Spandidos Publications Logo
  • About
    • About Spandidos
    • Aims and Scopes
    • Abstracting and Indexing
    • Editorial Policies
    • Reprints and Permissions
    • Job Opportunities
    • Terms and Conditions
    • Contact
  • Journals
    • All Journals
    • Oncology Letters
      • Oncology Letters
      • Information for Authors
      • Editorial Policies
      • Editorial Board
      • Aims and Scope
      • Abstracting and Indexing
      • Bibliographic Information
      • Archive
    • International Journal of Oncology
      • International Journal of Oncology
      • Information for Authors
      • Editorial Policies
      • Editorial Board
      • Aims and Scope
      • Abstracting and Indexing
      • Bibliographic Information
      • Archive
    • Molecular and Clinical Oncology
      • Molecular and Clinical Oncology
      • Information for Authors
      • Editorial Policies
      • Editorial Board
      • Aims and Scope
      • Abstracting and Indexing
      • Bibliographic Information
      • Archive
    • Experimental and Therapeutic Medicine
      • Experimental and Therapeutic Medicine
      • Information for Authors
      • Editorial Policies
      • Editorial Board
      • Aims and Scope
      • Abstracting and Indexing
      • Bibliographic Information
      • Archive
    • International Journal of Molecular Medicine
      • International Journal of Molecular Medicine
      • Information for Authors
      • Editorial Policies
      • Editorial Board
      • Aims and Scope
      • Abstracting and Indexing
      • Bibliographic Information
      • Archive
    • Biomedical Reports
      • Biomedical Reports
      • Information for Authors
      • Editorial Policies
      • Editorial Board
      • Aims and Scope
      • Abstracting and Indexing
      • Bibliographic Information
      • Archive
    • Oncology Reports
      • Oncology Reports
      • Information for Authors
      • Editorial Policies
      • Editorial Board
      • Aims and Scope
      • Abstracting and Indexing
      • Bibliographic Information
      • Archive
    • Molecular Medicine Reports
      • Molecular Medicine Reports
      • Information for Authors
      • Editorial Policies
      • Editorial Board
      • Aims and Scope
      • Abstracting and Indexing
      • Bibliographic Information
      • Archive
    • World Academy of Sciences Journal
      • World Academy of Sciences Journal
      • Information for Authors
      • Editorial Policies
      • Editorial Board
      • Aims and Scope
      • Abstracting and Indexing
      • Bibliographic Information
      • Archive
    • International Journal of Functional Nutrition
      • International Journal of Functional Nutrition
      • Information for Authors
      • Editorial Policies
      • Editorial Board
      • Aims and Scope
      • Abstracting and Indexing
      • Bibliographic Information
      • Archive
    • International Journal of Epigenetics
      • International Journal of Epigenetics
      • Information for Authors
      • Editorial Policies
      • Editorial Board
      • Aims and Scope
      • Abstracting and Indexing
      • Bibliographic Information
      • Archive
    • Medicine International
      • Medicine International
      • Information for Authors
      • Editorial Policies
      • Editorial Board
      • Aims and Scope
      • Abstracting and Indexing
      • Bibliographic Information
      • Archive
  • Articles
  • Information
    • Information for Authors
    • Information for Reviewers
    • Information for Librarians
    • Information for Advertisers
    • Conferences
  • Language Editing
Spandidos Publications Logo
  • About
    • About Spandidos
    • Aims and Scopes
    • Abstracting and Indexing
    • Editorial Policies
    • Reprints and Permissions
    • Job Opportunities
    • Terms and Conditions
    • Contact
  • Journals
    • All Journals
    • Biomedical Reports
      • Information for Authors
      • Editorial Policies
      • Editorial Board
      • Aims and Scope
      • Abstracting and Indexing
      • Bibliographic Information
      • Archive
    • Experimental and Therapeutic Medicine
      • Information for Authors
      • Editorial Policies
      • Editorial Board
      • Aims and Scope
      • Abstracting and Indexing
      • Bibliographic Information
      • Archive
    • International Journal of Epigenetics
      • Information for Authors
      • Editorial Policies
      • Editorial Board
      • Aims and Scope
      • Abstracting and Indexing
      • Bibliographic Information
      • Archive
    • International Journal of Functional Nutrition
      • Information for Authors
      • Editorial Policies
      • Editorial Board
      • Aims and Scope
      • Abstracting and Indexing
      • Bibliographic Information
      • Archive
    • International Journal of Molecular Medicine
      • Information for Authors
      • Editorial Policies
      • Editorial Board
      • Aims and Scope
      • Abstracting and Indexing
      • Bibliographic Information
      • Archive
    • International Journal of Oncology
      • Information for Authors
      • Editorial Policies
      • Editorial Board
      • Aims and Scope
      • Abstracting and Indexing
      • Bibliographic Information
      • Archive
    • Medicine International
      • Information for Authors
      • Editorial Policies
      • Editorial Board
      • Aims and Scope
      • Abstracting and Indexing
      • Bibliographic Information
      • Archive
    • Molecular and Clinical Oncology
      • Information for Authors
      • Editorial Policies
      • Editorial Board
      • Aims and Scope
      • Abstracting and Indexing
      • Bibliographic Information
      • Archive
    • Molecular Medicine Reports
      • Information for Authors
      • Editorial Policies
      • Editorial Board
      • Aims and Scope
      • Abstracting and Indexing
      • Bibliographic Information
      • Archive
    • Oncology Letters
      • Information for Authors
      • Editorial Policies
      • Editorial Board
      • Aims and Scope
      • Abstracting and Indexing
      • Bibliographic Information
      • Archive
    • Oncology Reports
      • Information for Authors
      • Editorial Policies
      • Editorial Board
      • Aims and Scope
      • Abstracting and Indexing
      • Bibliographic Information
      • Archive
    • World Academy of Sciences Journal
      • Information for Authors
      • Editorial Policies
      • Editorial Board
      • Aims and Scope
      • Abstracting and Indexing
      • Bibliographic Information
      • Archive
  • Articles
  • Information
    • For Authors
    • For Reviewers
    • For Librarians
    • For Advertisers
    • Conferences
  • Language Editing
Login Register Submit
  • This site uses cookies
  • You can change your cookie settings at any time by following the instructions in our Cookie Policy. To find out more, you may read our Privacy Policy.

