Spandidos Publications Logo
  • About
    • About Spandidos
    • Aims and Scopes
    • Abstracting and Indexing
    • Editorial Policies
    • Reprints and Permissions
    • Job Opportunities
    • Terms and Conditions
    • Contact
  • Journals
    • All Journals
    • Oncology Letters
      • Oncology Letters
      • Information for Authors
      • Editorial Policies
      • Editorial Board
      • Aims and Scope
      • Abstracting and Indexing
      • Bibliographic Information
      • Archive
    • International Journal of Oncology
      • International Journal of Oncology
      • Information for Authors
      • Editorial Policies
      • Editorial Board
      • Aims and Scope
      • Abstracting and Indexing
      • Bibliographic Information
      • Archive
    • Molecular and Clinical Oncology
      • Molecular and Clinical Oncology
      • Information for Authors
      • Editorial Policies
      • Editorial Board
      • Aims and Scope
      • Abstracting and Indexing
      • Bibliographic Information
      • Archive
    • Experimental and Therapeutic Medicine
      • Experimental and Therapeutic Medicine
      • Information for Authors
      • Editorial Policies
      • Editorial Board
      • Aims and Scope
      • Abstracting and Indexing
      • Bibliographic Information
      • Archive
    • International Journal of Molecular Medicine
      • International Journal of Molecular Medicine
      • Information for Authors
      • Editorial Policies
      • Editorial Board
      • Aims and Scope
      • Abstracting and Indexing
      • Bibliographic Information
      • Archive
    • Biomedical Reports
      • Biomedical Reports
      • Information for Authors
      • Editorial Policies
      • Editorial Board
      • Aims and Scope
      • Abstracting and Indexing
      • Bibliographic Information
      • Archive
    • Oncology Reports
      • Oncology Reports
      • Information for Authors
      • Editorial Policies
      • Editorial Board
      • Aims and Scope
      • Abstracting and Indexing
      • Bibliographic Information
      • Archive
    • Molecular Medicine Reports
      • Molecular Medicine Reports
      • Information for Authors
      • Editorial Policies
      • Editorial Board
      • Aims and Scope
      • Abstracting and Indexing
      • Bibliographic Information
      • Archive
    • World Academy of Sciences Journal
      • World Academy of Sciences Journal
      • Information for Authors
      • Editorial Policies
      • Editorial Board
      • Aims and Scope
      • Abstracting and Indexing
      • Bibliographic Information
      • Archive
    • International Journal of Functional Nutrition
      • International Journal of Functional Nutrition
      • Information for Authors
      • Editorial Policies
      • Editorial Board
      • Aims and Scope
      • Abstracting and Indexing
      • Bibliographic Information
      • Archive
    • International Journal of Epigenetics
      • International Journal of Epigenetics
      • Information for Authors
      • Editorial Policies
      • Editorial Board
      • Aims and Scope
      • Abstracting and Indexing
      • Bibliographic Information
      • Archive
    • Medicine International
      • Medicine International
      • Information for Authors
      • Editorial Policies
      • Editorial Board
      • Aims and Scope
      • Abstracting and Indexing
      • Bibliographic Information
      • Archive
  • Articles
  • Information
    • Information for Authors
    • Information for Reviewers
    • Information for Librarians
    • Information for Advertisers
    • Conferences
  • Language Editing
Spandidos Publications Logo
  • About
    • About Spandidos
    • Aims and Scopes
    • Abstracting and Indexing
    • Editorial Policies
    • Reprints and Permissions
    • Job Opportunities
    • Terms and Conditions
    • Contact
  • Journals
    • All Journals
    • Biomedical Reports
      • Information for Authors
      • Editorial Policies
      • Editorial Board
      • Aims and Scope
      • Abstracting and Indexing
      • Bibliographic Information
      • Archive
    • Experimental and Therapeutic Medicine
      • Information for Authors
      • Editorial Policies
      • Editorial Board
      • Aims and Scope
      • Abstracting and Indexing
      • Bibliographic Information
      • Archive
    • International Journal of Epigenetics
      • Information for Authors
      • Editorial Policies
      • Editorial Board
      • Aims and Scope
      • Abstracting and Indexing
      • Bibliographic Information
      • Archive
    • International Journal of Functional Nutrition
      • Information for Authors
      • Editorial Policies
      • Editorial Board
      • Aims and Scope
      • Abstracting and Indexing
      • Bibliographic Information
      • Archive
    • International Journal of Molecular Medicine
      • Information for Authors
      • Editorial Policies
      • Editorial Board
      • Aims and Scope
      • Abstracting and Indexing
      • Bibliographic Information
      • Archive
    • International Journal of Oncology
      • Information for Authors
      • Editorial Policies
      • Editorial Board
      • Aims and Scope
      • Abstracting and Indexing
      • Bibliographic Information
      • Archive
    • Medicine International
      • Information for Authors
      • Editorial Policies
      • Editorial Board
      • Aims and Scope
      • Abstracting and Indexing
      • Bibliographic Information
      • Archive
    • Molecular and Clinical Oncology
      • Information for Authors
      • Editorial Policies
      • Editorial Board
      • Aims and Scope
      • Abstracting and Indexing
      • Bibliographic Information
      • Archive
    • Molecular Medicine Reports
      • Information for Authors
      • Editorial Policies
      • Editorial Board
      • Aims and Scope
      • Abstracting and Indexing
      • Bibliographic Information
      • Archive
    • Oncology Letters
      • Information for Authors
      • Editorial Policies
      • Editorial Board
      • Aims and Scope
      • Abstracting and Indexing
      • Bibliographic Information
      • Archive
    • Oncology Reports
      • Information for Authors
      • Editorial Policies
      • Editorial Board
      • Aims and Scope
      • Abstracting and Indexing
      • Bibliographic Information
      • Archive
    • World Academy of Sciences Journal
      • Information for Authors
      • Editorial Policies
      • Editorial Board
      • Aims and Scope
      • Abstracting and Indexing
      • Bibliographic Information
      • Archive
  • Articles
  • Information
    • For Authors
    • For Reviewers
    • For Librarians
    • For Advertisers
    • Conferences
  • Language Editing
Login Register Submit
  • This site uses cookies
  • You can change your cookie settings at any time by following the instructions in our Cookie Policy. To find out more, you may read our Privacy Policy.

