Spandidos Publications Logo
  • About
    • About Spandidos
    • Aims and Scopes
    • Abstracting and Indexing
    • Editorial Policies
    • Reprints and Permissions
    • Job Opportunities
    • Terms and Conditions
    • Contact
  • Journals
    • All Journals
    • Oncology Letters
      • Oncology Letters
      • Information for Authors
      • Editorial Policies
      • Editorial Board
      • Aims and Scope
      • Abstracting and Indexing
      • Bibliographic Information
      • Archive
    • International Journal of Oncology
      • International Journal of Oncology
      • Information for Authors
      • Editorial Policies
      • Editorial Board
      • Aims and Scope
      • Abstracting and Indexing
      • Bibliographic Information
      • Archive
    • Molecular and Clinical Oncology
      • Molecular and Clinical Oncology
      • Information for Authors
      • Editorial Policies
      • Editorial Board
      • Aims and Scope
      • Abstracting and Indexing
      • Bibliographic Information
      • Archive
    • Experimental and Therapeutic Medicine
      • Experimental and Therapeutic Medicine
      • Information for Authors
      • Editorial Policies
      • Editorial Board
      • Aims and Scope
      • Abstracting and Indexing
      • Bibliographic Information
      • Archive
    • International Journal of Molecular Medicine
      • International Journal of Molecular Medicine
      • Information for Authors
      • Editorial Policies
      • Editorial Board
      • Aims and Scope
      • Abstracting and Indexing
      • Bibliographic Information
      • Archive
    • Biomedical Reports
      • Biomedical Reports
      • Information for Authors
      • Editorial Policies
      • Editorial Board
      • Aims and Scope
      • Abstracting and Indexing
      • Bibliographic Information
      • Archive
    • Oncology Reports
      • Oncology Reports
      • Information for Authors
      • Editorial Policies
      • Editorial Board
      • Aims and Scope
      • Abstracting and Indexing
      • Bibliographic Information
      • Archive
    • Molecular Medicine Reports
      • Molecular Medicine Reports
      • Information for Authors
      • Editorial Policies
      • Editorial Board
      • Aims and Scope
      • Abstracting and Indexing
      • Bibliographic Information
      • Archive
    • World Academy of Sciences Journal
      • World Academy of Sciences Journal
      • Information for Authors
      • Editorial Policies
      • Editorial Board
      • Aims and Scope
      • Abstracting and Indexing
      • Bibliographic Information
      • Archive
    • International Journal of Functional Nutrition
      • International Journal of Functional Nutrition
      • Information for Authors
      • Editorial Policies
      • Editorial Board
      • Aims and Scope
      • Abstracting and Indexing
      • Bibliographic Information
      • Archive
    • International Journal of Epigenetics
      • International Journal of Epigenetics
      • Information for Authors
      • Editorial Policies
      • Editorial Board
      • Aims and Scope
      • Abstracting and Indexing
      • Bibliographic Information
      • Archive
    • Medicine International
      • Medicine International
      • Information for Authors
      • Editorial Policies
      • Editorial Board
      • Aims and Scope
      • Abstracting and Indexing
      • Bibliographic Information
      • Archive
  • Articles
  • Information
    • Information for Authors
    • Information for Reviewers
    • Information for Librarians
    • Information for Advertisers
    • Conferences
  • Language Editing
Spandidos Publications Logo
  • About
    • About Spandidos
    • Aims and Scopes
    • Abstracting and Indexing
    • Editorial Policies
    • Reprints and Permissions
    • Job Opportunities
    • Terms and Conditions
    • Contact
  • Journals
    • All Journals
    • Biomedical Reports
      • Information for Authors
      • Editorial Policies
      • Editorial Board
      • Aims and Scope
      • Abstracting and Indexing
      • Bibliographic Information
      • Archive
    • Experimental and Therapeutic Medicine
      • Information for Authors
      • Editorial Policies
      • Editorial Board
      • Aims and Scope
      • Abstracting and Indexing
      • Bibliographic Information
      • Archive
    • International Journal of Epigenetics
      • Information for Authors
      • Editorial Policies
      • Editorial Board
      • Aims and Scope
      • Abstracting and Indexing
      • Bibliographic Information
      • Archive
    • International Journal of Functional Nutrition
      • Information for Authors
      • Editorial Policies
      • Editorial Board
      • Aims and Scope
      • Abstracting and Indexing
      • Bibliographic Information
      • Archive
    • International Journal of Molecular Medicine
      • Information for Authors
      • Editorial Policies
      • Editorial Board
      • Aims and Scope
      • Abstracting and Indexing
      • Bibliographic Information
      • Archive
    • International Journal of Oncology
      • Information for Authors
      • Editorial Policies
      • Editorial Board
      • Aims and Scope
      • Abstracting and Indexing
      • Bibliographic Information
      • Archive
    • Medicine International
      • Information for Authors
      • Editorial Policies
      • Editorial Board
      • Aims and Scope
      • Abstracting and Indexing
      • Bibliographic Information
      • Archive
    • Molecular and Clinical Oncology
      • Information for Authors
      • Editorial Policies
      • Editorial Board
      • Aims and Scope
      • Abstracting and Indexing
      • Bibliographic Information
      • Archive
    • Molecular Medicine Reports
      • Information for Authors
      • Editorial Policies
      • Editorial Board
      • Aims and Scope
      • Abstracting and Indexing
      • Bibliographic Information
      • Archive
    • Oncology Letters
      • Information for Authors
      • Editorial Policies
      • Editorial Board
      • Aims and Scope
      • Abstracting and Indexing
      • Bibliographic Information
      • Archive
    • Oncology Reports
      • Information for Authors
      • Editorial Policies
      • Editorial Board
      • Aims and Scope
      • Abstracting and Indexing
      • Bibliographic Information
      • Archive
    • World Academy of Sciences Journal
      • Information for Authors
      • Editorial Policies
      • Editorial Board
      • Aims and Scope
      • Abstracting and Indexing
      • Bibliographic Information
      • Archive
  • Articles
  • Information
    • For Authors
    • For Reviewers
    • For Librarians
    • For Advertisers
    • Conferences
  • Language Editing
Login Register Submit
  • This site uses cookies
  • You can change your cookie settings at any time by following the instructions in our Cookie Policy. To find out more, you may read our Privacy Policy.

