Spandidos Publications Logo
  • About
    • About Spandidos
    • Aims and Scopes
    • Abstracting and Indexing
    • Editorial Policies
    • Reprints and Permissions
    • Job Opportunities
    • Terms and Conditions
    • Contact
  • Journals
    • All Journals
    • Oncology Letters
      • Oncology Letters
      • Information for Authors
      • Editorial Policies
      • Editorial Board
      • Aims and Scope
      • Abstracting and Indexing
      • Bibliographic Information
      • Archive
    • International Journal of Oncology
      • International Journal of Oncology
      • Information for Authors
      • Editorial Policies
      • Editorial Board
      • Aims and Scope
      • Abstracting and Indexing
      • Bibliographic Information
      • Archive
    • Molecular and Clinical Oncology
      • Molecular and Clinical Oncology
      • Information for Authors
      • Editorial Policies
      • Editorial Board
      • Aims and Scope
      • Abstracting and Indexing
      • Bibliographic Information
      • Archive
    • Experimental and Therapeutic Medicine
      • Experimental and Therapeutic Medicine
      • Information for Authors
      • Editorial Policies
      • Editorial Board
      • Aims and Scope
      • Abstracting and Indexing
      • Bibliographic Information
      • Archive
    • International Journal of Molecular Medicine
      • International Journal of Molecular Medicine
      • Information for Authors
      • Editorial Policies
      • Editorial Board
      • Aims and Scope
      • Abstracting and Indexing
      • Bibliographic Information
      • Archive
    • Biomedical Reports
      • Biomedical Reports
      • Information for Authors
      • Editorial Policies
      • Editorial Board
      • Aims and Scope
      • Abstracting and Indexing
      • Bibliographic Information
      • Archive
    • Oncology Reports
      • Oncology Reports
      • Information for Authors
      • Editorial Policies
      • Editorial Board
      • Aims and Scope
      • Abstracting and Indexing
      • Bibliographic Information
      • Archive
    • Molecular Medicine Reports
      • Molecular Medicine Reports
      • Information for Authors
      • Editorial Policies
      • Editorial Board
      • Aims and Scope
      • Abstracting and Indexing
      • Bibliographic Information
      • Archive
    • World Academy of Sciences Journal
      • World Academy of Sciences Journal
      • Information for Authors
      • Editorial Policies
      • Editorial Board
      • Aims and Scope
      • Abstracting and Indexing
      • Bibliographic Information
      • Archive
    • International Journal of Functional Nutrition
      • International Journal of Functional Nutrition
      • Information for Authors
      • Editorial Policies
      • Editorial Board
      • Aims and Scope
      • Abstracting and Indexing
      • Bibliographic Information
      • Archive
    • International Journal of Epigenetics
      • International Journal of Epigenetics
      • Information for Authors
      • Editorial Policies
      • Editorial Board
      • Aims and Scope
      • Abstracting and Indexing
      • Bibliographic Information
      • Archive
    • Medicine International
      • Medicine International
      • Information for Authors
      • Editorial Policies
      • Editorial Board
      • Aims and Scope
      • Abstracting and Indexing
      • Bibliographic Information
      • Archive
  • Articles
  • Information
    • Information for Authors
    • Information for Reviewers
    • Information for Librarians
    • Information for Advertisers
    • Conferences
  • Language Editing
Spandidos Publications Logo
  • About
    • About Spandidos
    • Aims and Scopes
    • Abstracting and Indexing
    • Editorial Policies
    • Reprints and Permissions
    • Job Opportunities
    • Terms and Conditions
    • Contact
  • Journals
    • All Journals
    • Biomedical Reports
      • Information for Authors
      • Editorial Policies
      • Editorial Board
      • Aims and Scope
      • Abstracting and Indexing
      • Bibliographic Information
      • Archive
    • Experimental and Therapeutic Medicine
      • Information for Authors
      • Editorial Policies
      • Editorial Board
      • Aims and Scope
      • Abstracting and Indexing
      • Bibliographic Information
      • Archive
    • International Journal of Epigenetics
      • Information for Authors
      • Editorial Policies
      • Editorial Board
      • Aims and Scope
      • Abstracting and Indexing
      • Bibliographic Information
      • Archive
    • International Journal of Functional Nutrition
      • Information for Authors
      • Editorial Policies
      • Editorial Board
      • Aims and Scope
      • Abstracting and Indexing
      • Bibliographic Information
      • Archive
    • International Journal of Molecular Medicine
      • Information for Authors
      • Editorial Policies
      • Editorial Board
      • Aims and Scope
      • Abstracting and Indexing
      • Bibliographic Information
      • Archive
    • International Journal of Oncology
      • Information for Authors
      • Editorial Policies
      • Editorial Board
      • Aims and Scope
      • Abstracting and Indexing
      • Bibliographic Information
      • Archive
    • Medicine International
      • Information for Authors
      • Editorial Policies
      • Editorial Board
      • Aims and Scope
      • Abstracting and Indexing
      • Bibliographic Information
      • Archive
    • Molecular and Clinical Oncology
      • Information for Authors
      • Editorial Policies
      • Editorial Board
      • Aims and Scope
      • Abstracting and Indexing
      • Bibliographic Information
      • Archive
    • Molecular Medicine Reports
      • Information for Authors
      • Editorial Policies
      • Editorial Board
      • Aims and Scope
      • Abstracting and Indexing
      • Bibliographic Information
      • Archive
    • Oncology Letters
      • Information for Authors
      • Editorial Policies
      • Editorial Board
      • Aims and Scope
      • Abstracting and Indexing
      • Bibliographic Information
      • Archive
    • Oncology Reports
      • Information for Authors
      • Editorial Policies
      • Editorial Board
      • Aims and Scope
      • Abstracting and Indexing
      • Bibliographic Information
      • Archive
    • World Academy of Sciences Journal
      • Information for Authors
      • Editorial Policies
      • Editorial Board
      • Aims and Scope
      • Abstracting and Indexing
      • Bibliographic Information
      • Archive
  • Articles
  • Information
    • For Authors
    • For Reviewers
    • For Librarians
    • For Advertisers
    • Conferences
  • Language Editing
Login Register Submit
  • This site uses cookies
  • You can change your cookie settings at any time by following the instructions in our Cookie Policy. To find out more, you may read our Privacy Policy.

