Spandidos Publications Logo
  • About
    • About Spandidos
    • Aims and Scopes
    • Abstracting and Indexing
    • Editorial Policies
    • Reprints and Permissions
    • Job Opportunities
    • Terms and Conditions
    • Contact
  • Journals
    • All Journals
    • Oncology Letters
      • Oncology Letters
      • Information for Authors
      • Editorial Policies
      • Editorial Board
      • Aims and Scope
      • Abstracting and Indexing
      • Bibliographic Information
      • Archive
    • International Journal of Oncology
      • International Journal of Oncology
      • Information for Authors
      • Editorial Policies
      • Editorial Board
      • Aims and Scope
      • Abstracting and Indexing
      • Bibliographic Information
      • Archive
    • Molecular and Clinical Oncology
      • Molecular and Clinical Oncology
      • Information for Authors
      • Editorial Policies
      • Editorial Board
      • Aims and Scope
      • Abstracting and Indexing
      • Bibliographic Information
      • Archive
    • Experimental and Therapeutic Medicine
      • Experimental and Therapeutic Medicine
      • Information for Authors
      • Editorial Policies
      • Editorial Board
      • Aims and Scope
      • Abstracting and Indexing
      • Bibliographic Information
      • Archive
    • International Journal of Molecular Medicine
      • International Journal of Molecular Medicine
      • Information for Authors
      • Editorial Policies
      • Editorial Board
      • Aims and Scope
      • Abstracting and Indexing
      • Bibliographic Information
      • Archive
    • Biomedical Reports
      • Biomedical Reports
      • Information for Authors
      • Editorial Policies
      • Editorial Board
      • Aims and Scope
      • Abstracting and Indexing
      • Bibliographic Information
      • Archive
    • Oncology Reports
      • Oncology Reports
      • Information for Authors
      • Editorial Policies
      • Editorial Board
      • Aims and Scope
      • Abstracting and Indexing
      • Bibliographic Information
      • Archive
    • Molecular Medicine Reports
      • Molecular Medicine Reports
      • Information for Authors
      • Editorial Policies
      • Editorial Board
      • Aims and Scope
      • Abstracting and Indexing
      • Bibliographic Information
      • Archive
    • World Academy of Sciences Journal
      • World Academy of Sciences Journal
      • Information for Authors
      • Editorial Policies
      • Editorial Board
      • Aims and Scope
      • Abstracting and Indexing
      • Bibliographic Information
      • Archive
    • International Journal of Functional Nutrition
      • International Journal of Functional Nutrition
      • Information for Authors
      • Editorial Policies
      • Editorial Board
      • Aims and Scope
      • Abstracting and Indexing
      • Bibliographic Information
      • Archive
    • International Journal of Epigenetics
      • International Journal of Epigenetics
      • Information for Authors
      • Editorial Policies
      • Editorial Board
      • Aims and Scope
      • Abstracting and Indexing
      • Bibliographic Information
      • Archive
    • Medicine International
      • Medicine International
      • Information for Authors
      • Editorial Policies
      • Editorial Board
      • Aims and Scope
      • Abstracting and Indexing
      • Bibliographic Information
      • Archive
  • Articles
  • Information
    • Information for Authors
    • Information for Reviewers
    • Information for Librarians
    • Information for Advertisers
    • Conferences
  • Language Editing
Spandidos Publications Logo
  • About
    • About Spandidos
    • Aims and Scopes
    • Abstracting and Indexing
    • Editorial Policies
    • Reprints and Permissions
    • Job Opportunities
    • Terms and Conditions
    • Contact
  • Journals
    • All Journals
    • Biomedical Reports
      • Information for Authors
      • Editorial Policies
      • Editorial Board
      • Aims and Scope
      • Abstracting and Indexing
      • Bibliographic Information
      • Archive
    • Experimental and Therapeutic Medicine
      • Information for Authors
      • Editorial Policies
      • Editorial Board
      • Aims and Scope
      • Abstracting and Indexing
      • Bibliographic Information
      • Archive
    • International Journal of Epigenetics
      • Information for Authors
      • Editorial Policies
      • Editorial Board
      • Aims and Scope
      • Abstracting and Indexing
      • Bibliographic Information
      • Archive
    • International Journal of Functional Nutrition
      • Information for Authors
      • Editorial Policies
      • Editorial Board
      • Aims and Scope
      • Abstracting and Indexing
      • Bibliographic Information
      • Archive
    • International Journal of Molecular Medicine
      • Information for Authors
      • Editorial Policies
      • Editorial Board
      • Aims and Scope
      • Abstracting and Indexing
      • Bibliographic Information
      • Archive
    • International Journal of Oncology
      • Information for Authors
      • Editorial Policies
      • Editorial Board
      • Aims and Scope
      • Abstracting and Indexing
      • Bibliographic Information
      • Archive
    • Medicine International
      • Information for Authors
      • Editorial Policies
      • Editorial Board
      • Aims and Scope
      • Abstracting and Indexing
      • Bibliographic Information
      • Archive
    • Molecular and Clinical Oncology
      • Information for Authors
      • Editorial Policies
      • Editorial Board
      • Aims and Scope
      • Abstracting and Indexing
      • Bibliographic Information
      • Archive
    • Molecular Medicine Reports
      • Information for Authors
      • Editorial Policies
      • Editorial Board
      • Aims and Scope
      • Abstracting and Indexing
      • Bibliographic Information
      • Archive
    • Oncology Letters
      • Information for Authors
      • Editorial Policies
      • Editorial Board
      • Aims and Scope
      • Abstracting and Indexing
      • Bibliographic Information
      • Archive
    • Oncology Reports
      • Information for Authors
      • Editorial Policies
      • Editorial Board
      • Aims and Scope
      • Abstracting and Indexing
      • Bibliographic Information
      • Archive
    • World Academy of Sciences Journal
      • Information for Authors
      • Editorial Policies
      • Editorial Board
      • Aims and Scope
      • Abstracting and Indexing
      • Bibliographic Information
      • Archive
  • Articles
  • Information
    • For Authors
    • For Reviewers
    • For Librarians
    • For Advertisers
    • Conferences
  • Language Editing
Login Register Submit
  • This site uses cookies
  • You can change your cookie settings at any time by following the instructions in our Cookie Policy. To find out more, you may read our Privacy Policy.

    I agree
Search articles by DOI, keyword, author or affiliation
Search
Advanced Search
presentation
Experimental and Therapeutic Medicine
Join Editorial Board Propose a Special Issue
Print ISSN: 1792-0981 Online ISSN: 1792-1015
Journal Cover
March-2021 Volume 21 Issue 3

Full Size Image

Sign up for eToc alerts
Recommend to Library

Journals

International Journal of Molecular Medicine

International Journal of Molecular Medicine

International Journal of Molecular Medicine is an international journal devoted to molecular mechanisms of human disease.

International Journal of Oncology

International Journal of Oncology

International Journal of Oncology is an international journal devoted to oncology research and cancer treatment.

Molecular Medicine Reports

Molecular Medicine Reports

Covers molecular medicine topics such as pharmacology, pathology, genetics, neuroscience, infectious diseases, molecular cardiology, and molecular surgery.

Oncology Reports

Oncology Reports

Oncology Reports is an international journal devoted to fundamental and applied research in Oncology.

Experimental and Therapeutic Medicine

Experimental and Therapeutic Medicine

Experimental and Therapeutic Medicine is an international journal devoted to laboratory and clinical medicine.

Oncology Letters

Oncology Letters

Oncology Letters is an international journal devoted to Experimental and Clinical Oncology.

Biomedical Reports

Biomedical Reports

Explores a wide range of biological and medical fields, including pharmacology, genetics, microbiology, neuroscience, and molecular cardiology.

Molecular and Clinical Oncology

Molecular and Clinical Oncology

International journal addressing all aspects of oncology research, from tumorigenesis and oncogenes to chemotherapy and metastasis.

World Academy of Sciences Journal

World Academy of Sciences Journal

Multidisciplinary open-access journal spanning biochemistry, genetics, neuroscience, environmental health, and synthetic biology.

International Journal of Functional Nutrition

International Journal of Functional Nutrition

Open-access journal combining biochemistry, pharmacology, immunology, and genetics to advance health through functional nutrition.

International Journal of Epigenetics

International Journal of Epigenetics

Publishes open-access research on using epigenetics to advance understanding and treatment of human disease.

Medicine International

Medicine International

An International Open Access Journal Devoted to General Medicine.

