Spandidos Publications Logo
  • About
    • About Spandidos
    • Aims and Scopes
    • Abstracting and Indexing
    • Editorial Policies
    • Reprints and Permissions
    • Job Opportunities
    • Terms and Conditions
    • Contact
  • Journals
    • All Journals
    • Oncology Letters
      • Oncology Letters
      • Information for Authors
      • Editorial Policies
      • Editorial Board
      • Aims and Scope
      • Abstracting and Indexing
      • Bibliographic Information
      • Archive
    • International Journal of Oncology
      • International Journal of Oncology
      • Information for Authors
      • Editorial Policies
      • Editorial Board
      • Aims and Scope
      • Abstracting and Indexing
      • Bibliographic Information
      • Archive
    • Molecular and Clinical Oncology
      • Molecular and Clinical Oncology
      • Information for Authors
      • Editorial Policies
      • Editorial Board
      • Aims and Scope
      • Abstracting and Indexing
      • Bibliographic Information
      • Archive
    • Experimental and Therapeutic Medicine
      • Experimental and Therapeutic Medicine
      • Information for Authors
      • Editorial Policies
      • Editorial Board
      • Aims and Scope
      • Abstracting and Indexing
      • Bibliographic Information
      • Archive
    • International Journal of Molecular Medicine
      • International Journal of Molecular Medicine
      • Information for Authors
      • Editorial Policies
      • Editorial Board
      • Aims and Scope
      • Abstracting and Indexing
      • Bibliographic Information
      • Archive
    • Biomedical Reports
      • Biomedical Reports
      • Information for Authors
      • Editorial Policies
      • Editorial Board
      • Aims and Scope
      • Abstracting and Indexing
      • Bibliographic Information
      • Archive
    • Oncology Reports
      • Oncology Reports
      • Information for Authors
      • Editorial Policies
      • Editorial Board
      • Aims and Scope
      • Abstracting and Indexing
      • Bibliographic Information
      • Archive
    • Molecular Medicine Reports
      • Molecular Medicine Reports
      • Information for Authors
      • Editorial Policies
      • Editorial Board
      • Aims and Scope
      • Abstracting and Indexing
      • Bibliographic Information
      • Archive
    • World Academy of Sciences Journal
      • World Academy of Sciences Journal
      • Information for Authors
      • Editorial Policies
      • Editorial Board
      • Aims and Scope
      • Abstracting and Indexing
      • Bibliographic Information
      • Archive
    • International Journal of Functional Nutrition
      • International Journal of Functional Nutrition
      • Information for Authors
      • Editorial Policies
      • Editorial Board
      • Aims and Scope
      • Abstracting and Indexing
      • Bibliographic Information
      • Archive
    • International Journal of Epigenetics
      • International Journal of Epigenetics
      • Information for Authors
      • Editorial Policies
      • Editorial Board
      • Aims and Scope
      • Abstracting and Indexing
      • Bibliographic Information
      • Archive
    • Medicine International
      • Medicine International
      • Information for Authors
      • Editorial Policies
      • Editorial Board
      • Aims and Scope
      • Abstracting and Indexing
      • Bibliographic Information
      • Archive
  • Articles
  • Information
    • Information for Authors
    • Information for Reviewers
    • Information for Librarians
    • Information for Advertisers
    • Conferences
  • Language Editing
Spandidos Publications Logo
  • About
    • About Spandidos
    • Aims and Scopes
    • Abstracting and Indexing
    • Editorial Policies
    • Reprints and Permissions
    • Job Opportunities
    • Terms and Conditions
    • Contact
  • Journals
    • All Journals
    • Biomedical Reports
      • Information for Authors
      • Editorial Policies
      • Editorial Board
      • Aims and Scope
      • Abstracting and Indexing
      • Bibliographic Information
      • Archive
    • Experimental and Therapeutic Medicine
      • Information for Authors
      • Editorial Policies
      • Editorial Board
      • Aims and Scope
      • Abstracting and Indexing
      • Bibliographic Information
      • Archive
    • International Journal of Epigenetics
      • Information for Authors
      • Editorial Policies
      • Editorial Board
      • Aims and Scope
      • Abstracting and Indexing
      • Bibliographic Information
      • Archive
    • International Journal of Functional Nutrition
      • Information for Authors
      • Editorial Policies
      • Editorial Board
      • Aims and Scope
      • Abstracting and Indexing
      • Bibliographic Information
      • Archive
    • International Journal of Molecular Medicine
      • Information for Authors
      • Editorial Policies
      • Editorial Board
      • Aims and Scope
      • Abstracting and Indexing
      • Bibliographic Information
      • Archive
    • International Journal of Oncology
      • Information for Authors
      • Editorial Policies
      • Editorial Board
      • Aims and Scope
      • Abstracting and Indexing
      • Bibliographic Information
      • Archive
    • Medicine International
      • Information for Authors
      • Editorial Policies
      • Editorial Board
      • Aims and Scope
      • Abstracting and Indexing
      • Bibliographic Information
      • Archive
    • Molecular and Clinical Oncology
      • Information for Authors
      • Editorial Policies
      • Editorial Board
      • Aims and Scope
      • Abstracting and Indexing
      • Bibliographic Information
      • Archive
    • Molecular Medicine Reports
      • Information for Authors
      • Editorial Policies
      • Editorial Board
      • Aims and Scope
      • Abstracting and Indexing
      • Bibliographic Information
      • Archive
    • Oncology Letters
      • Information for Authors
      • Editorial Policies
      • Editorial Board
      • Aims and Scope
      • Abstracting and Indexing
      • Bibliographic Information
      • Archive
    • Oncology Reports
      • Information for Authors
      • Editorial Policies
      • Editorial Board
      • Aims and Scope
      • Abstracting and Indexing
      • Bibliographic Information
      • Archive
    • World Academy of Sciences Journal
      • Information for Authors
      • Editorial Policies
      • Editorial Board
      • Aims and Scope
      • Abstracting and Indexing
      • Bibliographic Information
      • Archive
  • Articles
  • Information
    • For Authors
    • For Reviewers
    • For Librarians
    • For Advertisers
    • Conferences
  • Language Editing
Login Register Submit
  • This site uses cookies
  • You can change your cookie settings at any time by following the instructions in our Cookie Policy. To find out more, you may read our Privacy Policy.

    I agree
Search articles by DOI, keyword, author or affiliation
Search
Advanced Search
presentation
Experimental and Therapeutic Medicine
Join Editorial Board Propose a Special Issue
Print ISSN: 1792-0981 Online ISSN: 1792-1015
Journal Cover
October-2019 Volume 18 Issue 4

Full Size Image

Sign up for eToc alerts
Recommend to Library

Journals

International Journal of Molecular Medicine

International Journal of Molecular Medicine

International Journal of Molecular Medicine is an international journal devoted to molecular mechanisms of human disease.