    I agree
Search articles by DOI, keyword, author or affiliation
Search
Advanced Search
presentation
Experimental and Therapeutic Medicine
Join Editorial Board Propose a Special Issue
Print ISSN: 1792-0981 Online ISSN: 1792-1015
Journal Cover
June-2023 Volume 25 Issue 6

Full Size Image

Sign up for eToc alerts
Recommend to Library

Journals

International Journal of Molecular Medicine

International Journal of Molecular Medicine

International Journal of Molecular Medicine is an international journal devoted to molecular mechanisms of human disease.

International Journal of Oncology

International Journal of Oncology

International Journal of Oncology is an international journal devoted to oncology research and cancer treatment.

Molecular Medicine Reports

Molecular Medicine Reports

Covers molecular medicine topics such as pharmacology, pathology, genetics, neuroscience, infectious diseases, molecular cardiology, and molecular surgery.

Oncology Reports

Oncology Reports

Oncology Reports is an international journal devoted to fundamental and applied research in Oncology.

Experimental and Therapeutic Medicine

Experimental and Therapeutic Medicine

Experimental and Therapeutic Medicine is an international journal devoted to laboratory and clinical medicine.

Oncology Letters

Oncology Letters

Oncology Letters is an international journal devoted to Experimental and Clinical Oncology.

Biomedical Reports

Biomedical Reports

Explores a wide range of biological and medical fields, including pharmacology, genetics, microbiology, neuroscience, and molecular cardiology.

Molecular and Clinical Oncology

Molecular and Clinical Oncology

International journal addressing all aspects of oncology research, from tumorigenesis and oncogenes to chemotherapy and metastasis.

World Academy of Sciences Journal

World Academy of Sciences Journal

Multidisciplinary open-access journal spanning biochemistry, genetics, neuroscience, environmental health, and synthetic biology.

International Journal of Functional Nutrition

International Journal of Functional Nutrition

Open-access journal combining biochemistry, pharmacology, immunology, and genetics to advance health through functional nutrition.

International Journal of Epigenetics

International Journal of Epigenetics

Publishes open-access research on using epigenetics to advance understanding and treatment of human disease.

Medicine International

Medicine International

An International Open Access Journal Devoted to General Medicine.

