Spandidos Publications Logo
  • About
    • About Spandidos
    • Aims and Scopes
    • Abstracting and Indexing
    • Editorial Policies
    • Reprints and Permissions
    • Job Opportunities
    • Terms and Conditions
    • Contact
  • Journals
    • All Journals
    • Oncology Letters
      • Oncology Letters
      • Information for Authors
      • Editorial Policies
      • Editorial Board
      • Aims and Scope
      • Abstracting and Indexing
      • Bibliographic Information
      • Archive
    • International Journal of Oncology
      • International Journal of Oncology
      • Information for Authors
      • Editorial Policies
      • Editorial Board
      • Aims and Scope
      • Abstracting and Indexing
      • Bibliographic Information
      • Archive
    • Molecular and Clinical Oncology
      • Molecular and Clinical Oncology
      • Information for Authors
      • Editorial Policies
      • Editorial Board
      • Aims and Scope
      • Abstracting and Indexing
      • Bibliographic Information
      • Archive
    • Experimental and Therapeutic Medicine
      • Experimental and Therapeutic Medicine
      • Information for Authors
      • Editorial Policies
      • Editorial Board
      • Aims and Scope
      • Abstracting and Indexing
      • Bibliographic Information
      • Archive
    • International Journal of Molecular Medicine
      • International Journal of Molecular Medicine
      • Information for Authors
      • Editorial Policies
      • Editorial Board
      • Aims and Scope
      • Abstracting and Indexing
      • Bibliographic Information
      • Archive
    • Biomedical Reports
      • Biomedical Reports
      • Information for Authors
      • Editorial Policies
      • Editorial Board
      • Aims and Scope
      • Abstracting and Indexing
      • Bibliographic Information
      • Archive
    • Oncology Reports
      • Oncology Reports
      • Information for Authors
      • Editorial Policies
      • Editorial Board
      • Aims and Scope
      • Abstracting and Indexing
      • Bibliographic Information
      • Archive
    • Molecular Medicine Reports
      • Molecular Medicine Reports
      • Information for Authors
      • Editorial Policies
      • Editorial Board
      • Aims and Scope
      • Abstracting and Indexing
      • Bibliographic Information
      • Archive
    • World Academy of Sciences Journal
      • World Academy of Sciences Journal
      • Information for Authors
      • Editorial Policies
      • Editorial Board
      • Aims and Scope
      • Abstracting and Indexing
      • Bibliographic Information
      • Archive
    • International Journal of Functional Nutrition
      • International Journal of Functional Nutrition
      • Information for Authors
      • Editorial Policies
      • Editorial Board
      • Aims and Scope
      • Abstracting and Indexing
      • Bibliographic Information
      • Archive
    • International Journal of Epigenetics
      • International Journal of Epigenetics
      • Information for Authors
      • Editorial Policies
      • Editorial Board
      • Aims and Scope
      • Abstracting and Indexing
      • Bibliographic Information
      • Archive
    • Medicine International
      • Medicine International
      • Information for Authors
      • Editorial Policies
      • Editorial Board
      • Aims and Scope
      • Abstracting and Indexing
      • Bibliographic Information
      • Archive
  • Articles
  • Information
    • Information for Authors
    • Information for Reviewers
    • Information for Librarians
    • Information for Advertisers
    • Conferences
  • Language Editing
Spandidos Publications Logo
  • About
    • About Spandidos
    • Aims and Scopes
    • Abstracting and Indexing
    • Editorial Policies
    • Reprints and Permissions
    • Job Opportunities
    • Terms and Conditions
    • Contact
  • Journals
    • All Journals
    • Biomedical Reports
      • Information for Authors
      • Editorial Policies
      • Editorial Board
      • Aims and Scope
      • Abstracting and Indexing
      • Bibliographic Information
      • Archive
    • Experimental and Therapeutic Medicine
      • Information for Authors
      • Editorial Policies
      • Editorial Board
      • Aims and Scope
      • Abstracting and Indexing
      • Bibliographic Information
      • Archive
    • International Journal of Epigenetics
      • Information for Authors
      • Editorial Policies
      • Editorial Board
      • Aims and Scope
      • Abstracting and Indexing
      • Bibliographic Information
      • Archive
    • International Journal of Functional Nutrition
      • Information for Authors
      • Editorial Policies
      • Editorial Board
      • Aims and Scope
      • Abstracting and Indexing
      • Bibliographic Information
      • Archive
    • International Journal of Molecular Medicine
      • Information for Authors
      • Editorial Policies
      • Editorial Board
      • Aims and Scope
      • Abstracting and Indexing
      • Bibliographic Information
      • Archive
    • International Journal of Oncology
      • Information for Authors
      • Editorial Policies
      • Editorial Board
      • Aims and Scope
      • Abstracting and Indexing
      • Bibliographic Information
      • Archive
    • Medicine International
      • Information for Authors
      • Editorial Policies
      • Editorial Board
      • Aims and Scope
      • Abstracting and Indexing
      • Bibliographic Information
      • Archive
    • Molecular and Clinical Oncology
      • Information for Authors
      • Editorial Policies
      • Editorial Board
      • Aims and Scope
      • Abstracting and Indexing
      • Bibliographic Information
      • Archive
    • Molecular Medicine Reports
      • Information for Authors
      • Editorial Policies
      • Editorial Board
      • Aims and Scope
      • Abstracting and Indexing
      • Bibliographic Information
      • Archive
    • Oncology Letters
      • Information for Authors
      • Editorial Policies
      • Editorial Board
      • Aims and Scope
      • Abstracting and Indexing
      • Bibliographic Information
      • Archive
    • Oncology Reports
      • Information for Authors
      • Editorial Policies
      • Editorial Board
      • Aims and Scope
      • Abstracting and Indexing
      • Bibliographic Information
      • Archive
    • World Academy of Sciences Journal
      • Information for Authors
      • Editorial Policies
      • Editorial Board
      • Aims and Scope
      • Abstracting and Indexing
      • Bibliographic Information
      • Archive
  • Articles
  • Information
    • For Authors
    • For Reviewers
    • For Librarians
    • For Advertisers
    • Conferences
  • Language Editing
Login Register Submit
  • This site uses cookies
  • You can change your cookie settings at any time by following the instructions in our Cookie Policy. To find out more, you may read our Privacy Policy.

    I agree
Search articles by DOI, keyword, author or affiliation
Search
Advanced Search
presentation
Experimental and Therapeutic Medicine
Join Editorial Board Propose a Special Issue
Print ISSN: 1792-0981 Online ISSN: 1792-1015
Journal Cover
November-2022 Volume 24 Issue 5

Full Size Image

Sign up for eToc alerts
Recommend to Library

Journals

International Journal of Molecular Medicine

International Journal of Molecular Medicine

International Journal of Molecular Medicine is an international journal devoted to molecular mechanisms of human disease.

International Journal of Oncology

International Journal of Oncology

International Journal of Oncology is an international journal devoted to oncology research and cancer treatment.

Molecular Medicine Reports

Molecular Medicine Reports

Covers molecular medicine topics such as pharmacology, pathology, genetics, neuroscience, infectious diseases, molecular cardiology, and molecular surgery.

Oncology Reports

Oncology Reports

Oncology Reports is an international journal devoted to fundamental and applied research in Oncology.

Experimental and Therapeutic Medicine

Experimental and Therapeutic Medicine

Experimental and Therapeutic Medicine is an international journal devoted to laboratory and clinical medicine.

Oncology Letters

Oncology Letters

Oncology Letters is an international journal devoted to Experimental and Clinical Oncology.

