Spandidos Publications Logo
  • About
    • About Spandidos
    • Aims and Scopes
    • Abstracting and Indexing
    • Editorial Policies
    • Reprints and Permissions
    • Job Opportunities
    • Terms and Conditions
    • Contact
  • Journals
    • All Journals
    • Oncology Letters
      • Oncology Letters
      • Information for Authors
      • Editorial Policies
      • Editorial Board
      • Aims and Scope
      • Abstracting and Indexing
      • Bibliographic Information
      • Archive
    • International Journal of Oncology
      • International Journal of Oncology
      • Information for Authors
      • Editorial Policies
      • Editorial Board
      • Aims and Scope
      • Abstracting and Indexing
      • Bibliographic Information
      • Archive
    • Molecular and Clinical Oncology
      • Molecular and Clinical Oncology
      • Information for Authors
      • Editorial Policies
      • Editorial Board
      • Aims and Scope
      • Abstracting and Indexing
      • Bibliographic Information
      • Archive
    • Experimental and Therapeutic Medicine
      • Experimental and Therapeutic Medicine
      • Information for Authors
      • Editorial Policies
      • Editorial Board
      • Aims and Scope
      • Abstracting and Indexing
      • Bibliographic Information
      • Archive
    • International Journal of Molecular Medicine
      • International Journal of Molecular Medicine
      • Information for Authors
      • Editorial Policies
      • Editorial Board
      • Aims and Scope
      • Abstracting and Indexing
      • Bibliographic Information
      • Archive
    • Biomedical Reports
      • Biomedical Reports
      • Information for Authors
      • Editorial Policies
      • Editorial Board
      • Aims and Scope
      • Abstracting and Indexing
      • Bibliographic Information
      • Archive
    • Oncology Reports
      • Oncology Reports
      • Information for Authors
      • Editorial Policies
      • Editorial Board
      • Aims and Scope
      • Abstracting and Indexing
      • Bibliographic Information
      • Archive
    • Molecular Medicine Reports
      • Molecular Medicine Reports
      • Information for Authors
      • Editorial Policies
      • Editorial Board
      • Aims and Scope
      • Abstracting and Indexing
      • Bibliographic Information
      • Archive
    • World Academy of Sciences Journal
      • World Academy of Sciences Journal
      • Information for Authors
      • Editorial Policies
      • Editorial Board
      • Aims and Scope
      • Abstracting and Indexing
      • Bibliographic Information
      • Archive
    • International Journal of Functional Nutrition
      • International Journal of Functional Nutrition
      • Information for Authors
      • Editorial Policies
      • Editorial Board
      • Aims and Scope
      • Abstracting and Indexing
      • Bibliographic Information
      • Archive
    • International Journal of Epigenetics
      • International Journal of Epigenetics
      • Information for Authors
      • Editorial Policies
      • Editorial Board
      • Aims and Scope
      • Abstracting and Indexing
      • Bibliographic Information
      • Archive
    • Medicine International
      • Medicine International
      • Information for Authors
      • Editorial Policies
      • Editorial Board
      • Aims and Scope
      • Abstracting and Indexing
      • Bibliographic Information
      • Archive
  • Articles
  • Information
    • Information for Authors
    • Information for Reviewers
    • Information for Librarians
    • Information for Advertisers
    • Conferences
  • Language Editing
Spandidos Publications Logo
  • About
    • About Spandidos
    • Aims and Scopes
    • Abstracting and Indexing
    • Editorial Policies
    • Reprints and Permissions
    • Job Opportunities
    • Terms and Conditions
    • Contact
  • Journals
    • All Journals
    • Biomedical Reports
      • Information for Authors
      • Editorial Policies
      • Editorial Board
      • Aims and Scope
      • Abstracting and Indexing
      • Bibliographic Information
      • Archive
    • Experimental and Therapeutic Medicine
      • Information for Authors
      • Editorial Policies
      • Editorial Board
      • Aims and Scope
      • Abstracting and Indexing
      • Bibliographic Information
      • Archive
    • International Journal of Epigenetics
      • Information for Authors
      • Editorial Policies
      • Editorial Board
      • Aims and Scope
      • Abstracting and Indexing
      • Bibliographic Information
      • Archive
    • International Journal of Functional Nutrition
      • Information for Authors
      • Editorial Policies
      • Editorial Board
      • Aims and Scope
      • Abstracting and Indexing
      • Bibliographic Information
      • Archive
    • International Journal of Molecular Medicine
      • Information for Authors
      • Editorial Policies
      • Editorial Board
      • Aims and Scope
      • Abstracting and Indexing
      • Bibliographic Information
      • Archive
    • International Journal of Oncology
      • Information for Authors
      • Editorial Policies
      • Editorial Board
      • Aims and Scope
      • Abstracting and Indexing
      • Bibliographic Information
      • Archive
    • Medicine International
      • Information for Authors
      • Editorial Policies
      • Editorial Board
      • Aims and Scope
      • Abstracting and Indexing
      • Bibliographic Information
      • Archive
    • Molecular and Clinical Oncology
      • Information for Authors
      • Editorial Policies
      • Editorial Board
      • Aims and Scope
      • Abstracting and Indexing
      • Bibliographic Information
      • Archive
    • Molecular Medicine Reports
      • Information for Authors
      • Editorial Policies
      • Editorial Board
      • Aims and Scope
      • Abstracting and Indexing
      • Bibliographic Information
      • Archive
    • Oncology Letters
      • Information for Authors
      • Editorial Policies
      • Editorial Board
      • Aims and Scope
      • Abstracting and Indexing
      • Bibliographic Information
      • Archive
    • Oncology Reports
      • Information for Authors
      • Editorial Policies
      • Editorial Board
      • Aims and Scope
      • Abstracting and Indexing
      • Bibliographic Information
      • Archive
    • World Academy of Sciences Journal
      • Information for Authors
      • Editorial Policies
      • Editorial Board
      • Aims and Scope
      • Abstracting and Indexing
      • Bibliographic Information
      • Archive
  • Articles
  • Information
    • For Authors
    • For Reviewers
    • For Librarians
    • For Advertisers
    • Conferences
  • Language Editing
Login Register Submit
  • This site uses cookies
  • You can change your cookie settings at any time by following the instructions in our Cookie Policy. To find out more, you may read our Privacy Policy.

    I agree
Search articles by DOI, keyword, author or affiliation
Search
Advanced Search
presentation
Experimental and Therapeutic Medicine
Join Editorial Board Propose a Special Issue
Print ISSN: 1792-0981 Online ISSN: 1792-1015
Journal Cover
April-2024 Volume 27 Issue 4

Full Size Image

Sign up for eToc alerts
Recommend to Library

Journals

International Journal of Molecular Medicine

International Journal of Molecular Medicine

International Journal of Molecular Medicine is an international journal devoted to molecular mechanisms of human disease.

International Journal of Oncology

International Journal of Oncology

International Journal of Oncology is an international journal devoted to oncology research and cancer treatment.

Molecular Medicine Reports

Molecular Medicine Reports

Covers molecular medicine topics such as pharmacology, pathology, genetics, neuroscience, infectious diseases, molecular cardiology, and molecular surgery.

Oncology Reports

Oncology Reports

Oncology Reports is an international journal devoted to fundamental and applied research in Oncology.

Experimental and Therapeutic Medicine

Experimental and Therapeutic Medicine

Experimental and Therapeutic Medicine is an international journal devoted to laboratory and clinical medicine.

Oncology Letters

Oncology Letters

Oncology Letters is an international journal devoted to Experimental and Clinical Oncology.

Biomedical Reports

Biomedical Reports

Explores a wide range of biological and medical fields, including pharmacology, genetics, microbiology, neuroscience, and molecular cardiology.

Molecular and Clinical Oncology

Molecular and Clinical Oncology

International journal addressing all aspects of oncology research, from tumorigenesis and oncogenes to chemotherapy and metastasis.

World Academy of Sciences Journal

World Academy of Sciences Journal

Multidisciplinary open-access journal spanning biochemistry, genetics, neuroscience, environmental health, and synthetic biology.

International Journal of Functional Nutrition

International Journal of Functional Nutrition

Open-access journal combining biochemistry, pharmacology, immunology, and genetics to advance health through functional nutrition.

International Journal of Epigenetics

International Journal of Epigenetics

Publishes open-access research on using epigenetics to advance understanding and treatment of human disease.

Medicine International

Medicine International

An International Open Access Journal Devoted to General Medicine.

Journal Cover
April-2024 Volume 27 Issue 4

Full Size Image

Sign up for eToc alerts
Recommend to Library

  • Article
  • Citations
    • Cite This Article
    • Download Citation
    • Create Citation Alert
    • Remove Citation Alert
    • Cited By
  • Similar Articles
    • Related Articles (in Spandidos Publications)
    • Similar Articles (Google Scholar)
    • Similar Articles (PubMed)
  • Download PDF
  • Download XML
  • View XML
Article Open Access

Paeoniflorin improves ulcerative colitis via regulation of PI3K‑AKT based on network pharmacology analysis

  • Authors:
    • Qifang Li
    • Shuyue Zheng
    • Kai Niu
    • Yi Qiao
    • Yuan Liu
    • Ying Zhang
    • Bingbing Li
    • Canlei Zheng
    • Bin Yu
  • View Affiliations / Copyright

    Affiliations: Department of Traditional Chinese Medicine, Affiliated Hospital of Jining Medical University, Jining, Shandong 272069, P.R. China, College of Integrated Chinese and Western Medicine, Jining Medical University, Jining, Shandong 272067, P.R. China, School of Public Health, Jining Medical University, Jining, Shandong 272067, P.R. China
    Copyright: © Li et al. This is an open access article distributed under the terms of Creative Commons Attribution License.
  • Article Number: 125
    |
    Published online on: February 5, 2024
       https://doi.org/10.3892/etm.2024.12414
  • Expand metrics +
Metrics: Total Views: 0 (Spandidos Publications: | PMC Statistics: )
Metrics: Total PDF Downloads: 0 (Spandidos Publications: | PMC Statistics: )
Cited By (CrossRef): 0 citations Loading Articles...

