Spandidos Publications Logo
  • About
    • About Spandidos
    • Aims and Scopes
    • Abstracting and Indexing
    • Editorial Policies
    • Reprints and Permissions
    • Job Opportunities
    • Terms and Conditions
    • Contact
  • Journals
    • All Journals
    • Oncology Letters
      • Oncology Letters
      • Information for Authors
      • Editorial Policies
      • Editorial Board
      • Aims and Scope
      • Abstracting and Indexing
      • Bibliographic Information
      • Archive
    • International Journal of Oncology
      • International Journal of Oncology
      • Information for Authors
      • Editorial Policies
      • Editorial Board
      • Aims and Scope
      • Abstracting and Indexing
      • Bibliographic Information
      • Archive
    • Molecular and Clinical Oncology
      • Molecular and Clinical Oncology
      • Information for Authors
      • Editorial Policies
      • Editorial Board
      • Aims and Scope
      • Abstracting and Indexing
      • Bibliographic Information
      • Archive
    • Experimental and Therapeutic Medicine
      • Experimental and Therapeutic Medicine
      • Information for Authors
      • Editorial Policies
      • Editorial Board
      • Aims and Scope
      • Abstracting and Indexing
      • Bibliographic Information
      • Archive
    • International Journal of Molecular Medicine
      • International Journal of Molecular Medicine
      • Information for Authors
      • Editorial Policies
      • Editorial Board
      • Aims and Scope
      • Abstracting and Indexing
      • Bibliographic Information
      • Archive
    • Biomedical Reports
      • Biomedical Reports
      • Information for Authors
      • Editorial Policies
      • Editorial Board
      • Aims and Scope
      • Abstracting and Indexing
      • Bibliographic Information
      • Archive
    • Oncology Reports
      • Oncology Reports
      • Information for Authors
      • Editorial Policies
      • Editorial Board
      • Aims and Scope
      • Abstracting and Indexing
      • Bibliographic Information
      • Archive
    • Molecular Medicine Reports
      • Molecular Medicine Reports
      • Information for Authors
      • Editorial Policies
      • Editorial Board
      • Aims and Scope
      • Abstracting and Indexing
      • Bibliographic Information
      • Archive
    • World Academy of Sciences Journal
      • World Academy of Sciences Journal
      • Information for Authors
      • Editorial Policies
      • Editorial Board
      • Aims and Scope
      • Abstracting and Indexing
      • Bibliographic Information
      • Archive
    • International Journal of Functional Nutrition
      • International Journal of Functional Nutrition
      • Information for Authors
      • Editorial Policies
      • Editorial Board
      • Aims and Scope
      • Abstracting and Indexing
      • Bibliographic Information
      • Archive
    • International Journal of Epigenetics
      • International Journal of Epigenetics
      • Information for Authors
      • Editorial Policies
      • Editorial Board
      • Aims and Scope
      • Abstracting and Indexing
      • Bibliographic Information
      • Archive
    • Medicine International
      • Medicine International
      • Information for Authors
      • Editorial Policies
      • Editorial Board
      • Aims and Scope
      • Abstracting and Indexing
      • Bibliographic Information
      • Archive
  • Articles
  • Information
    • Information for Authors
    • Information for Reviewers
    • Information for Librarians
    • Information for Advertisers
    • Conferences
  • Language Editing
Spandidos Publications Logo
  • About
    • About Spandidos
    • Aims and Scopes
    • Abstracting and Indexing
    • Editorial Policies
    • Reprints and Permissions
    • Job Opportunities
    • Terms and Conditions
    • Contact
  • Journals
    • All Journals
    • Biomedical Reports
      • Information for Authors
      • Editorial Policies
      • Editorial Board
      • Aims and Scope
      • Abstracting and Indexing
      • Bibliographic Information
      • Archive
    • Experimental and Therapeutic Medicine
      • Information for Authors
      • Editorial Policies
      • Editorial Board
      • Aims and Scope
      • Abstracting and Indexing
      • Bibliographic Information
      • Archive
    • International Journal of Epigenetics
      • Information for Authors
      • Editorial Policies
      • Editorial Board
      • Aims and Scope
      • Abstracting and Indexing
      • Bibliographic Information
      • Archive
    • International Journal of Functional Nutrition
      • Information for Authors
      • Editorial Policies
      • Editorial Board
      • Aims and Scope
      • Abstracting and Indexing
      • Bibliographic Information
      • Archive
    • International Journal of Molecular Medicine
      • Information for Authors
      • Editorial Policies
      • Editorial Board
      • Aims and Scope
      • Abstracting and Indexing
      • Bibliographic Information
      • Archive
    • International Journal of Oncology
      • Information for Authors
      • Editorial Policies
      • Editorial Board
      • Aims and Scope
      • Abstracting and Indexing
      • Bibliographic Information
      • Archive
    • Medicine International
      • Information for Authors
      • Editorial Policies
      • Editorial Board
      • Aims and Scope
      • Abstracting and Indexing
      • Bibliographic Information
      • Archive
    • Molecular and Clinical Oncology
      • Information for Authors
      • Editorial Policies
      • Editorial Board
      • Aims and Scope
      • Abstracting and Indexing
      • Bibliographic Information
      • Archive
    • Molecular Medicine Reports
      • Information for Authors
      • Editorial Policies
      • Editorial Board
      • Aims and Scope
      • Abstracting and Indexing
      • Bibliographic Information
      • Archive
    • Oncology Letters
      • Information for Authors
      • Editorial Policies
      • Editorial Board
      • Aims and Scope
      • Abstracting and Indexing
      • Bibliographic Information
      • Archive
    • Oncology Reports
      • Information for Authors
      • Editorial Policies
      • Editorial Board
      • Aims and Scope
      • Abstracting and Indexing
      • Bibliographic Information
      • Archive
    • World Academy of Sciences Journal
      • Information for Authors
      • Editorial Policies
      • Editorial Board
      • Aims and Scope
      • Abstracting and Indexing
      • Bibliographic Information
      • Archive
  • Articles
  • Information
    • For Authors
    • For Reviewers
    • For Librarians
    • For Advertisers
    • Conferences
  • Language Editing
Login Register Submit
  • This site uses cookies
  • You can change your cookie settings at any time by following the instructions in our Cookie Policy. To find out more, you may read our Privacy Policy.

    I agree
Search articles by DOI, keyword, author or affiliation
Search
Advanced Search
presentation
Experimental and Therapeutic Medicine
Join Editorial Board Propose a Special Issue
Print ISSN: 1792-0981 Online ISSN: 1792-1015
Journal Cover
November-2021 Volume 22 Issue 5

Full Size Image

Sign up for eToc alerts
Recommend to Library

Journals

International Journal of Molecular Medicine

International Journal of Molecular Medicine

International Journal of Molecular Medicine is an international journal devoted to molecular mechanisms of human disease.

