Spandidos Publications Logo
  • About
    • About Spandidos
    • Aims and Scopes
    • Abstracting and Indexing
    • Editorial Policies
    • Reprints and Permissions
    • Job Opportunities
    • Terms and Conditions
    • Contact
  • Journals
    • All Journals
    • Oncology Letters
      • Oncology Letters
      • Information for Authors
      • Editorial Policies
      • Editorial Board
      • Aims and Scope
      • Abstracting and Indexing
      • Bibliographic Information
      • Archive
    • International Journal of Oncology
      • International Journal of Oncology
      • Information for Authors
      • Editorial Policies
      • Editorial Board
      • Aims and Scope
      • Abstracting and Indexing
      • Bibliographic Information
      • Archive
    • Molecular and Clinical Oncology
      • Molecular and Clinical Oncology
      • Information for Authors
      • Editorial Policies
      • Editorial Board
      • Aims and Scope
      • Abstracting and Indexing
      • Bibliographic Information
      • Archive
    • Experimental and Therapeutic Medicine
      • Experimental and Therapeutic Medicine
      • Information for Authors
      • Editorial Policies
      • Editorial Board
      • Aims and Scope
      • Abstracting and Indexing
      • Bibliographic Information
      • Archive
    • International Journal of Molecular Medicine
      • International Journal of Molecular Medicine
      • Information for Authors
      • Editorial Policies
      • Editorial Board
      • Aims and Scope
      • Abstracting and Indexing
      • Bibliographic Information
      • Archive
    • Biomedical Reports
      • Biomedical Reports
      • Information for Authors
      • Editorial Policies
      • Editorial Board
      • Aims and Scope
      • Abstracting and Indexing
      • Bibliographic Information
      • Archive
    • Oncology Reports
      • Oncology Reports
      • Information for Authors
      • Editorial Policies
      • Editorial Board
      • Aims and Scope
      • Abstracting and Indexing
      • Bibliographic Information
      • Archive
    • Molecular Medicine Reports
      • Molecular Medicine Reports
      • Information for Authors
      • Editorial Policies
      • Editorial Board
      • Aims and Scope
      • Abstracting and Indexing
      • Bibliographic Information
      • Archive
    • World Academy of Sciences Journal
      • World Academy of Sciences Journal
      • Information for Authors
      • Editorial Policies
      • Editorial Board
      • Aims and Scope
      • Abstracting and Indexing
      • Bibliographic Information
      • Archive
    • International Journal of Functional Nutrition
      • International Journal of Functional Nutrition
      • Information for Authors
      • Editorial Policies
      • Editorial Board
      • Aims and Scope
      • Abstracting and Indexing
      • Bibliographic Information
      • Archive
    • International Journal of Epigenetics
      • International Journal of Epigenetics
      • Information for Authors
      • Editorial Policies
      • Editorial Board
      • Aims and Scope
      • Abstracting and Indexing
      • Bibliographic Information
      • Archive
    • Medicine International
      • Medicine International
      • Information for Authors
      • Editorial Policies
      • Editorial Board
      • Aims and Scope
      • Abstracting and Indexing
      • Bibliographic Information
      • Archive
  • Articles
  • Information
    • Information for Authors
    • Information for Reviewers
    • Information for Librarians
    • Information for Advertisers
    • Conferences
  • Language Editing
Spandidos Publications Logo
  • About
    • About Spandidos
    • Aims and Scopes
    • Abstracting and Indexing
    • Editorial Policies
    • Reprints and Permissions
    • Job Opportunities
    • Terms and Conditions
    • Contact
  • Journals
    • All Journals
    • Biomedical Reports
      • Information for Authors
      • Editorial Policies
      • Editorial Board
      • Aims and Scope
      • Abstracting and Indexing
      • Bibliographic Information
      • Archive
    • Experimental and Therapeutic Medicine
      • Information for Authors
      • Editorial Policies
      • Editorial Board
      • Aims and Scope
      • Abstracting and Indexing
      • Bibliographic Information
      • Archive
    • International Journal of Epigenetics
      • Information for Authors
      • Editorial Policies
      • Editorial Board
      • Aims and Scope
      • Abstracting and Indexing
      • Bibliographic Information
      • Archive
    • International Journal of Functional Nutrition
      • Information for Authors
      • Editorial Policies
      • Editorial Board
      • Aims and Scope
      • Abstracting and Indexing
      • Bibliographic Information
      • Archive
    • International Journal of Molecular Medicine
      • Information for Authors
      • Editorial Policies
      • Editorial Board
      • Aims and Scope
      • Abstracting and Indexing
      • Bibliographic Information
      • Archive
    • International Journal of Oncology
      • Information for Authors
      • Editorial Policies
      • Editorial Board
      • Aims and Scope
      • Abstracting and Indexing
      • Bibliographic Information
      • Archive
    • Medicine International
      • Information for Authors
      • Editorial Policies
      • Editorial Board
      • Aims and Scope
      • Abstracting and Indexing
      • Bibliographic Information
      • Archive
    • Molecular and Clinical Oncology
      • Information for Authors
      • Editorial Policies
      • Editorial Board
      • Aims and Scope
      • Abstracting and Indexing
      • Bibliographic Information
      • Archive
    • Molecular Medicine Reports
      • Information for Authors
      • Editorial Policies
      • Editorial Board
      • Aims and Scope
      • Abstracting and Indexing
      • Bibliographic Information
      • Archive
    • Oncology Letters
      • Information for Authors
      • Editorial Policies
      • Editorial Board
      • Aims and Scope
      • Abstracting and Indexing
      • Bibliographic Information
      • Archive
    • Oncology Reports
      • Information for Authors
      • Editorial Policies
      • Editorial Board
      • Aims and Scope
      • Abstracting and Indexing
      • Bibliographic Information
      • Archive
    • World Academy of Sciences Journal
      • Information for Authors
      • Editorial Policies
      • Editorial Board
      • Aims and Scope
      • Abstracting and Indexing
      • Bibliographic Information
      • Archive
  • Articles
  • Information
    • For Authors
    • For Reviewers
    • For Librarians
    • For Advertisers
    • Conferences
  • Language Editing
Login Register Submit
  • This site uses cookies
  • You can change your cookie settings at any time by following the instructions in our Cookie Policy. To find out more, you may read our Privacy Policy.