    I agree
Search articles by DOI, keyword, author or affiliation
Search
Advanced Search
presentation
Experimental and Therapeutic Medicine
Join Editorial Board Propose a Special Issue
Print ISSN: 1792-0981 Online ISSN: 1792-1015
Journal Cover
August-2020 Volume 20 Issue 2

Full Size Image

Sign up for eToc alerts
Recommend to Library

Journals

International Journal of Molecular Medicine

International Journal of Molecular Medicine

International Journal of Molecular Medicine is an international journal devoted to molecular mechanisms of human disease.

International Journal of Oncology

International Journal of Oncology

International Journal of Oncology is an international journal devoted to oncology research and cancer treatment.

Molecular Medicine Reports

Molecular Medicine Reports

Covers molecular medicine topics such as pharmacology, pathology, genetics, neuroscience, infectious diseases, molecular cardiology, and molecular surgery.

Oncology Reports

Oncology Reports

Oncology Reports is an international journal devoted to fundamental and applied research in Oncology.

Experimental and Therapeutic Medicine

Experimental and Therapeutic Medicine

Experimental and Therapeutic Medicine is an international journal devoted to laboratory and clinical medicine.

Oncology Letters

Oncology Letters

Oncology Letters is an international journal devoted to Experimental and Clinical Oncology.

Biomedical Reports

Biomedical Reports

Explores a wide range of biological and medical fields, including pharmacology, genetics, microbiology, neuroscience, and molecular cardiology.

Molecular and Clinical Oncology

Molecular and Clinical Oncology

International journal addressing all aspects of oncology research, from tumorigenesis and oncogenes to chemotherapy and metastasis.

World Academy of Sciences Journal

World Academy of Sciences Journal

Multidisciplinary open-access journal spanning biochemistry, genetics, neuroscience, environmental health, and synthetic biology.

International Journal of Functional Nutrition

International Journal of Functional Nutrition

Open-access journal combining biochemistry, pharmacology, immunology, and genetics to advance health through functional nutrition.

International Journal of Epigenetics

International Journal of Epigenetics

Publishes open-access research on using epigenetics to advance understanding and treatment of human disease.

Medicine International

Medicine International

An International Open Access Journal Devoted to General Medicine.

Journal Cover
August-2020 Volume 20 Issue 2

Full Size Image

Sign up for eToc alerts
Recommend to Library

  • Article
  • Citations
    • Cite This Article
    • Download Citation
    • Create Citation Alert
    • Remove Citation Alert
    • Cited By
  • Similar Articles
    • Related Articles (in Spandidos Publications)
    • Similar Articles (Google Scholar)
    • Similar Articles (PubMed)
  • Download PDF
  • Download XML
  • View XML
Article Open Access

Serum COX‑2 and FOXO3a in patients with rheumatoid arthritis and correlation with disease activity

  • Authors:
    • Bangqin Wang
    • Xinxiang Huang
    • Jinying Lin
  • View Affiliations / Copyright

    Affiliations: Department of Rheumatology, The People's Hospital of Guangxi Zhuang Autonomous Region, Nanning, Guangxi Zhuang Autonomous Region 530021, P.R. China
    Copyright: © Wang et al. This is an open access article distributed under the terms of Creative Commons Attribution License.
  • Pages: 910-916
    |
    Published online on: May 21, 2020
       https://doi.org/10.3892/etm.2020.8779
  • Expand metrics +
Metrics: Total Views: 0 (Spandidos Publications: | PMC Statistics: )
Metrics: Total PDF Downloads: 0 (Spandidos Publications: | PMC Statistics: )
Cited By (CrossRef): 0 citations Loading Articles...

This article is mentioned in:



Abstract

Expression levels of serum cyclooxygenase (COX)-2 and forkhead box O3a (FOXO3a) in patients with rheumatoid arthritis (RA) and the correlation with disease activity were investigated. Sixty patients with RA admitted to the People's Hospital of Guangxi Zhuang Autonomous Region (study group; 28 active patients and 32 remissive patients), and further 30 healthy subjects undergoing physical examinations during the same period (control group) were enrolled in this study. RT‑qPCR and enzyme‑linked immunosorbent assay (ELISA) were used to detect the expression levels of COX‑2 and FOXO3a in serum. According to DAS28 score, the patients were divided into active and remissive patients, between whom the expression levels were compared. Receiver operating characteristic (ROC) curves were plotted to analyze the diagnostic values of COX‑2 and FOXO3a for disease activity. Pearson's correlation coefficient was used to analyze the correlation of the two markers with erythrocyte sedimentation rate (ESR), C‑reactive protein (CRP), and DAS28 score. The expression levels of COX‑2 and FOXO3a in active and remissive patients were significantly higher than those in the control group (both P<0.05), and those in active patients were significantly higher than those in remissive patients (both P<0.05). The areas under the ROC curves (AUCs) of COX‑2 and FOXO3a were 0.748 and 0.802, respectively, suggesting that the two markers have high diagnostic value. The expression levels of COX‑2 and FOXO3a were positively correlated with ESR, CRP, and DAS28 score of active and remissive patients (both P<0.05). In conclusion, the expression levels of COX‑2 and FOXO3a in patients with RA are upregulated, thus, the two markers may be involved in the development and progression of the disease. The expression levels of COX‑2 and FOXO3a are related to the disease activity of RA, and therefore can be used as diagnostic indicators for the disease activity.