Journal Cover
June-2023 Volume 25 Issue 6

Full Size Image

Sign up for eToc alerts
Recommend to Library

  • Article
  • Citations
    • Cite This Article
    • Download Citation
    • Create Citation Alert
    • Remove Citation Alert
    • Cited By
  • Similar Articles
    • Related Articles (in Spandidos Publications)
    • Similar Articles (Google Scholar)
    • Similar Articles (PubMed)
  • Download PDF
  • Download XML
  • View XML
Article Open Access

Clinical value of anterior segment optical coherence tomography‑assisted Wuerzburg bleb classification system for bleb assessment following trabeculectomy

  • Authors:
    • Yi Sun
    • Jing Zhu
    • Juan Guo
    • Yuanxu He
    • Zhanfeng Wang
  • View Affiliations / Copyright

    Affiliations: Department of Ophthalmology, The Third People's Hospital of Chengdu, Chengdu, Sichuan 610031, P.R. China
    Copyright: © Sun et al. This is an open access article distributed under the terms of Creative Commons Attribution License.
  • Article Number: 280
    |
    Published online on: April 25, 2023
       https://doi.org/10.3892/etm.2023.11980
  • Expand metrics +
Metrics: Total Views: 0 (Spandidos Publications: | PMC Statistics: )
Metrics: Total PDF Downloads: 0 (Spandidos Publications: | PMC Statistics: )
Cited By (CrossRef): 0 citations Loading Articles...

This article is mentioned in:



Abstract

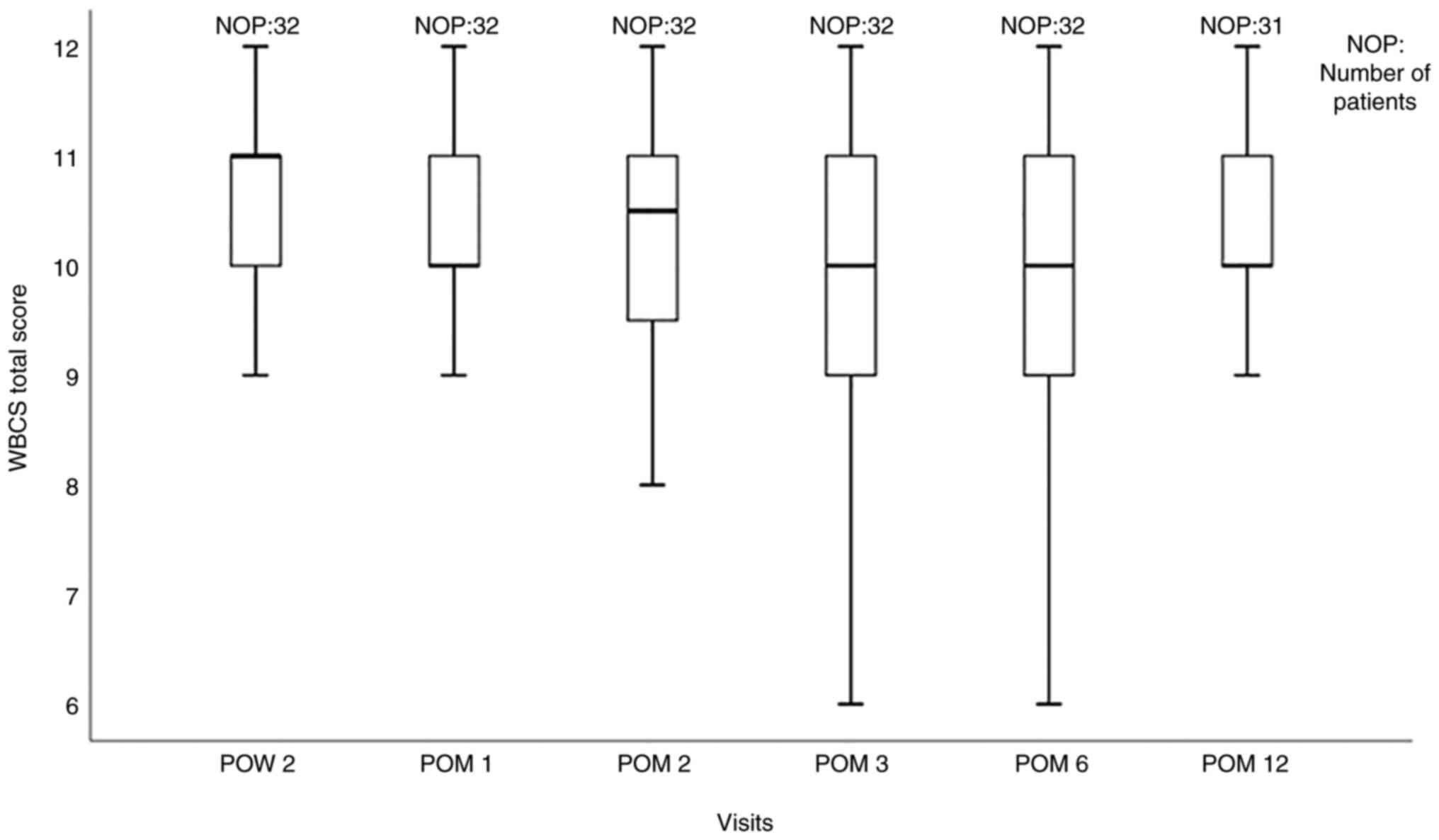
The Wuerzburg bleb classification system (WBCS) is an established tool for evaluating filtering blebs, while anterior segment optical coherence tomography (ASOCT) provides detailed information on inner bleb structure. The present study aimed to investigate the clinical value of ASOCT‑assisted WBCS following trabeculectomy (TRAB). The present prospective, observational study included eyes that underwent TRAB. Bleb assessments using the WBCS were based on the image acquired by ASOCT. The WBCS scores were assessed at postoperative week 2 and postoperative month (POM) 1, 2, 3, 6 and 12. The surgical outcomes at 1 year were determined as success or failure. Spearman's analysis explored the correlation of WBCS scores with intraocular pressure (IOP) and surgical outcome. A total of 32 eyes from 32 patients were included in the present study. The WBCS total score significantly correlated with IOP at POM 1, 2, 3, 6 and 12 (P<0.05). For single parameters, microcysts demonstrated a good correlation with IOP at POM 1, 2, 3, 6 and 12 (P<0.05). The WBCS total score correlated well with surgical outcome at POM 2, 3, 6 and 12 (P≤0.005). Microcysts, vascularity and encapsulation significantly correlated with surgical outcomes (P<0.05). The results of the present study suggest that ASOCT‑assisted WBCS is a simple and effective measurement system for blebs after TRAB in clinical practice, which correlates well with IOP and surgical outcomes. Blebs with a higher WBCS total score and microcysts score in the early postoperative period, such as at POM 2 and 3, are less likely to have surgical failure in the long term.
View Figures