International Journal of Oncology

International Journal of Oncology

International Journal of Oncology is an international journal devoted to oncology research and cancer treatment.

Molecular Medicine Reports

Molecular Medicine Reports

Covers molecular medicine topics such as pharmacology, pathology, genetics, neuroscience, infectious diseases, molecular cardiology, and molecular surgery.

Oncology Reports

Oncology Reports

Oncology Reports is an international journal devoted to fundamental and applied research in Oncology.

Experimental and Therapeutic Medicine

Experimental and Therapeutic Medicine

Experimental and Therapeutic Medicine is an international journal devoted to laboratory and clinical medicine.

Oncology Letters

Oncology Letters

Oncology Letters is an international journal devoted to Experimental and Clinical Oncology.

Biomedical Reports

Biomedical Reports

Explores a wide range of biological and medical fields, including pharmacology, genetics, microbiology, neuroscience, and molecular cardiology.

Molecular and Clinical Oncology

Molecular and Clinical Oncology

International journal addressing all aspects of oncology research, from tumorigenesis and oncogenes to chemotherapy and metastasis.

World Academy of Sciences Journal

World Academy of Sciences Journal

Multidisciplinary open-access journal spanning biochemistry, genetics, neuroscience, environmental health, and synthetic biology.

International Journal of Functional Nutrition

International Journal of Functional Nutrition

Open-access journal combining biochemistry, pharmacology, immunology, and genetics to advance health through functional nutrition.

International Journal of Epigenetics

International Journal of Epigenetics

Publishes open-access research on using epigenetics to advance understanding and treatment of human disease.

Medicine International

Medicine International

An International Open Access Journal Devoted to General Medicine.

Journal Cover
November-2021 Volume 22 Issue 5

Full Size Image

Sign up for eToc alerts
Recommend to Library

  • Article
  • Citations
    • Cite This Article
    • Download Citation
    • Create Citation Alert
    • Remove Citation Alert
    • Cited By
  • Similar Articles
    • Related Articles (in Spandidos Publications)
    • Similar Articles (Google Scholar)
    • Similar Articles (PubMed)
  • Download PDF
  • Download XML
  • View XML
Article Open Access

Linc8986 and linc0597 in plasma are novel biomarkers for systemic lupus erythematosus

  • Authors:
    • Chunli Rong
    • Huafeng Xu
    • Changxin Yan
    • Feng Wei
    • Haizhou Zhou
    • Xiuru Guan
  • View Affiliations / Copyright

    Affiliations: Department of Laboratory Diagnosis, The First Affiliated Hospital of Harbin Medical University, Harbin, Heilongjiang 150001, P.R. China, Department of Radio‑Immunity, Heilongjiang Provincial Hospital, Harbin, Heilongjiang 150081, P.R. China
    Copyright: © Rong et al. This is an open access article distributed under the terms of Creative Commons Attribution License.
  • Article Number: 1210
    |
    Published online on: August 24, 2021
       https://doi.org/10.3892/etm.2021.10644
  • Expand metrics +
Metrics: Total Views: 0 (Spandidos Publications: | PMC Statistics: )
Metrics: Total PDF Downloads: 0 (Spandidos Publications: | PMC Statistics: )
Cited By (CrossRef): 0 citations Loading Articles...

This article is mentioned in:



Abstract

Despite increasing evidence that large intergenic non‑coding RNAs (lincRNAs) are widely involved in human disease, the role of lincRNAs in the development of systemic lupus erythematosus (SLE) has remained largely elusive. The purpose of the present study was to investigate the expression of three lincRNAs (linc0597, linc8986 and linc7190) in the plasma of patients with SLE and their potential use as biomarkers for the diagnosis and treatment of SLE. Plasma samples were obtained from 54 patients with SLE, 24 patients with rheumatoid arthritis (RA), 24 patients with Sjogren's syndrome (SS) and 22 healthy controls. LincRNA expression levels were measured by reverse transcription‑quantitative PCR. Compared with those in the healthy controls, the plasma levels of linc0597 and linc8986 were significantly increased in the patients with SLE (P<0.001), while the difference in the level of linc7190 was not significant (P=0.052). In addition, there was no significant difference in the levels of linc0597 and linc8986 among patients with RA, patients with SS and the healthy controls (P>0.05). Compared with patients with SLE without lupus nephritis (LN), the levels of linc0597 were significantly higher in patients with LN (P=0.044). For linc7190 and linc8986, there was no significant difference between patients with and without LN (P>0.05). Furthermore, complement component 3 (C3) levels were used to evaluate whether the expression of linc8986 and linc0597 is related to the activity of SLE. The results indicated that the levels of linc8986 and linc0597 were negatively correlated with the level of C3 (P<0.001 and P=0.004, respectively). Further analysis suggested that linc0597 and linc8986 were able to specifically identify patients with SLE and that a combination of linc0597 and linc8986 may improve the diagnostic accuracy. Therefore, the plasma levels of linc0597 and linc8986 may be suitable biomarkers for diagnosing SLE.

Introduction

Systemic lupus erythematosus (SLE) is a serious chronic autoimmune disease characterized by loss of tolerance to autoantigens, a variety of immune abnormalities and high titer of autoantibodies against nuclear components (1). It is a highly heterogeneous disease and different patients may have distinct symptoms and clinical characteristics (2). The pathogenesis of SLE is complex and it is thought that genetic susceptibilities and environmental factors have a key role in the development of SLE (3). Lupus nephritis (LN), one of the most serious manifestations of SLE, is the major cause of a large number of SLE-related deaths (4,5). In the internationally recognized SLE classification standard, complement component 3 (C3) and C4 are among the immunological diagnostic items for SLE (6,7). Although plasma levels of C3 and C4 are of certain diagnostic value for SLE, they are not specific diagnostic indicators (8). Therefore, it is critical to identify more diagnostic indicators and therapeutic targets for SLE.