    I agree
Search articles by DOI, keyword, author or affiliation
Search
Advanced Search
presentation
Experimental and Therapeutic Medicine
Join Editorial Board Propose a Special Issue
Print ISSN: 1792-0981 Online ISSN: 1792-1015
Journal Cover
September-2023 Volume 26 Issue 3

Full Size Image

Sign up for eToc alerts
Recommend to Library

Journals

International Journal of Molecular Medicine

International Journal of Molecular Medicine

International Journal of Molecular Medicine is an international journal devoted to molecular mechanisms of human disease.

International Journal of Oncology

International Journal of Oncology

International Journal of Oncology is an international journal devoted to oncology research and cancer treatment.

Molecular Medicine Reports

Molecular Medicine Reports

Covers molecular medicine topics such as pharmacology, pathology, genetics, neuroscience, infectious diseases, molecular cardiology, and molecular surgery.

Oncology Reports

Oncology Reports

Oncology Reports is an international journal devoted to fundamental and applied research in Oncology.

Experimental and Therapeutic Medicine

Experimental and Therapeutic Medicine

Experimental and Therapeutic Medicine is an international journal devoted to laboratory and clinical medicine.

Oncology Letters

Oncology Letters

Oncology Letters is an international journal devoted to Experimental and Clinical Oncology.

Biomedical Reports

Biomedical Reports

Explores a wide range of biological and medical fields, including pharmacology, genetics, microbiology, neuroscience, and molecular cardiology.

Molecular and Clinical Oncology

Molecular and Clinical Oncology

International journal addressing all aspects of oncology research, from tumorigenesis and oncogenes to chemotherapy and metastasis.

World Academy of Sciences Journal

World Academy of Sciences Journal

Multidisciplinary open-access journal spanning biochemistry, genetics, neuroscience, environmental health, and synthetic biology.

International Journal of Functional Nutrition

International Journal of Functional Nutrition

Open-access journal combining biochemistry, pharmacology, immunology, and genetics to advance health through functional nutrition.

International Journal of Epigenetics

International Journal of Epigenetics

Publishes open-access research on using epigenetics to advance understanding and treatment of human disease.

Medicine International

Medicine International

An International Open Access Journal Devoted to General Medicine.

Journal Cover
September-2023 Volume 26 Issue 3

Full Size Image

Sign up for eToc alerts
Recommend to Library

  • Article
  • Citations
    • Cite This Article
    • Download Citation
    • Create Citation Alert
    • Remove Citation Alert
    • Cited By
  • Similar Articles
    • Related Articles (in Spandidos Publications)
    • Similar Articles (Google Scholar)
    • Similar Articles (PubMed)
  • Download PDF
  • Download XML
  • View XML

  • Supplementary Files
    • Supplementary_Data.pdf
Article Open Access

Efficacy of apatinib combined with temozolomide in the treatment of recurrent high‑grade glioma: A meta‑analysis

  • Authors:
    • Guanglie Li
    • Xiwei Xu
    • Jianqi Cui
    • Fan Zhang
    • Siyang Wang
  • View Affiliations / Copyright

    Affiliations: Department of Head and Neck Oncology, The Fifth Affiliated Hospital of Sun Yat‑sen University, Zhuhai, Guangdong 519000, P.R. China
    Copyright: © Li et al. This is an open access article distributed under the terms of Creative Commons Attribution License.
  • Article Number: 452
    |
    Published online on: August 3, 2023
       https://doi.org/10.3892/etm.2023.12151
  • Expand metrics +
Metrics: Total Views: 0 (Spandidos Publications: | PMC Statistics: )
Metrics: Total PDF Downloads: 0 (Spandidos Publications: | PMC Statistics: )
Cited By (CrossRef): 0 citations Loading Articles...

This article is mentioned in:



Abstract

Recurrent high‑grade glioma is a refractory disease, and its prognosis is poor. Although the treatment of apatinib combined with temozolomide provides improved efficacy and is able to prolong survival, this conclusion has been based on small samples. In order to clarify this treatment's efficacy, a meta‑analysis was performed in the present study. Different databases were screened and finally, 10 studies were included, comprising 357 patients with recurrent high‑grade gliomas. The efficacy and prognosis were analyzed using Stata software. The results indicated that the overall objective response rate (ORR) and disease control rate (DCR) of apatinib combined with temozolomide were 0.36 (95% CI, 0.26‑0.46) and 0.86 (95% CI, 0.82‑0.89), respectively. Subgroup analysis indicated that the overall ORR was 0.43 (95% CI, 0.29‑0.57) and 0.26 (95% CI, 0.14‑0.38), and the DCR was 0.89 (95% CI, 0.85‑0.93) and 0.76 (95% CI, 0.69‑0.84) in the treatment of apatinib with temozolomide dose‑dense group and the conventional‑dose group (5/28 regimen), respectively. Further prognostic analysis indicated that the median overall survival of patients with high‑grade glioma treated with apatinib combined with temozolomide was 8.21 months (95% CI, 7.20‑9.22 months) and the median progression‑free survival was 5.45 months (95% CI, 4.53‑6.37). Analysis of the publication bias of the effect size revealed that there was bias in the DCR, while no bias was found in the remaining effect size (ORR, median overall survival and median progression‑free survival). After correction by the trim‑and‑fill method, bias was indicated to have no significant impact on the results. In conclusion, apatinib combined with temozolomide has the effect that, compared with traditional Bevacizumab treatment, it can improve the efficacy in the treatment of recurrent high‑grade glioma and improve prognosis. When combining with dose‑dense temozolomide, the effect may be better than that of the conventional 5/28 regimen.

Introduction

Gliomas are the most common primary intracranial tumors in adults. Among them, high-grade gliomas include anaplastic gliomas and glioblastomas; they are characterized by rapid progression, high malignancy, a 5-year survival rate of #x003C;10% and a poor prognosis (1), thus seriously threatening the life of affected patients. Currently, the standard treatment is to perform surgical resection to the maximum extent to preserve nerve function. After the operation, temozolomide chemoradiotherapy and adjuvant chemotherapy (Stupp regimen) are used. However, the median overall survival (mOS) time for glioblastoma is only 14.6 months, the 2-year survival rate is only 26.5%, the median progression-free survival (mPFS) time is only 6.9 months and ~85% of patients have disease progression within 2 years (2). At present, there is no single standard treatment plan for recurrent high-grade glioma. The commonly used treatment methods include reoperation, recourse radiotherapy, temozolomide chemotherapy, bevacizumab anti-vascular treatment, carmustine and irinotecan (3). Although new treatment models have emerged on this basis, such as tumor electric field therapy (4) and oncolytic virus therapy (5), the efficacy is still not ideal. Therefore, it is of clinical significance to continue to search for more novel treatment models not only to improve the therapeutic efficacy of patients with recurrent high-grade glioma but also to improve patient prognosis.