Figure 1

Figure 2

Figure 3

Figure 4

Figure 5

Figure 6

View References

1 

Kalarn S, Le T and Rhee DJ: The role of trabeculectomy in the era of minimally invasive glaucoma surgery. Curr Opin Ophthalmol. 33:112–118. 2022.PubMed/NCBI View Article : Google Scholar

2 

Gedde SJ, Feuer WJ, Lim KS, Barton K, Goyal S, Ahmed II and Brandt JD: Primary Tube Versus Trabeculectomy Study Group. Treatment outcomes in the primary tube versus trabeculectomy study after 5 years of follow-up. Ophthalmology. 129:1344–1356. 2022.PubMed/NCBI View Article : Google Scholar

3 

Furrer S, Menke MN, Funk J and Toteberg-Harms M: Evaluation of filtering blebs using the ‘Wuerzburg bleb classification score’ compared to clinical findings. BMC Ophthalmol. 12(24)2012.PubMed/NCBI View Article : Google Scholar

4 

Cantor LB, Mantravadi A, WuDunn D, Swamynathan K and Cortes A: Morphologic classification of filtering blebs after glaucoma filtration surgery: The indiana bleb appearance grading scale. J Glaucoma. 12:266–271. 2003.PubMed/NCBI View Article : Google Scholar

5 

Picht G and Grehn F: Classification of filtering blebs in trabeculectomy: Biomicroscopy and functionality. Curr Opin Ophthalmol. 9:2–8. 1998.PubMed/NCBI View Article : Google Scholar

6 

Wells AP, Crowston JG, Marks J, Kirwan JF, Smith G, Clarke JC, Shah R, Vieira J, Bunce C, Murdoch I and Khaw PT: A pilot study of a system for grading of drainage blebs after glaucoma surgery. J Glaucoma. 13:454–460. 2004.PubMed/NCBI View Article : Google Scholar

7 

Hoffmann EM, Herzog D, Wasielica-Poslednik J, Butsch C and Schuster AK: Bleb grading by photographs versus bleb grading by slit-lamp examination. Acta Ophthalmol. 98:e607–e610. 2020.PubMed/NCBI View Article : Google Scholar

8 

Klink T, Kann G, Ellinger P, Klink J, Grehn F and Guthoff R: The prognostic value of the wuerzburg bleb classification score for the outcome of trabeculectomy. Ophthalmologica. 225:55–60. 2011.PubMed/NCBI View Article : Google Scholar