The importance of non-coding RNAs (ncRNAs), such as microRNAs (miRNAs), has been emphasized in numerous biological and pathological processes (9). Several studies have demonstrated the feasibility of using miRNAs in bodily fluids as a biomarker for the diagnosis of SLE (10,11). Although miRNAs have an important role in SLE, they account for only a small fraction of the non-coding region of the mammalian genome. Unlike miRNAs, long non-coding RNAs (lncRNAs) are highly expressed, including large intergenic ncRNAs (lincRNAs) (12). LincRNAs have been indicated to have an important role in the course of autoimmune diseases and studies on rheumatoid arthritis (RA) (13) and autoimmune thyroid diseases (14) have provided evidence to confirm this hypothesis. The relationship between SLE and lincRNAs has been a research hotspot and has been preliminarily explored in several reports. Wu et al (15) reported that the expression levels of linc0597 and linc0949 in peripheral blood mononuclear cells of patients with SLE were significantly downregulated compared with those of healthy controls, suggesting that linc0597 and linc0949 may be biomarkers for the diagnosis of SLE. Zheng et al (16) determined that soluble TNF receptor 1 (sTNF-R1 and linc0597 may serve as biomarkers for the diagnosis of LN and were associated with disease activity in SLE. In another study of 24 patients with SLE, the lncRNA growth arrest-specific 5 was identified as a potential biomarker for SLE (17). Li et al (18) measured the expression of lincRNAs by reverse transcription-quantitative PCR (RT-qPCR) after 8 h of treatment of THP-1 macrophages with Pam3-Cys-Ser-Lys4 (Pam3CSK4). Among them, there was a clear decrease in the expression levels of linc7190 and linc0597, while the expression of linc8986 increased significantly. In addition, linc7190 was indicated to have a regulatory effect on the secretion of interleukin-6 (IL-6) and TNF-α, both of which have been indicated to be involved in the pathogenesis of SLE (19).

There is evidence that lincRNAs are stable in human plasma. In the present study, the expression levels of three lincRNAs, namely linc7190, linc0597 and linc8986, we measured in the plasma of patients with SLE and their relationship with the clinical characteristics and organ damage status of the patients was analyzed. The present study provided a basis for the use of new potential biomarkers for the diagnosis and treatment of SLE.

Materials and methods

Patients and healthy controls

A total of 54 patients with SLE, 24 patients with RA and 24 patients with Sjögren's syndrome (SS) were enrolled at the Department of Rheumatology and Immunology of the First Affiliated Hospital of Harbin Medical University (Harbin, China), as well as 22 healthy individuals matched to the patients with SLE for sex and age from the Physical Examination Center at the First Affiliated Hospital of Harbin Medical University (Harbin, China) between April 2018 and October 2018. Demographic characteristics, disease activity and laboratory parameters were collected from the patients' medical records. All patients with SLE were diagnosed according to the American College of Rheumatology (ACR) 1997 revised criteria (20). Renal damage in SLE was defined by the ACR standard and includes any one of the following: i) Persistent proteinuria ≥0.5 g/day; ii) presence of active tubular cells; iii) biopsy evidence of LN. RA was diagnosed according to the ACR/European League Against Rheumatism 2010 classification criteria (21). SS was diagnosed in accordance with the revised 2002 American-European criteria (22). The exclusion criteria for all patients were as follows: i) Patients with malignant tumors; ii) patients with acute infection within one month prior to admission; and iii) patients with other autoimmune diseases.

The present study was approved by the Research Ethics Committee of the First Affiliated Hospital of Harbin Medical University (Harbin, China). All participants included in the study provided written informed consent.

Obtainment of peripheral blood samples and RNA processing

Blood samples from each donor were collected in EDTA-anticoagulant tubes. The plasma was separated by centrifugation at 1,500 x g for 10 min at room temperature, followed by high-speed centrifugation at 12,000 x g for 10 min at room temperature to completely remove cell debris. The supernatant plasma was recovered and stored at -80˚C until further analysis. Total RNA was extracted from 400 µl plasma by TRIzol® reagent (Invitrogen; Thermo Fisher Scientific, Inc.) according to the manufacturer's protocol. The total RNA concentration was measured using a spectrophotometer (Thermo Fisher Scientific, Inc.) and 200-600 ng of total RNA was obtained from 400 µl plasma.

RT-qPCR

The PrimeScript™ RT Kit (Takara Bio Inc.) was used to eliminate genomic DNA from the RNA samples and to reverse-transcribe RNA into cDNA. To quantify the expression of the three lincRNAs (linc0597, lin8986 and linc7190), cDNA was amplified by PCR using a SYBR Green kit (SYBR® PremixEx Taq™ II; Takara Bio, Inc.) in 20-µl reactions containing 10 µl SYBR Green, 0.4 µl ROX Reference Dye II, 0.2 µM forward primer, 0.2 µM reverse primer, 6 µl sterile deionized water and 2 µl cDNA. The relative expression level of each lincRNA was normalized to GAPDH (23). The following thermocycling conditions were used for PCR: 95˚C for 1 min, followed by 40 cycles of 95˚C for 10 sec, 60˚C for 30 sec and 72˚C for 1 min. After the reaction, the quantification cycle (Cq) value was determined using a fixed threshold setting. The relative expression of the lincRNAs was calculated using the 2-ΔΔCq method (24). The PCR primer sequences were as follows: Linc0597 forward, TTGGATTCATCCCGTTCACCTCCA and reverse, AAAGAAGCAGGACTACCCACT; linc8986 forward, ATCTTGGCCCACAGAGGAGGAAAT and reverse, ATTCCCAGTGACTGCACTGAAGGT; linc7190 forward, CTGCTTTGGAGCAGTTGGGAACTT and reverse, AGACAGGTTTGCTGACGAAGGTCT; and GAPDH forward, CCAACATGCTGACTCACCCTTCC and reverse, ATGGAGTCTCGCTCTGTCACCCA.

Statistical analysis

All statistical analyses were performed using SPSS statistical software version 25.0 (IBM Corporation). Values are expressed as the mean ± standard deviation. The t-test was used to compare age and the Fisher's exact test was used to compare sex between patients with SLE and healthy controls. The nonparametric Mann-Whitney U-test was used to compare differences in the expression of each lincRNA within two groups. The nonparametric Kruskal-Wallis test was used to compare data among three groups. Spearman's rank correlation analysis was used to analyze the correlation between lincRNAs and clinical characteristics and to calculate the correlation coefficient. Receiver operating characteristic (ROC) curve analysis was performed by MedCalc version 18.9 (MedCalc Software bvba). P<0.05 was considered to indicate statistical significance.

Results

Identification of candidate lincRNAs in SLE

The expression levels of three unique lincRNAs, namely linc0597, linc8986 and linc7190, in human plasma were analyzed in 54 patients with SLE (50 females and 4 males; mean age, 39.4±6.3 years) and 22 healthy donors (19 females and 3 males; mean age, 35.9±5.5 years) using RT-qPCR. The mean age and sex distribution did not differ significantly between the patients with SLE and the healthy donors (Table I). As presented in Fig. 1A and B, patients with SLE had significantly higher levels of linc0597 and linc8986 than the healthy controls (both P<0.001). However, the difference in linc7190 levels between patients with SLE and the healthy donors was not significant (P=0.052; Fig. 1C). In addition, in order to determine whether there is an association between lincRNA levels and LN, the patients with SLE were divided into an LN group (n=24) and a non-LN group (n=30). The results indicated that the expression level of linc0597 in the LN and the non-LN groups were significantly higher compared with the healthy controls (P<0.001 and P=0.006) and the linc0597 in the LN group was significantly higher than that in the non-LN group (P=0.044; Fig. 1D). In addition, the levels of linc8986 in the LN and the non-LN groups were significantly higher compared with those in the healthy controls (P<0.001), but there was not significantly different between the LN and non-LN groups (P=0.523; Fig. 1E). The levels of linc7190 in the LN and the non-LN groups were not significantly different compared with the healthy controls (P>0.05), and there was also no significant difference between the LN and non-LN groups (P=0.122; Fig. 1F). To further evaluate the diagnostic capacity of linc0597 and linc8986, 24 patients with RA and 24 patients with SS were selected for analysis and comparison with the healthy control group. As presented in Fig. 1G and H, no significant difference in the plasma levels of linc0597 and linc8986 was observed between the patients with RA, the patients with SS and the healthy controls (P=0.468 and P=0.674, respectively). Overall, the results suggested that increased levels of linc0597 and linc8986 in plasma may be associated with SLE.

