Spandidos Publications Logo
  • About
    • About Spandidos
    • Aims and Scopes
    • Abstracting and Indexing
    • Editorial Policies
    • Reprints and Permissions
    • Job Opportunities
    • Terms and Conditions
    • Contact
  • Journals
    • All Journals
    • Oncology Letters
      • Oncology Letters
      • Information for Authors
      • Editorial Policies
      • Editorial Board
      • Aims and Scope
      • Abstracting and Indexing
      • Bibliographic Information
      • Archive
    • International Journal of Oncology
      • International Journal of Oncology
      • Information for Authors
      • Editorial Policies
      • Editorial Board
      • Aims and Scope
      • Abstracting and Indexing
      • Bibliographic Information
      • Archive
    • Molecular and Clinical Oncology
      • Molecular and Clinical Oncology
      • Information for Authors
      • Editorial Policies
      • Editorial Board
      • Aims and Scope
      • Abstracting and Indexing
      • Bibliographic Information
      • Archive
    • Experimental and Therapeutic Medicine
      • Experimental and Therapeutic Medicine
      • Information for Authors
      • Editorial Policies
      • Editorial Board
      • Aims and Scope
      • Abstracting and Indexing
      • Bibliographic Information
      • Archive
    • International Journal of Molecular Medicine
      • International Journal of Molecular Medicine
      • Information for Authors
      • Editorial Policies
      • Editorial Board
      • Aims and Scope
      • Abstracting and Indexing
      • Bibliographic Information
      • Archive
    • Biomedical Reports
      • Biomedical Reports
      • Information for Authors
      • Editorial Policies
      • Editorial Board
      • Aims and Scope
      • Abstracting and Indexing
      • Bibliographic Information
      • Archive
    • Oncology Reports
      • Oncology Reports
      • Information for Authors
      • Editorial Policies
      • Editorial Board
      • Aims and Scope
      • Abstracting and Indexing
      • Bibliographic Information
      • Archive
    • Molecular Medicine Reports
      • Molecular Medicine Reports
      • Information for Authors
      • Editorial Policies
      • Editorial Board
      • Aims and Scope
      • Abstracting and Indexing
      • Bibliographic Information
      • Archive
    • World Academy of Sciences Journal
      • World Academy of Sciences Journal
      • Information for Authors
      • Editorial Policies
      • Editorial Board
      • Aims and Scope
      • Abstracting and Indexing
      • Bibliographic Information
      • Archive
    • International Journal of Functional Nutrition
      • International Journal of Functional Nutrition
      • Information for Authors
      • Editorial Policies
      • Editorial Board
      • Aims and Scope
      • Abstracting and Indexing
      • Bibliographic Information
      • Archive
    • International Journal of Epigenetics
      • International Journal of Epigenetics
      • Information for Authors
      • Editorial Policies
      • Editorial Board
      • Aims and Scope
      • Abstracting and Indexing
      • Bibliographic Information
      • Archive
    • Medicine International
      • Medicine International
      • Information for Authors
      • Editorial Policies
      • Editorial Board
      • Aims and Scope
      • Abstracting and Indexing
      • Bibliographic Information
      • Archive
  • Articles
  • Information
    • Information for Authors
    • Information for Reviewers
    • Information for Librarians
    • Information for Advertisers
    • Conferences
  • Language Editing
Spandidos Publications Logo
  • About
    • About Spandidos
    • Aims and Scopes
    • Abstracting and Indexing
    • Editorial Policies
    • Reprints and Permissions
    • Job Opportunities
    • Terms and Conditions
    • Contact
  • Journals
    • All Journals
    • Biomedical Reports
      • Information for Authors
      • Editorial Policies
      • Editorial Board
      • Aims and Scope
      • Abstracting and Indexing
      • Bibliographic Information
      • Archive
    • Experimental and Therapeutic Medicine
      • Information for Authors
      • Editorial Policies
      • Editorial Board
      • Aims and Scope
      • Abstracting and Indexing
      • Bibliographic Information
      • Archive
    • International Journal of Epigenetics
      • Information for Authors
      • Editorial Policies
      • Editorial Board
      • Aims and Scope
      • Abstracting and Indexing
      • Bibliographic Information
      • Archive
    • International Journal of Functional Nutrition
      • Information for Authors
      • Editorial Policies
      • Editorial Board
      • Aims and Scope
      • Abstracting and Indexing
      • Bibliographic Information
      • Archive
    • International Journal of Molecular Medicine
      • Information for Authors
      • Editorial Policies
      • Editorial Board
      • Aims and Scope
      • Abstracting and Indexing
      • Bibliographic Information
      • Archive
    • International Journal of Oncology
      • Information for Authors
      • Editorial Policies
      • Editorial Board
      • Aims and Scope
      • Abstracting and Indexing
      • Bibliographic Information
      • Archive
    • Medicine International
      • Information for Authors
      • Editorial Policies
      • Editorial Board
      • Aims and Scope
      • Abstracting and Indexing
      • Bibliographic Information
      • Archive
    • Molecular and Clinical Oncology
      • Information for Authors
      • Editorial Policies
      • Editorial Board
      • Aims and Scope
      • Abstracting and Indexing
      • Bibliographic Information
      • Archive
    • Molecular Medicine Reports
      • Information for Authors
      • Editorial Policies
      • Editorial Board
      • Aims and Scope
      • Abstracting and Indexing
      • Bibliographic Information
      • Archive
    • Oncology Letters
      • Information for Authors
      • Editorial Policies
      • Editorial Board
      • Aims and Scope
      • Abstracting and Indexing
      • Bibliographic Information
      • Archive
    • Oncology Reports
      • Information for Authors
      • Editorial Policies
      • Editorial Board
      • Aims and Scope
      • Abstracting and Indexing
      • Bibliographic Information
      • Archive
    • World Academy of Sciences Journal
      • Information for Authors
      • Editorial Policies
      • Editorial Board
      • Aims and Scope
      • Abstracting and Indexing
      • Bibliographic Information
      • Archive
  • Articles
  • Information
    • For Authors
    • For Reviewers
    • For Librarians
    • For Advertisers
    • Conferences
  • Language Editing
Login Register Submit
  • This site uses cookies
  • You can change your cookie settings at any time by following the instructions in our Cookie Policy. To find out more, you may read our Privacy Policy.

    I agree
Search articles by DOI, keyword, author or affiliation
Search
Advanced Search
presentation
Experimental and Therapeutic Medicine
Join Editorial Board Propose a Special Issue
Print ISSN: 1792-0981 Online ISSN: 1792-1015
Journal Cover
November-2022 Volume 24 Issue 5

Full Size Image

Sign up for eToc alerts
Recommend to Library

Journals

International Journal of Molecular Medicine

International Journal of Molecular Medicine

International Journal of Molecular Medicine is an international journal devoted to molecular mechanisms of human disease.

International Journal of Oncology

International Journal of Oncology

International Journal of Oncology is an international journal devoted to oncology research and cancer treatment.

Molecular Medicine Reports

Molecular Medicine Reports

Covers molecular medicine topics such as pharmacology, pathology, genetics, neuroscience, infectious diseases, molecular cardiology, and molecular surgery.

Oncology Reports

Oncology Reports

Oncology Reports is an international journal devoted to fundamental and applied research in Oncology.

Experimental and Therapeutic Medicine

Experimental and Therapeutic Medicine

Experimental and Therapeutic Medicine is an international journal devoted to laboratory and clinical medicine.

Oncology Letters

Oncology Letters

Oncology Letters is an international journal devoted to Experimental and Clinical Oncology.

Biomedical Reports

Biomedical Reports

Explores a wide range of biological and medical fields, including pharmacology, genetics, microbiology, neuroscience, and molecular cardiology.

Molecular and Clinical Oncology

Molecular and Clinical Oncology

International journal addressing all aspects of oncology research, from tumorigenesis and oncogenes to chemotherapy and metastasis.

World Academy of Sciences Journal

World Academy of Sciences Journal

Multidisciplinary open-access journal spanning biochemistry, genetics, neuroscience, environmental health, and synthetic biology.

International Journal of Functional Nutrition

International Journal of Functional Nutrition

Open-access journal combining biochemistry, pharmacology, immunology, and genetics to advance health through functional nutrition.

International Journal of Epigenetics

International Journal of Epigenetics

Publishes open-access research on using epigenetics to advance understanding and treatment of human disease.

Medicine International

Medicine International

An International Open Access Journal Devoted to General Medicine.