9 

Thatte S, Rana R and Gaur N: Appraisal of bleb using trio of intraocular pressure, morphology on slit lamp, and gonioscopy. Ophthalmol Eye Dis. 8:41–48. 2016.PubMed/NCBI View Article : Google Scholar

10 

Wells AP, Ashraff NN, Hall RC and Purdie G: Comparison of two clinical Bleb grading systems. Ophthalmology. 113:77–83. 2006.PubMed/NCBI View Article : Google Scholar

11 

Waibel S, Spoerl E, Furashova O, Pillunat LE and Pillunat KR: Bleb morphology after mitomycin-C augmented trabeculectomy: Comparison between clinical evaluation and anterior segment optical coherence tomography. J Glaucoma. 28:447–451. 2019.PubMed/NCBI View Article : Google Scholar

12 

Leung CK, Yick DW, Kwong YY, Li FC, Leung DY, Mohamed S, Tham CC, Chung-chai C and Lam DS: Analysis of bleb morphology after trabeculectomy with Visante anterior segment optical coherence tomography. Br J Ophthalmol. 91:340–344. 2007.PubMed/NCBI View Article : Google Scholar

13 

Mastropasqua R, Fasanella V, Agnifili L, Curcio C, Ciancaglini M and Mastropasqua L: Anterior segment optical coherence tomography imaging of conjunctival filtering blebs after glaucoma surgery. Biomed Res Int. 2014(610623)2014.PubMed/NCBI View Article : Google Scholar

14 

Guthoff R, Guthoff T, Hensler D, Grehn F and Klink T: Bleb needling in encapsulated filtering blebs: Evaluation by optical coherence tomography. Ophthalmologica. 224:204–208. 2010.PubMed/NCBI View Article : Google Scholar

15 

Liu X, Du L and Li N: The effects of bevacizumab in augmenting trabeculectomy for glaucoma: A systematic review and meta-analysis of randomized controlled trials. Medicine (Baltimore). 95(e3223)2016.PubMed/NCBI View Article : Google Scholar

16 

Nakakura S, Noguchi A, Tanabe H, Tabuchi H, Asaoka R and Kiuchi Y: Outcomes of wider area bleb revision using bleb knife with adjunctive mitomycin C. J Glaucoma. 28:732–736. 2019.PubMed/NCBI View Article : Google Scholar

17 

Khaw PT, Chang L, Wong TT, Mead A, Daniels JT and Cordeiro MF: Modulation of wound healing after glaucoma surgery. Curr Opin Ophthalmol. 12:143–148. 2001.PubMed/NCBI View Article : Google Scholar

18 

Kumaran A, Husain R, Htoon HM and Aung T: Longitudinal changes in bleb height, vascularity, and conjunctival microcysts after trabeculectomy. J Glaucoma. 27:578–584. 2018.PubMed/NCBI View Article : Google Scholar

19 

Yamamoto T, Sakuma T and Kitazawa Y: An ultrasound biomicroscopic study of filtering blebs after mitomycin C trabeculectomy. Ophthalmology. 102:1770–1776. 1995.PubMed/NCBI View Article : Google Scholar

20 

Tominaga A, Miki A, Yamazaki Y, Matsushita K and Otori Y: The assessment of the filtering bleb function with anterior segment optical coherence tomography. J Glaucoma. 19:551–555. 2010.PubMed/NCBI View Article : Google Scholar

21 

Seo JH, Kim YA, Park KH and Lee Y: Evaluation of functional filtering bleb using optical coherence tomography angiography. Transl Vis Sci Technol. 8(14)2019.PubMed/NCBI View Article : Google Scholar

22 

Hamanaka T, Omata T, Sekimoto S, Sugiyama T and Fujikoshi Y: Bleb analysis by using anterior segment optical coherence tomography in two different methods of trabeculectomy. Invest Ophthalmol Vis Sci. 54:6536–6541. 2013.PubMed/NCBI View Article : Google Scholar

23 

Lim SH: Clinical applications of anterior segment optical coherence tomography. J Ophthalmol. 2015(605729)2015.PubMed/NCBI View Article : Google Scholar

24 

Oh LJ, Wong E, Lam J and Clement CI: Comparison of bleb morphology between trabeculectomy and deep sclerectomy using a clinical grading scale and anterior segment optical coherence tomography. Clin Exp Ophthalmol. 45:701–707. 2017.PubMed/NCBI View Article : Google Scholar

