Spandidos Publications Logo
  • About
    • About Spandidos
    • Aims and Scopes
    • Abstracting and Indexing
    • Editorial Policies
    • Reprints and Permissions
    • Job Opportunities
    • Terms and Conditions
    • Contact
  • Journals
    • All Journals
    • Oncology Letters
      • Oncology Letters
      • Information for Authors
      • Editorial Policies
      • Editorial Board
      • Aims and Scope
      • Abstracting and Indexing
      • Bibliographic Information
      • Archive
    • International Journal of Oncology
      • International Journal of Oncology
      • Information for Authors
      • Editorial Policies
      • Editorial Board
      • Aims and Scope
      • Abstracting and Indexing
      • Bibliographic Information
      • Archive
    • Molecular and Clinical Oncology
      • Molecular and Clinical Oncology
      • Information for Authors
      • Editorial Policies
      • Editorial Board
      • Aims and Scope
      • Abstracting and Indexing
      • Bibliographic Information
      • Archive
    • Experimental and Therapeutic Medicine
      • Experimental and Therapeutic Medicine
      • Information for Authors
      • Editorial Policies
      • Editorial Board
      • Aims and Scope
      • Abstracting and Indexing
      • Bibliographic Information
      • Archive
    • International Journal of Molecular Medicine
      • International Journal of Molecular Medicine
      • Information for Authors
      • Editorial Policies
      • Editorial Board
      • Aims and Scope
      • Abstracting and Indexing
      • Bibliographic Information
      • Archive
    • Biomedical Reports
      • Biomedical Reports
      • Information for Authors
      • Editorial Policies
      • Editorial Board
      • Aims and Scope
      • Abstracting and Indexing
      • Bibliographic Information
      • Archive
    • Oncology Reports
      • Oncology Reports
      • Information for Authors
      • Editorial Policies
      • Editorial Board
      • Aims and Scope
      • Abstracting and Indexing
      • Bibliographic Information
      • Archive
    • Molecular Medicine Reports
      • Molecular Medicine Reports
      • Information for Authors
      • Editorial Policies
      • Editorial Board
      • Aims and Scope
      • Abstracting and Indexing
      • Bibliographic Information
      • Archive
    • World Academy of Sciences Journal
      • World Academy of Sciences Journal
      • Information for Authors
      • Editorial Policies
      • Editorial Board
      • Aims and Scope
      • Abstracting and Indexing
      • Bibliographic Information
      • Archive
    • International Journal of Functional Nutrition
      • International Journal of Functional Nutrition
      • Information for Authors
      • Editorial Policies
      • Editorial Board
      • Aims and Scope
      • Abstracting and Indexing
      • Bibliographic Information
      • Archive
    • International Journal of Epigenetics
      • International Journal of Epigenetics
      • Information for Authors
      • Editorial Policies
      • Editorial Board
      • Aims and Scope
      • Abstracting and Indexing
      • Bibliographic Information
      • Archive
    • Medicine International
      • Medicine International
      • Information for Authors
      • Editorial Policies
      • Editorial Board
      • Aims and Scope
      • Abstracting and Indexing
      • Bibliographic Information
      • Archive
  • Articles
  • Information
    • Information for Authors
    • Information for Reviewers
    • Information for Librarians
    • Information for Advertisers
    • Conferences
  • Language Editing
Spandidos Publications Logo
  • About
    • About Spandidos
    • Aims and Scopes
    • Abstracting and Indexing
    • Editorial Policies
    • Reprints and Permissions
    • Job Opportunities
    • Terms and Conditions
    • Contact
  • Journals
    • All Journals
    • Biomedical Reports
      • Information for Authors
      • Editorial Policies
      • Editorial Board
      • Aims and Scope
      • Abstracting and Indexing
      • Bibliographic Information
      • Archive
    • Experimental and Therapeutic Medicine
      • Information for Authors
      • Editorial Policies
      • Editorial Board
      • Aims and Scope
      • Abstracting and Indexing
      • Bibliographic Information
      • Archive
    • International Journal of Epigenetics
      • Information for Authors
      • Editorial Policies
      • Editorial Board
      • Aims and Scope
      • Abstracting and Indexing
      • Bibliographic Information
      • Archive
    • International Journal of Functional Nutrition
      • Information for Authors
      • Editorial Policies
      • Editorial Board
      • Aims and Scope
      • Abstracting and Indexing
      • Bibliographic Information
      • Archive
    • International Journal of Molecular Medicine
      • Information for Authors
      • Editorial Policies
      • Editorial Board
      • Aims and Scope
      • Abstracting and Indexing
      • Bibliographic Information
      • Archive
    • International Journal of Oncology
      • Information for Authors
      • Editorial Policies
      • Editorial Board
      • Aims and Scope
      • Abstracting and Indexing
      • Bibliographic Information
      • Archive
    • Medicine International
      • Information for Authors
      • Editorial Policies
      • Editorial Board
      • Aims and Scope
      • Abstracting and Indexing
      • Bibliographic Information
      • Archive
    • Molecular and Clinical Oncology
      • Information for Authors
      • Editorial Policies
      • Editorial Board
      • Aims and Scope
      • Abstracting and Indexing
      • Bibliographic Information
      • Archive
    • Molecular Medicine Reports
      • Information for Authors
      • Editorial Policies
      • Editorial Board
      • Aims and Scope
      • Abstracting and Indexing
      • Bibliographic Information
      • Archive
    • Oncology Letters
      • Information for Authors
      • Editorial Policies
      • Editorial Board
      • Aims and Scope
      • Abstracting and Indexing
      • Bibliographic Information
      • Archive
    • Oncology Reports
      • Information for Authors
      • Editorial Policies
      • Editorial Board
      • Aims and Scope
      • Abstracting and Indexing
      • Bibliographic Information
      • Archive
    • World Academy of Sciences Journal
      • Information for Authors
      • Editorial Policies
      • Editorial Board
      • Aims and Scope
      • Abstracting and Indexing
      • Bibliographic Information
      • Archive
  • Articles
  • Information
    • For Authors
    • For Reviewers
    • For Librarians
    • For Advertisers
    • Conferences
  • Language Editing
Login Register Submit
  • This site uses cookies
  • You can change your cookie settings at any time by following the instructions in our Cookie Policy. To find out more, you may read our Privacy Policy.

    I agree
Search articles by DOI, keyword, author or affiliation
Search
Advanced Search
presentation
Experimental and Therapeutic Medicine
Join Editorial Board Propose a Special Issue
Print ISSN: 1792-0981 Online ISSN: 1792-1015
Journal Cover
July-2023 Volume 26 Issue 1

Full Size Image

Sign up for eToc alerts
Recommend to Library

Journals

International Journal of Molecular Medicine

International Journal of Molecular Medicine

International Journal of Molecular Medicine is an international journal devoted to molecular mechanisms of human disease.

International Journal of Oncology

International Journal of Oncology

International Journal of Oncology is an international journal devoted to oncology research and cancer treatment.

Molecular Medicine Reports

Molecular Medicine Reports

Covers molecular medicine topics such as pharmacology, pathology, genetics, neuroscience, infectious diseases, molecular cardiology, and molecular surgery.

Oncology Reports

Oncology Reports

Oncology Reports is an international journal devoted to fundamental and applied research in Oncology.