Biomedical Reports

Biomedical Reports

Explores a wide range of biological and medical fields, including pharmacology, genetics, microbiology, neuroscience, and molecular cardiology.

Molecular and Clinical Oncology

Molecular and Clinical Oncology

International journal addressing all aspects of oncology research, from tumorigenesis and oncogenes to chemotherapy and metastasis.

World Academy of Sciences Journal

World Academy of Sciences Journal

Multidisciplinary open-access journal spanning biochemistry, genetics, neuroscience, environmental health, and synthetic biology.

International Journal of Functional Nutrition

International Journal of Functional Nutrition

Open-access journal combining biochemistry, pharmacology, immunology, and genetics to advance health through functional nutrition.

International Journal of Epigenetics

International Journal of Epigenetics

Publishes open-access research on using epigenetics to advance understanding and treatment of human disease.

Medicine International

Medicine International

An International Open Access Journal Devoted to General Medicine.

Journal Cover
November-2022 Volume 24 Issue 5

Full Size Image

Sign up for eToc alerts
Recommend to Library

  • Article
  • Citations
    • Cite This Article
    • Download Citation
    • Create Citation Alert
    • Remove Citation Alert
    • Cited By
  • Similar Articles
    • Related Articles (in Spandidos Publications)
    • Similar Articles (Google Scholar)
    • Similar Articles (PubMed)
  • Download PDF
  • Download XML
  • View XML
Article

Onodera's prognostic nutritional index: Comparison of its role in the severity and outcomes of patients with COVID‑19 during the periods of alpha, delta and omicron variant predominance

  • Authors:
    • Nikolaos Mathioudakis
    • Marinos Zachiotis
    • Stavros Papadakos
    • Maria Triantafyllou
    • Amalia Karapanou
    • Stamatia Samara
    • Georgios Karamanakos
    • Demetrios A. Spandidos
    • Petros Papalexis
    • Christos Damaskos
    • Kyriakos Tarantinos
    • George Fotakopoulos
    • Pagona Sklapani
    • Nikolaos Trakas
    • Nikolaos V. Sipsas
    • Vasiliki Epameinondas Georgakopoulou
  • View Affiliations / Copyright

    Affiliations: Renal Transplantation Unit, Laiko General Hospital, 11527 Athens, Greece, Renal Transplantation Unit, Laiko General Hospital, 11527 Athens, Greece, Department of Gastroenterology, Laiko General Hospital, National and Kapodistrian University of Athens, 11527 Athens, Greece, Department of Infectious Diseases‑COVID‑19 Unit, Laiko General Hospital, 11527 Athens, Greece, Laboratory of Clinical Virology, School of Medicine, University of Crete, 71003 Heraklion, Greece, Unit of Endocrinology, First Department of Internal Medicine, Laiko General Hospital, National and Kapodistrian University of Athens, 11527 Athens, Greece, 1st Pulmonology Department Sismanogleio Hospital, 15126 Athens, Greece, Department of Neurosurgery, General University Hospital of Larisa, 41221 Larisa, Greece, Department of Cytology, Mitera Hospital, 15123 Athens, Greece, Department of Biochemistry, Sismanogleio Hospital, 15126 Athens, Greece, Department of Infectious Diseases‑COVID‑19 Unit, Laiko General Hospital, 11527 Athens, Greece
  • Article Number: 675
    |
    Published online on: September 16, 2022
       https://doi.org/10.3892/etm.2022.11611
  • Expand metrics +
Metrics: Total Views: 0 (Spandidos Publications: | PMC Statistics: )
Metrics: Total PDF Downloads: 0 (Spandidos Publications: | PMC Statistics: )
Cited By (CrossRef): 0 citations Loading Articles...

This article is mentioned in:


Abstract

Coronavirus disease 2019 (COVID‑19) has posed a severe public health threat worldwide, affecting the function of multiple organs in affected individuals, in addition to respiratory function. Several strains of severe acute respiratory syndrome coronavirus 2 (SARS‑CoV‑2) have been circulating worldwide since it first arose, with some of these having the ability to escape from natural or vaccine‑mediated immunity. The Onodera's prognostic nutritional index (OPNI), which is derived from the peripheral lymphocyte count and serum albumin, has been reported to be significantly associated with a poor survival rate and post‑operative complications in patients with various diseases and in some studies on patients with COVID‑19. The aim of the present retrospective study was to evaluate and compare the efficacy of OPNI as a prognostic indicator in patients with COVID‑19 during the periods of alpha, delta and omicron variant predominance. Adult patients who visited or were hospitalized due to SARS‑CoV‑2 infection were included, covering the second, third (alpha variant), fourth (delta variant) and fifth (omicron variant) pandemic waves. According to the results obtained, OPNI exhibited a statistically significant difference among patients with mild/moderate, severe and critical disease, with the lowest values observed in patients with critical disease in all the pandemic waves examined. Moreover, OPNI was found to be an independent prognostic biomarker of intubation and mortality in patients with COVID‑19, according to multivariate logistic regression analysis, including as confounders an age >65 years, the male sex and the presence of comorbidities in all periods examined.

Introduction

The coronavirus disease 2019 (COVID-19) was first discovered in Wuhan, China, and rapidly spread worldwide, posing a severe threat to public health. Almost half of the patients with COVID-19 suffer from dyspnea, with concomitant hypoxia at 1 week following disease onset, which is primarily characterized as fever, cough and exhaustion (1). The functions of other organs can also be affected, in addition to respiratory function (2-4). In critically ill patients, complications, such as cardiac injury, acute renal injury, acute gastrointestinal injury, coagulopathy and liver dysfunction are highly common, and have been associated with poor outcomes in patients with COVID-19 (5,6).

Several strains of severe acute respiratory syndrome coronavirus 2 (SARS-CoV-2) have been circulating worldwide since it first arose. Variants of concern are those that have the potential to evade natural or vaccine-mediated immunity. The alpha variant (B.1.1.7), which is considered to be 40-80% more transmissible than wild-type SARS-CoV-2, was initially discovered in November, 2020 in a sample obtained in September in the United Kingdom, and by mid-December, 2020, it had spread rapidly, coinciding with an increase in the number of infections (7). The delta variant (B.1.617.2), which was initially discovered in India, and a more virulent mutant, also known as omicron, arose in South Africa in November, 2021 (B.1.1.529). As these variants were more transmissible than the progenitor variants and rapidly propagated, they attracted worldwide attention (8).

The cytokine release syndrome, which plays a key role in the course of COVID-19 infection, is considered to be the cause of organ damage. The stimulation of the innate and adaptive immune systems produced by SARS-CoV-2 is responsible for the release of excessive cytokines in patients with COVID-19. In COVID-19, the imbalance of the immune response and excessive inflammation is a major component of its pathogenesis (9). Several immune and inflammatory indicators, including the neutrophil-to-lymphocyte ratio, platelet-to-lymphocyte ratio, eosinophil-to-lymphocyte ratio, immature granulocytes, ferritin, fibrinogen, C-reactive protein, interleukin (IL)-6 and lactate dehydrogenase, have been shown to be associated with disease severity and mortality in patients with COVID-19 (10-14).

An additional index, Onodera's prognostic nutritional index (OPNI), has been reported as a severity and outcome indicator in patients with COVID-19(15). The OPNI is made up of serum albumin and total lymphocyte count. The validity of OPNI to predict the prognosis of patients undergoing gastrointestinal surgery was initially reported by Onodera et al (16). Since then, OPNI validation has been performed in patients with end-stage liver illness, active tuberculosis, atypical mycobacterial infection and gastrointestinal malignancies (17,18). The aim of the present study was to assess and compare the clinical utility of OPNI as a prognostic indicator in patients with COVID-19 during the periods of alpha, delta and omicron variant predominance.