    I agree
Search articles by DOI, keyword, author or affiliation
Search
Advanced Search
presentation
Experimental and Therapeutic Medicine
Join Editorial Board Propose a Special Issue
Print ISSN: 1792-0981 Online ISSN: 1792-1015
Journal Cover
December-2021 Volume 22 Issue 6

Full Size Image

Sign up for eToc alerts
Recommend to Library

Journals

International Journal of Molecular Medicine

International Journal of Molecular Medicine

International Journal of Molecular Medicine is an international journal devoted to molecular mechanisms of human disease.

International Journal of Oncology

International Journal of Oncology

International Journal of Oncology is an international journal devoted to oncology research and cancer treatment.

Molecular Medicine Reports

Molecular Medicine Reports

Covers molecular medicine topics such as pharmacology, pathology, genetics, neuroscience, infectious diseases, molecular cardiology, and molecular surgery.

Oncology Reports

Oncology Reports

Oncology Reports is an international journal devoted to fundamental and applied research in Oncology.

Experimental and Therapeutic Medicine

Experimental and Therapeutic Medicine

Experimental and Therapeutic Medicine is an international journal devoted to laboratory and clinical medicine.

Oncology Letters

Oncology Letters

Oncology Letters is an international journal devoted to Experimental and Clinical Oncology.

Biomedical Reports

Biomedical Reports

Explores a wide range of biological and medical fields, including pharmacology, genetics, microbiology, neuroscience, and molecular cardiology.

Molecular and Clinical Oncology

Molecular and Clinical Oncology

International journal addressing all aspects of oncology research, from tumorigenesis and oncogenes to chemotherapy and metastasis.

World Academy of Sciences Journal

World Academy of Sciences Journal

Multidisciplinary open-access journal spanning biochemistry, genetics, neuroscience, environmental health, and synthetic biology.

