Spandidos Publications Logo
  • About
    • About Spandidos
    • Aims and Scopes
    • Abstracting and Indexing
    • Editorial Policies
    • Reprints and Permissions
    • Job Opportunities
    • Terms and Conditions
    • Contact
  • Journals
    • All Journals
    • Oncology Letters
      • Oncology Letters
      • Information for Authors
      • Editorial Policies
      • Editorial Board
      • Aims and Scope
      • Abstracting and Indexing
      • Bibliographic Information
      • Archive
    • International Journal of Oncology
      • International Journal of Oncology
      • Information for Authors
      • Editorial Policies
      • Editorial Board
      • Aims and Scope
      • Abstracting and Indexing
      • Bibliographic Information
      • Archive
    • Molecular and Clinical Oncology
      • Molecular and Clinical Oncology
      • Information for Authors
      • Editorial Policies
      • Editorial Board
      • Aims and Scope
      • Abstracting and Indexing
      • Bibliographic Information
      • Archive
    • Experimental and Therapeutic Medicine
      • Experimental and Therapeutic Medicine
      • Information for Authors
      • Editorial Policies
      • Editorial Board
      • Aims and Scope
      • Abstracting and Indexing
      • Bibliographic Information
      • Archive
    • International Journal of Molecular Medicine
      • International Journal of Molecular Medicine
      • Information for Authors
      • Editorial Policies
      • Editorial Board
      • Aims and Scope
      • Abstracting and Indexing
      • Bibliographic Information
      • Archive
    • Biomedical Reports
      • Biomedical Reports
      • Information for Authors
      • Editorial Policies
      • Editorial Board
      • Aims and Scope
      • Abstracting and Indexing
      • Bibliographic Information
      • Archive
    • Oncology Reports
      • Oncology Reports
      • Information for Authors
      • Editorial Policies
      • Editorial Board
      • Aims and Scope
      • Abstracting and Indexing
      • Bibliographic Information
      • Archive
    • Molecular Medicine Reports
      • Molecular Medicine Reports
      • Information for Authors
      • Editorial Policies
      • Editorial Board
      • Aims and Scope
      • Abstracting and Indexing
      • Bibliographic Information
      • Archive
    • World Academy of Sciences Journal
      • World Academy of Sciences Journal
      • Information for Authors
      • Editorial Policies
      • Editorial Board
      • Aims and Scope
      • Abstracting and Indexing
      • Bibliographic Information
      • Archive
    • International Journal of Functional Nutrition
      • International Journal of Functional Nutrition
      • Information for Authors
      • Editorial Policies
      • Editorial Board
      • Aims and Scope
      • Abstracting and Indexing
      • Bibliographic Information
      • Archive
    • International Journal of Epigenetics
      • International Journal of Epigenetics
      • Information for Authors
      • Editorial Policies
      • Editorial Board
      • Aims and Scope
      • Abstracting and Indexing
      • Bibliographic Information
      • Archive
    • Medicine International
      • Medicine International
      • Information for Authors
      • Editorial Policies
      • Editorial Board
      • Aims and Scope
      • Abstracting and Indexing
      • Bibliographic Information
      • Archive
  • Articles
  • Information
    • Information for Authors
    • Information for Reviewers
    • Information for Librarians
    • Information for Advertisers
    • Conferences
  • Language Editing
Spandidos Publications Logo
  • About
    • About Spandidos
    • Aims and Scopes
    • Abstracting and Indexing
    • Editorial Policies
    • Reprints and Permissions
    • Job Opportunities
    • Terms and Conditions
    • Contact
  • Journals
    • All Journals
    • Biomedical Reports
      • Information for Authors
      • Editorial Policies
      • Editorial Board
      • Aims and Scope
      • Abstracting and Indexing
      • Bibliographic Information
      • Archive
    • Experimental and Therapeutic Medicine
      • Information for Authors
      • Editorial Policies
      • Editorial Board
      • Aims and Scope
      • Abstracting and Indexing
      • Bibliographic Information
      • Archive
    • International Journal of Epigenetics
      • Information for Authors
      • Editorial Policies
      • Editorial Board
      • Aims and Scope
      • Abstracting and Indexing
      • Bibliographic Information
      • Archive
    • International Journal of Functional Nutrition
      • Information for Authors
      • Editorial Policies
      • Editorial Board
      • Aims and Scope
      • Abstracting and Indexing
      • Bibliographic Information
      • Archive
    • International Journal of Molecular Medicine
      • Information for Authors
      • Editorial Policies
      • Editorial Board
      • Aims and Scope
      • Abstracting and Indexing
      • Bibliographic Information
      • Archive
    • International Journal of Oncology
      • Information for Authors
      • Editorial Policies
      • Editorial Board
      • Aims and Scope
      • Abstracting and Indexing
      • Bibliographic Information
      • Archive
    • Medicine International
      • Information for Authors
      • Editorial Policies
      • Editorial Board
      • Aims and Scope
      • Abstracting and Indexing
      • Bibliographic Information
      • Archive
    • Molecular and Clinical Oncology
      • Information for Authors
      • Editorial Policies
      • Editorial Board
      • Aims and Scope
      • Abstracting and Indexing
      • Bibliographic Information
      • Archive
    • Molecular Medicine Reports
      • Information for Authors
      • Editorial Policies
      • Editorial Board
      • Aims and Scope
      • Abstracting and Indexing
      • Bibliographic Information
      • Archive
    • Oncology Letters
      • Information for Authors
      • Editorial Policies
      • Editorial Board
      • Aims and Scope
      • Abstracting and Indexing
      • Bibliographic Information
      • Archive
    • Oncology Reports
      • Information for Authors
      • Editorial Policies
      • Editorial Board
      • Aims and Scope
      • Abstracting and Indexing
      • Bibliographic Information
      • Archive
    • World Academy of Sciences Journal
      • Information for Authors
      • Editorial Policies
      • Editorial Board
      • Aims and Scope
      • Abstracting and Indexing
      • Bibliographic Information
      • Archive
  • Articles
  • Information
    • For Authors
    • For Reviewers
    • For Librarians
    • For Advertisers
    • Conferences
  • Language Editing
Login Register Submit
  • This site uses cookies
  • You can change your cookie settings at any time by following the instructions in our Cookie Policy. To find out more, you may read our Privacy Policy.

