infection. J Hepatol. 67:370–398. 2017. View Article : Google Scholar : PubMed/NCBI

2 

Terrault NA, Bzowej NH, Chang KM, Hwang JP, Jonas MM and Murad MH: American Association for the Study of Liver Diseases: AASLD guidelines for treatment of chronic hepatitis B. Hepatology. 63:261–83. 2016. View Article : Google Scholar : PubMed/NCBI

3 

Bushati N and Cohen SM: microRNA functions. Annu Rev Cell Dev Biol. 23:175–205. 2007. View Article : Google Scholar : PubMed/NCBI

4 

Chen Y, Shen A, Rider PJ, Yu Y, Wu K, Mu Y, Hao Q, Liu Y, Gong H, Zhu Y, et al: A liver-specific microRNA binds to a highly conserved RNA sequence of hepatitis B virus and negatively regulates viral gene expression and replication. Faseb J. 25:4511–4521. 2011. View Article : Google Scholar : PubMed/NCBI

5 

Wang S, Qiu L, Yan X, Jin W, Wang Y, Chen L, Wu E, Ye X, Gao GF, Wang F, et al: Loss of microRNA 122 expression in patients with hepatitis B enhances hepatitis B virus replication through cyclin G(1)-modulated P53 activity. Hepatology. 55:730–741. 2012. View Article : Google Scholar : PubMed/NCBI

6 

Guo H, Liu H, Mitchelson K, Rao H, Luo M, Xie L, Sun Y, Zhang L, Lu Y, Liu R, et al: MicroRNAs-372/373 promote the expression of hepatitis B virus through the targeting of nuclear factor I/B. Hepatology. 54:808–819. 2011. View Article : Google Scholar : PubMed/NCBI

7 

Wei X, Xiang T, Ren G, Tan C, Liu R, Xu X and Wu Z: miR-101 is down-regulated by the hepatitis B virus × protein and induces aberrant DNA methylation by targeting DNA methyltransferase 3A. Cell Signal. 25:439–446. 2013. View Article : Google Scholar : PubMed/NCBI

8 

Li F, Zhou P, Deng W, Wang J, Mao R, Zhang Y, Li J, Yu J, Yang F, Huang Y, et al: Serum microRNA-125b correlates with hepatitis B viral replication and liver necroinflammation. Clin Microbiol Infect Dis. 22:384.e1–384.e10. 2016. View Article : Google Scholar

9 

Giray BG, Emekdas G, Tezcan S, Ulger M, Serin MS, Sezgin O, Altintas E and Tiftik EN: Profiles of serum microRNAs; miR-125b-5p and miR223-3p serve as novel biomarkers for HBV-positive hepatocellular carcinoma. Mol Biol Rep. 41:4513–4519. 2014. View Article : Google Scholar : PubMed/NCBI

10 

Zhang Z, Chen J, He Y, Zhan X, Zhao R, Huang Y, Xu H, Zhu Z and Liu Q: miR-125b inhibits hepatitis B virus expression in vitro through targeting of the SCNN1A gene. Arch virol. 159:3335–3343. 2014. View Article : Google Scholar : PubMed/NCBI

11 

Ninomiya M, Kondo Y, Kimura O, Funayama R, Nagashima T, Kogure T, Morosawa T, Tanaka Y, Nakayama K and Shimosegawa T: The expression of miR-125b-5p is increased in the serum of patients with chronic hepatitis B infection and inhibits the detection of hepatitis B virus surface antigen. J Viral Hepat. 23:330–339. 2016. View Article : Google Scholar : PubMed/NCBI

12 

Liaw YF: Hepatitis flares and hepatitis B e antigen seroconversion: Implication in anti-hepatitis B virus therapy. J Gastroenterol Hepatol. 18:246–252. 2003. View Article : Google Scholar : PubMed/NCBI

