Spandidos Publications Logo
  • About
    • About Spandidos
    • Aims and Scopes
    • Abstracting and Indexing
    • Editorial Policies
    • Reprints and Permissions
    • Job Opportunities
    • Terms and Conditions
    • Contact
  • Journals
    • All Journals
    • Oncology Letters
      • Oncology Letters
      • Information for Authors
      • Editorial Policies
      • Editorial Board
      • Aims and Scope
      • Abstracting and Indexing
      • Bibliographic Information
      • Archive
    • International Journal of Oncology
      • International Journal of Oncology
      • Information for Authors
      • Editorial Policies
      • Editorial Board
      • Aims and Scope
      • Abstracting and Indexing
      • Bibliographic Information
      • Archive
    • Molecular and Clinical Oncology
      • Molecular and Clinical Oncology
      • Information for Authors
      • Editorial Policies
      • Editorial Board
      • Aims and Scope
      • Abstracting and Indexing
      • Bibliographic Information
      • Archive
    • Experimental and Therapeutic Medicine
      • Experimental and Therapeutic Medicine
      • Information for Authors
      • Editorial Policies
      • Editorial Board
      • Aims and Scope
      • Abstracting and Indexing
      • Bibliographic Information
      • Archive
    • International Journal of Molecular Medicine
      • International Journal of Molecular Medicine
      • Information for Authors
      • Editorial Policies
      • Editorial Board
      • Aims and Scope
      • Abstracting and Indexing
      • Bibliographic Information
      • Archive
    • Biomedical Reports
      • Biomedical Reports
      • Information for Authors
      • Editorial Policies
      • Editorial Board
      • Aims and Scope
      • Abstracting and Indexing
      • Bibliographic Information
      • Archive
    • Oncology Reports
      • Oncology Reports
      • Information for Authors
      • Editorial Policies
      • Editorial Board
      • Aims and Scope
      • Abstracting and Indexing
      • Bibliographic Information
      • Archive
    • Molecular Medicine Reports
      • Molecular Medicine Reports
      • Information for Authors
      • Editorial Policies
      • Editorial Board
      • Aims and Scope
      • Abstracting and Indexing
      • Bibliographic Information
      • Archive
    • World Academy of Sciences Journal
      • World Academy of Sciences Journal
      • Information for Authors
      • Editorial Policies
      • Editorial Board
      • Aims and Scope
      • Abstracting and Indexing
      • Bibliographic Information
      • Archive
    • International Journal of Functional Nutrition
      • International Journal of Functional Nutrition
      • Information for Authors
      • Editorial Policies
      • Editorial Board
      • Aims and Scope
      • Abstracting and Indexing
      • Bibliographic Information
      • Archive
    • International Journal of Epigenetics
      • International Journal of Epigenetics
      • Information for Authors
      • Editorial Policies
      • Editorial Board
      • Aims and Scope
      • Abstracting and Indexing
      • Bibliographic Information
      • Archive
    • Medicine International
      • Medicine International
      • Information for Authors
      • Editorial Policies
      • Editorial Board
      • Aims and Scope
      • Abstracting and Indexing
      • Bibliographic Information
      • Archive
  • Articles
  • Information
    • Information for Authors
    • Information for Reviewers
    • Information for Librarians
    • Information for Advertisers
    • Conferences
  • Language Editing
Spandidos Publications Logo
  • About
    • About Spandidos
    • Aims and Scopes
    • Abstracting and Indexing
    • Editorial Policies
    • Reprints and Permissions
    • Job Opportunities
    • Terms and Conditions
    • Contact
  • Journals
    • All Journals
    • Biomedical Reports
      • Information for Authors
      • Editorial Policies
      • Editorial Board
      • Aims and Scope
      • Abstracting and Indexing
      • Bibliographic Information
      • Archive
    • Experimental and Therapeutic Medicine
      • Information for Authors
      • Editorial Policies
      • Editorial Board
      • Aims and Scope
      • Abstracting and Indexing
      • Bibliographic Information
      • Archive
    • International Journal of Epigenetics
      • Information for Authors
      • Editorial Policies
      • Editorial Board
      • Aims and Scope
      • Abstracting and Indexing
      • Bibliographic Information
      • Archive
    • International Journal of Functional Nutrition
      • Information for Authors
      • Editorial Policies
      • Editorial Board
      • Aims and Scope
      • Abstracting and Indexing
      • Bibliographic Information
      • Archive
    • International Journal of Molecular Medicine
      • Information for Authors
      • Editorial Policies
      • Editorial Board
      • Aims and Scope
      • Abstracting and Indexing
      • Bibliographic Information
      • Archive
    • International Journal of Oncology
      • Information for Authors
      • Editorial Policies
      • Editorial Board
      • Aims and Scope
      • Abstracting and Indexing
      • Bibliographic Information
      • Archive
    • Medicine International
      • Information for Authors
      • Editorial Policies
      • Editorial Board
      • Aims and Scope
      • Abstracting and Indexing
      • Bibliographic Information
      • Archive
    • Molecular and Clinical Oncology
      • Information for Authors
      • Editorial Policies
      • Editorial Board
      • Aims and Scope
      • Abstracting and Indexing
      • Bibliographic Information
      • Archive
    • Molecular Medicine Reports
      • Information for Authors
      • Editorial Policies
      • Editorial Board
      • Aims and Scope
      • Abstracting and Indexing
      • Bibliographic Information
      • Archive
    • Oncology Letters
      • Information for Authors
      • Editorial Policies
      • Editorial Board
      • Aims and Scope
      • Abstracting and Indexing
      • Bibliographic Information
      • Archive
    • Oncology Reports
      • Information for Authors
      • Editorial Policies
      • Editorial Board
      • Aims and Scope
      • Abstracting and Indexing
      • Bibliographic Information
      • Archive
    • World Academy of Sciences Journal
      • Information for Authors
      • Editorial Policies
      • Editorial Board
      • Aims and Scope
      • Abstracting and Indexing
      • Bibliographic Information
      • Archive
  • Articles
  • Information
    • For Authors
    • For Reviewers
    • For Librarians
    • For Advertisers
    • Conferences
  • Language Editing
Login Register Submit
  • This site uses cookies
  • You can change your cookie settings at any time by following the instructions in our Cookie Policy. To find out more, you may read our Privacy Policy.

    I agree
Search articles by DOI, keyword, author or affiliation
Search
Advanced Search
presentation
Experimental and Therapeutic Medicine
Join Editorial Board Propose a Special Issue
Print ISSN: 1792-0981 Online ISSN: 1792-1015
Journal Cover
August-2020 Volume 20 Issue 2

Full Size Image

Sign up for eToc alerts
Recommend to Library

Journals

International Journal of Molecular Medicine

International Journal of Molecular Medicine

International Journal of Molecular Medicine is an international journal devoted to molecular mechanisms of human disease.

International Journal of Oncology

International Journal of Oncology

International Journal of Oncology is an international journal devoted to oncology research and cancer treatment.

Molecular Medicine Reports

Molecular Medicine Reports

Covers molecular medicine topics such as pharmacology, pathology, genetics, neuroscience, infectious diseases, molecular cardiology, and molecular surgery.

Oncology Reports

Oncology Reports

Oncology Reports is an international journal devoted to fundamental and applied research in Oncology.

Experimental and Therapeutic Medicine

Experimental and Therapeutic Medicine

Experimental and Therapeutic Medicine is an international journal devoted to laboratory and clinical medicine.