Patients and methods

Study design

The design of the present study was retrospective. Data collection was performed at the Laiko General Hospital (Athens, Greece) between September 20, 2020 and March 31, 2022. The study was approved by the Institutional Board of Laiko General Hospital and was in line with the declaration of Helsinki in 1995 (as revised in Edinburgh 2000).

Participants and data collection

In the present study, adult patients who visited or were hospitalized in the COVID-19 Unit of Laiko General Hospital due to SARS-CoV-2 infection were included, covering the second, third (alpha variant), fourth (delta variant) and fifth (omicron variant) pandemic waves. The patients were divided into three cohorts. The first (cohort A) was comprised of unvaccinated consecutive patients predominantly infected with the alpha SARS-CoV-2 variant who were admitted to Laiko University Hospital between September 20, 2020 and June 30, 2021 for COVID-19 (second and third pandemic waves). The second cohort (cohort B) included consecutive patients irrespective of vaccination status, who were admitted between July 1, 2021 and December 25, 2021 (fourth pandemic wave, predominance of the delta SARS-CoV-2 variant). The third cohort (cohort C) was comprised of consecutive patients irrespective of vaccination status, who were admitted between December 26, 2021 and March 31, 2022 (fifth pandemic wave, predominance of the omicron SARS-CoV-2 variant).

All patients were uniformly treated according to the National Institutes of Health (NIH) protocols (19). SARS-CoV-2 infection was confirmed by the positive detection of SARS-CoV-2 nucleic acid in examined nasopharyngeal samples with the use of reverse transcription-polymerase chain reaction (RT-PCR). Demographic and clinical data were extracted retrospectively from electronic medical records. Data on age, sex, comorbidities (cardiovascular disease, arterial hypertension, diabetes mellitus, neurological and hematological disorders, other malignancies, immunosuppression), vaccination status, disease severity and outcomes (recovery, intubation and mortality) were extracted. The patients were classified into the following severity of illness categories: Mild/moderate, severe and critical based on the clinical spectrum of SARS-CoV-2 infection (19). Laboratory investigations (complete blood count and albumin levels) were recorded from the first electronic medical record following hospital admission. The OPNI was calculated according to the following formula (16): OPNI=10 x serum albumin (g/dl) + 0.005 x peripheral lymphocyte count (/mm3). The OPNI was associated with disease severity and outcomes in the three studied cohorts.

Statistical analysis

Statistical analysis was performed using IBM SPSS-Statistics version 26.0 (IBM Corp.). Categorical variables are presented as the number and percentage, and continuous variables as the mean ± standard deviation (SD). The normal distribution of variables was assessed using the Kolmogorov-Smirnov test. Normally distributed variables were compared using an independent samples Student's t-test on factors with two groups and one-way analysis of variance (ANOVA) with Bonferroni post hoc pairwise comparisons on factors with three groups. Categorical variables were examined using the Fischer's exact test or the Chi-squared test and are shown as absolute numbers (frequency percent). Multivariate logistic regression analysis was conducted to identify independent variables. Associations are presented as odds ratios (OR) with their corresponding 95% confidence intervals (95% CI). The discriminative ability of variables was evaluated by using the area under the receiver operating characteristic curve (ROC). Values of P<0.05 were considered to indicate statistically significant differences.

Results

Cohort A

Cohort A comprised of 588 patients (352 males), predominantly infected with the alpha SARS-CoV-2 variant, with a mean age of 64.09±16.29 years. The demographic characteristics of cohort A are presented in Table I. In total, 48 patients (8.2%) had mild/moderate disease, 365 patients (62.1%) had severe disease and 175 patients (29.8%) had critical disease. The mean OPNI value was 47.80±6.35 in patients with mild/moderate disease, 46.76±23.34 in patients with severe disease and 41.35±6.32 in patients with critical disease. There was a statistically significant difference in the mean OPNI values between the three different disease severity groups, with the lowest value observed in the patients with critical disease (P=0.005) (Fig. 1 and Table II).

Figure 1

Mean OPNI values in the different groups as regards COVID-19 severity in cohort A. There was a statistically significant difference in the mean OPNI values between the three different disease severity groups, with the lowest value observed in patients with critical disease (*P=0.005). OPNI, Onodera's prognostic nutritional index.

Table I

Demographic characteristics of the patients in cohorts A, B and C.

Table I

Demographic characteristics of the patients in cohorts A, B and C.

ParameterCohort A (n=588)Cohort B (n=494)Cohort C (n=523)
Age (years), mean ± SD64.09±16.2963.46±17.4668.60±16.65
Sex, n (%)   
     Female236 (40.1)208 (42.1)232 (44.4)
     Male352 (59.9)286 (57.9)291 (55.6)
Disease severity, n (%)   
     Mild/moderate48 (8.2)94(19)137 (26.2)
     Severe365 (62.1)269 (54.5)223 (42.5)
     Critical175 (29.8)131 (26.5)163 (31.2)
Comorbidities, n (%)   
     No107 (18.2)93 (18.8)44 (8.4)
     Yes481 (81.8)401 (81.2)479 (91.6)
Age >65 years, n (%)   
     No293 (49.8)259 (52.3)199 (38.2)
     Yes295 (50.2)235 (47.7)324 (61.8)
Intubation, n (%)   
     No528 (89.8)451 (91.3)482 (92.1)
     Yes60 (10.2)43 (8.7)41 (7.9)
Mortality, n (%)   
     No487 (82.8)399 (80.8)403(77)
     Yes101 (17.2)95 (19.2)120(23)
Vaccination status, n (%)   
     Vaccinated0 (0)167 (33.8)234 (44.8)
     Unvaccinated588(100)327 (66.2)289 (55.2)

[i] The data for age are presented as the mean ± SD, while those for all other parameters as number and percentage. SD, standard deviation.

Table II

Mean values of OPNI in the patients in cohort A.

Table II

Mean values of OPNI in the patients in cohort A.

GroupOPNI (mean ± SD)P-value
Females43.95±6.050.179
Males46.09±23.97 
Disease severity 0.005
     Mild/moderate47.80±6.350.759a
     Severe46.76±23.340.001b
     Critical41.35±6.320.003c
Comorbidities44.88±20.770.341
No comorbidities46.81±5.76 
Age >65 years42.93±7.910.003
Age ≤65 years47.56±25.47 
Intubation41.32±5.960.092
No intubation45.68±19.86 
Mortality40.09±6.080.003
Recovery46.3±20.49 

[i] aMild/moderate vs. severe;

[ii] bmild/moderate vs. critical;

[iii] csevere vs. critical. OPNI, Onodera's prognostic nutritional index; SD, standard deviation.

The mean OPNI value was 41.32±5.96 in patients who were intubated and 45.68±19.86 in patients that were not (P=0.092). The mean OPNI value was 40.09±6.08 in patients who did not survive and 46.3±20.49 in patients who recovered. There was a statistically significant difference in the mean OPNI values between patients who did not survive and patients who recovered (P=0.003; Table II).

According to the univariate analysis, there was a statistically significant association between an age >65 years and mortality (P=0.01) and between an age >65 years and intubation (P=0.003). Moreover, there was a statistically significant association between the presence of comorbidities and mortality (P=0.01), and between the presence of comorbidities and intubation (P=0.015) (Table III).