    I agree
Search articles by DOI, keyword, author or affiliation
Search
Advanced Search
presentation
Experimental and Therapeutic Medicine
Join Editorial Board Propose a Special Issue
Print ISSN: 1792-0981 Online ISSN: 1792-1015
Journal Cover
June-2023 Volume 25 Issue 6

Full Size Image

Sign up for eToc alerts
Recommend to Library

Journals

International Journal of Molecular Medicine

International Journal of Molecular Medicine

International Journal of Molecular Medicine is an international journal devoted to molecular mechanisms of human disease.

International Journal of Oncology

International Journal of Oncology

International Journal of Oncology is an international journal devoted to oncology research and cancer treatment.

Molecular Medicine Reports

Molecular Medicine Reports

Covers molecular medicine topics such as pharmacology, pathology, genetics, neuroscience, infectious diseases, molecular cardiology, and molecular surgery.

Oncology Reports

Oncology Reports

Oncology Reports is an international journal devoted to fundamental and applied research in Oncology.

Experimental and Therapeutic Medicine

Experimental and Therapeutic Medicine

Experimental and Therapeutic Medicine is an international journal devoted to laboratory and clinical medicine.

Oncology Letters

Oncology Letters

Oncology Letters is an international journal devoted to Experimental and Clinical Oncology.

Biomedical Reports

Biomedical Reports

Explores a wide range of biological and medical fields, including pharmacology, genetics, microbiology, neuroscience, and molecular cardiology.

Molecular and Clinical Oncology

Molecular and Clinical Oncology

International journal addressing all aspects of oncology research, from tumorigenesis and oncogenes to chemotherapy and metastasis.

World Academy of Sciences Journal

World Academy of Sciences Journal

Multidisciplinary open-access journal spanning biochemistry, genetics, neuroscience, environmental health, and synthetic biology.

International Journal of Functional Nutrition

International Journal of Functional Nutrition

Open-access journal combining biochemistry, pharmacology, immunology, and genetics to advance health through functional nutrition.