Journal Cover
March-2021 Volume 21 Issue 3

Full Size Image

Sign up for eToc alerts
Recommend to Library

  • Article
  • Citations
    • Cite This Article
    • Download Citation
    • Create Citation Alert
    • Remove Citation Alert
    • Cited By
  • Similar Articles
    • Related Articles (in Spandidos Publications)
    • Similar Articles (Google Scholar)
    • Similar Articles (PubMed)
  • Download PDF
  • Download XML
  • View XML
Article Open Access

Discovering pathways in benign prostate hyperplasia: A functional genomics pilot study

  • Authors:
    • Zheling Chen
    • Minyao Ge
  • View Affiliations / Copyright

    Affiliations: Department of Traditional Chinese Medicine, Zhenxin Community Health Service Center, Shanghai 201824, P.R. China, Department of Urology Surgery, Shuguang Hospital Affiliated to Shanghai University of Traditional Chinese Medicine, Shanghai 201203, P.R. China
    Copyright: © Chen et al. This is an open access article distributed under the terms of Creative Commons Attribution License.
  • Article Number: 242
    |
    Published online on: January 22, 2021
       https://doi.org/10.3892/etm.2021.9673
  • Expand metrics +
Metrics: Total Views: 0 (Spandidos Publications: | PMC Statistics: )
Metrics: Total PDF Downloads: 0 (Spandidos Publications: | PMC Statistics: )
Cited By (CrossRef): 0 citations Loading Articles...

This article is mentioned in:



Abstract

Benign prostate hyperplasia (BPH) is one of the well‑known urological neoplasms common in males with an increasing number of associated deaths in aging males. It causes uncomfortable urinary symptoms, including urine flow blockage, and may cause bladder, urinary tract or kidney problems. The histopathological and clinical knowledge regarding BPH is limited. In the present study, an in silico approach was applied that uses genome‑scale microarray expression data to discover a wide range of protein‑protein interactions in addition to focusing on specific genes responsible for BPH to develop prognostic biomarkers. Various genes that were differentially expressed in BPH were identified. Gene and functional annotation clusters were determined and an interaction analysis with disease phenotypes of BPH was performed, as well as an RNA tissue specificity analysis. Furthermore, a molecular docking study of certain short‑listed gene biomarkers, namely anterior gradient 2 (AGR2; PDB ID: 2LNT), steroid 5α‑reductase 2 (PDB ID: 6OQX), zinc finger protein 3 (PDB ID: 5T00) and collagen type XII α1 chain (PDB ID: 1U5M), was performed in order to identify alternative Chinese herbal agents for the treatment of BPH. Data from the present study revealed that AGR2 receptor (PDB ID: 2LNT) and berberine (Huang Bo) form the most stable complex and therefore may be assessed in further pharmacological studies for the treatment of BPH.

Introduction

Benign prostate hyperplasia (BPH), also known as prostate gland enlargement, is a genitourinary condition that is most prevalent in aging males, usually starting at 50-61 years of age (1), and causing lower urinary tract symptoms (LUTS), such as urine flow blockage as a result of the urethra being compressed by the enlarged gland. Other potential complications may include bladder, urinary tract or kidney problems (2). Most males have continued prostate growth throughout their life (2) After the age of 30 years, males exhibit a 1% drop in testosterone production per year and an increase in the level of dihydrotestosterone, possibly due to the age-related increase in 5α reductase (SRD5A2) activity. This rising level of dihydrotestosterone appears to increase prostate cell longevity and proliferation, leading to BPH (3).

BPH is a histological diagnosis that is specified by non-malignant hyperplasia of the stromal and glandular epithelial cells of the prostate, leading to an enlargement in its size (4). Studies and meta-analyses have revealed that BPH is associated with an increased risk of prostate and bladder cancers (5) due to their common pathophysiological driving factors (6). BPH arises mostly from the peripheral zone (70%), followed by growth in the transition zone (20%) and in the central zone (10%) of the gland. The public health burden of BPH is high due to the increased associated morbidity and treatment costs: As many as 33% of males older than 50 years, ~50% of those >60 years, 70% of those >70 years and 90% of those >85 years develop BPH (7). The risk for progressing into a cancerous state is small, but instead, the entire prostate gland grows uniformly, with small smooth, elastic and firm hyperplastic nodules. Common complications include urinary tract infections, bladder stones and chronic kidney problems (8). The symptoms maybe obstructive (weakened urine stream, strained or prolonged voiding, urinary hesitancy) or irritative (pain, nocturia, urge incontinence), or may produce a constant sense of incomplete bladder emptying after micturition that leads to the requirement of frequent urination (9).

The primary risk factors for BPH include age, family history, obesity and being of Afro-Caribbean descent. BPH is most common in western countries and affects >1 billion males all over the world (6). According to GLOBOCAN estimates, 1.2 million novel cases of prostate cancer were reported worldwide in 2018(10). Diagnostic methods include physical and digital rectal examinations, prostate-specific antigen (PSA) level measurements, prostate biopsy, prostate ultrasound, urinalysis and urine culture (11,12). PSA, a glycoprotein enzyme produced by the epithelial cells of the prostate gland, is considered the mainstay for BPH prognosis and diagnosis. However, it is difficult to differentiate between the increase in PSA levels due to BPH and prostate cancer. Furthermore, the test fails to discriminate between low-risk and aggressive tumors (13). Major invasive and medical therapies are available for BPH treatment (14). Invasive therapies include microwave thermotherapy, prostate needle ablation, as well as surgical, laser and transurethral therapies; medical therapies include a-adrenergic blockers, 5a-reductase inhibitors, phosphodiesterase type-5 inhibitor therapy for BPH/LUTS and b-3-agonist therapy. Pharmaceutical treatments include finasteride (5-alpha reductase inhibitor) and alpha-1 antagonists. Finasteride shrinks the prostate gland by inhibiting the conversion of testosterone into dihydrotestosterone, resulting in urine flow obstruction relief (15), and alpha-1 antagonists (such as phenoxybenzamine) bind alpha-1 receptors of bladder-neck smooth muscle, causing its relaxation and allowing urine to pass (16).

The discovery of genomic mutations and development of high-throughput screening and microarray technologies have opened up possibilities for identifying gene biomarkers for the diagnosis, prognosis and treatment of BPH (17). Genomic functional networks may help reveal interactions between BPH-associated modules, genitourinary diseases and hyperglycemia, and identify pathway-specific interactions. Furthermore, as only a few drugs (with numerous side effects) are available for treating BPH (18), alternative drugs are required. Histopathology methods for BPH remain incomplete. Differentially expressed genes (DEGs) in BPH and normal prostate tissues are likely to reflect underlying pathogenic mechanisms involved in the development of the disease. Complementary DNA microarray technology may be used to identify genes associated with BPH. The present study focused on a specific set of genes responsible for BPH and performed protein-protein interaction analyses to disclose functional networks. Potential prognostic biomarkers were identified using in silico approaches, high-throughput microarray data and comprehensive protein-protein interaction analyses.

The objectives of the present study were to discover genes that are differentially expressed in BPH and normal prostate tissues, identify functional networks and look for potential alternative BPH agents in a list of Chinese herbs.

Patients and methods

Datasets

The gene expression profiles of BPH patients from the Gene Expression Omnibus (GEO; https://www.ncbi.nlm.nih.gov/geo/) dataset with the accession number GSE6099 were used. For the analysis, seven samples were selected: A total of four human epithelium samples of BPH nodules (EPI_BPH) and three samples from human epithelium of individuals without a history of prostate disease (EPI_NOR). The epithelium is one of the basic types of animal tissue that lines the outer surface of the prostate gland. The pathological evidence for prostate diseases confirmed the neoplastic changes of the prostate epithelium.

Identification of DEGs

TheGEO2R web-based tool was used for basic processing, analysis of gene expression datasets and identification of DEGs in BPH. The GEO2R tool uses GEO query (19) and the R limma package (20) from the Bioconductor project (https://www.bioconductor.org/). Fold changes (FCs) were calculated as the ratio of the average expression values of each probe across the samples under normal and BPH conditions. Genes with logFC≥1.0 were considered as upregulated and those with logFC≤-1.0 as downregulated (20,21).

Gene and functional annotation clustering

Functional annotation clustering available in the DAVID tool (https://david.ncifcrf.gov/) was performed. Associations among the ‘annotation terms’ were measured based on their co-association genes in order to cluster similar, redundant and heterogeneous annotation content from the similar or different resources into annotation groups, based on the protocol by Huang et al (21) from 2009.