Table III

Univariate analysis for cohort A (intubation and mortality).

Table III

Univariate analysis for cohort A (intubation and mortality).

ParameterSurvivorsNon-survivorsP-value
Age >65 years207880.01a
Age ≤65 years28013 
Males289630.571
Females19838 
Comorbidities382990.01a
No comorbidities1052 
ParameterNon-intubationIntubationP-value
Age >65 years254410.003a
Age ≤65 years27419 
Males311410.158
Females21719 
Comorbidities425560.015a
No comorbidities1034 

[i] aP<0.05.

Following multivariate logistic regression analysis, including as confounders an age >65 years and the presence of comorbidities, an independent association was found between OPNI and intubation (OR, 0.928; 95% CI, 0.885-0.972; P= 0.002) (Table IV).

Table IV

Multivariate logistic regression analysis of factors independently associated with intubation and mortality in cohort A.

Table IV

Multivariate logistic regression analysis of factors independently associated with intubation and mortality in cohort A.

Multivariate analysis for mortality
VariableP-valueOdds ratio95% CI
Age >65 years0.0000.1760.0930.331
Comorbidities0.0190.1740.0410.746
OPNI0.0010.8860.8480.925
Multivariate analysis for intubation
VariableP-valueOdds ratio95% CI
Age >65 years0.1381.5830.8632.902
Comorbidities0.1392.2520.7696.599
OPNI0.0020.9280.8850.972

[i] CI, confidence interval; OPNI, Onodera's prognostic nutritional index.

An independent association was also detected between OPNI and mortality (OR, 0.886; 95% CI, 0.848-0.925; P= 0.001). Other factors independently associated with mortality in this cohort were an age >65 years and the presence of comorbidities (Table IV).

Cohort B

Cohort B comprised of 494 patients (286 males), predominantly infected with the delta SARS-CoV-2 variant, with a mean age of 63.46±17.46 years. The demographic characteristics of the patients in cohort B are presented in Table I. A total of 94 (19%) patients had mild/moderate disease, 269 patients (54.5%) had severe disease and 131 patients (26.5%) had critical disease. The mean OPNI value was 45.80±5.92 in patients with mild/moderate disease, 44.42±6.04 in patients with severe disease and 38.58±6.37 in patients with critical disease. There was a statistically significant difference in the mean OPNI values between the three different disease severity groups, with the lowest value observed in patients with critical disease (P=0.001) (Fig. 2 and Table V).

Figure 2

Mean OPNI values in the different groups as regards COVID-19 severity in cohort B. There was a statistically significant difference in the mean OPNI values between the three different disease severity groups, with the lowest value observed in patients with critical disease (*P=0.001). OPNI, Onodera's prognostic nutritional index.

Table V

Mean OPNI values in the patients in cohort B.

Table V

Mean OPNI values in the patients in cohort B.

GroupOPNI (mean ± SD)P-value
Females42.67±7.010.193
Males43.48±6.44 
Disease severity 0.001
     Mild/moderate45.80±5.920.067a
     Severe44.42±6.040.001b
     Critical38.58±6.370.001c
Comorbidities44.88±20.770.341
No comorbidities46.81±5.76 
Age >65 years40.92±6.530.001
Age ≤65 years45.21±6.17 
Vaccinated42.52±6.750.153
Unvaccinated43.45±6.66 
Intubation38.55±5.880.001
No intubation43.59±6.61 
Death37.35±6.200.001
Recovery44.50±6.05 

[i] aMild/moderate vs. severe;

[ii] bmild/moderate vs. critical;

[iii] csevere vs. critical. OPNI, Onodera's prognostic nutritional index; SD, standard deviation.

The mean OPNI value was 38.55±5.88 in patients who were intubated and 43.59±6.61 in patients that were not. The mean OPNI value was 37.35±6.20 in patients who did not survive and 44.50±6.05 in patients who recovered. There was a statistically significant difference in the mean OPNI values between patients who were intubated and those who were not intubated and between patients who did not survive and patients who recovered (P=0.001; Table V).

According to the univariate analysis, there was a statistically significant association between an age >65 years and mortality (P=0.01) and between an age >65 years and intubation (P=0.01). Moreover, there was a statistically significant association between the presence of comorbidities and mortality (P=0.01), and between the presence of comorbidities and intubation (P=0.014). In addition, there was a statistically significant association between the male sex and intubation (P=0.048) (Table VI).

Table VI

Univariate analysis for cohort B (intubation and mortality).

Table VI

Univariate analysis for cohort B (intubation and mortality).

ParameterSurvivorsNon-survivorsP-value
Age >65 years153820.01a
Age ≤65 years24613 
Males232540.817
Females16741 
Comorbidities308930.01a
No comorbidities912 
ParameterNon-intubationIntubationP-value
Age >65 years204310.01a
Age ≤65 years24712 
Males255310.048a
Females19612 
Comorbidities359420.014a
No comorbidities921 

[i] aP<0.05.

Following multivariate logistic regression analysis, including as confounders an age >65 years, the male sex and the presence of comorbidities, an independent association was found between OPNI and intubation (OR, 0.903; 95% CI, 0.856-0.953; P= 0.001). Other factors independently associated with intubation in this cohort were an age >65 years and the male sex (Table VII).

Table VII

Multivariate logistic regression analysis of factors independently associated with intubation and mortality in cohort B.

Table VII

Multivariate logistic regression analysis of factors independently associated with intubation and mortality in cohort B.

Multivariate analysis for intubation
VariableP-valueOdds ratio95% CI
Age >65 years0.0202.4891.1555.366
Male sex0.0102.6340.8560.953
Comorbidities0.6221.1080.7381.662
OPNI0.0010.9030.8560.953
Multivariate analysis for mortality
VariableP-valueOdds ratio95% CI
Age >65 years0.0016.7933.43013.450
Comorbidities0.7361.0680.7271.571
OPNI0.0010.8400.7980.884

[i] CI, confidence interval; OPNI, Onodera's prognostic nutritional index.

An independent association was also detected between OPNI and mortality (OR, 8.40; 95% CI, 0.798-0.884; P= 0.001). Another factor independently associated with mortality in this cohort was an age >65 years (Table VII).

Cohort C

Cohort C comprised of 523 patients (291 males), predominantly infected with the omicron SARS-CoV-2 variant, with a mean age of 68.60±16.65 years. The demographic characteristics of the cohort are presented in Table I. In total, 137 patients (26.2%) had mild/moderate disease, 223 patients (42.5%) had severe disease and 163 patients (31.2%) had critical disease. The mean OPNI value was 44.61±7.56 in patients with mild/moderate disease, 42.94±6.95 in patients with severe disease and 38.36±6.57 in patients with critical disease. There was a statistically significant difference in the mean OPNI values between the three different disease severity groups, with the lowest value observed in patients with critical disease (P=0.001) (Fig. 3 and Table VIII).

Figure 3

Mean OPNI values in the different groups as regards COVID-19 severity in cohort C. There was a statistically significant difference in the mean OPNI values between the three different disease severity groups, with the lowest value observed in patients with critical disease (*P=0.001). Onodera's prognostic nutritional index.

Table VIII

Mean OPNI values in the patients in cohort C.

Table VIII

Mean OPNI values in the patients in cohort C.