International Journal of Epigenetics

International Journal of Epigenetics

Publishes open-access research on using epigenetics to advance understanding and treatment of human disease.

Medicine International

Medicine International

An International Open Access Journal Devoted to General Medicine.

Journal Cover
June-2023 Volume 25 Issue 6

Full Size Image

Sign up for eToc alerts
Recommend to Library

  • Article
  • Citations
    • Cite This Article
    • Download Citation
    • Create Citation Alert
    • Remove Citation Alert
    • Cited By
  • Similar Articles
    • Related Articles (in Spandidos Publications)
    • Similar Articles (Google Scholar)
    • Similar Articles (PubMed)
  • Download PDF
  • Download XML
  • View XML
Article Open Access

Changes in the balance of Th17/Treg cells and oxidative stress markers in patients with HIV‑associated pulmonary tuberculosis who develop IRIS

  • Authors:
    • Long Wen
    • Lei Shi
    • Shan-Shan Wan
    • Tao Xu
    • Lei Zhang
    • Zhi-Guo Zhou
  • View Affiliations / Copyright

    Affiliations: Department of Respiratory and Critical Care Medicine, The Affiliated Changsha Hospital of Xiangya School of Medicine, Central South University, The First Hospital of Changsha, Changsha, Hunan 410000, P.R. China, Department of Nursing, The Fourth Hospital of Changsha, Changsha, Hunan 410000, P.R. China, Department of Respiratory and Critical Care Medicine, The Affiliated Changsha Hospital of Xiangya School of Medicine, Central South University, The First Hospital of Changsha, Changsha, Hunan 410000, P.R. China, Department of Respiratory Medicine, Yicheng People's Hospital of Shandong, Zaozhuang, Shandong 277300, P.R. China
    Copyright: © Wen et al. This is an open access article distributed under the terms of Creative Commons Attribution License.
  • Article Number: 271
    |
    Published online on: April 21, 2023
       https://doi.org/10.3892/etm.2023.11970
  • Expand metrics +
Metrics: Total Views: 0 (Spandidos Publications: | PMC Statistics: )
Metrics: Total PDF Downloads: 0 (Spandidos Publications: | PMC Statistics: )
Cited By (CrossRef): 0 citations Loading Articles...

This article is mentioned in:



Abstract

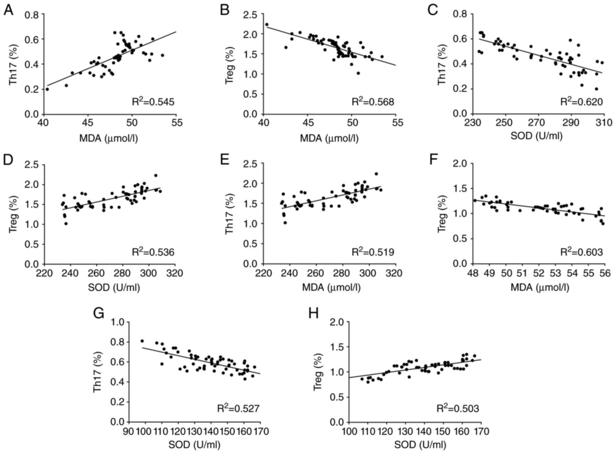
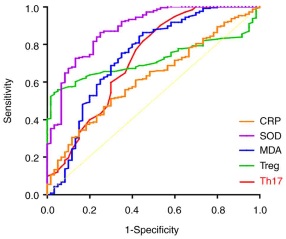
Tuberculosis (TB) is the most common opportunistic infection in patients with acquired immunodeficiency syndrome (AIDS) caused by human immunodeficiency virus (HIV) infection and is one of the primary causes of death from AIDS. The increased accessibility to highly active antiretroviral therapy (HAART) has significantly improved the clinical outcome of patients with HIV infection. However, following ART, rapid restoration of the immune system leads to immune reconstitution inflammatory syndrome (IRIS). Oxidative stress and innate immunity play a role in TB‑associated IRIS (TB‑IRIS). The present study investigated the changes that occur in oxidative stress markers and T helper (Th)17/regulatory T (Treg) cell balance and their significance in IRIS patients with HIV‑associated pulmonary TB. A total of 316 patients with HIV‑associated pulmonary TB were treated with HAART and followed up regularly for 12 weeks. Those who developed IRIS were included in the IRIS group (n=60), while the remaining patients were included in the non‑IRIS group (n=256). The changes in plasma oxidative stress markers superoxide dismutase (SOD) and malondialdehyde (MDA) were detected with the ELISA, and the ratio of Th17 to Treg cells in whole blood were analyzed before and after treatment through the flow cytometric assay. Following treatment, MDA and Th17 cells levels were significantly increased while SOD and Treg cells levels were decreased in the IRIS group (P<0.05) compared with before treatment. In the non‑IRIS group, a non‑significant decrease was observed in SOD levels (P>0.05), while the MDA levels significantly decreased compared with before treatment (P<0.05) and the Th17 and Treg cells levels were both significantly increased (P<0.05). After treatment, compared with the non‑IRIS group, the IRIS group showed a significant increase in MDA and Th17 cells and decrease in SOD and Treg cells levels (P<0.05). In addition, Th17 cells levels were positively correlated with MDA but negatively correlated with SOD levels. Treg levels were negatively correlated with MDA and positively correlated with SOD levels (P<0.05). The area under the curve values of serum MDA and SOD, Th17 and Treg levels predicting the occurrence of IRIS were 0.738, 0.883, 0.722 and 0.719, respectively (P<0.05). These results indicated that the above parameters have certain diagnostic value for the occurrence of IRIS. The occurrence of IRIS in patients with HIV‑associated pulmonary TB may be associated with oxidative stress and Th17/Treg cell imbalance.
View Figures