Protein-protein interaction study

The GeneMania database (https://genemania.org/) (22) was used to infer experimentally known physical interactions between proteins to predict pathways, protein functions and potential novel therapeutic targets.

RNA tissue specificity analysis

For the purpose of RNA tissue-specific analysis, the Human Protein Atlas (HPA) (23) was used. The HPA portal maps all the human proteins in cells, tissues and organs using integrated omics technologies. In addition, the distribution of proteins in the prostate was examined using the Tissue Atlas (one of the three major HPA projects).

Molecular docking of active components of Chinese herbs to BPH receptor proteins

A total of 10 Chinese herbs that have been cited as effective for treating BPH were selected (Table I). Using a systematic literature review, the phytochemicals potentially contributing to the effectiveness of these herbs were retrieved and listed in Table I.

Table I

Phytochemical compounds occurring in Chinese medicinal herbs used to treat benign prostate hyperplasia.

Table I

Phytochemical compounds occurring in Chinese medicinal herbs used to treat benign prostate hyperplasia.

Chinese herb namePhytochemical compound
Chaun Shan JiaN-butyl tricosylamide, cyclo (L-seryl-L-tyrosyl)
E Shu Curdioneandgermacrone
Fu lingPolyporenic acid C
Huang BoBerberine
Huang QiAstragalosides
Rou GuiCinnamonitride
Shan Zhu YuCornuside
Shu Di HuangRehmania polysaccharide, Jionoside
Wang Bu Liu XingTriterpene saponins
Ze XieAlisol A monoacetate
In silico extraction of phytochemical compounds

The structures of the phytochemical compounds were obtained from various databases, such as ChEMBL (24), PubChem (25) and DrugBank (26).

Molecular docking

The structures of the relevant prostate receptor proteins and the phytochemicals selected for the study (cinnamonitride, astragaloside, cornuside, polyporenic acid C, berberine and alisol A monoacetate) were first converted into pdbqt files for docking. AutoDock Vina (27) was used with receptor proteins to perform blind flexible dockings.

Interaction analysis

The Protein-Ligand Interaction Profiler (PLIP) (28) was used to establish interactions between the docked complexes.

Results and Discussion

The differentially expression genes (DEGs) in BPH were identified using the methodology described in the ‘Identification of DEGs’ section. Out of a variety of existing methods for identifying DEGs from microarray gene expression data, such as the FC (29) or t-test statistics (30), calculation of the log(FC) was chosen as one of the simplest ad-hoc methods for microarray analyses. The FC describes the change in expression of a gene between two observed samples, i.e., between normal and BPH tissues (31).

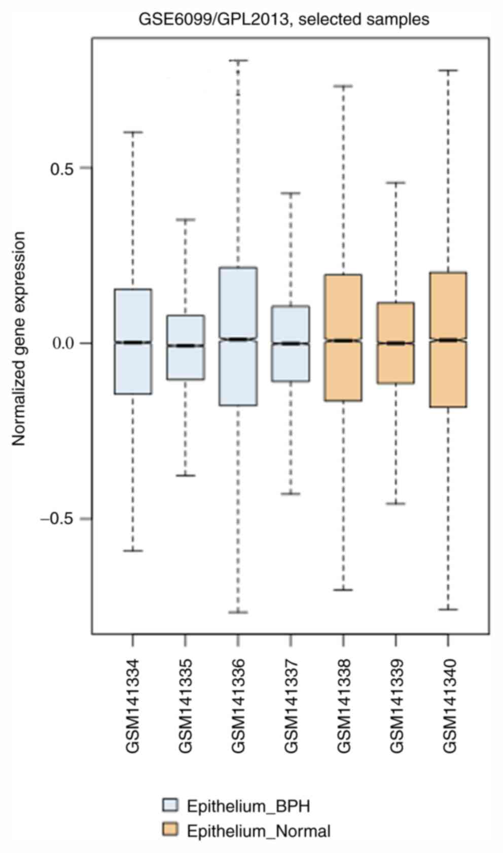
After selecting the gene expression datasets and evaluating them for differential expression analysis, a boxplot of the BPH and the normal samples was generated (Fig. 1). It was observed that the median of the two sample types (i.e., BPH vs. normal) was close to zero. However, there were significant variations in terms of their minimum, first quartile, third quartile and maximum values between BPH and normal groups, with BPH samples GSM141335 and GSM141337 showing lower values compared with those in normal samples GSM141338 and GSM141339 (Fig. 1).

Figure 1

Boxplot of gene expression between BPH samples and normal samples. The x-axis represents samples, whilst the y-axis represents the normalized gene expression of a sample. All the samples show fairly consistent medians across all the samples, however, a smaller interquartile range is observed in BPH samples (GSM141335 and GSM141337) compared to all the three normal samples. BPH, benign prostate hyperplasia.

The logFC statistics for the entire genome were computed. The logFC values of all the genes are presented in a scatter plot in Fig. 2. Genes with a logFC ≥1.0 were considered to be upregulated and those with logFC ≤-1.0 were considered to be downregulated in BPH tissues (32,33). Following conventional rules, a threshold of a two-fold change in gene expression (i.e., -1.0 ≤logFC ≥1.0), and P≤0.05 (5% significance level) were used to short-list DEGs in BPH. Table II lists the identified DEGs with their P-values and logFC values. Among the highest ranking identified DEGs are Zinc finger proteins (ZNF3; P<0.0001, logFC=3.0111), Acyl-CoA synthetase family member 3 (ACSF3; P<0.0001, logFC=1.5768), Fibrinogen like-1 (FGL1; P=0.0001, logFC=-1.4845), PMS1 homolog 1, mismatch repair system component (PMS1; P=0.0001, logFC=-1.4611), Forkhead box P2 (FOXP2; P<0.0001, logFC=-1.3491), anterior gradient 2 (AGR2; P<0.0001, logFC=-1.3156) andRing finger protein 135 (RNF135; P=0.0001, logFC=1.2748). In addition, profile graphs of identified DEGs were plotted to obtain a graph of DEG expression across the different samples, as presented in Fig. 3. The profile graphs point to differential expression behaviours in the BPH and normal prostate samples.

Figure 2

Scatter plot showing the logFC of differentially expression genes in BPH. The x-axis represents genes whereas the y-axis represents the logFC values. BPH, benign prostate hyperplasia; FC, fold change.

Figure 3

Profile graphs of differentially expressed genes, namely ZNF3, ACSF3, FGL1, FOXP2, AGR2, RNF135, BAZ2B, NCAPD3, PDK4, CDC45, FOLH1, CXXC4, PMS1, ARHGAP42, COL12A1, HECTD4, IGFBP5, TF, ADAMTS1, TEAD1, EDRF1, KCTD13 and BACE2. BPH, benign prostate hyperplasia; ZNF3, Zinc finger protein 3; ACSF3, Acyl-CoA synthetase family member 3; FGL1, Fibrinogen like 1; FOXP2, Forkhead box P2; AGR2, Anterior gradient 2; RNF135, Ring finger protein 135; BAZ2B, Bromodomain adjacent to zinc finger domain 2B; NCAPD3, Non-smooth muscle cell condensin II complex subunit D3; PDK4, Pyruvate dehydrogenase kinase 4; CDC45, Cell division cycle 45; FOLH1, Folate hydrolase (prostate-specific membrane antigen) 1; CXXC4, CXXC finger protein 4; PMS1, PMS1 homolog 1, mismatch repair system component; ARHGAP42, Rho GTPase activating protein 42; COL12A1, collagen type XII α1 chain; HECTD4, HECT domain E3 ubiquitin protein ligase 4; IGFBP5, Insulin-like growth factor binding protein 5; TF, Transferrin; ADAMTS1, ADAM metallopeptidase with thrombospondin type 1 motif 1; TEAD1, TEA domain transcription factor 1; EDRF1, Erythroid differentiation regulatory factor 1; KCTD13, Potassium channel tetramerization domain containing 13; BACE2, Beta-site APP-cleaving enzyme 2.

Table II

List of differentially expressed genes in BPH and predicted scores.

Table II

List of differentially expressed genes in BPH and predicted scores.