    I agree
Search articles by DOI, keyword, author or affiliation
Search
Advanced Search
presentation
Experimental and Therapeutic Medicine
Join Editorial Board Propose a Special Issue
Print ISSN: 1792-0981 Online ISSN: 1792-1015
Journal Cover
December-2019 Volume 18 Issue 6

Full Size Image

Sign up for eToc alerts
Recommend to Library

Journals

International Journal of Molecular Medicine

International Journal of Molecular Medicine

International Journal of Molecular Medicine is an international journal devoted to molecular mechanisms of human disease.

International Journal of Oncology

International Journal of Oncology

International Journal of Oncology is an international journal devoted to oncology research and cancer treatment.

Molecular Medicine Reports

Molecular Medicine Reports

Covers molecular medicine topics such as pharmacology, pathology, genetics, neuroscience, infectious diseases, molecular cardiology, and molecular surgery.

Oncology Reports

Oncology Reports

Oncology Reports is an international journal devoted to fundamental and applied research in Oncology.

Experimental and Therapeutic Medicine

Experimental and Therapeutic Medicine

Experimental and Therapeutic Medicine is an international journal devoted to laboratory and clinical medicine.

Oncology Letters

Oncology Letters

Oncology Letters is an international journal devoted to Experimental and Clinical Oncology.

Biomedical Reports

Biomedical Reports

Explores a wide range of biological and medical fields, including pharmacology, genetics, microbiology, neuroscience, and molecular cardiology.

Molecular and Clinical Oncology

Molecular and Clinical Oncology

International journal addressing all aspects of oncology research, from tumorigenesis and oncogenes to chemotherapy and metastasis.

World Academy of Sciences Journal

World Academy of Sciences Journal

Multidisciplinary open-access journal spanning biochemistry, genetics, neuroscience, environmental health, and synthetic biology.

International Journal of Functional Nutrition

International Journal of Functional Nutrition

Open-access journal combining biochemistry, pharmacology, immunology, and genetics to advance health through functional nutrition.

International Journal of Epigenetics

International Journal of Epigenetics

Publishes open-access research on using epigenetics to advance understanding and treatment of human disease.

Medicine International

Medicine International

An International Open Access Journal Devoted to General Medicine.

Journal Cover
December-2019 Volume 18 Issue 6

Full Size Image

Sign up for eToc alerts
Recommend to Library

  • Article
  • Citations
    • Cite This Article
    • Download Citation
    • Create Citation Alert
    • Remove Citation Alert
    • Cited By
  • Similar Articles
    • Related Articles (in Spandidos Publications)
    • Similar Articles (Google Scholar)
    • Similar Articles (PubMed)
  • Download PDF
  • Download XML
  • View XML
Article

Adjunctive vitamin D for the treatment of active juvenile idiopathic arthritis: An open‑label, prospective, randomized controlled trial

  • Authors:
    • Tao Tang
    • Yu Zhang
    • Chong Luo
    • Mingyue Liu
    • Li Xu
    • Xuemei Tang
  • View Affiliations / Copyright

    Affiliations: Rheumatology and Immunology Department, Children's Hospital of Chongqing Medical University, Chongqing 400014, P.R. China
  • Pages: 4921-4926
    |
    Published online on: October 25, 2019
       https://doi.org/10.3892/etm.2019.8133
  • Expand metrics +
Metrics: Total Views: 0 (Spandidos Publications: | PMC Statistics: )
Metrics: Total PDF Downloads: 0 (Spandidos Publications: | PMC Statistics: )
Cited By (CrossRef): 0 citations Loading Articles...

This article is mentioned in:



Abstract

Vitamin D has an important immunomodulatory effect, but no trial has examined the effect of boosting serum levels of 25‑hydroxyvitamin D (25OHD) in individuals with juvenile idiopathic arthritis (JIA). The aim of the present study was to assess whether vitamin D supplementation reduced disease activity and adjusted/maintained bone mass in patients with active JIA. A 24‑week randomized trial was undertaken at Children's Hospital of Chongqing Medical University. Treatment‑naive patients with JIA were randomly assigned (1:1) to one of two groups: Standard treatment with high dose oral cholecalciferol [2,000 IU per day; experimental group (EG)] or without supplementation [control group (CG)]. The primary outcomes were the 27‑joint Juvenile Arthritis Disease Activity Score (JADAS‑27 score), the Z‑score for bone mineral density (BMD), and serum levels of 25OHD. A per‑protocol analysis set approach was used. The Mann‑Whitney U test was the main tool used for data analysis. A total of 42 participants were assigned randomly to the EG (n=20) or the CG (n=22); of these, 36 (n=18 and n=18, respectively) were included in per‑protocol analysis. After 24 weeks, the mean level of 25OHD in the EG was higher than that in the CG (P<0.05). At the end of the intervention, there were no clear differences between the two groups in terms of BMD or JADAS‑27 score (both P>0.05). Cholecalciferol supplementation (2000 IU/day) for 24 weeks raised serum levels of 25OHD in JIA patients but did not reduce disease activity or improve BMD (registration no. ChiCTR‑INR‑16009235; Date of Registration: 2016‑10‑12).