This article is mentioned in:



Abstract

Paeoniflorin (PF) is the primary component derived from Paeonia lactiflora and white peony root and has been used widely for the treatment of ulcerative colitis (UC) in China. UC primarily manifests as a chronic inflammatory response in the intestine. In the present study, a network pharmacology approach was used to explore the specific effects and underlying mechanisms of action of PF in the treatment of UC. A research strategy based on network pharmacology, combining target prediction, network construction, Gene Ontology (GO), Kyoto Encyclopedia of Genes and Genomes (KEGG) pathway enrichment analysis, and molecular docking simulation was used to predict the targets of PF. A total of 288 potential targets of PF and 599 UC‑related targets were identified. A total of 60 therapeutic targets of PF against UC were identified. Of these, 20 core targets were obtained by protein‑protein interaction network construction. GO and KEGG pathway analyses showed that PF alleviated UC through EGFR tyrosine kinase inhibitor resistance, the IL‑17 signaling pathway, and the PI3K/AKT signaling pathway. Molecular docking simulation showed that AKT1 and EGFR had good binding energy with PF. Animal‑based experiments revealed that the administration of PF ameliorated the colonic pathological damage in a dextran sulfate sodium‑induced mouse model, resulting in lower levels of proinflammatory cytokines including IL‑1β, IL‑6, and TNF‑α, and higher levels of IL‑10 and TGF‑β. PF decreased the mRNA and protein expression levels of AKT1, EGFR, mTOR, and PI3K. These findings suggested that PF plays a therapeutic protective role in the treatment of UC by regulating the PI3K/AKT signaling pathway.

Introduction

Ulcerative colitis (UC) is a chronic inflammatory bowel disease that occurs in the mucosa and submucosa of the large intestine. The primary clinical manifestations are bloody diarrhea, mucopurulent bloody stool and abdominal pain, fecal urgency, and tenesmus, and in severe cases, weight loss and fever (1-3). The overall incidence and prevalence of UC are 1.2/20.3 and 7.6/245 cases per 100,000 individuals per year, respectively (4,5). Epidemiological studies have shown a bimodal distribution of age at UC onset, with a peak incidence between 20-30 years, followed by another peak at 50-80 years (6). The pathogenesis of UC is complex, and environmental factors, genetic susceptibility, intestinal microbiology, and a dysregulated immune response are major risk factors (7,8). In recent years, 5-aminosalicylic acid, corticosteroid drugs, Janus kinase inhibitors, and anti-TNF-α antibodies have been widely applied for the treatment of UC (9).

At present, the incidence of UC is high, and the mortality rate is low. UC not only is incurable, but it is also a challenge to manage. Patients suffer from intractable or intolerable side effects of UC therapeutics following administration, which leads to a high recurrence rate, and UC is closely associated with colorectal cancer (CRC) (10-12). The high incidence of UC in developed and developing countries has evolved into a global burden, and several treatments for UC also induce resistance to said treatments in patients. Thus, there is an urgent need to identify novel drugs that will be effective in achieving optimal disease control (13).

At present, several traditional Chinese formulas, such as Shen-Ling-Bai-Zhu-San (14), Tongxie Yaofang (15), Pulsatilla decoction (16), Huangkui Lianchang decoction (17), and Gegen Qinlian decoction (18), amongst others, are used for the treatment of UC in China (19). Tongxie Yaofang consists of four drugs Rhizoma Atractylodis Macrocephalae, Radix Paeoniae Alba, Pericarpium Citri Reticulatae, and Radix Saposhnikovia Divaricata (20) and exhibited efficacy for the treatment of UC in our previously reported work (21). Paeoniflorin (PF) is the primary bioactive component isolated from Radix Paeoniae Alba, and Paeonia suffruticosa Andr. has been used in several other traditional Chinese formulas for the treatment of inflammatory bowel diseases, UC, and other gastric and splenic diseases for >2,000 years (22,23).

Several studies have revealed that PF exhibits anti-tumor, anti-inflammatory, anti-oxidative, and immunoregulatory effects (24-26). It has been shown that PF reduces TNF-α, IL-6, and IL-1β levels to protect against inflammatory pain (27). However, the molecular mechanisms underlying the protective effects of PF against dextran sulfate sodium (DSS)-induced UC remain unclear.

Based on the advances in the fields of molecular biology, systems biology, polypharmacology, and bioinformatics, network pharmacology has been developed as a means to reveal the mechanisms of drugs and is considered a cost-effective method of drug development (28). In recent years, network pharmacology has been applied to determine the actions of active compounds and to analyze the mechanisms of action of natural products in the treatment of several diseases (29).

To further analyze the therapeutic mechanism of action of PF in UC, network pharmacology was used to predict the targets and pathways by which PF exerted its effects in UC. Then, the relevant pathways were selected for validation in vivo to confirm the therapeutic mechanisms of PF in animal models.

Materials and methods

Screening of PF and UC prediction targets

The Structure Data File (SDF) of PF (C23H28O11) was downloaded from the PubChem database (PubChem CID: 442534; https://pubchem.ncbi.nlm.nih.gov/) and then imported into the PharmMapper database (http://www.lilab-ecust.cn/pharmmapper/) to obtain prediction targets with the conformation generation was set to ‘generate conformers’ and the pharmacophore mapping was set to ‘druggable pharmacophore models (v2017, 16159)’. UC-related human genes were collected from three databases; namely, the Therapeutic Target Database (TTD) (http://bidd.nus.edu.sg/group/cjttd/), Online Mendelian Inheritance in Man (OMIM) (https://www.omim.org/), and GeneCards (https://www.genecards.org/). These disease-target network databases were used to verify whether the genes were related to UC. The official gene symbols of the targets were normalized in the UniProt (http://www.UniProt.org) database. The common terms amongst the disease-related targets and drug component targets were obtained using Venny 2.1.0 (http://bioinfo.cnb.csic.es/tools/venny/index.html).

Protein-protein interaction (PPI) analyses

A PPI network was constructed using the Search Tool for the Retrieval of Interacting Genes (STRING) database (http://string-db.org/; version 10.5). The selection criteria were ‘Homo sapiens’ for species and a confidence score >0.4. Then, the PPI network was imported into Cytoscape (30), and the plugin cytoHubba was used to find the clusters (highly interconnected regions) within the PPI network (31). The top-ranked genes were selected as hub targets based on the degree levels. Four topological features (degree, betweenness centrality, average shortest path length and closeness centrality) were analyzed using Network Analyzer (32). The major hub network comprising putative major components and major targets was extracted by defining nodes with degrees higher than the average number of neighbors.

Gene ontology (GO) and Kyoto Encyclopedia of Genes and Genomes (KEGG) enrichment analyses

After obtaining the core target, clusterProfiler (33) in R (34,35) version 3.6.1 was used to perform the GO (36,37) and KEGG (38) enrichment analyses in the RStudio platform 2022.12.0-353. GO enrichment primarily analyzes the biological processes (BPs), cellular composition (CC), and molecular functions (MFs) of the common targets. KEGG pathway enrichment (www.kegg.jp/kegg/kegg1.html) was used to identify the critical pathways that were closely related to the treatment of UC by PF.

Molecular docking simulation

The binding of the potential target and its corresponding components were evaluated by molecular docking simulation. Molecular docking simulations of potential targets and their corresponding components were performed using AutoDock version 4.2(39) and AutoDock Vina software (Scripps Research Institute) (40) according to published methods. The macromolecular protein target receptors were obtained from the Research Collaboratory for Structural Bioinformatics Protein Data Bank database (https://www.rcsb.org), and the 2D structures of the small-molecule compound components were obtained from the PubChem Database (https://pubchem.ncbi.nlm.nih.gov).

Chemicals and reagents

PF (CAS:23180-57-6) was obtained from Chengdu Herbpuritfy Co., Ltd. and its identity was confirmed by high-performance liquid chromatography with a purity of 99.71%. ELISA kits for IL-6 (cat. no. EK206), IL-10 (cat. no. EK210), TNF-a (cat. no. EK282), TGF-β (cat. no. EK981), and IL-1β (cat. no. EK201B) were purchased from Multisciences (Lianke) Biotech, Co., Ltd. The primers for reverse transcription-quantitative (RT-q) PCR and the Promega M-MLV vector were purchased from Shanghai GeneChem Co., Ltd. All antibodies were purchased from Affinity Biosciences Co., Ltd.

Establishment of the UC mouse model and dosing

A total of 27 specific pathogen-free male Balb/c mice (6 weeks old, from Jinan Peng Yue Experimental Animal Technology Co., Ltd.), weighing 18±2 g, were kept in the Animal Laboratory of Jining Medical University. The animal experiments were approved by the Animal Ethics Committee of Jining Medical University (approval no. JNMC-2020-DW-ZXY-001). If weight loss reached 15-20% of the original weight within 72 h, then the mice were sacrificed by cervical dislocation. After 3 days of adaptive feeding, mice were randomly divided into the following three groups (n=9 per group): Control group, model group, and treatment group. For DSS-induced colitis, 5% (w/v) DSS (Meilun Biotech Co., Ltd.) was added to the drinking water in the model group and treatment group for 7 days. After the establishment of the DSS-colitis model, mice in the control and model groups were administered normal saline, while mice in the treatment group were administered PF (20 mg/kg/day). All administration methods were by gavage, and the mice were dosed continuously for 7 days. Mice from each group were sacrificed by cervical dislocation after 14 days.