13 

Kwon JH, Jang JW, Lee S, Lee J, Chung KW, Lee YS and Choi J: Pretreatment HBeAg level and an early decrease in HBeAg level predict virologic response to entecavir treatment for HBeAg-positive chronic hepatitis B. J Viral Hepat. 19:e41–e47. 2012. View Article : Google Scholar : PubMed/NCBI

14 

Kao JH, Asselah T, Dou XG and Hamed K: Telbivudine therapy for chronic hepatitis B: A journey to identify super-responders and to optimize treatment using the roadmap model. J Gastroenterol Hepatol. 32:73–81. 2017. View Article : Google Scholar : PubMed/NCBI

15 

Zhang X, Lin SM, Ye F, Chen TY, Liu M, Chen YR, Zheng SQ, Zhao YR and Zhang SL: An early decrease in serum HBeAg titre is a strong predictor of virological response to entecavir in HBeAg-positive patients. J Viral Hepat. 18:e184–e190. 2011. View Article : Google Scholar : PubMed/NCBI

16 

Fan R, Sun J, Yuan Q, Xie Q, Bai X, Ning Q, Cheng J, Yu Y, Niu J, Shi G, et al: Baseline quantitative hepatitis B core antibody titre alone strongly predicts HBeAg seroconversion across chronic hepatitis B patients treated with peginterferon or nucleos(t)ide analogues. Gut. 65:313–320. 2016. View Article : Google Scholar : PubMed/NCBI

17 

Martinot-Peignoux M, Asselah T and Marcellin P: HBsAg quantification to optimize treatment monitoring in chronic hepatitis B patients. Liver Int. 35 Suppl:S82–S90. 2015. View Article : Google Scholar

18 

Zoulim F, Carosi G, Greenbloom S, Mazur W, Nguyen T, Jeffers L, Brunetto M, Yu S and Llamoso C: Quantification of HBsAg in nucleos(t)ide-naive patients treated for chronic hepatitis B with entecavir with or without tenofovir in the BE-LOW study. J Hepatol. 62:56–63. 2015. View Article : Google Scholar : PubMed/NCBI

19 

Fu XY, Tan DM, Liu CM, Gu B, Hu LH, Peng ZT, Chen B, Xie YL, Gong HY, Hu XX, et al: Early hepatitis B viral DNA clearance predicts treatment response at week 96. World J Gastroenterol. 23:2978–2986. 2017. View Article : Google Scholar : PubMed/NCBI

20 

Schmittgen TD and Livak KJ: Analyzing real-time PCR data by the comparative C(T) method. Nat Protoc. 3:1101–1108. 2008. View Article : Google Scholar : PubMed/NCBI

21 

Hsu CW, Chao YC, Lee CM, Chang TT and Chen YC: Efficacy of telbivudine in Taiwanese chronic hepatitis B patients compared with GLOBE extension study and predicting treatment outcome by HBV DNA kinetics at week 24. BMC gastroenterology. 12:1782012. View Article : Google Scholar : PubMed/NCBI

22 

Ma SW, Huang X, Li YY, Tang LB, Sun XF, Jiang XT, Zhang YX, Sun J, Liu ZH, Abbott WG, et al: High serum IL-21 levels after 12 weeks of antiviral therapy predict HBeAg seroconversion in chronic hepatitis B. J Hepatol. 56:775–781. 2012. View Article : Google Scholar : PubMed/NCBI

23 

Guo R, Mao H, Hu X, Zheng N, Yan D, He J and Yang J: Slow reduction of IP-10 Levels predicts HBeAg seroconversion in chronic hepatitis B patients with 5 years of entecavir treatment. Sci Rep. 6:370152016. View Article : Google Scholar : PubMed/NCBI

24 

Akamatsu S, Hayes CN, Tsuge M, Miki D, Akiyama R, Abe H, Ochi H, Hiraga N, Imamura M, Takahashi S, et al: Differences in serum microRNA profiles in hepatitis B and C virus infection. J Infect. 70:273–287. 2015. View Article : Google Scholar : PubMed/NCBI