Journal Cover
November-2022 Volume 24 Issue 5

Full Size Image

Sign up for eToc alerts
Recommend to Library

  • Article
  • Citations
    • Cite This Article
    • Download Citation
    • Create Citation Alert
    • Remove Citation Alert
    • Cited By
  • Similar Articles
    • Related Articles (in Spandidos Publications)
    • Similar Articles (Google Scholar)
    • Similar Articles (PubMed)
  • Download PDF
  • Download XML
  • View XML
Article Open Access

Multi‑locus sequence and drug resistance analysis of Salmonella infection in children with diarrhea in Guangdong to identify the dominant ST and cause of antibiotic‑resistance

  • Authors:
    • Lingqing Xu
    • Qianjun He
    • Yinxian Tang
    • Weihong Wen
    • Linjuan Chen
    • Yuzhen Li
    • Changhong Yi
    • Bishi Fu
  • View Affiliations / Copyright

    Affiliations: Department of Clinical Laboratory, The Sixth Affiliated Hospital of Guangzhou Medical University, Qingyuan People's Hospital, Qingyuan, Guangdong 511518, P.R. China, Department of Interventional Radiology, Cancer Hospital of Shantou University Medical College, Shantou, Guangdong 515000, P.R. China
    Copyright: © Xu et al. This is an open access article distributed under the terms of Creative Commons Attribution License.
  • Article Number: 678
    |
    Published online on: September 20, 2022
       https://doi.org/10.3892/etm.2022.11614
  • Expand metrics +
Metrics: Total Views: 0 (Spandidos Publications: | PMC Statistics: )
Metrics: Total PDF Downloads: 0 (Spandidos Publications: | PMC Statistics: )
Cited By (CrossRef): 0 citations Loading Articles...

This article is mentioned in:



Abstract

Multi‑locus sequence typing (MLST) can be used to analyze the homology among the drug resistance gene cassettes in Salmonella and determine the prevalence. Information extracted using this technique can provide a theoretical basis for hospitals to devise protocols to control Salmonella infections. The aim of the present study was to investigate the possible association between drug resistance and integrons in clinical isolates of Salmonella from human fecal samples. Therefore, in the present study, 52 clinical fecal isolates of non‑duplicate (i.e., not genome contamination) Salmonella were harvested from children with diarrhea and used for bacterial identification using biochemical tests, drug susceptibility analysis by antibiotic susceptibility testing and serotype identification using an agglutination assay. In total, seven Salmonella housekeeping genes (chorismate synthase, β sliding clamp of DNA polymerase III, uroporphyrinogen‑III synthase, histidinol dehydrogenase, phosphoribosylaminoimidazole carboxylase catalytic subunit, 2‑oxoglutarate dehydrogenase E1 component and homoserine dehydrogenase) were amplified and sequenced using MLST, before sequence alignment was performed against the Pub MLST database to determine the sequence‑typed (ST) strains and construct genotypic evolutionary diagrams. Subsequently, the 52 Salmonella strains were subdivided into 11 serotypes and 11 sequence types. The dominant subtypes were found to be Salmonella typhimurium ST34 and ST19, which were diversely distributed. However, no new subtypes were found. Although the serotypes, including ST19, ST29, ST34, ST40, ST11, ST27, ST469, ST365, ST1499, ST413 and ST588, were closely associated with the MLST subtype, they did not correspond entirely. The detection rate of class I integrons was 38.46% (20/52), but no class II and III integrons were detected. The variable regions of three of 20 class I integrons were found to be amplified, whereas nine gene cassettes, including dihydrofolate reductase A12, open reading frame F, aminoglycoside‑adenylyltransferase (aad)A2, aadA22, aadA23, aadA1, cadmium‑translocating P‑type ATPase 2, lincosamide and linF, were associated with drug resistance. These data suggest that Class I integrons are important factors underlying drug resistance in Salmonella, which may serve a role in the spread of drug resistance and warrant specific focus. In addition, MLST typing and serotyping should be applied cooperatively in epidemiological research.

Introduction

Salmonella is a gram-negative, facultative, intracellular bacterium that frequently causes human and animal diseases (1). According to the WHO, >90 million people are infected by Salmonella annually, 150,000 of whom will succumb to Salmonella infection. The main clinical symptoms of Salmonella infection, also called salmonellosis, are sepsis and gastroenteritis (2). To date, >2,600 subtypes of Salmonella have been discovered and categorized (3). Salmonella serotypes are typically associated with their host adaptation and virulence capability, rendering serotyping to be a key tool for Salmonella surveillance and outbreak investigations (4). However, treatment of invasive salmonellosis has been compromised due to the emergence of Salmonella strains that are resistant to a variety of first-line drugs such as ampicillin, chloramphenicol and co-trimoxazole (5). Therefore, an appropriate molecular typing method should be used in combination with serotyping to investigate the epidemiology of Salmonella.

Accurate typing and tracing are important for microbial epidemiological investigation, food safety and public health. Bacterial typing methods that are available include phenotyping such as phage-typing, serotyping and ribotyping and genotyping such as plasmid profile, pulsed-field gel electrophoresis and multi-locus sequence typing (6). Among them, serotyping and multi-locus sequence typing (MLST) are the most frequently used (7). Typing methods of Salmonella can be divided into phenotypic typing based on their phenotypic characteristics and molecular typing based on their gene expression patterns (8). Serotyping using standard agglutination methods has been the most common form of typing since 1934(9). By contrast, molecular typing techniques mainly include pulsed field gel electrophoresis (PFGE) (10), MLST and multi-locus variable-number tandem repeat analysis (8). MLST has become a particularly popular molecular typing method due to its advantages: i) High resolution, it is easy to discover differentiation of genetically related bacterial isolates from nonambiguous sequencing data, which is superior to serotyping and/or PFGE typing (11); and ii), reproducibility and universality, MLST can be readily reproduced and does not require access to specialized reagents or training (12). In particular, Salmonella MLST is a molecular typing method that is based on the sequencing of seven housekeeping genes of Salmonella, namely chorismate synthase (aroC), β sliding clamp of DNA polymerase III (dnaN), uroporphyrinogen-III synthase (hemD), histidinol dehydrogenase (hisD), phosphoribosylaminoimidazole carboxylase catalytic subunit (purE), 2-oxoglutarate dehydrogenase E1 component (sucA) and homoserine dehydrogenase (thrA) (13). These genes are highly conserved and only slowly accumulate site changes (14). Salmonella MLST is mainly applied to understand the hereditary backgrounds, origins and diversification of the various Salmonella sub-strains.

In the present study, the serotypes, MLST, drug resistance, integrin class and distribution of 52 clinical isolates of non-duplicated Salmonella which is not genome contamination from children with diarrhea were analyzed. Specifically, the possible correlation among the allelic profiles of the housekeeping genes aroC, dnaN, hemD, hisD, purE, sucA and thrA and the Salmonella eBrust Groups (eBGs) and serotypes for potential Salmonella serovar prediction were focused upon. In addition, the association between drug resistance and integrin distribution of the Salmonella strains was investigated.

In order to aid clinicians in improving the clinical prevention and treatment of Salmonella infection, 1,725 diarrhea samples from children were collected to isolate the Salmonella strain in the present study. The drug sensitivities of those Salmonella strains were detected focusing on 12 different antibiotics. Total Salmonella genome DNA (gDNA) were extracted for MLST analysis of characteristics of Salmonella. After sequence analysis, eBURST analysis was applied for the various Salmonella sequence types (STs). The class I, II, and III integron distribution was also analyzed to map the integrated substructures of the integrons.

Materials and methods

Strain conservation

The present study was approved by the Medical Ethics Committee of Qingyuan People's Hospital, Qingyuan, China (approval no. A0051). Written informed consent was obtained from each participant's legal guardian. In total, 52 ‘non-duplicate’ (confirmed as not a biological contamination) Salmonella strains were harvested from the feces of children (age, 3 months to 14 years) with diarrhea between September 2018 and April 2020 at the Department of Clinical Laboratory, The Sixth Affiliated Hospital of Guangzhou Medical University, Qingyuan People's Hospital, Qingyuan, China. Patients aged ≤14 years who were admitted to the Outpatient Department or hospitalized at Qingyuan People's Hospital due to diarrhea were selected as candidates. A total of 1,725 children (890 male and 835 female children, mean age 5.6±0.41, median age 5.1±0.69) were enrolled in our study, all of whom exhibited one or more of the following clinical manifestations: Diarrhea, fever and/or abdominal pain. The exclusion criteria were: i) Children with diarrhea presenting with watery stools, without red blood cells, white blood cells or pus cells in routine stool test; ii) with low complete blood count; and iii) with mild symptoms. The quality control strains used for antibiotic susceptibility testing were Pseudomonas aeruginosa (ATCC.27853), Staphylococcus aureus (ATCC.25923) and E. coli (ATCC.25922) (all from American Type Culture Collection) (15). The positive integron reference strain was a clinical isolation Klebsiella pneumoniae strain (1162281; GSK plc.) which contained Class I, II, and III integrons (16).