Oncology Letters

Oncology Letters

Oncology Letters is an international journal devoted to Experimental and Clinical Oncology.

Biomedical Reports

Biomedical Reports

Explores a wide range of biological and medical fields, including pharmacology, genetics, microbiology, neuroscience, and molecular cardiology.

Molecular and Clinical Oncology

Molecular and Clinical Oncology

International journal addressing all aspects of oncology research, from tumorigenesis and oncogenes to chemotherapy and metastasis.

World Academy of Sciences Journal

World Academy of Sciences Journal

Multidisciplinary open-access journal spanning biochemistry, genetics, neuroscience, environmental health, and synthetic biology.

International Journal of Functional Nutrition

International Journal of Functional Nutrition

Open-access journal combining biochemistry, pharmacology, immunology, and genetics to advance health through functional nutrition.

International Journal of Epigenetics

International Journal of Epigenetics

Publishes open-access research on using epigenetics to advance understanding and treatment of human disease.

Medicine International

Medicine International

An International Open Access Journal Devoted to General Medicine.

Journal Cover
August-2020 Volume 20 Issue 2

Full Size Image

Sign up for eToc alerts
Recommend to Library

  • Article
  • Citations
    • Cite This Article
    • Download Citation
    • Create Citation Alert
    • Remove Citation Alert
    • Cited By
  • Similar Articles
    • Related Articles (in Spandidos Publications)
    • Similar Articles (Google Scholar)
    • Similar Articles (PubMed)
  • Download PDF
  • Download XML
  • View XML

  • Supplementary Files
    • Supplementary_Data.pdf
Article Open Access

H2Mab‑19, an anti‑human epidermal growth factor receptor 2 monoclonal antibody exerts antitumor activity in mouse oral cancer xenografts

  • Authors:
    • Junko Takei
    • Mika Kato Kaneko
    • Tomokazu Ohishi
    • Manabu Kawada
    • Hiroyuki Harada
    • Yukinari Kato
  • View Affiliations / Copyright

    Affiliations: Department of Antibody Drug Development, Tohoku University Graduate School of Medicine, Sendai, Miyagi 980‑8575, Japan, Institute of Microbial Chemistry (BIKAKEN), Numazu, Microbial Chemistry Research Foundation, Numazu‑shi, Shizuoka 410‑0301, Japan, Department of Oral and Maxillofacial Surgery, Graduate School of Medical and Dental Sciences, Tokyo Medical and Dental University, Tokyo 113‑8510, Japan
    Copyright: © Takei et al. This is an open access article distributed under the terms of Creative Commons Attribution License [CC BY 4.0].
  • Pages: 846-853
    |
    Published online on: May 18, 2020
       https://doi.org/10.3892/etm.2020.8765
  • Expand metrics +
Metrics: Total Views: 0 (Spandidos Publications: | PMC Statistics: )
Metrics: Total PDF Downloads: 0 (Spandidos Publications: | PMC Statistics: )
Cited By (CrossRef): 0 citations Loading Articles...

This article is mentioned in:



Abstract

Human epidermal growth factor receptor 2 (HER2) is reported to be overexpressed in breast cancers and is associated with poor clinical outcome. Trastuzumab is a humanized anti‑HER2 antibody that offers significant survival benefits to patients with HER2‑overexpressing breast cancer. In this study, a novel anti‑HER2 monoclonal antibody (mAb), H2Mab‑19 (IgG2b, kappa) was developed. Antibody‑dependent cellular cytotoxicity (ADCC), complement‑dependent cytotoxicity (CDC), and antitumor activity of H2Mab‑19 were investigated using both breast cancer and oral cancer cell lines. H2Mab‑19 demonstrated cytotoxicity in BT‑474 (a human breast cancer cell line) and HSC‑2 or SAS (human oral cancer cell lines). H2Mab‑19 also possessed both ADCC and CDC activity against BT‑474, HSC‑2, and SAS cell lines. In comparison to control mouse IgG, H2Mab‑19 significantly reduced tumor development in BT‑474, HSC‑2, and SAS xenografts. Collectively, these results suggest that treatment with H2Mab‑19 may be a useful therapy for patients with HER2‑expressing breast and oral cancers.

Introduction

The overexpression of human epidermal growth factor receptor 2 (HER2) is reported in breast (1,2), gastric (3), pancreatic (4), lung (5), and colorectal cancers (6). This expression is associated with poor clinical outcomes in patients with HER2-positive breast cancer (1,2). Humanized anti-HER2 monoclonal antibodies (mAbs) trastuzumab and pertuzumab have been used in the treatment of HER2-positive breast cancer (7-9). Treatment with trastuzumab resulted in significant survival benefits these patients (10). In comparison to trastuzumab monotherapy, the combination of trastuzumab and pertuzumab with chemotherapy has led to significant improvements in overall survival (11).

Trastuzumab deruxtecan (DS-8201), a recently developed drug, is comprised of three components, a novel enzyme-cleavable linker, and a topoisomerase I inhibitor (12). Even in low-HER2-expressing tumors, DS-8201 shows antitumor activity. This drug has several innovative features: i) a highly potent, novel payload with a high drug-to-antibody ratio, ii) good homogeneity, iii) a tumor-selective cleavable linker, iv) a stable linker-payload in circulation, and v) a cytotoxic agent with a short in vivo half-life in vivo (13). Furthermore, the cytotoxic payload can exert a bystander effect (13).

The novel anti-HER2 mAb (H2Mab-19) developed in this study was investigated for its antitumor activities in mouse xenograft models of breast and oral cancers. These properties have not been previously investigated with regard to HER2 expression.

Materials and methods

Cell lines

Oral squamous carcinoma cell lines including Ca9-22 (derived from gingiva), HO-1-u-1 (mouth floor), HSC-2 (oral cavity), and SAS (tongue) were obtained from the Japanese Collection of Research Bioresources Cell Bank (Osaka, Japan). LN229 (glioblastoma cell line), MDA-MB-468 (breast cancer), BT-474 (breast cancer), and P3U1 (mouse myeloma) were obtained from the American Type Culture Collection. LN229/HER2 cells were established in a previous study (14). P3U1 cells were cultured in RPMI-1640 medium (Nacalai Tesque, Inc., Kyoto, Japan). LN229, LN229/HER2, MDA-MB-468, BT-474, Ca9-22, HO-1-u-1, HSC-2, and SAS were cultured in Dulbecco's modified Eagle's medium (DMEM; Nacalai Tesque, Inc.) supplemented with 10% heat-inactivated fetal bovine serum (Thermo Fisher Scientific Inc.), 100 units/ml of penicillin, 100 µg/ml streptomycin, and 25 µg/ml amphotericin B (Nacalai Tesque, Inc.) at 37°C in a humidified atmosphere containing 5% CO2.

Animals

All animal experiments were performed in accordance with relevant guidelines and regulations to minimize animal suffering and distress in the laboratory. Animal experiments for hybridoma production were approved by the Animal Care and Use Committee of Tohoku University (permit no. 2016MdA-153). Animal health was monitored daily. Animal studies for Antibody-Dependent Cellular Cytotoxicity were approved by the institutional committee for experiments of the Institute of Microbial Chemistry (permit no. 2019-066). Animal studies for antitumor activity were approved by the institutional committee for experiments of the Institute of Microbial Chemistry (permit no. 2019-014). Mice were monitored for health and weight every 3 or 4 days. Experiment duration was three weeks. A bodyweight loss exceeding 25% and a maximum tumor size exceeding 3,000 mm3 were identified as humane endpoints. Mice were euthanized by cervical dislocation, and the death was verified by respiratory arrest and cardiac arrest.

