Spandidos Publications Logo
  • About
    • About Spandidos
    • Aims and Scopes
    • Abstracting and Indexing
    • Editorial Policies
    • Reprints and Permissions
    • Job Opportunities
    • Terms and Conditions
    • Contact
  • Journals
    • All Journals
    • Oncology Letters
      • Oncology Letters
      • Information for Authors
      • Editorial Policies
      • Editorial Board
      • Aims and Scope
      • Abstracting and Indexing
      • Bibliographic Information
      • Archive
    • International Journal of Oncology
      • International Journal of Oncology
      • Information for Authors
      • Editorial Policies
      • Editorial Board
      • Aims and Scope
      • Abstracting and Indexing
      • Bibliographic Information
      • Archive
    • Molecular and Clinical Oncology
      • Molecular and Clinical Oncology
      • Information for Authors
      • Editorial Policies
      • Editorial Board
      • Aims and Scope
      • Abstracting and Indexing
      • Bibliographic Information
      • Archive
    • Experimental and Therapeutic Medicine
      • Experimental and Therapeutic Medicine
      • Information for Authors
      • Editorial Policies
      • Editorial Board
      • Aims and Scope
      • Abstracting and Indexing
      • Bibliographic Information
      • Archive
    • International Journal of Molecular Medicine
      • International Journal of Molecular Medicine
      • Information for Authors
      • Editorial Policies
      • Editorial Board
      • Aims and Scope
      • Abstracting and Indexing
      • Bibliographic Information
      • Archive
    • Biomedical Reports
      • Biomedical Reports
      • Information for Authors
      • Editorial Policies
      • Editorial Board
      • Aims and Scope
      • Abstracting and Indexing
      • Bibliographic Information
      • Archive
    • Oncology Reports
      • Oncology Reports
      • Information for Authors
      • Editorial Policies
      • Editorial Board
      • Aims and Scope
      • Abstracting and Indexing
      • Bibliographic Information
      • Archive
    • Molecular Medicine Reports
      • Molecular Medicine Reports
      • Information for Authors
      • Editorial Policies
      • Editorial Board
      • Aims and Scope
      • Abstracting and Indexing
      • Bibliographic Information
      • Archive
    • World Academy of Sciences Journal
      • World Academy of Sciences Journal
      • Information for Authors
      • Editorial Policies
      • Editorial Board
      • Aims and Scope
      • Abstracting and Indexing
      • Bibliographic Information
      • Archive
    • International Journal of Functional Nutrition
      • International Journal of Functional Nutrition
      • Information for Authors
      • Editorial Policies
      • Editorial Board
      • Aims and Scope
      • Abstracting and Indexing
      • Bibliographic Information
      • Archive
    • International Journal of Epigenetics
      • International Journal of Epigenetics
      • Information for Authors
      • Editorial Policies
      • Editorial Board
      • Aims and Scope
      • Abstracting and Indexing
      • Bibliographic Information
      • Archive
    • Medicine International
      • Medicine International
      • Information for Authors
      • Editorial Policies
      • Editorial Board
      • Aims and Scope
      • Abstracting and Indexing
      • Bibliographic Information
      • Archive
  • Articles
  • Information
    • Information for Authors
    • Information for Reviewers
    • Information for Librarians
    • Information for Advertisers
    • Conferences
  • Language Editing
Spandidos Publications Logo
  • About
    • About Spandidos
    • Aims and Scopes
    • Abstracting and Indexing
    • Editorial Policies
    • Reprints and Permissions
    • Job Opportunities
    • Terms and Conditions
    • Contact
  • Journals
    • All Journals
    • Biomedical Reports
      • Information for Authors
      • Editorial Policies
      • Editorial Board
      • Aims and Scope
      • Abstracting and Indexing
      • Bibliographic Information
      • Archive
    • Experimental and Therapeutic Medicine
      • Information for Authors
      • Editorial Policies
      • Editorial Board
      • Aims and Scope
      • Abstracting and Indexing
      • Bibliographic Information
      • Archive
    • International Journal of Epigenetics
      • Information for Authors
      • Editorial Policies
      • Editorial Board
      • Aims and Scope
      • Abstracting and Indexing
      • Bibliographic Information
      • Archive
    • International Journal of Functional Nutrition
      • Information for Authors
      • Editorial Policies
      • Editorial Board
      • Aims and Scope
      • Abstracting and Indexing
      • Bibliographic Information
      • Archive
    • International Journal of Molecular Medicine
      • Information for Authors
      • Editorial Policies
      • Editorial Board
      • Aims and Scope
      • Abstracting and Indexing
      • Bibliographic Information
      • Archive
    • International Journal of Oncology
      • Information for Authors
      • Editorial Policies
      • Editorial Board
      • Aims and Scope
      • Abstracting and Indexing
      • Bibliographic Information
      • Archive
    • Medicine International
      • Information for Authors
      • Editorial Policies
      • Editorial Board
      • Aims and Scope
      • Abstracting and Indexing
      • Bibliographic Information
      • Archive
    • Molecular and Clinical Oncology
      • Information for Authors
      • Editorial Policies
      • Editorial Board
      • Aims and Scope
      • Abstracting and Indexing
      • Bibliographic Information
      • Archive
    • Molecular Medicine Reports
      • Information for Authors
      • Editorial Policies
      • Editorial Board
      • Aims and Scope
      • Abstracting and Indexing
      • Bibliographic Information
      • Archive
    • Oncology Letters
      • Information for Authors
      • Editorial Policies
      • Editorial Board
      • Aims and Scope
      • Abstracting and Indexing
      • Bibliographic Information
      • Archive
    • Oncology Reports
      • Information for Authors
      • Editorial Policies
      • Editorial Board
      • Aims and Scope
      • Abstracting and Indexing
      • Bibliographic Information
      • Archive
    • World Academy of Sciences Journal
      • Information for Authors
      • Editorial Policies
      • Editorial Board
      • Aims and Scope
      • Abstracting and Indexing
      • Bibliographic Information
      • Archive
  • Articles
  • Information
    • For Authors
    • For Reviewers
    • For Librarians
    • For Advertisers
    • Conferences
  • Language Editing
Login Register Submit
  • This site uses cookies
  • You can change your cookie settings at any time by following the instructions in our Cookie Policy. To find out more, you may read our Privacy Policy.