Instruments and reagents Instruments

BD Phoenix™ M50 automatic detector and bacterial drug sensitivity analysis system (BD Biosciences). NMIC/ID-4 composite board for the drug sensitivity tests (BD Biosciences). Thermal Cycler T100 (Bio-Rad Laboratories, Inc.). Gel Dox™ XR+ gel imaging system (Bio-Rad Laboratories, Inc.).

Reagents. Triple sugar iron (TSI) agar medium (Qingdao Hope Bio-Tcehnology Co.,Ltd). Bacterial group DNA extraction kit (ab288102, Abcam), 2X Taq PCR MasterMix (KT121221, Tiangen Biotech Co., Ltd.), Gel Red nucleic acid dye (SCT123, Sigma-Aldrich; Merck KGaA), and Marker I, II and III DNA ladder (MD101, MD102 and MD103; Tiangen Biotech Co., Ltd.). Primers (Sangon Biotech Co., Ltd.).

Methods Sample collection and bacterial culture

Fecal samples from children with diarrhea were collected for Salmonella isolation and identification. A small amount (10-50 mg) of feces from each child with diarrhea was collected using sterile swabs, which were placed in 9 ml selenite brilliant green sulfa enrichment broth (E-MA73; Eiken Chemical Co., Ltd.) and cultured at 36˚C for 18 h. After enrichment, 10 µl of the samples was streaked onto a Salmonella chromogenic medium agar plate (CM1007B; Thermo Fisher Scientific, Inc.), before further culture at 36˚C for 18 h. Suspected colonies that are purplish red or wine red with a diameter of 2-3 mm were selected from the plate for biochemical identification.

Serotyping by slide agglutination. Salmonella enterica isolates were cultured at 37˚C overnight. A drop of broth was dropped on a glass slides to test somatic O antigen by slide agglutination. Meanwhile, each Salmonella strain was grown on Swarm agar plates at 37˚C overnight, and single colonies were picked to test phases 1 and 2 of H antigens by slide agglutination. Diagnostic sera for Salmonella antigens were purchased from Tianrun Bio-Pharmaceutical Co. Ltd. and S&A Reagents Lab Ltd. Serotyping and biotyping were performed according to the modified Kauffmann-White scheme, which is a modification of the original scheme from the 1930s (7).

Identification of Salmonella and drug sensitivity detection. All Salmonella strains were inoculated onto TSI agar plates and cultured for 12-18 h at 37˚C. Antibiotic susceptibility test (AST) was performing using the BD Phoenix™ M100 Automated Microbiology System (BD Biosciences), a broth-based microdilution method that utilizes a redox indicator (colorimetric-oxidation-reduction) to enhance the detection of bacterial growth. AST was performed on BD Phoenix™ NMIC-502 panels (BD Biosciences). Samples were prepared and experimental conditions were set following the manufacturer's protocols. Phoenix ID broth (4 ml) was first inoculated with bacterial colonies from a pure culture adjusted to a 0.5 McFarland standard using a CrystalSpec nephelometer (BD Biosciences), before the suspension was poured into the ID side of the Phoenix panel. Bacterial growth at 37˚C in the panels was then monitored every 20 min to determine minimal inhibitory concentration (MIC) of antibiotics. The interpretation of MIC results were recorded as either susceptible (S), intermediate (I) and resistant (R) according to the 2016 CLSl M100-S26 susceptibility test guide (17). Drug resistance rate=(susceptible strain number/total Salmonella strain number) x100%.

In total, 12 different antibiotics were used base on the following antibiotic classification: i) Class A, including carbenpenems imipenem and meropenem; ii) class C, such as quinolones moxifloxacin; iii) class D, including cephalosporins cefotaxime and cefepime; iv) class E, such as broad-spectrum penicillins ampicillin, ampicillin/sulbactam, piperacillin and piperacillin/tazobactam; v) class F, including β-lactam/β-lactamase inhibitor combinations, including amoxicillin, amoxicillin/clavulanate and aztreonam; and vi) class G, including phenicols chloramphenicol.

Total bacterial DNA extraction. Salmonella genomic DNA was extracted in accordance with the protocol of the Bacterial group DNA extraction kit (ab288102; Abcam), transferred to an aseptic 1.5 ml tube and stored at -80˚C.

Primer design. In total, seven housekeeping genes of Salmonella, aroC, dnaN, hemD, hisD, purE, sucA and thrA, were chosen for MLST analysis (18). The primer sequences were designed according to the Salmonella MLST database (https://enterobase.readthedocs.io/en/latest/mlst/mlst-legacy-info-senterica.html) and are listed in Table I. Primers for the intI1, intI2, intI3 gene and variable region were designed using primer3Web (version 4.1.0; http://primer3.ut.ee/) as described previously (19) and are listed in Table II.

Table I

Primer sequences used for multi-locus sequence typing.

Table I

Primer sequences used for multi-locus sequence typing.

GeneOligonucleotide and sequence (5'-3')Length/bp
Chorismate synthaseF: CCTGGCACCTCGCGCTATAC826
 R: CCACACACGGATCGTGGCG 
β sliding clamp of DNA polymerase IIIF: ATGAAATTTACCGTTGAACGTGA833
 R: AATTTCTCATTCGAGAGGATTGC 
Uroporphyrinogen-III synthaseF: GAAGCGTTAGTGAGCCGTCTGCG666
 R: ATCAGCGACCTTAATATCTTGCCA 
Histidinol dehydrogenaseF: GAAACGTTCCATTCCGCGCAGAC894
 R: CTGAACGGTCATCCGTTTCTG 
Phosphoribosylaminoimidazole carboxylase catalytic subunitF: ATGTCTTCCCGCAATAATCC510
 R: TCATAGCGTCCCCCGCGGATC 
2-oxoglutarate dehydrogenase E1 componentF: AGCACCGAAGAGAAACGCTG643
 R: GGTTGTTGATAACGATACGTAC 
Homoserine dehydrogenaseF: GTCACGGTGATCGATCCGGT852
 R: CACGATATTGATATTAGCCCG 

[i] F, forward; R, reverse.

Table II

Primer sequences of the three integrase genes and variable areas.

Table II

Primer sequences of the three integrase genes and variable areas.

Target geneOligonucleotide (5'-3')Length/bp
Int 1F: GGTCAAGGATCTGGATTTCG493 bp
 R: ACATGCGTGTAAATCATCGTC 
   
Int 2F: CACGGATATGCGACAAAAAGGT789 bp
 R: GTAGCAAACGAGTGACGAAATG 
   
Int 3F: AGTGGGTGGCGAATGAGTG922 bp
 R: TGTTCTTGTATCGGCAGGTG 
   
Int-variable area5'-CS: GGCATCCAAGCAGCAAGvariable
 3'-CS: AAGCAGACTTGACCTGA 

[i] F, forward; R, reverse; CS, conserved segment; int, integrase gene.

PCR for Salmonella MLST, integrase genes and variable regions. The PCR mix for the seven housekeeping genes was constructed as follows: 25 µl 2X Taq PCR MasterMix, 1 µl each of the forward and reverse primers, 2 µl Salmonella gDNA template and 22 µl ddH2O. The reaction conditions were as follows: Initial denaturation at 94˚C for 5 min; followed by 32 cycles of denaturation at 95˚C for 30 secs, annealing at 60˚C for 1 min and extension at 72˚C for 1 min; and a final extension at 72˚C for 10 min. The PCR products were visualized electrophoretically on an agarose gel using Gel Red nucleic acid dye (Sigma-Aldrich; Merck KGaA) and sent to Sangon Biotech Co., Ltd. for bidirectional Sanger sequencing.

The PCR mix for the class I, II, and III integrons comprised the following: 12.5 µl 2X Taq PCR MasterMix, 0.5 µl each of the forward and reverse primer, 0.5 µl Salmonella gDNA template and 11.5 µl ddH2O. The reaction conditions were as follows: Initial denaturation at 95˚C for 5 min; followed by 26 cycles of denaturation at 94˚C for 30 sec, annealing at 62˚C for 30 sec and extension at 72˚C for 1 min; and a final extension at 72˚C for 5 min. In total, 5 µl PCR products were loaded onto a 2% agarose gel (60 min, 80 V) and visualized using Gel Red nucleic acid dye and a gel imaging system (Bio-Rad Laboratories, Inc.).

The PCR mix for the variable regions of class I, II, and III integrons comprised the following: 25 µl 2X Taq PCR MasterMix, 0.5 µl each of the forward and reverse primer, 1 µl DNA template and ddH2O to 50 µl. The reaction conditions were as follows: Initial denaturation at 94˚C for 5 min; followed by 35 cycles of denaturation at 94˚C for 30 sec, annealing at 58˚C for 30 sec and extension at 72˚C for 2 min; and a final extension at 72˚C for 7 min. PCR products (5 µl) were visualized electrophoretically on a 1.2% agarose gel (60 min, 80 V) using Gel Red nucleic acid dye and a gel imaging system (Bio-Rad Laboratories, Inc.).