Introduction

Juvenile idiopathic arthritis (JIA) is a heterogeneous group of diseases characterized by arthritis of unknown origin and disease onset before the age of 16 years; thus JIA causes childhood disability (1,2). As a result of chronic inflammation, patients with JIA suffer from joint pain, swelling, restricted range of motion and joint deformity (1). Severe extra-articular abnormalities may also accompany this disease, including uveitis, which occurs more frequently in antinuclear antibody (ANA)-positive patients and can lead to blindness, and macrophage activation syndrome (MAS), a complication of sJIA that can lead to multi-organ insufficiency and even mortality (3,4)

Previous studies indicated that vitamin D played an important role in maintaining both the skeletal and immune systems (5,6). Vitamin D regulates the innate and adaptive immune systems by activating the vitamin D receptor, which is distributed widely on immune cells (7,8). Consequently, vitamin D deficiency is associated with autoimmune diseases such as diabetes, rheumatoid arthritis, systemic lupus erythematosus, and JIA (9–20). A previous study reported suboptimal vitamin D levels in JIA patients (13). Moreover, studies suggest that 25-hydroxyvitamin D (25OHD) is negatively associated with JIA disease activity (14,15). Studies in mouse models of rheumatoid arthritis confirmed that the vitamin D receptor plays an important role in limiting the inflammatory phenotype (21), although other studies refute this (16).

Previous work showed that patients with JIA, especially those with higher disease activity, have low bone mass (18). However, although several studies have examined the role of vitamin D in JIA (18–22), the immunomodulatory effects of supplementation with vitamin D have not been previously investigated. The aim of the present study was to examine the effect of cholecalciferol supplementation on serum vitamin D levels, disease activity scores, and bone mineral density in patients with JIA.

Patients and methods

The present study was a randomized, comparative, monocentric trial (Chinese Clinical Trial Registry number: ChiCTR-INR-16009235) conducted at the Children's Hospital of Chongqing Medical University (Chongqing, China). From October 20, 2016 to February 15, 2018, 42 treatment-naive JIA patients diagnosed at the Rheumatology and Immunology Inpatient Department and followed at the Outpatient Clinic, Children's Hospital of Chongqing Medical University, were enrolled. All participants (6.9±3.1 years), or their guardians, provided written informed consent. The study was approved by the Institutional Review Board at Children's Hospital of Chongqing Medical University. Patients were selected using a table of random numbers. All patients met the 2001 International League of Associations for Rheumatology classification criteria (23). Participants were randomized into two parallel groups using a random number table: i) Vitamin D (Xiamen Lipin Pharmaceutical Co., Ltd.) supplementation [2000 IU per day; experimental group (EG)]; and ii) no treatment [control group (CG)]. Both groups received standard therapy [glucocorticoids (0.5–1 mg/kg/d), non-steroidal anti-inflammatory drugs (30–40 mg/kg/d), methotrexate (10–15 mg/m2/w), or sulfasalazine (30–50 mg/kd/d)]. None of the patients had taken vitamin D for at least 3 months prior to entry into the study. Exclusion criteria were as follows: A history of kidney stones, hypercalciuria, intestinal malabsorption, primary cardiovascular disease, lung disease, blood disease, liver disease, a history of using drugs that inhibit bone resorption, a history of allergy to vitamin D, and refusal to participate in the study. Patients treated with methylprednisolone, biological agents, or cyclophosphamide were also excluded. Demographic data, disease duration, findings upon physical examination, erythrocyte sedimentation rates, parathyroid hormone levels, disease activity, bone mineral density (BMD), and serum 25OHD levels were evaluated. The 27-joint juvenile arthritis disease activity score (JADAS-27) (24) was used as a measure of disease activity. Venous blood was collected (5 ml) at room temperature and centrifuged for 10 min at 1409 × g, and the serum was separated from the hemocytes. A blood sample of 150 µl was taken. Deproteinization was performed with saturated zinc sulfate solution (CAS: 7733-02-0; Shanghai Jingke Scientific Instrument Co., Ltd.), acetonitrile (CAS: 75-05-8; Tokyo Chemical Industry UK Ltd.) and dehydrated alcohol. 25OHD extraction from the serum was conducted with hexane, and the hexane was evaporated using nitrogen gas, then it was dissolved by methanol solution and detected using high-performance liquid chromatography apparatus (APS80-16D; AUPOS), with a flow rate of 0.5 ml/min. The Z-score, calculated from dual-energy X-ray absorptiometry, was used as a measure of bone mineral density (BMD; Delphi-A system; Hologic, Inc.). The normal vitamin D range is 75 to 250 nmol/l. Vitamin D insufficiency was defined as serum levels between <75 nmol/l and 50 nmol/l. Levels lower than 50 nmol/l were classified as vitamin D deficiency (25). The cumulative doses of glucocorticoids were also compared in 6 months of each group to identify differences. The primary outcomes were evaluated at weeks 0, 12, and 24. Safety and tolerability were also assessed at every visit.