Introduction

Rheumatoid arthritis (RA), an autoimmune disease caused by unclear factors, occurs more commonly among females of 30-50 years of age (1). Its incidence in China is 0.2-0.4%, and its prevalence ratio of male to female is 1:3 (2,3). Clinically, patients with RA experience systemic inflammatory responses that cause an imbalance between pro- and anti-inflammatory cytokines, which results in more immunologic complications if the patients are not treated in time (4). Although remarkable progress has been made in the treatment of RA, the specific mechanism of the disease remains unclear, and the patients suffer great direct and indirect losses (5). Therefore, it is necessary for clinical researchers to explore the pathogenesis of RA and find new therapeutic schemes.

Cyclooxygenase (COX) is an important modulator of prostaglandin synthesis and mainly exists as COX-1 and COX-2(6). The former is expressed in most tissues and is directly responsible for prostaglandin production (7). The expression of the latter is extremely low in normal tissues and cells, and is massively produced by cells only when induced (8). According to studies, the overexpression of COX-2 inhibits apoptosis (9), and the expression is closely related to the conditions of patients with RA (10). Forkhead box O3a (FOXO3a) belongs to the forkhead family of transcription factors, and its differential expression is closely associated with the proliferation of helper T cells (11). There are numerous studies on FOXO3a in tumors, however, there are few studies on FOXO3a in RA. For example, FOXO3a controls the development and progression of tumors by regulating related proteins (PUMA and Noxa) in lymphocytes and neuroblastoma. The detected FOXO3a expression can be used as a prognostic marker for patients with breast cancer (12,13). The dysfunction of FOXO3a aggravates arthritis (14). However, the correlation of FOXO3a with patients' disease activity remains unclear.

Therefore, the expression levels of FOXO3a and COX-2 and their correlation with the disease activity of patients with RA were explored in this study to provide new targets for the treatment of the disease.

Patients and methods

Clinical data

Sixty patients with RA admitted to the People's Hospital of Guangxi Zhuang Autonomous Region (Nanning, China) from May 2016 to May 2017 (study group) were enrolled in this study. The patients consisted of 16 males and 44 females, with an average age of 60.4±10.7 years. Further 30 healthy subjects undergoing physical examinations in the hospital during the same period (control group) were also enrolled. The healthy subjects had normal biochemical, blood routine, immunological and microbial indicators, without congenital immunodeficiency. The study was approved by the Medical Ethics Committee of the People's Hospital of Guangxi Zhuang Autonomous Region. Inclusion criteria: Patients who met the diagnostic criteria for RA of the European League Against Rheumatism of the American College of Rheumatology in 2009(15); patients with complete clinical data; patients who were evaluated by DAS28 score; patients who they or their families were informed and signed an informed consent form; active patients who were initially diagnosed; stable patients who had been confirmed and who were in the remissive stage after treatment. Exclusion criteria: Patients <18 years of age; patients with tumors; patients with other congenital immunodeficiency diseases; patients with congenital defects of heart, lung, or brain; patients who were unsound on their feet; active patients who had taken hormone and immunosuppressive drugs before treatment.

Sources of kits

COX-2 enzyme-linked immunosorbent assay (ELISA) kit (mlbio - Shanghai Enzyme-linked Biotechnology Co., Ltd.; cat. no. ml062904), C-reactive protein (CRP) kit (Shanghai Tellgen Life Science Co., Ltd.; BH031), TRIzol total RNA extraction reagent (Invitrogen; Thermo Fisher Scientific, Inc.; 15596018 and N8080234, respectively), PrimeScript™ RT reagent kit (Takara Bio, Inc.; RR037A). Primer sequences were designed and synthesized by Sangon Biotech Co., Ltd. PCR instrument (Applied Biosystems; Thermo Fisher Scientific, Inc.; ABI 7500).

Sample collection

Fasting peripheral venous blood (10 ml) was respectively extracted from the patients of the study and the control group, and was distributed into 4 tubes. The blood in the 3 tubes was allowed to stand for 30 min, and then, it was centrifuged at 1,509 x g at 25˚C for 10 min to collect the supernatant for subsequent experiments. The blood in the other tube was detected for erythrocyte sedimentation rate (ESR).

Detection of COX-2

The collected serum was detected using ELISA. Specific steps were as follows: 50 µl of serum and sample diluent (1:1), respectively, were added to a 96-well plate. Blank and standard wells were set up, and 50 µl of biotin-labeled antibodies were added to each well. The ELISA plate was sealed, incubated at 37˚C for 1 h, and then washed. Next, streptavidin-HRP monoclonal antibody (80 µl) was added to each well and after incubation at 37˚C for 30 min the wells were washed. Substrates A and B (50 µl each) were respectively added to each well and incubation followed at 37˚C for 10 min in the dark. Finally, stop solution (50 µl) was added to each well. Optical density (OD) values at 450 nm were detected using a microplate reader within 15 min. The experiment was repeated 3 times to obtain the average value.

Detection of FOXO3a

TRIzol reagent was used to extract total RNA from the collected serum. UV spectrophotometer and agarose gel electrophoresis were used to detect its purity, concentration and integrity. Total RNA was reverse transcribed using the PrimeScript™ RT reagent kit and cDNA was collected for subsequent experiments, with the operation steps carried out according to the manufacturer's instructions. The specific steps were as follows: 4 µl of 5X RT buffer, 2 µl of 10 mM dNTPs, 0.4 µl of RNasin (40 U/µl), 1 µl of M-MLV-RTase (200 U/µl), and RNase free H2O was added to a final volume of 25 µl. The PCR amplification system was as follows: 2 µl of cDNA, each 0.8 µl of upstream and downstream primers, 10 µl of TB Green Premix Ex Taq II (Tli RNaseH Plus) (2X), 0.4 µl of ROX Reference Dye or Dye II (50X), and ddH2O was finally added to a final volume of 20 µl. The TaqMan™ reverse transcription reagent kit was used for TB Green Premix Ex Taq II (Tli RNaseH Plus) and ROX Reference Dye or Dye Ⅱ. The thermocycling conditions were as follows: Pre-denaturation at 95˚C for 30 sec, denaturation at 95˚C for 5 sec, annealing and extension at 60˚C for 34 sec, for 40 cycles. Each sample was provided with 3 identical wells, and the experiment was carried out 3 times. GAPDH was used as an internal reference and 2-∆Cq was used to analyze the data (16). The upstream and downstream primers of FOXO3a were 5'-AAGCCAGCTACCTTCTCTTCCA-3' and 5'-CTGGCT AAGTGAGTCCGAAGTGA-3', respectively, and of GAPDH were 5'-CACCCACTCCTCCACCTTTG-3' and 5'-CCACCA CCCTGTTGCTGTAG-3', respectively.