    I agree
Search articles by DOI, keyword, author or affiliation
Search
Advanced Search
presentation
Experimental and Therapeutic Medicine
Join Editorial Board Propose a Special Issue
Print ISSN: 1792-0981 Online ISSN: 1792-1015
Journal Cover
December-2018 Volume 16 Issue 6

Full Size Image

Sign up for eToc alerts
Recommend to Library

Journals

International Journal of Molecular Medicine

International Journal of Molecular Medicine

International Journal of Molecular Medicine is an international journal devoted to molecular mechanisms of human disease.

International Journal of Oncology

International Journal of Oncology

International Journal of Oncology is an international journal devoted to oncology research and cancer treatment.

Molecular Medicine Reports

Molecular Medicine Reports

Covers molecular medicine topics such as pharmacology, pathology, genetics, neuroscience, infectious diseases, molecular cardiology, and molecular surgery.

Oncology Reports

Oncology Reports

Oncology Reports is an international journal devoted to fundamental and applied research in Oncology.

Experimental and Therapeutic Medicine

Experimental and Therapeutic Medicine

Experimental and Therapeutic Medicine is an international journal devoted to laboratory and clinical medicine.

Oncology Letters

Oncology Letters

Oncology Letters is an international journal devoted to Experimental and Clinical Oncology.

Biomedical Reports

Biomedical Reports

Explores a wide range of biological and medical fields, including pharmacology, genetics, microbiology, neuroscience, and molecular cardiology.

Molecular and Clinical Oncology

Molecular and Clinical Oncology

International journal addressing all aspects of oncology research, from tumorigenesis and oncogenes to chemotherapy and metastasis.

World Academy of Sciences Journal

World Academy of Sciences Journal

Multidisciplinary open-access journal spanning biochemistry, genetics, neuroscience, environmental health, and synthetic biology.

International Journal of Functional Nutrition

International Journal of Functional Nutrition

Open-access journal combining biochemistry, pharmacology, immunology, and genetics to advance health through functional nutrition.

International Journal of Epigenetics

International Journal of Epigenetics

Publishes open-access research on using epigenetics to advance understanding and treatment of human disease.

Medicine International

Medicine International

An International Open Access Journal Devoted to General Medicine.

Journal Cover
December-2018 Volume 16 Issue 6

Full Size Image

Sign up for eToc alerts
Recommend to Library

  • Article
  • Citations
    • Cite This Article
    • Download Citation
    • Create Citation Alert
    • Remove Citation Alert
    • Cited By
  • Similar Articles
    • Related Articles (in Spandidos Publications)
    • Similar Articles (Google Scholar)
    • Similar Articles (PubMed)
  • Download PDF
  • Download XML
  • View XML
Article

Diagnostic accuracy of magnetic resonance angiography for Budd‑Chiari syndrome: A meta‑analysis

  • Authors:
    • Peng Xu
    • Lulu Lyu
    • Muhammad Umair Sami
    • Xin Lu
    • Haitao Ge
    • Yutao Rong
    • Chunfeng Hu
    • Kai Xu
  • View Affiliations / Copyright

    Affiliations: Department of Radiology, Affiliated Hospital of Xuzhou Medical University, Xuzhou, Jiangsu 221002, P.R. China, Department of CT and MRI, Xuzhou Central Hospital, Xuzhou, Jiangsu 221009, P.R. China
  • Pages: 4873-4878
    |
    Published online on: September 19, 2018
       https://doi.org/10.3892/etm.2018.6764
  • Expand metrics +
Metrics: Total Views: 0 (Spandidos Publications: | PMC Statistics: )
Metrics: Total PDF Downloads: 0 (Spandidos Publications: | PMC Statistics: )
Cited By (CrossRef): 0 citations Loading Articles...