International Journal of Functional Nutrition

International Journal of Functional Nutrition

Open-access journal combining biochemistry, pharmacology, immunology, and genetics to advance health through functional nutrition.

International Journal of Epigenetics

International Journal of Epigenetics

Publishes open-access research on using epigenetics to advance understanding and treatment of human disease.

Medicine International

Medicine International

An International Open Access Journal Devoted to General Medicine.

Journal Cover
December-2021 Volume 22 Issue 6

Full Size Image

Sign up for eToc alerts
Recommend to Library

  • Article
  • Citations
    • Cite This Article
    • Download Citation
    • Create Citation Alert
    • Remove Citation Alert
    • Cited By
  • Similar Articles
    • Related Articles (in Spandidos Publications)
    • Similar Articles (Google Scholar)
    • Similar Articles (PubMed)
  • Download PDF
  • Download XML
  • View XML

  • Supplementary Files
    • Supplementary_Data.pdf
Article Open Access

MicroRNA‑216a‑5p in lipopolysaccharide‑induced endothelial injury

  • Authors:
    • Wenxun Liu
    • Wenhua Xi
    • Yan Li
    • Kerong Hai
    • Xiaohong Zhou
    • Yun Wang
    • Qingshan Ye
  • View Affiliations / Copyright

    Affiliations: Department of Anesthesiology, Ningxia Medical University, Yinchuan, Gansu 750004, P.R. China, Department of Anesthesiology, People's Hospital of Ningxia Hui Autonomous Region, Yinchuan, Ningxia 750002, P.R. China
    Copyright: © Liu et al. This is an open access article distributed under the terms of Creative Commons Attribution License.
  • Article Number: 1426
    |
    Published online on: October 11, 2021
       https://doi.org/10.3892/etm.2021.10861
  • Expand metrics +
Metrics: Total Views: 0 (Spandidos Publications: | PMC Statistics: )
Metrics: Total PDF Downloads: 0 (Spandidos Publications: | PMC Statistics: )
Cited By (CrossRef): 0 citations Loading Articles...

This article is mentioned in:



Abstract

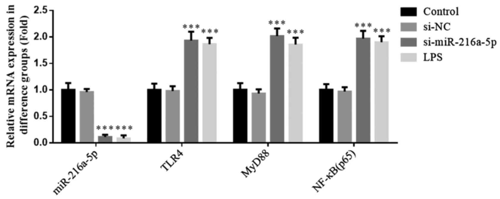
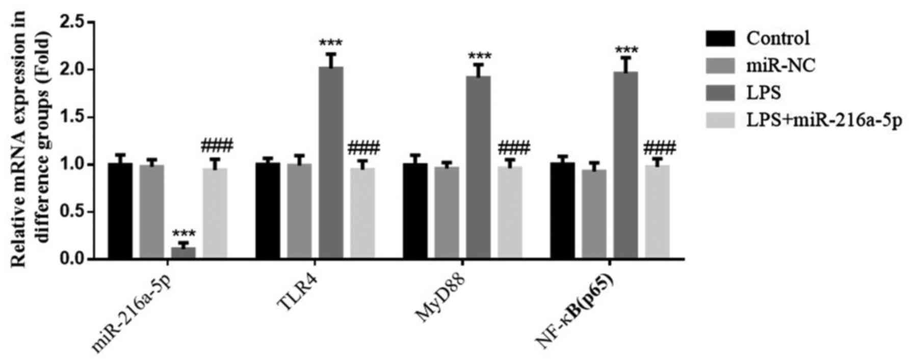
MicroRNAs (miRNAs/miRs) are a type of non‑coding RNA that are closely associated with disease development and treatment. The present study aimed to investigate the role of miR‑216a‑5p in lipopolysaccharide (LPS)‑induced endothelial injury in vitro. The EdU assay was performed to detect EdU‑positive cells, while flow cytometric analysis was performed to detect apoptotic cells. Reverse transcription‑quantitative PCR and western blot analyses were performed to detect the expression levels of miR‑216a‑5p, Toll‑like receptor 4 (TLR4), MyD88 and nuclear factor (NF)‑κB(p65) and phosphorylated (p)‑NF‑κB(p65). Furthermore, p‑NF‑κB(p65) nuclear expression level was detected via cellular immunofluorescence. The dual‑luciferase reporter assay was performed to verify the association between miR‑216a‑5p and TLR4. The results demonstrated that the number of EdU‑positive cells significantly decreased, the apoptotic rate significantly increased, and TLR4, MyD88 and NF‑κB(p65) mRNA expression levels were significantly upregulated.TLR4, MyD88 and p‑NF‑κB(p65) protein expression levels were significantly upregulated and p‑NF‑κB(p65) nuclear concentration was significantly enhanced in the small interfering RNA‑miR‑216a‑5p and LPS groups (P<0.001, respectively) compared with the negative control group. However, the addition of miR‑216a‑5p significantly increased the number of EdU‑positive cells, significantly decreased the apoptotic rate and significantly downregulated the mRNA expression levels of TLR4, MyD88 and NF‑κB(p65), as well as the protein expression levels of TLR4, MyD88 and p‑NF‑κB(p65). In addition, the p‑NF‑κB(p65) nuclear concentration was significantly decreased in the miR‑216a‑5p group (P<0.001, respectively) compared with the LPS group. Taken together, the results suggest that overexpression of miR‑216a‑5p suppresses the effects of LPS induced endothelial injury.
View Figures