Disease activity index (DAI) score

The DAI score in each group was taken during the experimental period. The DAI score was calculated according to loss of body weight, stool consistency and gross bleeding, as follows: DAI score=(weight loss score + stool shape score + stool blood score)/3 (41,42).

Hematoxylin and eosin staining

Colonic tissue was obtained from the mice and fixed in 10% formalin for 24 h at room temperature and then dehydrated using an increasing alcohol gradient, embedded in paraffin and sectioned in 5-µm thick slices. Then, the sections were stained with hematoxylin and eosin (H&E) for histopathological examination.

ELISA

ELISA kits were used to detect the serum levels of IL-10, TGF-β, IL-6, IL-1β, and TNF-α according to the manufacturers' instructions. The optical density value was measured at 450 nm using a microplate reader (Model 680; Bio-Rad Laboratories, Inc.), and the concentration was calculated using a standard curve.

RT-qPCR

Total RNA was isolated from the tissues using TRIzol® Reagent (Shanghai Pufei Biotechnology Co., Ltd.) according to the manufacturer's protocol. For RT-qPCR analysis, first-strand cDNA synthesis from 1 µg total RNA was performed using an M-MLV Reverse Transcriptase kit according to the manufacturer's protocol (Promega Corporation). The resulting cDNA was analyzed by qPCR using the SYBR Green PCR kit (Takara Bio, Inc.) and the 7500 Fast Real-Time PCR System (Applied Biosystems; Thermo Fisher Scientific, Inc.). β-actin was used as the loading control. Comparative quantification was performed using the 2-ΔΔCq method (43). The primers sequences are listed in Table I.

Table I

Sequences of the primers.

Table I

Sequences of the primers.

GeneSequence, 5'-3'
PI3K 
     Forward TCATTGACAGTAGGAGGAGGTT
     Reverse TATTTTCATTCCCCAGCCAC
AKT1 
     Forward TGGACTCAAGAGGCAGGAAG
     Reverse GGTTCTCAGTAAGCGTGTGG
mTOR 
     Forward AGGTCATGCCCACATTCCTT
     Reverse AGCCACCACAATCTGCTCAA
BCL2 F 
     Forward ATGCCTTTGTGGAACTATATGGC
     Reverse GGTATGCACCCAGAGTGATGC
EGFR 
     Forward AACTCTTCGGGACACCCAATCA
     Reverse CAGCCTTCCGAGGAGCATAAA
Actin 
     Forward GCACCACACCTTCTACAATG
     Reverse GTGAGGGAGAGCATAGCC
Western blot analysis

Total proteins were obtained from colon tissues using RIPA lysate and then quantified using the BCA method. Equal amounts of protein (50 µg/lane) were separated by 10% SDS-PAGE gel using 100 V for 2 h and then subsequently transferred onto PVDF membranes. The membranes were blocked with 5% non-fat milk for 2 h at room temperature and washed and then incubated with primary antibodies (1:500 dilution) against EGFR (cat. no. AF6043), p-PI3K (cat. no. AF3242), p-mTOR (cat. no. AF3308), Bcl-2 (cat. no. AF6139), p-AKT1 (cat. no. AF0016), PI3K (cat. no. AF6241), mTOR (cat. no. AF6308), and AKT1 (cat. no. AF0836) overnight at 4˚C. Then, the membranes were incubated with horseradish peroxidase-labeled secondary antibody (cat. no. S0002, 1:5,000 dilution) for 2 h at room temperature after washing with Tris-buffered saline containing Tween-20 (0.1%) three times. Signals were visualized using enhanced chemiluminescence reagent and analyzed using ImageJ (1.53 h; National Institutes of Health).

Statistical analysis

Data are presented as the mean ± SD. An unpaired Student's t-test was used to assess differences between the two groups. A one-way ANOVA followed by a Dunnett's post hoc test was used for comparisons between multiple groups. GraphPad Prism version 8.0.0 (GraphPad Software, Inc.) was used for statistical analysis. P<0.05 was considered to indicate a statistically significant difference.

Results

Screening of PF and UC prediction targets

The chemical structure of PF was obtained from the PubChem database. Then the SDF file of PF was imported into the PharmMapper server (http://www.lilab-ecust.cn/pharmmapper/index.html). A total of 288 potable targets were obtained in PharmMapper with NormFit scores >0. Additionally, a total of 599 potential gene targets were obtained from the OMIM, TTD, and GeneCards databases. Common targets identified from both the active ingredient and UC-related searches were considered potential targets. A total of 60 common potential genes were screened by Venny (Fig. 1).

Figure 1

Venn diagram of the target genes of PF and UC. PF, paeoniflorin; UC, ulcerative colitis.

Construction of the PPI network

The 60 common targets were submitted to STRING (https://string-db.org/) to construct a PPI network. Then, the PPI network was constructed and visualized using Cytoscape. The network contained 60 nodes and 481 edges, and the average node degree was 16 (Fig. 2A). Two key topological parameters (degree and betweenness centrality) were used to characterize the most important nodes in the network; higher quantitative values of the topological parameters indicated greater importance of the node. A Cytoscape plug-in, Network Analyzer, was used to identify the network topology attributes to identify the core genes of the PPI network (32). Based on this principle, the top 20 nodes were screened out as key components, and the top 10 included the following: ALB (albumin, degree=51), AKT1 (AKT serine/threonine kinase 1, degree=41), MMP9 (matrix metallopeptidase 9, degree=40), CASP3 (degree=36), SRC (degree=36), EGFR (degree=35), IGF1 (degree=33), MMP2 (degree=29), ESR1 (estrogen receptor 1, degree=28), IL-2 (degree=28) and MAPK14 (mitogen-activated protein kinase 14, degree=25) (Fig. 2B).

Figure 2

PPI network of the 60 common genes between PF and UC. (A) PPI network of the common genes. The node size and color represent the degree of each node. The bigger and deeper color the node is, the more important the ‘hub’ is in the network. (B) The degree of the top 30 targets in the PPI network. PPI, Protein-protein interaction.

GO and KEGG enrichment analysis

GO and KEGG pathway enrichment analyses were performed using the Metascape database and R for visualization of the 60 common target genes. In terms of MFs, treatment of UC with PF primarily involved endopeptidase activity, serine-type peptidase activity, serine hydrolase activity, nuclear receptor activity, transcription factor activity, and direct ligand-regulated sequence-specific DNA binding (Fig. 3A). The BPs primarily involved regulation of the inflammatory response, neutrophil-mediated immunity, response to reactive oxygen species, response to lipopolysaccharide, and response to molecules of bacterial origin (Fig. 3B). The CC primarily involved vesicle lumen, secretory granule lumen, cytoplasmic vesicle lumen, collagen-containing extracellular matrix, and membrane raft (Fig. 3C).

Figure 3

GO and KEGG enrichment analyses of the common targets and the PI3K/AKT signaling pathway. Results of GO enrichment analysis; (A) biological process, (B) cellular composition, and (C) molecular function. (D) KEGG pathway enrichment analysis. The color represents the significance of the-log10(P) value, which is shown as a gradient from green to red, while the size of the bubble represents the counts of the potential active targets involved in the pathways. KEGG, Kyoto Encyclopedia of Genes and Genomes; GO, Gene Ontology.

The top 20 functionally enriched processes were selected to plot a bubble diagram following KEGG enrichment analysis (Fig. 3D). The primary signaling pathways involved in the treatment of UC were identified, and the top five pathways included proteoglycans in cancer, EGFR tyrosine kinase inhibitor resistance, endocrine resistance, prostate cancer, fluid shear stress, and atherosclerosis. The IL-17, PI3K/AKT, and HIF-1 signaling pathways were also included in the top 20 pathways. Among them, 12, 7, and 7 genes were enriched in the PI3K/AKT (AKT1, BCL2L1, EGFR, FGFR2, IGF1, IGF1R, IL2, JAK2, KDR, MET, NOS3, and SYK), IL-17 (CASP3, LCN2, MAPK14, MMP13, MMP3, MMP9, S100A9), and HIF-1 (AKT1, EGFR, HMOX1, IGF1, IGF1R, NOS2, NOS3) signaling pathways, respectively.

Molecular docking simulation analysis

Docking analysis was conducted between PF and the core genes related to the PI3K/AKT signaling pathway (Fig. 4). According to the molecular docking results, docking of PF with AKT1 and EGFR proteins had a good binding energy of -2.44 kcal/mole and -2.19 kcal/mole respectively, and AKT1-PF had the highest binding affinity.

Figure 4

Molecular docking simulation. Simulation of the docking between paeoniflorin and (A) the AKT1 protein and (B) the epidermal growth factor receptor.

PF reduces DSS-induced experimental colitis

The control group showed a steady weight increase. After administration of DSS, a significant loss in the body weight of the animal was observed, and this continued until the end of the experiment in the PF group and model group compared with the control group (P<0.01, Fig. 5A). Compared with the model group, the PF-treated mice showed a significant decrease in DAI scores (P<0.01, Fig. 5B). The colonic tissue was observed by light microscopy. The histomorphology of the colonic tissue of mice in the control group appeared normal. In the model group, the colonic tissue showed colonic mucosal injury with a decrease in the number of glands and substantial inflammatory cell infiltration in the mucosa and submucosa. In the PF treatment group, these abnormalities were alleviated, the colonic mucosa was restored to the levels of the control group, and inflammatory cell infiltration and congestion were also reduced in the PF group (Fig. 5C-E).