Previous studies have indicated that the growth and recurrence of high-grade glioma are closely related to tumor angiogenesis (6,7). As a monoclonal antibody against vascular endothelial cytokines, bevacizumab has been approved in China and abroad to treat recurrent high-grade glioma, but it has serious adverse effects, such as hypertension and bleeding (8). As bevacizumab is expensive and needs to be administered by intravenous infusion once every two weeks, numerous patients have poor compliance or miss the treatment timepoint. Various patients cannot afford the cost for economic reasons and the treatment efficacy is not guaranteed.

Apatinib is a new oral small-molecule inhibitor of vascular endothelial growth factor receptor-2 (VEGFR-2), which is convenient, economical and efficient. It selectively competes for the ATP binding site of VEGFR-2 in cells, blocks the downstream signal transduction and inhibits angiogenesis in tumor tissues, thereby exerting its anti-tumor effect (9). Apatinib is the first small-molecule anti-angiogenic targeted drug worldwide proven to be safe and effective and has achieved gratifying results in treating advanced gastric cancer (10). The clinical application of apatinib in other tumors and the relevant mechanisms have also been widely explored. An increasing number of studies indicate that apatinib has a significant anti-tumor effect in various tumor types (11-13). Apatinib has also been demonstrated to enhance the inhibitory effect of temozolomide on the proliferation and invasion of glioma cells, suggesting that apatinib and temozolomide have synergistic anti-tumor effects in glioma (10). In recent years, accumulating data have revealed that combining apatinib and temozolomide may significantly improve the treatment efficacy of recurrent high-grade glioma, but the conclusions are all based on small samples (14-16). The present meta-analysis aimed to analyze all of the relevant studies in a combined manner, clarify the efficacy of apatinib plus temozolomide in patients with recurrent high-grade glioma and provide evidence for its utility in future clinical treatment.

Materials and methods

Data sources

The literature related to the topic of the present study was searched without any limitations regarding the language, and the search date was limited up to May 2023. The PubMed (https://pubmed.ncbi.nlm.nih.gov), Web of Science (https://webofknowledge.com), Cochrane Library (https://www.cochranelibrary.com), Chinese National Knowledge Infrastructure (https://www.cnki.net) and Wanfang (https://www.wanfangdata.com.cn) databases were searched, also including a search for ahead of print articles. The search terms were as follows: ‘Apatinib’, ‘temozolomide’, ‘TMZ’, ‘temodal’, ‘temodar’, ‘relapse’, ‘recurrent’, ‘recrudescent’, ‘glioblastoma’ and ‘glioma’. The search strategy is detailed in Appendix S1, and abstracts without full-text were not included in the present meta-analysis. The contents of domestic Chinese Food and Drug Administration-approved documents were also reviewed and the identified literature was screened to determine whether there were any further related publications. In addition, the safety data of the manufacturer's (Jiangsu Hengrui Medicine Co., Ltd.) updated instructions for apatinib were reviewed to obtain relevant information and these were considered to be the latest data that were analyzed. When the relevant data required to be clarified, the authors of the studies and the manufacturer of apatinib were contacted.

Inclusion and exclusion criteria

All included studies were required to meet the following inclusion criteria: i) All patients in the study had undergone surgical resection or brain biopsy and were confirmed to be World Health Organization grade III or IV. After the operation, they received the standard Stupp regimen chemotherapy and radiotherapy (2), and the subsequent maintenance chemotherapy failed. Pathology or MRI examination confirmed that they were relapsed, and there were clear, measurable lesions on MRI. ii) All patients in the study were treated with apatinib combined with temozolomide [conventional 5/28 regimen (2) or dense regimen (17)] after the recurrence was confirmed. iii) The diagnosis, treatment plan, response criteria, overall objective response rate (ORR) and disease control rate (DCR) of recurrent high-grade glioma were reported in the study. iv) The general clinical characteristics of patients, such as age and Karnowski performance status score, were clearly described in the study. v) The type of study was that of a randomized or nonrandomized controlled trial.

The exclusion criteria were as follows: i) Patients did not receive standard chemoradiotherapy after the operation; ii) only apatinib monotherapy or temozolomide monotherapy was administered; iii) the study's treatment results were not clearly described; and iv) the studies involved case reports, reviews and other meta-analyses.

Data extraction

According to the PRISMA guidelines (18), two researchers (GL and XX) extracted relevant data from the articles' text, tables and figures and cross-checked them. In the case of any disagreement, a third author (SW) was consulted to discuss and solve the issue. The specific contents extracted from the literature included the following: i) The basic information of the included study, including the title, first author name and publication year; ii) baseline characteristics of the subjects, including sample size and age; iii) specific details of treatment measures, including treatment plan and drug dosage; and iv) outcome measures, such as ORR, DCR, mOS and mPFS.

Meta-analysis

The results were analyzed using Stata 17.0 statistical software (StataCorp LP). The forest plot was drawn at first using the random-effects model, combining the effects of each study to evaluate the overall efficacy and prognosis associated with apatinib combined with temozolomide for recurrent high-grade glioma. For the consistency evaluation of the study, the traditional statistical test (Cochran's Q-test) was first used for evaluation, and the I2 test was then used for verification. If the I2-value was ≤50%, the fixed-effects model was used to integrate all effect sizes. If the I2-value was >50%, the random-effects model was used to integrate all effect sizes and indicate substantial heterogeneity. Subsequently, further funnel plot and sensitivity analyses were performed to identify the source of heterogeneity, and subgroup analysis was conducted as necessary to identify sources of heterogeneity (19). For the evaluation of publication bias, Begg's test and Egger's test were used (20). P#x003C;0.05 was considered to indicate a statistically significant difference.

Results

Literature screening

Initially, 44 entries were retrieved from all databases. After removing duplicate entries and abstracts, 15 studies were selected. After removing any studies that did not meet the subject and inclusion criteria, 10 studies were finally included in the comprehensive analysis (14-16,21-27). The specific screening process is illustrated in Fig. 1. A total of 357 patients with recurrent high-grade glioma were included in the present meta-analysis. The name of the first author, publication year, sample size, median age, specific interventions and outcome indicators are listed in Table I.