Experimental and Therapeutic Medicine

Experimental and Therapeutic Medicine

Experimental and Therapeutic Medicine is an international journal devoted to laboratory and clinical medicine.

Oncology Letters

Oncology Letters

Oncology Letters is an international journal devoted to Experimental and Clinical Oncology.

Biomedical Reports

Biomedical Reports

Explores a wide range of biological and medical fields, including pharmacology, genetics, microbiology, neuroscience, and molecular cardiology.

Molecular and Clinical Oncology

Molecular and Clinical Oncology

International journal addressing all aspects of oncology research, from tumorigenesis and oncogenes to chemotherapy and metastasis.

World Academy of Sciences Journal

World Academy of Sciences Journal

Multidisciplinary open-access journal spanning biochemistry, genetics, neuroscience, environmental health, and synthetic biology.

International Journal of Functional Nutrition

International Journal of Functional Nutrition

Open-access journal combining biochemistry, pharmacology, immunology, and genetics to advance health through functional nutrition.

International Journal of Epigenetics

International Journal of Epigenetics

Publishes open-access research on using epigenetics to advance understanding and treatment of human disease.

Medicine International

Medicine International

An International Open Access Journal Devoted to General Medicine.

Journal Cover
July-2023 Volume 26 Issue 1

Full Size Image

Sign up for eToc alerts
Recommend to Library

  • Article
  • Citations
    • Cite This Article
    • Download Citation
    • Create Citation Alert
    • Remove Citation Alert
    • Cited By
  • Similar Articles
    • Related Articles (in Spandidos Publications)
    • Similar Articles (Google Scholar)
    • Similar Articles (PubMed)
  • Download PDF
  • Download XML
  • View XML
Article Open Access

A mix of ginger phenols exhibits anti‑adipogenic and lipolytic effects in mature adipocytes derived from 3T3‑L1 cells

  • Authors:
    • Gildardo Gembe‑Olivarez
    • María Elizabeth Preciado‑Ortiz
    • Wendy Campos‑Perez
    • Sarai Citlalic Rodríguez‑Reyes
    • Erika Martínez‑López
    • Juan José Rivera‑Valdés
  • View Affiliations / Copyright

    Affiliations: Institute of Translational Nutrigenetics and Nutrigenomics, Department of Molecular Biology and Genomics, University Center of Health Sciences, University of Guadalajara, Guadalajara, Jalisco 44340, Mexico
    Copyright: © Gembe‑Olivarez et al. This is an open access article distributed under the terms of Creative Commons Attribution License.
  • Article Number: 336
    |
    Published online on: May 22, 2023
       https://doi.org/10.3892/etm.2023.12035
  • Expand metrics +
Metrics: Total Views: 0 (Spandidos Publications: | PMC Statistics: )
Metrics: Total PDF Downloads: 0 (Spandidos Publications: | PMC Statistics: )
Cited By (CrossRef): 0 citations Loading Articles...

This article is mentioned in:



Abstract

The prevalence of obesity has increased rapidly worldwide. Obesity is characterized by excessive adipose tissue in the body, which is related to hyperplasia and hypertrophy in adipocytes. Ginger (Zingiber officinale Roscoe) is a medicinal plant that possesses an anti‑obesogenic effect mostly attributed to gingerols, the most abundant bioactive compounds in ginger. The anti‑adipogenic and lipolytic effects of these phenols have been shown when investigated individually. Therefore, the present study aimed to evaluate the lipolytic and anti‑adipogenic activity of a mix of the main ginger phenols 6‑gingerol, 8‑gingerol, 10‑gingerol, 6‑shogaol, 8‑shogaol and 10‑shogaol on the 3T3‑L1 cell line. A total of four study groups were designed: Negative control (3T3‑L1 preadipocytes); positive control (mature 3T3‑L1 adipocytes); phenols‑pre (3T3‑L1 cells stimulated with the phenols mix during adipogenic differentiation); and phenols‑post (mature 3T3‑L1 adipocytes stimulated with the phenols mix). MTT viability cell assay and Oil Red O staining were performed. Glycerol concentration supernatants were determined using the VITROS 350 Chemistry System. Expression of mRNA was measured using qPCR. The treatment with a 2 µg/ml ginger phenol dose reduced the lipid content by 45.52±7.8 and 35.95±0.76% in the phenols‑pre and ‑post group, respectively, compared with that in the positive control group. The phenols‑post group presented a higher glycerol concentration in the supernatant compared with that in the positive control and the phenols‑pre groups. The mRNA expression levels of CCAAT/enhancer‑binding protein alpha, peroxisome proliferator activated receptor‑γ, fatty acid‑binding protein 4 and fatty acid synthase were higher in the phenols‑pre and lower in the phenols‑post groups, compared with those in the positive control group. To the best of our knowledge, the current study demonstrated for the first time the anti‑adipogenic and lipolytic effects of a mix of the main bioactive compounds found in ginger, and it also established the basis to use this mix of phenols in in vivo studies and clinical trials.

Introduction

The prevalence of obesity has increased rapidly. According to the World Health Organization (WHO), obesity rates have increased 3-fold in adults and 5-fold in children and adolescents from 1975 to 2016(1). Physiologically, obesity is the result of an excessive increase of adipose tissue in the body, which is a process related to hyperplasia and hypertrophy in adipocytes (2). The differentiation from preadipocytes into adipocytes to store lipid droplets is called adipogenesis, a process regulated by the activation and expression of different genes that participate in both the early and late differentiation stages, such as peroxisome proliferator-activated receptor-γ (PPAR-γ), CAAT enhancer binding protein α (C/EBPα), acetyl-coenzyme A carboxylase (ACACA), fatty acid synthase (FASN) and fatty acid binding protein 4 (FABP4) (3,4). Fatty tissue and adipocytes are a research focus for treatment of metabolic diseases (5).

Different treatment options were proposed for the control and reduction of adiposity. The first-line intervention includes diet modification, limiting the consumption of total fats and sugars and increasing the consumption of fruits, vegetables, legumes, whole grains and nuts, and increased physical activity (1). However, some patients need to complement this intervention with pharmacological therapy. Despite the benefits of the anti-obesity drugs, such as orlistat, lorcaserin, liraglutide, or phentermine-topiramate, some important barriers exist to widespread application, including high financial burden and a wide number of reported side effects like nausea, vomiting, constipation, hypoglycemia, diarrhea, headache, and abdominal pain (2). For these reasons, some bioactive food compounds have attracted attention in the treatment of obesity, such as capsaicin from chili or caffeine and ephedrine from guarana due to their properties that activate vasodilator and endorphin-releasing nerve signals, or thermal properties, which they increase energy and reduce weight, respectively (6-9). Therefore, it is necessary to continue the search and validation of active compounds that could be used in the treatment of obesity.

Ginger (Zingiber officinale Roscoe) is a medicinal plant with various beneficial effects, including anti-inflammatory, antioxidant, anti-nausea, antiemetic, lipid-lowering, and recently, the anti-obesogenic effect (10-12). Ginger contains a variety of phenolic compounds, with the most notable being gingerols, shogaols and paradols (13). Gingerols constitute the majority of phenolic compounds in fresh ginger and include 6-, along with 4-, 5-, 8-, 10- and 12-gingerols (14). Gingerols are thermally labile due to the presence of a β-hydroxy keto group and they are converted under high temperature to the corresponding shogaols (15). Gingerols (23-25%) and shogaols (18-25%) are the main bioactive constituents of ginger (14) and potential mediators of its major therapeutic effects (16).