IDP-valueTlogFCGene symbolGene nameGene functionUniprot ID
Hs6-3-3-1<0.000111.00533.0111ZNF3Zinc finger protein 3Involved in cell differentiation and/or proliferation.https://www.uniprot.org/uniprot/P17036
Hs6-11-20-9<0.00017.04811.5768ACSF3Acyl-CoA synthetase family member 3Catalyzes the initial reaction in intramitochondrial fatty acid synthesis into respective CoA thioester, by activating malonate and methylmalonate.https://www.uniprot.org/uniprot/Q4G176
Hs6-30-1-120.0001-6.6404-1.4845FGL1Fibrinogen like 1Upregulated in various cancers, including lung cancer, prostate cancer, melanoma and colorectal cancer.https://www.uniprot.org/uniprot/Q08830
Hs6-32-17-240.0001-6.2384-1.4611PMS1PMS1 homolog 1, mismatch repair system componentRepair of DNA mismatch.https://www.uniprot.org/uniprot/P54277
Hs6-18-1-13<0.0001-6.4221-1.3491FOXP2Forkhead box P2A transcriptional repressor that participate in the specification and differentiation of the lung epithelium, development of neural, gastrointestinal and cardiovascular tissues.https://www.uniprot.org/uniprot/O15409
Hs6-13-2-18<0.0001-7.5867-1.3156AGR2Anterior gradient 2, protein disulphide isomerase family memberCatalyze protein folding and thiol-disulfide interchange reactions.https://www.uniprot.org/uniprot/O95994
Hs6-11-16-90.00015.96281.2748RNF135Ring finger protein 135Acts as an E2-dependent E3 ubiquitin-protein ligase, involved in innate immune defense against viruses.https://www.uniprot.org/uniprot/Q8IUD6
Hs6-20-10-210.02492.59181.2741HECTD4HECT domain E3 ubiquitinprotein ligase 4Transfers the ubiquitin to targeted substrates directly.https://www.uniprot.org/uniprot/Q9Y4D8
Hs6-31-19-170.0001-6.0425-1.2109BAZ2BBromodomain adjacent to zinc finger domain 2BMay play a role in transcriptional regulation interacting with imitation SWI.https://www.uniprot.org/uniprot/Q9UIF8
Hs6-8-2-20.00183.89351.1828NCAPD3Non-smooth muscle cellcondensin II complexsubunit D3Mitotic chromosome assembly and segregation.https://www.uniprot.org/uniprot/P42695
Hs6-11-17-230.0112-2.9520-1.1392PDK4Pyruvate dehydrogenase kinase 4A member of the PDK protein kinase family that encodes a mitochondrial protein with a histidine kinase domain.https://www.uniprot.org/uniprot/Q16654
Hs6-23-18-130.0087-3.0793-1.1176ADAMTS1ADAM metallopeptidase with thrombospondin type 1 motif 1Angiogenic inhibitor activity; has a critical role in follicular rupture; associated with various inflammatory processes and development of cancer cachexia.https://www.uniprot.org/uniprot/Q9UHI8
Hs6-20-19-250.00403.97201.0868CDC45Cell division cycle 45Required for initiation of chromosomal DNA replication.https://www.uniprot.org/uniprot/O75419
Hs6-19-25-70.0024-3.7587-1.0450FOLH1Folate hydrolase (prostate-specific membrane antigen) 1Folate hydrolase and N-acetylated-alpha-linked-acidic dipeptidase activity; associated with prostate tumor progression.https://www.uniprot.org/uniprot/Q04609
Hs6-28-5-130.0014-4.5094-1.0398CXXC4CXXC finger protein 4Represses Wnt signaling pathway via interaction with DVL1; binds to DNA containing CpG dinucleotides over CpH (H=A, T, and C), hemimethylated-CpG and hemimethylated-hydroxymethyl-CpG.https://www.uniprot.org/uniprot/Q9H2H0
Hs6-10-24-140.00124.60711.0299KCTD13Potassium channel tetramerization domain containing 13Substrate-specific adapter of a BCR E3 ubiquitin-protein ligase complex required for synaptic transmission; mediates the ubiquitination of RhoA, leading to its degradation by the proteasome.https://www.uniprot.org/uniprot/Q8WZ19
Hs6-15-23-40.0049-3.3798-1.0297ARHGAP42Rho GTPase activating protein 42May influence blood pressure by functioning as a GTPase-activating protein for RhoAin vascular smooth muscle.https://www.uniprot.org/uniprot/A6NI28
Hs6-11-11-10.0052-3.3483-1.0290TEAD1TEA domain transcription factor 1Plays a key role in the Hippo signaling pathway, a pathway involved in organ size control, and tumor suppression by restricting proliferation and promoting apoptosis; cardiac development; binds to the M-CAT motif.https://www.uniprot.org/uniprot/P28347
Hs6-28-7-190.00154.00681.0283COL12A1Collagen type XII alpha 1 chainInteracts with type I collagen-containing fibrils, the COL1 domain could be associated with the surface of the fibrils, and the COL2 and NC3 domains may be localized in perifibrillar matrix.https://www.uniprot.org/uniprot/Q99715
Hs6-16-23-190.0014-4.5432-1.0194EDRF1Erythroid differentiation regulatory factor 1A transcription factor involved in erythroid differentiation; transcriptional activation of the globin gene.https://www.uniprot.org/uniprot/Q3B7T1
Hs6-32-13-10.00034.78611.0155IGFBP5Insulin-like growth factor binding protein 5IGF-binding proteins prolong the half-life of the IGFs and either inhibit or stimulate the growth-promoting effects of the IGFs in cell culture; alter the interaction of IGFs with their cell surface receptors.https://www.uniprot.org/uniprot/P24593
Hs6-20-10-200.0014-4.5268-1.0133BACE2Beta-site APP-cleaving enzyme 2Proteolytic processing of the APP; cleaves APP, between residues 690 and 691, leading to the generation and extracellular release of beta-cleaved soluble APP, and a corresponding cell-associated C-terminal fragment.https://www.uniprot.org/uniprot/Q9Y5Z0
Hs6-27-5-10.0298-2.4615-1.0002TFTransferrinIron binding transport proteins, bind two Fe3+ ions in association with the binding of an anion, usually bicarbonate; responsible for the transport of iron from sites of absorption and heme degradation to those of storage and utilization; stimulating. cell proliferation.https://www.uniprot.org/uniprot/P02787

[i] FC, fold change; APP, amyloid precursor protein; BCR, BTB-CUL3-RBX1; DVL-1, Dishevelled-1.

The list of identified DEGs was validated against the published literature in order to find evidence for their involvement in BPH or other prostatic conditions. It was revealed that, for instance, the association of the genes ADAM metallopeptidase with thrombospondin type 1 motif 1 (ADAMTS1) (34), folate hydrolase 1 (FOLH1) or Prostate-specific membrane antigen (35) and insulin like growth factor binding protein 5 (IGFBP5) (36) with BPH was listed in the DisGeNET database (37). Modified ADAMTS1 expression results in markedly changed blood vessel morphology and altered thrombospondin-1(TSP1) levels in tumors. Loss of ADAMTS1 is associated with small-diameter vessels that are consistent with more aggressive prostate tumors (38). These results suggest that ADAMTS1 is an important regulatory factor of tumor growth and angiogenesis during prostate cancer progression. According to the Human Protein Atlas (https://www.proteinatlas.org/), ADAMTS1RNA expression is significantly enhanced in prostate tissue. The DisGeNET database reports that PMS1 is a biomarker of malignant prostate neoplasms (39,40), and anterior gradient 2(AGR2) is highly associated with prostate neoplasms (41-44) and prostate carcinoma (44). Zinc finger proteins (ZNF) ZNF91(45), ZFX (46), ZNF185(47), ZNF132(48) and myc associated zinc finger protein (49), as the family of ZNF3, have been associated with prostate pathology, prostate cancer progression and prostate cancer pathogenesis. The association of zinc finger proteins with BPH and prostate cancer was reviewed in Rahman (50) in 2016. Fibrinogen like-1 (FGL1) has been associated with prostate cancer and high-grade prostatic intraepithelial neoplasia (HGPIN) (51). Collagen type XII α1 chain (COL12A1) is upregulated in BPH (52-54). Similarly, other identified DEGs are involved in different prostate diseases. One of the key biomarkers involved in BPH, but not in prostate cancer, is Steroid 5α-reductase 2 (SRD5A2) (55-58). It was not identified in the differential expression analysis of the present study, but it was considered for drug interaction studies.