Figure 1

Validation of candidate lncRNAs (linc0597, linc8986 and linc7190) identified in plasma of patients with SLE and HCs. The expression levels of the three candidate lncRNAs in 54 patients with SLE and 24 HCs were analyzed by reverse transcription-quantitative PCR and normalized to GAPDH. (A) Increased expression of linc0597 in total patients with SLE vs. HCs. (B) Increased expression of linc8986 in total patients with SLE vs. HCs. (C) Expression of linc7190 in total patients with SLE vs. HCs. (D) Increased expression of linc0597 in patients with SLE with and without nephritis vs. HCs. (E) Increased expression of linc8986 in patients with SLE with and without nephritis vs. HCs. (F) Expression of linc7190 in patients with SLE with and without nephritis vs. HCs. Each symbol represents an individual subject; horizontal lines indicate median values. (G) Expression of linc0597 in patients with RA vs. patients with SS vs. HCs. (H) Expression of linc8986 in patients with RA vs. patients with SS vs. HCs. The three horizontal lines in the figure indicate the upper quartile, the median and the lower quartile values, respectively. *P<0.05, **P<0.01, ***P<0.001. ns, no significance; HC, healthy control; SLE, systemic lupus erythematosus; RA, rheumatoid arthritis; SS, Sjögren's syndrome; lncRNA, long non-coding RNA; linc, large intergenic non-coding RNA.

Table I

Clinical features of patients with systemic lupus erythematosus.

Table I

Clinical features of patients with systemic lupus erythematosus.

CharacteristicHC (n=22)Patients (n=54)P-value
Age, years35.9±5.539.4±6.30.245
Sex (male/female)3/194/500.406
Anti-dsDNA (P/N)a-27/22 
Disease duration, years-2.5±1.5 
LN (P/N)-24/30 
ESR (P/N)a-37/14 
C3 level, mg/dla   
     <80-38 
     ≥80-13 
Methylprednisolone dosea, mg/day   
     ≥30-33 
     <30-19 

[i] aSince certain patients were not examined, the number of patients listed in this feature is less than the total number of patients. The normally distributed data are presented as the mean ± standard deviation. The abstract independent-samples t-test was used for age and Fisher's exact test was used for sex to calculate P-values for SLE patients vs. healthy controls. HC, healthy controls; anti-dsDNA, anti-double-stranded DNA; LN, lupus nephritis; P/N, positive/normal; SLE, systemic lupus erythematosus; ESR, erythrocyte sedimentation rate.

Correlation between the candidate lincRNAs and clinical features of SLE

To determine whether the experssion levels of lincRNA was related to clinical features, autoantibody profiles and hormone therapy, we analyzed the correlation of the expression of plasma linc0597 and linc8986 with clinical parameters of patients with SLE (Table II). The expression levels of linc0597 and linc8986 were both negatively correlated with C3 levels (P=0.004 and P<0.001, respectively; Table II) and the expression levels of linc0597 was positively correlated with erythrocyte sedimentation rate (ESR) (P=0.039; Table II).

Table II

Correlation of the expression of plasma linc0597 and linc8986 with clinical parameters of patients with systemic lupus erythematosus.

Table II

Correlation of the expression of plasma linc0597 and linc8986 with clinical parameters of patients with systemic lupus erythematosus.

 Linc0597Linc8986
Clinical featureNrsP-valuersP-value
C351-0.3800.004-0.565<0.001
Anti-dsDNA510.1270.1160.1140.545
Prednisone520.0760.3390.1740.194
ESR510.2910.0390.1430.051
Age540.020.7830.0770.294
Duration of disease540.1280.0810.0750.308

[i] Spearman's correlation analysis was used. ESR, erythrocyte sedimentation rate; Anti-dsDNA, anti-double-stranded DNA; linc, large intergenic non-coding RNA; C3, complement component 3.

Association between the expression levels of linc0597 and clinical characteristics in patients with SLE

According to the expression levels of C3 and ESR in patients with SLE, the group was divided into a low C3 group and normal C3 group, as well as a high ESR group and a normal ESR group. It was revealed that the level of linc0597 was significantly higher in the low C3 group than in the normal C3 group (P=0.03; Fig. 2A) and correlation analysis between C3 and linc0597 indicated that the level of linc0597 in patients with SLE was negatively correlated with C3 levels (r=0.380, P=0.004; Fig. 2B). In addition, the level of linc0597 in the high ESR group was significantly higher than that in the normal ESR group (P=0.032; Fig. 2C) and there was a weak positive correlation between linc0597 levels and ESR (r=0.291, P=0.039; Fig. 2D).

Figure 2

Relationship between the expression levels of linc0597 and linc8986 and clinical characteristics of patients with SLE. (A) Increased expression of linc0597 in the low level of C3 group vs. normal C3 levels group. (B) A significant negative correlation was observed between linc0597 expression and the level of C3 in patients with SLE. (C) Increased expression of linc0597 in the high level of ESR group vs. normal level of ESR group. (D) Linc0597 expression was positively correlated with ESR levels in patients with SLE. (E) Expression of linc0597 in the high level of anti-dsDNA group vs. normal level of anti-dsDNA group. (F) Expression of linc0597 in the middle-to-high level of predgroup vs. low level of pred group. (G) Increased expression of linc8986 in the low level of C3 group vs. normal level of C3 group. (H) A significant negative correlation was observed between linc8986 expression and the level of C3 in patients with SLE. (I) Expression of linc8986 in the high level of ESR group vs. normal level of ESR group. (J) Increased expression of linc8986 in the high level of anti-dsDNA group vs. normal level of anti-dsDNA group. (K) Correlation analysis between linc8986 and dsDNA levels in patients with SLE. (L) Expression of linc8986 in the middle-to-high level of pred group vs. low level of pred group. *P<0.05, **P<0.01, ***P<0.001. ns, no significance; C3, complement component 3; ESR, erythrocyte sedimentation rate; anti-dsDNA, anti-double-stranded DNA antibody; linc, large intergenic non-coding RNA; SLE, systemic lupus erythematosus; pred, prednisone.