Figure 1

Flow chart of the study selection. CNKI, Chinese National Knowledge Infrastructure.

Table I

Baseline characteristics of all included studies.

Table I

Baseline characteristics of all included studies.

First author, yearStudy typeTemozolomide dosingSample sizeMean ± SD or median age (range), yearsInterventionCR, nPR, nSD, nPD, nORR, %DCR, %Median OS (95% CI), monthsMedian PFS (95% CI), months(Refs.)
Wang et al, 2019Single-armDose-dense2050.5 (27.0-67.0)Apatinib (500 mg/day) + temozolomide (100 mg/m2, take for 1 week, stop for 1 week)18929/20 (45.0)18/20(90)9 (8.2-12.2)6 (5.3-7.8)(14)
Zhou et al, 2020Randomized- controlledDose-dense1248.0±7.0Apatinib (500 mg/day) + temozolomide (150 mg/m2, take for 1 week, stop for 1 week)08318/12 (66.7)11/12 (91.7)NANA(15)
  Conventional- dose1450.0±8.0Apatinib (500 mg/day) + temozolomide (200 mg/m2, take for 5 days, stop for 23 days)03563/14 (21.4)8/14 (51.7)NANA 
Liu et al, 2020Randomized- controlledDose-dense1540.3 (21.0-71.0)Apatinib (500 mg/day) + temozolomide (150 mg/m2, take for 1 week, stop for 1 week)17528/15 (53.4)13/15 (86.7)NANA(21)
Ge et al, 2021Single-armDose-dense3153.0 (21.0-70.0)Apatinib (500 mg/day) + temozolomide (50 mg/m2, take every day)351768/31 (25.8)25/31 (80.6)8.2 (6.9-9.5)4.9 (2.8-7.0)(16)
Yao et al, 2021Single-armDose-dense18NA (18.0-65.0)Apatinib (500 mg/day) + temozolomide (50 mg/m2, take every day)041034/17 (23.5)14/17 (82.3)9.1 (7.6-10.6)4 (3.2-4.8)(22)
Gao et al, 2021Randomized- controlledConventional- dose26NAApatinib (500 mg/day) + temozolomide (150 mg/m2, take for 5 days, stop for 23 days)1176210/26 (38.5)22/26 (84.6)8.7 (8.2-9.3)7.6 (5.7-9.4)(23)
Li et al, 2021Single-armConventional- dose5153 .0 (31.0-70.0)Apatinib (500 mg/day) + temozolomide (150 mg/m2, take for 5 days, stop for 23 days)215201417/51 (33.3)37/51 (72.5)NA5.9 (5.4-6.5)(24)
Xu et al, 2022Single-armDose-dense7946.1±15.2 (15.0-70.0)Apatinib (500 mg/day) + temozolomide (100 mg/m2, take for 1 week, stop for 1 week)023461023/79 (29.1)66/79 (83.5)6.4 (5.3-7.5)4.9 (3.9-5.9)(25)
Zhang et al, 2022Randomized- controlledConventional- dose37NAApatinib (500 mg/day) + temozolomide (200 mg/m2, take for 5 days, stop for 23 days)052485/37 (13.5)29/37 (78.4)NANA(26)
Quan et al, 2022Randomized- controlledDose-dense5462.5±4.2 (52.0-74.0)Apatinib (500 mg/day) + temozolomide (100 mg/m2, take for 3 weeks, stop for 1 week)03417334/54 (63.0)51/54 (94.4)17NA(27)

[i] NA, not available; CR, complete response; PR, partial response; SD, stable disease; PD, progressive disease; ORR, objective response rate; DCR, disease control rate; OS, overall survival; PFS, progression-free survival.

Meta-analysis results. Overall ORR in the treatment of recurrent high-grade glioma with apatinib combined with temozolomide

A comprehensive analysis of the results of the 10 studies included was performed. The heterogeneity test was performed, and it was found that the I2-value was 77.5%, thereby being >50%. Accordingly, the random-effects model was used for the meta-analysis. The results indicated that the overall ORR of patients with recurrent high-grade glioma who received apatinib and temozolomide was 0.36 (95% CI, 0.26-0.46) (Fig. 2A). Furthermore, a sensitivity analysis was performed and a funnel plot was generated to identify the sources of heterogeneity (Fig. 2C and D). Among all studies, there were two studies with significant deviation (26,27), and after excluding these two studies, the I2-value was reduced to 2.3% (Fig. 2B). The 10 studies were then stratified according to different dosage schemes of temozolomide. The subgroup analysis indicated that the overall ORR of the dose-dense temozolomide group was 0.43 (95% CI, 0.29-0.57), while that of the conventional-dose temozolomide was 0.26 (95% CI, 0.14-0.38) (Fig. 2B). There was a significant difference (P#x003C;0.05) between subgroups.

Figure 2

Overall ORR of apatinib combined with temozolomide in the treatment of recurrent high-grade glioma. (A) After integrating the ORRs of all studies using the random-effects model, the total ORR was 0.36 (95% CI, 0.26-0.46). (B) The subgroup analysis results suggested that the total ORR of apatinib combined with dose-dense temozolomide was 0.43 (95% CI, 0.29-0.57) and the total ORR for the conventional-dose group was 0.26 (95% CI, 0.14-0.38). (C) Funnel plots of ORR for each study. (D) Sensitivity analysis of ORR for each study. ORR, objective response rate; se, standard error; DL, random-effects model.

Overall DCR in the treatment of recurrent high-grade glioma with apatinib combined with temozolomide. Next, the combined DCR of the 10 studies was calculated and the result indicated that the total DCR value after integration was 0.86 (95% CI, 0.82-0.89) (Fig. 3A). Since the I2-value of this result was 46.8% ≤50%), the fixed-effects model was used for integration. As could be seen from Fig. 3A, Quan et al (27) held significant weight and had significant impacts on the pooled result, but the result was not very heterogeneous, and this study could be considered for inclusion in the analysis. The funnel plot and sensitivity analysis results are presented in Fig. 3C and D, respectively. The studies were again grouped according to the different dosage regimens of temozolomide, and it was indicated that the total DCR of the dose-dense group was 0.89 (95% CI, 0.85-0.93) and the total DCR of the conventional-dose group was 0.76 (95% CI, 0.69-0.84) (Fig. 3B). There was a significant difference (P#x003C;0.05) between subgroups.