Some studies demonstrated the anti-adipogenic and lipolytic effects of these phenols individually. The ability of 6-gingerol to inhibit adipocyte hypertrophy and hyperplasia both in vitro and in vivo was clearly demonstrated (17-20). Suk et al (10,11) showed that treatment with 40 µM of either 6-shogaol, 8- or 10-gingerol decrease the content of lipids in 3T3-L1 adipocytes, which is a murine embryonic preadipocyte cell line widely used for adipogenesis research. Even 6-shogaol was used in clinical trials where mean body weight, BMI and body fat level were lower in the group that received capsules of steamed ginger ethanolic extract rich in 6-shogaol than in the placebo group (21). However, to the best of our knowledge, there are no studies that evaluated the anti-obesogenic effect of the 6-, 8- and 10-gingerol plus 6-, 8- and 10-shogaol on adipose tissue. Therefore, the current study aimed to evaluate the lipolytic and anti-adipogenic activity of a mix of the main ginger phenols in the 3T3-L1 cell line.

Materials and methods

3T3-L1 cell culture and differentiation

Mouse 3T3-L1 preadipocytes were obtained from the Immunology Laboratory of the University Center of Health Sciences, University of Guadalajara, Mexico. Cells were cultured in DMEM (cat. no. SIG-D6429; Merck KGaA) supplemented with 10% Bovine Calf Serum (cat. no. 12389812; HyClone; Cytiva) and 1% antibiotics (100 U/ml penicillin and 100 µg/ml streptomycin; cat. no. 15140122; Thermo Fisher Scientific, Inc.). (maintenance medium) at 37˚C and 5% CO2 in a cell incubator (cat. no. SCO6AD; Sheldon Manufacturing, Inc.). The cells were seeded in Petri dishes at a density of 1x105 cells/dish and the maintenance medium was replaced every 2-3 days until the cells reached 100% confluence. At 1 day post-confluence (day 0), medium was substituted with DMEM/F-12 (cat. no. 21041025; Thermo Fisher Scientific, Inc.) supplemented with 10% FBS (cat. no. 16000044; Thermo Fisher Scientific, Inc.), 1% antibiotics and an adipogenic cocktail including 500 µM 3-isobutyl-1-methylxanthine (IBMX), 1 µM dexamethasone, 1.5 µg/ml insulin and 1 µM rosiglitazone (3T3-L1 Differentiation Kit; cat. no. SIG-DIF001-1KT; Merck KGaA) for 3 days, according to the manufacturer's instructions. On day 3, the medium was replaced with DMEM/F-12 supplemented (cat. no. 21041025; Thermo Fisher Scientific, Inc.) supplemented with 10% FBS (cat. no. 16000044; Thermo Fisher Scientific, Inc.), 1% antibiotics and an adipogenic cocktail including 500 µM IBMX, 1 µM dexamethasone, 1.5 µg/ml insulin and 1 µM rosiglitazone (3T3-L1 Differentiation Kit; cat. no. SIG-DIF001-1KT; Merck KGaA) for 3 days. On day 3, the medium was replaced with DMEM supplemented with 10% FBS, 1% antibiotics and 5 µg/ml insulin, and the cells were cultured for 5 days. The total duration of adipogenesis was 8 days from the induction of differentiation with adipogenic cocktail and the cells were incubated at 37˚C and 5% CO2.

Mix of the main ginger phenols

A solution from ginger gingerols and shogaols mix was acquired from Merck KGaA (cat. no. SIG-G-027-1ML). The solution contained the main phenols of ginger (6-, 8- and 10-gingerol and 6-, 8- and 10-shogaol) at a standard concentration of 500 µg/ml for every component (Fig. 1).

Figure 1

Molecular structure of ginger phenols contained in the mix 6-, 8-, 10-gingerol and 6-, 8- and 10- shogaol.

3T3-L1 cell treatment

A dose-response curve was generated using 1, 2, 3, 4 and 5 µg/ml phenol-mix during the adipogenesis process (8 days) and in mature 3T3-L1 adipocytes (48 h) to determine the dose to be used in subsequent experiments. A total of four study groups were formed: i) Negative control (3T3-L1 preadipocytes); ii) positive control (mature 3T3-L1 adipocytes); iii) phenols-pre; and iv) phenols-post groups. In the phenols-pre group, confluent preadipocytes were incubated with phenol-mix until mature adipocytes were formed (day 8). In the phenols-post group, after 8 days of differentiation, cells were treated for a period of 48 h with phenol-mix. After the treatment with the phenol-mix, supernatants were collected in tubes and stored at -80˚C; the 3T3-L1 adipocytes were cryopreserved for 1 month. No prior treatment was performed on the samples at the time of its use in the experimental analysis.

MTT assay

3T3-L1 preadipocytes were seeded at 5x103 cells/well in 96-well plates (cat. no. 701001; Nest Scientific USA Inc.). Cells were differentiated as aforementioned in the presence or absence of the mix of main ginger phenols. After 8 (phenols-pre group) and 10 days (phenols-post group), 1 mg/ml of MTT (cat. no. M6494; Thermo Fisher Scientific, Inc.) solution was added and cells were incubated for 1 h at 37˚C. The dark blue formazan crystals were dissolved in an extraction buffer containing 20% SDS and 50% dimethylformamide. Absorbance at 570 nm was measured using a microplate reader (Multiskan™ GO; cat. no. 51119300; Thermo Fisher Scientific, Inc.).

Oil Red O staining

3T3-L1 preadipocytes were differentiated as aforementioned in the presence or absence of the mix of main ginger phenols. Fully differentiated cells were fixed with 10% (v/v) formaldehyde solution for 60 min at room temperature and washed 3 times with distilled water. Lipid droplets in mature adipocytes were then stained with Oil red O (cat. no. O0625; Merck KGaA) solution for 15 min and washed 3 times with distilled water. The stained Oil Red O was then dissolved in 100% isopropanol (cat. no. IB15730; IBI Scientific) and the absorbance was measured at 515 nm using a microplate reader (Multiskan GO; cat. no. 51119300; Thermo Fisher Scientific, Inc.).

Determination of glycerol release

Glycerol quantification in supernatants was performed using the VITROS 350 Chemistry System (QuidelOrtho Corporation) with TRIG slides (cat. no. OCD-MS-1336544; QuidelOrtho Corporation), according to the manufacturer's instructions.

mRNA expression quantification using reverse transcription-quantitative PCR (RT-qPCR)

Total RNA was isolated from the study groups with the RNeasy Mini Kit (cat. no. 74104; Qiagen, Inc.) following the manufacturer's instructions. Total RNA (1 µg ) was reverse transcribed into cDNA using the M-MLV Reverse Transcriptase (cat. no. 28025013; Thermo Fisher Scientific, Inc.), according to the manufacturer's protocol. The mRNA expression was quantified using qPCR (LightCycler 96 thermocycler; Roche Diagnostics) using the OneTaq® Hot Start Master Mix (cat. no. N01-M0484L; New England Biolabs, Ltd.) and the following TaqMan® Real-Time PCR Assays for Rn18s (cat. no. Mm03928990_g1), PPAR-γ (cat. no. Mm00440940_m1), C/EBPα (cat. no. Mm00514283_s1), ACACA (cat. no. Mm01304257_m1), FASN (cat. no. Mm00662319_m1) and FABP4 (cat. no. Mm00445878_m1), all from Thermo Fisher Scientific, Inc. The following thermocycling conditions for qPCR were used: Initial preincubation at 95˚C for 300 sec; 30 cycles of denaturation at 95˚C for 20 sec and amplification at 60˚C for 60 sec; and 1 cycle of extension at 68˚C for 300 sec. The relative gene expression was quantified using the 2-ΔΔCq method (19) and normalized against the expression level of 18S as an internal reference gene. Each analysis and quantification were independently repeated 3 times.