Figure 5

Clinical symptoms of mice with DSS-induced colitis treated with PF. (A) Change in body weight. (B) Disease activity index of the DSS-induced mice. Data are presented as the mean ± SD. (C-E) Histological examination of the colonic tissues using hematoxylin and eosin staining. The black arrows show inflammatory cell infiltration. *P<0.05 vs. control; #P<0.05 and ##P<0.01 vs. model group. DSS, dextran sodium sulfate; PF, paeoniflorin.

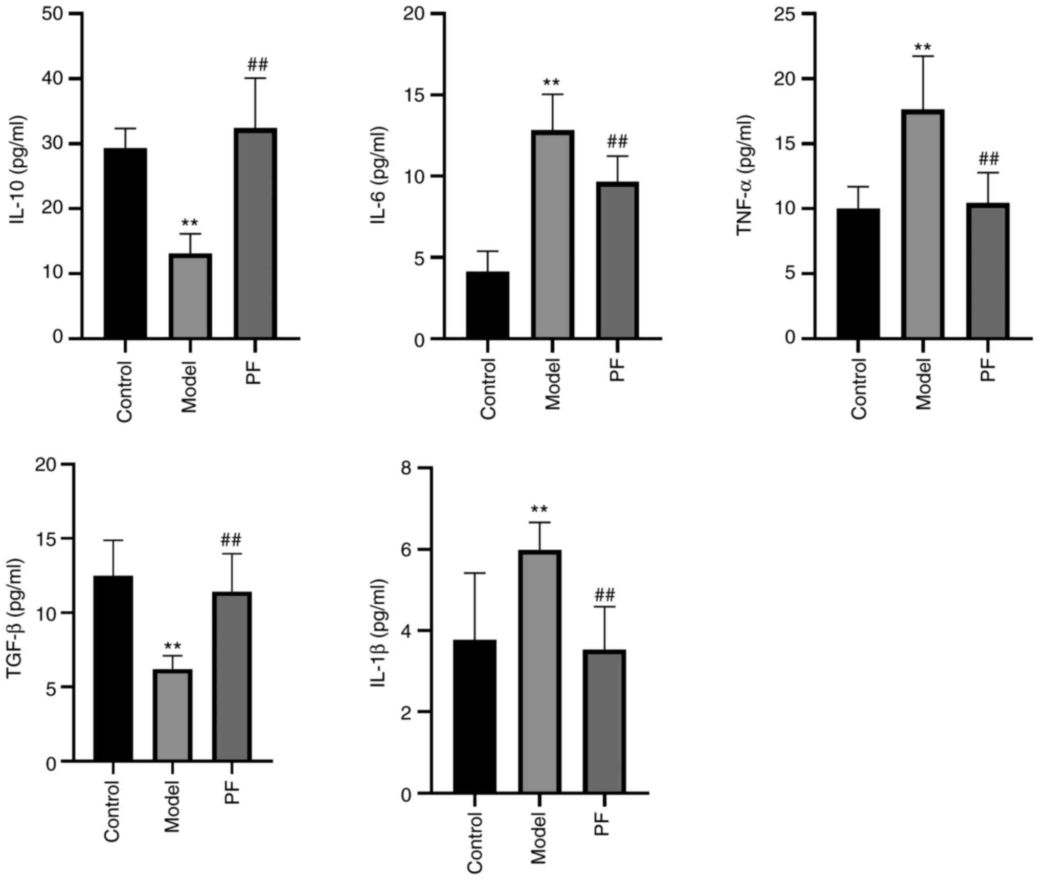
PF treatment reduces inflammatory cytokine release

The expression levels of IL-10 and TGF-β in the model group were significantly decreased (P<0.01), while the expression levels of IL-6, TNF-α, and IL-1β were significantly increased compared with those in the control group (P<0.01). The expression levels of IL-10 and TGF-β in the PF group were significantly increased compared with those in the model group (P<0.01). The expression levels of IL-6, TNF-α, and IL-1β were significantly decreased in the PF group compared with the model group (P<0.01, Fig. 6).

Figure 6

Expression levels of (A) IL-10, (B) IL-6, (C) TNF-α, (D) TGF-β, and (E) IL-1β in the serum. The expression levels of IL-10 and TGF-β in the model group were decreased, while the expression levels of IL-6, TNF-α, and IL-1β were increased when compared with those in the control group (F=37.470, 23.370, 58.343, 19.526, 11.615). The expression levels of IL-10 and TGF-β in the PF group were increased compared with those in the model group (F=37.470 and 23.370, respectively). The expression levels of IL-6, TNF-α, and IL-1β were decreased in the PF group compared with those in the model group (F=58.343, 19.526, and 11.615, respectively). Data are presented as the mean ± SD. **P<0.001 vs. control group; ##P<0.001 vs. model group.

PF reduces DSS-induced inflammation via regulation of the PI3K/AKT signaling pathway

The mRNA expression levels of PI3K, AKT1, mTOR, BCL2, and EGFR were significantly increased in the model group compared with those in the control group (all P<0.05). After treatment with PF, the mRNA expression levels of PI3K, AKT1, mTOR, BCL2, and EGFR were significantly decreased compared with those in the model group (P<0.05, Fig. 7).

Figure 7

PF downregulated the mRNA expression levels of AKT1, BCL2, EGFR, mTOR, and PI3K in the colonic mucosa. The mRNA expression levels of PI3K, AKT1, mTOR, BCL2, and EGFR were significantly increased in the model group compared with those in the control group (F=8.256, 19.157, 9.787, 10.327, and 15.592, respectively; P=0.001, <0.0001, <0.0001, 0.003, and <0.0001, respectively). The mRNA expression levels of PI3K, AKT1, mTOR, BCL2, and EGFR in the PF group were significantly decreased compared with those in the model group (P=0.002, <0.0001, 0.007, <0.0001, and <0.0001, respectively). Data are presented as the mean ± SD. *P<0.05 and **P<0.01 vs. control group; ##P<0.01 vs. model group. PF, paeoniflorin.

As shown in Fig. 8, western blot results showed that there was a marked increase in the protein expression levels of p-PI3K/PI3K, p-AKT1/AKT1, and p-mTOR/mTOR in the colonic mucosa of the model group after the administration of DSS in the drinking water (P<0.05). The expression levels of Bcl-2 and EGFR were also increased in the model group, but the differences were not significant (P>0.05). In the PF group, the protein levels of p-PI3K/PI3K, p-AKT1/AKT1, and p-mTOR/mTOR, Bcl-2, and EGFR were decreased compared with those in the model group (P<0.05). Taken together, these results demonstrate that PF could protect against UC partially through inhibition of the PI3K/AKT signaling pathway.

Figure 8

PF downregulated the protein expression levels of p-AKT1/AKT1, Bcl-2, EGFR, p-mTOR/mTOR, and p-PI3K/PI3K in the colonic mucosa from the dextran sodium sulfate-induced mice. Data are presented as the mean ± SD. *P<0.05, **P<0.01 vs. control group; #P<0.05, ##P<0.01 vs. model group. PF, paeoniflorin.

Discussion

UC, a type of inflammatory bowel disease, is characterized by abdominal pain, diarrhea, rectal bleeding, and mucopurulent bloody stools. The incidence and prevalence rates of UC have significantly increased based on hospital-based studies and register studies in China (44,45) with a significant increasingly trend of UC prevalence from 2013 to 2016 of 24.2% reported by another study (46). Several factors are correlated with the occurrence of UC including the gut microbiota, genetic factors, antibiotics use (47,48). The primary treatment options for UC are 5-aminosalicylic acid, corticosteroids, immunosuppressants, as well as fecal microbiota transplantation, although they are limited by suboptimal clinical efficacy and several side effects (48-50). In recent years, certain natural compounds have received increasing attention given their safety and efficacy, lack of side effects, and wide-ranging pharmacological benefits, and have thus been used for the treatment of a variety of diseases, including cancer, diabetes, and UC (15,51-57).

PF is the primary active compound of Paeonia suffruticosa, Paeonia suffruticosa, and Paeonia lactiflora and has good, anti-tumor, anti-ulcer, immunoregulatory, and neuroprotective effects (25,26). In a network pharmacology and experimental validation study, Cao et al (58) revealed that PF can regulate inflammatory factors including IL-6 and IL-10 expression through the p38 MAPK signaling pathway in the treatment of pancreatic cancer. Sun et al (59) found that PF downregulated IL-18, TNF-α, and IL-1β expression levels in a rat model of diabetic foot ulcers and was related to NLRP3/ASC/caspase-1 inflammasome formation and NF-κB transcription. Several studies have revealed that PF regulates the activation of immune cells, decreases the release of inflammatory cytokines, and participates in the regulation of the GPCR and PI3K/AKT/mTOR pathways (58-63). PF has also been shown to regulate GPCR signaling by suppressing the expression of β-arrestin 2 and upregulating cAMP-PKA signaling, and this regulation was important for its therapeutic effect in rheumatoid arthritis (60). Another study found that PF could protect against cholestasis by activating Nrf2 via a PI3K/Akt-dependent pathway (64). It was also shown that PF could alleviate liver fibrosis and inhibit the activation of immune cells by inhibiting HIF-1α expression partly through suppressing the mTOR pathway (60).

However, the molecular mechanisms underlying the protective effects of PF against DSS-induced UC remain unknown. To determine the mechanism of action of PF in the treatment of UC, network pharmacology was used to predict the target genes and pathways of its action, followed by experimental validation.

The results showed that PF treatment and the pathogenesis of UC shared 60 common target genes, and the top 10 targets were ALB, AKT1, MMP9, CASP3, SRC, EGFR, IGF1, MMP2, ESR1, IL2 and MAPK14, which are ranked according to degree values. The pathways identified included proteoglycans in cancer, EGFR tyrosine kinase inhibitor resistance, endocrine resistance, prostate cancer, fluid shear stress and atherosclerosis, IL-17, PI3K/AKT, and HIF-1 signaling pathways. AKT1, BCL2L1, EGFR, FGFR2, IGF1, IGF1R, IL2, JAK2, KDR, MET, NOS3, and SYK were identified as genes that participate in the PI3K/AKT signaling pathway.