Figure 1

Figure 2

Figure 3

Figure 4

View References

1 

Tesfaye B, Alebel A, Gebrie A, Zegeye A, Tesema C and Kassie B: The twin epidemics: Prevalence of TB/HIV co-infection and its associated factors in Ethiopia; A systematic review and meta-analysis. PLoS One. 13(e0203986)2018.PubMed/NCBI View Article : Google Scholar

2 

Yuan FS, Liu L, Liu LH, Zeng YL, Zhang LL, He F, Liu XJ, Li JM, Liu Q, Xu MJ, et al: Epidemiological and spatiotemporal analyses of HIV/AIDS prevalence among older adults in Sichuan, China between 2008 and 2019: A population-based study. Int J Infect Dis. 105:769–775. 2021.PubMed/NCBI View Article : Google Scholar

3 

Vrinceanu D, Dumitru M, Patrascu OM, Costache A, Papacocea T and Cergan R: Current diagnosis and treatment of rhinosinusal aspergilloma (review). Exp Ther Med. 22(1264)2021.PubMed/NCBI View Article : Google Scholar

4 

Tola A, Mishore KM, Ayele Y, Mekuria AN and Legese N: Treatment outcome of tuberculosis and associated factors among TB-HIV Co-infected patients at public hospitals of Harar town, eastern Ethiopia. A five-year retrospective study. BMC Public Health. 19:1–12. 2019.PubMed/NCBI View Article : Google Scholar

5 

Tiberi S, Carvalho AC, Sulis G, Vaghela D, Rendon A, Mello FC, Rahman A, Matin N, Zumla A and Pontali E: . The cursed duet today: Tuberculosis and HIV-coinfection. Presse Med. 46:e23–e39. 2017.PubMed/NCBI View Article : Google Scholar

6 

Liebenberg C, Luies L and Williams AA: Metabolomics as a tool to investigate HIV/TB co-infection. Front Mol Biosci. 8(692823)2021.PubMed/NCBI View Article : Google Scholar

7 

Vecchione MB, Laufer N, Sued O, Corti M, Salomon H and Quiroga MF: 7-oxo-DHEA enhances impaired M. tuberculosis-specific T cell responses during HIV-TB coinfection. J Biomed Sci. 27(20)2020.PubMed/NCBI View Article : Google Scholar