25 

Wen JC, Stinnett SS and Asrani S: Comparison of anterior segment optical coherence tomography bleb grading, moorfields bleb grading system, and intraocular pressure after trabeculectomy. J Glaucoma. 26:403–408. 2017.PubMed/NCBI View Article : Google Scholar

26 

Masoumpour MB, Nowroozzadeh MH and Razeghinejad MR: Current and future techniques in wound healing modulation after glaucoma filtering surgeries. Open Ophthalmol J. 10:68–85. 2016.PubMed/NCBI View Article : Google Scholar

27 

Seibold LK, Sherwood MB and Kahook MY: Wound modulation after filtration surgery. Surv Ophthalmol. 57:530–550. 2012.PubMed/NCBI View Article : Google Scholar

28 

Nakano N, Hangai M, Nakanishi H, Inoue R, Unoki N, Hirose F, Ojima T and Yoshimura N: Early trabeculectomy bleb walls on anterior-segment optical coherence tomography. Graefes Arch Clin Exp Ophthalmol. 248:1173–1182. 2010.PubMed/NCBI View Article : Google Scholar

29 

Sacu S, Rainer G, Findl O, Georgopoulos M and Vass C: Correlation between the early morphological appearance of filtering blebs and outcome of trabeculectomy with mitomycin C. J Glaucoma. 12:430–435. 2003.PubMed/NCBI View Article : Google Scholar

30 

Ophir A: Encapsulated filtering bleb. A selective review-new deductions. Eye (Lond). 6:348–352. 1992.PubMed/NCBI View Article : Google Scholar

Related Articles

  • Abstract
  • View
  • Download
  • Twitter
Copy and paste a formatted citation
Spandidos Publications style
Sun Y, Zhu J, Guo J, He Y and Wang Z: Clinical value of anterior segment optical coherence tomography‑assisted Wuerzburg bleb classification system for bleb assessment following trabeculectomy. Exp Ther Med 25: 280, 2023.
APA
Sun, Y., Zhu, J., Guo, J., He, Y., & Wang, Z. (2023). Clinical value of anterior segment optical coherence tomography‑assisted Wuerzburg bleb classification system for bleb assessment following trabeculectomy. Experimental and Therapeutic Medicine, 25, 280. https://doi.org/10.3892/etm.2023.11980
MLA
Sun, Y., Zhu, J., Guo, J., He, Y., Wang, Z."Clinical value of anterior segment optical coherence tomography‑assisted Wuerzburg bleb classification system for bleb assessment following trabeculectomy". Experimental and Therapeutic Medicine 25.6 (2023): 280.
Chicago
Sun, Y., Zhu, J., Guo, J., He, Y., Wang, Z."Clinical value of anterior segment optical coherence tomography‑assisted Wuerzburg bleb classification system for bleb assessment following trabeculectomy". Experimental and Therapeutic Medicine 25, no. 6 (2023): 280. https://doi.org/10.3892/etm.2023.11980
Copy and paste a formatted citation
x
Spandidos Publications style
Sun Y, Zhu J, Guo J, He Y and Wang Z: Clinical value of anterior segment optical coherence tomography‑assisted Wuerzburg bleb classification system for bleb assessment following trabeculectomy. Exp Ther Med 25: 280, 2023.
APA
Sun, Y., Zhu, J., Guo, J., He, Y., & Wang, Z. (2023). Clinical value of anterior segment optical coherence tomography‑assisted Wuerzburg bleb classification system for bleb assessment following trabeculectomy. Experimental and Therapeutic Medicine, 25, 280. https://doi.org/10.3892/etm.2023.11980
MLA
Sun, Y., Zhu, J., Guo, J., He, Y., Wang, Z."Clinical value of anterior segment optical coherence tomography‑assisted Wuerzburg bleb classification system for bleb assessment following trabeculectomy". Experimental and Therapeutic Medicine 25.6 (2023): 280.
Chicago
Sun, Y., Zhu, J., Guo, J., He, Y., Wang, Z."Clinical value of anterior segment optical coherence tomography‑assisted Wuerzburg bleb classification system for bleb assessment following trabeculectomy". Experimental and Therapeutic Medicine 25, no. 6 (2023): 280. https://doi.org/10.3892/etm.2023.11980
Follow us
  • Twitter
  • LinkedIn
  • Facebook
About
  • Spandidos Publications
  • Careers
  • Cookie Policy
  • Privacy Policy
How can we help?
  • Help
  • Live Chat
  • Contact
  • Email to our Support Team