Detection of ESR and CRP

ESR was detected by an automatic ESR analyzer (Vital Diagnostics), and CRP was detected by a Hitachi 7600 fully automatic biochemical analyzer (Hitachi, Ltd.) using immune nephelometry, in strict accordance with the manufacturer's instructions.

Observational indices

Main observational indices: The expression levels of serum COX-2 and FOXO3a in the control and study groups were observed. According to the DAS28 score, the patients were divided into active and remissive patients (≥2.6 points for active stage and <2.6 points for remissive stage), between whom the expression levels were compared.

Secondary observational indices: Receiver operating characteristic (ROC) curves were plotted to analyze the diagnostic values of COX-2 and FOXO3a for disease activity. Pearson's correlation coefficient was used to analyze the correlation of the two markers with ESR, CRP, and DAS28 score.

Statistical analysis

SPSS 20.0 (Cabit Information Technology Co., Ltd.) was used to statistically analyze the data. GraphPad Prism 7 (Softhead, Inc.) was used to plot figures. Count data were expressed as percentage (%), analyzed by Chi-square test, and represented by χ2. Kolmogorov-Smirnov test was used to analyze the data distribution. Measurement data were expressed by mean ± standard deviation (means ± SD). The data conforming to normal distribution were analyzed by independent samples t-test, and represented by t. Comparison between multiple groups was made by one-way analysis of variance and represented by F. Pairwise comparison between groups was analyzed by univariate LSD-t test. Pearson's correlation coefficient was used for analyzing the relationship between indices. ROC curves were plotted to analyze the diagnostic values of COX-2 and FOXO3a for disease activity. P<0.05 was considered to indicate a statistically significant difference.

Results

Clinical data

There were statistically significant differences between the study and the control group in terms of CRP and ESR (P<0.05), but not in terms of sex, age, body mass index (BMI), past medical history, history of smoking, history of alcoholism, and place of residence (P>0.05) (Table I).

Table I

Baseline data.

Table I

Baseline data.

FactorsStudy group (n=60)Control group (n=30)t/χ2 valueP-value
Sex  0.4330.511
     Male16 (26.67)10 (33.33)  
     Female44 (73.33)20 (66.67)  
Age (years)60.4±10.758.7±8.90.7500.455
BMI (kg/m2)22.04±1.7722.59±1.801.3820.171
Past medical history    
     Hypertension19 (31.67)8 (26.67)0.2380.626
     Diabetes22 (36.67)10 (33.33)0.0970.756
     Hyperlipemia12 (20.00)5 (16.67)0.1450.703
History of smoking  0.4070.524
     Yes18 (30.00)11 (36.67)  
     No42 (70.00)19 (63.33)  
History of alcoholism  0.0780.781
     Yes5 (8.33)2 (6.67)  
     No55 (91.67)28 (93.33)  
Place of residence  0.2150.643
     City37 (61.67)20 (66.67)  
     Countryside23 (38.33)10 (33.33)  
Course of disease (years)8.54±2.11   
CRP (mg/l)53.84±22.065.81±2.8711.842<0.001
ESR (mm/h)33.15±18.229.88±4.456.876<0.001
DAS28 score3.12±1.45   

[i] BMI, body mass index; CRP, C-reactive protein; ESR, erythrocyte sedimentation rate.

Expression levels of COX-2 and FOXO3a in the study and the control group

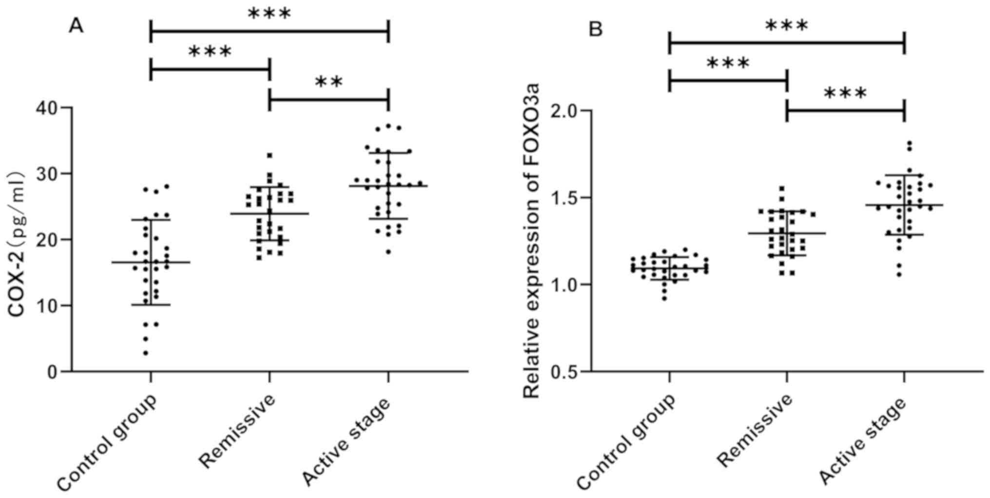
According to the detection results, the expression levels of COX-2 and FOXO3a in the study group were significantly higher than those in the control group (P<0.05). The comparison of COX-2 and FOXO3a expression levels between the active and remissive patients showed that the expression levels in active patients were significantly higher than those in remissive patients (P<0.05) (Fig. 1).

Figure 1

Expression levels of COX-2 and FOXO3a in the study group. (A) COX-2 was highly expressed in patients with RA. The expression of COX-2 in active patients was higher than that in remissive patients. (B) FOXO3a was highly expressed in patients with RA. The expression of FOXO3a in active patients was higher than that in remissive patients. **P<0.01, ***P<0.001. COX, cyclooxygenase; FOXO3a, forkhead box O3a; RA, rheumatoid arthritis.