Figure 3

DCR of apatinib combined with temozolomide in the treatment of recurrent high-grade glioma. (A) After integrating the DCRs of all studies using the fixed-effects model, the total DCR was 0.86 (95% CI, 0.82-0.89). (B) The subgroup analysis results suggested that the total DCR of apatinib combined with dose-dense temozolomide group was 0.89 (95% CI, 0.85-0.93) and the total DCR of the conventional-dose group was 0.76 (95% CI, 0.69-0.84). (C) Funnel plots of the DCR for each study. (D) Sensitivity analysis of the DCR for each study. DCR, disease control rate; IV, inverse variance; se, standard error.

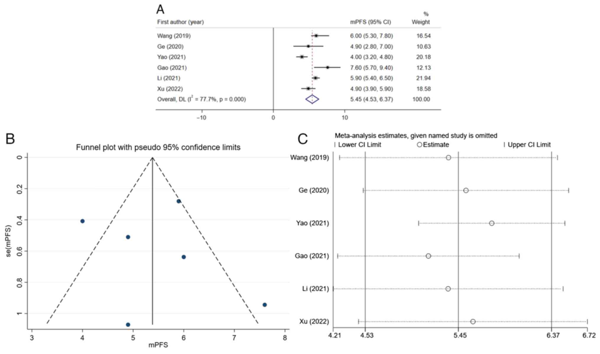
Prognostic analysis of apatinib combined with temozolomide in the treatment of recurrent high-grade glioma. Prognostic analysis indicated that the total mOS of apatinib combined with temozolomide in treating recurrent high-grade glioma was 8.21 months (95% CI, 7.20-9.22) (Fig. 4A). Due to the significant heterogeneity of the results (I2=73.4%, thereby being >50%), the random-effects model was used for analysis. Funnel plots (Fig. 4B) and sensitivity analysis (Fig. 4C) suggested that the bias in the study by Xu et al (25) was significant. After excluding this study, the I2-value could be reduced to 0% (data not shown). This indicated that the result of this study was the main source of heterogeneity. After integrating the mPFS of various studies, the total mPFS was determined to be 5.45 months (95% CI, 4.53-6.37) (Fig. 5A). Due to the significant heterogeneity of the results (I2=77.7 thereby being >50%), a funnel plot was drawn (Fig. 5B) and a sensitivity analysis was performed (Fig. 5C), indicating significant deviations in the results of two studies (22,23). After excluding these two studies and conducting further analysis, it was found that the I2-value could be decreased to 19.6% (data not shown), indicating that these two studies may be major sources of heterogeneity.

Figure 4

mOS of apatinib combined with temozolomide in the treatment of recurrent high-grade glioma. (A) After integrating the mOS of various studies using the random-effects model, the total mOS was 8.21 months (95% CI, 7.20-9.22). (B) Funnel plots of mOS for each study. (C) Sensitivity analysis of mOS for each study. mOS, median overall survival; se, standard error; DL, random-effects model.

Figure 5

mPFS of apatinib combined with temozolomide in the treatment of recurrent high-grade glioma. (A) After integrating the mPFS of various studies using the random-effects model, the total mPFS was 5.45 months (95% CI, 4.53-6.37). (B) Funnel plots of mPFS for each study. (C) Sensitivity analysis of mPFS for each study. mPFS, median progression-free survival; se, standard error; DL, random-effects model.

Publication bias

The analysis indicated that there was no significant publication bias of the overall ORR in the treatment of recurrent high-grade gliomas with apatinib and temozolomide using either the Begg's test (P=0.152) or Egger's test (P=0.329). For each study's DCR, publication bias was also examined using Begg's and Egger's tests, and it was found that there was publication bias [Begg's test (P=0.721); Egger's test (P=0.034)]. The impact of this bias on the analysis results was further evaluated through the trim-and-fill method, and it was found that the results were stable (P#x003C;0.05) (Fig. 6). Assessment of the publication bias of mOS in the prognostic analysis of the treatment of recurrent high-grade glioma with apatinib and temozolomide suggested that there was no significant publication bias according to Begg's test (P=1.000) and Egger's test (P=0.752). In addition, the results of publication bias of mPFS indicated no significant publication bias according to Begg's test (P=1.000) and Egger's test (P=0.885).

Figure 6

Filled funnel plot after correcting publication bias through the trim-and-fill method. se, standard error.

Discussion

Glioma is a common primary intracranial tumor, which is difficult to treat and resect. In spite of receiving postoperative radiotherapy and chemotherapy, most patients still relapse, and the curative effect is poor thereafter. Currently, there is no standard treatment strategy for recurrent high-grade glioma (28,29). Temozolomide dose-dense chemotherapy combined with cisplatin, carboplatin, cyclophosphamide and other drugs has been tried clinically for the treatment of recurrent high-grade glioma, but the effect is not ideal (30).

Improvement of the clinical efficacy of recurrent high-grade glioma and the quality of life of patients remains an unsolved problem. Malignant glioma is a tumor rich in neovascularization, and high expression of VEGF and its receptor VEGFR2 may promote the proliferation, infiltration and metastasis of glioma cells (31). Both apatinib and bevacizumab are antiangiogenic agents, but the former has more advantages. Apatinib is an oral small-molecule tyrosine kinase inhibitor that targets the intracellular domain of VEGFR2 (32,33). Unlike bevacizumab, apatinib may promote tumor cell apoptosis through the intracellular autocrine VEGF signaling pathway. In addition, apatinib may also inhibit c-Kit, c-Src, platelet-derived growth factor receptor-β and MET, directly exerting anti-tumor effects (34,35). Bevacizumab has been widely used for clinical treatment, but its efficacy is still unclear. Apatinib has attracted the attention of researchers, and cell experiments have confirmed that apatinib is able to inhibit the proliferation, invasion and metastasis of glioma cells, promote tumor cell apoptosis and synergistically increase the anti-tumor effects of temozolomide (10).