Hybridoma production

One four-week-old female BALB/c mouse was purchased from CLEA Japan and housed under specific pathogen-free conditions. Anti-HER2 hybridoma cells were produced as described previously (14). Briefly, the BALB/c animal was immunized by intraperitoneal (i.p.) administration of 100 µg recombinant HER2 extracellular domain along with Imject Alum (Thermo Fisher Scientific Inc.). After several additional immunizations, a booster dose was administered i.p. 2 days before harvesting spleen cells. Mice were euthanized by cervical dislocation, and the death was verified by respiratory arrest and cardiac arrest. Spleen cells were then fused with P3U1 cells using PEG1500 (Roche Diagnostics, Indianapolis, IN, USA). The resulting hybridoma cells were grown in RPMI medium supplemented with hypoxanthine, aminopterin, and thymidine selection medium (Thermo Fisher Scientific, Inc.). Culture supernatants were screened using enzyme-linked immunosorbent assays with recombinant HER2 extracellular domain. mAbs were purified from the supernatants of hybridoma cells and cultured in Hybridoma-SFM medium (Thermo Fisher Scientific, Inc.) using Protein G Sepharose 4 Fast Flow (GE Healthcare UK Ltd.).

Flow cytometry

Hybridoma cells were harvested by brief exposure to 0.25% trypsin/1-mM ethylenediaminetetraacetic acid (EDTA; Nacalai Tesque, Inc.). After washing with 0.1% bovine serum albumin in phosphate-buffered saline (PBS), cells were treated with 1 µg/ml anti-HER2 (H2Mab-19) for 30 min at 4°C and subsequently with Alexa Fluor 488-conjugated anti-mouse IgG (1:1,000; Cell Signaling Technology, Inc.). Fluorescence microscopy data were collected using an EC800 Cell Analyzer (Sony Corp.).

Immunohistochemical analyses for formalin-fixed paraffin-embedded (FFPE) tissues

Histologic sections (catalog no. T8235721-5; lot no. B104066; BioChain Institute Inc.) were purchased in this study. Four-µm histologic sections from paraffin blocks of resected xenografts were also produced. These sections were deparaffinized in xylene, then rehydrated and autoclaved in citrate buffer (pH 6.0; Agilent Technologies Inc.) for 20 min. Sections were incubated with primary mAbs for 1 h at room temperature, then treated using an Envision+ kit (Agilent Technologies Inc.) for 30 min. Color was developed using 3,3-diaminobenzidine tetrahydrochloride (Agilent Technologies Inc.) for 2 min, and sections were then counterstained with hematoxylin (FUJIFILM Wako Pure Chemical Corporation).

Immunohistochemical analyses for frozen tissues

Histologic sections (catalog no. T6235086-1, BioChain Institute Inc.) were incubated with 1 µg/ml of primary mAbs for 1 h at room temperature and were then treated using an Envision+ kit (Agilent Technologies Inc.) for 30 min. Color was developed using 3,3-diaminobenzidine tetrahydrochloride (Agilent Technologies Inc.) for 2 min, and sections were then counterstained with hematoxylin (FUJIFILM Wako Pure Chemical Corporation).

Determination of the binding affinity

Cells were suspended in 100 µl serially diluted H2Mab-19 (6 ng/ml-100 µg/ml), followed by the addition of Alexa Fluor 488-conjugated anti-mouse IgG (1:200; Cell Signaling Technology, Inc.). Fluorescence microscopy data were collected using an EC800 Cell Analyzer (Sony Corp.). The dissociation constant (KD) was obtained by fitting binding isotherms to built-in one-site binding models in GraphPad PRISM 6 (GraphPad Software, Inc.).

Antibody-dependent cellular cytotoxicity

Six six-week-old female BALB/c nude mice were purchased from Charles River. After euthanization by cervical dislocation, spleens were removed aseptically and single-cell suspensions obtained by forcing spleen tissues through a stainless steel mesh using a syringe. Erythrocytes were lysed with a 10-sec exposure to ice-cold distilled water. Splenocytes were washed with DMEM and resuspended in DMEM with 10% FBS and used as effector cells. Target cells were labeled with 10-µg/ml Calcein AM (Thermo Fisher Scientific, Inc.) and resuspended in the same medium. The target cells (2x104 cells/well) were plated in 96-well plates and mixed with effector cells, anti-HER2 antibodies, or control IgG (mouse IgG2b) (Sigma-Aldrich Corp.). After a 4-h incubation, the Calcein AM release of supernatant from each well was measured. Fluorescence intensity was determined using a microplate reader (Power Scan HT) (BioTek Instruments) with an excitation wavelength of 485 nm and an emission wavelength of 538 nm. Cytolytic activity (as % of lysis) was calculated as: % lysis=(E-S)/(M-S) x100, where E is fluorescence of combined target and effector cells, S is spontaneous fluorescence of target cells only, and M is maximum fluorescence measured after lysing all cells with a buffer containing 0.5% Triton X-100, 10 mM Tris-HCl (pH 7.4), and 10 mM of EDTA.

Complement-dependent cytotoxicity

Cells in DMEM supplemented with 10% FBS (2x104 cells/well) were plated in 96-well plates., and incubated for 5 h at 37°C with either anti-HER2 antibodies or control IgG (mouse IgG2b) (Sigma-Aldrich Corp.) and 10% of rabbit complement (Low-Tox-M Rabbit Complement) (Cedarlane Laboratories). To assess cell viability, an MTS [3-(4,5-dimethylthiazol-2-yl)-5-(3-carboxymethoxyphenyl)-2-(4-sulfophenyl)-2H-tetrazolium; inner salt] assay was performed using a CellTiter 96 AQueous assay kit (Promega).

Antitumor activity of H2Mab-19 in the xenografts of breast cancers

Sixteen six-week-old female BALB/c nude mice were purchased from Charles River (Kanagawa, Japan) and used at 10 weeks of age. BT-474 cells (0.3 ml of 1.33x108 cells/ml in DMEM) were mixed with 0.5 ml BD Matrigel Matrix Growth Factor Reduced (BD Biosciences). One hundred-µl of this suspension (5x106 cells) was injected subcutaneously into the left flank. After day 1, 100 µg H2Mab-19 and control mouse IgG (Sigma-Aldrich Corp.) in 100 µl PBS were injected i.p. into treated and control mice, respectively. Additional antibodies were then injected on days 7 and 14. Eighteen days after cell implantation, all mice were euthanized by cervical dislocation and tumor diameters and volumes were determined as previously described (15).

Antitumor activity of H2Mab-19 in xenografts of oral cancers

Thirty-two six-week-old female BALB/c nude mice were purchased from Charles River and used at 10 weeks of age. HSC-2 or SAS cells in DMEM (0.3 ml with 1.33x108 cells/ml) were mixed with 0.5 ml BD Matrigel Matrix Growth Factor Reduced (BD Biosciences). A 100-µl suspension containing 5x106 cells was injected subcutaneously into the left flank. After day 1, 100 µg H2Mab-19 and control mouse IgG (Sigma-Aldrich Corp.) in 100 µl PBS were injected i.p. into treated and control mice, respectively. Additional antibodies were then injected on days 6 and 14. Twenty days after cell implantation, all mice were euthanized by cervical dislocation. Tumor diameters and volumes were determined as previously described (15).