Statistical analysis

Student's t-test was used to analyze parametric data and the Mann-Whitney U test was used for non-parametric data. The one-sample Kolmogorov-Smirnov test was used to check data distribution. Differences within each group were compared using one-way analysis of variance (parametric data) or related-samples Friedman's two-way analysis of variance by rank (non-parametric data). Multiple comparison between the groups was performed using the Friedman two-way analysis of variance (ANOVA) by Ranks Test. Statistical analysis was performed using SPSS version 23.0 for Mac OS (IBM Corp.). P<0.05 was considered to indicate a statistically significant difference. Continuous variables with a normal distribution are reported as the mean ± standard deviation (SD) and non-normally distributed variables are reported as the median (interquartile range).

Results

Forty-four subjects met the inclusion criteria

Two of these refused assignment to the EG. The remaining patients were assigned randomly to the CG (n=22) or the EG (n=20). A total of six patients withdrew for personal reasons or were lost to follow-up. Finally, 36 subjects completed the trial and were included in the analysis (n=18 per group).

Data were collected at baseline and at week 12 and 24. All outcome measures, except the Z-score for BMD, showed a non-normal distribution (Table I); therefore, the Mann-Whitney U test was the main tool for data analysis.

Table I.

One-sample Kolmogorov-Smirnov test parameters at baseline, week 12, and week 24.

Table I.

One-sample Kolmogorov-Smirnov test parameters at baseline, week 12, and week 24.

A, Baseline

ParameterMeanSDP-value
Experimental group (n=18)
  25OHD, nmol/l33.2912.870.200
  JADAS-2716.199.570.048
  Z-score−1.101.480.200
Control group (n=18)
  25OHD, nmol/l51.6034.770.041
  JADAS-2714.316.220.200
  Z-score−1.150.960.200

B, Week 12

ParameterMeanSDP-value

Experimental group (n=18)
  25OHD, nmol/l65.1915.520.200
  JADAS-274.565.890.022
  Z-score−0.681.470.200
Control group (n=18)
  25OHD, nmol/l43.4615.600.200
  JADAS-275.517.510.012
  Z-score−0.950.770.200

C, Week 24

ParameterMeanSDP-value

Experimental group (n=18)
  25OHD, nmol/l69.2515.520.200
  JADAS-270.942.310.000
  Z-score−0.611.290.200
Control Group (n=18)
  25OHD, nmol/l38.8313.120.040
  JADAS-271.062.820.000
  Z-score−0.970.840.200

[i] Null-hypothesis = normal distribution. BMD, bone mineral density; JADAS-27, 27-joint Juvenile Arthritis Disease Activity Score; 25OHD, 25-hydroxyvitamin D.

25OHD

The baseline data for both groups are presented in Table II. The anthropometric, clinical disease parameters were similar for both groups (all P>0.05). The mean serum level of 25OHD in the EG at baseline was 33.29 nmol/l vs. 51.60 nmol/l in the CG (P=0.15). Overall, the prevalence of vitamin D insufficiency/deficiency in all JIA patients at baseline was 89.9%.

Table II.

Baseline parameters of JIA patients according to treatment group.

Table II.

Baseline parameters of JIA patients according to treatment group.

ParameterExperimental group n=18Control group n=18P-value
Age, years7.6 (4.3)6.3 (2.9)0.31
Season 0.66
  Summer (%)2211
  Other (%)7889
Type 0.71
  SJIA (%)2733
  Non-SJIA (%)7367
Sex 0.49
  Male (%)4428
  Female (%)5662
25OHD, nmol/l33.29 (12.87)51.60 (34.77)0.15
JADAS-2716.19 (9.57)14.31 (6.22)0.84
Z-score−1.10 (1.48)−1.15 (0.96)0.94

[i] Data are expressed as the mean (± SD) or %. BMD, bone mineral density; JADAS-27, 27-joint Juvenile Arthritis Disease Activity Score; 25OHD, 25-hydroxyvitamin D.

After 12 and 24 weeks of supplementation, serum 25OHD levels in EG patients were higher than those in CG patients (week 12: 65.19 vs. 43.46, respectively; P<0.05; week 24: 69.25 vs. 38.83, respectively; P<0.05). After 24 weeks, 39.9% of patients in the EG had serum 25OHD levels >75 nmol/l; by contrast, 0% of patients in the CG (P<0.05) reached these levels. Moreover, only 18.75% of patients in the CG reached 25OHD levels >50 nmol/l, compared with 88.89% in the EG after 24 weeks (Fig. 1).

Figure 1.

Serum 25OHD levels in the EG and CG. After 12 and 24 weeks of supplementation, serum 25OHD levels in EG patients were higher than those in CG patients (P<0.05). 25OHD, 25-hydroxyvitamin D; CG, control group; EG, experimental group; *P<0.05; EG vs. CG after 12 weeks; **P<0.05; EG vs. CG after 24 weeks.