International Journal of Oncology

International Journal of Oncology

International Journal of Oncology is an international journal devoted to oncology research and cancer treatment.

Molecular Medicine Reports

Molecular Medicine Reports

Covers molecular medicine topics such as pharmacology, pathology, genetics, neuroscience, infectious diseases, molecular cardiology, and molecular surgery.

Oncology Reports

Oncology Reports

Oncology Reports is an international journal devoted to fundamental and applied research in Oncology.

Experimental and Therapeutic Medicine

Experimental and Therapeutic Medicine

Experimental and Therapeutic Medicine is an international journal devoted to laboratory and clinical medicine.

Oncology Letters

Oncology Letters

Oncology Letters is an international journal devoted to Experimental and Clinical Oncology.

Biomedical Reports

Biomedical Reports

Explores a wide range of biological and medical fields, including pharmacology, genetics, microbiology, neuroscience, and molecular cardiology.

Molecular and Clinical Oncology

Molecular and Clinical Oncology

International journal addressing all aspects of oncology research, from tumorigenesis and oncogenes to chemotherapy and metastasis.

World Academy of Sciences Journal

World Academy of Sciences Journal

Multidisciplinary open-access journal spanning biochemistry, genetics, neuroscience, environmental health, and synthetic biology.

International Journal of Functional Nutrition

International Journal of Functional Nutrition

Open-access journal combining biochemistry, pharmacology, immunology, and genetics to advance health through functional nutrition.

International Journal of Epigenetics

International Journal of Epigenetics

Publishes open-access research on using epigenetics to advance understanding and treatment of human disease.

Medicine International

Medicine International

An International Open Access Journal Devoted to General Medicine.

Journal Cover
October-2019 Volume 18 Issue 4

Full Size Image

Sign up for eToc alerts
Recommend to Library

  • Article
  • Citations
    • Cite This Article
    • Download Citation
    • Create Citation Alert
    • Remove Citation Alert
    • Cited By
  • Similar Articles
    • Related Articles (in Spandidos Publications)
    • Similar Articles (Google Scholar)
    • Similar Articles (PubMed)
  • Download PDF
  • Download XML
  • View XML
Article Open Access

Eckol inhibits Reg3A‑induced proliferation of human SW1990 pancreatic cancer cells

  • Authors:
    • Mengya Zhang
    • Weiping Zhou
    • Shuqi Zhao
    • Shulan Li
    • Dan Yan
    • Jun Wang
  • View Affiliations / Copyright

    Affiliations: Hubei Province Key Laboratory of Occupational Hazard Identification and Control, Wuhan University of Science and Technology, Wuhan, Hubei 430065, P.R. China
    Copyright: © Zhang et al. This is an open access article distributed under the terms of Creative Commons Attribution License.
  • Pages: 2825-2832
    |
    Published online on: August 14, 2019
       https://doi.org/10.3892/etm.2019.7889
  • Expand metrics +
Metrics: Total Views: 0 (Spandidos Publications: | PMC Statistics: )
Metrics: Total PDF Downloads: 0 (Spandidos Publications: | PMC Statistics: )
Cited By (CrossRef): 0 citations Loading Articles...

This article is mentioned in:



Abstract

Pancreatic cancer (PaC) is characterized by a highly inflammatory tumor microenvironment, and inflammatory mediators are implicated in the progression of this cancer. Regenerating gene protein (Reg) 3A is significantly upregulated during pancreatic inflammation, and has been demonstrated to serve an important role during PaC progression, based on its increased expression levels in PaC and potent cell proliferation‑promoting activity. The aim of the present study was to investigate the effect of eckol, a phlorotannin compound with a variety of biological activities including anti‑inflammatory, anti‑tumor and cytoprotective effects, on Reg3A‑induced proliferation of human SW1990 PaC cells. SW1990 cells were pre‑treated with eckol for 48 h at concentrations of 5, 10 and 20 µg/ml. Subsequently, Reg3A protein was added to the culture media at a final concentration of 50 ng/ml in the presence or absence of eckol for 24 h. The cytotoxicity and proliferative capacity of the SW1990 cells was determined using an MTT and flow cytometry analysis. Cell colony formation was also used to determine the effect of eckol on the anchorage‑independent growth and colony‑forming capacity of Reg3A‑treated PaC cells. The expression levels of cyclin D1, STAT3, JAK2, and NF‑κB p65 were measured with reverse transcription‑quantitative PCR and western blotting. Eckol reduced Reg3A‑promoted cell survival, inhibited Reg3A‑induced cell cycle progression and inhibited colony growth of SW1990 cells in soft agar in a concentration‑dependent manner. Additionally, the Reg3A‑mediated upregulation of expression of JAK2, STAT3, NF‑κBp65 and cyclin D1 was reduced when treated with eckol. Reg3A is upregulated during pancreatic inflammation and exhibits a pro‑growth function and may thus serve a critical role during inflammation‑driven PaC malignancies. Eckol may be a potential protective agent against progression of PaC accompanied by pancreatic inflammation.

Introduction

Pancreatic cancer (PaC), known as the king of carcinoma, is a type of highly lethal malignant tumor with high rate of incidence around the world (1). The 5-year relative survival rate of PaC is <8%, due to its rapid progression, asymptomatic development, poor prognosis and the relative lack of effects of treatment (2). The etiology and pathogenesis of PaC still remains unclear. However, regenerating gene protein (Reg) 3A has been generally accepted to serve an important role during pancreatic carcinogenesis and PaC progression, based on its high expression in PaC and tumor-promoting activity (3–6). Reg proteins are members of the calcium-dependent C-type lectin family, which have been characterized as promoters of proliferation and differentiation in a range of cell types (7). In humans, 5 Reg family proteins including Reg1A, Reg1B, Reg3A, Reg3G and Reg4 have been identified (4). Among them, Reg3A is selectively expressed in the pancreas and small intestine (8). During pancreatic inflammation, Reg3A expression is significantly increased and has thus also been named pancreatitis-associated protein (5,6). Elevated concentrations or expression of Reg3A in pancreatic juice/serum (9,10) or tumor tissues (5,6) have been reported in patients with PaC. Reg3A may promote the survival, proliferation, growth of PaC cells and acinar-to-ductal metaplasia formation, and overexpression of Reg3A in PaC is significantly associated with the aggressiveness of the tumor (5,6). Therefore, during pancreatic inflammation-mediated upregulation of Reg3A, Reg3A may function as an oncogene to promote the development and progression of PaC.

Although PaC therapies, including surgical resection, chemotherapy and radiotherapy have improved over a number of decades, the outcomes of patients with PaC have not improved significantly (11). Therefore, there is an need urgent to develop alternative therapeutic approaches which may improve control of the aggressiveness of PaC. Novel therapies based on natural products with minimal toxicity have been demonstrated to benefit patients with PaC (11,12).