Diagnostic values of COX-2 and FOXO3a for disease activity

According to the ROC curves, the area under the curve (AUC) of COX-2 was 0.748. When the specificity was 62.50% and the sensitivity was 85.71%, the best cut-off value of COX-2 was 27.671 pg/ml. The AUC of FOXO3a was 0.802. When the specificity was 68.75% and the sensitivity was 92.85%, the best cut-off value of FOXO3a was 1.424. The AUC of CRP was 0.708. When the specificity was 80.00% and the sensitivity was 65.00%, the best cut-off value of CRP was 7.25 mg/l. The AUC of ESR was 0.702. When the specificity was 86.67% and the sensitivity was 46.67%, the best cut-off value of ESR was 14.85 mm/h (Table II and Fig. 2).

Figure 2

ROC curves. Blue line represents FOXO3a and red line represents COX-2. Green line represents CRP and the light brown line represents ESR. ROC, receiver operating characteristic; COX, cyclooxygenase; FOXO3a, forkhead box O3a; CRP, C-reactive protein; ESR, erythrocyte sedimentation rate.

Table II

ROC parameters.

Table II

ROC parameters.

IndicatorsAUC95% CISpecificity (%)Sensitivity (%)Youden index (%)Cut-off
COX-20.7480.624-0.87162.5085.7148.21<27.671 pg/ml
FOXO3a0.8020.689-0.91668.7592.8561.61<1.424
CRP0.7080.613-0.80380.0065.0045.00<7.25 mg/l
ESR0.7020.609-0.79486.6746.6733.33<14.85 mm/h

[i] ROC, receiver operating characteristic; AUC, area under the curve; 95% CI, 95% confidence interval; Cut-off, best cut-off value; COX, cyclooxygenase; FOXO3a, forkhead box O3a; CRP, C-reactive protein; ESR, erythrocyte sedimentation rate.

Correlation of COX-2 and FOXO3a with ESR, CRP, and DAS28 score

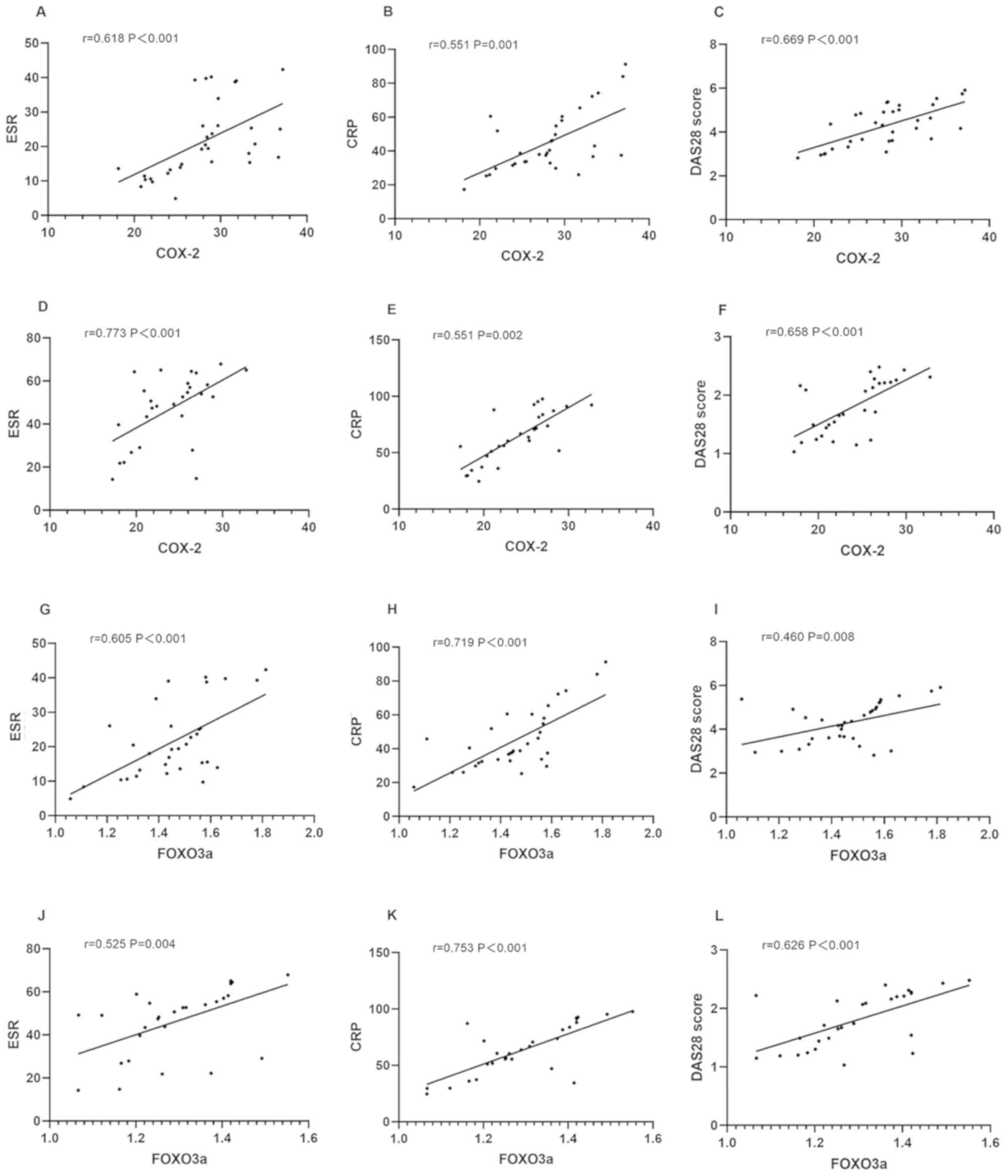
According to Pearson's correlation coefficient, the expression levels of COX-2 and FOXO3a were positively correlated with ESR, CRP, and DAS28 score of active and remissive patients (both P<0.05) (Tables III and IV, and Fig. 3).