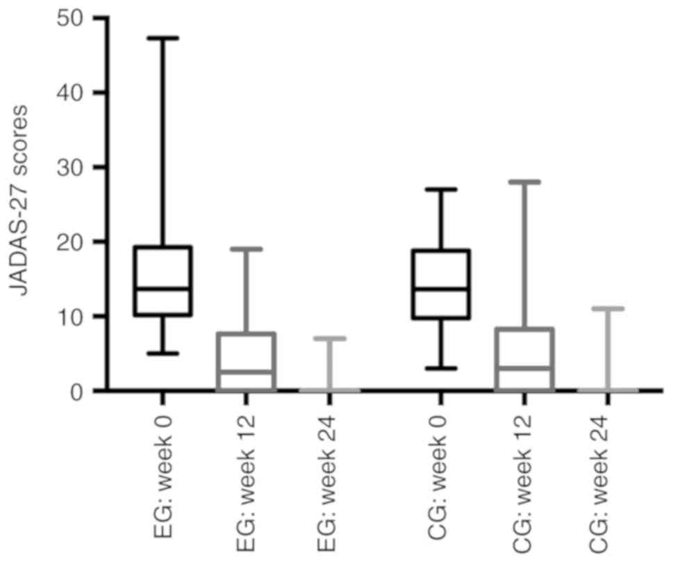
JADAS-27 score

The JADAS-27 score for 18 patients who received vitamin D supplementation was no better than that in the CG at week 12 or at the end of the study [week 12: 4.56 vs. 4.56, respectively, P>0.05; week 24: 0.94 vs. 1.06, respectively; P>0.05]. They all exhibited good outcomes in terms of clinical characteristics as 38.89% of the patients in the EG recorded a JADAS-17 score of 0 at week 12, whereas 83.33% achieved this score at week 24; and percentages in the CG were 37.50 and 83.33%, respectively (Fig. 2).

Figure 2.

JADAS-27 scores for the EG and CG. There was no significant difference in the JADAS-27 scores for the two groups after 12 or 24 weeks of supplementation with 25OHD. 250HD, 25-hydroxyvitamin D; CG, control group; EG, experimental group; JADAS-27, 27-joint Juvenile Arthritis Disease Activity Score.

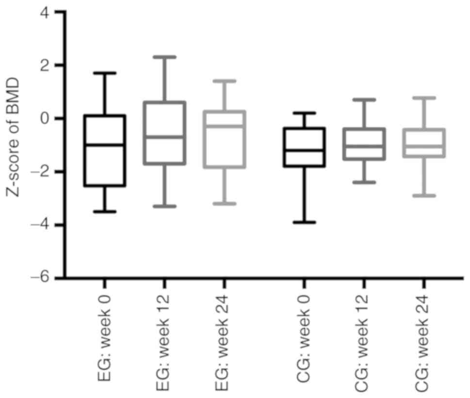
BMD

The one-sample Kolmogorov-Smirnov test revealed that BMD data showed a normal distribution. The one-way analysis of variance and related-samples Friedman's two-way ANOVA by rank tests showed no significant differences in the Z-score for BMD in either group at week 24 (P>0.05). There were no significant differences between the EG and CG at 12 or 24 weeks (−0.68 vs. −0.95, respectively; P>0.05, at week 12; −0.61 vs. −0.97, respectively; P>0.05, at week 24; Fig. 3).

Figure 3.

Z-scores for bone mineral density for the EG and CG. There was no significant difference in the Z-scores for either group after 12 and 24 weeks of supplementation with 25OHD. 25OHD, 25-hydroxyvitamin D; CG, control group; EG, experimental group.

In the present study, five patients with systemic JIA (nEG=3, nCG=4) were treated with glucocorticoids (Table III). The cumulative doses of glucocorticoids in 6 months showed no significant differences between the two groups (2249.17 vs. 2117.50, respectively; P>0.05)

Table III.

Glucocorticoid therapy of JIA patients according to treatment group.

Table III.

Glucocorticoid therapy of JIA patients according to treatment group.

NumberGroupCumulative dose mg, (6 months)
1EG1617.5
2EG2850
3EG2280
4CG3132.5
5CG2585
6CG1215
7CG1537.5

[i] EG: Experimental Group, CG: Control Group, Cumulative dose: Cumulative dose of glucocorticoids in 6 months.

Above all the patients, only 4 patients' serum 25OHD concentrations of <80 nmol/l; half of these (n=2) showed a significant benefit in terms of BMD (P<0.05).

Supplementation was well tolerated, with no safety issues for either group. No serious adverse events were recorded, and no patients had kidney calculi, liver damage, hypercalcemia, or gastrointestinal symptoms.

Discussion

Taken together, the findings presented above suggest that cholecalciferol supplementation (2,000 IU per day) for 24 weeks led to a significant increase in serum 25OHD levels in JIA patients but did not reduce disease activity or improve BMD.

The number of participants was small. Only 60 patients with JIA are diagnosed at the Children's Hospital of Chongqing Medical University each year, and the number of treatment-naive patients is even lower than this. A single-center study may also suffer from selection bias. Despite these limitations, to the best of our knowledge, the present work is the first to examine the outcomes of cholecalciferol supplementation (2,000 IU per day) in Southwestern China. The results of the present study revealed that 2,000 IU per day of vitamin D supplementation was safe. Future work examining the effects of high dose supplementation will be needed to clarify the relationship between JIA and vitamin D.

A previous study showed that the immunomodulatory effects of cholecalciferol were only observed in individuals for whom the 25OHD increased to more than 100 nmol/l and any beneficial effect disappeared when serum levels dropped below 100 nmol/l (26). Other reports revealed that the anti-inflammatory benefits of vitamin D were due to increased expression of toll-like receptor 2 (TLR2) by peripheral blood mononuclear cells and reduced TLR2-mediated production of tumor necrosis factor-α, interleukin-6, and interferon-γ. These cytokines promoted local inflammation, leading to tissue damage and expression of auto-antigens, which then triggered autoreactive immune responses in JIA (1,27,28).