Sequence analysis of the variable regions

The PCR products (displaying bright bands) were sent to Sangon Biotech Co., Ltd. for sequencing. Corrected sequencing data were obtained by removing failed signals with Chromas software (version 2.6.6; http://technelysium.com.au/wp/chromas/). Subsequently, sequencing data were compared and analyzed using BLAST (BLAST+ version 2.10.0; https://blast.ncbi.nlm.nih.gov/Blast.cgi). Results with 100% coincidence were selected.

Genotyping analysis of Salmonella MLST

The sequencing reads were subjected to the Salmonella MLST database v1.1.3 (http://mlst.warwick.ac.uk/mlst/dbs/Senterica), before the different allele values were obtained by allele/ST query to identify the corresponding ST, yielding an allelic spectrum. The ST classification data were then uploaded onto the Pub MLST Data Analysis (http://pubmlst.org/salmonella/) tool to conduct eBURST analysis to obtain the BURST group diagram (group definition: Profiles match at n-2 loci to any other member, ‘n’ is the number of loci in the scheme). The standard of clustering used is that if four subunits in seven ST-labeled genes are the same, then they would be considered to be in the same composite clone group (20,21).

Statistical analysis

All statistical analyses were performed using SPSS software version 16.0 (SPSS, Inc.). Drug resistance was analyzed using the χ2 test. P<0.05 was considered to indicate a statistically significant difference.

Results

Serotyping

A total of 11 serotypes were obtained from the 52 Salmonella strains, including 33 strains of S. Typhimurium, five strains of S. Enteritidis, four strains of S. Stanley, three strains of S. Rigel and one strain each of S. Paratyphi A, S. Derby, S. Dublin, S. San Juan, S. Togo, S. Bisra and S. Havana (Fig. 1A and B).

Figure 1

Serotype and ST distribution of Salmonella strains in the present study. (A) Serotype distribution of the 52 Salmonella strains in the present study. (B) Pareto chart of the serotypes of 52 Salmonella strains in the present study. (C) Seven pairs of housekeeping genes as determined using PCR-based multi-locus sequence typing. (D) ST distribution of 52 Salmonella strains in the present study. (E) Pareto chart of ST of 52 Salmonella strains in the present study. ST, sequence type; M, marker; aroC, chorismate synthase; dnaN, β sliding clamp of DNA polymerase III (dnaN); hemD, uroporphyrinogen-III synthase; hisD, histidinol dehydrogenase; purE, phosphoribosylaminoimidazole carboxylase catalytic subunit; sucA, 2-oxoglutarate dehydrogenase E1 component; thrA, homoserine dehydrogenase.

MLST results

To estimate the genetic correlations, MLST was performed. In total, seven housekeeping gene loci, namely aroC, dnaN, hemD, hisD, purE, sucA and thrA, were chosen for MLST analysis of Salmonella (Fig. 1C). A total of 52 Salmonella strains were divided into 11 STs base on MLST result (Table III), including 22 strains with ST34 (42.31%), nine strains with ST19 (17.31%), five strains with ST11 (9.62%), four strains with ST29 (7.69%), three strains with ST40 (5.77%) and ST469 (5.77%), two strains with ST27 (3.85%) and one strain with ST365 (1.92%), ST413 (1.92%), ST1499 (1.92%) and ST588 (1.92%) (Fig. 1D and E).

Table III

Salmonella multi-locus sequence typing and distribution rate in 52 samples.

Table III

Salmonella multi-locus sequence typing and distribution rate in 52 samples.

Chorismate synthaseβ sliding clamp of DNA polymerase III Uroporphyrinogen-III synthaseHistidinol dehydrogenase Phosphoribosylaminoimidazole carboxylase catalytic subunit2-oxoglutarate dehydrogenase E1 componentHomoserine dehydrogenaseSequence typesDistribution rate %
52376611119.61
259236438191214991.92
1071295921917.31
51479961217273.85
18635787539182975881.92
1616201851218297.69
10191295923442.31
13097251258491013651.92
192032052222405.77
157093781136684131.92
921077915664151874695.77
Association between MLST and serotyping

Among the 52 Salmonella samples, each Salmonella serotype corresponded to ≥ one MLST type. The most common serotype and ST type were S. Typhimurium (33/52) and ST34 (22/52), respectively. These two types are the most prevalent in the South of China. The three other predominant types were S. Enteritideis, S. Stanley and S. Rigel, accounting for ~80.77% in total. In the aforementioned serotypes, four strains of ST11, nine strains of ST19, two strains of ST27, four strains of ST29, 21 strains of ST34 and two strains of ST40 were identified, where ST34 was the most abundant ST within the S. Typhimurium subtype (63.63%), whereas ST11 was the most abundant ST of S. Enteritidis (80%; Table IV).

Table IV

Salmonella ST type corresponding to each serotype in 52 samples.

Table IV

Salmonella ST type corresponding to each serotype in 52 samples.

SerotypesST types (number of strains)
SalmonellaST19(9), ST29(2), ST34(21), ST40(1)
Typhimurium 
SalmonellaST11(4), ST40(1)
Enteritis 
SalmonellaST29(2), ST27(2)
Stanley 
SalmonellaST469(3)
Rigel 
SalmonellaST365(1)
Paratyphi A 
SalmonellaST34(1)
Togo 
SalmonellaST1499(1)
Bisra 
SalmonellaST413(1)
San Juan 
SalmonellaST40(1)
Derby 
SalmonellaST11(1)
Dublin 
SalmonellaST588(1)
Havana 

[i] ST, sequence type.

Analysis of the similarity, variability and evolutionary relationships among different ST types of Salmonella

eBURST is an algorithm that can identifies groups of closely associated sequence types from MLST data (20). It was used to analyze the possible similarity, variability and evolutionary relationships among different ST types of Salmonella in the present study. The genetic backgrounds were found to be diverse among the STs identified in the present study. In total, 11 STs belonged to 10 different eBURST groups (eBGs). Further analysis also indicated that ST19 and ST34 are part of the same composite group (eBG1) sharing a high genetic relationship (Fig. 2).

Figure 2

eBURST diagram for the STs. eBURST was used to analyze the similarity, variability and evolutionary relationships among the different ST types of Salmonella. The eBURST diagram was generated using the STs of 52 Salmonella samples in the present study. ST19 and ST34 formed a composite group (eBG1) with a high genetic relationship. ST, Sequence type; eBG, eBURST group.

Association between class I integrons and anti-bacterial resistance and anti-microbial resistance profile

Among the 52 Salmonella strains, 20 harbored class I integrase, where the detection rate was 38.46% (20/52). However, none of the 52 strains harbored class II or III integrons (Fig. 3A and B). The resistance rates of strains harboring class I integrons toward ampicillin, ampicillin/sulbactam, chloramphenicol and moxifloxacin were found to be significantly higher compared with those of class I intergroup-negative strains (P<0.05). Neither class I integron-positive nor class I integron-negative strains were resistant to amoxicillin/clavulanate, meropenem, piperacillin/tazobactam or imipenem. The resistance rates of class I integron-positive strains to aztreonam, piperacillin, cefepime and cefotaxime were increased compared with those of class I integron-negative strains, but no significance were found (Table V).

Figure 3

PCR for integrin and multi-locus sequence typing. (A and B) In total, 20 strains harboring the class I integrase gene following PCR. (A) Lane 2-15 and (B) lane 3-8 represent class I integron-positive samples. Lane 1 in (A) and lanes 1 and 2 in (B) represent positive controls (Klebsiella pneumonia gDNA as template). Lane 16 in (A) and lane 9 in (B) are negative controls (E. coli ATCC 25922 gDNA as template). Lane 10 in (B) is a blank control. (C) Variable regions in nine strains revealed through PCR analysis. Lanes 1 and 2 represent positive controls (Klebsiella pneumonia gDNA as template), Lanes 4-7 represent variable region-positive samples. Lane 3 represent negative control (E. coli ATCC 25922 gDNA as template). Lane 8 represents blank control.

Table V

Drug resistance phenotypes between 52 Salmonella profile I integron-positive and -negative strains.

Table V

Drug resistance phenotypes between 52 Salmonella profile I integron-positive and -negative strains.