After screening, 357 patients with high-grade, relapsed glioma were included in the present meta-analysis. These patients had relapsed after receiving the standard Stupp regimen. In certain studies, the regimen of apatinib combined with dose-dense temozolomide was used when relapse occurred (14-16,21,22,25,27). Other studies continued the conventional 5/28 temozolomide regimen based on apatinib (15,23,24,26). It was found that the overall ORR and DCR of high-grade glioma treated with apatinib and temozolomide reached 36 and 86%, respectively. After subgroup analysis, it was found that the overall ORR (43%) and DCR (89%) of the apatinib with dose-dense temozolomide group (n=229) were higher than those of the apatinib with conventional-dose temozolomide group (n=128; ORR=26%; DCR=76%). The results indicate that the therapeutic effect of the combination of apatinib and dose-dense temozolomide may be better than that of the conventional regimen. Further prognostic analysis indicated that the overall mOS of patients with recurrent high-grade glioma treated with apatinib combined with temozolomide chemotherapy was 8.21 months and the mPFS was 5.45 months. At present, there is no relevant meta-analysis or large-sample clinical study that analyzed the efficacy of bevacizumab combined with temozolomide or bevazicumab alone in the treatment of high-grade glioma. Duerinck et al (36) found that the ORR, DCR, mOS and mPFS of 313 patients with recurrent glioblastoma treated with single bevacizumab were 35.5%, 63.5%, 6 and 3 months, respectively. Another study found that the ORR of patients with recurrent high-grade gliomas was only 20%, the mOS was 4.3 months and the mPFS was 3.5 months after treatment with bevacizumab combined with dose-dense temozolomide (37). From the data of RTOG 0625 clinical trial (38), the total ORR of bevacizumab combined with dose-dense temozolomide in the treatment of recurrent glioblastoma was only 19%, mOS was 4.7 months and mPFS was 9.4 months. Although the results of the present meta-analysis were based on the conclusion of small-sample trials, they indirectly indicate that the combination of apatinib and temozolomide may be better than bevacizumab and temozolomide.

At present, there is no large-sample study that evaluated the efficacy of apatinib combined with temozolomide in the treatment of recurrent high-grade glioma. Based on extensive database retrieval, the present meta-analysis found that apatinib combined with temozolomide has a certain efficacy through data analysis of 10 studies, providing medical evidence for subsequent clinical application. The present study had certain limitations. Firstly, most of the studies were single group studies and only a small number were randomized controlled clinical trials. The sample size included in the current meta-analysis was not large and the stability and reliability of the results cannot be guaranteed. Secondly, during the integration of the ORR, subgroup analysis and prognostic analysis, significant heterogeneity was found among studies, which may affect accuracy and credibility. Thirdly, when analyzing the publication bias of each effect size, bias of the DCR was found. Although the significant impact of bias on the results was excluded through the trim-and-fill method, it may still affect the validity of the results. Lastly, the subjects included in the present meta-analysis were mainly Chinese individuals and the efficacy in populations from other countries or regions remains undetermined.

In conclusion, the present analysis indicated that the combination of apatinib and temozolomide chemotherapy has certain efficacy and potential to improve prognosis, and it may offer a new modality for the treatment of recurrent high-grade glioma in the future. Although the synergistic effect of apatinib and temozolomide has been demonstrated in cell experiments, its clinical application remains insufficient. The present meta-analysis study provided a comprehensive analysis based on existing research data, thereby obtaining objective results. However, there are not several relevant clinical large-sample trials or controlled trials with other drug schemes to verify its efficacy. If more prospective or randomized controlled studies were available in the future, more accurate and stable results may be obtained by further analysis.

Supplementary Material

Search strategy.

Acknowledgements

Not applicable.

Funding

Funding: No funding was received.

Availability of data and materials

All data generated or analyzed during this study are included in this published article.

Authors' contributions

GL designed the study. GL, JC and XX screened the literature and extracted the data. GL and XX confirm the authenticity of all the raw data. GL and FZ conducted the meta-analysis. SW acquired, analyzed, verified and reviewed the results. All authors have read and approved the final version of the manuscript.

Ethics approval and consent to participate

Not applicable.

Patient consent for publication

Not applicable.

Competing interests

The authors declare that they have no competing interests.

References

1 

Wu H, Deng Z, Wang H, Li X, Sun T, Tao Z, Yao L, Jin Y, Wang X, Yang L, et al: MGMT autoantibodies as a potential prediction of recurrence and treatment response biomarker for glioma patients. Cancer Med. 8:4359–4369. 2019.PubMed/NCBI View Article : Google Scholar

2 

Stupp R, Mason WP, van den Bent MJ, Weller M, Fisher B, Taphoorn MJB, Belanger K, Brandes A, Marosi C, Bogdahn U, et al: Radiotherapy plus concomitant and adjuvant temozolomide for glioblastoma. N Engl J Med. 352:987–996. 2005.PubMed/NCBI View Article : Google Scholar

3 

Hervey-Jumper SL and Berger MS: Reoperation for recurrent high-grade glioma: A current perspective of the literature. Neurosurgery. 75:491–499. 2014.PubMed/NCBI View Article : Google Scholar

4 

Stupp R, Wong ET, Kanner AA, Steinberg D, Engelhard H, Heidecke V, Kirson ED, Taillibert S, Liebermann F, Dbalý V, et al: NovoTTF-100A versus physician's choice chemotherapy in recurrent glioblastoma: A randomized phase Ⅲ trial of a novel treatment modality. Eur J Cancer. 48:2192–2202. 2012.PubMed/NCBI View Article : Google Scholar

5 

Lang FF, Conrad C, Gomez-Manzano C, Yung WKA, Sawaya R, Weinberg JS, Prabhu SS, Rao G, Fuller GN, Aldape KD, et al: Phase I study of DNX-2401(Delta-24-RGD) oncolytic adenovirus: Replication and immunotherapeutic effects in recurrent malignant glioma. J Clin Oncol. 36:1419–1427. 2018.PubMed/NCBI View Article : Google Scholar

6 

Tuettenberg J, Friedel C and Vajkoczy P: Angiogenesis in malignant glioma-a target for antitumor therapy? Crit Rev Oncol Hematol. 59:181–193. 2006.PubMed/NCBI View Article : Google Scholar

7 

Rainer E, Wang H, Traub-Weidinger T, Widhalm G, Fueger B, Chang J, Zhu Z, Marosi C, Haug A, Hacker M and Li S: The prognostic value of [123I]-vascular endothelial growth factor ([123I]-VEGF) in glioma. Eur J Nucl Med Mol Imaging. 45:2396–2403. 2018.PubMed/NCBI View Article : Google Scholar