Statistical analysis

Experimental analyses were performed in triplicate. Data are expressed as mean ± SD. Differences among groups were evaluated using one-way ANOVA followed by Tukey's post hoc test. Data were analyzed using SPSS (version 25; IBM Corp.). P<0.05 was considered to indicate a statistically significant difference.

Results

Cell viability and lipid content dose-response curves with phenol-mix

A dose-response curve with phenol-mix was performed in the 3T3-L1 cell line to establish the treatment dose. Subsequently, cell viability was evaluated with the MTT assay and lipid content with Oil Red O staining. Treatment of immature 3T3-L1 cells with ≥3 µg/ml phenol-mix during the differentiation process significantly decreased the percentage of living cells (P<0.01; Fig. 2A); these concentrations were excluded from subsequent experiments. However, treatment with the phenols mix did not significantly decrease the cell viability of mature 3T3-L1 adipocytes (Fig. 2B). Regarding the lipid content, the 3T3-L1 cells treated with phenol-mix during the adipogenesis process showed a decreased percentage of lipids compared with that in the positive control group at every concentration (P<0.001). Particularly, the 2 µg/ml dose lead to the greatest reduction in lipid content compared to the positive control group (P<0.001; Fig. 3A). Similarly, the mature 3T3-L1 adipocytes treated with 2, 4 (both P<0.01) and 5 µg/ml (P<0.001) phenol-mix presented a significantly lower percentage of lipids than the positive control group (Fig. 3B).

Figure 2

Cell viability dose-response curve of phenol-mix. (A) 3T3-L1 cells were treated with the phenol-mix at 1, 2, 3, 4 and 5 µg/ml during adipogenic differentiation and cell viability was determined using MTT assay. (B) Mature 3T3-L1 adipocytes were treated with the phenol-mix at 1,2,3,4 and 5 µg/ml for 48 h and cell viability was measured using MTT assay. Each bar represents the mean ± standard deviation of three experiments. **P<0.01 and ***P<0.001 vs. positive control. NC, negative control (3T3-L1 cells); PC, positive control (mature 3T3-L1 adipocytes); phenols-pre, 3T3-L1 cells stimulated with the phenols mix during adipogenic differentiation; phenols-post, mature 3T3-L1 adipocytes stimulated with the phenols mix.

Figure 3

Dose-response curve of the main ginger phenols mix effects on lipid content. (A) 3T3-L1 cells were treated with the mix of the main ginger phenols at various concentrations (1,2,3,4 and 5 µg/ml) during adipogenic differentiation and lipid content was measured. (B) Mature 3T3-L1 adipocytes were treated with the mix of the main ginger phenols at various concentrations (1,2,3,4 and 5 µg/ml) for 48 h and lipid content was measured. Each bar represents the mean ± standard deviation of three experiments. **P<0.01 and ***P<0.001 vs. positive control. NC, negative control (3T3-L1 cells); PC, positive control (mature 3T3-L1 adipocytes); phenols-pre, 3T3-L1 cells stimulated with the phenols mix during adipogenic differentiation; phenols-post, mature 3T3-L1 adipocytes stimulated with the phenols mix.

Treatment with the 2 µg/ml dose both during adipogenesis and in mature 3T3-L1 adipocytes showed the greatest reduction of lipid content (P<0.001 and P<0.01, respectively) without affecting cell viability (P=0.812). For this reason, the 2 µg/ml treatment dose was chosen for the following experiments.

Effects of the phenol-mix on cell viability and adipocyte differentiation

After determining the optimal treatment dose (2 µg/ml), the negative control, positive control, phenols-pre and phenols-post study groups were formed to analyze the differences in cell viability and adipocyte differentiation with or without treatment with phenol-mix. The percentage of viable cells was not affected by the treatment with 2 µg/ml in both phenols-pre (P=0.275) and phenols-post (P=0.710) groups compared with that in the positive control group (Fig. 4A). Notably, the treatment with 2 µg/ml induced a reduction of the lipid content by 45.52±7.8 and 35.95±0.76% in the phenols-pre and -post groups, respectively, compared with that in the positive control group (P<0.001; Fig. 4B). Oil red O staining revealed lipid content differences between groups. As expected, negative control 3T3-L1 cells showed no staining, while high staining was observed in the positive control (PC; mature 3T3-L1 adipocytes) which is indicative that adipogenic differentiation has occurred successfully. Finally, in the groups treated with the phenol-mix during and after adipogenesis, a qualitative decrease of the dye is observed in comparison with PC, which is an indirect indicator of a lower amount of stored lipids (Fig. 4C).

Figure 4

Effects of phenol-mix on cell viability and lipid content. (A) The study groups were treated with 2 µg/ml phenol-mix and (A) Cell viability (MTT assay) and (B) Lipid content were measured. (C) Representative images of the lipid content in the four groups after Oil Red O staining (magnification, x40). Each bar represents the mean ± standard deviation of three experiments. ***P<0.001 vs. positive control. NC, negative control (3T3-L1 cells); PC, positive control (mature 3T3-L1 adipocytes); phenols-pre, 3T3-L1 cells stimulated with the phenols mix during adipogenic differentiation; phenols-post, mature 3T3-L1 adipocytes stimulated with the phenols mix.

Effects of phenol-mix on glycerol release from mature 3T3-L1 adipocytes

The glycerol content in the supernatant was measured as a marker of lipolysis in the four study groups. Results showed that the phenols-pre group released a lower glycerol amount than that of the positive control group (P<0.001). Conversely, the phenols-post group presented a higher glycerol concentration in the supernatant compared with that in the positive control (P<0.001) and was numerically increased compared with that in the phenols-pre group (Fig. 5).

Figure 5

Effects of the main ginger phenols mix on glycerol-release activity. 3T3-L1 cells were treated with 2 µg/ml of the mix of the main ginger phenols during adipogenic differentiation, while mature 3T3-L1 adipocytes were treated with the same dose for 48 h. Glycerol determination in supernatant was performed using VITROS 350 Chemistry System following the manufacturer's instructions. Each bar represents the mean ± standard deviation of three experiments. ***P<0.001 vs. positive control. NC, negative control (3T3-L1 cells); PC, positive control (mature 3T3-L1 adipocytes); phenols-pre, 3T3-L1 cells stimulated with the phenols mix during adipogenic differentiation; phenols-post, mature 3T3-L1 adipocytes stimulated with the phenols mix.