Eckol, a phlorotannin component isolated from brown algae, is a marine natural product with a variety of potent biological activities (13). For example, eckol has been demonstrated to exhibit antioxidant and cytoprotective properties (14–17), neuroprotective effect (18–20) and anti-adipogenic activities (21). Additionally, eckol is also a well-known anti-inflammatory agent. Jung et al (22) demonstrated that eckol could inhibit lipopolysaccharide (LPS)-induced nitric oxide production in RAW264.7 macrophages in a dose-dependent manner. In HepG2 cells, eckol significantly inhibited LPS-stimulated inflammatory responses without any cytotoxicity (23). A few previous studies have demonstrated the cytotoxic effects of eckol against tumors (24,25). As the source of eckol, brown algae has long been considered to exhibit relatively higher anti-tumor activities compared with other algae (24). Hyun et al (25) reported that eckol treatment decreased the tumorigenic capacity of glioma cells, and sensitized these cell to established anticancer treatments, suggesting a novel potential adjuvant capacity of eckol for treating patients with cancer. However, the effect of eckol on PaC has not been investigated, to the best of our knowledge.

Based on the role of pancreatic inflammation-upregulated Reg3A in PaC progression, together with the existing evidence that eckol has potential anti-inflammatory and anti-tumor effects, eckol may inhibit Reg3A-induced proliferation of PaC cells, and thus protect against progression of inflammation-associated PaC. To test this hypothesis, the effect of eckol on the proliferation of Reg3A-stimulated human SW1990 PaC cells was determined. Human pancreatic adenocarcinoma cell line SW-1990 is a representative and common PaC cell line with aggressive behaviors (5,6). A previous study studied the effect of Reg3A on the proliferation of five different PaC cell lines; AsPC-1, Mia Paca-2, BxPC-3, SW1990, PANC-1 (6). The results showed that the proliferation-promoting effect of Reg3A was most marked in the SW1990 cells, that is, SW1990 was the most sensitive cell line to exogenous Reg3A stimulation amongst the studied cell lines. The aim of the present study was to determine whether eckol may potentially limit the malignant development of PaC driven by pancreatic inflammatory mediators such as Reg3A, a pancreatic inflammation-upregulated protein with pro-growth function.

Materials and methods

Cell culture and treatment

The human PaC cell line, SW1990 was obtained from American Type Culture Collection (American Type Culture Collection) was cultured in 5% CO2 atmosphere at 37°C in RPMI 1640 (Hyclone; GE Healthcare Life Sciences) supplemented with 10% fetal calf serum and 100 units/ml penicillin/streptomycin (both Invitrogen; Thermo Fisher Scientific, Inc.). SW1990 cells were pre-treated with eckol (Rongbao Environmental Technology Co., Ltd) for 48 h with 5, 10 and 20 µg/ml. Subsequently, Reg3A protein (Sino Biological Inc.) was added to the culture media at a final concentration of 50 ng/ml in the presence or absence of eckol for 24 h. The control cells were treated with the same volume of vehicle (DMSO).

Cytotoxicity assay

The cytotoxic effects of eckol on SW1990 cells was determined using an MTT assay as described previously (26). Briefly, 4×103 SW1990 cells were plated per well in a 96 well microplates and pre-incubated for 24 h. Subsequently, the cells were treated with Reg3A and/or eckol as described above, after which 20 µl 5 mg/ml MTT (Sigma-Aldrich; Merck KGaA) was added to each well and the plates were incubated at 37°C for a further 4 h. The survival rate of SW1990 cells was calculated as the A570 of treated cells/A570 of control cells. There were a total of 8 wells per condition.

Cell cycle assay

Following treatment with Reg3A and/or eckol, the SW1990 cells were stained with propidium iodide (PI; Sigma-Aldrich; Merck KGaA) at 4°C for 30 min, and immediately analyzed using a Flow Cytometer and CellQuest Pro software version 5.1 (both BD Biosciences).

Colony formation in soft agarose

Following treatment with Reg3A and/or eckol, the SW1990 cells were seeded in 6-well plates at a density of 500 cells per well with five replicates, and incubated for 2 weeks for the colony formation assay in soft agarose culture as described previously (5,6). RPMI 1640 medium (X2 concentration) was mixed with an equal volume of 1.2% melted agarose (Invitrogen; Thermo Fisher Scientific, Inc.) to prepare the agar. The number of colonies formed per 100 seeded SW1990 cells was assessed by counting under a compound light microscope at a magnification of ×100.

Reverse transcription-quantitative (RT-q)PCR

Total RNA was isolated from the cells using TRIzol® Reagent (Invitrogen; Thermo Fisher Scientific, Inc.). The mRNAs were reverse-transcribed to cDNAs using a PrimeScript® RT Master mix (Perfect Real Time; Takara Bio, Inc.) under the reaction conditions of 37°C for 15 min and 85°C for 5 sec. RT-qPCR was performed using an Applied Biosystems StepOnePlus™ system using a SYBR Green Premix kit (Takara Bio Inc.) as the fluorophore. Primers were as follows: Cyclin D1 forward, 5′-TCTACACCGACAACTCCATCCG-3 and reverse, 5′-TCTGGCATTTTGGAGAGGAAGTG-3; STAT3 forward, 5′-CCCATCCAGGCTGAGTATGT-3 and reverse, 5′-GATCCAGTCCGTGGAACCAT-3; JAK2 forward, 5′-CCTTGTACTTCACGATGTTGTC-3 and reverse, 5′-GTGGAGATGTGCCGCTATG-3; NF-κB p65 forward, 5′-CTTCAGAATGGCAGAAGATGA-3 and reverse, 5′-CACATACATAACGGAAACGAAA-3; β-actin forward, 5′-TCACCCACACTGTGCCCATCTACGA-3 and reverse, 5′-CAGCGGAACCGCTCATTGCCAATGG-3. The thermocycling conditions were: i) 95°C For 10 min; and ii) 40 cycles of 95°C for 30 sec, 58°C for 30 sec and 72°C for 30 sec. The mRNA levels of cyclin D1, STAT3, JAK2, and NF-κB p65 were normalized to those of β-actin. The results were analyzed using the 2−∆∆Cq method (27).