 Profile Ⅰ integron positive strains (n=20)Profile Ⅰ integron negative strains (n=32) 
AntibioticDRR (%)DRR (%)IR (%)SR (%)DRR (%)IR (%)SR (%) P-valuea
Amoxicillin/Clavulanate0.00.013.386.70.00.0100.0-
Ampicillin51.975.00.025.037.50.062.5<0.05
Ampicillin/Sulbactam19.240.035.025.06.2528.165.6<0.05
Aztreonam13.515.00.085.012.50.088.5>0.05
Chloramphenicol34.670.00.030.012.53.184.4<0.05
Meropenem0.00.00.0100.00.00.0100.0-
Moxifloxacin3.810.030.060.00.09.490.6<0.05
Piperacillin48.165.010.025.037.53.159.4<0.05
Piperacillin/Tazobactam0.00.00.0100.00.00.0100.0-
Cefepime14.020.00.080.010.70.089.3<0.05
Cefotaxime17.325.00.075.012.50.087.5<0.05
Imipenem0.00.05.095.00.012.587.5-

[i] aχ2 test. DRR, Drug resistance rate; IR, Intermediary rate; SR, sensitivity rate.

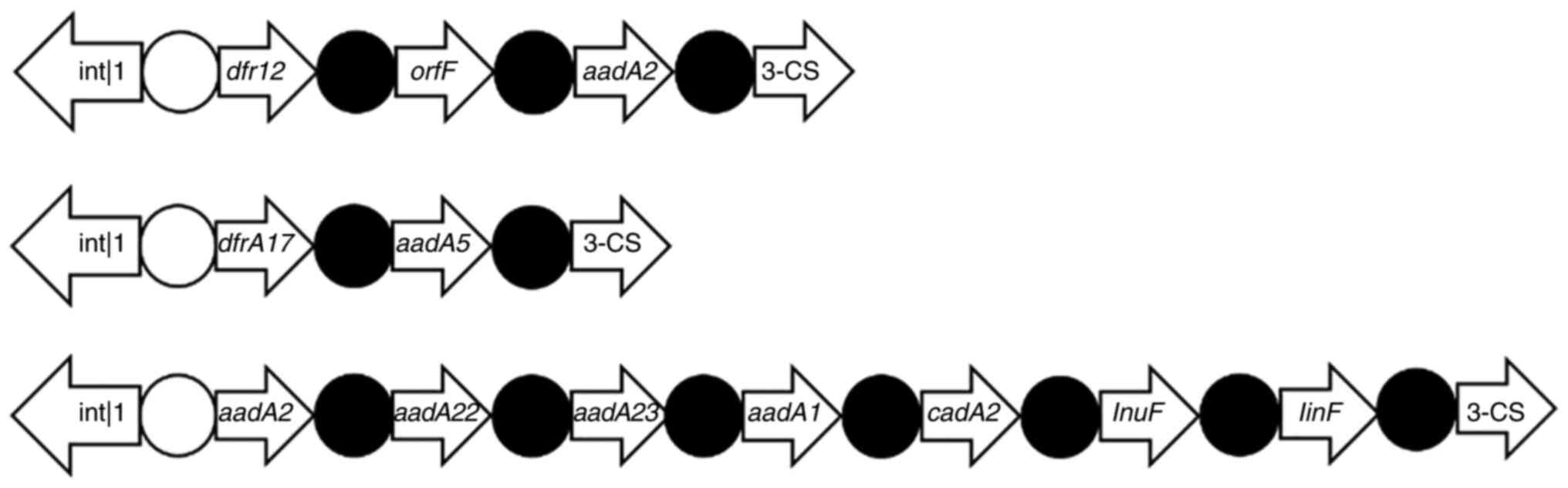
Drug resistance gene cassette distribution of class I integron-positive strains

A total of three class I integrin-positive strains and one class I integron-negative strain (four strains in total) were sent for genome sequencing (Fig. 3C), where 12 drug resistance gene cassettes were detected (Table VI; Fig. 4). The actual drug resistance genes of the successfully sequenced strains and the variable regions in the gene cassette are summarized in Fig. 4. The integrated substructure is presented in Fig. 4. The drug resistance rates of Salmonella class I integrin-positive strains against ampicillin, ampicillin/sulbactam, chloramphenicol, moxifloxacin, piperacillin, cefepime and cefotaxime were significantly higher than those of the negative strains (P<0.05), indicating that the mechanism underlying the acquisition of drug resistance in Salmonella was closely related with the presence of class I integrons (Table V). However, the resistance rates of class I integron-negative Salmonella strains to aztreonam, moxifloxacin were similar to class I integrin-positive strains (Table V), indicating that multidrug resistance among Salmonella strains is not only associated with class I integrons but also with other drug resistance mechanisms which needs further investigation.

Figure 4

Integrated substructures of the integrons in the present study. Among the 52 Salmonella strains, 20 harbored class I integrases, where the detection rate was 38.46% (20/52), but none of the 52 strains harbored class II or class III integrons. White circle, integration site attI; black circle, integration site attC. CS, conserved sequences; Dfr, dihydrofolate reductase; Orf, open reading frame; aad, aminoglycoside-adenylyltransferase; int, integrase; cadA2, cadmium-translocating P-type ATPase 2; InuF, lincosamide.

Table VI

Comparison between drug resistance phenotypes and variable region gene boxes.

Table VI

Comparison between drug resistance phenotypes and variable region gene boxes.

Sample numberResistance phenotypeaSize of the variable area (bp)Combination of the variable region gene box
19b, d, e, f2800dfrA12, orfF and aadA2
35b, d, e, h2600dfrA17 and aadA5
41b, d, e, g, h3000aadA2, aadA22, aadA23 aadA1, cadA2 and lnuF, linF

[i] aDivided into nine categories: Class a is carbocylase dilutes, including imipenem and meropenem (MEM); class b is aminoglycosides, such as gentamicin and amikacin; class c is quinolones, such as ciprofloxacin, levofloxacin and ciprofloxacin; class d is cephalosporins, including cefazoxime, ceftazidime, cefotaxime and cefepime; class e is a broad-spectrum penicillin, such as ampicillin/sulbactam, piperacillin/tazobactam, ampicillin and piperacillin; class f is β-lactam, including aztreonam and amoxicillin/clavicularulanic acid; class g is sulfonamides, such as compound neomin (SXT); class h represents tetracyclines; and class i represents amides and alcohols, including chloramphenicol. Dfr, dihydrofolate reductase; Orf, open reading frame; aad, aminoglycoside-adenylyltransferase; cadA2, cadmium-translocating P-type ATPase 2; InuF, lincosamide.

Discussion

Salmonella is a highly versatile pathogen that can infect a wide range of hosts and cause different clinical manifestations (22). To date, >2,600 Salmonella serotypes have been reported worldwide, of which 292 different serotypes belonging to 35 different somatic (O) groups have been reported in China (23). Salmonella infections in children with diarrhea in Guangdong have been reported to be mainly caused by S. Typhimurium, S. Enteritis and S. Stanley, which belong to five separate O groups (24). However, human infections caused by non-typhoid Salmonella are becoming a global public sanitation problem, leading to ~93.8 million cases of gastroenteritis and 155,000 deaths every year (25).

In recent years, non-typhoid Salmonella is emerging as one of the main pathogens in infants in China, causing diarrhea, fever and abdominal pain (26-29). Children have immature immune systems and weak gastrointestinal systems that are particularly susceptible to Salmonella (30). In the present study, all Salmonella strains were collected from the fecal specimens of children with diarrhea. S. Typhimurium was found to be the most common serotype in the present study, with a detection rate of 63.46% (33/52), followed by S. Enteritis and S. Stanley, with detection rates of 9.62 and 7.69%, respectively.

Quinolones and third-generation cephalosporins are currently the first-line therapeutic options for the treatment of non-typhoid Salmonella infections (31). Due to the limitations of drug administration to children, quinolones and aminoglycosides are restricted in use (32). Therefore, third-generation cephalosporin is the priority method for the treatment of children with Salmonella infections (33). In the present study, drug sensitivity results showed that the resistance rate of non-typhoid Salmonella strains was as high as 51.9% to ampicillin, >48.1% to piperacillin and certainly >17.3% to cefotaxime. These resistance rates are similar to those reported by a previous study (34). The isolated Salmonella strains had drug resistance to 3rd- or 4th-generation cephalosporins. However, amoxicillin/clavulanic acid-, piperacillin/tazobactam-, imipenem- and meropenem-resistant strains could not be detected in the present study. The treatment of infectious diarrhea should be combined with drug sensitivity testing to avoid the risk of multiple drug resistance strains arising due to the overuse of clinical antibiotics.