8 

Schutz C, Meintjes G, Almajid F, Wilkinson RJ and Pozniak A: Clinical management of tuberculosis and HIV-1 co-infection. Eur Respir J. 36:1460–1481. 2010.PubMed/NCBI View Article : Google Scholar

9 

Musisi E, Matovu DK, Bukenya A, Kaswabuli S, Zawedde J, Andama A, Byanyima P, Sanyu I, Sessolo A, Seremba E, et al: Effect of anti-retroviral therapy on oxidative stress in hospitalized HIV-infected adults with and without TB. Afr Health Sci. 18:512–522. 2018.PubMed/NCBI View Article : Google Scholar

10 

Lu DY, Wu HY, Yarla NS, Xu B, Ding J and Lu TR: HAART in HIV/AIDS treatments: Future trends. Infect Disord Drug Targets. 18:15–22. 2018.PubMed/NCBI View Article : Google Scholar

11 

Yang H, Wang Y, Guo PJ, Wu YM, Gao Y, Li XC, Gao BC, Liu J, Li H and Yang JY: Analysis of the effect of antiretroviral therapy and drug resistance in adult AIDS in inner Mongolia, China: A comprehensive study. J Biol Regul Homeost Agents. 36:783–787. 2022.

12 

Proal AD and Marshall TG: Re-framing the theory of autoimmunity in the era of the microbiome: Persistent pathogens, autoantibodies, and molecular mimicry. Discov Med. 25:299–308. 2018.PubMed/NCBI

13 

Sereti I, Sheikh V, Shaffer D, Phanuphak N, Gabriel E, Wang J, Nason MC, Roby G, Ngeno H, Kirui F, et al: Prospective international study of incidence and predictors of immune reconstitution inflammatory syndrome and death in people living with human immunodeficiency virus and severe lymphopenia. Clin Infect Dis. 71:652–660. 2020.PubMed/NCBI View Article : Google Scholar

14 

Arirachakaran P, Luangworakhun S, Charalampakis G and Dahlén G: Non-oral, aerobic, Gram-negative bacilli in the oral cavity of Thai HIV-positive patients on Highly-active anti-retrovirus therapy medication. J Investig Clin Dent. 10(e12387)2019.PubMed/NCBI View Article : Google Scholar

15 

Pean P, Nouhin J, Ratana M, Madec Y, Borand L, Marcy O, Laureillard D, Fernandez M, Barré-Sinoussi F, Weiss L, et al: High Activation of γδ T cells and the γδ2pos T-cell subset is associated with the onset of tuberculosis-associated immune reconstitution inflammatory syndrome, ANRS 12153 CAPRI NK. Front Immunol. 10(2018)2019.PubMed/NCBI View Article : Google Scholar

16 

Quinn CM, Poplin V, Kasibante J, Yuquimpo K, Gakuru J, Cresswell FV and Bahr NC: Tuberculosis IRIS: Pathogenesis, presentation, and management across the spectrum of disease. Life (Basel). 10(262)2020.PubMed/NCBI View Article : Google Scholar

17 

Namale PE, Abdullahi LH, Fine S, Kamkuemah M, Wilkinson RJ and Meintjes G: Paradoxical TB-IRIS in HIV-infected adults: A systematic review and meta-analysis. Future Microbiol. 10:1077–1099. 2015.PubMed/NCBI View Article : Google Scholar

18 

Cevaal PM, Bekker LG and Hermans S: TB-IRIS pathogenesis and new strategies for intervention: Insights from related inflammatory disorders. Tuberculosis (Edinb). 118(101863)2019.PubMed/NCBI View Article : Google Scholar

19 

Barber DL, Andrade BB, Sereti I and Sher A: Immune reconstitution inflammatory syndrome: The trouble with immunity when you had none. Nat Rev Microbiol. 10:150–156. 2012.PubMed/NCBI View Article : Google Scholar

20 

Chang C, Sheikh V, Sereti I and French MA: Immune reconstitution disorders in patients with HIV infection: From pathogenesis to prevention and treatment. Curr HIV/AIDS Rep. 11:223–232. 2014.PubMed/NCBI View Article : Google Scholar

21 

Zhu J, Yamane H and Paul WE: Differentiation of effector CD4 T cell populations. Ann Rev Immunol. 28:445–489. 2010.PubMed/NCBI View Article : Google Scholar