Western blotting

The protein expression levels of Cyclin D1, STAT3, JAK2 and NF-κB p65 were detected by western blotting. The total protein in the SW1990 cells was extracted using RIPA lysis and extraction buffer containing protease inhibitor cocktail (Pierce; Thermo Fisher Scientific, Inc.). A bicinchoninic acid protein assay kit (Pierce; Thermo Fisher Scientific, Inc.) was used to determine the protein concentration of each sample. Equal quantities of protein (50 µg per lane) were resolved by SDS-PAGE on a 12% gel and transferred onto a nitrocellulose membrane by electroblotting. The membrane was blocked overnight at 4°C with 5% skimmed milk in TBST (20 mM Tris-HCl, 0.1% Tween-20 and 150 mM NaCl) and subsequently incubated at 37°C for 2 h with a 1:1,000 dilution of rabbit monoclonal anti-human phosphorylated (p)STAT3 (cat. no. 9145), pJAK2 (cat. no. 4406), STAT3 (cat. no. 4904), JAK2 antibody (cat. no. 3230; all form CST Biological Reagents Co., Ltd.), rabbit monoclonal anti-human CyclinD1 antibody (cat. no. ab16663; Abcam), rabbit monoclonal NF-κB p65 antibody (cat. no. AP3749a; Abgent, Inc.) or mouse monoclonal anti-β-actin antibody (cat. no. sc-47778; Santa Cruz Biotechnology Inc.). Horseradish peroxidase-conjugated sheep anti-rabbit or anti-mouse immunoglobulin G (cat. nos. LK2001L or LK2003L; Tianjin Sungene Biotech Co., Ltd.) was used as the secondary antibody. After incubation with the corresponding secondary antibody at a dilution of 1:2,000 for 2 h at room temperature, signals were visualized using an enhanced chemiluminescence detection kit (Advansta, Inc.) and scanned using an EPSON Perfection V370 Photo Scanner (Seiko Epson Corporation). Densitometric analysis of the image was performed using ImageJ (version 1.8.0; National Institutes of Health). Protein expression was normalized to the amount of β-actin in the same sample.

Statistical analysis

The statistical analyses were performed using SPSS version 12.0 (SPSS, Inc., Chicago, IL, USA). Data are expressed as the mean ± standard deviation of at least five repeats. The statistical significance of difference between groups was determined using a one-way ANOVA followed by a post-hoc Tukey's test. P<0.05 was considered to indicate a statistically significant difference.

Results

Eckol decreases Reg3A-induced SW1990 cell survival

The direct effect of eckol on the survival of human SW1990 PaC cells was determined by treating cells with 5, 10 or 20 µg/ml eckol for 72 h. The treatment of SW1990 cells with 5–20 µg/ml eckol did not result in a significant change in cell viability as determined by an MTT assay (Fig. 1). Cells treated with 50 ng/ml exogenous Reg3A protein demonstrated a 31.8% increase in survival compared with the control (P<0.05; Fig. 1). Cell survival was significantly decreased in SW1990 cells treated with 50 ng/ml Reg3A and 5, 10 or 20 µg/ml eckol by 10.2, 16.5, and 22.9%, respectively, when compared with cells treated with Reg3A alone (5 µg/ml, P<0.05; 10 µg/ml, P<0.05; 20 µg/ml, P<0.01). Therefore, these data suggest that 5–10 µg/ml eckol did not have a significant direct cytotoxic effect on human SW1990 PaC cells, however, attenuated the Reg3A-mediated increase in SW1990 cell survival.

Figure 1.

Effect of eckol on Reg3A-promoted SW1990 cell survival. The cell viability of human SW1990 pancreatic cancer cells was assessed using an MTT assay (n=8). *P<0.05 vs. the control group; #P<0.05, ##P<0.01 vs. the 50 ng/ml Reg3A group.

Eckol attenuates Reg3A-induced cell cycle progression in human SW1990 PaC cells

Based on the above preliminary assays, the effect of eckol on the cell cycle progression in cells treated with and without Reg3A was determined using flow cytometry analysis. As shown in Fig. 2, incubation with exogenous Reg3A for 24 h caused a significantly lower number of cells in the G0/G1 phase and the accumulation of cells in the G2/M and S phases, compared with the control group (P<0.01). However, treatment of cells with Reg3A and eckol resulted in the reduction in the number of cells in the G2/M and S phases, and the increase in the proportion of cells in the G0/G1 phase, particularly at with 10 and 20 µg/ml (P<0.05, P<0.01, respectively) when compared with cells treated with Reg3A only. The data in Fig. 2 suggest that eckol may attenuate the proliferation-promoting effect of Reg3A on human SW1990 PaC cells.

Figure 2.

Effect of eckol on Reg3A-induced cell cycle progression of human SW1990 pancreatic cancer cells. The cell cycle distribution of SW1990 cells were analyzed by flow cytometry staining with propidium iodide. (A) Representative flow cytometry data. (B) Percentage of cells at each phase of the cell cycle (n=5). *P<0.05, **P<0.01 vs. the control group; #P<0.05, ##P<0.01 vs. the 50 ng/ml Reg3A group.

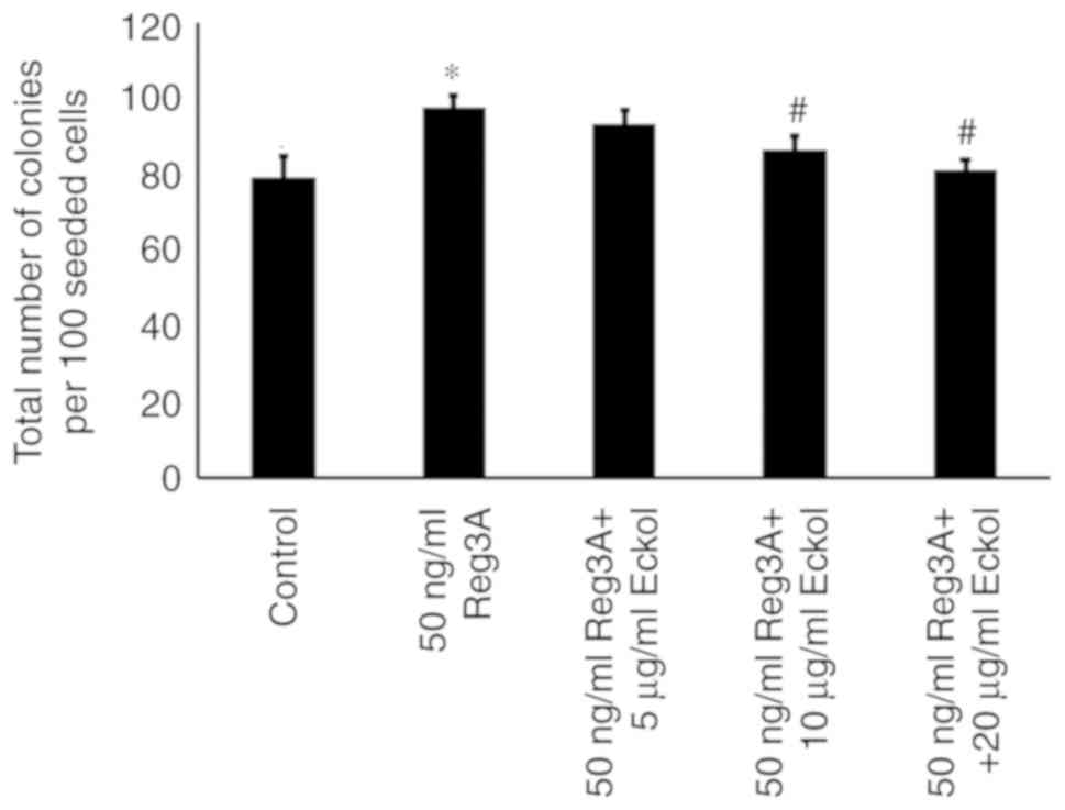
Eckol attenuates Reg3A-mediated SW1990 PaC cell colony formation in soft agar

SW1990 cells were seed in soft agar to determine the effect of eckol on the anchorage-independent growth and colony-forming capacity of Reg3A-treated PaC cells. As shown in Fig. 3, SW1990 cells formed colonies in soft agar, and Reg3A incubation for 24 h significantly enhanced the colony growth (P<0.01 compared with control). Compared with the cells incubated with exogenous Reg3A alone, fewer colonies were observed in cells treated with Reg3A in combination with 10 or 20 µg/ml eckol (P<0.05), suggesting that eckol may decrease Reg3A-mediated anchorage-independent SW1990 PaC cell growth.