Statistical analyses

All data were expressed as mean ± SEM. Statistical analysis used ANOVA and Tukey-Kramer's test with GraphPad Prism 6 (GraphPad Software, Inc.). P<0.05 was considered to indicate a statistically significant difference.

Results

Production of anti-HER2 mAb

One mouse was immunized with the recombinant extracellular domain of HER2(16), purified using the MAP tag system (17). Flow cytometry was performed to check reactions with the LN229 cells (glioblastoma) and HER2-overexpressing LN229 cells (LN229/HER2). LN229 cells endogenously express HER2 and some reaction with these cells was expected. The overexpression of HER2 in LN229/HERS2 cells would produce a stronger reaction. One IgG2b subclass clone of H2Mab-19 was obtained, though almost all mAbs were in the mouse IgG1 subclass. H2Mab-19 reacted with LN229/HER2 and weakly reacted with LN229 cells (Fig. 1A), indicating that H2Mab-19 is specific to HER2.

Figure 1

Characterization of H2Mab-19 using flow cytometry. (A) Glioblastoma cell lines (LN229, LN229/HER2), breast cancer cell lines (MDA-MB-468, BT-474), and oral cancer cell lines (Ca9-22, HO-1-u-1, HSC-2, SAS) were treated with H2Mab-19. Black line is negative control (PBS). (B) Determination of binding affinity of H2Mab-19 for BT-474, HSC-2, and SAS using flow cytometry.

Characterization of H2Mab-19

H2Mab-19 recognized endogenous HER2 in a breast cancer cell line, BT-474, which is HER2-positive (18), but did not react with a breast cancer cell line, MDA-MB-468, which is HER2-negative (18) (Fig. 1A). Further, H2Mab-19 strongly reacted with endogenous HER2 in HO-1-u-1 cells (oral cancer) and only weakly reacted with other oral cancer cell lines, Ca9-22, HSC-2, and SAS (Fig. 1A). Using flow cytometry, binding affinities (KD) of H2Mab-19 to BT-474, HSC-2, and SAS cell lines were 2.3x10-8, 9.5x10-9 and 5.5x10-9 M, respectively. These results indicate that H2Mab-19 maintains high affinity across HER2-expressing cell lines. H2Mab-19 did not stain FFPE-breast cancer tissues (Fig. S1). In contrast, H2Mab-19 reacted with frozen breast cancer tissues although the sensitivity of H2Mab-77 was better than that of H2Mab-19 (Fig. S2).

ADCC and CDC activities against breast and oral squamous cell carcinoma cell lines

This study examined whether H2Mab-19 induced ADCC and CDC in HER2-expressing breast or OSCC cell lines. H2Mab-19 was a mouse IgG2b subclass antibody that could possess both ADCC and CDC. H2Mab-19 exhibited high ADCC activity against BT-474, HSC-2, and SAS cells (Fig. 2A). High CDC activity was also observed in BT-474, HSC-2, and SAS cells (Fig. 2B), suggesting that H2Mab-19 might exert antitumor activity in vivo.

Figure 2

ADCC and CDC activity. (A) ADCC activity against BT474, HSC-2 and SAS cells. (B) CDC activity against BT474, HSC-2 and SAS cells. **P<0.01; *P<0.05; n.s., not significant; ADCC, antibody-dependent cellular cytotoxicity; CDC, complement-dependent cytotoxicity.

Antitumor activity of H2Mab-19 in mouse xenografts of breast cancers

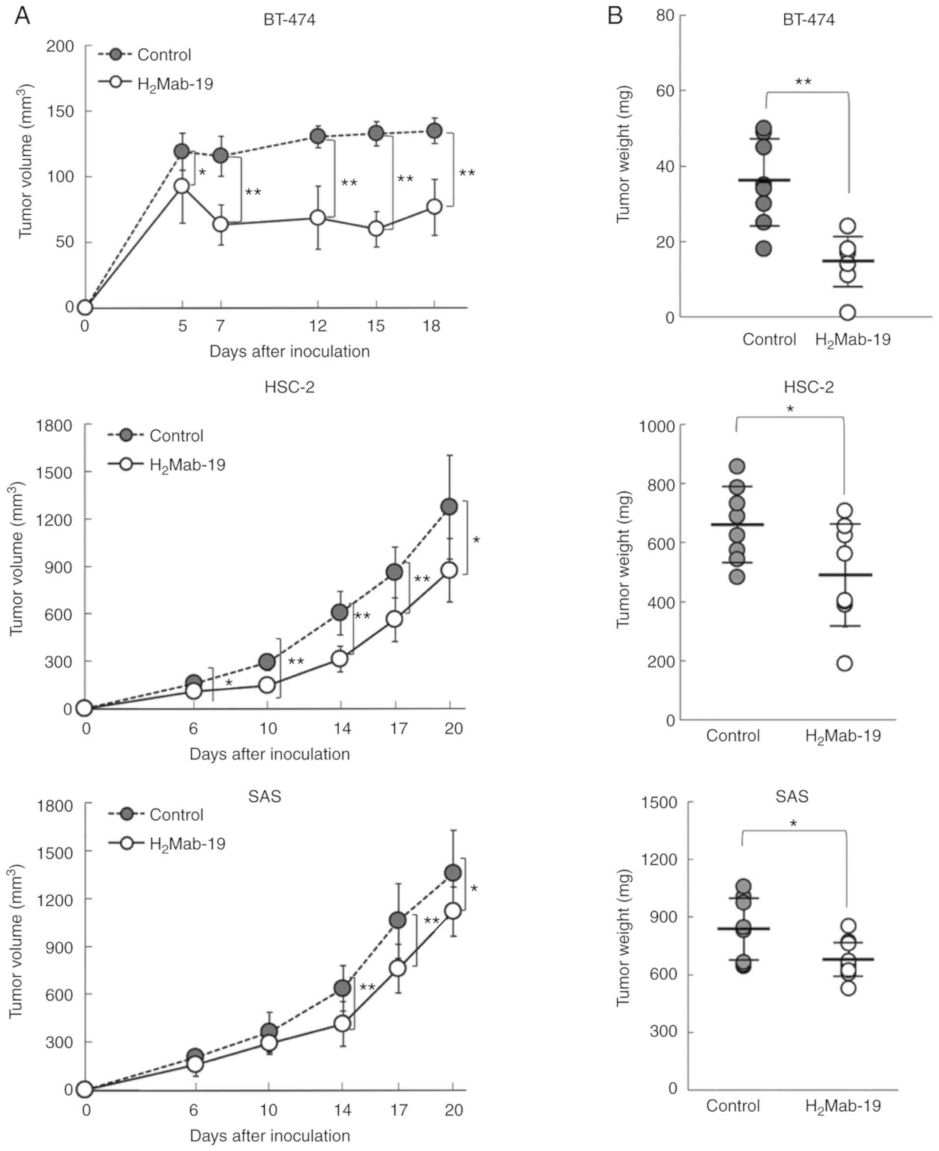
To study the antitumor activity of H2Mab-19 on cell growth in vivo, BT-474 cells were implanted subcutaneously in the flanks of nude mice. H2Mab-19 and control mouse IgG were injected i.p. three times (days 1, 7, and 14 after cell injection) into treated and control mice, respectively. Tumor formation was observed in mice in both H2Mab-19-treated and control groups. H2Mab-19 treatment significantly reduced tumor development compared to development in control mice on days 5, 7, 12, 15, and 18 (Fig. 3A, upper). Weights of tumors from H2Mab-19-treated mice were significantly less than for tumors from IgG-treated control mice (Fig. 3B, upper). BT-474 xenografts on day 18 are shown in Fig. S3A. Resected tumors are depicted in Fig. S3B. Total body weight was not significantly different between the two groups (Fig. S3C). We could not show the histological data about the liver and kidney in this study. HER2 was highly expressed in all cancer cells of H2Mab-19-treated BT-474 and control xenografts (Fig. S4).