Another gene identified in this analysis was FOLH1, also known as prostate-specific membrane antigen. It encodes a type II transmembrane glycoprotein expressed in a number of tissues, including the prostate. In the prostate, FOLH1 is upregulated in cancerous cells, has been used as a diagnostic and prognostic marker for prostate cancer (59) and was also proposed as a possible marker for neurological disorders such as Alzheimer's and Huntington's disease (60). According to GeneCards, the Human Gene Database (https://www.genecards.org), FOLH1 is involved in prostate tumor progression (61,62). Finally, insulin-like growth factor binding proteins (IGFBPs) exhibit abnormalities in prostatic stromal cells in BPH (36,63).

Gene and functional annotation clustering

Clustered annotations make the functional analyses more clear and focused. Clustering algorithms rely on the hypothesis that similar annotations should have similar gene members (64). The functional annotation clustering of the present study used Kappa statistics to estimate the degree of the common genes between two annotations, and fuzzy heuristic clustering was used to classify the groups of similar annotations based on kappa values. Hence, common gene annotations have a high chance of being grouped together. This eases the biological analysis and interpretation at the group level.

After gene clustering and functional annotation clustering, only two gene clusters were obtained with the ‘lowest’ classification stringency. The first cluster contained five genes, namely bromo domain adjacent to zinc finger domain 2B, TEA domain transcription factor 1 (TEAD1), erythroid differentiation regulatory factor 1, ZNF3 and forkhead box P2with an enrichment score of 0.68 and the second cluster contained only three genes, namelyβ-secretase 2, ADAMTS1 and FOLH1 with an enrichment score of 0.47. Fig. 4 presents a 2D view of clustered genes with their associated gene terms.

Figure 4

Two-dimensional view of clustered genes with their associated GO gene-terms. (A) Gene cluster 1; (B) gene cluster 2. GO, gene ontology.

For the functional annotation clustering analysis, a ‘high’ classification stringency was selected and 4 annotation clusters were obtained, as presented in Table III and Fig. 5. Out of the 4 clusters (Table III and Fig. 5), the first 3 were significantly enriched (enrichment scores of 0.95, 0.70 and 0.52). The P-values of functional Gene Ontology terms of these 3 significantly enriched clusters are also reasonably acceptable. Each of the four terms within cluster 1 was associated with both overlapping as well as differing genes (Fig. 5B). The terms of clusters 2 and 4 were only associated with overlapping genes.

Figure 5

Functional annotation clustering analysis performed using the DAVID tool. (A) Annotation cluster 1; (B) annotation cluster 2; (C) annotation cluster 3; (D) annotation cluster 4. GO, gene ontology.

Table III

Results of functional annotation clustering analysis.

Table III

Results of functional annotation clustering analysis.

A, Annotation cluster 1 (enrichment score: 0.95)
CategoryTermCountP-valueGenesBenjaminiFDR
UP_KEYWORDSSecreted60.0526TF, COL12A1, ADAMTS1, FGL1, AGR2, IGFBP50.902044.1446
UP_KEYWORDSSignal80.1386TF, CDC45, BACE2, COL12A1, ADAMTS1, FGL1, AGR2, IGFBP50.882279.9935
UP_SEQ_FEATURESignal peptide70.1472TF, BACE2, COL12A1, ADAMTS1, FGL1, AGR2, IGFBP51.000085.0691
UP_KEYWORDSDisulfide bond70.1475TF, BACE2, COL12A1, ADAMTS1, FGL1, AGR2, IGFBP50.859282.1005
B, Annotation cluster 2 (enrichment score: 0.70)
CategoryTermCountP-valueGenesBenjaminiFDR
UP_KEYWORDSProtease30.1139FOLH1, BACE2, ADAMTS10.925772.8568
GOTERM_BP_DIRECTGO:0006508~ proteolysis30.1283FOLH1, BACE2, ADAMTS10.998780.3993
UP_KEYWORDSHydrolase30.5431FOLH1, BACE2, ADAMTS10.981099.9785
C, Annotation cluster 3 (enrichment score: 0.52)
CategoryTermCountP-valueGenesBenjaminiFDR
UP_KEYWORDSTranscription regulation50.2338EDRF1, TEAD1, BAZ2B, ZNF3, FOXP20.828294.3394
UP_KEYWORDSTranscription50.2496EDRF1, TEAD1, BAZ2B, ZNF3, FOXP20.828795.4801
GOTERM_BP_DIRECTGO:0006351~ transcription, DNA-templated40.4491EDRF1, BAZ2B, ZNF3, FOXP21.000099.9156
D, Annotation cluster 4 (enrichment score: 0.01)
CategoryTermCountP-valueGenesBenjaminiFDR
GOTERM_CC_DIRECTGO:0016021~ integral component of membrane40.9615FOLH1, BACE2, HECTD4, ADAMTS11.0000100
UP_KEYWORDSTransmembrane helix40.9631FOLH1, BACE2, HECTD4, ADAMTS11.0000100
UP_KEYWORDSTransmembrane40.9637FOLH1, BACE2, HECTD4, ADAMTS11.0000100
UP_KEYWORDSMembrane40.9958FOLH1, BACE2, HECTD4, ADAMTS11.0000100

[i] FDR, false discovery rate; GO, gene ontology; BP, biological process; CC, cellular component.

Protein interaction analysis

Protein-protein interactions (PPIs) have a crucial role in cells and control essential cellular and biological processes. Any disease-causing mutations affecting PPIs may lead to disruption of protein-DNA interactions, protein misfolding and new undesirable interactions (65). A better understanding of possible PPIs allows for the prediction of pathways, protein functions and potential novel therapeutic targets. In the present study, gene interactions were predicted using the GeneMania tool with customized gene-gene interaction parameters, such as physical interactions and gene co-expression interactions only, as presented in Fig. 6. The physical interactions are depicted in pink, while co-expression interactions are displayed in purple. The maximum resultant genes and maximum resultant attributes were set to default, i.e., 20 and 10, respectively. The genes that do not interact with any other genes under these parameter settings were removed from the network (Fig. 6). This way, 3 different interaction networks were obtained (Fig. 6). The size of the nodes represents the gene score, i.e., the degree with which GeneMania predicted the gene-gene association. Similarly, the thickness of the edges represents the strength of the interaction. The topological analysis of gene-gene interactions suggested that the genes IGFBP5, TEAD1 and transferrin are hub genes that have direct or indirect interactions with other DEGs identified. Most of these interactions are physical interactions with good strengths (pink color). This suggests that these DEGs may be used for the rapeutic strategies and as drug targets (66,67).

Figure 6

Map of interactions among genes. Gene-gene physical interactions (pink edges) and gene co-expression interactions only (black edges). The larger size nodes in the interaction network represent the differentially expressed genes identified in this study, whilst smaller nodes represent other interacting genes.

RNA tissue specificity analysis

Genes have unique expression patterns that are broadly classified as tissue-specific or housekeeping. In a multicellular organism, knowledge of the tissue-specificity of a gene contributes to a better understanding of its function (68). In the present study, tissue specificity was measured by counting the number of tissues each gene was expressed in.

Both disease and trait phenotypes are under dynamic tissue-specific regulation. The major purpose of performing RNA tissue specificity analyses was to better understand how the expression of genes and its regulatory processes may be affected by disease or other biological factors. The ADAMTS1 gene is expressed in numerous tissues, including the ovary, adipose tissue, gallbladder and placenta. Fig. 7 presents the results of the tissue specificity analysis of certain DEGs in BPH identified in the present study. It was observed that the prostate tissue specificity score of all of the DEGs identified was low (normalized expression, <25), and the differential expression of these genes in BPH samples may be due to genetic variations leading to BPH.

Figure 7

RNA tissue specificity analysis using the Tissue Atlas of the Human Protein Atlas. (A) ADAMTS1, (B) AGR2, (C) COL12A1 and (D) ZNF3. PBMC, peripheral blood mononuclear cells; NX, normalized expression which is computed using Trimmed Mean of M-values methods within the Human Protein Atlas; ADAMTS1, ADAM metallopeptidase with thrombospondin type 1 motif 1; AGR2, anterior gradient 2; COL12A1, collagen type XII α1 chain; ZNF3, Zinc finger protein 3.

Molecular docking and interaction analysis Extraction of phytochemical compounds

In the present study, only six compounds (namely cinnamonitride, astragaloside, cornuside, polyporenic acid C, berberine and alisol A monoacetate) were considered, since they have been used for the treatment of BPH and its phytochemical compound structures are available.

Docking

By docking ligands (phytochemical compounds) to receptor proteins, it was indicated that polyporenic acid C and alisol A were notable to bind to the proteins under any of the tested conditions. Dockings were possible only between the prostatic receptors and cinnamonitride, astragaloside, berberine and cornuside. Fig. 8 presents the best binding positions for each receptor-ligand complex docking.