Figure 3.

Effect of eckol on Reg3A-promoted SW1990 PaC cell colony formation in soft agar. The treated cells were cultured in soft agar for 3 weeks and stained with MTT for observation. Colonies formed of >50 cells were scored under an inverted microscope, and the number of colonies formed per 100 seeded SW1990 cells was assessed (n=5). *P<0.05 vs. the control group; #P<0.05 vs. the 50 ng/ml Reg3A group.

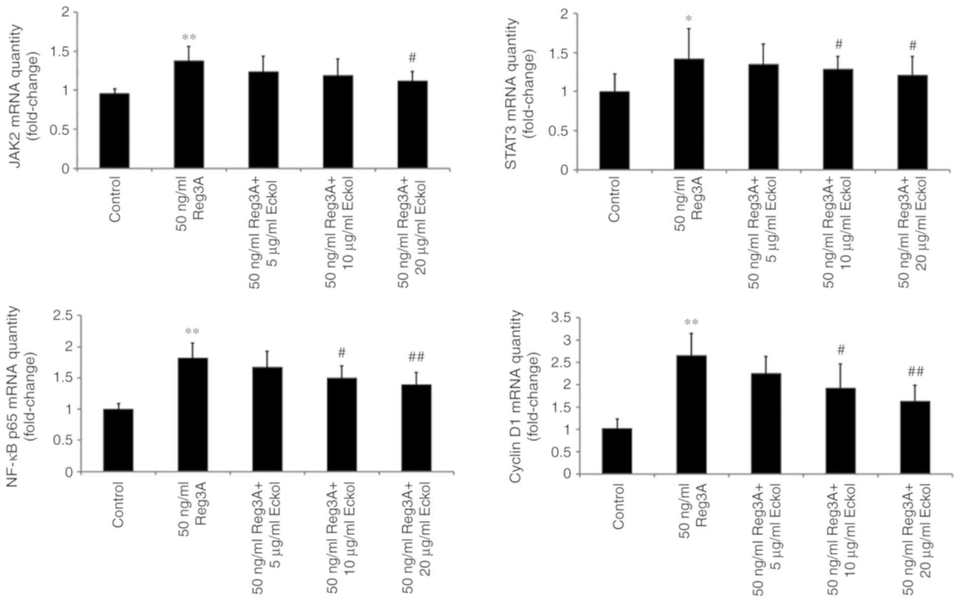
JAK/STAT3 and NF-κB/cyclin D1 pathways may contribute to the protective effect of eckol on Reg3A-induced over-proliferation of SW1990 PaC cells

Based on the above results, the possible underlying molecular mechanism involved in the protective effects of eckol on Reg3A-induced over-proliferation of SW1990 PaC cells were determined using RT-qPCR and western blot analysis of Reg3A signaling-associated molecules, including JAK2, STAT3, NF-κB and cyclin D1. As shown in Fig. 4, administration of 50 ng/ml exogenous Reg3A for 24 h significantly upregulated the expression of JAK2 (P<0.01), STAT3 (P<0.05), NF-κB (P<0.01) and cyclin D1 (P<0.01) in SW1990 cells. The addition of varying concentrations of eckol reduced the Reg3a-induced increases in JAK2, STAT3, NF-κB and cyclin D1 mRNA expression levels. Compared with the cells incubated with Reg3A alone, eckol treatment decreased the activation of JAK2 (20 µg/ml eckol; P<0.05) and STAT3 (10 and 20 µg/ml eckol; both P<0.05) in SW1990 cells. Additionally, 10 µg/ml (P<0.05) and 20 µg/ml (P<0.01) eckol reduced the mRNA expression levels of both NF-κB and Cyclin D1. Compared with cells incubated with Reg3A alone, >10 µg/ml eckol treatment decreased the phosphorylation of JAK2/STAT3 and protein expression levels of NF-κB/cyclin D1 in SW1990 cells treated with Reg3A. The data in Figs. 4 and 5 suggest that the protective effect of eckol on Reg3A-induced over-proliferation may be associated with the JAK/STAT3 and NF-κB/cyclin D1 signaling pathways in human PaC.

Figure 4.

Eckol downregulates Reg3A-induced mRNA expression of JAK2, STAT3, NF-κB p65 and Cyclin D1. Reverse transcription-quantitative PCR was used to measure the mRNA expression levels of JAK2, STAT3, NF-κB p65 and CyclinD1 in the total cell lysate of SW1990 cells (n=5). *P<0.05, **P<0.01 vs. the control group; #P<0.05, ##P<0.01 vs. the 50 ng/ml Reg3A group.

Figure 5.

Effect of eckol on the protein expression and phosphorylation levels of JAK2/p-JAK2, STAT3/p-STAT3, NF-κB and CyclinD1 in SW1990 cells treated with Reg3A. Cells treated with eckol for 48 h after which 50 ng/ml exogenous Reg3A was added to induce proliferation for 24 h. Total protein was extracted from the cells and western blotting was used to measure the protein expression levels. (A) Representative bands were cropped from different gels for repeated experiments. (B) Relative expression of proteins were normalized against β-actin (n=5). *P<0.05, **P<0.01 vs. the control group; #P<0.05, ##P<0.01 vs. the 50 ng/ml Reg3A group. p-, phosphorylated.

Discussion

The association between inflammation and cancer is well-known and researched (28). Inflammation is considered a hallmark and a dominant feature of cancer (28). Evidence has shown that almost all tumors possess an inflammatory tumor microenvironment (28). In PaC, there is an indispensable contribution of pre-existing inflammation to pancreatic carcinogenesis, which frequently manifests as a chronic inflammatory response to pancreatic diseases such as chronic pancreatitis, hereditary pancreatitis, and is a contributing risk factors in patients with PaC (29). Furthermore, PaC is characterized by a highly inflammatory tumor microenvironment, and inflammatory mediators are implicated in the progression of this tumor (30). Sustained inflammation within PaC tissues aggravates the behavior of cancer cells (such as cell proliferation and survival), affects the tumor microenvironment, and is conducive to the invasive growth of PaC (29,31). During the progression of PaC, additional inflammatory cells are recruited into the cancer microenvironment and the interaction between cancer-associated inflammation and tumor cells promotes the malignant progression of PaC (32).