This article is mentioned in:



Abstract

In recent years, the role of magnetic resonance angiography (MRA) in the diagnosis of Budd‑Chiari Syndrome (BCS) has been the focus of various clinical studies. The purpose of the present study was to perform a meta‑analysis of the diagnostic performance of MRA in patients with BCS by using digital subtraction angiography as a reference method. The search strategy for relevant research articles was based on the Cochrane Handbook for Systematic Reviews, and literature databases (including PubMed, Medline and China National Knowledge Infrastructure) and reference lists of retrieved studies published from 2000 to 2016 were searched. The Quality Assessment of Diagnostic Accuracy Studies tool was used to assess the methodological quality of these research studies by two reviewers independently. Summary estimates of the sensitivity, specificity, positive/negative likelihood ratio (LR+/‑), diagnostic odds ratio (DOR) and the summary receiver operating characteristic (SROC) curve of MRA in identifying BCS were obtained. The pooled MRA estimates had a sensitivity of 97.6% [95% confidence interval (CI), 95.1‑99.0%], a specificity of 70.7% (95% CI, 54.5‑83.9%), an LR+ of 3.163 (95% CI, 2.03‑4.94) and an LR‑ of 0.045 (95% CI, 0.02‑0.09). The overall DOR was 94.053 (95% CI, 32.71‑270.41). The area under the SROC curve was 0.972. In conclusion, MRA is an accurate modality for evaluating BCS.

Introduction

Budd-Chiari syndrome (BCS) is characterized by the blockage of the hepatic veins (HVs) and/or the inferior vena cava (IVC) (1). Myeloproliferative disorders are the most common causes of BCS (1). Men and women are equally affected, with patients mostly being diagnosed in the third or fourth decade of life (2). Clinical manifestations include: Abdominal pain, liver dysfunction and intractable ascites, which is the most common clinical feature of BCS (3). Conventional management for BCS patients includes the treatment of complications of portal hypertension, surgery and endovascular intervention (4). The prevention of disease progression by medical treatment alone is limited. However, endovascular intervention has proven to be more effective than medical treatment and exhibits a lower mortality rate than open surgery (5).

Doppler ultrasonography is the technique of choice for initial investigation when BCS is suspected (1). Contrast-enhanced computed tomographic (CT) scanning may be recommended to delineate venous anatomy and to determine the configuration of the liver when a transjugular intrahepatic portosystemic shunt is being considered (1). Digital subtraction angiography (DSA) examination is considered as the ‘golden standard’ for the diagnosis of BCS. However, it is an invasive examination, which includes exposure to radiation and the injection of a contrast agent (6). Magnetic resonance (MR) angiography (MRA) has been suggested to be a suitable alternative modality for diagnosing BCS (7). However, to the best of our knowledge, no meta-analysis has been performed for previous studies on MRA to fully elucidate the qualities of this methodology for the diagnosis of BCS.

The aim of the present study was therefore to perform a systematic review to obtain the best available estimates of the diagnostic performance of MRA in patients with BCS.

Materials and methods

Publication search

The PubMed (https://www.ncbi.nlm.nih.gov/pubmed/), MEDLINE (https://www.nlm.nih.gov/bsd/pmresources.html), SCOPUS (https://www.scopus.com/home.uri), EMBASE (https://www.elsevier.com/solutions/embase-biomedical-research), Cochrane Library (https://www.cochranelibrary.com/) and China National Knowledge Infrastructure databases (http://oversea.cnki.net/) were all searched for relevant studies published until November 2017. The following terms were used for the search: (‘Budd-Chiari syndrome’ OR ‘hepatic venous thrombosis’ OR ‘hepatic outflow obstruction’) and (‘magnetic resonance angiography’ OR ‘MR angiography’ OR ‘MRA’). All of the studies identified were retrieved, and their references were also checked for other relevant publications.

Inclusion and exclusion criteria

Studies meeting the following selection criteria were included in the present meta-analysis: i) Evaluation of the diagnostic performance of MRA for detecting BCS, ii) true-positive (TP), false-positive (FP), true-negative (TN) and false-negative (FN) detection rate are contained in or may be calculated from the data of the original published study, iii) articles were published in English or Chinese and iv) DSA or surgery as the gold standard.

The exclusion criteria were as follows: i) Review articles, ii) animal studies, iii) studies with insufficient data, and iv) case reports and small case series (number of patients, <5). If the 2 reviewers disagreed on whether to include an article, it was resolved by consensus with a third reviewer.

Data extraction and quality assessment

Relevant studies were examined by two blinded observers independently (PX and LL) with the Quality Assessment of Diagnostic Studies (QUADAS) tool to assess the methodological quality of each study included in the meta-analysis (8). A third reviewer (XL) served as a blinded expert in cases of disagreement. The following data were extracted: i) Characteristics of study participants (number of patients, age, gender), ii) methodological details for MRA and iii) relevant data (TP, FP, TN and FN).

Meta-analysis

The use of the random-effects or fixed-effects model depends on the presence of statistical heterogeneity. Heterogeneity was assessed by the χ2 test and the inconsistency index (I2) (9). One of the major causes of heterogeneity in test accuracy studies is the threshold effect (10). A threshold effect is indicated if assessment by computing the Spearman correlation between the logarithm (logit) of sensitivity and logit of (1-specificity) reveals a positive correlation between sensitivity and 1-specificity. A positive correlation (P<0.05) suggests a threshold effect. If heterogeneity is present due to a threshold effect, accurate data should be pooled by fitting a summary receiver operating characteristic curve and calculating the area under the curve (AUC). Subgroup analysis and regression meta-analysis were performed if there was no threshold effect but significant heterogeneity. All statistical analyses were performed using Meta-Disc software version 1.4 (11).