Figure 1

Figure 2

Figure 3

Figure 4

Figure 5

Figure 6

Figure 7

Figure 8

Figure 9

Figure 10

Figure 11

View References

1 

Li FP, Lin DQ and Gao LY: LncRNA TUG1 promotes proliferation of vascular smooth muscle cell and atherosclerosis through regulating miRNA-21/PTEN axis. Eur Rev Med Pharmacol Sci. 22:7439–7447. 2018.PubMed/NCBI View Article : Google Scholar

2 

Bartel DP: Metazoan MicroRNAs. Cell. 173:20–51. 2018.PubMed/NCBI View Article : Google Scholar

3 

Lee CH, Cheng CL, Yang YH, Chao TH, Chen JY, Liu PY, Lin CC, Chan SH, Tsai LM, Chen JH, et al: Trends in the incidence and management of acute myocardial infarction from 1999 to 2008: Get with the guidelines performance measures in Taiwan. J Am Heart Assoc. 3(e001066)2014.PubMed/NCBI View Article : Google Scholar

4 

Lewis BP, Burge CB and Bartel DP: Conserved seed pairing, often flanked by adenosines, indicates that thousands of human genes are microRNA targets. Cell. 120:15–20. 2005.PubMed/NCBI View Article : Google Scholar

5 

Jing R, Zhong QQ, Long TY, Pan W and Qian ZX: Downregulated miRNA-26a-5p induces the apoptosis of endothelial cells in coronary heart disease by inhibiting PI3K/AKT pathway. Eur Rev Med Pharmacol Sci. 23:4940–4947. 2019.PubMed/NCBI View Article : Google Scholar

6 

Qin B, Xiao B, Liang D, Xia J, Li Y and Yang H: MicroRNAs expression in ox-LDL treated HUVECs: MiR-365 modulates apoptosis and Bcl-2 expression. Biochem Biophys Res Commun. 410:127–133. 2011.PubMed/NCBI View Article : Google Scholar

7 

Zhang Y, Wang L, Xu J, Kong X and Zou L: Up-regulated miR-106b inhibits ox-LDL-induced endothelial cell apoptosis in atherosclerosis. Braz J Med Biol Res. 53(e8960)2020.PubMed/NCBI View Article : Google Scholar

8 

Zeng X, Liu Y, Zhu H, Chen D and Hu W: Downregulation of miR-216a-5p by long noncoding RNA PVT1 suppresses colorectal cancer progression via modulation of YBX1 expression. Cancer Manag Res. 11:6981–6993. 2019.PubMed/NCBI View Article : Google Scholar

9 

Chen P, Quan J, Jin L, Lin C, Xu W, Xu J, Guan X, Chen Z, Ni L, Yang S, et al: miR-216a-5p acts as an oncogene in renal cell carcinoma. Exp Ther Med. 15:4039–4046. 2018.PubMed/NCBI View Article : Google Scholar