The molecular events involved in inflammation-associated cancer have been gradually uncovered (3–6,28–31). IL-6 has long been demonstrated as a well-known mediator involved in inflammation-associated pancreatic carcinogenesis (5,6). There is a synergistic effect of Reg3A and IL-6 on PaC development (5). As a mediator induced by pancreatic inflammation and a promoter of cancer cell growth in PaC, Reg3A serves an important role in the progression of PaC accompanied by pancreatic inflammation (3–6). Reg3A has been demonstrated to be overexpressed in 79% (30 out of 38) of pancreatic tissues from individuals with PaC (10). In a cohort of 36 patients who underwent resection for PaC (6), Reg3A mRNA expression levels in tumor tissues were significantly higher in the patients with inflammation history, in tumors >3 cm, in relatively undifferentiated tumors and in patients in Tumor-Node-Metastasis stage III–IV, indicating the association between the inflammatory mediator Reg3A and PaC malignancy.

In line with previous studies (5,6), 50 ng/ml exogenous Reg3A promoted cell growth, proliferation and tumor formation in human SW1990 PaC cells. In the present study, despite the fact that cell viability as assessed by MTT assay was not significantly influenced by eckol, there was a reduction in Reg3A-induced cell survival, the proportion of cells in the G2/M and S phases and the colony-forming ability of cells in eckol-treated SW1990 cells. The protective role of eckol in normal tissue cells has been well documented (25). Eckol was previously found to exhibit cytoprotective activity in hepatocytes (17), neurocytes (18,19), keratinocytes (33) and lung fibroblast cells (34). In addition, eckol showed hepatoprotective activity in tacrine-treated in HepG2 cells (15). Hyun et al (25) reported that treatment of glioma cells cultured in sphere forming condition, induced with epidermal growth factor and basic fibroblast growth factor, with 50 µM eckol significantly decreased cell proliferation and the formation of spheres and there was no significant increase in cell death when treated with 10–80 µM eckol. These previous studies suggest that eckol appears to exert dual regulatory effects on cell proliferation and viability. In the present study, eckol treatment inhibited the Reg3A-induced increase in proliferation without decreasing the viability of SW1990 cells. Therefore, eckol may be a safe compound for controlling the progression of PaC accompanied by pancreatic inflammation, which possesses activity against inflammation-driven PaC malignancies without significantly affecting the cell viability.

The JAK2/STAT3 signal transduction pathway is closely associated with Reg3A-mediated PaC cell growth (5,6). The JAK2/STAT3 signaling pathway is an important pathway in a wide variety of malignant diseases including PaC (35) and is required for expression of Reg3A in response to the stimulation of proinflammatory factors (such as IL-6) (4,6). In the present study it was demonstrated that, Reg3A regulated the activation of JAK2 and STAT3, which is in agreement with Wang et al (6) and Liu et al (5). Therefore, there may be crosstalk between Reg3A and JAK2/STAT3 signaling, forming a positive feedback loop, ultimately promoting PaC development (5). In addition, STAT3 co-operates with NF-κB, another key molecule associated with malignant conversion and progression (36) by promoting cell proliferation, transformation and tumor development (37). Cyclin D1 is one of important transcriptional targets of NF-κB which contributes to cell cycle progression (38). Acceleration of the G1/S transition via regulation of the cell-cycle-associated protein cyclin D1 represents a key mechanism by which NF-κB promotes cell proliferation and functions as a cancer promoter (38). Previous studies found that NF-κB and its gene product cyclin D1 are also involved in the proliferation-promoting effect of Reg3A on PaC cells (5,6). Therefore, Reg3A upregulates the NF-κB/cyclin D1 signaling pathway and interacts with the JAK2/STAT3 pathway to create a positive feedback loop to promote PaC development and progression. Treatment with eckol resulted in a significant suppression of Reg3A-upregulated the expression of JAK2, STAT3, NF-κB and cyclin D1 in SW1990 PaC cells. We therefore hypothesized that eckol may exert its protective activity against Reg3A-incduced SW1990 cell proliferation, at least partly, by inhibition of JAK/STAT3 and NF-κB/cyclin D1 signaling pathways.

In summary, in the SW1990 PaC cells, eckol exerted a protective effect on PaC cells from Reg3A-induced proliferation in a concentration-dependent manner, which was observed by the reduction of Reg3A-promoted cell survival and attenuation of Reg3A-induced cell cycle progression in the Reg3A-stimulated cells co-treated with eckol. In addition, colony growth of SW1990 PaC cells in soft agar was significantly increased in the presence of exogenous Reg3A, which was reversed by the addition of eckol and the expression levels of JAK2, STAT3, NF-κB and cyclin D1 were upregulated following treatment with Reg3A, and these were reversed when co-treated with eckol. Therefore, the Reg3A associated JAK/STAT3 and NF-κB/cyclin D1 signaling pathways may be involved in the protective effect of eckol on Reg3A-induced proliferation of SW1990 PaC cells. As Reg3A is as a protein upregulated during pancreatic inflammation with pro-growth functions, it serves an important role during inflammation-driven PaC malignancies, and the above results support the notion that eckol may be used as a potential protective agent against progression of PaC accompanied by pancreatic inflammation. However, the protective effects of eckol on the proliferation of PaC cells induced by other pro-proliferative factors other than Reg3A still require further study, to determine whether eckol effects are limited to the activity of Reg3A or not.

Acknowledgements

Not applicable.

Funding

The present study was funded by The National Natural Science Foundation of China (grant no. 81602108).

Availability of data and materials

The datasets used and/or analyzed during the current study are available from the corresponding author on reasonable request.

Authors' contributions

JW designed the study, conducted the experiments and wrote the manuscript. MZ and WZ collected the data and performed the experiments. SZ, SL and DY performed data analysis. MZ and WZ revised the manuscript. All authors collaborated to develop the manuscript.

Ethics approval and consent to participate

Not applicable.

Patient consent for publication

Not applicable.

Competing interests

The authors declare that they have no competing interests.