GroupOPNI (mean ± SD)P-value
Females41.83±7.360.758
Males42.04±7.48 
Disease severity 0.001
     Mild/moderate44.61±7.560.036a
     Severe42.94±6.950.001b
     Critical38.36±6.570.001c
Comorbidities41.74±7.510.035
No comorbidities44.25±5.91 
Age >65 years40.55±6.920.001
Age ≤65 years44.25±7.63 
Vaccinated42.82±7.910.018
Unvaccinated41.23±6.93 
Intubation39.21±6.040.001
No intubation42.17±7.49 
Mortality37.42±6.520.014
Recovery43.29±7.14 

[i] aMild/moderate vs. severe;

[ii] bmild/moderate vs. critical;

[iii] csevere vs. critical. OPNI, Onodera's prognostic nutritional index; SD, standard deviation.

The mean OPNI value was 39.21±6.04 in patients who were intubated and 42.17±7.49 in patients that were not. The mean OPNI value was 37.42±6.52 in patients who did not survive and 43.29±7.14 in patients who recovered. There was a statistically significant difference in the mean OPNI values between patients who were intubated and those who were not intubated, and between patients who did not survive and patients who recovered (P=0.001 and P=0.014 respectively; Table VIII).

According to the univariate analysis, there was a statistically significant association between the presence of comorbidities and mortality (P=0.022) and between an age >65 years and mortality (P=0.01). No statistically significant association was found between the presence of comorbidities and intubation, between age an >65 years and intubation, between the vaccination status and intubation, and between sex and intubation (Table IX).

Table IX

Univariate analysis for cohort C (intubation and mortality).

Table IX

Univariate analysis for cohort C (intubation and mortality).

ParameterSurvivorsNon-survivorsP-value
Age >65 years2181060.01a
Age ≤65 years18514 
Males222690.625
Females18151 
Comorbidities3631160.022a
No comorbidities404 
Vaccinated189450.66
Unvaccinated21475 
ParameterNon-intubationIntubationP-value
Age >65 years294300.292
Age ≤65 years18811 
Males266250.453
Females21616 
Comorbidities440370.765
No comorbidities404 
Vaccinated219150.281
Unvaccinated26326 

[i] aP<0.05.

An independent association was detected between the OPNI and death according to the multivariate logistic regression analysis (OR, 0.886; 95% CI 0.848-0.925; P= 0.001). Other factors independently associated with mortality in this cohort were an age >65 years and the presence of comorbidities (Table X).

Table X

Multivariate logistic regression analysis of factors independently associated with mortality in cohort C.

Table X

Multivariate logistic regression analysis of factors independently associated with mortality in cohort C.

Multivariate analysis for mortality
VariableP-valueOdds ratio95% CI
Age >65 years0.0010.1760.0930.925
Comorbidities0.0190.1740.0410.746
OPNI0.0010.8860.8480.925

[i] CI, confidence interval; OPNI, Onodera's prognostic nutritional index.

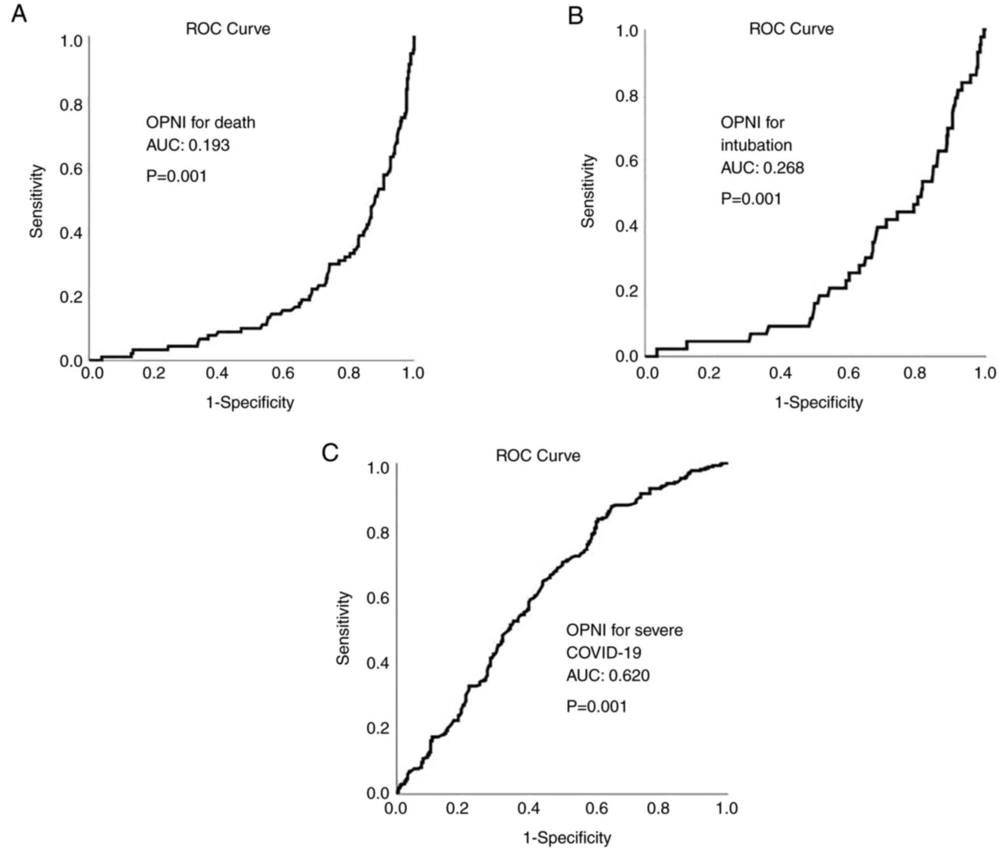
ROC analysis revealed that OPNI had no discriminative ability for mortality and intubation in all cohorts [cohort A: area under the curve (AUC, 0.272 for mortality and 0.356 for intubation; cohort B: AUC, 0.193 for mortality and 0.268 for intubation; cohort C: AUC, 0.272 for mortality and 0.377 for intubation]. OPNI exhibited an acceptable discriminative ability for severe disease in all cohorts (cohort A: AUC, 0.615; cohort B; AUC, 0.620; and cohort C: AUC, 0.610). The ROC curves for OPNI in cohorts A, B and C are presented in Figs. 4, 5 and 6, respectively.

Figure 4

ROC curves illustrating the discriminative ability of OPNI in cohort A for (A) mortality (P=0.001); (B) intubation (P=0.001); and (C) severe COVID-19 infection (P=0.001). ROC, receiver operating characteristic; AUC, area under the curve; Onodera's prognostic nutritional index.

Figure 5

ROC curves illustrating the discriminative ability of OPNI in cohort B for (A) mortality (P=0.001); (B) intubation (P=0.001); and (C) severe COVID-19 infection (P=0.001). ROC, receiver operating characteristic; AUC, area under the curve; Onodera's prognostic nutritional index.

Figure 6

ROC curves illustrating the discriminative ability of OPNI in cohort C for (A) mortality (P=0.001); (B) intubation (P=0.009); and (C) severe COVID-19 infection (P=0.006). ROC, receiver operating characteristic; AUC, area under the curve; Onodera's prognostic nutritional index.