The association between lincRNA levels and autoantibody profiles and medical treatments were also analyzed and no significant difference in the level of linc0597 between the high anti-double-stranded DNA (anti-dsDNA) antibodies group and the normal anti-dsDNA antibody level group was obtained (P=0.609; Fig. 2E). Furthermore, patients with SLE receiving drug therapy were divided into a middle-to-high dose of prednisone group (≥30 mg/day) and a low dose of prednisone group (<30 mg/day). There was no significant difference in the expression level of linc0597 between the two groups (P=0.247; Fig. 2F).

Relationship between the expression level of linc8986 and clinical characteristics of patients with SLE

Compared to patients with normal C3 levels, the expression level of linc8986 was significantly higher in patients with SLE with low C3 levels (P<0.001; Fig. 2G). Further analysis revealed a negative correlation between the level of linc8986 and C3 levels (r=0.565, P<0.001; Fig. 2H). In contrast to linc0597, there was no significant difference in the expression level of linc8986 between the high ESR group and the normal ESR group (P=0.135; Fig. 2I). However, the expression level of linc8986 in the high anti-dsDNA group was significantly higher than that in the normal anti-dsDNA group (P=0.009; Fig. 2J), but further analysis indicated no correlation between linc8986 and anti-dsDNA (r=0.114, P=0.545; Fig. 2K). In addition, there was no significant difference in the expression level of linc8986 (P=0.055; Fig. 2L) between the middle-to-high dose prednisone group and the low-dose prednisone group.

Identification of linc0597 and linc8986 as potential biomarkers of SLE

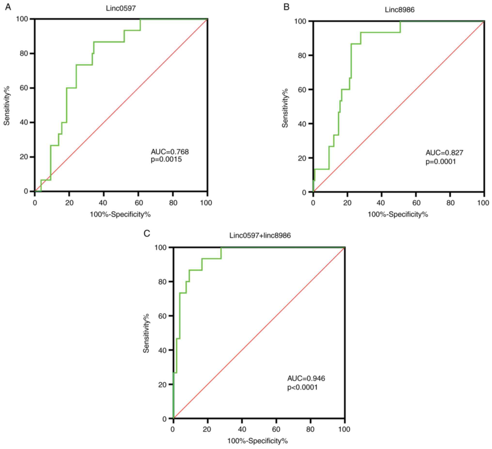
In order to determine whether linc0597 and linc8986 may be used as potential biomarkers of SLE, ROC curve analysis was used to assess linc0597 and linc8986 separately and in combination, as presented in Fig. 3.

Figure 3

ROC curve analysis for the ability of (A) linc0597 alone, (B) linc8986 alone and (C) linc0597 combined with linc8986 to distinguish systemic lupus erythematosus from healthy controls. ROC, receiver operating characteristic; AUC, area under the curve; linc, large intergenic non-coding RNA.

The area under the ROC curve (AUC) of linc0597 was 0.768 (95%CI: 0.652-0.883; P=0.0015), the cut-off value was 0.515, the sensitivity and the specificity was 64.8 and 78.7%. The AUC of linc8986 was 0.827 (95%CI: 0.728-0.925; P=0.0001), the cut-off value was 0.655, the sensitivity and the specificity was 72.2 and 84.6%. (Fig. 3A and B). The results revealed that both linc8986 and linc0597 may be associated with the pathogenesis of SLE, but that linc8986 has higher sensitivity and may be a potential biomarker for the diagnosis of SLE. Furthermore, the results suggested that the combined application of linc8986 and linc0597 had an AUC of 0.946 (95% CI: 0.893-0.998, P<0.0001; Fig. 3C) and may thus provide higher diagnostic accuracy. The cut-off value was 0.774, the sensitivity and specificity of the combined application of linc8986 and linc0597 were 90.7 and 86.7%, respectively.

Discussion

Increasing evidence has indicated that lincRNAs have important roles in vast biological processes, including stem cell biology, cell differentiation, embryonic development and tissue-specific expression (25). LincRNAs, which were initially studied in the context of genomic imprinting and cell differentiation, have been determined to function as key regulators of various processes, particularly in the molecular mechanisms of immune cells and autoimmunity (26).

In the present study, the expression levels of three different lincRNAs (linc0597, linc8986, and linc7190) were analyzed in plasma samples and investigated the association between their expression and specific clinical features of SLE was determined. The results indicated that linc0597 and linc8986 may be suitable biomarkers for the diagnosis of SLE, while linc7190 is not. In addition, the plasma level of linc0597 was correlated with the levels of C3 and the ESR, while the plasma level of linc8986 was correlated with the levels of C3 and anti-dsDNA antibodies. This further raised the question of how complements are affected by these lincRNAs. Song et al (27) indicated that elevated levels of the lncRNA RPAIN regulate invasion and apoptosis of trophoblast cells through complement C1q. Furthermore, it was indicated that overexpression of RPAIN inhibits the expression of C1q and that C1q was the functional target of RPAIN (27). It was also previously reported that C3 and C4 have diagnostic value for SLE (6,7). In the present study, elevated levels of linc8986 and linc0597 in the plasma of patients with SLE were indicated to be negatively correlated with C3, suggesting that high expression of linc8986 and linc0597 may inhibit the expression of C3. Whether C3 is also the target of these two lincRNAs requires further investigation.

Compared with the previously reported expression levels of linc0597 in monocytes of patients with SLE, the plasma level of linc0597 in patients with SLE is relatively high (15,28). This discrepancy may be due to a number of reasons. One explanation for the increased levels of linc0597 in the plasma of patients with SLE may be the increase of cellular exocytosis resulting in a decrease in intracellular content (29). In addition, the sequence length of lincRNAs is high and it is unlikely to exist in its complete form in bodily fluids, i.e., the lincRNAs in plasma may exist in a fragmented form (30). Another reason is that the expression of lincRNAs may be tissue-specific (31).