Figure 8

Best docked complexes with docking scores of receptors. AGR2 (2LNT), SRD5A2 (6OQX), ZNF3 (5T00), and COL12A1 (1U5M). PDB, protein databank; SRD5A, 5α reductase; AGR2, anterior gradient 2; COL12A1, collagen type XII α1 chain; ZNF3, Zinc finger protein 3.

Interaction analysis

After comparing the dockings, it was revealed that berberine had the higher binding affinity for BPH target receptors. Therefore, the best-bound complexes with berberine were selected and subjected to a PLIP interaction analysis. Fig. 9 demonstrates interactions formed between berberine and the selected target receptors, including hydrophobic interactions, hydrogen bonds and salt bridges. Out of the four complexes subjected to the interaction analysis, the interactions formed between AGR2 (protein databank ID, 2LNT) and berberine were the most stable due to a balance between the number of hydrogen and hydrophobic bonds. The complex between berberine and AGR2 had 5 hydrogen bonds stabilizing the complex (the more hydrogen bonds in a complex, the more stable the complex).

Figure 9

Interactions between berberine and the selected target receptor proteins. (A) 6OQX to Berberine, (B) 1U5M to Berberine, (C) 2LNT to Berberine, (D) 5T00 to Berberine.

Conclusions

In the present study, genes with differential expression between BPH and normal prostatic tissues were discovered and interaction analyses associated with BPH phenotypes were performed. A general framework for mapping complex interactions from genome-wide genotype data was established and interactions with Chinese herbal drugs were identified.

The recent discovery of novel genomic mutations and the availability of high-throughput screening and microarray technologies have facilitated the uncovering of gene biomarkers for the diagnosis, prognosis and treatment of various diseases, such as BPH (31-33). With the help of in silico approaches, high-throughput microarray data were analyzed to identify DEGs as biomarkers for BPH; furthermore, PPI, gene clustering and tissue specificity analyses were performed to associate their expression to BPH phenotypes. In addition, molecular docking studies of certain short-listed gene biomarkers [AGR2 (2LNT), SRD5A2 (6OQX), ZNF3 (5T00) and COL12A1 (1U5M)] were performed to identify alternative Chinese herbal drugs for the treatment of BPH. The results suggest that the AGR2 receptor (2LNT) and berberine (Huang Bo) form a stable complex that maybe examined in further pharmacological studies. Further experimental studies are required to confirm the present computational results.

Acknowledgements

Not applicable.

Funding

No funding was received.

Availability of data and materials

The datasets generated and/or analyzed during the current study are available in the NCBI-GEO repository (https://www.ncbi.nlm.nih.gov/geo/query/acc.cgi?acc=GSE6099).

Authors' contributions

MG conceived and designed the study; MG and ZC collected and analyzed the data for this study; ZC wrote the manuscript; and MG reviewed and edited the manuscript. All authors read and approved the final manuscript.

Ethics approval and consent to participate

Not applicable.

Patient consent for publication

Not applicable.

Competing interests

The authors declare that they have no competing interests.

References

1 

Lorenzo G, Hughes TJR, Dominguez-Frojan P, Reali A and Gomez H: Computer simulations suggest that prostate enlargement due to benign prostatic hyperplasia mechanically impedes prostate cancer growth. Proc Natl Acad Sci USA. 116:1152–1161. 2019.PubMed/NCBI View Article : Google Scholar

2 

NIH-NIDDK. Prostate Enlargement (Benign Prostatic Hyperplasia)|NIDDK [Internet]. National Institute of Diabetes and Digestive and Kidney Diseases. 2019 [cited 2020 Jan 16]. Available from: https://www.niddk.nih.gov/health-information/urologic-diseases/prostate-problems/prostate-enlargement-benign-prostatic-hyperplasia.

3 

Nicholson TM and Ricke WA: Androgens and estrogens in benign prostatic hyperplasia: Past, present and future. Differentiation. 82:184–199. 2011.PubMed/NCBI View Article : Google Scholar

4 

Hata J, Satoh Y, Akaihata H, Hiraki H, Ogawa S, Haga N, Ishibashi K, Aikawa K and Kojima Y: Molecular classification of benign prostatic hyperplasia: A gene expression profiling study in a rat model. Int J Urol. 23:599–612. 2016.PubMed/NCBI View Article : Google Scholar

5 

Dai X, Fang X, Ma Y and Xianyu J: Benign prostatic hyperplasia and the risk of prostate cancer and bladder cancer: A meta-analysis of observational studies. Medicine (Baltimore). 95(e3493)2016.PubMed/NCBI View Article : Google Scholar

6 

Miah S and Catto J: BPH and prostate cancer risk. Indian J Urol. 30:214–218. 2014.PubMed/NCBI View Article : Google Scholar

7 

Chughtai B, Forde JC, Thomas DD, Laor L, Hossack T, Woo HH, Te AE and Kaplan SA: Benign prostatic hyperplasia. Nat Rev Dis Primers. 2(16031)2016.PubMed/NCBI View Article : Google Scholar

8 

Kim EH, Larson JA and Andriole GL: Management of benign prostatic hyperplasia. Annu Rev Med. 67:137–151. 2016.PubMed/NCBI View Article : Google Scholar

9 

Barry MJ, Fowler FJ, O'Leary MP, Bruskewitz RC, Holtgrewe HL and Mebust WK: Measuring disease-specific health status in men with benign prostatic hyperplasia. Measurement committee of the American urological association. Med Care. 33 (Suppl 4):AS145–AS155. 1995.PubMed/NCBI

10 

Rawla P: Epidemiology of prostate cancer. World J Oncol. 10:63–89. 2019.PubMed/NCBI View Article : Google Scholar

11 

Levitt JM and Slawin KM: Prostate-specific antigen and prostate-specific antigen derivatives as predictors of benign prostatic hyperplasia progression. Curr Urol Rep. 8:269–274. 2007.PubMed/NCBI View Article : Google Scholar

12 

Nickel JC, Aaron L, Barkin J, Elterman D, Nachabé M and Zorn KC: Canadian urological association guideline on male lower urinary tract symptoms/benign prostatic hyperplasia (MLUTS/BPH): 2018 update. Can Urol Assoc J. 12:303–312. 2018.PubMed/NCBI View Article : Google Scholar

13 

Chen J, Zhang D, Yan W, Yang D and Shen B: Translational bioinformatics for diagnostic and prognostic prediction of prostate cancer in the next-generation sequencing era. Biomed Res Int. 2013(901578)2013.PubMed/NCBI View Article : Google Scholar

14 

Mobley RE and Bizzarro MJ: Central line-associated bloodstream infections in the NICU: Successes and controversies in the quest for zero. Semin Perinatol. 41:166–174. 2017.PubMed/NCBI View Article : Google Scholar

15 

Tacklind J, Fink HA, Macdonald R, Rutks I and Wilt TJ: Finasteride for benign prostatic hyperplasia. Cochrane Database Syst Rev. 6(CD006015)2010.PubMed/NCBI View Article : Google Scholar

16 

Michel MC and Vrydag W: Alpha1-, alpha2- and beta-adrenoceptors in the urinary bladder, urethra and prostate. Br J Pharmacol. 147 (Suppl 2):S88–S119. 2006.PubMed/NCBI View Article : Google Scholar

17 

Yadav SS, Li J, Lavery HJ, Yadav KK and Tewari AK: Next-generation sequencing technology in prostate cancer diagnosis, prognosis, and personalized treatment. Urol Oncol. 33:267.e1–e13. 2015.PubMed/NCBI View Article : Google Scholar

18 

Yu ZJ, Yan HL, Xu FH, Chao HC, Deng LH, Xu XD, Huang JB and Zeng T: Efficacy and side effects of drugs commonly used for the treatment of lower urinary tract symptoms associated with benign prostatic hyperplasia. Front Pharmacol. 11(658)2020.PubMed/NCBI View Article : Google Scholar

19 

Davis S and Meltzer PS: GEOquery: A bridge between the gene expression omnibus (GEO) and BioConductor. Bioinformatics. 23:1846–1847. 2007.PubMed/NCBI View Article : Google Scholar

20 

Smyth GK: Limma: Linear models for microarray data. In: Gentleman R, Carey VJ, Huber W, Irizarry RA and Dudoit S (eds): Bioinformatics and Computational Biology Solutions Using R and Bioconductor. Statistics for Biology and Health, Springer, New York, NY, pp397-420, 2005.