Figure 3

Evaluation of antitumor activity of H2Mab-19. (A) Tumor volume and (B) tumor weight measured from BT-474 (upper), HSC-2 (middle) and SAS (lower) xenografts. Values are mean ± SEM. **P<0.01; *P<0.05.

Antitumor activities of H2Mab-19 in the mouse xenografts of oral cancers

H2Mab-19 possessed antitumor activity in mouse xenografts of breast cancers. Whether this activity extended to xenografts of oral cancers was also assessed. BT-474 cells expressed high levels of HER2 (Fig. 1A); HER2 levels were however low in HSC-2 and SAS cells (Fig. 1B). Nevertheless, HSC-2 and SAS are useful for investigation of antitumor activity in vivo (16). Thus, HSC-2 and SAS were used for mouse xenografts of oral cancers.

Initially, HSC-2 cells were implanted subcutaneously into the flanks of nude mice. H2Mab-19 and mouse IgG were injected i.p. three times (on days 1, 6, and 14 after cell injections into treated and control mice, respectively. Tumor formation was observed in mice in both groups. In comparison to control mice, H2Mab-19-treated mice showed significantly reduced tumor development on days 6, 10, 14, 17 and 20 (Fig. 3A, middle). Weights of tumors from H2Mab-19-treated mice were significantly less than for tumors from control mice (Fig. 3B, middle). HSC-2 xenograft mice are shown on day 20 in Fig. S5A and resected tumors are depicted in Fig. S5B. Total body weights were not significantly different between the two groups (Fig. S5C). We could not show the histological data about the liver and kidney in this study. HER2 was not expressed in cancer cells of H2Mab-19-treated or control groups (Fig. S6). HER2 expression was diminished in HSC-2 xenografts, and H2Mab-19 did not exert effective antitumor activity.

For the second xenograft model of oral cancers, SAS cells were subcutaneously implanted into the flanks of nude mice. H2Mab-19 and mouse IgG were injected i.p. thrice, on days 1, 6, and 14 after cell injections into the mice, into treated and control mice, respectively. Tumor formation was observed in mice in both treated and control groups. In comparison to IgG-treated control mice, H2Mab-19 significantly reduced tumor development on days 14, 17, and 20 (Fig. 3A, lower). Weights of tumors from H2Mab-19-treated mice were significantly less than tumors from IgG-treated control Mice (Fig. 3B, lower). The SAS xenografts on day 20 are shown in Fig. S7A and resected tumors are depicted in Fig. S7B. Total body weights were not significantly different between the two groups (Fig. S7C). We could not show the histological data about the liver and kidney in this study. HER2 was not expressed in cancer cells of H2Mab-19-treated and control groups (Fig. S8). HER2 expression was diminished in SAS xenografts, and H2Mab-19 did not exert effective antitumor activity.

Discussion

Using CasMab technology (19), several anti-HER2 mAbs, including H2Mab-77(14), H2Mab-119(20), and H2Mab-139(16) were identified. These antibodies are useful for flow cytometry, western blot, and immunohistochemical analyses. Because the subclass of these mAbs is mouse IgG1, they do not possess antibody-dependent cellular cytotoxicity (ADCC) or complement-dependent cytotoxicity (CDC).

The first objective of this study was the development of an anti-HER2 mAb in either IgG2a or IgG2b subclasses using CasMab technology. Both IgG2a (21) and IgG2b antibodies (22) show ADCC and CDC activity. The second objective was to investigate anti-HER2 activity using oral cancer cell lines; anti-HER2 mAbs have not been investigated for their activity against oral cancers. The first objective was met through isolation of H2Mab-19 from the IgG2b subclass (Fig. 1). This antibody could then be used to investigate ADCC and CDC activity in vitro and antitumor activity in vivo. H2Mab-19 showed both ADCC and CDC activity against breast or oral cancer cell lines (Fig. 2). Further, H2Mab-19 exerted antitumor activity against both breast cancer and oral cancer xenografts (Fig. 3). These results demonstrated two important issues: i) anti-HER2 mAbs from the IgG2b subclass could be developed using our original CasMab technology, and ii) anti-HER2 mAbs from IgG2b subclass could possess ADCC, CDC, and antitumor activities. Recently, Fiedler et al reported that TrasGEX, an ADCC-enhanced version of trastuzumab, showed antitumor activity in 50% of evaluated patients from a phase I study (23). They showed that TrasGEX exhibited similar pharmacokinetics to those of trastuzumab and was safe and well-tolerated by patients with solid tumors. These data are consistent with the designation of HER2 as a promising target for the treatment of HER2-amplified tumors. Trastuzumab and TrasGEX are known as beneficial anti-HER2 mAbs for targeting breast or stomach cancers, H2Mab-19 could be also a useful tool for investigating ADCC, CDC, antitumor activities for oral cancers. Further investigation of the mechanism of antitumor activity by H2Mab-19, and the development of antibody-engineered antibodies, including chimeric or humanized H2Mab-19 or its single chain (sc) Fv, are aims for future studies.

Oral cancer accounts for approximately 2% of all cancer cases worldwide (24). Annually, more than 350,000 individuals are diagnosed with oral cancer and these diseases prove fatal for 170,000 of these people. Major risk factors for oral cancer are the use of tobacco and alcohol (25). Decreased smoking and drinking has resulted in a decline in the incidence of oral cancer. However, recent studies have reported an increase in the number of young patients diagnosed with these diseases (26,27).

More than 50% of oral cancers occur in tongue tissue and on the floor of the mouth. Other locations include the buccal mucosa, gingiva, lip and palate (28). HER2 expression was assessed in four oral cancer cell lines of different origin, including Ca9-22 (gingiva), HO-1-u-1 (mouth floor), HSC-2 (oral cavity), and SAS (tongue). HER2 expression was observed in all cell lines (Fig. 1), indicating that expression is independent of location in the oral cavity.

Oral cancers display several histological tumor types, including squamous cell carcinoma (SCC), adenocarcinoma, mucoepidermoid carcinoma, adeno cystic carcinoma and osteosarcoma. SCC is most common, accounting for over 90% of all disease (29). Treatment of oral SCC (OSCC) depends for the most part on stage. Early stages (stage-I and -II) are treated via surgery or radiotherapy (RT) alone. Advanced stages (stage-III and -IV) require a combination of surgery, RT and chemotherapy (CT) (30). Cisplatin (CDDP) is mainly used for CT of OSCCs, often combined with 5-fluorouracil (5-FU) and docetaxel (31,32). Other anticancer agents such as carboplatin, paclitaxel, and methotrexate (MTX) can be useful (33), but useful drugs with specific molecular targets are limited.