Effects of phenol-mix on proadipogenic and lipogenic genes in 3T3-L1 adipocytes

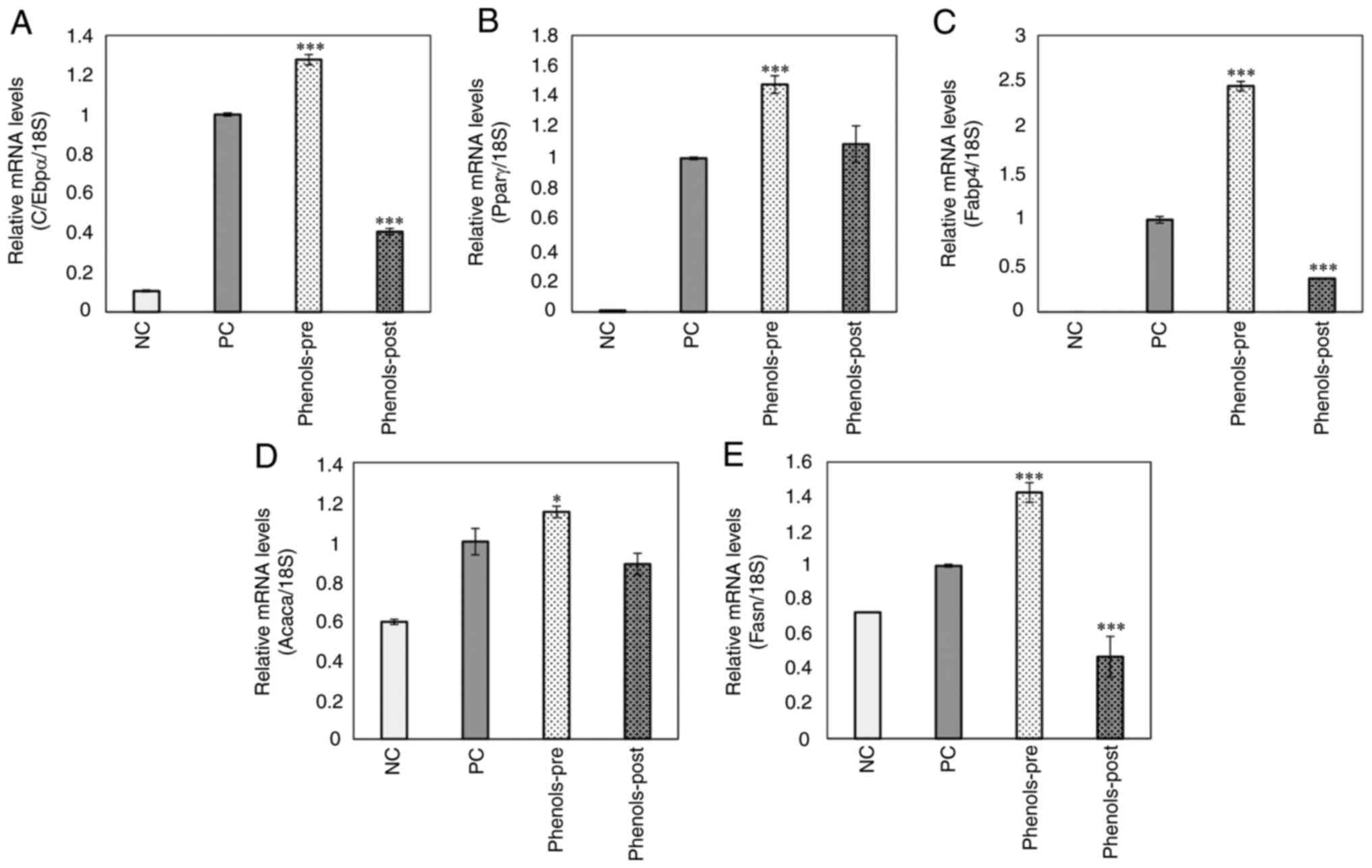
Finally, the expression of genes related to the regulation of adipogenesis and lipogenesis in the study groups was analyzed. The phenols-pre group showed higher expression at the mRNA level of C/EBPα, PPAR-γ, FABP4, ACACA and FASN than that of the positive control group (P<0.05; Fig. 6A-E). By contrast, the phenols-post group presented a significantly lower expression of C/EBPα, FABP4 and FASN compared with that in the positive control group (P<0.001; Fig. 6A, C and E). The expression of PPAR-γ and ACACA was not significantly different compared with that in the positive control (Fig. 6D).

Figure 6

Effects of the main ginger phenols mix on pro-adipogenic and -lipogenic genes expression. (A) CCAAT enhancer-binding protein α, (B) peroxisome proliferator-activated receptor-γ, (C) fatty acid binding protein 4, (D) acetyl-coenzyme A carboxylase and (E) fatty acid synthase mRNA levels in 3T3-L1 mature adipocytes were examined using reverse transcription-quantitative PCR. Each bar represents the mean ± standard deviation of three experiments. *P<0.05 and ***P<0.001 vs positive control. ACACA, acetyl-coenzyme A carboxylase; C/EBPα, CCAAT enhancer-binding protein α; FABP4, fatty acid binding protein 4; FASN, fatty acid synthase; PPAR-γ, peroxisome proliferator-activated receptor-γ; NC, negative control (3T3-L1 cells); PC, positive control (mature 3T3-L1 adipocytes); phenols-pre, 3T3-L1 cells stimulated with the phenols mix during adipogenic differentiation; phenols-post, mature 3T3-L1 adipocytes stimulated with the phenols mix.

Discussion

This study demonstrated that the six main phenols contained in ginger, i.e. 6-, 8-, 10-gingerol and 6-, 8- and 10-shogaol, could decrease the lipid content in both 3T3-L1 cells undergoing adipogenic differentiation and in mature adipocytes derived from this cell line.

Several studies evaluated the ability of plant-derived extracts to reduce the lipid content in the 3T3-L1 cell line (8,23-26). These phenols were evaluated individually in different experimental models that support their antitumor (27,28), anti-inflammatory (29,30) and anti-obesogenic capacities (31). Nonetheless, to the best of our knowledge, there were no previous studies that tested these six phenols together. Notably, the anti-adipogenic effect of different gingerols were widely studied in both in vitro and in vivo models (11,19,20,32-34). The coordination of the stages of adipocyte differentiation was shown to be regulated by the sequential activation of transcriptional factors, including PPAR-γ and various members of the C/EBP family of transcriptional factors (35). Therefore, the decrease in lipid content in in vitro model could be attributed to the suppression of the transcriptional factors that regulate adipogenesis, i.e. PPAR-γ and C/EBPα (34,36). However, although the results of the present study in the phenols-pre group did not reflect the trend observed in other previous studies, a reduction in the concentration of these pro-adipogenic markers at the protein level could not be rejected since studies found discrepancies between the transcriptional and translational levels of C/EBPα (37,38). Some studies showed that other natural bioactive compounds could inhibit the PPAR-γ translocation to the nucleus (23,39,40). Hence, more studies would be needed to clarify the molecular mechanism by which gingerols and shogaols decrease the lipid content during differentiation of 3T3-L1 cells to adipocyte.

Recently, Cheng et al (20) conducted a study using 6-gingerol as an intervention in a C57BL/6 J high-fat-diet-induced obese mice that resembled the phenols-post group of the present study. The authors reported decreases in the expression of PPAR-γ, C/EBPα and FABP4 from epididymal white adipose tissue both at the transcriptional and translational levels, consistent with the results of the current study for the phenols-post group. PPARγ and C/EBPα were known to form a positive feedback loop with each other and to promote the expression of genes that encode proteins related to the adipogenic phenotype (3), including FABP/aP2 (FABP4 gene), which is induced during adipocyte differentiation and expressed in adipocytes (41). Therefore, the significant reduction of these adipogenic markers in the phenol-post group of the present study indicated that the suppression of adipogenesis could be a key factor for the anti-obesogenic effect of this group. Noteworthy, the regulation of the lipid metabolism by these transcriptional factors could be involved in this process.