Results

Eligible studies

The initial search for studies that evaluated the diagnostic accuracy of MRA for BCS yielded a total of 118 manuscripts. Manual searching of the reference lists of relevant research studies did not yield any additional relevant studies. In total, only 6 of these research studies contained the appropriate data [sample size, sensitivity, specificity, positive predictive value and negative predictive value] for inclusion in the statistical calculations (12–17). The major reasons for exclusion were as follows: i) No relevance regarding the use of MRA for detecting or evaluating stenosis; ii) insufficient data for creating a 2×2 table; iii) QUADAS score of <9. The characteristics of each study included are presented in Table I. The 6 research studies that were finally included in the meta-analysis had been published between 2007 and 2015, and comprised a total of 285 patients. The mean number of patients per study was 47.5 (range, 35–108).

Table I.

Baseline characteristics of included studies on Budd-Chiari syndrome.

Table I.

Baseline characteristics of included studies on Budd-Chiari syndrome.

Author, yearPatients (n)Male (%)Age (years)Reference standardTPFPFNTN(Refs.)
Lu et al, 2011442646 (19–78)DSA37 (84.1)3 (6.8)0 (0)4 (9.1)(12)
Pu et al, 20155128NA (19–61)DSA41 (80.4)4 (7.8)1 (2.0)5 (9.8)(13)
Qin et al, 2015453346.5 (27–71)DSA/surgery40 (88.9)0 (0)1 (2.2)4 (8.9)(14)
Ren et al, 2007503848.6 (NA)DSA38 (76.0)1 (2.0)3 (6.0)8 (16.0)(15)
Shen et al, 20131085746.5 (18–73)DSA97 (89.8)3 (2.8)2 (1.9)6 (5.5)(16)
Wu et al, 2014352343.9 (24–69)DSA32 (91.4)1 (2.9)0 (0)2 (5.7)(17)

[i] Age is expressed as the mean (range); data as n (%). NA, not available; DSA, digital subtraction angiography; TP, true positives; FP, false positives; FN, false negatives; TN, true negatives.

Threshold effect analysis

The Spearman correlation coefficient was determined to be 0.600 (P=0.208), which suggested no threshold effect among the individual studies that may have caused any variations in accuracy estimates.

Data synthesis

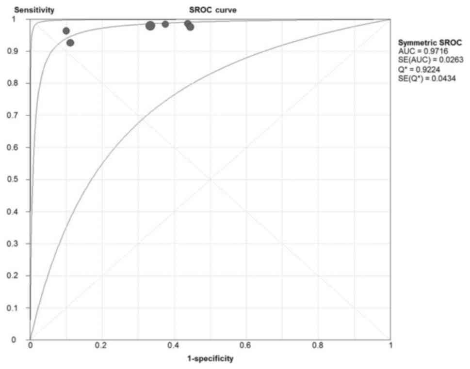
The overall AUC was 0.972, which suggested good diagnostic accuracy (Fig. 1). Pooled summary statistics for sensitivity (Fig. 2), specificity (Fig. 3), positive likelihood ratio, negative likelihood ratio, diagnostic odds ratios (DOR), P-value for heterogeneity and I2-value are summarized in Table II. No significant heterogeneity was identified within these studies. None of the 95% confidence intervals of the ORs included 1, which confirms a significant diagnostic value of all modalities.

Figure 1.

SROC curve for meta-analysis of studies assessing magnetic resonance angiography for diagnosing Budd-Chiari syndrome. Each circle represents an individual research study. The size of the circle is proportional to the sample size of the study. The best-fitting curve lies between the other 2 curves demarcating its 95% confidence interval. SROC, summary receiver operating characteristic; AUC, area under the curve; SE, standard error.

Figure 2.

Forest plot of sensitivity. The sensitivity for each research study is represented by circles. The 95% CI is represented by the horizontal lines through each circle. The pooled sensitivity is represented by the diamond symbol. CI, confidence interval; df, degrees of freedom.

Figure 3.

Fores t-plot of specificity. The specificity for each research study is represented by circles. The 95% CI is represented by the horizontal lines through each circle. The pooled specificity is represented by the diamond symbol. CI, confidence interval; df, degrees of freedom.

Table II.

Weighted summary for each modality.

Table II.

Weighted summary for each modality.

ValueSensitivitySpecificityLR+LR-DOR
Pooled0.9760.7073.1630.04594.053
95% CI0.95–0.990.55–0.842.03–4.940.02–0.0932.71–270.41
Chi-squared6.186.093.521.830.57
P-value0.2890.2970.6210.8730.989
I2 value (%)19.117.90.00.00.0

[i] NA, not available; DSA, digital subtraction angiography; TP, true positive; FP, false positive; FN, false negative; TN, true negative; CI, confidence interval; LR+/−, positive/negative likelihood ratio; DOR, diagnostic odds ratio.