In China, the daily amount of vitamin D recommended by the Chinese Nutrition Society is 400 IU/d (10 µg/d) (29); the tolerable upper intake level is 1800 IU/d (45 µg/d). In the present study a safe oral dose was defined as 2,000 IU/d (30). Therefore, after week 24 of supplementation, serum 25OHD reached 100 nmol/l only in one patient. This result may be due to insufficient vitamin D supplementation. This is supported by a study of systemic lupus erythematosus patients who received 50,000 IU/week (19).

The lack of change in BMD noted between the groups may be because serum 25OHD levels were below the functional threshold. According to some reports, serum 25OHD concentrations of more than 80 nmol/l facilitate calcium absorption in the intestine (31,32). In the present study, only four patients reached this level; half of these (n=2) showed a significant benefit in terms of BMD (P<0.05).

Disease activity in each group decreased significantly after 12 weeks, but differences of JADAS-27 between and within the two groups were not clear. The plasma half-life of 25OHD is 3 weeks (33). Plasma levels of 25OHD stabilize after three to four half-lives (about 12 weeks); however, it was not possible to reduce the follow-up period in the present study to detect potential differences before this time. A tool that can measure disease activity more accurately may be needed for future studies.

It is important not to ignore the fact that Glucocorticoids/methylprednisolone used in systemic JIA may affect the outcome of the present study. Because JIA is a heterogeneous group of diseases, usually only glucocorticoids/methylprednisolone are used for the treatment of systemic JIA, which resembles more an auto-inflammatory disease than an autoimmune disease (34). Treatment may have a strong effect on BMD and JIA disease activity indexes. However, in the present study, five patients with systemic JIA (nEG=3, nCG=4) were treated with glucocorticoids still showed no statistically significant difference (2249.17 vs. 2117.50, respectively; P>0.05)

High dose, randomized, double-blinded, controlled studies with a greater number of subjects are required to fully examine the benefits of vitamin D and it's in vivo role in JIA patients. It would be interesting to examine serum levels of 25OHD and disease activity changes in patients with JIA during and after pregnancy (35).

Acknowledgements

The authors would like to thank Dr Zhang Zhiyong, Dr An Yunfei and Dr Ding Yuan for aiding in the selection of participants (all, Department of Rheumatology and Immunology, Children's Hospital of Chongqing Medical University).

Funding

The project was supported by Children's Hospital of Chongqing Medical University and Chongqing City Health and Family Planning Committee (grant no. 2016MSXM033).

Availability of data and materials

The datasets used and/or analyzed during the current study are available from the corresponding author on reasonable request.

Authors' contributions

TX, TT, ZY and LC designed and supervised the study. TT, LM, XL and TX performed the experiments, with help from all the other authors. TT, ZY and LC analyzed the data, while TT and TX wrote the manuscript. All authors read and approved the final form of manuscript.

Ethics approval and consent to participate

The experimental protocol was established, according to the ethical guidelines of the Helsinki Declaration and was approved by the Institutional Review Board of Children's Hospital of Chongqing Medical University. Written informed consent was obtained from individual or guardian participants.

Patient consent for publication

In the present clinical trial, the patient's guardian signed a written informed consent to publish any relevant data.

Competing interests

The authors declare that they have no competing interests.

References

1 

Prakken B, Albani S and Martini A: Juvenile idiopathic arthritis. Lancet. 377:2138–2149. 2011. View Article : Google Scholar : PubMed/NCBI

2 

Martini A and Lovell DJ: Juvenile idiopathic arthritis: State of the art and future perspectives. Ann Rheum Dis. 69:1260–1263. 2010. View Article : Google Scholar : PubMed/NCBI

3 

Bracaglia C, Prencipe G and Benedetti FD: Macrophage Activation Syndrome: Different mechanisms leading to a one clinical syndrome. Pediatr Rheumatol Online J. 15:52017. View Article : Google Scholar : PubMed/NCBI

4 

Tappeiner C, Klotsche J, Sengler C, et al: Risk factors and biomarkers for the occurrence of uveitis in JIA: Data from the Inception Cohort of Newly diagnosed patients with Juvenile Idiopathic Arthritis (ICON-JIA) study. Arthritis Rheumatol. 2018:[J]. https://doi.org/10.1002/art.40544

5 

DeLuca HF: Overview of general physiologic features and functions of vitamin D. Am J Clin Nutr. 80 (Suppl):1689S–1696S. 2004. View Article : Google Scholar : PubMed/NCBI

6 

White JH: Vitamin D metabolism and signaling in the immune system. Rev Endocr Metab Disord. 13:21–29. 2012. View Article : Google Scholar : PubMed/NCBI

7 

Kamen DL and Tangpricha V: Vitamin D and molecular actions on the immune system: Modulation of innate and autoimmunity. J Mol Med (Berl). 88:441–450. 2010. View Article : Google Scholar : PubMed/NCBI

8 

White JH: Vitamin D metabolism and signaling in the immune system. Rev Endocr Metab Disord. 13:21–29. 2012. View Article : Google Scholar : PubMed/NCBI

9 

Maddaloni E, Cavallari I, Napoli N and Conte C: Vitamin D and diabetes mellitus. Front Horm Res. 50:161–176. 2018. View Article : Google Scholar : PubMed/NCBI

10 

Jeffery LE, Raza K and Hewison M: Vitamin D in rheumatoid arthritis-towards clinical application. Rheumatol. 12:201–210. 2016.