The findings of the present study are consistent with those of several previous studies. Multiple pathways have been revealed to be involved in the pathogenesis and progression of UC including the MAPK/AP-1, PPAR-α, PI3K/AKT, and NF-κB signaling pathways (65,66). Studies have found that the PI3K/AKT signaling pathway is related to the production of proinflammatory cytokines, such as TNF-α, NF-κB, IL-6, and IL-17, and regulates inflammation, apoptosis, and cell proliferation by modulating the activity of downstream effector molecules, such as NF-κB, Bcl-2, caspase 9, and mTOR (67,68). Once the PI3K/AKT signaling pathway is activated by Akt, it can regulate the key cellular processes involved in the immune-inflammatory response and induce NF-κB to produce anti-apoptotic and pro-inflammatory effects (69).

The pathogenesis of UC may be associated with the abnormal proliferation of colonic epithelial cells, enhanced leukocyte infiltration into the colonic interstitium, elevated mucosal T-cell activation, increased proinflammatory cytokine production, and dysregulation of signal transduction pathways (70-76). Inflammation plays an important role in the progression of UC (77). Anti-TNF agents have been assessed for the treatment of UC in clinical settings and they showed adequacy as a long-term maintenance therapy (78,79). Researchers have found that IL-1β and IL-6 can promote an immune response and that their expression levels are associated with genetic susceptibility and steroid dependence in patients with UC (80,81).

PF has also been shown to have an inhibitory effect on inflammation. A study by Tao et al (82) confirmed that the use of PF at 5-20 mg/kg significantly inhibited the levels of inflammatory mediators such as NF-κB, TNF-α, IL-1β, and IL-6 and downregulated caspase-3 expression. Another study showed that Moutan Cortex Radicis, a Chinese herb that contains PF as its primary compound, can inhibit the activation of NF-κB and decrease IL-6 and TNF-α expression levels in a DSS-induced colitis model (83). PF has also been shown to significantly reduce the occurrence of liver fibrosis, inhibit the inflammatory response caused by cholestasis primarily by upregulating the PI3K/Akt/Nrf2 pathway (24), and inhibit the expression of HIF-1α through the mTOR pathway (84).

PF is able to ameliorate the inflammatory degree of DSS-induced colitis, primarily by inhibiting NF-κB pathway activation and downregulating the expression of proinflammatory factors; it also inhibits the reduction of eosinophil-related chemokine gene expression and eosinophil infiltration and slightly inhibits COX2 activity, as demonstrated by enzymatic assays (85). PF can inhibit LPS-induced inflammation in Caco-2 cell monolayers, which is correlated with its inhibition of NF-κB activation and reduction of IL-6, iNOS, TNF-α, and COX-2 expression (62). Several studies have demonstrated that PF can suppress the production of pro-inflammatory cytokines such as IL-1β, IL-6, and TNF-α in inflammatory conditions and have demonstrated that this is related to the NF-κB and JAK2/STAT3 pathways (84-88). The total glucosides of peonies, which consist of PF, has been found to improve the pathological state of a DSS-induced IBD animal model and to downregulate the expression of TNF-α, IL-17A, IL-23, and IFN-γ in colonic tissues to improve mucosal barrier function (89).

The results of the present study showed that PF can reduce the levels of IL-6, TNF-α, and IL-1β, which was consistent with the findings of the abovementioned studies, indicating that PF exerts its therapeutic effect by improving the pathological condition of UC by inhibiting the inflammatory response.

The Bcl-2 family has been found to play an important role in the modulation of apoptosis including DNA cleavage and plasma membrane blebbing and also negatively regulates cell death (90,91). Studies have shown that medical treatment of UC may be accomplished via suppression of apoptosis by modulating BAX and Bcl-2 levels and caspase activity (91). Gu et al (92) found that PF blocked the nuclear translocation of NF-κB, downregulated the expression of COX-2 and Bcl-2, and upregulated the expression of BAX by inhibiting the MAPK/NF-κB pathway, thereby regulating intestinal immune abnormalities, inhibiting inflammation and therefore reducing UC. In addition, studies have suggested that the PI3K/AKT signaling pathway may be involved in both inflammatory and cancerous processes in UC and that activation of the EGFR/PI3K/AKT pathway can increase the expression of vascular endothelial growth factor by upregulating HIF-1α, which can lead to slower blood flow and increased interstitial blood pressure, forming tumor vessels (66,93,94).

The EGFR signaling pathway plays a critical role in the regulation of colonic epithelial biology and the response to injury and inflammation and is activated in colonic macrophages in mice with DSS-induced colitis with UC (95). The present study found that PF can decrease the expression levels of Bcl-2 and EGFR in a mouse model of UC. The results revealed that the mechanism of action of PF was related to EGFR and Bcl-2, which was consistent with the findings of a previous study (96).

The results of the present study also showed that PF could decrease the expression levels of p-AKT1, Bcl-2, p-mTOR, and p-PI3K. The animal experiments demonstrated that PF treatment improved the pathological structure of the animals, increased the levels of IL-10 and TGF-β, and decreased the levels of IL-6, TNF-α, and IL-1β. Taken together, it was confirmed that PF could protect against UC through inhibition of the PI3K/AKT signaling pathway. In other studies, wortmannin was used as a PI3K inhibitor and it was found that it could relieve the clinical symptoms, alleviate the inflammatory response, and decrease the secretion of TNF-α in the intestinal mucosa of UC patients and in a mouse model of colitis (66). This suggested that the activation of PI3K resulted in damage to the intestinal mucosa by increasing the secretion of pro-inflammatory cytokines. The application of PI3K/Akt antagonists may be used to treat UC in the future. However, here it was found that PF exerted its effects through affecting multiple pathways, and the use of a PI3K/AKT agonist or antagonist may lead to other side effects or affect other biological processes. Thus, PI3K/Akt agonists and antagonists were not included in the present study. The present study also confirmed that the mechanism of PF in the treatment of UC was associated with the regulation of the HIF-1 pathway, which is worthy of future study.

In conclusion, 60 common genes were identified between PF- and UC-related targets. The top 10 corresponding genes included ALB, AKT1, MMP9, CASP3, SRC, EGFR, IGF1, MMP2, ESR1, IL2 and MAPK14. GO functional and KEGG pathway enrichment analyses indicated that the molecular mechanisms of action of PF in UC were closely related to important biochemical processes and signaling pathways such as EGFR tyrosine kinase inhibitor resistance, the IL-17 signaling pathway, the PI3K-Akt signaling pathway, and the HIF-1 signaling pathway. PF treatment reduced colonic damage caused by DSS and decreased IL-6, TNF-α, IL-1β, PI3K/Akt pathway-related activity, and EGFR, PI3K, mTOR, and Bcl-2 mRNA and protein expression levels. Thus, it was found that the PI3K/Akt pathway played a critical role in PF-mediated treatment of UC.

Acknowledgements

Not applicable.

Funding

Funding: This work was supported by the National Natural Science Foundation of China (grant no. 81603509), the Natural Science Foundation of Shandong Province (grant nos. ZR2014HQ051 and ZR2021QH129), and the Key Research and Development Plan of Jining (grant no. 2021YXNS007).

Availability of data and materials

All data generated or analyzed during this study are included in this published article.

Authors' contributions

BY conceived and designed the study. SZ, QL and KN designed the experiments. YQ, KN, BL and CZ acquired the data. SZ, KN, YL, YZ, BL and BY analyzed and interpreted the data. KN and BY wrote and revised the manuscript. BY, SZ and KN confirm the authenticity of all the raw data. All authors have read and approved the final manuscript.

Ethics approval and consent participate

This study was approved by the Ethics Committee of Jining Medical University (approval no. JNMC-2020-DW-ZXY-001).

Patient consent for publication

Not applicable.

Competing interests

The authors declare that they have no competing interests.

References

1 

Feuerstein JD, Moss AC and Farraye FA: Ulcerative colitis. Mayo Clin Proc. 94:1357–1373. 2019.PubMed/NCBI View Article : Google Scholar

2 

Neurath MF and Leppkes M: Resolution of ulcerative colitis. Semin Immunopathol. 41:747–756. 2019.PubMed/NCBI View Article : Google Scholar

3 

Krishna M, Britto S, Qian J, Ihekweazu F, Rodriguez JR and Kellermayer R: Diagnostic delay and colectomy risk in pediatric ulcerative colitis. J Pediatr Surg. 55:403–405. 2020.PubMed/NCBI View Article : Google Scholar

4 

Danese S and Fiocchi C: Ulcerative colitis. N Engl J Med. 365:1713–1725. 2011.PubMed/NCBI View Article : Google Scholar

5 

Loftus EV Jr: Clinical epidemiology of inflammatory bowel disease: Incidence, prevalence, and environmental influences. Gastroenterology. 126:1504–1517. 2004.PubMed/NCBI View Article : Google Scholar

6 

Langholz E, Munkholm P, Nielsen OH, Kreiner S and Binder V: Incidence and prevalence of ulcerative colitis in Copenhagen county from 1962 to 1987. Scand J Gastroenterol. 26:1247–1256. 1991.PubMed/NCBI View Article : Google Scholar

7 

Kaistha A and Levine J: Inflammatory bowel disease: The classic gastrointestinal autoimmune disease. Curr Probl Pediatr Adolesc Health Care. 44:328–334. 2014.PubMed/NCBI View Article : Google Scholar