Figure 3

Correlation of COX-2 and FOXO3a with ESR, CRP, and DAS28 score. The correlation of COX-2 with (A) ESR, (B) CRP, and (C) DAS28 score of active patients is presented. The correlation of COX-2 with (D) ESR, (E) CRP, and (F) DAS28 score of remissive patients is presented. The correlation of FOXO3a with (G) ESR, (H) CRP, and (I) DAS28 score of active patients is presented. The correlation of FOXO3a with (J) ESR, (K) CRP, and (L) DAS28 score of remissive patients is presented. COX, cyclooxygenase; FOXO3a, forkhead box O3a; ESR, erythrocyte sedimentation rate; CRP, C-reactive protein.

Table III

Correlation of COX-2 with ESR, CRP, and DAS28 score.

Table III

Correlation of COX-2 with ESR, CRP, and DAS28 score.

 Active patients (n=28)Remissive patients (n=32)
Factorsr valueP-valuer valueP-value
ESR0.618<0.0010.773<0.001
CRP0.5510.0010.5510.002
DAS280.669<0.0010.658<0.001

[i] COX, cyclooxygenase; ESR, erythrocyte sedimentation rate; CRP, C-reactive protein.

Table IV

Correlation of FOXO3a with ESR, CRP, and DAS28 score.

Table IV

Correlation of FOXO3a with ESR, CRP, and DAS28 score.

 Active patients (n=28)Remissive patients (n=32)
Factorsr valueP-valuer valueP-value
ESR0.605<0.0010.5250.004
CRP0.719<0.0010.753<0.001
DAS280.4600.0080.626<0.001

[i] FOXO3a, forkhead box O3a; ESR, erythrocyte sedimentation rate; CRP, C-reactive protein.

Discussion

RA is the most common joint disease in clinical practice. Systemic inflammatory responses stimulate the proliferation of synovial cells, cause the formation of invasive pannus, and damage the cartilage and bone tissue, thereby leading to the disease (17). Statistics have shown that the disability rate of RA in China is high, and the disease seriously affects the patients' daily life and work (18). The disease is currently treated with anti-inflammatory agents and analgesics, both of which only relieve patients' conditions, but cannot cure the disease (19). Therefore, it is essential to find new therapeutic targets to improve the conditions.

In this study, the expression of COX-2 in the study group was significantly higher than that in the control group. A large number of studies have shown that COX-2 is highly expressed in patients with RA (20,21), which is consistent with our findings. Therefore, COX-2 inhibitors have been widely used in clinical practice, especially in the treatment of RA (22,23). As a subfamily member of forkhead transcription factors, FOXO3a mediates apoptosis, cell proliferation, cell cycle progression, DNA damage, and tumorigenesis (24). However, there are few studies on FOXO3a in RA. In this study, the expression of FOXO3a in the study group was found to be significantly higher than that in the control group, indicating that FOXO3a is differentially expressed in patients with RA and healthy subjects. In a study by Turrel-Davin et al (25), the expression of serum FOXO3a in patients with RA, as detected by microarray chips, was significantly higher than that in healthy subjects, which is consistent with our findings.

According to different disease activities, the patients were divided into active and remissive patients. The expression levels of COX-2 and FOXO3a in remissive patients were significantly lower than those in active patients. According to Turrel-Davin et al (25), the overexpression of FOXO3a promotes the proliferation and survival of neutrophils and synovial T cells in the peripheral blood of patients with RA. Therefore, the conditions of active patients were more severe than those of remissive patients, possibly because the promotion of the overexpression aggravates the patients' conditions. However, it is still unclear whether COX-2 and FOXO3a can be used as markers to distinguish active patients from remissive patients. According to the ROC curves, the AUCs of COX-2 and FOXO3a were 0.748 and 0.802, respectively, slightly higher than those of ESR and CRP, indicating that COX-2 and FOXO3a have good diagnostic values for active and remissive patients.

Finally, the correlation of COX-2 and FOXO3a with ESR, CRP, and DAS28 score of active and remissive patients were analyzed. DAS28 score, the accuracy of which has been confirmed in a number of tests, is an internationally recognized standard for evaluating the conditions of patients with RA through laboratory parameters and swollen joint count (26). CRP is not the best specific indicator, however, is an important laboratory parameter for RA activity, because its increase directly reflects inflammation (27). ESR is an important index for the clinical observation of RA. Rouleaux formation is easy to occur in erythrocytes due to the massive production of inflammatory cytokines in patients, thereby accelerating ESR (28). According to Pearson's correlation coefficient, COX-2 and FOXO3a were shown to be positively correlated the ESR, CRP, and DAS28 score of active and remissive patients, which suggests that COX-2 and FOXO3a may relieve the patients' conditions.

The present study proves that COX-2 and FOXO3a are highly expressed in patients with RA, and that the two markers can be used as potential indicators for distinguishing different disease activities. However, there are still limitations. The expression levels of COX-2 and FOXO3a in the synovial tissue of the patients were not detected. The relationship between FOXO3a and COX-2 was not fully explored in this clinical study. The mechanism of action of FOXO3a in RA is also unclear. The expression levels of the two markers in the patients' serum were detected, however, the patients were not followed up. Therefore, further study is still required.

In conclusion, the expression levels of COX-2 and FOXO3a in patients with RA are upregulated, so the two markers may be involved in the development and progression of the disease. The expression levels of COX-2 and FOXO3a are related to the disease activity of RA, and thus, they can be used as diagnostic indicators.

Acknowledgements

Not applicable.

Funding

No funding was received.

Availability of data and materials

The datasets used and/or analyzed during the present study are available from the corresponding author on reasonable request.

Authors' contributions

BW wrote the manuscript. BW and XH performed PCR and ELISA. JL analyzed and interpreted the patient data, and assisted with statistical analysis. All authors read and approved the final manuscript.