21 

Huang DW, Sherman BT and Lempicki RA: Bioinformatics enrichment tools: Paths toward the comprehensive functional analysis of large gene lists. Nucleic Acids Res. 37:1–13. 2009.PubMed/NCBI View Article : Google Scholar

22 

Warde-Farley D, Donaldson SL, Comes O, Zuberi K, Badrawi R, Chao P, Franz M, Grouios C, Kazi F, Lopes CT, et al: The GeneMANIA prediction server: Biological network integration for gene prioritization and predicting gene function. Nucleic Acids Res. 38:W214–W220. 2010.PubMed/NCBI View Article : Google Scholar

23 

Uhlén M, Fagerberg L, Hallström BM, Lindskog C, Oksvold P, Mardinoglu A, Sivertsson Å, Kampf C, Sjöstedt E, Asplund A, et al: Proteomics. Tissue-based map of the human proteome. Science. 347(1260419)2015.PubMed/NCBI View Article : Google Scholar

24 

Gaulton A, Bellis LJ, Bento AP, Chambers J, Davies M, Hersey A, Light Y, McGlinchey S, Michalovich D, Al-Lazikani B and Overington JP: ChEMBL: A large-scale bioactivity database for drug discovery. Nucleic Acids Res. 40:D1100–D1107. 2012.PubMed/NCBI View Article : Google Scholar

25 

Kim S, Thiessen PA, Bolton EE, Chen J, Fu G, Gindulyte A, Han L, He J, He S, Shoemaker BA, et al: PubChem substance and compound databases. Nucleic Acids Res. 44:D1202–D1213. 2016.PubMed/NCBI View Article : Google Scholar

26 

Wishart DS, Knox C, Guo AC, Cheng D, Shrivastava S, Tzur D, Gautam B and Hassanali M: DrugBank: A knowledgebase for drugs, drug actions and drug targets. Nucleic Acids Res. 36:D901–D906. 2008.PubMed/NCBI View Article : Google Scholar

27 

Trott O and Olson AJ: AutoDock Vina: Improving the speed and accuracy of docking with a new scoring function, efficient optimization, and multithreading. J Comput Chem. 31:455–461. 2010.PubMed/NCBI View Article : Google Scholar

28 

Salentin S, Schreiber S, Haupt VJ, Adasme MF and Schroeder M: PLIP: Fully automated protein-ligand interaction profiler. Nucleic Acids Res. 43:W443–W447. 2015.PubMed/NCBI View Article : Google Scholar

29 

Schena M, Shalon D, Davis RW and Brown PO: Quantitative monitoring of gene expression patterns with a complementary DNA microarray. Science. 270:467–470. 1995.PubMed/NCBI View Article : Google Scholar

30 

Draghici S: Data Analysis Tools for DNA Microarrays. Chapman and Hall/CRC Press, Boca Raton (FL), 2003. Available from: https://trove.nla.gov.au/version/46530985.

31 

Raza K: Reconstruction, topological and gene ontology enrichment analysis of cancerous gene regulatory network modules. Curr Bioinform. 11:243–258. 2016.

32 

Raza K and Hasan AN: A comprehensive evaluation of machine learning techniques for cancer class prediction based on microarray data. Int J Bioinform Res Appl. 11:397–416. 2015.PubMed/NCBI View Article : Google Scholar

33 

Raza K: Analysis of microarray data using artificial intelligence based techniques. In: Handbook of Research on Computational Intelligence Applications in Bioinformatics, pp216-239, 2016.

34 

Cross NA, Chandrasekharan S, Jokonya N, Fowles A, Hamdy FC, Buttle DJ and Eaton CL: The expression and regulation of ADAMTS-1, -4, -5, -9, and -15, and TIMP-3 by TGFbeta1 in prostate cells: Relevance to the accumulation of versican. Prostate. 63:269–275. 2005.PubMed/NCBI View Article : Google Scholar

35 

Burger MJ, Tebay MA, Keith PA, Samaratunga HM, Clements J, Lavin MF and Gardiner RA: Expression analysis of delta-catenin and prostate-specific membrane antigen: Their potential as diagnostic markers for prostate cancer. Int J Cancer. 100:228–237. 2002.PubMed/NCBI View Article : Google Scholar

36 

Cohen P, Peehl DM, Baker B, Liu F, Hintz RL and Rosenfeld RG: Insulin-like growth factor axis abnormalities in prostatic stromal cells from patients with benign prostatic hyperplasia. J Clin Endocrinol Metab. 79:1410–1415. 1994.PubMed/NCBI View Article : Google Scholar

37 

Piñero J, Ramírez-Anguita JM, Saüch-Pitarch J, Ronzano F, Centeno E, Sanz F and Furlong LI: The DisGeNET knowledge platform for disease genomics: 2019 update. Nucleic Acids Res. 48:D845–D855. 2020.PubMed/NCBI View Article : Google Scholar

38 

Gustavsson H, Tesan T, Jennbacken K, Kuno K, Damber JE and Welén K: ADAMTS1 alters blood vessel morphology and TSP1 levels in LNCaP and LNCaP-19 prostate tumors. BMC Cancer. 10(288)2010.PubMed/NCBI View Article : Google Scholar

39 

Chen Y, Wang J, Fraig MM, Metcalf J, Turner WR, Bissada NK, Watson DK and Schweinfest CW: Defects of DNA mismatch repair in human prostate cancer. Cancer Res. 61:4112–4121. 2001.PubMed/NCBI

40 

Armenia J, Wankowicz SAM, Liu D, Gao J, Kundra R, Reznik E, Chatila WK, Chakravarty D, Han GC, Coleman I, et al: The long tail of oncogenic drivers in prostate cancer. Nat Genet. 50:645–651. 2018.PubMed/NCBI View Article : Google Scholar

41 

Morgenbesser SD, McLaren RP, Richards B, Zhang M, Akmaev VR, Winter SF, Mineva ND, Kaplan-Lefko PJ, Foster BA, Cook BP, et al: Identification of genes potentially involved in the acquisition of androgen-independent and metastatic tumor growth in an autochthonous genetically engineered mouse prostate cancer model. Prostate. 67:83–106. 2007.PubMed/NCBI View Article : Google Scholar

42 

Maresh EL, Mah V, Alavi M, Horvath S, Bagryanova L, Liebeskind ES, Knutzen LA, Zhou Y, Chia D, Liu AY and Goodglick L: Differential expression of anterior gradient gene AGR2 in prostate cancer. BMC Cancer. 10(680)2010.PubMed/NCBI View Article : Google Scholar

43 

Bu H, Bormann S, Schäfer G, Horninger W, Massoner P, Neeb A, Lakshmanan VK, Maddalo D, Nestl A, Sültmann H, et al: The anterior gradient 2 (AGR2) gene is overexpressed in prostate cancer and may be useful as a urine sediment marker for prostate cancer detection. Prostate. 71:575–587. 2011.PubMed/NCBI View Article : Google Scholar

44 

Neeb A, Hefele S, Bormann S, Parson W, Adams F, Wolf P, Miernik A, Schoenthaler M, Kroenig M, Wilhelm K, et al: Splice variant transcripts of the anterior gradient 2 gene as a marker of prostate cancer. Oncotarget. 5:8681–8689. 2014.PubMed/NCBI View Article : Google Scholar

45 

Paschke L, Rucinski M, Ziolkowska A, Zemleduch T, Malendowicz W, Kwias Z and Malendowicz LK: ZFP91-a newly described gene potentially involved in prostate pathology. Pathol Oncol Res. 20:453–459. 2014.PubMed/NCBI View Article : Google Scholar

46 

Jiang H, Zhang L, Liu J, Chen Z, Na R, Ding G, Zhang H and Ding Q: Knockdown of zinc finger protein X-linked inhibits prostate cancer cell proliferation and induces apoptosis by activating caspase-3 and caspase-9. Cancer Gene Ther. 19:684–689. 2012.PubMed/NCBI View Article : Google Scholar

47 

Vanaja DK, Cheville JC, Iturria SJ and Young CY: Transcriptional silencing of zinc finger protein 185 identified by expression profiling is associated with prostate cancer progression. Cancer Res. 63:3877–3882. 2003.PubMed/NCBI

48 

Abildgaard MO, Borre M, Mortensen MM, Ulhøi BP, Tørring N, Wild P, Kristensen H, Mansilla F, Ottosen PD, Dyrskjøt L, et al: Downregulation of zinc finger protein 132 in prostate cancer is associated with aberrant promoter hypermethylation and poor prognosis. Int J Cancer. 130:885–895. 2012.PubMed/NCBI View Article : Google Scholar

49 

Jiao L, Li Y, Shen D, Xu C, Wang L, Huang G, Chen L, Yang Y, Yang C, Yu Y and Sun Y: The prostate cancer-up-regulated Myc-associated zinc-finger protein (MAZ) modulates proliferation and metastasis through reciprocal regulation of androgen receptor. Med Oncol. 30(570)2013.PubMed/NCBI View Article : Google Scholar

50 

Rahman MT: Zinc and benign prostatic hyperplasia (BPH) & prostate cancer (PCa) association. Med Res Arch. 4:1–16. 2016.