Summary of scan modalities and misdiagnosis analysis

Scan modalities (equipment, protocol, reconstruction mode, contrast agent) and reasons for misdiagnosis were summarized in Tables III and IV, respectively. In general, 54% of patients used 1.5 T MRI equipment and 46% used 3.0 T. The maximum intensity projection was the most common way to reconstruct images. Patients with a heart rate of >100 bpm, uneven breathing, massive ascites and membrane obstruction were more likely to be misdiagnosed.

Table III.

Summary of scan modalities for each study.

Table III.

Summary of scan modalities for each study.

Author, yearEquipmentProtocolReconstruction modeContrast medium(Refs.)
Lu et al, 20113.0T GE Signa EXCITEFIESTA & LAVAMIPYes(12)
Pu et al, 20151.5T GE Signa HDxtFIESTA & LAVAMIP & MPR & VRYes(13)
Qin et al, 20151.5T GE Signa HDxtIFIRMIPNo(14)
Ren et al, 20071.5T Toshiba VisartFBIMIPNo(15)
Shen et al, 20133.0T GE Signa EXCITELAVANAYes(16)
Wu et al, 20141.5T GE Signa HDxtIFIR & FIESTAMIP & MPR & VRNo(17)

[i] FBI, fresh blood imaging; FIESTA, fast imaging employing steady-state acquisition; LAVA, liver accelerated volume acquisition; IFIR, in-flow inversion recovery; MIP, maximum intensity projection; MPR, multiplanar reconstruction; VR, volume rendering; NA, not available.

Table IV.

Analysis of misdiagnoses in the studies included.

Table IV.

Analysis of misdiagnoses in the studies included.

Author, yearn (%)PresentationMisdiagnosis(Refs.)
Lu et al, 20112 (4.5)Segmental stenosis of IVCSegmental obstruction(12)
1 (2.3)Membranous obstruction with hole and thrombusComplete obstruction(12)
Pu et al, 20155 (9.8)IVC compressed by massive ascitesIVC stenosis(13)
Qin et al, 20151 (2.2)NANA(14)
Ren et al, 20073 (6.0)Heart rate >100 bpm and breathing uneven (disappearance of the signal from the proximal part of the IVC)IVC obstruction(15)
3 (6.0)Only one or two hepatic vein stenoses (partial and gentle narrow)No stenosis of the hepatic vein(15)
Shen et al, 20135 (4.6)NANA(16)
Wu et al, 20141 (2.9)Membrane obstructionMembrane stenosis(17)

[i] NA, not available; IVC, inferior vena cava.

Discussion

Budd-Chiari syndrome is an uncommon condition induced by thrombotic or non-thrombotic obstruction of HV outflow (18). DSA is considered as the ‘gold standard’ for this disease, but it is an invasive examination involving exposure to radiation and injection of contrast agent. Various of other imaging modalities are available for diagnosing BCS in the clinic, including ultrasound (US), computed tomography (CT) and MR imaging.

US should be performed as the first imaging method of choice in patients with suspected BCS due to its high diagnostic sensitivity (75–90%) and non-invasive nature (19), but this approach is operator-dependent and maybe affected by excessive ascites and intestinal gas (20). CT has also been widely used for the diagnosis of BCS in the clinical setting as a non-invasive diagnostic tool (21,22). Certain studies have used CT to evaluate liver parenchyma, the status of the HVs and IVC, as well as extrahepatic and intrahepatic collaterals (23,24). With the development of CT technology, the effectiveness of BCS diagnosis has markedly improved (25). Although CT is a good modality for evaluating BCS, it has various disadvantages, including possible allergic reactions and nephrotoxicity due to the use of contrast agent (26).

MRA has been increasingly used as an alternative technology for assessing BCS. However, the quality of this methodology has not been assessed in previous studies. In the present study, a systematic review was performed to obtain the best available estimate of the diagnostic performance of MRA in patients with BCS. The meta-analysis revealed that, compared with the reference standard DSA, MRA is an accurate diagnostic tool for diagnosing BCS with a pooled sensitivity of 97.6%, a specificity of 70.7% and a DOR of 94.1%. MRA is a useful method for the diagnosis of BCS regardless of the use of contrast agent. Therefore, MRA protocols without the use of contrast agent, e.g. fresh blood imaging or in-flow inversion recovery, may become increasingly important, particularly for patients who cannot receive any contrast agent for various reasons. Time-spatial labeling inversion pulse is another non-contrast-enhanced MRA technology with a high success rate, high accuracy rate and fine image quality for the diagnosis of BCS (27). This technique based on true steady-state free-precession is a type of spin labeling that yields the quantitative plus selective inflow of information and suppressing the background (28–30).