Cetuximab, a mouse-human chimeric antibody (IgG1) that targets epidermal growth factor receptor (EGFR), was recently approved for treatment of oral cancer. Several studies report its effectiveness against locoregionally advanced head and neck cancer and recurrent or metastatic squamous cell carcinoma of the head and neck (34-36). Advances in diagnosis and therapeutic techniques have improved the overall 5-year survival rate to 70%. However, the 5-year survival rate in stage IV is only 40% (37) and further treatments need to be developed. In this study, HER2 is shown to be expressed in oral cancers, and anti-HER2 mAbs have useful for antitumor activity. Thus, anti-HER2 therapies using trastuzumab could be valuable for oral cancer treatment. Immunohistochemically, HER2 expressed was reported in only 1.4% (38) of oral cancer, though it is expressed in 10.4% of breast cancers (39). Thus, targeting only HER2 may not be sufficient for treating oral cancers. Despite the low HER2 overexpression/amplification rate of only 1-2%, those few patients may possibly benefit from anti-HER2 therapy because an antitumor effect of combined gefitinib and trastuzumab or cetuximab and trastuzumab treatment on HNSCC in vitro were demonstrated (40,41). Pursuing multiple targets, such as EGFR and HER2, may be needed for effective therapy.

Supplementary Material

Immunohistochemical analyses of paraffin sections of breast cancers using H2Mab-19 and H2Mab-77. Sections of breast cancers were incubated with H2Mab-19 (10 μg/ml) or H2Mab-77 (1 μg/ml) Sections were counterstained with hematoxylin. Scale bar=100 μm.
Immunohistochemical analyses of frozen sections of breast cancers using H2Mab-19 or H2Mab-77. Sections of breast cancers were incubated with H2Mab-19 (1 μg/ml) or H2Mab-77 (1 μg/ml). Sections were then counterstained with hematoxylin. Scale bar=100 μm.
Evaluation of antitumor activity of H2Mab-19 in BT-474 xenografts. (A) BT-474 xenografts on day 18. (B) Resected tumors of BT-474 xenografts (day 18). (C) Body weights of the mice with the BT-474 xenografts. n.s., not significant. Scale bar=1 cm.
Immunohistochemical analyses and hematoxylin & eosin (HE) staining of resected tissues in BT-474 xenografts. Sections were incubated with H2Mab-19 (10 μg/ml) or H2Mab-77 (10 μg/ml). Sections were then counterstained with hematoxylin. HE staining was also performed. Scale bar=100 μm.
Evaluation of antitumor activity of H2Mab-19 in HSC-2 xenografts. (A) HSC-2 xenografts on day 20. (B) Resected tumors of HSC-2 xenografts (day 20). (C) Body weights of mice with HSC-2 xenografts. n.s., not significant. Scale bar=1 cm.
Immunohistochemical analyses and hematoxylin & eosin (HE) staining of resected tissues in HSC-2 xenografts. Sections were incubated with H2Mab-19 (10 μg/ml) or H2Mab-77 (10 μg/ml). Then, sections were counterstained with hematoxylin. HE staining was also performed. Scale bar=100 μm.
Evaluation of antitumor activity of H2Mab-19 in SAS xenografts. (A) SAS xenografts on day 20. (B) Resected tumors of SAS xenografts (day 20). (C) Body weights of mice with the SAS xenografts. n.s., not significant. Scale bar=1 cm.
Immunohistochemical analyses and hematoxylin & eosin (HE) staining of resected tissues in SAS xenografts. Sections were incubated with H2Mab-19 (10 μg/ml) or H2Mab-77 (10 μg/ml). Then, sections were counterstained with hematoxylin. HE staining was also performed. Scale bar=100 μm.

Acknowledgements

The authors would like to thank Ms. Akiko Harakawa (Institute of Microbial Chemistry (BIKAKEN), Numazu, Microbial Chemistry Research Foundation) for technical assistance of animal experiments, and Mr. Takuro Nakamura, Ms. Miyuki Yanaka, Ms. Saori Handa, Ms. Saki Okamoto, and Mr. Yu Komatsu (Department of Antibody Drug Development, Tohoku University Graduate School of Medicine) for technical assistance of in vitro experiments.

Funding

This research was supported in part by Japan Agency for Medical Research and Development (AMED) under (grant nos. JP19am0401013, JP19am0101078 and JP19ae0101028), and by Japan Society for the Promotion of Science (JSPS) Grants-in-Aid for Scientific Research (KAKENHI; grant nos. 17K07299 and 19K07705).

Availability of data and materials

The datasets used and/or analyzed during the study are available from the corresponding author on reasonable request.

Authors' contributions

JT and TO performed experiments. MKK analyzed experimental data. MK, HH, and YK designed the current study and wrote the manuscript.

Ethics approval and consent to participate

Animal experiments described in the hybridoma production were approved by the Animal Care and Use Committee of Tohoku University (permit no. 2016MdA-153). Animal studies for ADCC were approved by the institutional committee for experiments of the Institute of Microbial Chemistry (permit no. 2019-066). Animal studies for the antitumor activity were approved by the institutional committee for experiments of the Institute of Microbial Chemistry (permit no. 2019-014).

Patient consent for publication

Not applicable.

Competing interests

The authors declare that they have no competing interests.

References

1 

Howlader N, Altekruse SF, Li CI, Chen VW, Clarke CA, Ries LA and Cronin KA: US incidence of breast cancer subtypes defined by joint hormone receptor and HER2 status. J Natl Cancer Inst. 106(dju055)2014.PubMed/NCBI View Article : Google Scholar

2 

Slamon DJ, Clark GM, Wong SG, Levin WJ, Ullrich A and McGuire WL: Human breast cancer: Correlation of relapse and survival with amplification of the HER-2/neu oncogene. Science. 235:177–182. 1987.PubMed/NCBI View Article : Google Scholar

3 

Xie S, Zhang H, Wang X, Ge Q and Hu J: The relative efficacy and safety of targeted agents used in combination with chemotherapy in treating patients with untreated advanced gastric cancer: A network meta-analysis. Oncotarget. 8:26959–26968. 2017.PubMed/NCBI View Article : Google Scholar

4 

Harder J, Ihorst G, Heinemann V, Hofheinz R, Moehler M, Buechler P, Kloeppel G, Röcken C, Bitzer M, Boeck S, et al: Multicentre phase II trial of trastuzumab and capecitabine in patients with HER2 overexpressing metastatic pancreatic cancer. Br J Cancer. 106:1033–1038. 2012.PubMed/NCBI View Article : Google Scholar

5 

Kim EK, Kim KA, Lee CY and Shim HS: The frequency and clinical impact of HER2 alterations in lung adenocarcinoma. PLoS One. 12(e0171280)2017.PubMed/NCBI View Article : Google Scholar

6 

Seo AN, Kwak Y, Kim DW, Kang SB, Choe G, Kim WH and Lee HS: HER2 status in colorectal cancer: Its clinical significance and the relationship between HER2 gene amplification and expression. PLoS One. 9(e98528)2014.PubMed/NCBI View Article : Google Scholar

7 

Lambert JM and Chari RV: Ado-trastuzumab emtansine (T-DM1): An antibody-drug conjugate (ADC) for HER2-positive breast cancer. J Med Chem. 57:6949–6964. 2014.PubMed/NCBI View Article : Google Scholar