Integrons are important genetic factors in the capture, integration and expression of drug resistance genes and are particularly abundant in Gram-negative bacteria (35,36). Integrons can carry ≥ one drug resistance gene cassettes, which is an important mechanism of the horizontal transmission of drug resistance genes (37-39). In the present study, class I, II and III integrons and variable regions were sequenced and analyzed in the 52 non-typhoid Salmonella strains. In total, 20 strains harbored class I integrons with a positive rate of 38.46%, compared with the 57.0% reported by a previous study (40). The prevalence of integrons found in Salmonella varies from country to country and depends on the origin of the isolates (41). There have been several reports associating the prevalence of Class I integrons in Salmonella isolates from different places in China. Lu et al (42) reported that 66.5% class I integrons in Salmonella enterica serovar Indiana (87.2%) and Enteritidis (50.8%) were isolated from chicken samples in Eastern China. In addition, class I integrons were detected in 26.9% of the broiler chicken in Shandong, China (43), whilst 34.7% class I integron-positive Salmonella were isolated in duck farms and in a slaughterhouse in Shandong province, China (44). However, another previous study reported only 16.9% positivity in terms of class I integrons in Salmonella isolated from farm animals in Shandong province, China (45). Zhang et al (46) also reported that 17.4% Salmonella isolated from healthy humans were positive for class I integrons in Guangdong in China.

In the present study, 12 types of drug resistance gene cassettes were detected, namely dfrA12, orfF, aadA2, drfA17, aadA5, aadA2, aadA22, aadA23, aadA1, cadA2, InuF and linF. However, Class II and III integrons could not be detected in the present study. The class I integron-positive strain antibiotic resistance rate was found to be significantly higher compared with that of the integron-negative strains, except for sensitivity to amoxicillin/clavulanic acid, piperacillin/tazobactam and imipenem, according to the drug susceptibility analysis. These results suggest that integron gene-positive strains are associated with significant multidrug resistance, consistent with previous reports (47,48). Class I integrons greatly increase the risk of horizontal drug resistance gene transmission due to their mobile and integration features (49). The cautious use of antimicrobial agents is essential for preventing the emergence and spread of drug-resistant strains of bacteria (50). The integron-positive and antibiotic-resistant genes found in the Salmonella isolates in the present study may contribute to the control and therapy of Salmonella infection. However, further studies are necessary to determine the significance of class I integron in the distribution of antibiotic resistance.

MLST is a high-resolution typing technique first proposed by Maiden et al (12) in 1998, which was developed based on the technique of multi-site enzyme electrophoresis. Harbottle et al (51) then used PFGE and MLST to type 81 strains of Salmonella enteritis, indicating that MLST was a suitable technique for the typing of the different Salmonella serotypes. Although MLST has advantages that can potentially replace and supplement serotyping, the principle of MLST is different from that of serotype detection. The combination of MLST and serotype detection can facilitate research on the hereditary and evolutionary relationships of Salmonella. The most common Salmonella sequence types were found to be ST19 and ST34 in the present study, where the corresponding serotype was S. Typhimurium. This is consistent with findings from a previous report, where the most prevalent Salmonella subtypes found were ST34 and ST19 in the Guangdong province in 2007-2011(52). Observations from the present study therefore provided important evidence and confirmed further that these two types of Salmonella can serve an important role in pediatric diarrhea in Guangdong, China. Since the drug resistance characteristics of predominant Salmonella ST and genetic drift between various Salmonella ST could guide the clinical antibiotic treatment of Salmonella infection and epidemics, the present study may lay a foundation for a therapeutic strategy for pediatric diarrhea caused by Salmonella infection in the future.

The characteristics of Salmonella infection differ depending on the region. S. paratyphoid A tended to dominate in Yunnan from 1995 to 2013, where the dominant sequence types were ST85 and ST129(53). By contrast, the prevalent sequence types were found to be ST11 and ST34 in Nanjing in 2014-2015(54). In the present study, ST34 corresponded to S. Typhimurium and S. Togo, while ST29 corresponded to S. Stanley and S. Typhimurium. In addition, although ST34 and ST29 were two different sequence types, they both belong to the serotype group B (13), suggesting that these strains may have been subjected to convergent evolution and are variations of the same strain. According to eBURST cluster analysis, ST19 and ST34 were highly associated, with only one pair of housekeeping genes that were different. Among the housekeeping genes, thrA comprised the largest number of alleles in the seven groups of the ST types of 52 Salmonella strains. By contrast, the least common was sucA, suggesting that sucA was the most stable.

The present study suggests that multi-drug resistance is closely associated with the presence of class I integrons in isolated Salmonella strain. the isolated Salmonella strains are particular resistant to ampicillin (51.9%), chloramphenicol (34.6%) and piperacillin (48.1%). This is consistent with results from a previous study conducted in Guangdong, China (52). This finding may facilitate the design of Salmonella antibiotics for clinical practice. In particular, since class I integrons appear to serve an important role in the acquisition of drug resistance, they warrant immediate attention. Furthermore, the present data show that MLST can be used for clinical Salmonella genotyping. Due to the rapid emergence of multi-drug resistance in Salmonella, further studies are required to investigate the mechanism underlying bacterial drug resistance, strictly monitor susceptible factors, control bacterial drug resistance, strengthen disinfection and isolation methods in clinical practice.

However, the present study remains associated with a number of limitations. The number of cases examined in the present study is small. In addition, the characterization of multi-drug resistance was not performed, where the mechanism of antibiotic resistance, virulence and transfer of resistance genes were evaluated in the present study. The sensitivity and specificity of the results of genotyping analysis of Salmonella MLST were also not considered.

To conclude, Salmonella infection in children with diarrhea was mainly caused by S. Typhimurium, where the most prominent sequence types were ST34 and ST19. The class I integrons found were closely associated with Salmonella drug resistance. Deepening the research into integrons is expected to serve an important role in understanding the occurrence and transmission mechanism of Salmonella drug resistance. Particular attention should be given to the 3rd- and 4th-generation cephalosporin resistance of Salmonella.

Acknowledgements

Not applicable.

Funding

Funding: The present study was supported by grants from the Natural Science Foundation of China (grant no. 31770183) and the Medical Science Technology Research Foundation of Guangdong (grant no. A2015226), Guangdong Provincial Bureau of Traditional Chinese Medicine (grant no. 20201407) and Qingyuan People's Hospital Medical Scientific Research Fund Project (grant no. 20190209).

Availability of data and materials

The datasets used and/or analyzed during the present study are available from the corresponding author on reasonable request.

Authors' contributions

LX and QH performed the molecular genetic studies and participated in the sequence alignment. YT and WW performed species identification. LC and YL performed the antibiotics susceptibility tests. YT and WW performed the PCR. CY and BF conceived the study and participated in its design and coordination. LX and BF confirm the authenticity of all the raw data. All authors read and approved the final manuscript.

Ethics approval and consent to participate

The present study was approved by the Medical Ethics Committee of Qingyuan People's Hospital (Qingyuan, China). Written informed consent was obtained from each participant's legal guardian.

Patient consent for publication

Not applicable.

Competing interests

The authors declare that they have no competing interests.

References

1 

El-Tayeb MA, Ibrahim ASS, Al-Salamah AA, Almaary KS and Elbadawi YB: Prevalence, serotyping and antimicrobials resistance mechanism of Salmonella enterica isolated from clinical and environmental samples in Saudi Arabia. Braz J Microbiol. 48:499–508. 2017.PubMed/NCBI View Article : Google Scholar

2 

Chen HM, Wang Y, Su LH and Chiu CH: Nontyphoid salmonella infection: Microbiology, clinical features, and antimicrobial therapy. Pediatr Neonatol. 54:147–152. 2013.PubMed/NCBI View Article : Google Scholar

3 

Jajere SM: A review of Salmonella enterica with particular focus on the pathogenicity and virulence factors, host specificity and antimicrobial resistance including multidrug resistance. Vet World. 12:504–521. 2019.PubMed/NCBI View Article : Google Scholar

4 

Jackson BR, Griffin PM, Cole D, Walsh KA and Chai SJ: Outbreak-associated Salmonella enterica serotypes and food Commodities, United States, 1998-2008. Emerg Infect Dis. 19:1239–1244. 2013.PubMed/NCBI View Article : Google Scholar

5 

Guo L and Zhao Y: Global spread and molecular characterization of CTX-M-producing salmonella typhimurium isolates. Antibiotics (Basel). 10(1417)2021.PubMed/NCBI View Article : Google Scholar

6 

Darini AL, Magalhaes VD, Levy CL, Barth AL and Coscina AL: Phenotyping and genotyping methods applied to investigate the relatedness of Brazilian isolates of Enterobacter cloacae. Braz J Med Biol Res. 32:1077–1081. 1999.PubMed/NCBI View Article : Google Scholar

7 

Yan S, Zhang W, Li C, Liu X, Zhu L, Chen L and Yang B: Serotyping, MLST, and Core Genome MLST Analysis of salmonella enterica from different sources in China During 2004-2019. Front Microbiol. 12(688614)2021.PubMed/NCBI View Article : Google Scholar