In the present study, it was revealed that certain factors may lead to misdiagnosis by MRA, including a heart rate of >100 bpm, uneven breathing and massive ascites. All of these factors may increase the misdiagnosis rate. At present, maximum intensity projection is the most commonly used image reconstruction method, which may facilitate an accurate diagnosis. Furthermore, multiplanar reconstruction and volume rendering may be added as a supplement. MRA may not only be used to diagnose BCS effectively, but also provide more useful information on the classification of BCS patients, the shape of the IVC obstruction, as well as the position and direction of accessory HVs (AHVs), and this information has a high degree of consistency with DSA. In 2016, Xu et al (31) reported that liver accelerated volume acquisition (LAVA) sequence had a high sensitivity and specificity in detecting AHV in BCS patients as indicated by a retrospective analysis. Lu et al (32) suggested that LAVA sequence is able to detect more AHVs than DSA. In addition, MRA clearly reveals the opening direction of AHV and the angle between AHV and distal vena cava, which have practical value for interventional therapy (33).

The present study has several limitations. One limitation is that the number of studies included was low and the sample size was small. The second limitation is that there were differences in the equipment and protocols among the studies, among which two studies used 3.0T magnetic resonance imaging equipment and four studies used 1.5T equipment. In addition, BCS may be categorized into three types depending on the type of venous occlusion (2). The present study did not analyze each type separately due to the small number of cases. The third limitation is that only studies that were written in English and Chinese were included for reasons of practicality. Publication bias was not assessed due to the inclusion of a limited number of studies (<10).

In conclusion, the high diagnostic accuracy of MRA determined in the present meta-analysis suggests that this modality has potential for improving the diagnosis and evaluation Budd-Chiari syndrome. These results provide a larger-scale reference for clinicians and it is recommended that MRA is implemented in the clinic for diagnosing Budd-Chiari syndrome.

Acknowledgements

The authors would like to thank Mr Muhammad Bilal (Department of Neurology, Affiliated Hospital of Xuzhou Medical University, Xuzhou, China) for language editing of the manuscript.

Funding

This study was supported by grants from the Clinical Medical Science and Technology Project of Jiangsu Province (grant no. BE2017637) and the Medical Innovation Team (leading talent) of Jiangsu Province (grant no. CXTDA2017028).

Availability of data and materials

The datasets used and analyzed in the present study are available from the corresponding author on reasonable request.

Authors' contributions

PX and LL analyzed the patient data, and were the major contributors in the preparation of the manuscript, HG and YR analyzed part of the patient data, MUS and XL collected the original data, and CH and KX made substantial contributions to the conception of the study and drafted the manuscript. All authors read and approved the final manuscript.

Ethical approval and consent to participate

Not applicable.

Patient consent for publication

Not applicable.

Competing interests

The authors declare that they have no competing interests.

References

1 

Menon KN, Shah V and Kamath PS: The Budd-Chiari syndrome. N Engl J Med. 350:578–585. 2004. View Article : Google Scholar : PubMed/NCBI

2 

Lupescu IG, Dobromir C, Popa GA, Gheorghe L and Georgescu SA: Spiral computed tomography and magnetic resonance angiography evaluation in Budd-Chiari syndrome. J Gastrointestin Liver Dis. 17:223–226. 2008.PubMed/NCBI

3 

Orloff MJ, Daily PO, Orloff SL, Girard B and Orloff MS: A 27-year experience with surgical treatment of Budd-Chiari syndrome. Ann Surg. 232:340–352. 2000. View Article : Google Scholar : PubMed/NCBI

4 

Huang Q, Shen B, Zhang Q, Xu H, Zu M, Gu Y, Wei N, Cui Y and Huang R: Comparison of long-term outcomes of endovascular management for membranous and segmental inferior vena cava obstruction in patients with primary Budd-Chiari syndrome. Circ Cardiovasc Interv. 9:e0031042016. View Article : Google Scholar : PubMed/NCBI

5 

Meng QY, Sun NF, Wang JX, Wang RH and Liu ZX: Endovascular treatment of Budd-Chiari syndrome. Chin Med J (Engl). 124:3289–3292. 2011.PubMed/NCBI

6 

Kubo T, Shibata T, Itoh K, Maetani Y, Isoda H, Hiraoka M, Egawa H, Tanaka K and Togashi K: Outcome of percutaneous transhepatic venoplasty for hepatic venous outflow obstruction after living donor liver transplantation. Radiology. 239:285–290. 2006. View Article : Google Scholar : PubMed/NCBI

7 

Wang L, Lu J, Wang F, Liu Q and Wang J: Diagnosis of Budd-Chiari syndrome: Three-dimensional dynamic contrast enhanced magnetic resonance angiography. Abdom Imaging. 36:399–406. 2011. View Article : Google Scholar : PubMed/NCBI

8 

Whiting P, Rutjes AW, Reitsma JB, Bossuyt PM and Kleijnen J: The development of QUADAS: A tool for the quality assessment of studies of diagnostic accuracy included in systematic reviews. BMC Med Res Methodol. 3:252003. View Article : Google Scholar : PubMed/NCBI

9 

Satoh S, Kitazume Y, Ohdama S, Kimula Y, Taura S and Endo Y: Can malignant and benign pulmonary nodules be differentiated with diffusion-weighted MRI? AJR Am J Roentgenol. 191:464–470. 2008. View Article : Google Scholar : PubMed/NCBI

10 

Li B, Li Q, Chen C, Guan Y and Liu S: Diagnostic accuracy of computer tomography angiography and magnetic resonance angiography in the stenosis detection of autologuous hemodialysis access: A meta-analysis. PLoS One. 8:e784092013. View Article : Google Scholar : PubMed/NCBI