51 

Dunn TA, Fedor HL, De Marzo AM and Luo J: Molecular profiling of indolent human prostate cancer: Tackling technical challenges to achieve high-fidelity genome-wide data. Asian J Androl. 14:385–392. 2012.PubMed/NCBI View Article : Google Scholar

52 

O'Malley KJ, Eisermann K, Pascal LE, Parwani AV, Majima T, Graham L, Hrebinko K, Acquafondata M, Stewart NA, Nelson JB, et al: Proteomic analysis of patient tissue reveals PSA protein in the stroma of benign prostatic hyperplasia. Prostate. 74:892–900. 2014.PubMed/NCBI View Article : Google Scholar

53 

Adeola HA, Calder B, Soares NC, Kaestner L, Blackburn JM and Zerbini LF: In silico verification and parallel reaction monitoring prevalidation of potential prostate cancer biomarkers. Future Oncol. 12:43–57. 2015.PubMed/NCBI View Article : Google Scholar

54 

Sacca PA, Mazza ON, Scorticati C, Vitagliano G, Casas G and Calvo JC: Human periprostatic adipose tissue: Secretome from patients with prostate cancer or benign prostate hyperplasia. Cancer Genomics Proteomics. 16:29–58. 2019.PubMed/NCBI View Article : Google Scholar

55 

Hsing AW, Chen C, Chokkalingam AP, Gao YT, Dightman DA, Nguyen HT, Deng J, Cheng J, Sesterhenn IA, Mostofi FK, et al: Polymorphic markers in the SRD5A2 gene and prostate cancer risk: A population-based case-control study. Cancer Epidemiol Biomarkers Prev. 10:1077–102. 2001.PubMed/NCBI

56 

Choi SY, Kim HJ, Cheong HS and Myung SC: The association of 5-alpha reductase type 2 (SRD5A2) gene polymorphisms with prostate cancer in a Korean population. Korean J Urol. 56:19–30. 2015.PubMed/NCBI View Article : Google Scholar

57 

Choubey VK, Sankhwar SN, Carlus SJ, Singh AN, Dalela D, Thangaraj K and Rajender S: SRD5A2 gene polymorphisms and the risk of benign prostatic hyperplasia but not prostate cancer. Asian Pac J Cancer Prev. 16:1033–1036. 2015.PubMed/NCBI View Article : Google Scholar

58 

Zeng XT, Su XJ, Li S, Weng H, Liu TZ and Wang XH: Association between SRD5A2 rs523349 and rs9282858 polymorphisms and risk of benign prostatic hyperplasia: A meta-analysis. Front Physiol. 8(688)2017.PubMed/NCBI View Article : Google Scholar

59 

Lodewijk L, Willems SM, Dreijerink KMA, de Keizer B, van Diest PJ, Schepers A, Morreau H, Bonenkamp HJ, Van Engen-van Grunsven IACH, Kruijff S, et al: The theranostic target prostate-specific membrane antigen is expressed in medullary thyroid cancer. Hum Pathol. 81:245–254. 2018.PubMed/NCBI View Article : Google Scholar

60 

Sácha P, Zámecník J, Barinka C, Hlouchová K, Vícha A, Mlcochová P, Hilgert I, Eckschlager T and Konvalinka J: Expression of glutamate carboxypeptidase II in human brain. Neuroscience. 144:1361–1372. 2007.PubMed/NCBI View Article : Google Scholar

61 

O'Keefe DS, Bacich DJ and Heston WD: Comparative analysis of prostate-specific membrane antigen (PSMA) versus a prostate-specific membrane antigen-like gene. Prostate. 58:200–210. 2004.PubMed/NCBI View Article : Google Scholar

62 

Kinoshita Y, Kuratsukuri K, Landas S, Imaida K, Rovito PM Jr, Wang CY and Haas GP: Expression of prostate-specific membrane antigen in normal and malignant human tissues. World J Surg. 30:628–636. 2006.PubMed/NCBI View Article : Google Scholar

63 

Kumar R, Verma V, Sarswat A, Maikhuri JP, Jain A, Jain RK, Sharma VL, Dalela D and Gupta G: Selective estrogen receptor modulators regulate stromal proliferation in human benign prostatic hyperplasia by multiple beneficial mechanisms-action of two new agents. Invest New Drugs. 30:582–593. 2012.PubMed/NCBI View Article : Google Scholar

64 

Huang DW, Sherman BT, Tan Q, Collins JR, Alvord WG, Roayaei J, Stephens R, Baseler MW, Lane HC and Lempicki RA: The DAVID gene functional classification tool: A novel biological module-centric algorithm to functionally analyze large gene lists. Genome Biol. 8(R183)2007.PubMed/NCBI View Article : Google Scholar

65 

Raza K: Protein features identification for machine learning-based prediction of protein-protein interactions. In: International Conference on Information, Communication and Computing Technology, pp305-317, 2017.

66 

Raza K and Parveen R: Soft computing approach for modeling genetic regulatory networks. In: Advances in Computing and Information Technology. Advances in Intelligent Systems and Computing. Meghanathan N, Nagamalai D and Chaki N (eds). Springer, Berlin, Heidelberg, pp1-11, 2013.

67 

Raza K and Parveen R: Reconstruction of gene regulatory network of colon cancer using information theoretic approach. In: Confluence 2013: The Next Generation Information Technology Summit (4th International Conference), pp461-466, 2013.

68 

Kryuchkova-Mostacci N and Robinson-Rechavi M: A benchmark of gene expression tissue-specificity metrics. Brief Bioinform. 18:205–214. 2017.PubMed/NCBI View Article : Google Scholar

Related Articles

  • Abstract
  • View
  • Download
  • Twitter
Copy and paste a formatted citation
Spandidos Publications style
Chen Z and Ge M: Discovering pathways in benign prostate hyperplasia: A functional genomics pilot study. Exp Ther Med 21: 242, 2021.
APA
Chen, Z., & Ge, M. (2021). Discovering pathways in benign prostate hyperplasia: A functional genomics pilot study. Experimental and Therapeutic Medicine, 21, 242. https://doi.org/10.3892/etm.2021.9673
MLA
Chen, Z., Ge, M."Discovering pathways in benign prostate hyperplasia: A functional genomics pilot study". Experimental and Therapeutic Medicine 21.3 (2021): 242.
Chicago
Chen, Z., Ge, M."Discovering pathways in benign prostate hyperplasia: A functional genomics pilot study". Experimental and Therapeutic Medicine 21, no. 3 (2021): 242. https://doi.org/10.3892/etm.2021.9673
Copy and paste a formatted citation
x
Spandidos Publications style
Chen Z and Ge M: Discovering pathways in benign prostate hyperplasia: A functional genomics pilot study. Exp Ther Med 21: 242, 2021.
APA
Chen, Z., & Ge, M. (2021). Discovering pathways in benign prostate hyperplasia: A functional genomics pilot study. Experimental and Therapeutic Medicine, 21, 242. https://doi.org/10.3892/etm.2021.9673
MLA
Chen, Z., Ge, M."Discovering pathways in benign prostate hyperplasia: A functional genomics pilot study". Experimental and Therapeutic Medicine 21.3 (2021): 242.
Chicago
Chen, Z., Ge, M."Discovering pathways in benign prostate hyperplasia: A functional genomics pilot study". Experimental and Therapeutic Medicine 21, no. 3 (2021): 242. https://doi.org/10.3892/etm.2021.9673
Follow us
  • Twitter
  • LinkedIn
  • Facebook
About
  • Spandidos Publications
  • Careers
  • Cookie Policy
  • Privacy Policy
How can we help?
  • Help
  • Live Chat
  • Contact
  • Email to our Support Team