8 

Ferrari RG, Panzenhagen PHN and Conte-Junior CA: Phenotypic and genotypic eligible methods for salmonella typhimurium source tracking. Front Microbiol. 8(2587)2017.PubMed/NCBI View Article : Google Scholar

9 

Edwards PR and Kauffmann F: A simplification of the Kauffmann-White schema. Am J Clin Pathol. 22:692–697. 1952.PubMed/NCBI View Article : Google Scholar

10 

Ziebell K, Chui L, King R, Johnson S, Boerlin P and Johnson RP: Subtyping of Canadian isolates of salmonella enteritidis using multiple locus variable number tandem repeat analysis (MLVA) alone and in combination with pulsed-field gel electrophoresis (PFGE) and phage typing. J Microbiol Meth. 139:29–36. 2017.PubMed/NCBI View Article : Google Scholar

11 

Kotetishvili M, Stine OC, Kreger A, Morris JG Jr and Sulakvelidze A: Multilocus sequence typing for characterization of clinical and environmental salmonella strains. J Clin Microbiol. 40:1626–1635. 2002.PubMed/NCBI View Article : Google Scholar

12 

Maiden MC, Bygraves JA, Feil E, Morelli G, Russell JE, Urwin R, Zhang Q, Zhou J, Zurth K, Caugant DA, et al: Multilocus sequence typing: A portable approach to the identification of clones within populations of pathogenic microorganisms. Proc Natl Acad Sci USA. 95:3140–3145. 1998.PubMed/NCBI View Article : Google Scholar

13 

Achtman M, Wain J, Weill FX, Nair S, Zhou Z, Sangal V, Krauland MG, Hale JL, Harbottle H, Uesbeck A, et al: Multilocus sequence typing as a replacement for serotyping in Salmonella enterica. PLoS Pathog. 8(e1002776)2012.PubMed/NCBI View Article : Google Scholar

14 

Kidgell C, Reichard U, Wain J, Linz B, Torpdahl M, Dougan G and Achtman M: Salmonella typhi, the causative agent of typhoid fever, is approximately 50,000 years old. Infect Genet Evol. 2:39–45. 2002.PubMed/NCBI View Article : Google Scholar

15 

Gugala N, Vu D, Parkins MD and Turner RJ: Specificity in the susceptibilities of escherichia coli, pseudomonas aeruginosa and staphylococcus aureus clinical isolates to six metal antimicrobials. Antibiotics (Basel). 8(51)2019.PubMed/NCBI View Article : Google Scholar

16 

Firoozeh F, Mahluji Z, Khorshidi A and Zibaei M: Molecular characterization of class 1, 2 and 3 integrons in clinical multi-drug resistant Klebsiella pneumoniae isolates. Antimicrob Resist Infect Control. 8(59)2019.PubMed/NCBI View Article : Google Scholar

17 

Cui M, Zhang J, Gu Z, Li R, Chan EW, Yan M, Wu C, Xu X and Chen S: Prevalence and molecular characterization of mcr-1-positive Salmonella strains recovered from clinical Specimens in China. Antimicrob Agents Chemother. 61:e02471–16. 2017.PubMed/NCBI View Article : Google Scholar

18 

Bell RL, Gonzalez-Escalona N, Stones R and Brown EW: Phylogenetic evaluation of the ‘Typhimurium’ complex of Salmonella strains using a seven-gene multi-locus sequence analysis. Infect Genet Evol. 11:83–91. 2011.PubMed/NCBI View Article : Google Scholar

19 

Machado E, Canton R, Baquero F, Galán JC, Rollán A, Peixe L and Coque TM: Integron content of extended-spectrum-beta-lactamase-producing Escherichia coli strains over 12 years in a single hospital in Madrid, Spain. Antimicrob Agents Chemother. 49:1823–1829. 2005.PubMed/NCBI View Article : Google Scholar

20 

Feil EJ, Li BC, Aanensen DM, Hanage WP and Spratt BG: eBURST: Inferring patterns of evolutionary descent among clusters of related bacterial genotypes from multilocus sequence typing data. J Bacteriol. 186:1518–1530. 2004.PubMed/NCBI View Article : Google Scholar

21 

Spratt BG, Hanage WP, Li B, Aanensen DM and Feil EJ: Displaying the relatedness among isolates of bacterial species-the eBURST approach. FEMS Microbiol Lett. 241:129–134. 2004.PubMed/NCBI View Article : Google Scholar

22 

Uzzau S, Brown DJ, Wallis T, Rubino S, Leori G, Bernard S, Casadesús J, Platt DJ and Olsen JE: Host adapted serotypes of Salmonella enterica. Epidemiol Infect. 125:229–255. 2000.PubMed/NCBI View Article : Google Scholar

23 

Kuang X, Hao H, Dai M, Wang Y, Ahmad I, Liu Z and Zonghui Y: Serotypes and antimicrobial susceptibility of Salmonella spp. isolated from farm animals in China. Front Microbiol. 6(602)2015.PubMed/NCBI View Article : Google Scholar

24 

Li WW, Bai L, Zhang XL, Qiao X, Yang XR, Chen YZ, Pei XY, Wu YN and Guo YC: Prevalence and antibiogram distribution of Salmonella isolated from broiler production and processing course in four provinces, China. Zhonghua Yu Fang Yi Xue Za Zhi. 47:435–438. 2013.PubMed/NCBI(In Chinese).

25 

Majowicz SE, Musto J, Scallan E, Angulo FJ, Kirk M, O'Brien SJ, Jones TF, Fazil A and Hoekstra RM: International Collaboration on Enteric Disease ‘Burden of Illness’ Studies. The global burden of nontyphoidal Salmonella gastroenteritis. Clin Infect Dis. 50:882–889. 2010.PubMed/NCBI View Article : Google Scholar

26 

Wu LJ, Luo Y, Shi GL and Li ZY: Prevalence, clinical characteristics and changes of antibiotic resistance in children with nontyphoidal Salmonella infections from 2009-2018 in Chongqing, China. Infect Drug Resist. 14:1403–1413. 2021.PubMed/NCBI View Article : Google Scholar

27 

Who PY, Yeung MPS, Nelson EAS and Goggins WBI: Risk factors of non-typhoidal Salmonella gastroenteritis in hospitalised young children: A case-control study. BMJ Paediatr Open. 5(e000898)2021.PubMed/NCBI View Article : Google Scholar

28 

Ugboko HU, Nwinyi OC, Oranusi SU and Oyewale JO: Childhood diarrhoeal diseases in developing countries. Heliyon. 6(e03690)2020.PubMed/NCBI View Article : Google Scholar

29 

Gong B, Li H, Feng Y, Zeng S, Zhuo Z, Luo J, Chen X and Li X: Prevalence, serotype distribution and antimicrobial resistance of non-typhoidal Salmonella in hospitalized patients in Conghua District of Guangzhou, China. Front Cell Infect Microbiol. 12(805384)2022.PubMed/NCBI View Article : Google Scholar

30 

Burns-Guydish SM, Olomu IN, Zhao H, Wong RJ, Stevenson DK and Contag CH: Monitoring age-related susceptibility of young mice to oral Salmonella enterica serovar Typhimurium infection using an in vivo murine model. Pediatr Res. 58:153–158. 2005.PubMed/NCBI View Article : Google Scholar

31 

Angarone M and Snydman DR: AST ID Community of Practice. Diagnosis and management of diarrhea in solid-organ transplant recipients: Guidelines from the American Society of Transplantation Infectious Diseases Community of Practice. Clin Transplant. 33(e13550)2019.PubMed/NCBI View Article : Google Scholar

32 

Patel K and Goldman JL: Safety concerns surrounding quinolone use in children. J Clin Pharmacol. 56:1060–1075. 2016.PubMed/NCBI View Article : Google Scholar

33 

Al Kraiem AA, Yang G, Al Kraiem F and Chen T: Challenges associated with ceftriaxone resistance in Salmonella. Front Life Sci. 11:26–34. 2018.