10 

Zhang Y, Lin P, Zou J-Y, Zou G, Wang WZ, Liu YL, Zhao HW and Fang AP: MiR-216a-5p act as a tumor suppressor, regulating the cell proliferation and metastasis by targeting PAK2 in breast cancer. Eur Rev Med Pharmacol Sci. 23:2469–2475. 2019.PubMed/NCBI View Article : Google Scholar

11 

Zhang J, Gao S, Zhang Y, Yi H, Xu M, Xu J, Liu H, Ding Z, He H, Wang H, et al: MiR-216a-5p inhibits tumorigenesis in pancreatic cancer by targeting TPT1/mTORC1 and is mediated by LINC01133. Int J Biol Sci. 16:2612–2627. 2020.PubMed/NCBI View Article : Google Scholar

12 

Chaoyang Y, Qingfeng B and Jinxing F: MiR-216a-5p protects 16HBE cells from H2O2-induced oxidative stress through targeting HMGB1/NF-kB pathway. Biochem Biophys Res Commun. 508:416–420. 2019.PubMed/NCBI View Article : Google Scholar

13 

Livak KJ and Schmittgen TD: Analysis of relative gene expression data using real-time quantitative PCR and the 2(-Delta Delta C(T)) Method. Methods. 25:402–408. 2001.PubMed/NCBI View Article : Google Scholar

14 

Moschos SA, Williams AE, Perry MM, Birrell MA, Belvisi MG and Lindsay MA: Expression profiling in vivo demonstrates rapid changes in lung microRNA levels following lipopolysaccharide-induced inflammation but not in the anti-inflammatory action of glucocorticoids. BMC Genomics. 8(240)2007.PubMed/NCBI View Article : Google Scholar

15 

Sharma S, Garg I and Ashraf MZ: TLR signalling and association of TLR polymorphism with cardiovascular diseases. Vascul Pharmacol. 87:30–37. 2016.PubMed/NCBI View Article : Google Scholar

16 

Leitner GR, Wenzel TJ, Marshall N, Gates EJ and Klegeris A: Targeting toll-like receptor 4 to modulate neuroinflammation in central nervous system disorders. Expert Opin Ther Targets. 23:865–882. 2019.PubMed/NCBI View Article : Google Scholar

17 

Volarevic V, Markovic BS, Jankovic MG, Djokovic B, Jovicic N, Harrell CR, Fellabaum C, Djonov V, Arsenijevic N and Lukic ML: Galectin 3 protects from cisplatin-induced acute kidney injury by promoting TLR-2-dependent activation of IDO1/Kynurenine pathway in renal DCs. Theranostics. 9:5976–6001. 2019.PubMed/NCBI View Article : Google Scholar

18 

Kasimsetty SG and McKay DB: Ischemia as a factor affecting innate immune responses in kidney transplantation. Curr Opin Nephrol Hypertens. 25:3–11. 2016.PubMed/NCBI View Article : Google Scholar

19 

Dominguez-Villar M, Gautron AS, de Marcken M, Keller MJ and Hafler DA: TLR7 induces anergy in human CD4(+) T cells. Nat Immunol. 16:118–128. 2015.PubMed/NCBI View Article : Google Scholar

20 

Mancini F, Rossi O, Necchi F and Micoli F: OMV vaccines and the role of TLR agonists in immune response. Int J Mol Sci. 21(4416)2020.PubMed/NCBI View Article : Google Scholar

21 

Mohamed FE, Al-Jehani RM, Minogue SS, Andreola F, Winstanley A, Olde Damink SW, Habtesion A, Malagó M, Davies N, Luong TV, et al: Effect of toll-like receptor 7 and 9 targeted therapy to prevent the development of hepatocellular carcinoma. Liver Int. 35:1063–1076. 2015.PubMed/NCBI View Article : Google Scholar