8 

Kreisl TN, Kim L, Moore K, Duic P, Royce C, Stroud I, Garren N, Mackey M, Butman JA, Camphausen K, et al: Phase Ⅱ trial of single-agent bevacizumab followed by bevacizumab plus irinotecan at tumor progression in recurrent glioblastoma. J Clin Oncol. 27:740–745. 2009.PubMed/NCBI View Article : Google Scholar

9 

Liang Q, Kong L, Du Y, Zhu X and Tian J: Antitumorigenic and antiangiogenic efficacy of apatinib in liver cancer evaluated by multimodality molecular imaging. Exp Mol Med. 51:1–11. 2019.PubMed/NCBI View Article : Google Scholar

10 

Wang C, Jiang M, Hou H, Lin Q, Yan Z and Zhang X: Apatinib suppresses cell growth and metastasis and promotes antitumor activity of temozolomide in glioma. Oncol Lett. 16:5607–5614. 2018.PubMed/NCBI View Article : Google Scholar

11 

Li J, Qin S, Xu J, Xiong J, Wu C, Bai Y, Liu W, Tong J, Liu Y, Xu R, et al: Randomized, double-blind, Placebo-controlled phase III trial of Apatinib in patients with chemotherapy-refractory advanced or metastatic adenocarcinoma of the stomach or Gastroesophageal junction. J Clin Oncol. 34:1448–1454. 2016.PubMed/NCBI View Article : Google Scholar

12 

Zhang L, Shi M, Huang C, Liu X, Xiong JP, Liu GC, Liu W, Zhang Y, LI K, Yu H and Jiang H: A phase II, multicenter, placebo-controlled trial of apatinib in patients with advanced nonsquamous non-small cell lung cancer (NSCLC) after two previous treatment regimens. J Clin Oncol. 30 (15_suppl)(7548)2012.

13 

Hu X, Cao J, Hu W, Wu C, Pan Y, Cai L, Tong Z, Wang S, Li J, Wang Z, et al: Multicenter phase II study of apatinib in non-triple-negative metastatic breast cancer. BMC Cancer. 14(820)2014.PubMed/NCBI View Article : Google Scholar

14 

Wang Y, Meng X, Zhou S, Zhu Y, Xu J and Tao R: Apatinib plus temozolomide for recurrent glioblastoma: An uncontrolled, open-label study. Onco Targets Ther. 12:10579–10585. 2019.PubMed/NCBI View Article : Google Scholar

15 

Zhou PC, Pan HH, Liang TS and Yang DK: Short-term efficacy of apatinib combined with dose-dense temozolomide in treatment of recurrent malignant glioma after postoperative chemoradiotherapy. J Med Forum. 41:73–79. 2020.(In Chinese).

16 

Ge J, Li C, Xue F, Qi S, Gao Z, Yu C and Zhang J: Apatinib plus Temozolomide: An effective salvage treatment for recurrent glioblastoma. Front Oncol. 10(601175)2021.PubMed/NCBI View Article : Google Scholar

17 

Wei W, Chen X, Ma XM, Wang D and Guo Z: The efficacy and safety of various dose-dense regimens of temozolomide for recurrent high-grade glioma: A systematic review with meta-analysis. J Neurooncol. 125:339–349. 2015.PubMed/NCBI View Article : Google Scholar

18 

Page MJ, McKenzie JE, Bossuyt PM, Boutron I, Hoffmann TC, Mulrow CD, Shamseer L, Tetzlaff JM, Akl EA, Brennan SE, et al: The PRISMA 2020 statement: An updated guideline for reporting systematic reviews. BMJ. 372(n71)2021.PubMed/NCBI View Article : Google Scholar

19 

Higgins JPT, Thompson SG, Deeks JJ and Altman DG: Measuring inconsistency in meta-analyses. BMJ. 327:557–560. 2003.PubMed/NCBI View Article : Google Scholar

20 

Egger M, Smith GD, Schneider M and Minder C: Bias in meta-analysis detected by a simple, graphical test. BMJ. 315:629–634. 1997.PubMed/NCBI View Article : Google Scholar

21 

Liu ZJ, Sun HW, Song ZY, Guo S, Gao M, Zhou G and Liu X: Apatinib combined with dose-dense temozolomide in the treatment of recurrent malignant glioma. Chin J Pract Nerv Dis. 23:958–962. 2020.(In Chinese).

22 

Yao H, Liu JG, Zhang C, Shao Y, Li X, Feng M, Wang X, Gan W, Zhou Y and Huang Y: Clinical study of apatinib plus temozolomide for the treatment of recurrent high-grade gliomas. J Clin Neurosci. 90:82–88. 2021.PubMed/NCBI View Article : Google Scholar

23 

Gao M, Li MY, Ma QQ, Shi H and Yang Y: Brucea javanica oil emulsion combined with apatinib and temozolomide in the treatment of recurrent high-grade glioma. J Basic Clin Oncol. 34:36–40. 2021.(In Chinese).

24 

Li TY, Hai L, Wu H, Hong X, Lu X and Sun X: Clinical research of apatinib in the treatment of durg-resistant recurrent glioblastoma. Chin J Clin Oncol. 48:619–623. 2021.(In Chinese).

25 

Xu KY, Jiao Y, Wang JK, Liu X, Sun H, Luo W and Zhao H: Effect of apatinib combined with temozolomide in the treatment of recurrent high-grade glioma. Henan J Surgery. 28:30–32. 2022.(In Chinese).

26 

Zhang M, Gao LY, Liu X, Dong F, Su Q, Zhang Y, Li F, Wang H and Han P: Low-dose Apatinib improves the prognosis of patients with recurrent high-grade gliomas. Evid Based Complement Alternat Med. 2022(3181133)2022.PubMed/NCBI View Article : Google Scholar

27 

Quan LL, Song HB and Song LL: Short term and long-term efficacy of bevacizumab monoclonal antibody and apatinib combined with temozolomide in treatment of recurrent high-grade glioma. Chin J Mod Med. 32:11–15. 2022.(In Chinese).