The decrease of lipids in mature 3T3-L1 adipocytes may also be related to the suppression of lipogenesis and lipid accumulation (31). Some ginger compounds, specifically 6-shogaol and 6-gingerol, may serve as PPAR-δ agonists with subsequent effects on energy homeostasis, such as a reduction of lipid deposition in skeletal muscle and adipose tissue (42). Moreover, the mechanisms that mediate the suppression of lipogenesis are intrinsically linked to the expression levels of lipogenic enzymes such as acetyl CoA carboxylase (ACC) and fatty acid synthase (FAS) (43,44). ACC catalyzes the carboxylation of acetyl-CoA to malonyl-CoA, the rate-limiting step in fatty acid synthesis; in turn, FAS is involved in energy homeostasis by converting energy into lipid storage (45). These enzymes are expressed in adipose tissue at high levels and their expression and activity are acutely and chronically regulated through transcriptional control and post-translational modifications are associated with nutritional status (fasting and feeding) and substrate availability (46). Results from the present study revealed significantly decreased expression of FASN in the phenol-post group, suggesting that the observed decrease in lipid accumulation in mature adipocytes achieved by these ginger phenols could be related to the inhibition of the expression of these lipogenic enzymes. Future in vitro studies should evaluate the protein expression and activity of FAS and ACC, as well as how these are regulated by the main bioactive compounds in ginger.

Finally, the current study also showed lipolytic activity of the mix of phenols derived from ginger on mature 3T3-L1 adipocytes. The lipolytic effect was previously reported for 6-shogaol (11). However, it should be noted that considerably lower doses were used in the present study than those reported by previous studies with individual phenols. For instance, a greater pro-lipolytic effect was observed in the present study than that achieved by Suk et al (10,11) who only used 6-shogaol (40 µM), an observation that also occurred with the anti-obesogenic effect found in the present study. Therefore, the rest of the phenols contained in the mix would be responsible for enhancing this effect. Further studies are required to elucidate the individual lipolysis-promoting capacities of the rest of the phenols in the mix.

In conclusion, the present study shows for the first time the anti-adipogenic and lipolytic effects of a mix of the main bioactive compounds found in ginger, i.e. 6-, 8-, 10-gingerol and 6-, 8-and 10-shogaol, during the differentiation of 3T3-L1 cells to adipocytes as well as on mature adipocytes. Future approaches will need to test the in vivo effects of this mix of ginger phenols to provide more compressive data that would validate its use in clinical protocols, as perhaps all or some of them could be useful for the treatment and prevention of obesity.

Acknowledgements

The authors would like to thank Dr. Trinidad Garcia-Iglesias (University of Guadalajara, Guadalajara, Mexico) for having generously donated the 3T3-L1 cell line and the Biomedical Sciences Research Institute of the University of Guadalajara for providing equipment used in the present study.

Funding

Funding: This work was partly supported by the University of Guadalajara (Guadalajara, Mexico; grant no. PIN-2021-II).

Availability of data and materials

The datasets generated and/or analyzed during the current study are available from the corresponding author upon reasonable request.

Authors' contributions

JRV and EML contributed to the experimental design. GGO, MPO and SCRR performed the experiments. WCP and EML performed the validation of data and statistical analysis. GGO, MPO and JRV wrote the manuscript. MPO and JRV confirm the authenticity of all the raw data. All authors have read and approved the final manuscript.

Ethics approval and consent to participate

Not applicable.

Patient consent for publication

Not applicable.

Competing interests

The authors declare that they have no competing interests.

References

1 

World Health Organization (WHO): Obesity and Overweight. WHO, Geneva, 2021. https://www.who.int/es/news-room/fact-sheets/detail/obesity-and-overweight. Accessed December 12, 2022.

2 

Heymsfield SB and Wadden TA: Mechanisms, pathophysiology, and management of obesity. N Engl J Med. 376:254–266. 2017.PubMed/NCBI View Article : Google Scholar

3 

Ghaben AL and Scherer PE: Adipogenesis and metabolic health. Nat Rev Mol Cell Biol. 20:242–258. 2019.PubMed/NCBI View Article : Google Scholar

4 

Farmer SR: Transcriptional control of adipocyte formation. Cell Metab. 4:263–273. 2006.PubMed/NCBI View Article : Google Scholar

5 

Bray GA, Kim KK and Wilding JPH: Obesity: A chronic relapsing progressive disease process. A position statement of the World Obesity Federation. Obes Rev. 18:715–723. 2017.PubMed/NCBI View Article : Google Scholar

6 

Bahmani M, Eftekhari Z, Saki K, Fazeli-Moghadam E, Jelodari M and Rafieian-Kopaei M: Obesity phytotherapy: Review of native herbs used in traditional medicine for obesity. J Evid Based Complementary Altern Med. 21:228–234. 2016.PubMed/NCBI View Article : Google Scholar

7 

Yoshioka M, St-Pierre S, Suzuki M and Tremblay A: Effects of red pepper added to high-fat and high-carbohydrate meals on energy metabolism and substrate utilization in Japanese women. Br J Nutr. 80:503–510. 1998.PubMed/NCBI View Article : Google Scholar

8 

Oh MJ, Lee HB, Yoo G, Park M, Lee CH, Choi I and Park HY: Anti-obesity effects of red pepper (Capsicum annuum L.) leaf extract on 3T3-L1 preadipocytes and high fat diet-fed mice. Food Funct. 14:292–304. 2023.PubMed/NCBI View Article : Google Scholar

9 

Boozer CN, Nasser JA, Heymsfield SB, Wang V, Chen G and Solomon JL: An herbal supplement containing Ma Huang-Guarana for weight loss: A randomized, double-blind trial. Int J Obes Relat Metab Disord. 25:316–324. 2001.PubMed/NCBI View Article : Google Scholar

10 

Suk S, Kwon GT, Lee E, Jang WJ, Yang H, Kim JH, Thimmegowda NR, Chung MY, Kwon JY, Yang S, et al: Gingerenone A, a polyphenol present in ginger, suppresses obesity and adipose tissue inflammation in high-fat diet-fed mice. Mol Nutr Food Res. 61(1700139)2017.PubMed/NCBI View Article : Google Scholar

11 

Suk S, Seo SG, Yu JG and Yang H: A bioactive constituent of ginger, 6-shogaol, prevents adipogenesis and stimulates lipolysis in 3T3-L1 adipocytes. J Food Biochem. 40:84–90. 2016.