Discussion

According to the results of the present study, OPNI was an independent indicator of disease severity and mortality in all the pandemic waves. OPNI, which is derived using albumin and lymphocyte levels, is an objective measure of inflammation and nutritional status. Previous research has indicated that albumin levels were inversely associated with disease progression and a poor prognosis in patients with COVID-19 (20,21). Low albumin levels in non-survivors may be attributed to intubation-induced insufficient intake, impaired synthesis due to liver failure and increased consumption due to organ injury. Several mechanisms can mediate the link between poor outcomes and low albumin levels. The albumin level is an indication of liver function as it is produced by hepatocytes (22). Inflammatory cytokines, such as IL-6 and tumor necrosis factor α (TNF-α) can suppress hepatocyte synthesis, leading to a decline in albumin levels in the blood. As already aforementioned, severe organ damage in patients with COVID-19 is caused by a cytokine storm characterized by a large release of cytokines, such as IL-1, IL-6, TNF-α, monocyte chemotactic protein (MCP)-1, inducible protein-10 (IP-10), interferon-γ and granulocyte colony-stimulating factor (G-CSF) (23). Cytokines, such as IL-1ra, IL-2R, IL-6, IL-10, TNF-a, IP-10 and MCP-3 have been found to be associated with disease severity and progression in patients with COVID-19. As a result, low albumin levels in patients with COVID-19 may signal a severe cytokine storm and organ damage, including liver impairment (24-26).

Moreover, a low albumin level may result in the exudation of intravascular fluid, exacerbating the severity of pulmonary edema. In patients with COVID-19, serum albumin levels have been found to be inversely associated with the development of acute respiratory distress syndrome (ARDS). The onset of ARDS is unquestionably a risk factor for poor outcomes of patients with COVID-19. As a result, low albumin levels do not contribute to favorable outcomes of patients with COVID-19 by decreasing pulmonary function (27).

As a typical metric of nutritional status, low albumin levels in critically ill patients may reflect a high consumption status induced by tissue injury and hypermetabolism. A poor nutritional status, as reflected by albumin levels, is not conducive to tissue regeneration and recovery in patients with COVID-19.

The lymphocyte count is another essential component of OPNI. Decreased peripheral lymphocyte numbers in patients with COVID-19 are due to a reduction in the numbers of T-cells, namely CD3+, CD4+ and CD8+ T-cells (28). The reduction in the numbers of CD4+ and CD8+ T-cells, as well as their increased activation, are critical features of immunocompromise and are associated with an unfavorable disease progression in patients with COVID-19(29). The numbers of T-cells may be reduced as a result of direct viral assault on lymphocytes, antigen presentation cell malfunction, and apoptosis induced by excessive cytokine production (26,30,31). In patients with COVID-19, lymphopenia has been identified as an independent risk factor for disease severity and poor outcomes. The lower lymphocyte count may be interpreted as a sign of poor immunological function and rapidly increasing cytokine levels (32). Thus, taken together, as a combination of both serum albumin levels and peripheral lymphocyte count, OPNI may more accurately indicate the nutritional and inflammatory state in patients with COVID-19.

OPNI has been reported as an independent indicator of COVID-19 severity (33-35). Moreover, OPNI has been found to be independently associated with the mortality of patients with SARS-CoV-2 infection (15,35-37). To the best of our knowledge, the present study is the first to demonstrate that OPNI is an independent marker of COVID-19 severity and outcomes in all three different pandemic waves examined. More specifically, OPNI exhibited an independent association with disease severity and mortality, even in the period of omicron variant predominance. It has been well established that the omicron variant contains a markedly higher number of novel mutations than other variants in its spike protein, the majority of which are in its receptor binding region, which increases transmissibility, while decreasing antibody and vaccination responses (38).

The key strengths of the present study are the large number of participants, and the availability of detailed information on the characteristics and outcomes of patients with COVID-19. The limitations of the study are that it was a single-center study, it was conducted retrospectively, and that there was no healthy control group. Moreover, no other inflammatory indices, potentially relevant in COVID-19 related outcomes, were evaluated.

In conclusion, the results of the present study, to the best of our knowledge, provide the first direct evidence that a lower OPNI value is associated with greater disease severity in patients with COVID-19. OPNI values upon admission were independent predictors of intubation and mortality in patients with COVID-19 in all pandemic waves examined.

Acknowledgements

Not applicable.

Funding

Funding: No funding was received.

Availability of data and materials

The datasets used and/or analyzed during the current study are available from the corresponding author on reasonable request.

Authors' contributions

VEG and NM conceptualized the study. VEG, NM, MZ, CD, MT, AK, SS, GK, SP, PS, GF, NT, KT and PP advised on patient treatments, obtained data, wrote and prepared the draft of the manuscript. DAS, VEG and NVS were involved in the study design, and analyzed the data and provided critical revisions. VEG and NVS confirm the authenticity of all the data. All authors contributed to manuscript revision, and have read and approved the final version of the manuscript.

Ethics approval and consent to participate

Ethical approval for the study was obtained from the Research Ethics Committee of Laiko General Hospital (Athens, Greece). The study was in line with the declaration of Helsinki in 1995 (as revised in Edinburgh 2000). Due to the retrospective design of the study, a waiver for informed consent was granted by the Institutional Review Board.

Patient consent for publication

Not applicable.

Competing interests

DAS is the Editor-in-Chief for the journal, but had no personal involvement in the reviewing process, or any influence in terms of adjudicating on the final decision, for this article. The other authors declare that they have no competing interests.

References

1 

Rodriguez-Morales AJ, Cardona-Ospina JA, Gutiérrez-Ocampo E, Villamizar-Peña R, Holguin-Rivera Y, Escalera-Antezana JP, Alvarado-Arnez LE, Bonilla-Aldana DK, Franco-Paredes C, Henao-Martinez AF, et al: Clinical, laboratory and imaging features of COVID-19: A systematic review and meta-analysis. Travel Med Infect Dis. 34(101623)2020.PubMed/NCBI View Article : Google Scholar

2 

Zaim S, Chong JH, Sankaranarayanan V and Harky A: COVID-19 and multiorgan response. Curr Probl Cardiol. 45(100618)2020.PubMed/NCBI View Article : Google Scholar

3 

Georgakopoulou VE, Avramopoulos P, Papalexis P, Bitsani A, Damaskos C, Garmpi A, Venetikou MS, Paramythiotis D, Karlafti E, Sklapani P, et al: COVID-19 induced hypoparathyroidism: A case report. Exp Ther Med. 23(346)2022.PubMed/NCBI View Article : Google Scholar

4 

Georgakopoulou VE, Gkoufa A, Damaskos C, Papalexis P, Pierrakou A, Makrodimitri S, Sypsa G, Apostolou A, Asimakopoulou S, Chlapoutakis S, et al: COVID-19-associated acute appendicitis in adults. A report of five cases and a review of the literature. Exp Ther Med. 24(482)2022.PubMed/NCBI View Article : Google Scholar

5 

Gabarre P, Dumas G, Dupont T, Darmon M, Azoulay E and Zafrani L: Acute kidney injury in critically ill patients with COVID-19. Intensive Care Med. 46:1339–1348. 2020.PubMed/NCBI View Article : Google Scholar

6 

Cholongitas E, Bali T, Georgakopoulou VE, Giannakodimos A, Gyftopoulos A, Georgilaki V, Gerogiannis D, Basoulis D, Eliadi I, Karamanakos G, et al: Prevalence of abnormal liver biochemistry and its impact on COVID-19 patients' outcomes: A single-center Greek study. Ann Gastroenterol. 35:290–296. 2022.PubMed/NCBI View Article : Google Scholar

7 

Martínez-García L, Espinel MA, Abreu M, González-Alba JM, Gijón D, McGee A, Cantón R, Galán JC and Aranaz J: Emergence and spread of B.1.1.7 lineage in primary care and clinical impact in the morbi-mortality among hospitalized patients in Madrid, Spain. Microorganisms. 9(1517)2021.PubMed/NCBI View Article : Google Scholar