22 

Su Q, Li L, Sun Y, Yang H, Ye Z and Zhao J: Effects of the TLR4/Myd88/NF-κB signaling pathway on NLRP3 Inflammasome in coronary microembolization-induced myocardial injury. Cell Physiol Biochem. 47:1497–1508. 2018.PubMed/NCBI View Article : Google Scholar

23 

Shen X, Hu B, Xu G, Chen F, Ma R, Zhang N, Liu J, Ma X, Zhu J, Wu Y, et al: Activation of Nrf2/HO-1 pathway by glycogen synthase kinase-3β inhibition attenuates renal ischemia/reperfusion injury in diabetic rats. Kidney Blood Press Res. 42:369–378. 2017.PubMed/NCBI View Article : Google Scholar

24 

Neri M, Fineschi V, Di Paolo M, Pomara C, Riezzo I, Turillazzi E and Cerretani D: Cardiac oxidative stress and inflammatory cytokines response after myocardial infarction. Curr Vasc Pharmacol. 13:26–36. 2015.PubMed/NCBI View Article : Google Scholar

25 

Zhou ZX and Sun L: Immune effects of R848: Evidences that suggest an essential role of TLR7/8-induced, Myd88- and NF-κB-dependent signaling in the antiviral immunity of Japanese flounder (Paralichthys olivaceus). Dev Comp Immunol. 49:113–120. 2015.PubMed/NCBI View Article : Google Scholar

Related Articles

  • Abstract
  • View
  • Download
  • Twitter
Copy and paste a formatted citation
Spandidos Publications style
Liu W, Xi W, Li Y, Hai K, Zhou X, Wang Y and Ye Q: MicroRNA‑216a‑5p in lipopolysaccharide‑induced endothelial injury. Exp Ther Med 22: 1426, 2021.
APA
Liu, W., Xi, W., Li, Y., Hai, K., Zhou, X., Wang, Y., & Ye, Q. (2021). MicroRNA‑216a‑5p in lipopolysaccharide‑induced endothelial injury. Experimental and Therapeutic Medicine, 22, 1426. https://doi.org/10.3892/etm.2021.10861
MLA
Liu, W., Xi, W., Li, Y., Hai, K., Zhou, X., Wang, Y., Ye, Q."MicroRNA‑216a‑5p in lipopolysaccharide‑induced endothelial injury". Experimental and Therapeutic Medicine 22.6 (2021): 1426.
Chicago
Liu, W., Xi, W., Li, Y., Hai, K., Zhou, X., Wang, Y., Ye, Q."MicroRNA‑216a‑5p in lipopolysaccharide‑induced endothelial injury". Experimental and Therapeutic Medicine 22, no. 6 (2021): 1426. https://doi.org/10.3892/etm.2021.10861
Copy and paste a formatted citation
x
Spandidos Publications style
Liu W, Xi W, Li Y, Hai K, Zhou X, Wang Y and Ye Q: MicroRNA‑216a‑5p in lipopolysaccharide‑induced endothelial injury. Exp Ther Med 22: 1426, 2021.
APA
Liu, W., Xi, W., Li, Y., Hai, K., Zhou, X., Wang, Y., & Ye, Q. (2021). MicroRNA‑216a‑5p in lipopolysaccharide‑induced endothelial injury. Experimental and Therapeutic Medicine, 22, 1426. https://doi.org/10.3892/etm.2021.10861
MLA
Liu, W., Xi, W., Li, Y., Hai, K., Zhou, X., Wang, Y., Ye, Q."MicroRNA‑216a‑5p in lipopolysaccharide‑induced endothelial injury". Experimental and Therapeutic Medicine 22.6 (2021): 1426.
Chicago
Liu, W., Xi, W., Li, Y., Hai, K., Zhou, X., Wang, Y., Ye, Q."MicroRNA‑216a‑5p in lipopolysaccharide‑induced endothelial injury". Experimental and Therapeutic Medicine 22, no. 6 (2021): 1426. https://doi.org/10.3892/etm.2021.10861
Follow us
  • Twitter
  • LinkedIn
  • Facebook
About
  • Spandidos Publications
  • Careers
  • Cookie Policy
  • Privacy Policy
How can we help?
  • Help
  • Live Chat
  • Contact
  • Email to our Support Team