References

1 

Ma Y, Wu Q, Li X, Gu X, Xu J and Yang J: Pancreatic cancer: From bench to bedside. Ann Transl Med. 4:4582016. View Article : Google Scholar : PubMed/NCBI

2 

Siegel RL, Miller KD and Jemal A: Cancer statistics, 2016. CA Cancer J Clin. 66:7–30. 2016. View Article : Google Scholar : PubMed/NCBI

3 

Xu Q, Fu R, Yin G, Liu X, Liu Y and Xiang M: Microarray-based gene expression profiling reveals genes and pathways involved in the oncogenic function of REG3A on pancreatic cancer cells. Gene. 578:263–273. 2016. View Article : Google Scholar : PubMed/NCBI

4 

Li Q, Wang H, Zogopoulos G, Shao Q, Dong K, Lv F, Nwilati K, Gui XY, Cuggia A, Liu JL and Gao ZH: Reg proteins promote acinar-to-ductal metaplasia and act as novel diagnostic and prognostic markers in pancreatic ductal adenocarcinoma. Oncotarget. 7:77838–77853. 2016.PubMed/NCBI

5 

Liu X, Wang J, Wang H, Yin G, Liu Y, Lei X and Xiang M: REG3A accelerates pancreatic cancer cell growth under IL-6-associated inflammatory condition: Involvement of a REG3A-JAK2/STAT3 positive feedback loop. Cancer Lett. 362:45–60. 2015. View Article : Google Scholar : PubMed/NCBI

6 

Wang J, Zhou H, Han Y, Liu X, Wang M, Wang X, Yin G, Li X and Xiang M: SOCS3 methylation in synergy with Reg3A overexpression promotes cell growth in pancreatic cancer. J Mol Med (Berl). 92:1257–1269. 2014. View Article : Google Scholar : PubMed/NCBI

7 

Chen ZF, Huang ZM, Xue HB, Lin XQ, Chen RP, Chen MJ and Jin RF: REG3A promotes the proliferation, migration, and invasion of gastric cancer cells. Onco Targets Ther. 10:2017–2023. 2017. View Article : Google Scholar : PubMed/NCBI

8 

Ye Y, Xiao L, Wang SJ, Yue W, Yin QS, Sun MY, Xia W, Shao ZY and Zhang H: Up-regulation of REG3A in colorectal cancer cells confers proliferation and correlates with colorectal cancer risk. Oncotarget. 7:3921–3933. 2016. View Article : Google Scholar : PubMed/NCBI

9 

Fukushima N, Koopmann J, Sato N, Prasad N, Carvalho R, Leach SD, Hruban RH and Goggins M: Gene expression alterations in the non-neoplastic parenchyma adjacent to infiltrating pancreatic ductal adenocarcinoma. Mod Pathol. 18:779–787. 2005. View Article : Google Scholar : PubMed/NCBI

10 

Xie MJ, Motoo Y, Iovanna JL, Su SB, Ohtsubo K, Matsubara F and Sawabu N: Overexpression of pancreatitis-associated protein (PAP) in human pancreatic ductal adenocarcinoma. Digest Dis Sci. 48:459–464. 2003. View Article : Google Scholar : PubMed/NCBI

11 

Yue Q, Gao G, Zou G, Yu H and Zheng X: Natural products as adjunctive treatment for pancreatic cancer: Recent trends and advancements. Biomed Res Int. 2017:84125082017. View Article : Google Scholar : PubMed/NCBI

12 

Marasini B and Sahu RP: Natural anti-cancer agents: Implications in gemcitabine-resistant pancreatic cancer treatment. Mini Rev Med Chem. 17:920–927. 2017. View Article : Google Scholar : PubMed/NCBI

13 

Li Y, Fu X, Duan D, Liu X, Xu J and Gao X: Extraction and identification of phlorotannins from the brown alga, sargassum fusiforme (Harvey) setchell. Mar Drugs. 15(pii): E492017. View Article : Google Scholar : PubMed/NCBI

14 

Kang MC, Cha SH, Wijesinghe WA, Kang SM, Lee SH, Kim EA, Song CB and Jeon YJ: Protective effect of marine algae phlorotannins against AAPH- induced oxidative stress in zebrafish embryo. Food Chem. 138:950–955. 2013. View Article : Google Scholar : PubMed/NCBI

15 

Lee MS, Shin T, Utsuki T, Choi JS, Byun DS and Kim HR: Isolation and identification of phlorotannins from Ecklonia stolonifera with antioxidant and hepatoprotective properties in tacrine-treated HepG2 cells. J Agric Food Chem. 60:5340–5349. 2012. View Article : Google Scholar : PubMed/NCBI

16 

Kim AD, Kang KA, Piao MJ, Kim KC, Zheng J, Yao CW, Cha JW, Hyun CL, Kang HK, Lee NH and Hyun JW: Cytoprotective effect of eckol against oxidative stress-induced mitochondrial dysfunction: Involvement of the FoxO3a/AMPK pathway. J Cell Biochem. 115:1403–1411. 2014. View Article : Google Scholar : PubMed/NCBI

17 

Jung HA, Kim JI, Choung SY and Choi JS: Protective effect of the edible brown alga Ecklonia stolonifera on doxorubicin-induced hepatotoxicity in primary rat hepatocytes. J Pharm Pharmacol. 66:1180–1188. 2014.PubMed/NCBI

18 

Ahn BR, Moon HE, Kim HR, Jung HA and Choi JS: Neuroprotective effect of edible brown alga Eisenia bicyclis on amyloid beta peptide-induced toxicity in PC12 cells. Arch Pharm Res. 35:1989–1998. 2012. View Article : Google Scholar : PubMed/NCBI

19 

Kang SM, Cha SH, Ko JY, Kang MC, Kim D, Heo SJ, Kim JS, Heu MS, Kim YT, Jung WK and Jeon YJ: Neuroprotective effects of phlorotannins isolated from a brown alga, Ecklonia cava, against H2O2-induced oxidative stress in murine hippocampal HT22 cells. Environ Toxicol Pharmacol. 34:96–105. 2012. View Article : Google Scholar : PubMed/NCBI

20 

Jung HA, Roy A, Jung JH and Choi JS: Evaluation of the inhibitory effects of eckol and dieckol isolated from edible brown alga Eisenia bicyclis on human monoamine oxidases A and B. Arch Pharm Res. 40:480–491. 2017. View Article : Google Scholar : PubMed/NCBI

21 

Jung HA, Jung HJ, Jeong HY, Kwon HJ, Ali MY and Choi JS: Phlorotannins isolated from the edible brown alga Ecklonia stolonifera exert anti-adipogenic activity on 3T3-L1 adipocytes by downregulating C/EBPα and PPARγ. Fitoterapia. 92:260–229. 2014. View Article : Google Scholar : PubMed/NCBI

22 

Jung HA, Jin SE, Ahn BR, Lee CM and Choi JS: Anti- inflammatory activity of edible brown alga Eisenia bicyclis and its constituents fucosterol and phlorotannins in LPS-stimulated RAW264. 7 macrophages. Food Chem Toxicol. 59:199–206. 2013. View Article : Google Scholar : PubMed/NCBI

23 

Kang YM, Eom SH and Kim YM: Protective effect of phlorotannins from Eisenia bicyclis against lipopolysaccharide-stimulated inflammation in HepG2 cells. Environ Toxicol Pharmacol. 35:395–401. 2013. View Article : Google Scholar : PubMed/NCBI