8 

El-Shabasy RM, Nayel MA, Taher MM, Abdelmonem R, Shoueir KR and Kenawy ER: Three waves changes, new variant strains, and vaccination effect against COVID-19 pandemic. Int J Biol Macromol. 204:161–168. 2022.PubMed/NCBI View Article : Google Scholar

9 

Darif D, Hammi I, Kihel A, El Idrissi Saik I, Guessous F and Akarid K: The pro-inflammatory cytokines in COVID-19 pathogenesis: What goes wrong? Microb Pathog. 153(104799)2021.PubMed/NCBI View Article : Google Scholar

10 

Regolo M, Vaccaro M, Sorce A, Stancanelli B, Colaci M, Natoli G, Russo M, Alessandria I, Motta M, Santangelo N, et al: Neutrophil-to-lymphocyte ratio (NLR) is a promising predictor of mortality and admission to intensive care unit of COVID-19 patients. J Clin Med. 11(2235)2022.PubMed/NCBI View Article : Google Scholar

11 

Sayah W, Berkane I, Guermache I, Sabri M, Lakhal FZ, Yasmine Rahali S, Djidjeli A, Lamara Mahammed L, Merah F, Belaid B, et al: Interleukin-6, procalcitonin and neutrophil-to-lymphocyte ratio: Potential immune-inflammatory parameters to identify severe and fatal forms of COVID-19. Cytokine. 141(155428)2021.PubMed/NCBI View Article : Google Scholar

12 

Georgakopoulou VE, Vlachogiannis NI, Basoulis D, Eliadi I, Georgiopoulos G, Karamanakos G, Makrodimitri S, Samara S, Triantafyllou M, Voutsinas PM, et al: A simple prognostic score for critical COVID-19 Derived from patients without comorbidities performs well in unselected patients. J Clin Med. 11(1810)2022.PubMed/NCBI View Article : Google Scholar

13 

Georgakopoulou VE, Makrodimitri S, Triantafyllou M, Samara S, Voutsinas PM, Anastasopoulou A, Papageorgiou CV, Spandidos DA, Gkoufa A, Papalexis P, et al: Immature granulocytes: Innovative biomarker for SARS-CoV-2 infection. Mol Med Rep. 26(217)2022.PubMed/NCBI View Article : Google Scholar

14 

Georgakopoulou VE, Garmpis N, Damaskos C, Valsami S, Dimitroulis D, Diamantis E, Farmaki P, Papageorgiou CV, Makrodimitri S, Gravvanis N, et al: The impact of peripheral eosinophil counts and eosinophil to lymphocyte ratio (ELR) in the clinical course of COVID-19 patients: A retrospective study. In Vivo. 35:641–648. 2021.PubMed/NCBI View Article : Google Scholar

15 

Wang R, He M, Yin W, Liao X, Wang B, Jin X, Ma Y, Yue J, Bai L, Liu D, et al: The Prognostic nutritional index is associated with mortality of COVID-19 patients in Wuhan, China. J Clin Lab Anal. 34(e23566)2020.PubMed/NCBI View Article : Google Scholar

16 

Onodera T, Goseki N and Kosaki G: Prognostic nutritional index in gastrointestinal surgery of malnourished cancer patients. Nihon Geka Gakkai Zasshi. 85:1001–1005. 1984.PubMed/NCBI(In Japanese).

17 

Kang SH, Cho KH, Park JW, Yoon KW and Do JY: . Onodera's prognostic nutritional index as a risk factor for mortality in peritoneal dialysis patients. J Korean Med Sci. 27:1354–1358. 2021.PubMed/NCBI View Article : Google Scholar

18 

Moon SW, Lee EH, Choi JS, Leem AY, Lee SH, Lee SH, Kim SY, Chung KS, Jung JY, Park MS, et al: Impact of prognostic nutritional index on outcomes in patients with Mycobacterium avium complex pulmonary disease. PLoS One. 15(e0232714)2020.PubMed/NCBI View Article : Google Scholar

19 

National Institutes of Health (NIH): Coronavirus Disease 2019 (COVID-19) Treatment Guidelines. NIH, Bethesda, MD, 2021. https://www.covid19treatmentguidelines.nih.gov/. Accessed October 20, 2021.

20 

Zhang J, Wang X, Jia X, Li J, Hu K, Chen G, Wei J, Gong Z, Zhou C, Yu H, et al: Risk factors for disease severity, unimprovement, and mortality in COVID-19 patients in Wuhan, China. Clin Microbiol Infect. 26:767–772. 2020.PubMed/NCBI View Article : Google Scholar

21 

Gong J, Ou J, Qiu X, Jie Y, Chen Y, Yuan L, Cao J, Tan M, Xu W, Zheng F, et al: A tool for early prediction of severe coronavirus disease 2019 (COVID-19): A multicenter study using the risk nomogram in Wuhan and Guangdong, China. Clin Infect Dis. 71:833–840. 2020.PubMed/NCBI View Article : Google Scholar

22 

Peters SJ, Vanhaecke T, Papeleu P, Rogiers V, Haagsman HP and van Norren K: Co-culture of primary rat hepatocytes with rat liver epithelial cells enhances interleukin-6-induced acute-phase protein response. Cell Tissue Res. 340:451–457. 2010.PubMed/NCBI View Article : Google Scholar

23 

Zhou Y, Fu B, Zheng X, Wang D, Zhao C, Qi Y, Sun R, Tian Z, Xu X and Wei H: Pathogenic T-cells and inflammatory monocytes incite inflammatory storms in severe COVID-19 patients. Natl Sci Rev. 7:998–1002. 2020.PubMed/NCBI View Article : Google Scholar

24 

Li X, Xu S, Yu M, Wang K, Tao Y, Zhou Y, Shi J, Zhou M, Wu B, Yang Z, et al: Risk factors for severity and mortality in adult COVID-19 inpatients in Wuhan. J Allergy Clin Immunol. 146:110–118. 2020.PubMed/NCBI View Article : Google Scholar

25 

Yang Y, Shen C, Li J, Yuan J, Wei J, Huang F, Wang F, Li G, Li Y, Xing L, et al: Plasma IP-10 and MCP-3 levels are highly associated with disease severity and predict the progression of COVID-19. J Allergy Clin Immunol. 146:119–127.e4. 2020.PubMed/NCBI View Article : Google Scholar

26 

Tan L, Wang Q, Zhang D, Ding J, Huang Q, Tang YQ, Wang Q and Miao H: Lymphopenia predicts disease severity of COVID-19: A descriptive and predictive study. Signal Transduct Target Ther. 5(33)2020.PubMed/NCBI View Article : Google Scholar

27 

Wu C, Chen X, Cai Y, Xia J, Zhou X, Xu S, Huang H, Zhang L, Zhou X, Du C, et al: Risk factors associated with acute respiratory distress syndrome and death in patients with coronavirus disease 2019 Pneumonia in Wuhan, China. JAMA Intern Med. 180:934–943. 2020.PubMed/NCBI View Article : Google Scholar

28 

Han Y, Zhang H, Mu S, Wei W, Jin C, Xue Y, Tong C, Zha Y, Song Z and Gu G: Lactate dehydrogenase, a risk factor of severe COVID-19 patients. medRxiv: doi: https://doi.org/10.1101/2020.03.24.20040162.