11 

Zamora J, Abraira V, Muriel A, Khan K and Coomarasamy A: Meta-DiSc: A software for meta-analysis of test accuracy data. BMC Med Res Methodol. 6:312006. View Article : Google Scholar : PubMed/NCBI

12 

Lu X, Xu K, Zhang QQ, Yang C, Li SD, Li JS, Rong YT and Zu MH: Study on between magnetic resonance venography and digital subtraction angiography on the inferior vena cava obstructive interface morphology of Budd-Chiari syndrome. Zhonghua Gan Zang Bing Za Zhi. 19:923–926. 2011.(In Chinese). PubMed/NCBI

13 

Pu HB, You J, Chen HP, Zhang FZ and Xie Y: The value of FIESTA sequence in the diagnostis of inferior vena cava lesions with Budd-Chiari syndrome. Chin J Magn Reson Imaging. 6:422–466. 2015.(In Chinese).

14 

Qin D, Shi D, Dou S, Lian JM and Yan FS: Value of in-flow inversion recovery sequence in diagnosis of Budd-Chiari syndrome. J Pract Radiol. 1:136–139. 2015.(In Chinese).

15 

Ren K, Xu K, Sun WG, Chen YS, Qi XX, Li RL and Jin AY: Preliminary evaluation of magnetic resonance fresh blood imaging for diagnosis of Budd-Chiari syndrome. Chin Med J (Engl). 120:95–99. 2007.PubMed/NCBI

16 

Shen PP and Wang XT: The comparison of the imaging diagnosic value in Budd-Cmari syndrome. Acta Acad Med Xuzhou. 33:111–113. 2013.(In Chinese).

17 

Wu M, Xu J, Shi D, Shen H, Wang M, Li Y, Han X and Zhai S: Evaluations of non-contrast enhanced MR venography with inflow inversion recovery sequence in diagnosing Budd-Chiari syndrome. Clin Imaging. 38:627–632. 2014. View Article : Google Scholar : PubMed/NCBI

18 

Ferral H, Behrens G and Lopera J: Budd-Chiari syndrome. AJR Am J Roentgenol. 199:737–745. 2012. View Article : Google Scholar : PubMed/NCBI

19 

Chawla Y, Kumar S, Dhiman RK, Suri S and Dilawari JB: Duplex Doppler sonography in patients with Budd-Chiari syndrome. J Gastroenterol Hepatol. 14:904–907. 1999. View Article : Google Scholar : PubMed/NCBI

20 

Erden A: Budd-Chiari syndrome: A review of imaging findings. Eur J Radiol. 61:44–56. 2007. View Article : Google Scholar : PubMed/NCBI

21 

Camera L, Mainenti PP, Di Giacomo A, Romano M, Rispo A, Alfinito F, Imbriaco M, Soscia E and Salvatore M: Triphasic helical CT in Budd-Chiari syndrome: Patterns of enhancement in acute, subacute and chronic disease. Clin Radiol. 61:331–337. 2006. View Article : Google Scholar : PubMed/NCBI

22 

Virmani V, Khandelwal N, Kang M, Gulati M and Chawla Y: MDCT venography in the evaluation of inferior vena cava in Budd-Chiari syndrome. Indian J Gastroenterol. 28:17–23. 2009. View Article : Google Scholar : PubMed/NCBI

23 

Cho OK, Koo JH, Kim YS, Rhim HC, Koh BH and Seo HS: Collateral pathways in Budd-Chiari syndrome: CT and venographic correlation. AJR Am J Roentgenol. 167:1163–1167. 1996. View Article : Google Scholar : PubMed/NCBI

24 

Cai SF, Gai YH and Liu QW: Computed tomography angiography manifestations of collateral circulations in Budd-Chiari syndrome. Exp Ther Med. 9:399–404. 2015. View Article : Google Scholar : PubMed/NCBI

25 

Zhang LM, Zhang GY, Liu YL, Wu J, Cheng J and Wang Y: Ultrasonography and computed tomography diagnostic evaluation of Budd-Chiari syndrome based on radical resection exploration results. Ultrasound Q. 31:124–129. 2015. View Article : Google Scholar : PubMed/NCBI

26 

Liu SY, Xiao P, Cao HC, Jiang HS and Li TX: Accuracy of computed tomographic angiography in the diagnosis of patients with inferior vena cava partial obstruction in Budd-Chiari syndrome. J Gastroenterol Hepatol. 31:1933–1939. 2016. View Article : Google Scholar : PubMed/NCBI

27 

Yang C, Li C, Zeng M, Lu X, Li JJ, Wang JL, Sami MU and Xu K: Non-contrast-enhanced MR angiography in the diagnosis of Budd-Chiari syndrome (BCS) compared with digital subtraction angiography (DSA): Preliminary results. Magn Reson Imaging. 36:7–11. 2017. View Article : Google Scholar : PubMed/NCBI

28 

Shimada K, Isoda H, Okada T, Kamae T, Arizono S, Hirokawa Y, Shibata T and Togashi K: Non-contrast-enhanced hepatic MR angiography: Do two-dimensional parallel imaging and short tau inversion recovery methods shorten acquisition time without image quality deterioration? Eur J Radiol. 77:137–142. 2011. View Article : Google Scholar : PubMed/NCBI