22 

Zheng Y, Zhou H, He Y, Chen Z, He B and He M: The immune pathogenesis of immune reconstitution inflammatory syndrome associated with highly active antiretroviral therapy in AIDS. AIDS Res Hum Retroviruses. 30:1197–1202. 2014.PubMed/NCBI View Article : Google Scholar

23 

Duan Y, Bai H, Li X, Wang D and Wang Y, Cao M, Zhang N, Chen H and Wang Y: Oncolytic adenovirus H101 synergizes with radiation in cervical cancer cells. Curr Cancer Drug Targets. 21:619–630. 2021.PubMed/NCBI View Article : Google Scholar

24 

Stephensen CB, Marquis GS, Douglas SD, Kruzich LA and Wilson CM: Glutathione, glutathione peroxidase, and selenium status in HIV-positive and HIV-negative adolescents and young adults. Am J Clin Nutr. 85:173–181. 2007.PubMed/NCBI View Article : Google Scholar

25 

Ivanov AV, Valuev-Elliston VT, Ivanova ON, Kochetkov SN, Starodubova ES, Bartosch B and Isaguliants MG: Oxidative stress during HIV infection: Mechanisms and consequences. Oxid Med Cell Longev. 2016(8910396)2016.PubMed/NCBI View Article : Google Scholar

26 

Awodele O, Olayemi SO, Nwite JA and Adeyemo TA: Investigation of the levels of oxidative stress parameters in HIV and HIV-TB co-infected patients. J Infect Dev Ctries. 6:79–85. 2012.PubMed/NCBI View Article : Google Scholar

27 

Rosa AC, Corsi D, Cavi N, Bruni N and Dosio F: Superoxide dismutase administration: A review of proposed human uses. Molecules. 26(1844)2021.PubMed/NCBI View Article : Google Scholar

28 

Makinde O, Rotimi K, Ikumawoyi V, Adeyemo T and Olayemi S: Effect of vitamin A and vitamin C supplementation on oxidative stress in HIV and HIV-TB co-infection at Lagos University Teaching Hospital (LUTH) Nigeria. Afr Health Sci. 17:308–314. 2017.PubMed/NCBI View Article : Google Scholar

29 

Safe IP, Amaral EP, Araújo-Pereira M, Lacerda MV, Printes VS, Souza AB, Beraldi-Magalhães F, Monteiro WM, Sampaio VS, Barreto-Duarte B, et al: Adjunct N-acetylcysteine treatment in hospitalized patients with HIV-associated tuberculosis dampens the oxidative stress in peripheral blood: Results from the RIPENACTB study trial. Front Immunol. 11(602589)2021.PubMed/NCBI View Article : Google Scholar

30 

Chen L, Wang X, Jia X, Lan Y, Yi H, Wang X and Xu P: Investigation of 3-year inpatient TB cases in Zunyi, China: Increased TB burden but improved bacteriological diagnosis. Front Public Health. 10(941183)2022.PubMed/NCBI View Article : Google Scholar

31 

AIDS and Hepatitis C Professional Group, Society of Infectious Diseases, Chinese Medical Association and Chinese Center for Disease Control and Prevention. Chinese guidelines for diagnosis and treatment of HIV/AIDS (2018). Zhonghua Nei Ke Za Zhi. 57:867–884. 2018.PubMed/NCBI View Article : Google Scholar : (In Chinese).

32 

Meintjes G, Lawn SD, Scano F, Maartens G, French MA, Worodria W, Elliott JH, Murdoch D, Wilkinson RJ, Seyler C, et al: Tuberculosis-associated immune reconstitution inflammatory syndrome: Case definitions for use in resource-limited settings. Lancet Infect Dis. 8:516–523. 2008.PubMed/NCBI View Article : Google Scholar

33 

Melgar M, Nichols C, Cavanaugh JS, Kirking HL, Surie D, Date A, Ahmedov S, Maloney S and Fukunaga R: CDC Country Offices' Tuberculosis/HIV Advisors et al. Tuberculosis preventive treatment scale-up among antiretroviral therapy patients-16 countries supported by the U.S. president's emergency plan for AIDS relief, 2017-2019. MMWR Morb Mortal Wkly Rep. 69:329–334. 2020.PubMed/NCBI View Article : Google Scholar