12 

Mao QQ, Xu XY, Cao SY, Gan RY, Corke H, Beta T and Li HB: Bioactive compounds and bioactivities of ginger (Zingiber officinale roscoe). Foods. 8:1–21. 2019.PubMed/NCBI View Article : Google Scholar

13 

Liu Y, Liu J and Zhang Y: Research progress on chemical constituents of zingiber officinale roscoe. Biomed Res Int. 2019(5370823)2019.PubMed/NCBI View Article : Google Scholar

14 

Yücel Ç, Karatoprak GŞ, Açıkara ÖB, Akkol EK, Barak TH, Sobarzo-Sánchez E, Aschner M and Shirooie S: Immunomodulatory and anti-inflammatory therapeutic potential of gingerols and their nanoformulations. Front Pharmacol. 13(902551)2022.PubMed/NCBI View Article : Google Scholar

15 

Ali BH, Blunden G, Tanira MO and Nemmar A: Some phytochemical, pharmacological and toxicological properties of ginger (Zingiber officinale Roscoe): A review of recent research. Food Chem Toxicol. 46:409–420. 2008.PubMed/NCBI View Article : Google Scholar

16 

Baliga MS, Haniadka R, Pereira MM, D'Souza JJ, Pallaty PL, Bhat HP and Popuri S: Update on the chemopreventive effects of ginger and its phytochemicals. Crit Rev Food Sci Nutr. 51:499–523. 2011.PubMed/NCBI View Article : Google Scholar

17 

Seo EY: Effects of (6)-gingerol, ginger component on adipocyte development and differentiation in 3T3-L1. J Nutr Heal. 48:327–334. 2015.

18 

Tzeng TF, Chang CJ and Liu IM: 6-gingerol inhibits rosiglitazone-induced adipogenesis in 3T3-L1 adipocytes. Phyther Res. 28:187–192. 2014.PubMed/NCBI View Article : Google Scholar

19 

Li C and Zhou L: Inhibitory effect 6-gingerol on adipogenesis through activation of the Wnt/β-catenin signaling pathway in 3T3-L1 adipocytes. Toxicol Vitr. 30:394–401. 2015.PubMed/NCBI View Article : Google Scholar

20 

Cheng Z, Xiong X, Zhou Y, Wu F, Shao Q, Dong R, Liu Q and Li L: 6-gingerol ameliorates metabolic disorders by inhibiting hypertrophy and hyperplasia of adipocytes in high-fat-diet induced obese mice. Biomed Pharmacother. 146(112491)2022.PubMed/NCBI View Article : Google Scholar

21 

Park SH, Jung SJ, Choi EK, Ha KC, Baek HI, Park YK, Han KH, Jeong SY, Oh JH, Cha YS, et al: The effects of steamed ginger ethanolic extract on weight and body fat loss: a randomized, double-blind, placebo-controlled clinical trial. Food Sci Biotechnol. 29:265–273. 2020.PubMed/NCBI View Article : Google Scholar

22 

Livak KJ and Schmittgen TD: Analysis of relative gene expression data using real-time quantitative PCR and the 2(-Delta Delta C(T)) method. Methods. 25:402–408. 2001.PubMed/NCBI View Article : Google Scholar

23 

Kim EJ, Kang MJ, Seo YB, Nam SW and Kim GD: Acer okamotoanum nakai leaf extract inhibits adipogenesis via suppressing expression of PPAR γ and C/EBP α in 3T3-L1 cells. J Microbiol Biotechnol. 28:1645–1653. 2018.PubMed/NCBI View Article : Google Scholar

24 

Oh MJ, Lee HHL, Lee HB, Do MH, Park M, Lee CH and Park HY: A water soluble extract of radish greens ameliorates high fat diet-induced obesity in mice and inhibits adipogenesis in preadipocytes. Food Funct. 13:7494–7506. 2022.PubMed/NCBI View Article : Google Scholar

25 

Palachai N, Wattanathorn J, Muchimapura S and Thukham-Mee W: Antimetabolic syndrome effect of phytosome containing the combined extracts of mulberry and ginger in an animal model of metabolic syndrome. Oxid Med Cell Longev. 2019(5972575)2019.PubMed/NCBI View Article : Google Scholar

26 

Pucci M, Mandrone M, Chiocchio I, Sweeney EM, Tirelli E, Uberti D, Memo M, Poli F, Mastinu A and Abate G: Different seasonal collections of Ficus carica L. Leaves diversely modulate lipid metabolism and adipogenesis in 3T3-L1 adipocytes. Nutrients. 14(2833)2022.PubMed/NCBI View Article : Google Scholar

27 

Pei XD, He ZL, Yao HL, Xiao JS, Li L, Gu JZ, Shi PZ, Wang JH and Jiang LH: 6-Shogaol from ginger shows anti-tumor effect in cervical carcinoma via PI3K/Akt/mTOR pathway. Eur J Nutr. 60:2781–2793. 2021.PubMed/NCBI View Article : Google Scholar

28 

de Lima RMT, Dos Reis AC, de Oliveira Santos JV, de Oliveira Ferreira JR, Lima Braga A, de Oliveira Filho JWG, de Menezes APM, da Mata AMOF, de Alencar MVOB, do Nascimento Rodrigues DC, et al: Toxic, cytogenetic and antitumor evaluations of (6)-gingerol in non-clinical in vitro studies. Biomed Pharmacother. 115(108873)2019.PubMed/NCBI View Article : Google Scholar

29 

Dugasani S, Pichika MR, Nadarajah VD, Balijepalli MK, Tandra S and Korlakunta JN: Comparative antioxidant and anti-inflammatory effects of (6)-gingerol, (8)-gingerol, (10)-gingerol and (6)-shogaol. J Ethnopharmacol. 127:515–520. 2010.PubMed/NCBI View Article : Google Scholar

30 

Qiu JL, Chai YN, Duan FY, Zhang HJ, Han XY, Chen LY and Duan F: 6-Shogaol alleviates CCl4-induced liver fibrosis by attenuating inflammatory response in mice through the NF-κB pathway. Acta Biochim Pol. 69:363–370. 2022.PubMed/NCBI View Article : Google Scholar

31 

Ebrahimzadeh Attari V, Malek Mahdavi A, Javadivala Z, Mahluji S, Zununi Vahed S and Ostadrahimi A: A systematic review of the anti-obesity and weight lowering effect of ginger (Zingiber officinale Roscoe) and its mechanisms of action. Phytother Res. 32:577–585. 2018.PubMed/NCBI View Article : Google Scholar

32 

Choi J, Kim KJ, Kim BH, Koh EJ, Seo MJ and Lee BY: 6-gingerol suppresses adipocyte-derived mediators of inflammation in vitro and in high-fat diet-induced obese zebra fish. Planta Med. 83:245–253. 2017.PubMed/NCBI View Article : Google Scholar

33 

Saravanan G, Ponmurugan P, Deepa MA and Senthilkumar B: Anti-obesity action of gingerol: effect on lipid profile, insulin, leptin, amylase and lipase in male obese rats induced by a high-fat diet. J Sci Food Agric. 94:2972–2977. 2014.PubMed/NCBI View Article : Google Scholar

34 

Jiao W, Mi S, Sang Y, Jin Q, Chitrakar B, Wang X and Wang S: Integrated network pharmacology and cellular assay for the investigation of an anti-obesity effect of 6-shogaol. Food Chem. 374(131755)2022.PubMed/NCBI View Article : Google Scholar

35 

Esteve Ràfols M: Adipose tissue: Cell heterogeneity and functional diversity. Endocrinol Nutr. 61:100–112. 2014.PubMed/NCBI View Article : Google Scholar : (In English, Spanish).