29 

Shimada T, Amanuma M, Takahashi A and Tsushima Y: Non-contrast renal MR angiography: Value of subtraction of tagging and non-tagging technique. Ann Vasc Dis. 5:161–165. 2012.PubMed/NCBI

30 

Shimada K, Isoda H, Okada T, Maetani Y, Arizono S, Hirokawa Y, Kamae T and Togashi K: Non-contrast-enhanced hepatic MR angiography with true steady-state free-precession and time spatial labeling inversion pulse: Optimization of the technique and preliminary results. Eur J Radiol. 70:111–117. 2009. View Article : Google Scholar : PubMed/NCBI

31 

Xu HT, Xu K, He P, Zhang QQ, Dai Y, Lu L, Li C and Sun JM: Value of three-dimensional liver acceleration volume acquisition multiphase dynamic contrast-enhanced magnetic resonance imaging in detection of accessory hepatic veins in Budd-Chiari syndrome. Zhonghua Gan Zang Bing Za Zhi. 24:585–589. 2016.(In Chinese). PubMed/NCBI

32 

Lu L, Xu K, Han C, Xu C, Xu H, Dai Y, Rong Y, Li S and Xie L: Comparison of 3.0T MRI with 3D LAVA sequence and digital subtraction angiography for the assessment of accessory hepatic veins in Budd-Chiari syndrome. J Magn Reson Imaging. 45:401–409. 2017. View Article : Google Scholar : PubMed/NCBI

33 

Xu H, Xu K, He P, Zhang QQ, Dai Y, Lu L, Li C and Sun JM: CE-MRA in detecting the opening direction and measuring the angle of accessory hepatic vein with the inferior vena cava in Budd-Chiari syndrome. Chin J Hepatobiliary Surg. 21:596–599. 2015.(In Chinese).

Related Articles

  • Abstract
  • View
  • Download
  • Twitter
Copy and paste a formatted citation
Spandidos Publications style
Xu P, Lyu L, Sami MU, Lu X, Ge H, Rong Y, Hu C and Xu K: Diagnostic accuracy of magnetic resonance angiography for Budd‑Chiari syndrome: A meta‑analysis. Exp Ther Med 16: 4873-4878, 2018.
APA
Xu, P., Lyu, L., Sami, M.U., Lu, X., Ge, H., Rong, Y. ... Xu, K. (2018). Diagnostic accuracy of magnetic resonance angiography for Budd‑Chiari syndrome: A meta‑analysis. Experimental and Therapeutic Medicine, 16, 4873-4878. https://doi.org/10.3892/etm.2018.6764
MLA
Xu, P., Lyu, L., Sami, M. U., Lu, X., Ge, H., Rong, Y., Hu, C., Xu, K."Diagnostic accuracy of magnetic resonance angiography for Budd‑Chiari syndrome: A meta‑analysis". Experimental and Therapeutic Medicine 16.6 (2018): 4873-4878.
Chicago
Xu, P., Lyu, L., Sami, M. U., Lu, X., Ge, H., Rong, Y., Hu, C., Xu, K."Diagnostic accuracy of magnetic resonance angiography for Budd‑Chiari syndrome: A meta‑analysis". Experimental and Therapeutic Medicine 16, no. 6 (2018): 4873-4878. https://doi.org/10.3892/etm.2018.6764
Copy and paste a formatted citation
x
Spandidos Publications style
Xu P, Lyu L, Sami MU, Lu X, Ge H, Rong Y, Hu C and Xu K: Diagnostic accuracy of magnetic resonance angiography for Budd‑Chiari syndrome: A meta‑analysis. Exp Ther Med 16: 4873-4878, 2018.
APA
Xu, P., Lyu, L., Sami, M.U., Lu, X., Ge, H., Rong, Y. ... Xu, K. (2018). Diagnostic accuracy of magnetic resonance angiography for Budd‑Chiari syndrome: A meta‑analysis. Experimental and Therapeutic Medicine, 16, 4873-4878. https://doi.org/10.3892/etm.2018.6764
MLA
Xu, P., Lyu, L., Sami, M. U., Lu, X., Ge, H., Rong, Y., Hu, C., Xu, K."Diagnostic accuracy of magnetic resonance angiography for Budd‑Chiari syndrome: A meta‑analysis". Experimental and Therapeutic Medicine 16.6 (2018): 4873-4878.
Chicago
Xu, P., Lyu, L., Sami, M. U., Lu, X., Ge, H., Rong, Y., Hu, C., Xu, K."Diagnostic accuracy of magnetic resonance angiography for Budd‑Chiari syndrome: A meta‑analysis". Experimental and Therapeutic Medicine 16, no. 6 (2018): 4873-4878. https://doi.org/10.3892/etm.2018.6764
Follow us
  • Twitter
  • LinkedIn
  • Facebook
About
  • Spandidos Publications
  • Careers
  • Cookie Policy
  • Privacy Policy
How can we help?
  • Help
  • Live Chat
  • Contact
  • Email to our Support Team