Ethics approval and consent to participate

The study was approved by the Medical Ethics Committee of the People's Hospital of Guangxi Zhuang Autonomous Region (Nanning, China). Patients who participated in this research signed an informed consent and had complete clinical data.

Patient consent for publication

Not applicable.

Competing interests

The authors declare that they have no competing interests.

References

1 

Singh JA, Saag KG, Bridges SL Jr, Akl EA, Bannuru RR, Sullivan MC, Vaysbrot E, McNaughton C, Osani M, Shmerling RH, et al: 2015 American College of Rheumatology Guideline for the Treatment of Rheumatoid Arthritis. Arthritis Rheumatol. 68:1–26. 2016.PubMed/NCBI View Article : Google Scholar

2 

Jin S, Li M, Fang Y, Li Q, Liu J, Duan X, Liu Y, Wu R, Shi X, Wang Y, et al: CREDIT Co-authors: Chinese Registry of rheumatoid arthritis (CREDIT): II prevalence and risk factors of major comorbidities in Chinese patients with rheumatoid arthritis. Arthritis Res Ther. 19(251)2017.PubMed/NCBI View Article : Google Scholar

3 

de Achaval S and Suarez-Almazor ME: Treatment adherence to disease-modifying antirheumatic drugs in patients with rheumatoid arthritis and systemic lupus erythematosus. Int J Clin Rheumatol. 5:313–326. 2010.PubMed/NCBI View Article : Google Scholar

4 

Malmström V, Catrina AI and Klareskog L: The immunopathogenesis of seropositive rheumatoid arthritis: From triggering to targeting. Nat Rev Immunol. 17:60–75. 2017.PubMed/NCBI View Article : Google Scholar

5 

Catrina AI, Joshua V, Klareskog L and Malmström V: Mechanisms involved in triggering rheumatoid arthritis. Immunol Rev. 269:162–174. 2016.PubMed/NCBI View Article : Google Scholar

6 

Zelenay S, van der Veen AG, Böttcher JP, Snelgrove KJ, Rogers N, Acton SE, Chakravarty P, Girotti MR, Marais R, Quezada SA, et al: Cyclooxygenase-dependent tumor growth through evasion of immunity. Cell. 162:1257–1270. 2015.PubMed/NCBI View Article : Google Scholar

7 

Depboylu C, Weihe E and Eiden LE: COX1 and COX2 expression in non-neuronal cellular compartments of the rhesus macaque brain during lentiviral infection. Neurobiol Dis. 42:108–115. 2011.PubMed/NCBI View Article : Google Scholar

8 

Yang CM, Chen YW, Chi PL, Lin CC and Hsiao LD: Resveratrol inhibits BK-induced COX-2 transcription by suppressing acetylation of AP-1 and NF-κB in human rheumatoid arthritis synovial fibroblasts. Biochem Pharmacol. 132:77–91. 2017.PubMed/NCBI View Article : Google Scholar

9 

Walther U, Emmrich K, Ramer R, Mittag N and Hinz B: Lovastatin lactone elicits human lung cancer cell apoptosis via a COX-2/PPARγ-dependent pathway. Oncotarget. 7:10345–10362. 2016.PubMed/NCBI View Article : Google Scholar

10 

Lowin T, Apitz M, Anders S and Straub RH: Anti-inflammatory effects of N-acylethanolamines in rheumatoid arthritis synovial cells are mediated by TRPV1 and TRPA1 in a COX-2 dependent manner. Arthritis Res Ther. 17(321)2015.PubMed/NCBI View Article : Google Scholar

11 

Tang YL, Huang LB, Lin WH, Wang LN, Tian Y, Shi D, Wang J, Qin G, Li A, Liang YN, et al: Butein inhibits cell proliferation and induces cell cycle arrest in acute lymphoblastic leukemia via FOXO3a/p27kip1 pathway. Oncotarget. 7:18651–18664. 2016.PubMed/NCBI View Article : Google Scholar

12 

Obexer P, Geiger K, Ambros PF, Meister B and Ausserlechner MJ: FKHRL1-mediated expression of Noxa and Bim induces apoptosis via the mitochondria in neuroblastoma cells. Cell Death Differ. 14:534–547. 2007.PubMed/NCBI View Article : Google Scholar

13 

Jiang Y, Zou L, Lu WQ, Zhang Y and Shen AG: Foxo3a expression is a prognostic marker in breast cancer. PLoS One. 8(e70746)2013.PubMed/NCBI View Article : Google Scholar

14 

Viatte S, Lee JC, Fu B, Espéli M, Lunt M, De Wolf JN, Wheeler L, Reynolds JA, Castelino M, Symmons DP, et al: Association between genetic variation in FOXO3 and reductions in inflammation and disease activity in inflammatory polyarthritis. Arthritis Rheumatol. 68:2629–2636. 2016.PubMed/NCBI View Article : Google Scholar

15 

Aletaha D, Neogi T, Silman AJ, Funovits J, Felson DT, Bingham CO III, Birnbaum NS, Burmester GR, Bykerk VP, Cohen MD, et al: 2010 Rheumatoid arthritis classification criteria: An American College of Rheumatology/European League Against Rheumatism collaborative initiative. Arthritis Rheum. 62:2569–2581. 2010.PubMed/NCBI View Article : Google Scholar

16 

Livak KJ and Schmittgen TD: Analysis of relative gene expression data using real-time quantitative PCR and the 2(-Delta Delta C(T)) Method. Methods. 25:402–408. 2001.PubMed/NCBI View Article : Google Scholar

17 

Narayan N, Owen DR, Mandhair H, Smyth E, Carlucci F, Saleem A, Gunn RN, Rabiner EA, Wells L, Dakin SG, et al: Translocator protein as an imaging marker of macrophage and stromal activation in rheumatoid arthritis pannus. J Nucl Med. 59:1125–1132. 2018.PubMed/NCBI View Article : Google Scholar