8 

Miyamoto Y, Suyama K and Baba H: Recent advances in targeting the EGFR signaling pathway for the treatment of metastatic colorectal cancer. Int J Mol Sci. 18(752)2017.PubMed/NCBI View Article : Google Scholar

9 

Gisbert JP and Chaparro M: Acute severe ulcerative colitis: State of the art treatment. Best Pract Res Clin Gastroenterol. 32-33:59–69. 2018.PubMed/NCBI View Article : Google Scholar

10 

Duijvestein M, Battat R, Vande Casteele N, D'Haens GR, Sandborn WJ, Khanna R, Jairath V and Feagan BG: Novel therapies and treatment strategies for patients with inflammatory bowel disease. Curr Treat Options Gastroenterol. 16:129–146. 2018.PubMed/NCBI View Article : Google Scholar

11 

Wang YN, Li J, Zheng WY, Wu D, Yang H, Li Y, Lv H, Tan B, Shu HJ, Sun XY, et al: Clinical characteristics of ulcerative colitis-related colorectal cancer in Chinese patients. J Dig Dis. 18:684–690. 2017.PubMed/NCBI View Article : Google Scholar

12 

Bezzio C, Furfaro F, de Franchis R, Maconi G, Asthana AK and Ardizzone S: Ulcerative colitis: Current pharmacotherapy and future directions. Expert Opin Pharmacother. 15:1659–1670. 2014.PubMed/NCBI View Article : Google Scholar

13 

Kobayashi T, Siegmund B, Le Berre C, Wei SC, Ferrante M, Shen B, Bernstein CN, Danese S, Peyrin-Biroulet L and Hibi T: Ulcerative colitis. Nat Rev Dis Primers. 6(74)2020.PubMed/NCBI View Article : Google Scholar

14 

Gao Q, Tian W, Yang H, Hu H, Zheng J, Yao X, Hu B and Liu H: Shen-Ling-Bai-Zhu-San alleviates the imbalance of intestinal homeostasis in dextran sodium sulfate-induced colitis mice by regulating gut microbiota and inhibiting the NLRP3 inflammasome activation. J Ethnopharmacol. 319(117136)2024.PubMed/NCBI View Article : Google Scholar

15 

Chen K, Lou Y and Zhu Y: Tong Xie Yao Fang: A classic Chinese medicine prescription with potential for the treatment of ulcerative colitis. Evid Based Complement Alternat Med. 2021(5548764)2021.PubMed/NCBI View Article : Google Scholar

16 

Niu C, Hu XL, Yuan ZW, Xiao Y, Ji P, Wei YM and Hua YL: Pulsatilla decoction improves DSS-induced colitis via modulation of fecal-bacteria-related short-chain fatty acids and intestinal barrier integrity. J Ethnopharmacol. 300(115741)2023.PubMed/NCBI View Article : Google Scholar

17 

He Z, Zhou Q, Wen K, Wu B, Sun X, Wang X and Chen Y: Huangkui Lianchang decoction ameliorates DSS-induced ulcerative colitis in mice by inhibiting the NF-kappaB signaling pathway. Evid Based Complement Alternat Med. 2019(1040847)2019.PubMed/NCBI View Article : Google Scholar

18 

Li R, Chen Y, Shi M, Xu X, Zhao Y, Wu X and Zhang Y: Gegen Qinlian decoction alleviates experimental colitis via suppressing TLR4/NF-κB signaling and enhancing antioxidant effect. Phytomedicine. 23:1012–1020. 2016.PubMed/NCBI View Article : Google Scholar

19 

Ye Q, Hu Z, Yang M, Qin K and Zhou Y: Effects and mechanisms of Chinese herbal medicine for ulcerative colitis: Protocol for a systematic review and meta-analysis. Medicine (Baltimore). 99(e19768)2020.PubMed/NCBI View Article : Google Scholar

20 

Zhang HY, Zeng HR, Wei HZ, Chu XY, Zhu HT, Zhao B and Zhang Y: Tongxie-Yaofang formula regulated macrophage polarization to ameliorate DSS-induced colitis via NF-κB/NLRP3 signaling pathway. Phytomedicine. 107(154455)2022.PubMed/NCBI View Article : Google Scholar

21 

Zhu Y, Li Q, Li H, Xie Y, Sun M, Zheng C and Yu B: Effect of Tongxie Yaofang on the expression of inflammatory factors in rats of stagnation of liver and spleen deficiency syndrome. Lishizhen Med Mater Med Res. 29:1053–1057. 2018.

22 

Zheng K, Jia J, Yan S, Shen H, Zhu P and Yu J: Paeoniflorin ameliorates ulcerative colitis by modulating the dendritic cell-mediated TH17/Treg balance. Inflammopharmacology. 28:1705–1716. 2020.PubMed/NCBI View Article : Google Scholar

23 

Zhao DD, Jiang LL, Li HY, Yan PF and Zhang YL: Chemical components and pharmacological activities of terpene natural products from the genus paeonia. Molecules. 21(1362)2016.PubMed/NCBI View Article : Google Scholar

24 

Ma X, Zhang W, Jiang Y, Wen J, Wei S and Zhao Y: Paeoniflorin, a natural product with multiple targets in liver diseases-a mini review. Front Pharmacol. 11(531)2020.PubMed/NCBI View Article : Google Scholar

25 

Zhai A, Zhang Z and Kong X: Paeoniflorin alleviates H2O2-induced oxidative injury through down-regulation of MicroRNA-135a in HT-22 cells. Neurochem Res. 44:2821–2831. 2019.PubMed/NCBI View Article : Google Scholar

26 

Xin Q, Yuan R, Shi W, Zhu Z, Wang Y and Cong W: A review for the anti-inflammatory effects of paeoniflorin in inflammatory disorders. Life Sci. 237(116925)2019.PubMed/NCBI View Article : Google Scholar

27 

Wang Y, Zhou Y, Lin H, Chen H and Wang S: Paeoniflorin inhibits the proliferation and metastasis of ulcerative colitis-associated colon cancer by targeting EGFL7. J Oncol. 2022(7498771)2022.PubMed/NCBI View Article : Google Scholar

28 

Luo TT, Lu Y, Yan SK, Xiao X, Rong XL and Guo J: Network pharmacology in research of chinese medicine formula: Methodology, application and prospective. Chin J Integr Med. 26:72–80. 2020.PubMed/NCBI View Article : Google Scholar

29 

Zhou Z, Chen B, Chen S, Lin M, Chen Y, Jin S, Chen W and Zhang Y: Applications of network pharmacology in traditional chinese medicine research. Evid Based Complement Alternat Med. 2020(1646905)2020.PubMed/NCBI View Article : Google Scholar

30 

Shannon P, Markiel A, Ozier O, Baliga NS, Wang JT, Ramage D, Amin N, Schwikowski B and Ideker T: Cytoscape: A software environment for integrated models of biomolecular interaction networks. Genome Res. 13:2498–2504. 2003.PubMed/NCBI View Article : Google Scholar

31 

Chin CH, Chen SH, Wu HH, Ho CW, Ko MT and Lin CY: cytoHubba: Identifying hub objects and sub-networks from complex interactome. BMC Syst Biol. 8 (Suppl 4)(S11)2014.PubMed/NCBI View Article : Google Scholar

32 

Assenov Y, Ramírez F, Schelhorn SE, Lengauer T and Albrecht M: Computing topological parameters of biological networks. Bioinformatics. 24:282–284. 2008.PubMed/NCBI View Article : Google Scholar

33 

Yu G, Wang LG, Han Y and He QY: clusterProfiler: An R package for comparing biological themes among gene clusters. OMICS. 16:284–287. 2012.PubMed/NCBI View Article : Google Scholar

34 

RStudio Team: RStudio: Integrated development for R. RStudio, PBC., Boston MA, 2015.

35 

Team RC: R: A language and Environment for Statistical Computing. MSOR connections, pp1, 2014.

36 

The Gene Ontology Consortium. The gene ontology resource: 20 Years and still GOing strong. Nucleic Acids Res. 47:D330–D338. 2019.PubMed/NCBI View Article : Google Scholar

37 

Ashburner M, Ball CA, Blake JA, Botstein D, Butler H, Cherry JM, Davis AP, Dolinski K, Dwight SS, Eppig JT, et al: Gene ontology: Tool for the unification of biology. The gene ontology consortium. Nat Genet. 25:25–29. 2000.PubMed/NCBI View Article : Google Scholar

38 

Kanehisa M: Post-Genome Informatics. Oxford University Press, Oxford, 2000.