11 

Iruretagoyena M, Hirigoyen D, Naves R and Burgos PI: Immune response modulation by vitamin D: Role in systemic lupus erythematosus. Front Immunol. 6:5132015. View Article : Google Scholar : PubMed/NCBI

12 

Lima GL, Paupitz J, Aikawa NE, Takayama L, Bonfa E and Pereira RM: Vitamin D supplementation in adolescents and young adults with juvenile systemic lupus erythematosus for improvement in disease activity and fatigue scores: A randomized, double-blind, placebo-controlled trial. Arthritis Care Res (Hoboken). 68:91–98. 2016. View Article : Google Scholar : PubMed/NCBI

13 

Finch SL, Rosenberg AM and Vatanparast H: Vitamin D and juvenile idiopathic arthritis. Pediatr Rheumatol Online J. 16:342018. View Article : Google Scholar : PubMed/NCBI

14 

Bouaddi I, Rostom S, El Badri D, Hassani A, Chkirate B, Abouqal R, Amine B and Hajjaj-Hassouni N: Vitamin D concentrations and disease activity in Moroccan children with juvenile idiopathic arthritis. BMC Musculoskelet Disord. 15:1152014. View Article : Google Scholar : PubMed/NCBI

15 

Çomak E, Doğan ÇS, Uslugökçeoğlu A, et al: Association between vitamin D deficiency and disease activity in juvenile idiopathic arthritis. Turk J Pediatr. 71 (Suppl 3):702. 2013.

16 

Pelajo CF, Lopez-Benitez JM, Kent DM, Price LL, Miller LC and Dawson-Hughes B: 25-hydroxyvitamin D levels and juvenile idiopathic arthritis: Is there an association with disease activity? Rheumatol Int. 32:3923–3929. 2012. View Article : Google Scholar : PubMed/NCBI

17 

Tang T, Tang X, Xu L, Huang Y, Zeng J and Li Q: Evaluation of bone mass in children and young adults with juvenile idiopathic arthritis. Clin Exp Rheumatol. 33:758–764. 2015.PubMed/NCBI

18 

Lima GL, Paupitz J, Aikawa NE, et al: A randomized double-blind placebo-controlled trial of vitamin D supplementation in adolescents and young adults with Juvenile-onset SLE: Improvement in disease activity and fatigue scores. Arthritis Care Res (Hoboken). 68:912015. View Article : Google Scholar

19 

Ellis JA, Scurrah KJ, Li YR, Ponsonby AL, Chavez RA, Pezic A, Dwyer T, Akikusa JD, Allen RC, Becker ML, et al: Epistasis amongst PTPN2 and genes of the vitamin D pathway contributes to risk of juvenile idiopathic arthritis. J Steroid Biochem Mol Biol. 145:113–120. 2015. View Article : Google Scholar : PubMed/NCBI

20 

Çomak E, Doǧan CS, Gökçeoglu AU, et al: Evaluation of vitamin D levels in children with juvenile idiopathic arthritis. Çocuk Sagligi Hastalik Derg. 55:191–196. 2012.

21 

Zwerina K, Baum W, Axmann R, Heiland GR, Distler JH, Smolen J, Hayer S, Zwerina J and Schett G: Vitamin D receptor regulates TNF-mediated arthritis. Ann Rheum Dis. 70:1122–1129. 2011. View Article : Google Scholar : PubMed/NCBI

22 

Stagi S, Bertini F, Cavalli L, Matucci-Cerinic M, Brandi ML and Falcini F: Determinants of vitamin D levels in children, adolescents, and young adults with juvenile idiopathic arthritis. J Rheumatol. 41:1884–1892. 2014. View Article : Google Scholar : PubMed/NCBI

23 

Petty RE, Southwood TR, Manners P, Baum J, Glass DN, Goldenberg J, He X, Maldonado-Cocco J, Orozco-Alcala J, Prieur AM, et al International League of Associations for Rheumatology, : International League of Associations for Rheumatology classification of juvenile idiopathic arthritis: Second revision, Edmonton, 2001. J Rheumatol. 31:390–392. 2004.PubMed/NCBI

24 

Consolaro A, Ruperto N, Bazso A, Pistorio A, Magni-Manzoni S, Filocamo G, Malattia C, Viola S, Martini A and Ravelli A; Paediatric Rheumatology International Trials Organisation, : Development and validation of a composite disease activity score for juvenile idiopathic arthritis. Arthritis Rheum. 61:658–666. 2009. View Article : Google Scholar : PubMed/NCBI

25 

Holick MF, Binkley NC, Bischoff-Ferrari HA, Gordon CM, Hanley DA, Heaney RP, Murad MH and Weaver CM; Endocrine Society, : Evaluation, treatment, and prevention of vitamin D deficiency: An Endocrine Society clinical practice guideline. J Clin Endocrinol Metab. 96:1911–1930. 2011. View Article : Google Scholar : PubMed/NCBI

26 

Ojaimi S, Skinner NA, Strauss BJ, Sundararajan V, Woolley I and Visvanathan K: Vitamin D deficiency impacts on expression of toll-like receptor-2 and cytokine profile: A pilot study. J Transl Med. 11:1762013. View Article : Google Scholar : PubMed/NCBI