28 

Ostrom QT, Cioffi G, Gittleman H, Patil N, Waite K, Kruchko C and Barnholtz-Sloan JS: CBTRUS statistical report: Primary brain and other central nervous system tumors diagnosed in the United States in 2012-2016. Neuro Oncol. 21 (Suppl 5):v1–v100. 2019.PubMed/NCBI View Article : Google Scholar

29 

Wick W, Weller M, Van den bent M, Sanson M, Weiler M, von Deimling A, Plass C, Hegi M, Platten M, Reifenberger G, et al: MGMT testing-the challenges for biomarker-based glioma treatment. Nat Rev Neurol. 10:372–385. 2014.PubMed/NCBI View Article : Google Scholar

30 

Nabors LB, Portnow J, Ahluwalia M, Baehring J, Brem H, Brem S, Butowski N, Campian JL, Clark SW, Fabiano AJ, et al: Central nervous system cancers, version 3.2020, NCCN clinical practice guidelines in oncology. J Natl Compr Canc Netw. 18:1537–1570. 2020.PubMed/NCBI View Article : Google Scholar

31 

Jain HV, Nör JE and Jackson TL: Modeling the VEGF-Bcl-2-CXCL8 pathway in intratumoral agiogenesis. Bull Math Biol. 70:89–117. 2008.PubMed/NCBI View Article : Google Scholar

32 

Peng S, Zhang Y, Peng H, Ke Z, Xu L, Su T, Tsung A, Tohme S, Huang H, Zhang Q, et al: Intracellular autocrine VEGF signaling promotes EBDC cell proliferation, which can be inhibited by Apatinib. Cancer Lett. 373:193–202. 2016.PubMed/NCBI View Article : Google Scholar

33 

Peng H, Zhang Q, Li J, Zhang N, Hua Y, Xu L, Deng Y, Lai J, Peng Z, Peng B, et al: Apatinib inhibits VEGF signaling and promotes apoptosis in intrahepatic cholangiocarcinoma. Oncotarget. 7:17220–17229. 2016.PubMed/NCBI View Article : Google Scholar

34 

Tong XZ, Wang F, Liang S, Zhang X, He JH, Chen XG, Liang YG, Mi YJ, To KKW and Fu LW: Apatinib (YN968D1) enhances the efficacy of conventional chemotherapeutical drugs in side population cells and ABCB1-overexpressing leukemia cells. Biochem Pharmacol. 83:586–597. 2012.PubMed/NCBI View Article : Google Scholar

35 

Roviello G, Ravelli A, Fiaschi AI, Cappelletti MR, Gobbi A, Senti C, Zanotti L, Polom K, Reynolds AR, Fox SB and Generali D: Apatinib for the treatment of gastric cancer. Expert Rev Gastroenterol Hepatol. 10:887–892. 2016.PubMed/NCBI View Article : Google Scholar

36 

Duerinck J, Clement PM, Bouttens F, Andre C, Neyns B, Staelens Y, Fraeyenhove FV, Baurain JF, Luce S, D'hondt L, et al: Patient outcome in the Belgian medical need program on bevacizumab for recurrent glioblastoma. J Neurol. 262:742–751. 2015.PubMed/NCBI View Article : Google Scholar

37 

Verhoeff JJC, Lavini C, van Linde ME, Stalpers LJA, Majoie CBLM, Reijneveld JC, van Furth WR and Richel DJ: Bevacizumab and dose-intense temozolomide in recurrent high-grade glioma. Ann Oncol. 21:1723–1727. 2010.PubMed/NCBI View Article : Google Scholar

38 

Gilbert MR, Pugh SL, Aldape K, Sorensen AG, Mikkelsen T, Penas-Prado M, Bokstein F, Kwok Y, Lee RJ and Mehta M: NRG oncology RTOG 0625: A randomized phase II trial of bevacizumab with either irinotecan or dose-dense temozolomide in recurrent glioblastoma. J Neurooncol. 131:193–199. 2017.PubMed/NCBI View Article : Google Scholar

Related Articles

  • Abstract
  • View
  • Download
  • Twitter
Copy and paste a formatted citation
Spandidos Publications style
Li G, Xu X, Cui J, Zhang F and Wang S: Efficacy of apatinib combined with temozolomide in the treatment of recurrent high‑grade glioma: A meta‑analysis. Exp Ther Med 26: 452, 2023.
APA
Li, G., Xu, X., Cui, J., Zhang, F., & Wang, S. (2023). Efficacy of apatinib combined with temozolomide in the treatment of recurrent high‑grade glioma: A meta‑analysis. Experimental and Therapeutic Medicine, 26, 452. https://doi.org/10.3892/etm.2023.12151
MLA
Li, G., Xu, X., Cui, J., Zhang, F., Wang, S."Efficacy of apatinib combined with temozolomide in the treatment of recurrent high‑grade glioma: A meta‑analysis". Experimental and Therapeutic Medicine 26.3 (2023): 452.
Chicago
Li, G., Xu, X., Cui, J., Zhang, F., Wang, S."Efficacy of apatinib combined with temozolomide in the treatment of recurrent high‑grade glioma: A meta‑analysis". Experimental and Therapeutic Medicine 26, no. 3 (2023): 452. https://doi.org/10.3892/etm.2023.12151
Copy and paste a formatted citation
x
Spandidos Publications style
Li G, Xu X, Cui J, Zhang F and Wang S: Efficacy of apatinib combined with temozolomide in the treatment of recurrent high‑grade glioma: A meta‑analysis. Exp Ther Med 26: 452, 2023.
APA
Li, G., Xu, X., Cui, J., Zhang, F., & Wang, S. (2023). Efficacy of apatinib combined with temozolomide in the treatment of recurrent high‑grade glioma: A meta‑analysis. Experimental and Therapeutic Medicine, 26, 452. https://doi.org/10.3892/etm.2023.12151
MLA
Li, G., Xu, X., Cui, J., Zhang, F., Wang, S."Efficacy of apatinib combined with temozolomide in the treatment of recurrent high‑grade glioma: A meta‑analysis". Experimental and Therapeutic Medicine 26.3 (2023): 452.
Chicago
Li, G., Xu, X., Cui, J., Zhang, F., Wang, S."Efficacy of apatinib combined with temozolomide in the treatment of recurrent high‑grade glioma: A meta‑analysis". Experimental and Therapeutic Medicine 26, no. 3 (2023): 452. https://doi.org/10.3892/etm.2023.12151
Follow us
  • Twitter
  • LinkedIn
  • Facebook
About
  • Spandidos Publications
  • Careers
  • Cookie Policy
  • Privacy Policy
How can we help?
  • Help
  • Live Chat
  • Contact
  • Email to our Support Team