34 

Song Q, Xu Z, Gao H and Zhang D: Overview of the development of quinolone resistance in Salmonella species in China, 2005-2016. Infect Drug Resist. 11:267–274. 2018.PubMed/NCBI View Article : Google Scholar

35 

Hall RM, Brookes DE and Stokes HW: Site-specific insertion of genes into integrons: Role of the 59-base element and determination of the recombination cross-over point. Mol Microbiol. 5:1941–1959. 1991.PubMed/NCBI View Article : Google Scholar

36 

Stokes HW and Hall RM: A novel family of potentially mobile DNA elements encoding site-specific gene-integration functions: Integrons. Mol Microbiol. 3:1669–1683. 1989.PubMed/NCBI View Article : Google Scholar

37 

Cornaglia G, Giamarellou H and Rossolini GM: Metallo-β-lactamases: A last frontier for β-lactams? Lancet Infect Dis. 11:381–393. 2011.PubMed/NCBI View Article : Google Scholar

38 

Fluit AC and Schmitz FJ: Resistance integrons and super-integrons. Clin Microbiol Infect. 10:272–288. 2004.PubMed/NCBI View Article : Google Scholar

39 

Liu CC, Tang CY, Chang KC, Kuo HY and Liou ML: A comparative study of class 1 integrons in Acinetobacter baumannii. Gene. 544:75–82. 2014.PubMed/NCBI View Article : Google Scholar

40 

Wu K, Wang F, Sun J, Wang Q, Chen Q, Yu S and Rui Y: Class 1 integron gene cassettes in multidrug-resistant Gram-negative bacteria in southern China. Int J Antimicrob Agents. 40:264–267. 2012.PubMed/NCBI View Article : Google Scholar

41 

Vo AT, van Duijkeren E, Gaastra W and Fluit AC: Antimicrobial resistance, class 1 integrons, and genomic island 1 in Salmonella isolates from Vietnam. PLoS One. 5(e9440)2010.PubMed/NCBI View Article : Google Scholar

42 

Lu Y, Zhao H, Sun J, Liu Y, Zhou X, Beier RC, Wu G and Hou X: Characterization of multidrug-resistant Salmonella enterica serovars Indiana and Enteritidis from chickens in Eastern China. PLoS One. 9(e96050)2014.PubMed/NCBI View Article : Google Scholar

43 

Zhao X, Hu M, Zhang Q, Zhao C, Zhang Y, Li L, Qi J, Luo Y, Zhou D and Liu Y: Characterization of integrons and antimicrobial resistance in Salmonella from broilers in Shandong, China. Poult Sci. 99:7046–7054. 2020.PubMed/NCBI View Article : Google Scholar

44 

Yang J, Ju Z, Yang Y, Zhao X, Jiang Z and Sun S: Serotype, antimicrobial susceptibility and genotype profiles of Salmonella isolated from duck farms and a slaughterhouse in Shandong province, China. BMC Microbiol. 19(202)2019.PubMed/NCBI View Article : Google Scholar

45 

Zhao X, Yang J, Zhang B, Sun S and Chang W: Characterization of integrons and resistance genes in Salmonella isolates from farm animals in Shandong province, China. Front Microbiol. 8(1300)2017.PubMed/NCBI View Article : Google Scholar

46 

Zhang H, Shi L, Li L, Guo S, Zhang X, Yamasaki S, Miyoshi S and Shinoda S: Identification and characterization of class 1 integron resistance gene cassettes among Salmonella strains isolated from healthy humans in China. Microbiol Immunol. 48:639–645. 2004.PubMed/NCBI View Article : Google Scholar

47 

Bagheri-Nesami M, Rezai MS, Ahangarkani F, Rafiei A, Nikkhah A, Eslami G, Shafahi K, Hajalibeig A and Khajavi R: Multidrug and co-resistance patterns of non-fermenting Gram-negative bacilli involved in ventilator-associated pneumonia carrying class 1 integron in the North of Iran. Germs. 7:123–131. 2017.PubMed/NCBI View Article : Google Scholar

48 

Gu B, Tong M and Zhao W, Liu G, Ning M, Pan S and Zhao W: Prevalence and characterization of class I integrons among Pseudomonas aeruginosa and Acinetobacter baumannii isolates from patients in Nanjing, China. J Clin Microbiol. 45:241–243. 2007.PubMed/NCBI View Article : Google Scholar

49 

Deng Y, Bao XR, Ji L, Chen L, Liu J, Miao J, Chen D, Bian H, Li Y and Yu G: Resistance integrons: Class 1, 2 and 3 integrons. Ann Clin Microbiol Antimicrob. 14(45)2015.PubMed/NCBI View Article : Google Scholar

50 

Prestinaci F, Pezzotti P and Pantosti A: Antimicrobial resistance: A global multifaceted phenomenon. Pathog Glob Health. 109:309–318. 2015.PubMed/NCBI View Article : Google Scholar

51 

Harbottle H, White DG, McDermott PF, Walker RD and Zhao S: Comparison of multilocus sequence typing, pulsed-field gel electrophoresis, and antimicrobial susceptibility typing for characterization of Salmonella enterica serotype Newport isolates. J Clin Microbiol. 44:2449–2457. 2006.PubMed/NCBI View Article : Google Scholar

52 

Sun J, Ke B, Huang Y, He D, Li X, Liang Z and Ke C: The molecular epidemiological characteristics and genetic diversity of salmonella typhimurium in Guangdong, China, 2007-2011. PLoS One. 9(e113145)2014.PubMed/NCBI View Article : Google Scholar

53 

Gu W, Yang Z, Chen Y, Yin J, Yang J, Li C, Zhou Y, Yin J, Xu W, Zhao S, et al: Molecular characteristics of Salmonella enterica Paratyphi A in Yunnan Province, southwest China. Infect Genet Evol. 30:181–185. 2015.PubMed/NCBI View Article : Google Scholar

54 

Xu F, Wang T, Tan H, Li M, Jin Y and Guo H: The multilocus sequence typing and drug resistance characteristics of Salmonella in children with diarrhea. J Clin Pediatr. 36:520–523. 2018.PubMed/NCBI View Article : Google Scholar : (In Chinese).

Related Articles

  • Abstract
  • View
  • Download
  • Twitter
Copy and paste a formatted citation
Spandidos Publications style
Xu L, He Q, Tang Y, Wen W, Chen L, Li Y, Yi C and Fu B: Multi‑locus sequence and drug resistance analysis of <em>Salmonella</em> infection in children with diarrhea in Guangdong to identify the dominant ST and cause of antibiotic‑resistance. Exp Ther Med 24: 678, 2022.
APA
Xu, L., He, Q., Tang, Y., Wen, W., Chen, L., Li, Y. ... Fu, B. (2022). Multi‑locus sequence and drug resistance analysis of <em>Salmonella</em> infection in children with diarrhea in Guangdong to identify the dominant ST and cause of antibiotic‑resistance. Experimental and Therapeutic Medicine, 24, 678. https://doi.org/10.3892/etm.2022.11614
MLA
Xu, L., He, Q., Tang, Y., Wen, W., Chen, L., Li, Y., Yi, C., Fu, B."Multi‑locus sequence and drug resistance analysis of <em>Salmonella</em> infection in children with diarrhea in Guangdong to identify the dominant ST and cause of antibiotic‑resistance". Experimental and Therapeutic Medicine 24.5 (2022): 678.
Chicago
Xu, L., He, Q., Tang, Y., Wen, W., Chen, L., Li, Y., Yi, C., Fu, B."Multi‑locus sequence and drug resistance analysis of <em>Salmonella</em> infection in children with diarrhea in Guangdong to identify the dominant ST and cause of antibiotic‑resistance". Experimental and Therapeutic Medicine 24, no. 5 (2022): 678. https://doi.org/10.3892/etm.2022.11614
Copy and paste a formatted citation
x
Spandidos Publications style
Xu L, He Q, Tang Y, Wen W, Chen L, Li Y, Yi C and Fu B: Multi‑locus sequence and drug resistance analysis of <em>Salmonella</em> infection in children with diarrhea in Guangdong to identify the dominant ST and cause of antibiotic‑resistance. Exp Ther Med 24: 678, 2022.
APA
Xu, L., He, Q., Tang, Y., Wen, W., Chen, L., Li, Y. ... Fu, B. (2022). Multi‑locus sequence and drug resistance analysis of <em>Salmonella</em> infection in children with diarrhea in Guangdong to identify the dominant ST and cause of antibiotic‑resistance. Experimental and Therapeutic Medicine, 24, 678. https://doi.org/10.3892/etm.2022.11614
MLA
Xu, L., He, Q., Tang, Y., Wen, W., Chen, L., Li, Y., Yi, C., Fu, B."Multi‑locus sequence and drug resistance analysis of <em>Salmonella</em> infection in children with diarrhea in Guangdong to identify the dominant ST and cause of antibiotic‑resistance". Experimental and Therapeutic Medicine 24.5 (2022): 678.
Chicago
Xu, L., He, Q., Tang, Y., Wen, W., Chen, L., Li, Y., Yi, C., Fu, B."Multi‑locus sequence and drug resistance analysis of <em>Salmonella</em> infection in children with diarrhea in Guangdong to identify the dominant ST and cause of antibiotic‑resistance". Experimental and Therapeutic Medicine 24, no. 5 (2022): 678. https://doi.org/10.3892/etm.2022.11614
Follow us
  • Twitter
  • LinkedIn
  • Facebook
About
  • Spandidos Publications
  • Careers
  • Cookie Policy
  • Privacy Policy
How can we help?
  • Help
  • Live Chat
  • Contact
  • Email to our Support Team