27 

Jarvis JN, Jiang K, Frank MB, Knowlton N, Aggarwal A, Wallace CA, McKee R, Chaser B, Tung C, Smith LB, et al: Gene expression profiling in neutrophils from children with polyarticular juvenile idiopathic arthritis. Arthritis Rheum. 60:1488–1495. 2009. View Article : Google Scholar : PubMed/NCBI

28 

Gregorio A, Gambini C, Gerloni V, Parafioriti A, Sormani MP, Gregorio S, De Marco G, Rossi F, Martini A, et al: Lymphoid neogenesis in juvenile idiopathic arthritis correlates with ANA positivity and plasma cells infiltration. Rheumatology (Oxford). 46:308–313. 2007. View Article : Google Scholar : PubMed/NCBI

29 

Chinese Nutrition Society. Dietary nutrient intake for Chinese residents (M)(in Chinese). China light industry press; 2010

30 

John N: Hathcock. (3rd). Vitamin and Mineral Safety. 33–36. 2014.

31 

Heaney RP, Dowell MS, Hale CA and Bendich A: Calcium absorption varies within the reference range for serum 25-hydroxyvitamin D. J Am Coll Nutr. 22:142–146. 2003. View Article : Google Scholar : PubMed/NCBI

32 

Abrams SA, Hicks PD and Hawthorne KM: Higher serum 25-hydroxyvitamin D levels in school-age children are inconsistently associated with increased calcium absorption. J Clin Endocrinol Metab. 94:2421–2427. 2009. View Article : Google Scholar : PubMed/NCBI

33 

Zerwekh JE: Blood biomarkers of vitamin D status. Am J Clin Nutr. 87:1087S–1091S. 2008.[J]. View Article : Google Scholar : PubMed/NCBI

34 

Mellins ED, Macaubas C and Grom AA: Pathogenesis of systemic juvenile idiopathic arthritis: Some answers, more questions. Nat Rev Rheumatol. 7:416–426. 2011.[J]. View Article : Google Scholar : PubMed/NCBI

35 

Ursin K, Lydersen S, Skomsvoll JF and Wallenius M: Disease Activity of Juvenile Idiopathic Arthritis during and after Pregnancy: A Prospective Multicenter Study. J Rheumatol. 45:257–265. 2018. View Article : Google Scholar : PubMed/NCBI

Related Articles

  • Abstract
  • View
  • Download
  • Twitter
Copy and paste a formatted citation
Spandidos Publications style
Tang T, Zhang Y, Luo C, Liu M, Xu L and Tang X: Adjunctive vitamin D for the treatment of active juvenile idiopathic arthritis: An open‑label, prospective, randomized controlled trial. Exp Ther Med 18: 4921-4926, 2019.
APA
Tang, T., Zhang, Y., Luo, C., Liu, M., Xu, L., & Tang, X. (2019). Adjunctive vitamin D for the treatment of active juvenile idiopathic arthritis: An open‑label, prospective, randomized controlled trial. Experimental and Therapeutic Medicine, 18, 4921-4926. https://doi.org/10.3892/etm.2019.8133
MLA
Tang, T., Zhang, Y., Luo, C., Liu, M., Xu, L., Tang, X."Adjunctive vitamin D for the treatment of active juvenile idiopathic arthritis: An open‑label, prospective, randomized controlled trial". Experimental and Therapeutic Medicine 18.6 (2019): 4921-4926.
Chicago
Tang, T., Zhang, Y., Luo, C., Liu, M., Xu, L., Tang, X."Adjunctive vitamin D for the treatment of active juvenile idiopathic arthritis: An open‑label, prospective, randomized controlled trial". Experimental and Therapeutic Medicine 18, no. 6 (2019): 4921-4926. https://doi.org/10.3892/etm.2019.8133
Copy and paste a formatted citation
x
Spandidos Publications style
Tang T, Zhang Y, Luo C, Liu M, Xu L and Tang X: Adjunctive vitamin D for the treatment of active juvenile idiopathic arthritis: An open‑label, prospective, randomized controlled trial. Exp Ther Med 18: 4921-4926, 2019.
APA
Tang, T., Zhang, Y., Luo, C., Liu, M., Xu, L., & Tang, X. (2019). Adjunctive vitamin D for the treatment of active juvenile idiopathic arthritis: An open‑label, prospective, randomized controlled trial. Experimental and Therapeutic Medicine, 18, 4921-4926. https://doi.org/10.3892/etm.2019.8133
MLA
Tang, T., Zhang, Y., Luo, C., Liu, M., Xu, L., Tang, X."Adjunctive vitamin D for the treatment of active juvenile idiopathic arthritis: An open‑label, prospective, randomized controlled trial". Experimental and Therapeutic Medicine 18.6 (2019): 4921-4926.
Chicago
Tang, T., Zhang, Y., Luo, C., Liu, M., Xu, L., Tang, X."Adjunctive vitamin D for the treatment of active juvenile idiopathic arthritis: An open‑label, prospective, randomized controlled trial". Experimental and Therapeutic Medicine 18, no. 6 (2019): 4921-4926. https://doi.org/10.3892/etm.2019.8133
Follow us
  • Twitter
  • LinkedIn
  • Facebook
About
  • Spandidos Publications
  • Careers
  • Cookie Policy
  • Privacy Policy
How can we help?
  • Help
  • Live Chat
  • Contact
  • Email to our Support Team