18 

Gong G and Mao J: Health-related quality of life among Chinese patients with rheumatoid arthritis: The predictive roles of fatigue, functional disability, self-efficacy, and social support. Nurs Res. 65:55–67. 2016.PubMed/NCBI View Article : Google Scholar

19 

Smith SR, Deshpande BR, Collins JE, Katz JN and Losina E: Comparative pain reduction of oral non-steroidal anti-inflammatory drugs and opioids for knee osteoarthritis: Systematic analytic review. Osteoarthritis Cartilage. 24:962–972. 2016.PubMed/NCBI View Article : Google Scholar

20 

Fan HW, Liu GY, Zhao CF, Li XF and Yang XY: Differential expression of COX-2 in osteoarthritis and rheumatoid arthritis. Genet Mol Res. 14:12872–12879. 2015.PubMed/NCBI View Article : Google Scholar

21 

Peng A, Lu X, Huang J, He M, Xu J, Huang H and Chen Q: Rheumatoid arthritis synovial fibroblasts promote TREM-1 expression in monocytes via COX-2/PGE 2 pathway. Arthritis Res Ther. 21(169)2019.PubMed/NCBI View Article : Google Scholar

22 

Roubille C, Richer V, Starnino T, McCourt C, McFarlane A, Fleming P, Siu S, Kraft J, Lynde C, Pope J, et al: The effects of tumour necrosis factor inhibitors, methotrexate, non-steroidal anti-inflammatory drugs and corticosteroids on cardiovascular events in rheumatoid arthritis, psoriasis and psoriatic arthritis: A systematic review and meta-analysis. Ann Rheum Dis. 74:480–489. 2015.PubMed/NCBI View Article : Google Scholar

23 

Nissen SE, Yeomans ND, Solomon DH, Lüscher TF, Libby P, Husni ME, Graham DY, Borer JS, Wisniewski LM, Wolski KE, et al: PRECISION Trial Investigators: Cardiovascular safety of celecoxib, naproxen, or ibuprofen for arthritis. N Engl J Med. 375:2519–2529. 2016.PubMed/NCBI View Article : Google Scholar

24 

Codogno P and Morel E: FOXO3a provides a quickstep from autophagy inhibition to apoptosis in cancer therapy. Dev Cell. 44:537–539. 2018.PubMed/NCBI View Article : Google Scholar

25 

Turrel-Davin F, Tournadre A, Pachot A, Arnaud B, Cazalis MA, Mougin B and Miossec P: FoxO3a involved in neutrophil and T cell survival is overexpressed in rheumatoid blood and msynovial tissue. Ann Rheum Dis. 69:755–760. 2010.PubMed/NCBI View Article : Google Scholar

26 

Yoshida K, Matsui K, Nakano H, Oshikawa H, Utsunomiya M, Kobayashi T, Kimura M, Deshpande GA and Kishimoto M: Response to ‘Pain persists in DAS28 rheumatoid arthritis remission but not in ACR/EULAR remission: A longitudinal observational study’. Arthritis Res Ther. 13(405)2011.PubMed/NCBI View Article : Google Scholar

27 

Sheehy C, Evans V, Hasthorpe H and Mukhtyar C: Revising DAS28 scores for remission in rheumatoid arthritis. Clin Rheumatol. 33:269–272. 2014.PubMed/NCBI View Article : Google Scholar

28 

Shimada K, Komiya A, Yokogawa N, Nishino J, Sugii S and Tohma S: Impact of the size and number of swollen joints on serum C-reactive protein level and erythrocyte sedimentation rate in rheumatoid arthritis: A cross-sectional study in Japan. Clin Rheumatol. 36:427–431. 2017.PubMed/NCBI View Article : Google Scholar

Related Articles

  • Abstract
  • View
  • Download
  • Twitter
Copy and paste a formatted citation
Spandidos Publications style
Wang B, Huang X and Lin J: Serum COX‑2 and FOXO3a in patients with rheumatoid arthritis and correlation with disease activity. Exp Ther Med 20: 910-916, 2020.
APA
Wang, B., Huang, X., & Lin, J. (2020). Serum COX‑2 and FOXO3a in patients with rheumatoid arthritis and correlation with disease activity. Experimental and Therapeutic Medicine, 20, 910-916. https://doi.org/10.3892/etm.2020.8779
MLA
Wang, B., Huang, X., Lin, J."Serum COX‑2 and FOXO3a in patients with rheumatoid arthritis and correlation with disease activity". Experimental and Therapeutic Medicine 20.2 (2020): 910-916.
Chicago
Wang, B., Huang, X., Lin, J."Serum COX‑2 and FOXO3a in patients with rheumatoid arthritis and correlation with disease activity". Experimental and Therapeutic Medicine 20, no. 2 (2020): 910-916. https://doi.org/10.3892/etm.2020.8779
Copy and paste a formatted citation
x
Spandidos Publications style
Wang B, Huang X and Lin J: Serum COX‑2 and FOXO3a in patients with rheumatoid arthritis and correlation with disease activity. Exp Ther Med 20: 910-916, 2020.
APA
Wang, B., Huang, X., & Lin, J. (2020). Serum COX‑2 and FOXO3a in patients with rheumatoid arthritis and correlation with disease activity. Experimental and Therapeutic Medicine, 20, 910-916. https://doi.org/10.3892/etm.2020.8779
MLA
Wang, B., Huang, X., Lin, J."Serum COX‑2 and FOXO3a in patients with rheumatoid arthritis and correlation with disease activity". Experimental and Therapeutic Medicine 20.2 (2020): 910-916.
Chicago
Wang, B., Huang, X., Lin, J."Serum COX‑2 and FOXO3a in patients with rheumatoid arthritis and correlation with disease activity". Experimental and Therapeutic Medicine 20, no. 2 (2020): 910-916. https://doi.org/10.3892/etm.2020.8779
Follow us
  • Twitter
  • LinkedIn
  • Facebook
About
  • Spandidos Publications
  • Careers
  • Cookie Policy
  • Privacy Policy
How can we help?
  • Help
  • Live Chat
  • Contact
  • Email to our Support Team