34 

Ji YJ, Liang PP, Shen JY, Sun JJ, Yang JY, Chen J, Qi TK, Wang ZY, Song W, Tang Y, et al: Risk factors affecting the mortality of HIV-infected patients with pulmonary tuberculosis in the cART era: a retrospective cohort study in China. Infect Dis Poverty. 7(25)2018.PubMed/NCBI View Article : Google Scholar

35 

Wu Y, Chen J and Lu H: Advances in the study of the development of immunodeficiency inflammatory syndrome in people infected with mycobacteria tuberculosis combined with the human immunodeficiency virus. Chin J Inf Chemo. 18:230–235. 2018.(In Chinese).

36 

Surur AS, Teni FS, Wale W, Ayalew Y and Tesfaye B: Health related quality of life of HIV/AIDS patients on highly active anti-retroviral therapy at a university referral hospital in. Ethiopia. 17(737)2017.PubMed/NCBI View Article : Google Scholar

37 

Bauer DC, Black DM, Bouxsein ML, Lui LY, Cauley JA, de Papp AE, Grauer A, Khosla S, McCulloch CE and Eastell R: Foundation for the National Institutes of Health (FNIH) Bone Quality Project. Treatment-related changes in bone turnover and fracture risk reduction in clinical trials of anti-resorptive drugs: A meta-regression. J Bone Miner Res. 33:634–642. 2018.PubMed/NCBI View Article : Google Scholar

38 

Kleinman AJ, Sivanandham R, Pandrea I, Chougnet CA and Apetrei C: Regulatory T cells as potential targets for HIV cure research. Front Immunol. 9(734)2018.PubMed/NCBI View Article : Google Scholar

39 

De Biasi S, Bianchini E, Nasi M, Digaetano M, Gibellini L, Carnevale G, Borghi V, Guaraldi G, Pinti M, Mussini C and Cossarizza A: Th1 and Th17 proinflammatory profile characterizes invariant natural killer T cells in virologically suppressed HIV+ patients with low CD4+/CD8+ ratio. AIDS. 13:2599–2610. 2016.PubMed/NCBI View Article : Google Scholar

40 

Qu YZ, Li M, Zhao YL, Zhao ZW, Wei XY, Liu JP, Gao L and Gao GD: Astragaloside IV attenuates cerebral ischemia-reperfusion-induced increase in permeability of the blood-brain barrier in rats. Eur J Pharmacol. 606:137–141. 2009.PubMed/NCBI View Article : Google Scholar

41 

Li Y and Sun W: . Effects of Th17/Treg cell imbalance on HIV replication in patients with AIDS complicated with tuberculosis. Experimental and Therapeutic Medicine. 15:2879–83. 2018.PubMed/NCBI View Article : Google Scholar

42 

Sun L and Liu Y: Clinical factors of blood transfusion-related acute lung injury and changes in levels of Treg-related cytokines. Emerg Med Int. 2022(7344375)2022.PubMed/NCBI View Article : Google Scholar

43 

Zhou M, Zhang Y, Tang R, Liu H, Du M, Gao Z, Ji Z and Fang H: HMGB1/TLR4 signaling affects regulatory T cells in acute lung injury. J Inflamm Res. 14:1551–1561. 2021.PubMed/NCBI View Article : Google Scholar

44 

Nadeem A, Al-Harbi NO, Ahmad SF, Al-Harbi MM, Alhamed AS, Alfardan AS, Assiri MA, Ibrahim KE and Albassam H: Blockade of interleukin-2-inducible T-cell kinase signaling attenuates acute lung injury in mice through adjustment of pulmonary Th17/Treg immune responses and reduction of oxidative stress. Int Immunopharmacol. 83(106369)2020.PubMed/NCBI View Article : Google Scholar

45 

Yang J, Yang X, Zou H and Li M: Oxidative stress and Treg and Th17 dysfunction in systemic lupus erythematosus. Oxid Med Cell Longev. 2016:1–9. 2016.PubMed/NCBI View Article : Google Scholar