8 

Valabrega G, Montemurro F and Aglietta M: Trastuzumab: Mechanism of action, resistance and future perspectives in HER2-overexpressing breast cancer. Ann Oncol. 18:977–984. 2007.PubMed/NCBI View Article : Google Scholar

9 

Amiri-Kordestani L, Wedam S, Zhang L, Tang S, Tilley A, Ibrahim A, Justice R, Pazdur R and Cortazar P: First FDA approval of neoadjuvant therapy for breast cancer: Pertuzumab for the treatment of patients with HER2-positive breast cancer. Clin Cancer Res. 20:5359–5364. 2014.PubMed/NCBI View Article : Google Scholar

10 

Slamon DJ, Leyland-Jones B, Shak S, Fuchs H, Paton V, Bajamonde A, Fleming T, Eiermann W, Wolter J, Pegram M, et al: Use of chemotherapy plus a monoclonal antibody against HER2 for metastatic breast cancer that overexpresses HER2. N Engl J Med. 344:783–792. 2001.PubMed/NCBI View Article : Google Scholar

11 

Swain SM, Kim SB, Cortés J, Ro J, Semiglazov V, Campone M, Ciruelos E, Ferrero JM, Schneeweiss A, Knott A, et al: Pertuzumab, trastuzumab, and docetaxel for HER2-positive metastatic breast cancer (CLEOPATRA study): Overall survival results from a randomised, double-blind, placebo-controlled, phase 3 study. Lancet Oncol. 14:461–471. 2013.PubMed/NCBI View Article : Google Scholar

12 

Doi T, Shitara K, Naito Y, Shimomura A, Fujiwara Y, Yonemori K, Shimizu C, Shimoi T, Kuboki Y, Matsubara N, et al: Safety, pharmacokinetics, and antitumour activity of trastuzumab deruxtecan (DS-8201), a HER2-targeting antibody-drug conjugate, in patients with advanced breast and gastric or gastro-oesophageal tumours: A phase 1 dose-escalation study. Lancet Oncol. 18:1512–1522. 2017.PubMed/NCBI View Article : Google Scholar

13 

Nakada T, Sugihara K, Jikoh T, Abe Y and Agatsuma T: The latest research and development into the antibody-drug conjugate, [fam-] trastuzumab deruxtecan (DS-8201a), for HER2 cancer therapy. Chem Pharm Bull (Tokyo). 67:173–185. 2019.PubMed/NCBI View Article : Google Scholar

14 

Itai S, Fujii Y, Kaneko MK, Yamada S, Nakamura T, Yanaka M, Saidoh N, Chang YW, Handa S, Takahashi M, et al: H2Mab-77 is a sensitive and specific anti-HER2 monoclonal antibody against breast cancer. Monoclon Antib Immunodiagn Immunother. 36:143–148. 2017.PubMed/NCBI View Article : Google Scholar

15 

Kato Y, Kunita A, Abe S, Ogasawara S, Fujii Y, Oki H, Fukayama M, Nishioka Y and Kaneko MK: The chimeric antibody chLpMab-7 targeting human podoplanin suppresses pulmonary metastasis via ADCC and CDC rather than via its neutralizing activity. Oncotarget. 6:36003–36018. 2015.PubMed/NCBI View Article : Google Scholar

16 

Kaneko MK, Yamada S, Itai S and Kato Y: Development of an anti-HER2 monoclonal antibody H2Mab-139 against colon cancer. Monoclon Antib Immunodiagn Immunother. 37:59–62. 2018.PubMed/NCBI View Article : Google Scholar

17 

Fujii Y, Kaneko MK and Kato Y: MAP tag: A novel tagging system for protein purification and detection. Monoclon Antib Immunodiagn Immunother. 35:293–299. 2016.PubMed/NCBI View Article : Google Scholar

18 

Al-Saden N, Lam K, Chan C and Reilly RM: Positron-emission tomography of HER2-positive breast cancer xenografts in mice with 89Zr-labeled trastuzumab-DM1: A comparison with 89Zr-labeled trastuzumab. Mol Pharm. 15:3383–3393. 2018.PubMed/NCBI View Article : Google Scholar

19 

Kato Y and Kaneko MK: A cancer-specific monoclonal antibody recognizes the aberrantly glycosylated podoplanin. Sci Rep. 4(5924)2014.PubMed/NCBI View Article : Google Scholar

20 

Yamada S, Itai S, Nakamura T, Chang YW, Harada H, Suzuki H, Kaneko MK and Kato Y: Establishment of H2Mab-119, an anti-human epidermal growth factor receptor 2 monoclonal antibody, against pancreatic cancer. Monoclon Antib Immunodiagn Immunother. 36:287–290. 2017.PubMed/NCBI View Article : Google Scholar

21 

Kaneko MK, Nakamura T, Honma R, Ogasawara S, Fujii Y, Abe S, Takagi M, Harada H, Suzuki H, Nishioka Y and Kato Y: Development and characterization of anti-glycopeptide monoclonal antibodies against human podoplanin, using glycan-deficient cell lines generated by CRISPR/Cas9 and TALEN. Cancer Med. 6:382–396. 2017.PubMed/NCBI View Article : Google Scholar

22 

Ogasawara S, Kaneko MK and Kato Y: LpMab-19 recognizes sialylated O-Glycan on Thr76 of human podoplanin. Monoclon Antib Immunodiagn Immunother. 35:245–253. 2016.PubMed/NCBI View Article : Google Scholar

23 

Fiedler W, Stoeger H, Perotti A, Gastl G, Weidmann J, Dietrich B, Baumeister H, Danielczyk A, Goletz S, Salzberg M and De Dosso S: Phase I study of TrasGEX, a glyco-optimised anti-HER2 monoclonal antibody, in patients with HER2-positive solid tumours. ESMO Open. 3(e000381)2018.PubMed/NCBI View Article : Google Scholar

24 

Bray F, Ferlay J, Soerjomataram I, Siegel RL, Torre LA and Jemal A: Global cancer statistics 2018: GLOBOCAN estimates of incidence and mortality worldwide for 36 cancers in 185 countries. CA Cancer J Clin. 68:394–424. 2018.PubMed/NCBI View Article : Google Scholar

25 

Hashibe M, Brennan P, Chuang SC, Boccia S, Castellsague X, Chen C, Curado MP, Dal Maso L, Daudt AW, Fabianova E, et al: Interaction between tobacco and alcohol use and the risk of head and neck cancer: Pooled analysis in the international head and neck cancer epidemiology consortium. Cancer Epidemiol Biomarkers Prev. 18:541–550. 2009.PubMed/NCBI View Article : Google Scholar

26 

Tota JE, Anderson WF, Coffey C, Califano J, Cozen W, Ferris RL, St John M, Cohen EEW and Chaturvedi AK: Rising incidence of oral tongue cancer among white men and women in the United States, 1973-2012. Oral Oncol. 67:146–152. 2017.PubMed/NCBI View Article : Google Scholar

27 

Hussein AA, Helder MN, de Visscher JG, Leemans CR, Braakhuis BJ, de Vet HCW and Forouzanfar T: Global incidence of oral and oropharynx cancer in patients younger than 45 years versus older patients: A systematic review. Eur J Cancer. 82:115–127. 2017.PubMed/NCBI View Article : Google Scholar

28 

Bagan J, Sarrion G and Jimenez Y: Oral cancer: Clinical features. Oral Oncol. 46:414–417. 2010.PubMed/NCBI View Article : Google Scholar