25 

Alpini G, Glaser SS, Zhang JP, Francis H, Han Y, Gong J, Stokes A, Francis T, Hughart N, Hubbleet L, et al: Regulation of placenta growth factor by microRNA-125b in hepatocellular cancer. J Hepatol. 55:1339–1345. 2011. View Article : Google Scholar : PubMed/NCBI

26 

Liang L, Wong CM, Ying Q, Fan DN, Huang S, Ding J, Yao J, Yan M, Li J, Yao M, et al: MicroRNA-125b suppressesed human liver cancer cell proliferation and metastasis by directly targeting oncogene LIN28B2. Hepatology. 52:1731–1740. 2010. View Article : Google Scholar : PubMed/NCBI

27 

Zhou JN, Zeng Q, Wang HY, Zhang B, Li ST, Nan X, Cao N, Fu CJ, Yan XL, Jia YL, et al: MicroRNA-125b attenuates epithelial-mesenchymal transitions and targets stem-like liver cancer cells through small mothers against decapentaplegic 2 and 4. Hepatology. 62:801–815. 2015. View Article : Google Scholar : PubMed/NCBI

28 

Kim JK, Noh JH, Jung KH, Eun JW, Bae HJ, Kim MG, Chang YG, Shen Q, Park WS, Lee JY, et al: Sirtuin7 oncogenic potential in human hepatocellular carcinoma and its regulation by the tumor suppressors MiR-125a-5p and MiR-125b. Hepatology. 57:1055–1067. 2013. View Article : Google Scholar : PubMed/NCBI

29 

Fan DN, Tsang FH, Tam AH, Au SL, Wong CC, Wei L, Lee JM, He X, Ng IO and Wong CM: Histone lysine methyltransferase, suppressor of variegation 3–9 homolog 1, promotes hepatocellular carcinoma progression and is negatively regulated by microRNA-125b. Hepatology. 57:637–647. 2013. View Article : Google Scholar : PubMed/NCBI

30 

Tan Z, Yin Y, Zhou J, Wu L, Xu C and Hou H: Telbivudine treatment of hepatitis B virus-infected pregnant women at different gestational stages for the prevention of mother-to-child transmission: Outcomes of telbivudine treatment during pregnancy. Medicine (Baltimore). 95:e48472016. View Article : Google Scholar : PubMed/NCBI

31 

Wang W, Wang J, Dang S and Zhuang G: Cost-effectiveness of antiviral therapy during late pregnancy to prevent perinatal transmission of hepatitis B virus. Peer J. 4:e17092016. View Article : Google Scholar : PubMed/NCBI

32 

Gordon SC, Krastev Z, Horban A, Petersen J, Sperl J, Dinh P, Martins EB, Yee LJ, Flaherty JF, Kitrinos KM, et al: Efficacy of tenofovir disoproxil fumarate at 240 weeks in patients with chronic hepatitis B with high baseline viral load. Hepatology. 58:505–513. 2013. View Article : Google Scholar : PubMed/NCBI

33 

Hou J, Yin YK, Xu D, Tan D, Niu J, Zhou X, Wang Y, Zhu L, He Y, Ren H, et al: Telbivudine versus lamivudine in Chinese patients with chronic hepatitis B: Results at 1 year of a randomized, double-blind trial. Hepatology. 47:447–454. 2008. View Article : Google Scholar : PubMed/NCBI

34 

Banerjee S, Gunda P, Drake RF and Hamed K: Telbivudine for the treatment of chronic hepatitis B in HBeAg-positive patients in China: A health economic analysis. Springerplus. 5:17192016. View Article : Google Scholar : PubMed/NCBI

35 

Zhang Y, Hu P, Qi X, Ren H, Mao RC and Zhang JM: A comparison of telbivudine and entecavir in the treatment of hepatitis B e antigen-positive patients: A prospective cohort study in China. Clin Microbiol Infect. 22(287): e1–9. 2016.PubMed/NCBI