To the best of our knowledge, the present study was the first to identify a relationship between the plasma levels of linc8986 and SLE. The results suggested that the expression level of linc8986 in patients with SLE was higher than that in the healthy controls. Further analysis revealed that the plasma levels of linc8986 were not significantly different between patients with RA, patients with SS and healthy controls, indicating that the level of linc8986 in plasma was specific for the diagnosis of SLE. Li et al (18) used Pam3CSK4 to stimulate THP-1 macrophages and determined that the expression level of linc8986 increased significantly. However, only a small number of studies have examined linc8986 and the next step is to identify the molecular mechanisms in detail. Regarding linc7190, Li et al (18) indicated that the level of linc7190 increased significantly after 8 h of treatment of THP-1 macrophages with Pam3CSK4 and linc7190 regulates the secretion of IL-6 and TNF-α. Of note, both IL-6 and TNF-α are involved in the pathogenesis of SLE. Previous studies suggested that Toll-like receptors may trigger the regulatory factors NF-κB and IFN, which regulate the expression of hundreds of genes involved in the immune response, including the pro-inflammatory cytokines TNF-α, IL-1 and IL-6 (32,33). Therefore, Li et al (18) revealed that under the stimulation of Pam3CSK4, the regulation of linc7190 may have a priming process and linc7190 further regulates the secretion of IL-6 and TNF-α and participates in the pathogenesis of SLE.

LN is one of the most common complications of SLE. Depending on the population, the incidence of LN may be as high as 50% and the incidence of end-stage nephropathy is 20% (5). Although significant progress has been made in the diagnosis and treatment of LN in recent years, the therapeutic effect remains unsatisfactory and the incidence of the disease is on the rise (34). While renal pathological biopsy is still the gold standard for diagnosing patients suspected to have LN, it has a number of disadvantages, such as increased trauma and pain associated with the procedure (35). Wu et al (17) reported that plasma lncRNA dendritic cells may be used as a biomarker for the diagnosis of SLE and to distinguish between patients with and without LN in SLE. Zheng et al (16) reported that serum sTNF-R1 and linc0597 were upregulated in patients with SLE and LN, suggesting that serum sTNF-R1 and linc0597 may be biomarkers for SLE and LN. Therefore, in the present study, the relationship between linc8986, linc0597 and linc7190 was also analyzed in patients with LN. The present results indicated that the expression level of linc0597 in patients with SLE with LN was higher than that in patients with SLE without LN, but the expression levels of linc8986 and linc7190 were not significantly different between the two groups. This suggests that linc0597 and linc8986 may be utilized for the diagnosis of SLE and that high levels of linc0597 may be helpful for the differential diagnosis of LN in patients with SLE.

Over the past few decades, much effort has been invested into the study of SLE biomarkers and numerous researchers have proposed potential biomarkers for SLE. For instance, IFN-induced genes and chemokines may be used to determine the activity and severity of SLE in patients (36,37). However, the limitations of these biomarkers have gradually emerged. Previous studies have reported that overexpression of the IFN I type pathway has been confirmed in patients with RA, SS, myositis and scleroderma. Thus, IFN is not sufficiently specific for the diagnosis of SLE (38,39). This highlights the urgent requirement for a specific biomarker to diagnose SLE. As biomarkers, lincRNAs have a number of characteristics that make them well-suited for use as biomarkers, including being stable in plasma and their ease and low cost of detection (40), making them ideal biomarkers to evaluate disease activity and judge the severity of SLE in patients.

In the present study, it was demonstrated that the expression levels of linc0597 are specific to patients with SLE and that the levels of linc0597 may be helpful for evaluating disease activity and distinguishing between patients with LN and without LN. However, further validation of linc0597 in large-scale multicenter trials is necessary. In addition, the present study also suggested that linc8986 in plasma may be used as a promising diagnostic marker for SLE. To our knowledge, the present study was the first to report the association of linc8986 with SLE. Furthermore, in the ROC curve analysis, the AUC value of linc0597 and linc8986 was 0.768 and 0.827, respectively and combination of linc8986 and linc0597 improved the diagnostic accuracy. Therefore, the use of lincRNAs as novel biomarkers may become a valuable tool for the clinical diagnosis of SLE.

However, there are still certain shortcomings to the present study. The functions of the lincRNAs and their potential mechanisms in SLE were not investigated. In addition, the level of lincRNAs released from local target tissues was not evaluated. In future studies, it will be investigated how these lincRNAs affect IFN, IL-6, TNF and TGF signals and their relationship with LN within a larger cohort and the influence of these molecules on the STAT signaling pathway and the regulation of lincRNAs on the post-transcriptional process will be further explored.

In conclusion, linc8986 and linc0597 may be used to specifically identify patients with SLE and linc0597 has an important role in the detection of nephritis in patients with SLE. Combined application of linc0597 and linc8986 may improve the diagnostic accuracy of SLE.

Acknowledgements

Not applicable.

Funding

Funding: This study was supported by the National Natural Science Foundation of China (grant no. 81772261).

Availability of data and materials

The datasets used and/or analyzed during the current study are available from the corresponding author on reasonable request.

Authors' contributions

CR proposed the research, performed the data analysis and wrote the manuscript. HX helped with the formal analysis and data collection. CY and FW helped with the data acquisition. HZ was involved in funding acquisition, and analysis and interpretation of data for the study. XG was involved in supervision and conception and design of the study. XG and HZ confirmed the authenticity of the raw data. All authors read and approved the final version of the manuscript.

Ethics approval and consent to participate

This study was approved by the Research Ethics Committee of the First Affiliated Hospital of Harbin Medical University (Harbin, China; approval no. IRB-AF/SC-04/01.0). All participants provided written informed consent.

Patient consent for publication

Not applicable.

Competing interests

The authors declare that they have no competing interests.

References

1 

Herrada AA, Escobedo N, Iruretagoyena M, Valenzuela RA, Burgos PI, Cuitino L and Llanos C: Innate immune cells' contribution to systemic lupus erythematosus. Front Immunol. 10(772)2019.PubMed/NCBI View Article : Google Scholar

2 

Luo Q, Li X, Xu C, Zeng L, Ye J, Guo Y, Huang Z and Li J: Integrative analysis of long non-coding RNAs and messenger RNA expression profiles in systemic lupus erythematosus. Mol Med Rep. 17:3489–3496. 2018.PubMed/NCBI View Article : Google Scholar

3 

Huang HT, Chen JM, Guo J, Lan Y and Wei YS: The association of interleukin-31 polymorphisms with interleukin-31 serum levels and risk of systemic lupus erythematosus. Rheumatol Int. 36:799–805. 2016.PubMed/NCBI View Article : Google Scholar

4 

Wenderfer SE and Eldin KW: Lupus nephritis. Pediatr Clin North Am. 66:87–99. 2019.PubMed/NCBI View Article : Google Scholar

5 

Thomas G, Mancini J, Jourde-Chiche N, Sarlon G, Amoura Z, Harlé JR, Jougla E and Chiche L: Mortality associated with systemic lupus erythematosus in france assessed by multiple-cause-of-death analysis. Arthritis Rheumatol. 66:2503–2511. 2014.PubMed/NCBI View Article : Google Scholar

6 

Troldborg A, Jensen L, Deleuran B, Stengaard-Pedersen K, Thiel S and Jensenius JC: The C3dg fragment of complement is superior to conventional C3 as a diagnostic biomarker in systemic lupus erythematosus. Front Immunol. 9(581)2018.PubMed/NCBI View Article : Google Scholar