39 

Morris GM, Huey R, Lindstrom W, Sanner MF, Belew RK, Goodsell DS and Olson AJ: AutoDock4 and AutoDockTools4: Automated docking with selective receptor flexibility. J Comput Chem. 30:2785–2791. 2009.PubMed/NCBI View Article : Google Scholar

40 

Trott O and Olson AJ: AutoDock Vina: Improving the speed and accuracy of docking with a new scoring function, efficient optimization, and multithreading. J Comput Chem. 31:455–461. 2010.PubMed/NCBI View Article : Google Scholar

41 

Wang K, Li YF, Lv Q, Li XM, Dai Y and Wei FZ: Bergenin, acting as an agonist of PPARγ, ameliorates experimental colitis in mice through improving expression of SIRT1, and therefore inhibiting NF-κB-mediated macrophage activation. Front Pharmacol. 8(981)2018.PubMed/NCBI View Article : Google Scholar

42 

Xie X, Liu P, Wu H, Li H, Tang Y, Chen X, Xu C, Liu X and Dai G: miR-21 antagonist alleviates colitis and angiogenesis via the PTEN/PI3K/AKT pathway in colitis mice induced by TNBS. Ann Transl Med. 10(413)2022.PubMed/NCBI View Article : Google Scholar

43 

Livak KJ and Schmittgen TD: Analysis of relative gene expression data using real-time quantitative PCR and the 2(-Delta Delta C(T)) method. Methods. 25:402–408. 2001.PubMed/NCBI View Article : Google Scholar

44 

Wang Y and Ouyang Q: APDW 2004 Chinese IBD working group. Ulcerative colitis in China: Retrospective analysis of 3100 hospitalized patients. J Gastroenterol Hepatol. 22:1450–1455. 2007.PubMed/NCBI View Article : Google Scholar

45 

Jiang XL and Cui HF: An analysis of 10218 ulcerative colitis cases in China. World J Gastroenterol. 8:158–161. 2002.PubMed/NCBI View Article : Google Scholar

46 

Yang H, Zhou R, Bai X, Guo M, Ruan G, Wang L and Qian J: Trend and geographic variation in incidence and prevalence of inflammatory bowel disease in regions across China: A nationwide employee study between 2013 and 2016. Front Med (Lausanne). 9(900251)2022.PubMed/NCBI View Article : Google Scholar

47 

Han Z, Tan X, Sun J, Wang T, Yan G, Wang C and Ma K: Systems pharmacology and transcriptomics reveal the mechanisms of Sanhuang decoction enema in the treatment of ulcerative colitis with additional Candida albicans infection. Chin Med. 16(75)2021.PubMed/NCBI View Article : Google Scholar

48 

Ananthakrishnan AN, Bernstein CN, Iliopoulos D, Macpherson A, Neurath MF, Ali RAR, Vavricka SR and Fiocchi C: Environmental triggers in IBD: A review of progress and evidence. Nat Rev Gastroenterol Hepatol. 15:39–49. 2018.PubMed/NCBI View Article : Google Scholar

49 

Burri E, Maillard MH, Schoepfer AM, Seibold F, Van Assche G, Rivière P, Laharie D and Manz M: Swiss IBDnet, an official working group of the Swiss Society of Gastroenterology. Treatment algorithm for mild and moderate-to-severe ulcerative colitis: An update. Digestion. 101 (Suppl 1):S2–S15. 2020.PubMed/NCBI View Article : Google Scholar

50 

Segal JP, LeBlanc JF and Hart AL: Ulcerative colitis: An update. Clin Med (Lond). 21:135–139. 2021.PubMed/NCBI View Article : Google Scholar

51 

Hirten RP and Sands BE: New therapeutics for ulcerative colitis. Annu Rev Med. 72:199–213. 2021.PubMed/NCBI View Article : Google Scholar

52 

Azab A, Nassar A and Azab AN: Anti-inflammatory activity of natural products. Molecules. 21(1321)2016.PubMed/NCBI View Article : Google Scholar

53 

An J, Chen B, Kang X, Zhang R, Guo Y, Zhao J and Yang H: Neuroprotective effects of natural compounds on LPS-induced inflammatory responses in microglia. Am J Transl Res. 12:2353–2378. 2020.PubMed/NCBI

54 

Wei M, Li H, Li Q, Qiao Y, Ma Q, Xie R, Wang R, Liu Y, Wei C, Li B, et al: Based on network pharmacology to explore the molecular targets and mechanisms of Gegen Qinlian decoction for the treatment of ulcerative colitis. Biomed Res Int. 2020(5217405)2020.PubMed/NCBI View Article : Google Scholar

55 

Bindman AB and Cox DF: Changes in health care costs and mortality associated with transitional care management services after a discharge among medicare beneficiaries. JAMA Intern Med. 178:1165–1171. 2018.PubMed/NCBI View Article : Google Scholar

56 

Deng X, Xing X, Sun G, Xu X, Wu H, Li G and Sun X: Guanxin danshen formulation protects against myocardial ischemia reperfusion injury-induced left ventricular remodeling by upregulating estrogen receptor β. Front Pharmacol. 8(777)2017.PubMed/NCBI View Article : Google Scholar

57 

Wei J, Guo F, Zhang M, Xian M, Wang T, Gao J, Wu H, Song L, Zhang Y, Li D, et al: Signature-oriented investigation of the efficacy of multicomponent drugs against heart failure. FASEB J. 33:2187–2198. 2019.PubMed/NCBI View Article : Google Scholar

58 

Cao C, Zhao W, Chen X, Shen B, Wang T, Wu C and Rong X: Deciphering the action mechanism of paeoniflorin in suppressing pancreatic cancer: A network pharmacology study and experimental validation. Front Pharmacol. 13(1032282)2022.PubMed/NCBI View Article : Google Scholar

59 

Sun X, Wang X, Zhao Z, Chen J, Li C and Zhao G: Paeoniflorin inhibited nod-like receptor protein-3 inflammasome and NF-κB-mediated inflammatory reactions in diabetic foot ulcer by inhibiting the chemokine receptor CXCR2. Drug Dev Res. 82:404–411. 2021.PubMed/NCBI View Article : Google Scholar

60 

Zhang L and Wei W: Anti-inflammatory and immunoregulatory effects of paeoniflorin and total glucosides of paeony. Pharmacol Ther. 207(107452)2020.PubMed/NCBI View Article : Google Scholar

61 

Chang Y, Zhai L, Peng J, Wu H, Bian Z and Xiao H: Phytochemicals as regulators of Th17/Treg balance in inflammatory bowel diseases. Biomed Pharmacother. 141(111931)2021.PubMed/NCBI View Article : Google Scholar

62 

Wu XX, Huang XL, Chen RR, Li T, Ye HJ, Xie W, Huang ZM and Cao GZ: Paeoniflorin prevents intestinal barrier disruption and inhibits lipopolysaccharide (LPS)-induced inflammation in Caco-2 cell monolayers. Inflammation. 42:2215–2225. 2019.PubMed/NCBI View Article : Google Scholar

63 

Chen M, Cao L, Luo Y, Feng X, Sun L, Wen M and Peng S: Paeoniflorin protects against concanavalin A-induced hepatitis in mice. Int Immunopharmacol. 24:42–49. 2015.PubMed/NCBI View Article : Google Scholar

64 

Chen Z, Ma X, Zhu Y, Zhao Y, Wang J, Li R, Chen C, Wei S, Jiao W, Zhang Y, et al: Paeoniflorin ameliorates ANIT-induced cholestasis by activating Nrf2 through an PI3K/Akt-dependent pathway in rats. Phytother Res. 29:1768–1775. 2015.PubMed/NCBI View Article : Google Scholar

65 

Li N, Sun W, Zhou X, Gong H, Chen Y, Chen D and Xiang F: Dihydroartemisinin protects against dextran sulfate sodium-induced colitis in mice through inhibiting the PI3K/AKT and NF-κB signaling pathways. Biomed Res Int. 2019(1415809)2019.PubMed/NCBI View Article : Google Scholar

66 

Huang XL, Xu J, Zhang XH, Qiu BY, Peng L, Zhang M and Gan HT: PI3K/Akt signaling pathway is involved in the pathogenesis of ulcerative colitis. Inflamm Res. 60:727–734. 2011.PubMed/NCBI View Article : Google Scholar

67 

Setia S, Nehru B and Sanyal SN: Upregulation of MAPK/Erk and PI3K/Akt pathways in ulcerative colitis-associated colon cancer. Biomed Pharmacother. 68:1023–1029. 2014.PubMed/NCBI View Article : Google Scholar

68 

Chen Q, Duan X, Fan H, Xu M, Tang Q, Zhang L, Shou Z, Liu X, Zuo D, Yang J, et al: Oxymatrine protects against DSS-induced colitis via inhibiting the PI3K/AKT signaling pathway. Int Immunopharmacol. 53:149–157. 2017.PubMed/NCBI View Article : Google Scholar

69 

Wei J and Feng J: Signaling pathways associated with inflammatory bowel disease. Recent Pat Inflamm Allergy Drug Discov. 4:105–117. 2010.PubMed/NCBI View Article : Google Scholar

70 

Vetuschi A, Latella G, Sferra R, Caprilli R and Gaudio E: Increased proliferation and apoptosis of colonic epithelial cells in dextran sulfate sodium-induced colitis in rats. Dig Dis Sci. 47:1447–1457. 2002.PubMed/NCBI View Article : Google Scholar

71 

Laukoetter MG, Nava P, Lee WY, Severson EA, Capaldo CT, Babbin BA, Williams IR, Koval M, Peatman E, Campbell JA, et al: JAM-A regulates permeability and inflammation in the intestine in vivo. J Exp Med. 204:3067–3076. 2007.PubMed/NCBI View Article : Google Scholar

72 

Panés J and Granger DN: Leukocyte-endothelial cell interactions: Implications for the pathogenesis and treatment of gastrointestinal disease. Dig Dis. 12:232–241. 1994.PubMed/NCBI View Article : Google Scholar

73 

Sturm A, de Souza HS and Fiocchi C: Mucosal T cell proliferation and apoptosis in inflammatory bowel disease. Current Drug Targets. 9:381–387. 2008.PubMed/NCBI View Article : Google Scholar

74 

Brown SJ and Mayer L: The immune response in inflammatory bowel disease. Am J Gastroenterol. 102:2058–2069. 2007.PubMed/NCBI View Article : Google Scholar

75 

Bisping G, Lügering N, Lütke-Brintrup S, Pauels HG, Schürmann G, Domschke W and Kucharzik T: Patients with inflammatory bowel disease (IBD) reveal increased induction capacity of intracellular interferon-gamma (IFN-gamma) in peripheral CD8+ lymphocytes co-cultured with intestinal epithelial cells. Clin Exp Immunol. 123:15–22. 2001.PubMed/NCBI View Article : Google Scholar

76 

Atreya I, Atreya R and Neurath MF: NF-kappaB in inflammatory bowel disease. J Intern Med. 263:591–596. 2008.PubMed/NCBI View Article : Google Scholar