29 

Xu Z, Shi L, Wang Y, Zhang J, Huang L, Zhang C, Liu S, Zhao P, Liu H, Zhu L, et al: Pathological findings of COVID-19 associated with acute respiratory distress syndrome. Lancet Respir Med. 8:420–422. 2020.PubMed/NCBI View Article : Google Scholar

30 

Zhao J, Zhao J, Van Rooijen N and Perlman S: Evasion by stealth: Inefficient immune activation underlies poor T cell response and severe disease in SARS-CoV-infected mice. PLoS Pathog. 5(e1000636)2009.PubMed/NCBI View Article : Google Scholar

31 

Channappanavar R and Perlman S: Pathogenic human coronavirus infections: Causes and consequences of cytokine storm and immunopathology. Semin Immunopathol. 39:529–539. 2017.PubMed/NCBI View Article : Google Scholar

32 

Georgakopoulou VE, Lembessis P, Skarlis C, Gkoufa A, Sipsas NV and Mavragani CP: Hematological abnormalities in COVID-19 disease: Association with type I interferon pathway activation and disease outcomes. Front Med (Lausanne). 9(850472)2022.PubMed/NCBI View Article : Google Scholar

33 

Wang ZH, Lin YW, Wei XB, Li F, Liao XL, Yuan HQ, Huang DZ, Qin TH, Geng H and Wang SH: Predictive value of prognostic nutritional index on COVID-19 severity. Front Nutr. 7(582736)2021.PubMed/NCBI View Article : Google Scholar

34 

Nalbant A, Demirci T, Kaya T, Aydın A, Altındiş M and Güçlü E: Can prognostic nutritional index and systemic immune-inflammatory index predict disease severity in COVID-19? Int J Clin Pract. 75(e14544)2021.PubMed/NCBI View Article : Google Scholar

35 

Rashedi S, Keykhaei M, Pazoki M, Ashraf H, Najafi A, Kafan S, Peirovi N, Najmeddin F, Jazayeri SA, Kashani M, et al: Clinical significance of prognostic nutrition index in hospitalized patients with COVID-19: Results from single-center experience with systematic review and meta-analysis. Nutr Clin Pract. 36:970–983. 2021.PubMed/NCBI View Article : Google Scholar

36 

Wei W, Wu X, Jin C, Mu T, Gu G, Min M, Mu S and Han Y: Predictive significance of the prognostic nutritional index (PNI) in patients with severe COVID-19. J Immunol Res. 2021(9917302)2021.PubMed/NCBI View Article : Google Scholar

37 

Çınar T, Hayıroğlu Mİ, Çiçek V, Kılıç Ş, Asal S, Yavuz S, Selçuk M, Yalçınkaya E, Keser N and Orhan AL: Is prognostic nutritional index a predictive marker for estimating all-cause in-hospital mortality in COVID-19 patients with cardiovascular risk factors? Heart Lung. 50:307–312. 2021.PubMed/NCBI View Article : Google Scholar

38 

Bazargan M, Elahi R and Esmaeilzadeh A: OMICRON: Virology, immunopathogenesis, and laboratory diagnosis. J Gene Med. 24(e3435)2022.PubMed/NCBI View Article : Google Scholar

Related Articles

  • Abstract
  • View
  • Download
  • Twitter
Copy and paste a formatted citation
Spandidos Publications style
Mathioudakis N, Zachiotis M, Papadakos S, Triantafyllou M, Karapanou A, Samara S, Karamanakos G, Spandidos DA, Papalexis P, Damaskos C, Damaskos C, et al: Onodera's prognostic nutritional index: Comparison of its role in the severity and outcomes of patients with COVID‑19 during the periods of alpha, delta and omicron variant predominance. Exp Ther Med 24: 675, 2022.
APA
Mathioudakis, N., Zachiotis, M., Papadakos, S., Triantafyllou, M., Karapanou, A., Samara, S. ... Georgakopoulou, V.E. (2022). Onodera's prognostic nutritional index: Comparison of its role in the severity and outcomes of patients with COVID‑19 during the periods of alpha, delta and omicron variant predominance. Experimental and Therapeutic Medicine, 24, 675. https://doi.org/10.3892/etm.2022.11611
MLA
Mathioudakis, N., Zachiotis, M., Papadakos, S., Triantafyllou, M., Karapanou, A., Samara, S., Karamanakos, G., Spandidos, D. A., Papalexis, P., Damaskos, C., Tarantinos, K., Fotakopoulos, G., Sklapani, P., Trakas, N., Sipsas, N. V., Georgakopoulou, V. E."Onodera's prognostic nutritional index: Comparison of its role in the severity and outcomes of patients with COVID‑19 during the periods of alpha, delta and omicron variant predominance". Experimental and Therapeutic Medicine 24.5 (2022): 675.
Chicago
Mathioudakis, N., Zachiotis, M., Papadakos, S., Triantafyllou, M., Karapanou, A., Samara, S., Karamanakos, G., Spandidos, D. A., Papalexis, P., Damaskos, C., Tarantinos, K., Fotakopoulos, G., Sklapani, P., Trakas, N., Sipsas, N. V., Georgakopoulou, V. E."Onodera's prognostic nutritional index: Comparison of its role in the severity and outcomes of patients with COVID‑19 during the periods of alpha, delta and omicron variant predominance". Experimental and Therapeutic Medicine 24, no. 5 (2022): 675. https://doi.org/10.3892/etm.2022.11611
Copy and paste a formatted citation
x
Spandidos Publications style
Mathioudakis N, Zachiotis M, Papadakos S, Triantafyllou M, Karapanou A, Samara S, Karamanakos G, Spandidos DA, Papalexis P, Damaskos C, Damaskos C, et al: Onodera's prognostic nutritional index: Comparison of its role in the severity and outcomes of patients with COVID‑19 during the periods of alpha, delta and omicron variant predominance. Exp Ther Med 24: 675, 2022.
APA
Mathioudakis, N., Zachiotis, M., Papadakos, S., Triantafyllou, M., Karapanou, A., Samara, S. ... Georgakopoulou, V.E. (2022). Onodera's prognostic nutritional index: Comparison of its role in the severity and outcomes of patients with COVID‑19 during the periods of alpha, delta and omicron variant predominance. Experimental and Therapeutic Medicine, 24, 675. https://doi.org/10.3892/etm.2022.11611
MLA
Mathioudakis, N., Zachiotis, M., Papadakos, S., Triantafyllou, M., Karapanou, A., Samara, S., Karamanakos, G., Spandidos, D. A., Papalexis, P., Damaskos, C., Tarantinos, K., Fotakopoulos, G., Sklapani, P., Trakas, N., Sipsas, N. V., Georgakopoulou, V. E."Onodera's prognostic nutritional index: Comparison of its role in the severity and outcomes of patients with COVID‑19 during the periods of alpha, delta and omicron variant predominance". Experimental and Therapeutic Medicine 24.5 (2022): 675.
Chicago
Mathioudakis, N., Zachiotis, M., Papadakos, S., Triantafyllou, M., Karapanou, A., Samara, S., Karamanakos, G., Spandidos, D. A., Papalexis, P., Damaskos, C., Tarantinos, K., Fotakopoulos, G., Sklapani, P., Trakas, N., Sipsas, N. V., Georgakopoulou, V. E."Onodera's prognostic nutritional index: Comparison of its role in the severity and outcomes of patients with COVID‑19 during the periods of alpha, delta and omicron variant predominance". Experimental and Therapeutic Medicine 24, no. 5 (2022): 675. https://doi.org/10.3892/etm.2022.11611
Follow us
  • Twitter
  • LinkedIn
  • Facebook
About
  • Spandidos Publications
  • Careers
  • Cookie Policy
  • Privacy Policy
How can we help?
  • Help
  • Live Chat
  • Contact
  • Email to our Support Team