24 

Noda H, Amano H, Arashima K, Hashimoto S and Nisizawa K: Studies on the antitumor activity of marine algae. Nippon Suisan Gakk. 55:1259–1264. 1989. View Article : Google Scholar

25 

Hyun KH, Yoon CH, Kim RK, Lim EJ, An S, Park MJ, Hyun JW, Suh Y, Kim MJ and Lee SJ: Eckol suppresses maintenance of stemness and malignancies in glioma stem-like cells. Toxicol Appl Pharmacol. 254:32–40. 2011. View Article : Google Scholar : PubMed/NCBI

26 

Ochoa JJ, Farquharson AJ, Grant I, Moffat LE, Heys SD and Wahle KW: Conjugated linoleic acids (CLAs) decrease prostate cancer cell proliferation: Different molecularmechanisms for cis-9, trans-11 and trans-10, cis-12 isomers. Carcinogenesis. 25:1185–1191. 2004. View Article : Google Scholar : PubMed/NCBI

27 

Schmittgen TD and Livak KJ: Analyzing real-time PCR data by the comparative C(T) method. Nat Protoc. 3:1101–1108. 2008. View Article : Google Scholar : PubMed/NCBI

28 

Pesic M and Greten FR: Inflammation and cancer: Tissue regeneration gone awry. Curr Opin Cell Biol. 43:55–61. 2016. View Article : Google Scholar : PubMed/NCBI

29 

Hamada S, Masamune A and Shimosegawa T: Inflammation and pancreatic cancer: Disease promoter and new therapeutic target. J Gastroenterol. 49:605–617. 2014. View Article : Google Scholar : PubMed/NCBI

30 

Gukovsky I, Li N, Todoric J, Gukovskaya A and Karin M: Inflammation, autophagy, and obesity: Common features in the pathogenesis of pancreatitis and pancreatic cancer. Gastroenterology. 144:1199–1209. 2013. View Article : Google Scholar : PubMed/NCBI

31 

Zambirinis CP, Pushalkar S, Saxena D and Miller G: Pancreatic cancer, inflammation, and microbiome. Cancer J. 20:195–202. 2014. View Article : Google Scholar : PubMed/NCBI

32 

Zhao X, Fan W, Xu Z, Chen H, He Y, Yang G, Hu H, Tang S, Wang P, Zhang Z, et al: Inhibiting tumor necrosis factor-alpha diminishes desmoplasia and inflammation to overcome chemoresistance in pancreatic ductal adenocarcinoma. Oncotarget. 7:81110–81122. 2016. View Article : Google Scholar : PubMed/NCBI

33 

Piao MJ, Lee NH, Chae S and Hyun JW: Eckol inhibits ultraviolet B-induced cell damage in human keratinocytes via a decrease in oxidative stress. Biol Pharm Bull. 35:873–880. 2012. View Article : Google Scholar : PubMed/NCBI

34 

Kang KA, Lee KH, Chae S, Zhang R, Jung MS, Lee Y, Kim SY, Kim HS, Joo HG, Park JW, et al: Eckol isolated from Ecklonia cava attenuates oxidative stress induced cell damage in lung fibroblast cells. FEBS Lett. 579:6295–6304. 2005. View Article : Google Scholar : PubMed/NCBI

35 

Harada D, Takigawa N and Kiura K: The Role of STAT3 in non-small cell lung cancer. Cancers (Basel). 6:708–722. 2014. View Article : Google Scholar : PubMed/NCBI

36 

Karin M: Nuclear factor-kappaB in cancer development and progression. Nature. 441:431–436. 2006. View Article : Google Scholar : PubMed/NCBI

37 

Grivennikov SI and Karin M: Dangerous liaisons: STAT3 and NF-kappaB collaboration and crosstalk in cancer. Cytokine Growth Factor Rev. 21:11–19. 2010. View Article : Google Scholar : PubMed/NCBI

38 

Ledoux AC and Perkins ND: NF-κB and the cell cycle. Biochem Soc Trans. 42:76–81. 2014. View Article : Google Scholar : PubMed/NCBI

Related Articles

  • Abstract
  • View
  • Download
  • Twitter
Copy and paste a formatted citation
Spandidos Publications style
Zhang M, Zhou W, Zhao S, Li S, Yan D and Wang J: Eckol inhibits Reg3A‑induced proliferation of human SW1990 pancreatic cancer cells. Exp Ther Med 18: 2825-2832, 2019.
APA
Zhang, M., Zhou, W., Zhao, S., Li, S., Yan, D., & Wang, J. (2019). Eckol inhibits Reg3A‑induced proliferation of human SW1990 pancreatic cancer cells. Experimental and Therapeutic Medicine, 18, 2825-2832. https://doi.org/10.3892/etm.2019.7889
MLA
Zhang, M., Zhou, W., Zhao, S., Li, S., Yan, D., Wang, J."Eckol inhibits Reg3A‑induced proliferation of human SW1990 pancreatic cancer cells". Experimental and Therapeutic Medicine 18.4 (2019): 2825-2832.
Chicago
Zhang, M., Zhou, W., Zhao, S., Li, S., Yan, D., Wang, J."Eckol inhibits Reg3A‑induced proliferation of human SW1990 pancreatic cancer cells". Experimental and Therapeutic Medicine 18, no. 4 (2019): 2825-2832. https://doi.org/10.3892/etm.2019.7889
Copy and paste a formatted citation
x
Spandidos Publications style
Zhang M, Zhou W, Zhao S, Li S, Yan D and Wang J: Eckol inhibits Reg3A‑induced proliferation of human SW1990 pancreatic cancer cells. Exp Ther Med 18: 2825-2832, 2019.
APA
Zhang, M., Zhou, W., Zhao, S., Li, S., Yan, D., & Wang, J. (2019). Eckol inhibits Reg3A‑induced proliferation of human SW1990 pancreatic cancer cells. Experimental and Therapeutic Medicine, 18, 2825-2832. https://doi.org/10.3892/etm.2019.7889
MLA
Zhang, M., Zhou, W., Zhao, S., Li, S., Yan, D., Wang, J."Eckol inhibits Reg3A‑induced proliferation of human SW1990 pancreatic cancer cells". Experimental and Therapeutic Medicine 18.4 (2019): 2825-2832.
Chicago
Zhang, M., Zhou, W., Zhao, S., Li, S., Yan, D., Wang, J."Eckol inhibits Reg3A‑induced proliferation of human SW1990 pancreatic cancer cells". Experimental and Therapeutic Medicine 18, no. 4 (2019): 2825-2832. https://doi.org/10.3892/etm.2019.7889
Follow us
  • Twitter
  • LinkedIn
  • Facebook
About
  • Spandidos Publications
  • Careers
  • Cookie Policy
  • Privacy Policy
How can we help?
  • Help
  • Live Chat
  • Contact
  • Email to our Support Team