7 

Mulvihill E, Ardoin S, Thompson SD, Zhou B, Yu GR, King E, Singer N, Levy DM, Brunner H, Wu YL, et al: Elevated serum complement levels and higher gene copy number of complement C4B are associated with hypertension and effective response to statin therapy in childhood-onset systemic lupus erythematosus (SLE). Lupus Sci Med. 6(e000333)2019.PubMed/NCBI View Article : Google Scholar

8 

Qu C, Zhang J, Zhang X, Du J, Su B and Li H: Value of combined detection of anti-nuclear antibody, anti-double-stranded DNA antibody and C3, C4 complements in the clinical diagnosis of systemic lupus erythematosus. Exp Ther Med. 17:1390–1394. 2019.PubMed/NCBI View Article : Google Scholar

9 

Lekka E and Hall J: Noncoding RNAs in disease. FEBS Lett. 592:2884–2900. 2018.PubMed/NCBI View Article : Google Scholar

10 

Tian J, An X and Niu L: Role of microRNAs in cardiac development and disease. Exp Ther Med. 13:3–8. 2017.PubMed/NCBI View Article : Google Scholar

11 

Zhou Q, Yu Q, Gong Y, Liu Z, Xu H, Wang Y and Shi Y: Construction of a lncRNA-miRNA-mRNA network to determine the regulatory roles of lncRNAs in psoriasis. Exp Ther Med. 18:4011–4021. 2019.PubMed/NCBI View Article : Google Scholar

12 

Guttman M, Amit I, Garber M, French C, Lin MF, Feldser D, Huarte M, Zuk O, Carey BW, Cassady JP, et al: Chromatin signature reveals over a thousand highly conserved large non-coding RNAs in mammals. Nature. 458:223–227. 2009.PubMed/NCBI View Article : Google Scholar

13 

Messemaker TC, Frank-Bertoncelj M, Marques RB, Adriaans A, Bakker AM, Daha N, Gay S, Huizinga TW, Toes REM, Mikkers HMM and Kurreeman F: A novel long non-coding RNA in the rheumatoid arthritis risk locus TRAF1-C5 influences C5 mRNA levels. Genes Immun. 17:85–92. 2015.PubMed/NCBI View Article : Google Scholar

14 

Yi R, Yang L, Zeng S and Su Y: Different expression profile of mRNA and long noncoding RNA in autoimmune thyroid diseases patients. J Cell Biochem. 120:19442–19456. 2019.PubMed/NCBI View Article : Google Scholar

15 

Wu Y, Zhang F, Ma J, Zhang X, Wu L, Qu B, Xia S, Chen S, Tang Y and Shen N: Association of large intergenic noncoding RNA expression with disease activity and organ damage in systemic lupus erythematosus. Arthritis Res Ther. 17(131)2015.PubMed/NCBI View Article : Google Scholar

16 

Zheng CZ, Yan WW, Luo YL, Wang TL and Shu YB: Value of sTNF-R1 and linc0597 as indicators for disease activity and diagnosis of lupus nephritis. Eur Rev Med Pharmacol Sci. 24:5582–5591. 2020.PubMed/NCBI View Article : Google Scholar

17 

Wu GC, Li J, Leng RX, Li XP, Li XM, Wang DG, Pan HF and Ye DQ: Identification of long non-coding RNAs GAS5, linc0597 and lnc-DC in plasma as novel biomarkers for systemic lupus erythematosus. Oncotarget. 8:23650–23663. 2017.PubMed/NCBI View Article : Google Scholar

18 

Li Z, Chao TC, Chang KY, Lin N, Patil VS, Shimizu C, Head SR, Burns JC and Rana TM: The long noncoding RNA THRIL regulates TNF expression through its interaction with hnRNPL. Proc Natl Acad Sci USA. 111:1002–1007. 2014.PubMed/NCBI View Article : Google Scholar

19 

Yuan S, Tang C, Chen D, Li F, Huang M, Ye J, He Z, Li W, Chen Y, Lin X, et al: miR-98 modulates cytokine production from human PBMCs in systemic lupus erythematosus by targeting IL-6 mRNA. J Immunol Res. 2019(9827574)2019.PubMed/NCBI View Article : Google Scholar

20 

Hochberg MC: Updating the American college of rheumatology revised criteria for the classification of systemic lupus erythematosus. Arthritis Rheum. 40(1725)1997.PubMed/NCBI View Article : Google Scholar

21 

Aletaha D, Neogi T, Silman AJ, Funovits J, Felson DT, Bingham CO III, Birnbaum NS, Burmester GR, Bykerk VP, Cohen MD, et al: 2010 rheumatoid arthritis classification criteria: An American college of Rheumatology/European league against rheumatism collaborative initiative. Arthritis Rheum. 69:1580–1588. 2010.PubMed/NCBI View Article : Google Scholar

22 

Vitali C, Bombardieri S, Jonsson R, Moutsopoulos HM, Alexander EL, Carsons SE, Daniels TE, Fox PC, Fox RI, Kassan SS, et al: Classification criteria for sjögren's syndrome: A revised version of the European criteria proposed by the American-European consensus group. Ann Rheum Dis. 61:554–558. 2002.PubMed/NCBI View Article : Google Scholar

23 

Tong YS, Wang XW, Zhou XL, Liu ZH, Yang TX, Shi WH, Xie HW, Lv J, Wu QQ and Cao XF: Identification of the long non-coding RNA POU3F3 in plasma as a novel biomarker for diagnosis of esophageal squamous cell carcinoma. Mol Cancer. 14(3)2015.PubMed/NCBI View Article : Google Scholar

24 

Livak KJ and Schmittgen TD: Analysis of relative gene expression data using real-time quantitative PCR and the 2(-Delta Delta C(T)) method. Methods. 25:402–408. 2001.PubMed/NCBI View Article : Google Scholar

25 

Zhao CN, Mao YM, Liu LN, Li XM, Wang DG and Pan HF: Emerging role of lncRNAs in systemic lupus erythematosus. Biomed Pharmacother. 106:584–592. 2018.PubMed/NCBI View Article : Google Scholar

26 

Wu GC, Hu Y, Guan SY, Ye DQ and Pan HF: Differential plasma expression profiles of long non-Coding RNAs reveal potential biomarkers for systemic lupus erythematosus. Biomolecules. 9(206)2019.PubMed/NCBI View Article : Google Scholar

27 

Song X, Rui C, Meng L, Zhang R, Shen R, Ding H, Li J, Li J and Long W: Long non-coding RNA RPAIN regulates the invasion and apoptosis of trophoblast cell lines via complement protein C1q. Oncotarget. 8:7637–7646. 2017.PubMed/NCBI View Article : Google Scholar