46 

Yang Y, Xia J, Yang Z, Wu G and Yang J: The abnormal level of HSP70 is related to Treg/Th17 balance in PCOS patients. J Ovarian Res. 14(155)2021.PubMed/NCBI View Article : Google Scholar

47 

Lee GR: The Balance of Th17 versus Treg Cells in Autoimmunity. Int J Mol Sci. 19(730)2018.PubMed/NCBI View Article : Google Scholar

48 

Littman DR and Rudensky AY: Th17 and regulatory T cells in mediating and restraining inflammation. Cell. 140:845–858. 2010.PubMed/NCBI View Article : Google Scholar

49 

Tyagi P, Pal VK, Agrawal R, Singh S, Srinivasan S and Singh A: Mycobacterium tuberculosis reactivates HIV-1 via exosome-mediated resetting of cellular redox potential and bioenergetics. mBio. 11(e03293)2020.PubMed/NCBI View Article : Google Scholar

Related Articles

  • Abstract
  • View
  • Download
  • Twitter
Copy and paste a formatted citation
Spandidos Publications style
Wen L, Shi L, Wan S, Xu T, Zhang L and Zhou Z: Changes in the balance of Th17/Treg cells and oxidative stress markers in patients with HIV‑associated pulmonary tuberculosis who develop IRIS. Exp Ther Med 25: 271, 2023.
APA
Wen, L., Shi, L., Wan, S., Xu, T., Zhang, L., & Zhou, Z. (2023). Changes in the balance of Th17/Treg cells and oxidative stress markers in patients with HIV‑associated pulmonary tuberculosis who develop IRIS. Experimental and Therapeutic Medicine, 25, 271. https://doi.org/10.3892/etm.2023.11970
MLA
Wen, L., Shi, L., Wan, S., Xu, T., Zhang, L., Zhou, Z."Changes in the balance of Th17/Treg cells and oxidative stress markers in patients with HIV‑associated pulmonary tuberculosis who develop IRIS". Experimental and Therapeutic Medicine 25.6 (2023): 271.
Chicago
Wen, L., Shi, L., Wan, S., Xu, T., Zhang, L., Zhou, Z."Changes in the balance of Th17/Treg cells and oxidative stress markers in patients with HIV‑associated pulmonary tuberculosis who develop IRIS". Experimental and Therapeutic Medicine 25, no. 6 (2023): 271. https://doi.org/10.3892/etm.2023.11970
Copy and paste a formatted citation
x
Spandidos Publications style
Wen L, Shi L, Wan S, Xu T, Zhang L and Zhou Z: Changes in the balance of Th17/Treg cells and oxidative stress markers in patients with HIV‑associated pulmonary tuberculosis who develop IRIS. Exp Ther Med 25: 271, 2023.
APA
Wen, L., Shi, L., Wan, S., Xu, T., Zhang, L., & Zhou, Z. (2023). Changes in the balance of Th17/Treg cells and oxidative stress markers in patients with HIV‑associated pulmonary tuberculosis who develop IRIS. Experimental and Therapeutic Medicine, 25, 271. https://doi.org/10.3892/etm.2023.11970
MLA
Wen, L., Shi, L., Wan, S., Xu, T., Zhang, L., Zhou, Z."Changes in the balance of Th17/Treg cells and oxidative stress markers in patients with HIV‑associated pulmonary tuberculosis who develop IRIS". Experimental and Therapeutic Medicine 25.6 (2023): 271.
Chicago
Wen, L., Shi, L., Wan, S., Xu, T., Zhang, L., Zhou, Z."Changes in the balance of Th17/Treg cells and oxidative stress markers in patients with HIV‑associated pulmonary tuberculosis who develop IRIS". Experimental and Therapeutic Medicine 25, no. 6 (2023): 271. https://doi.org/10.3892/etm.2023.11970
Follow us
  • Twitter
  • LinkedIn
  • Facebook
About
  • Spandidos Publications
  • Careers
  • Cookie Policy
  • Privacy Policy
How can we help?
  • Help
  • Live Chat
  • Contact
  • Email to our Support Team