77 

Patil DT, Moss AC and Odze RD: Role of histologic inflammation in the natural history of ulcerative colitis. Gastrointest Endosc Clin N Am. 26:629–640. 2016.PubMed/NCBI View Article : Google Scholar

78 

Jentzer A, Veyrard P, Roblin X, Saint-Sardos P, Rochereau N, Paul S, Bourlet T, Pozzetto B and Pillet S: Cytomegalovirus and inflammatory bowel diseases (IBD) with a special focus on the link with ulcerative colitis (UC). Microorganisms. 8(1078)2020.PubMed/NCBI View Article : Google Scholar

79 

Ben-Horin S, Kopylov U and Chowers Y: Optimizing anti-TNF treatments in inflammatory bowel disease. Autoimmun Rev. 13:24–30. 2014.PubMed/NCBI View Article : Google Scholar

80 

Yamamoto-Furusho JK, Santiago-Hernández JJ, Pérez-Hernández N, Ramírez-Fuentes S, Fragoso JM and Vargas-Alarcón G: Interleukin 1 β (IL-1B) and IL-1 antagonist receptor (IL-1RN) gene polymorphisms are associated with the genetic susceptibility and steroid dependence in patients with ulcerative colitis. J Clin Gastroenterol. 45:531–535. 2011.PubMed/NCBI View Article : Google Scholar

81 

Bernardo D, Vallejo-Díez S, Mann ER, Al-Hassi HO, Martínez-Abad B, Montalvillo E, Tee CT, Murugananthan AU, Núñez H, Peake ST, et al: IL-6 promotes immune responses in human ulcerative colitis and induces a skin-homing phenotype in the dendritic cells and Tcells they stimulate. Eur J Immunol. 42:1337–1353. 2012.PubMed/NCBI View Article : Google Scholar

82 

Tao YE, Wen Z, Song Y and Wang H: Paeoniflorin attenuates hepatic ischemia/reperfusion injury via anti-oxidative, anti-inflammatory and anti-apoptotic pathways. Exp Ther Med. 11:263–268. 2016.PubMed/NCBI View Article : Google Scholar

83 

Chen TF, Hsu JT, Wu KC, Hsiao CF, Lin JA, Cheng YH, Liu YH, Lee DY, Chang HH, Cho DY and Hsu JL: A systematic identification of anti-inflammatory active components derived from Mu Dan Pi and their applications in inflammatory bowel disease. Sci Rep. 10(17238)2020.PubMed/NCBI View Article : Google Scholar

84 

Zhao Y, Ma X, Wang J, Zhu Y, Li R, Wang J, He X, Shan L, Wang R, Wang L, et al: Paeoniflorin alleviates liver fibrosis by inhibiting HIF-1α through mTOR-dependent pathway. Fitoterapia. 99:318–327. 2014.PubMed/NCBI View Article : Google Scholar

85 

Li J, Ren S, Li M, Bi J, Yang G and Li E: Paeoniflorin protects against dextran sulfate sodium (DSS)-induced colitis in mice through inhibition of inflammation and eosinophil infiltration. Int Immunopharmacol. 97(107667)2021.PubMed/NCBI View Article : Google Scholar

86 

Hu B, Xu G, Zhang X, Xu L, Zhou H, Ma Z, Shen X, Zhu J and Shen R: Paeoniflorin attenuates inflammatory pain by inhibiting microglial activation and Akt-NF-κB signaling in the central nervous system. Cell Physiol Biochem. 47:842–850. 2018.PubMed/NCBI View Article : Google Scholar

87 

Wang D, Liu L, Li S and Wang C: Effects of paeoniflorin on neurobehavior, oxidative stress, brain insulin signaling, and synaptic alterations in intracerebroventricular streptozotocin-induced cognitive impairment in mice. Physiol Behav. 191:12–20. 2018.PubMed/NCBI View Article : Google Scholar

88 

Wang G and Cheng N: Paeoniflorin inhibits mast cell-mediated allergic inflammation in allergic rhinitis. J Cell Biochem. 119:8636–8642. 2018.PubMed/NCBI View Article : Google Scholar

89 

Cao XY, Ni JH, Wang X, Feng GZ, Li HD, Bao WL, Wang YR, You KY, Weng HB and Shen XY: Total glucosides of paeony restores intestinal barrier function through inhibiting Lyn/Snail signaling pathway in colitis mice. Phytomedicine. 87(153590)2021.PubMed/NCBI View Article : Google Scholar

90 

Ola MS, Nawaz M and Ahsan H: Role of Bcl-2 family proteins and caspases in the regulation of apoptosis. Mol Cell Biochem. 351:41–58. 2011.PubMed/NCBI View Article : Google Scholar

91 

Sun J, Zhang H, Guan L, Zhou H and Sun M: Alpha-lipoic acid attenuates trinitrobenzene sulfonic acid-induced ulcerative colitis in mice. Int J Clin Exp Med. 8:358–367. 2015.PubMed/NCBI

92 

Gu P, Zhu L, Liu Y, Zhang L, Liu J and Shen H: Protective effects of paeoniflorin on TNBS-induced ulcerative colitis through inhibiting NF-kappaB pathway and apoptosis in mice. Int Immunopharmacol. 50:152–160. 2017.PubMed/NCBI View Article : Google Scholar

93 

Lee G, Goretsky T, Managlia E, Dirisina R, Singh AP, Brown JB, May R, Yang GY, Ragheb JW, Evers BM, et al: Phosphoinositide 3-kinase signaling mediates beta-catenin activation in intestinal epithelial stem and progenitor cells in colitis. Gastroenterology. 139:869–881.e1-e9. 2010.PubMed/NCBI View Article : Google Scholar

94 

Karar J and Maity A: PI3K/AKT/mTOR pathway in angiogenesis. Front Mol Neurosci. 4(51)2011.PubMed/NCBI View Article : Google Scholar

95 

Lu N, Wang L, Cao H, Liu L, Van Kaer L, Washington MK, Rosen MJ, Dubé PE, Wilson KT, Ren X, et al: Activation of the epidermal growth factor receptor in macrophages regulates cytokine production and experimental colitis. J Immunol. 192:1013–1023. 2014.PubMed/NCBI View Article : Google Scholar

96 

Yao J, Cao X, Zhang R, Li YX, Xu ZL, Zhang DG, Wang LS and Wang JY: Protective effect of baicalin against experimental colitis via suppression of oxidant stress and apoptosis. Pharmacogn Mag. 12:225–234. 2016.PubMed/NCBI View Article : Google Scholar

Related Articles

  • Abstract
  • View
  • Download
  • Twitter
Copy and paste a formatted citation
Spandidos Publications style
Li Q, Zheng S, Niu K, Qiao Y, Liu Y, Zhang Y, Li B, Zheng C and Yu B: Paeoniflorin improves ulcerative colitis via regulation of PI3K‑AKT based on network pharmacology analysis. Exp Ther Med 27: 125, 2024.
APA
Li, Q., Zheng, S., Niu, K., Qiao, Y., Liu, Y., Zhang, Y. ... Yu, B. (2024). Paeoniflorin improves ulcerative colitis via regulation of PI3K‑AKT based on network pharmacology analysis. Experimental and Therapeutic Medicine, 27, 125. https://doi.org/10.3892/etm.2024.12414
MLA
Li, Q., Zheng, S., Niu, K., Qiao, Y., Liu, Y., Zhang, Y., Li, B., Zheng, C., Yu, B."Paeoniflorin improves ulcerative colitis via regulation of PI3K‑AKT based on network pharmacology analysis". Experimental and Therapeutic Medicine 27.4 (2024): 125.
Chicago
Li, Q., Zheng, S., Niu, K., Qiao, Y., Liu, Y., Zhang, Y., Li, B., Zheng, C., Yu, B."Paeoniflorin improves ulcerative colitis via regulation of PI3K‑AKT based on network pharmacology analysis". Experimental and Therapeutic Medicine 27, no. 4 (2024): 125. https://doi.org/10.3892/etm.2024.12414
Copy and paste a formatted citation
x
Spandidos Publications style
Li Q, Zheng S, Niu K, Qiao Y, Liu Y, Zhang Y, Li B, Zheng C and Yu B: Paeoniflorin improves ulcerative colitis via regulation of PI3K‑AKT based on network pharmacology analysis. Exp Ther Med 27: 125, 2024.
APA
Li, Q., Zheng, S., Niu, K., Qiao, Y., Liu, Y., Zhang, Y. ... Yu, B. (2024). Paeoniflorin improves ulcerative colitis via regulation of PI3K‑AKT based on network pharmacology analysis. Experimental and Therapeutic Medicine, 27, 125. https://doi.org/10.3892/etm.2024.12414
MLA
Li, Q., Zheng, S., Niu, K., Qiao, Y., Liu, Y., Zhang, Y., Li, B., Zheng, C., Yu, B."Paeoniflorin improves ulcerative colitis via regulation of PI3K‑AKT based on network pharmacology analysis". Experimental and Therapeutic Medicine 27.4 (2024): 125.
Chicago
Li, Q., Zheng, S., Niu, K., Qiao, Y., Liu, Y., Zhang, Y., Li, B., Zheng, C., Yu, B."Paeoniflorin improves ulcerative colitis via regulation of PI3K‑AKT based on network pharmacology analysis". Experimental and Therapeutic Medicine 27, no. 4 (2024): 125. https://doi.org/10.3892/etm.2024.12414
Follow us
  • Twitter
  • LinkedIn
  • Facebook
About
  • Spandidos Publications
  • Careers
  • Cookie Policy
  • Privacy Policy
How can we help?
  • Help
  • Live Chat
  • Contact
  • Email to our Support Team