28 

Zhang Q, Liang Y, Yuan H, Li S, Wang JB, Li XM, Tao JH, Pan HF and Ye DQ: Integrated analysis of lncRNA, miRNA and mRNA expression profiling in patients with systemic lupus erythematosus. Arch Med Sci. 15:872–879. 2019.PubMed/NCBI View Article : Google Scholar

29 

Müller N, Döring F, Klapper M, Neumann K, Schulte DM, Türk K, Schröder JO, Zeuner RA, Freitag-Wolf S, Schreiber S and Laudes M: Interleukin-6 and tumour necrosis factor-α differentially regulate lincRNA transcripts in cells of the innate immune system in vivo in human subjects with rheumatoid arthritis. Cytokine. 68:65–68. 2014.PubMed/NCBI View Article : Google Scholar

30 

Ren S, Wang F, Shen J, Sun Y, Xu W, Lu J, Wei M, Xu C, Wu C, Zhang Z, et al: Long non-coding RNA metastasis associated in lung adenocarcinoma transcript 1 derived miniRNA as a novel plasma-based biomarker for diagnosing prostate cancer. Eur J Cancer. 49:2949–2959. 2013.PubMed/NCBI View Article : Google Scholar

31 

Cabili MN, Trapnell C, Goff L, Koziol M, Tazon-Vega B, Regev A and Rinn JL: Integrative annotation of human large intergenic noncoding RNAs reveals global properties and specific subclasses. Genes Dev. 25:1915–1927. 2011.PubMed/NCBI View Article : Google Scholar

32 

Kawai T and Akira S: The role of pattern-recognition receptors in innate immunity: Update on toll-like receptors. Nat Immunol. 11:373–384. 2010.PubMed/NCBI View Article : Google Scholar

33 

Blasius AL and Beutler B: Intracellular toll-like receptors. Immunity. 32:305–315. 2010.PubMed/NCBI View Article : Google Scholar

34 

Cansu DÜ, Temiz G, Açıkalın MF and Korkmaz C: Pauci-immune lupus nephritis: Possibility or co-incidence? Eur J Rheumatol. 4:73–75. 2017.PubMed/NCBI View Article : Google Scholar

35 

Haładyj E and Cervera R: Do we still need renal biopsy in lupus nephritis? Reumatologia. 54:61–66. 2016.PubMed/NCBI View Article : Google Scholar

36 

Chaichian Y, Wallace DJ and Weisman MH: A promising approach to targeting type 1 IFN in systemic lupus erythematosus. J Clin Invest. 129:958–961. 2019.PubMed/NCBI View Article : Google Scholar

37 

Murayama G, Furusawa N, Chiba A, Yamaji K, Tamura N and Miyake S: Enhanced IFN-α production is associated with increased TLR7 retention in the lysosomes of palasmacytoid dendritic cells in systemic lupus erythematosus. Arthritis Res Ther. 19(234)2017.PubMed/NCBI View Article : Google Scholar

38 

Higgs BW, Liu Z, White B, Zhu W, White WI, Morehouse C, Brohawn P, Kiener PA, Richman L, Fiorentino D, et al: Patients with systemic lupus erythematosus, myositis, rheumatoid arthritis and scleroderma share activation of a common type I interferon pathway. Ann Rheum Dis. 70:2029–2036. 2011.PubMed/NCBI View Article : Google Scholar

39 

Bodewes ILA, Huijser E, van Helden-Meeuwsen CG, Tas L, Huizinga R, Dalm V, van Hagen PM, Groot N, Kamphuis S, van Daele PLA and Versnel MA: TBK1: A key regulator and potential treatment target for interferon positive sjögren's syndrome, systemic lupus erythematosus and systemic sclerosis. J Autoimmun. 91:97–102. 2018.PubMed/NCBI View Article : Google Scholar

40 

Luo Q, Xu C, Li X, Zeng L, Ye J, Guo Y, Huang Z and Li J: Comprehensive analysis of long non-coding RNA and mRNA expression profiles in rheumatoid arthritis. Exp Ther Med. 14:5965–5973. 2017.PubMed/NCBI View Article : Google Scholar

Related Articles

  • Abstract
  • View
  • Download
  • Twitter
Copy and paste a formatted citation
Spandidos Publications style
Rong C, Xu H, Yan C, Wei F, Zhou H and Guan X: Linc8986 and linc0597 in plasma are novel biomarkers for systemic lupus erythematosus. Exp Ther Med 22: 1210, 2021.
APA
Rong, C., Xu, H., Yan, C., Wei, F., Zhou, H., & Guan, X. (2021). Linc8986 and linc0597 in plasma are novel biomarkers for systemic lupus erythematosus. Experimental and Therapeutic Medicine, 22, 1210. https://doi.org/10.3892/etm.2021.10644
MLA
Rong, C., Xu, H., Yan, C., Wei, F., Zhou, H., Guan, X."Linc8986 and linc0597 in plasma are novel biomarkers for systemic lupus erythematosus". Experimental and Therapeutic Medicine 22.5 (2021): 1210.
Chicago
Rong, C., Xu, H., Yan, C., Wei, F., Zhou, H., Guan, X."Linc8986 and linc0597 in plasma are novel biomarkers for systemic lupus erythematosus". Experimental and Therapeutic Medicine 22, no. 5 (2021): 1210. https://doi.org/10.3892/etm.2021.10644
Copy and paste a formatted citation
x
Spandidos Publications style
Rong C, Xu H, Yan C, Wei F, Zhou H and Guan X: Linc8986 and linc0597 in plasma are novel biomarkers for systemic lupus erythematosus. Exp Ther Med 22: 1210, 2021.
APA
Rong, C., Xu, H., Yan, C., Wei, F., Zhou, H., & Guan, X. (2021). Linc8986 and linc0597 in plasma are novel biomarkers for systemic lupus erythematosus. Experimental and Therapeutic Medicine, 22, 1210. https://doi.org/10.3892/etm.2021.10644
MLA
Rong, C., Xu, H., Yan, C., Wei, F., Zhou, H., Guan, X."Linc8986 and linc0597 in plasma are novel biomarkers for systemic lupus erythematosus". Experimental and Therapeutic Medicine 22.5 (2021): 1210.
Chicago
Rong, C., Xu, H., Yan, C., Wei, F., Zhou, H., Guan, X."Linc8986 and linc0597 in plasma are novel biomarkers for systemic lupus erythematosus". Experimental and Therapeutic Medicine 22, no. 5 (2021): 1210. https://doi.org/10.3892/etm.2021.10644
Follow us
  • Twitter
  • LinkedIn
  • Facebook
About
  • Spandidos Publications
  • Careers
  • Cookie Policy
  • Privacy Policy
How can we help?
  • Help
  • Live Chat
  • Contact
  • Email to our Support Team