36 

Liaw YF, Gane E, Leung N, Zeuzem S, Wang Y, Lai CL, Heathcote EJ, Manns M, Bzowej N, Niu J, et al: 2-Year GLOBE trial results: Telbivudine is superior to lamivudine in patients with chronic hepatitis B. Gastroenterology. 136:486–495. 2009. View Article : Google Scholar : PubMed/NCBI

37 

Wang Z, Huang Y, Wen S, Zhou B and Hou J: Hepatitis B virus genotypes and subgenotypes in China. Hepatol Res. 37:S36–S41. 2007. View Article : Google Scholar : PubMed/NCBI

Related Articles

  • Abstract
  • View
  • Download
  • Twitter
Copy and paste a formatted citation
Spandidos Publications style
Zhou P, Dong M, Wang J, Li F, Zhang J and Gu J: Baseline serum miR‑125b levels predict virologic response to nucleos(t)ide analogue treatment in patients with HBeAg‑positive chronic hepatitis B. Exp Ther Med 16: 3805-3812, 2018.
APA
Zhou, P., Dong, M., Wang, J., Li, F., Zhang, J., & Gu, J. (2018). Baseline serum miR‑125b levels predict virologic response to nucleos(t)ide analogue treatment in patients with HBeAg‑positive chronic hepatitis B. Experimental and Therapeutic Medicine, 16, 3805-3812. https://doi.org/10.3892/etm.2018.6685
MLA
Zhou, P., Dong, M., Wang, J., Li, F., Zhang, J., Gu, J."Baseline serum miR‑125b levels predict virologic response to nucleos(t)ide analogue treatment in patients with HBeAg‑positive chronic hepatitis B". Experimental and Therapeutic Medicine 16.5 (2018): 3805-3812.
Chicago
Zhou, P., Dong, M., Wang, J., Li, F., Zhang, J., Gu, J."Baseline serum miR‑125b levels predict virologic response to nucleos(t)ide analogue treatment in patients with HBeAg‑positive chronic hepatitis B". Experimental and Therapeutic Medicine 16, no. 5 (2018): 3805-3812. https://doi.org/10.3892/etm.2018.6685
Copy and paste a formatted citation
x
Spandidos Publications style
Zhou P, Dong M, Wang J, Li F, Zhang J and Gu J: Baseline serum miR‑125b levels predict virologic response to nucleos(t)ide analogue treatment in patients with HBeAg‑positive chronic hepatitis B. Exp Ther Med 16: 3805-3812, 2018.
APA
Zhou, P., Dong, M., Wang, J., Li, F., Zhang, J., & Gu, J. (2018). Baseline serum miR‑125b levels predict virologic response to nucleos(t)ide analogue treatment in patients with HBeAg‑positive chronic hepatitis B. Experimental and Therapeutic Medicine, 16, 3805-3812. https://doi.org/10.3892/etm.2018.6685
MLA
Zhou, P., Dong, M., Wang, J., Li, F., Zhang, J., Gu, J."Baseline serum miR‑125b levels predict virologic response to nucleos(t)ide analogue treatment in patients with HBeAg‑positive chronic hepatitis B". Experimental and Therapeutic Medicine 16.5 (2018): 3805-3812.
Chicago
Zhou, P., Dong, M., Wang, J., Li, F., Zhang, J., Gu, J."Baseline serum miR‑125b levels predict virologic response to nucleos(t)ide analogue treatment in patients with HBeAg‑positive chronic hepatitis B". Experimental and Therapeutic Medicine 16, no. 5 (2018): 3805-3812. https://doi.org/10.3892/etm.2018.6685
Follow us
  • Twitter
  • LinkedIn
  • Facebook
About
  • Spandidos Publications
  • Careers
  • Cookie Policy
  • Privacy Policy
How can we help?
  • Help
  • Live Chat
  • Contact
  • Email to our Support Team