29 

Rivera C: Essentials of oral cancer. Int J Clin Exp Pathol. 8:11884–11894. 2015.PubMed/NCBI

30 

Guneri P and Epstein JB: Late stage diagnosis of oral cancer: Components and possible solutions. Oral Oncol. 50:1131–1136. 2014.PubMed/NCBI View Article : Google Scholar

31 

Vokes EE: Induction chemotherapy for head and neck cancer: Recent data. Oncologist. 15 (Suppl 3)(S3-S7)2010.PubMed/NCBI View Article : Google Scholar

32 

Marcazzan S, Varoni EM, Blanco E, Lodi G and Ferrari M: Nanomedicine, an emerging therapeutic strategy for oral cancer therapy. Oral Oncol. 76:1–7. 2018.PubMed/NCBI View Article : Google Scholar

33 

Furness S, Glenny AM, Worthington HV, Pavitt S, Oliver R, Clarkson JE, Macluskey M, Chan KK and Conway DI: Interventions for the treatment of oral cavity and oropharyngeal cancer: Chemotherapy. Cochrane Database Syst Rev. CD006386:2011.PubMed/NCBI View Article : Google Scholar

34 

Bonner JA, Harari PM, Giralt J, Azarnia N, Shin DM, Cohen RB, Jones CU, Sur R, Raben D, Jassem J, et al: Radiotherapy plus cetuximab for squamous-cell carcinoma of the head and neck. N Engl J Med. 354:567–578. 2006.PubMed/NCBI View Article : Google Scholar

35 

Vermorken JB, Mesia R, Rivera F, Remenar E, Kawecki A, Rottey S, Erfan J, Zabolotnyy D, Kienzer HR, Cupissol D, et al: Platinum-based chemotherapy plus cetuximab in head and neck cancer. N Engl J Med. 359:1116–1127. 2008.PubMed/NCBI View Article : Google Scholar

36 

Naruse T, Yanamoto S, Matsushita Y, Sakamoto Y, Morishita K, Ohba S, Shiraishi T, Yamada SI, Asahina I and Umeda M: Cetuximab for the treatment of locally advanced and recurrent/metastatic oral cancer: An investigation of distant metastasis. Mol Clin Oncol. 5:246–252. 2016.PubMed/NCBI View Article : Google Scholar

37 

Amit M, Yen TC, Liao CT, Chaturvedi P, Agarwal JP, Kowalski LP, Ebrahimi A, Clark JR, Kreppel M, Zöller J, et al: Improvement in survival of patients with oral cavity squamous cell carcinoma: An international collaborative study. Cancer. 119:4242–4248. 2013.PubMed/NCBI View Article : Google Scholar

38 

Hanken H, Gaudin R, Gröbe A, Fraederich M, Eichhorn W, Smeets R, Simon R, Sauter G, Grupp K, Izbicki JR, et al: Her2 expression and gene amplification is rarely detectable in patients with oral squamous cell carcinomas. J Oral Pathol Med. 43:304–308. 2014.PubMed/NCBI View Article : Google Scholar

39 

Yan M, Schwaederle M, Arguello D, Millis SZ, Gatalica Z and Kurzrock R: HER2 expression status in diverse cancers: Review of results from 37,992 patients. Cancer Metastasis Rev. 34:157–164. 2015.PubMed/NCBI View Article : Google Scholar

40 

Kondo N, Ishiguro Y, Kimura M, Sano D, Fujita K, Sakakibara A, Taguchi T, Toth G, Matsuda H and Tsukuda M: Antitumor effect of gefitinib on head and neck squamous cell carcinoma enhanced by trastuzumab. Oncol Rep. 20:373–378. 2008.PubMed/NCBI

41 

Kondo N, Tsukuda M, Sakakibara A, Takahashi H, Hyakusoku H, Komatsu M, Niho T, Nakazaki K and Toth G: Combined molecular targeted drug therapy for EGFR and HER-2 in head and neck squamous cell carcinoma cell lines. Int J Oncol. 40:1805–1812. 2012.PubMed/NCBI View Article : Google Scholar

Related Articles

  • Abstract
  • View
  • Download
  • Twitter
Copy and paste a formatted citation
Spandidos Publications style
Takei J, Kaneko MK, Ohishi T, Kawada M, Harada H and Kato Y: H2Mab‑19, an anti‑human epidermal growth factor receptor 2 monoclonal antibody exerts antitumor activity in mouse oral cancer xenografts. Exp Ther Med 20: 846-853, 2020.
APA
Takei, J., Kaneko, M.K., Ohishi, T., Kawada, M., Harada, H., & Kato, Y. (2020). H2Mab‑19, an anti‑human epidermal growth factor receptor 2 monoclonal antibody exerts antitumor activity in mouse oral cancer xenografts. Experimental and Therapeutic Medicine, 20, 846-853. https://doi.org/10.3892/etm.2020.8765
MLA
Takei, J., Kaneko, M. K., Ohishi, T., Kawada, M., Harada, H., Kato, Y."H2Mab‑19, an anti‑human epidermal growth factor receptor 2 monoclonal antibody exerts antitumor activity in mouse oral cancer xenografts". Experimental and Therapeutic Medicine 20.2 (2020): 846-853.
Chicago
Takei, J., Kaneko, M. K., Ohishi, T., Kawada, M., Harada, H., Kato, Y."H2Mab‑19, an anti‑human epidermal growth factor receptor 2 monoclonal antibody exerts antitumor activity in mouse oral cancer xenografts". Experimental and Therapeutic Medicine 20, no. 2 (2020): 846-853. https://doi.org/10.3892/etm.2020.8765
Copy and paste a formatted citation
x
Spandidos Publications style
Takei J, Kaneko MK, Ohishi T, Kawada M, Harada H and Kato Y: H2Mab‑19, an anti‑human epidermal growth factor receptor 2 monoclonal antibody exerts antitumor activity in mouse oral cancer xenografts. Exp Ther Med 20: 846-853, 2020.
APA
Takei, J., Kaneko, M.K., Ohishi, T., Kawada, M., Harada, H., & Kato, Y. (2020). H2Mab‑19, an anti‑human epidermal growth factor receptor 2 monoclonal antibody exerts antitumor activity in mouse oral cancer xenografts. Experimental and Therapeutic Medicine, 20, 846-853. https://doi.org/10.3892/etm.2020.8765
MLA
Takei, J., Kaneko, M. K., Ohishi, T., Kawada, M., Harada, H., Kato, Y."H2Mab‑19, an anti‑human epidermal growth factor receptor 2 monoclonal antibody exerts antitumor activity in mouse oral cancer xenografts". Experimental and Therapeutic Medicine 20.2 (2020): 846-853.
Chicago
Takei, J., Kaneko, M. K., Ohishi, T., Kawada, M., Harada, H., Kato, Y."H2Mab‑19, an anti‑human epidermal growth factor receptor 2 monoclonal antibody exerts antitumor activity in mouse oral cancer xenografts". Experimental and Therapeutic Medicine 20, no. 2 (2020): 846-853. https://doi.org/10.3892/etm.2020.8765
Follow us
  • Twitter
  • LinkedIn
  • Facebook
About
  • Spandidos Publications
  • Careers
  • Cookie Policy
  • Privacy Policy
How can we help?
  • Help
  • Live Chat
  • Contact
  • Email to our Support Team