36 

Tzeng TF and Liu IM: 6-Gingerol prevents adipogenesis and the accumulation of cytoplasmic lipid droplets in 3T3-L1 cells. Phytomedicine. 20:481–487. 2013.PubMed/NCBI View Article : Google Scholar

37 

Uramaru N, Kawashima A, Osabe M and Higuchi T: Rhododendrol, a reductive metabolite of raspberry ketone, suppresses the differentiation of 3T3-L1 cells into adipocytes. Mol Med Rep. 27:1–9. 2023.PubMed/NCBI View Article : Google Scholar

38 

Smith A, Yu X and Yin L: Diazinon exposure activated transcriptional factors CCAAT-enhancer-binding proteins α (C/EBPα) and peroxisome proliferator-activated receptor γ (PPARγ) and induced adipogenesis in 3T3-L1 preadipocytes. Pestic Biochem Physiol. 150(48)2018.PubMed/NCBI View Article : Google Scholar

39 

Kang MJ, Kim KK, Son BY, Nam SW, Shin PG and Kim GD: The anti-adipogenic activity of a new cultivar, pleurotus eryngii var. ferulae ‘beesan no. 2’, through down-regulation of PPAR γ and C/EBP α in 3T3-L1 cells. J Microbiol Biotechnol. 26:1836–1844. 2016.PubMed/NCBI View Article : Google Scholar

40 

Zakłos-Szyda M, Pietrzyk N, Szustak M and Podsędek A: Viburnum opulus L. juice phenolics inhibit mouse 3T3-L1 cells adipogenesis and pancreatic lipase activity. Nutrients. 12(2003)2020.PubMed/NCBI View Article : Google Scholar

41 

Furuhashi M, Saitoh S, Shimamoto K and Miura T: Fatty acid-binding protein 4 (FABP4): Pathophysiological insights and potent clinical biomarker of metabolic and cardiovascular diseases. Clin Med Insights Cardiol. 2014:23–33. 2014.PubMed/NCBI View Article : Google Scholar

42 

Misawa K, Hashizume K, Yamamoto M, Minegishi Y, Hase T and Shimotoyodome A: Ginger extract prevents high-fat diet-induced obesity in mice via activation of the peroxisome proliferator-activated receptor δ pathway. J Nutr Biochem. 26:1058–1067. 2015.PubMed/NCBI View Article : Google Scholar

43 

Okamoto M, Irii H, Tahara Y, Ishii H, Hirao A, Udagawa H, Hiramoto M, Yasuda K, Takanishi A, Shibata S and Shimizu I: Synthesis of a new (6)-gingerol analogue and its protective effect with respect to the development of metabolic syndrome in mice fed a high-fat diet. J Med Chem. 54:6295–6304. 2011.PubMed/NCBI View Article : Google Scholar

44 

Impheng H, Richert L, Pekthong D, Scholfield CN, Pongcharoen S, Pungpetchara I and Srisawang P: (6)-Gingerol inhibits de novo fatty acid synthesis and carnitine palmitoyltransferase-1 activity which triggers apoptosis in HepG2. Am J Cancer Res. 5(1319)2015.PubMed/NCBI

45 

Chirala SS and Wakil SJ: Structure and function of animal fatty acid synthase. Lipids. 39:1045–1053. 2004.PubMed/NCBI View Article : Google Scholar

46 

Batchuluun B, Pinkosky SL and Steinberg GR: Lipogenesis inhibitors: Therapeutic opportunities and challenges. Nat Rev Drug Discov. 21:283–305. 2022.PubMed/NCBI View Article : Google Scholar

Related Articles

  • Abstract
  • View
  • Download
  • Twitter
Copy and paste a formatted citation
Spandidos Publications style
Gembe‑Olivarez G, Preciado‑Ortiz ME, Campos‑Perez W, Rodríguez‑Reyes SC, Martínez‑López E and Rivera‑Valdés JJ: A mix of ginger phenols exhibits anti‑adipogenic and lipolytic effects in mature adipocytes derived from 3T3‑L1 cells. Exp Ther Med 26: 336, 2023.
APA
Gembe‑Olivarez, G., Preciado‑Ortiz, M.E., Campos‑Perez, W., Rodríguez‑Reyes, S.C., Martínez‑López, E., & Rivera‑Valdés, J.J. (2023). A mix of ginger phenols exhibits anti‑adipogenic and lipolytic effects in mature adipocytes derived from 3T3‑L1 cells. Experimental and Therapeutic Medicine, 26, 336. https://doi.org/10.3892/etm.2023.12035
MLA
Gembe‑Olivarez, G., Preciado‑Ortiz, M. E., Campos‑Perez, W., Rodríguez‑Reyes, S. C., Martínez‑López, E., Rivera‑Valdés, J. J."A mix of ginger phenols exhibits anti‑adipogenic and lipolytic effects in mature adipocytes derived from 3T3‑L1 cells". Experimental and Therapeutic Medicine 26.1 (2023): 336.
Chicago
Gembe‑Olivarez, G., Preciado‑Ortiz, M. E., Campos‑Perez, W., Rodríguez‑Reyes, S. C., Martínez‑López, E., Rivera‑Valdés, J. J."A mix of ginger phenols exhibits anti‑adipogenic and lipolytic effects in mature adipocytes derived from 3T3‑L1 cells". Experimental and Therapeutic Medicine 26, no. 1 (2023): 336. https://doi.org/10.3892/etm.2023.12035
Copy and paste a formatted citation
x
Spandidos Publications style
Gembe‑Olivarez G, Preciado‑Ortiz ME, Campos‑Perez W, Rodríguez‑Reyes SC, Martínez‑López E and Rivera‑Valdés JJ: A mix of ginger phenols exhibits anti‑adipogenic and lipolytic effects in mature adipocytes derived from 3T3‑L1 cells. Exp Ther Med 26: 336, 2023.
APA
Gembe‑Olivarez, G., Preciado‑Ortiz, M.E., Campos‑Perez, W., Rodríguez‑Reyes, S.C., Martínez‑López, E., & Rivera‑Valdés, J.J. (2023). A mix of ginger phenols exhibits anti‑adipogenic and lipolytic effects in mature adipocytes derived from 3T3‑L1 cells. Experimental and Therapeutic Medicine, 26, 336. https://doi.org/10.3892/etm.2023.12035
MLA
Gembe‑Olivarez, G., Preciado‑Ortiz, M. E., Campos‑Perez, W., Rodríguez‑Reyes, S. C., Martínez‑López, E., Rivera‑Valdés, J. J."A mix of ginger phenols exhibits anti‑adipogenic and lipolytic effects in mature adipocytes derived from 3T3‑L1 cells". Experimental and Therapeutic Medicine 26.1 (2023): 336.
Chicago
Gembe‑Olivarez, G., Preciado‑Ortiz, M. E., Campos‑Perez, W., Rodríguez‑Reyes, S. C., Martínez‑López, E., Rivera‑Valdés, J. J."A mix of ginger phenols exhibits anti‑adipogenic and lipolytic effects in mature adipocytes derived from 3T3‑L1 cells". Experimental and Therapeutic Medicine 26, no. 1 (2023): 336. https://doi.org/10.3892/etm.2023.12035
Follow us
  • Twitter
  • LinkedIn
  • Facebook
About
  • Spandidos Publications
  • Careers
  • Cookie Policy
  • Privacy Policy
How can we help?
  • Help
  • Live Chat
  • Contact
  • Email to our Support Team