Spandidos Publications Logo
  • About
    • About Spandidos
    • Aims and Scopes
    • Abstracting and Indexing
    • Editorial Policies
    • Reprints and Permissions
    • Job Opportunities
    • Terms and Conditions
    • Contact
  • Journals
    • All Journals
    • Oncology Letters
      • Oncology Letters
      • Information for Authors
      • Editorial Policies
      • Editorial Board
      • Aims and Scope
      • Abstracting and Indexing
      • Bibliographic Information
      • Archive
    • International Journal of Oncology
      • International Journal of Oncology
      • Information for Authors
      • Editorial Policies
      • Editorial Board
      • Aims and Scope
      • Abstracting and Indexing
      • Bibliographic Information
      • Archive
    • Molecular and Clinical Oncology
      • Molecular and Clinical Oncology
      • Information for Authors
      • Editorial Policies
      • Editorial Board
      • Aims and Scope
      • Abstracting and Indexing
      • Bibliographic Information
      • Archive
    • Experimental and Therapeutic Medicine
      • Experimental and Therapeutic Medicine
      • Information for Authors
      • Editorial Policies
      • Editorial Board
      • Aims and Scope
      • Abstracting and Indexing
      • Bibliographic Information
      • Archive
    • International Journal of Molecular Medicine
      • International Journal of Molecular Medicine
      • Information for Authors
      • Editorial Policies
      • Editorial Board
      • Aims and Scope
      • Abstracting and Indexing
      • Bibliographic Information
      • Archive
    • Biomedical Reports
      • Biomedical Reports
      • Information for Authors
      • Editorial Policies
      • Editorial Board
      • Aims and Scope
      • Abstracting and Indexing
      • Bibliographic Information
      • Archive
    • Oncology Reports
      • Oncology Reports
      • Information for Authors
      • Editorial Policies
      • Editorial Board
      • Aims and Scope
      • Abstracting and Indexing
      • Bibliographic Information
      • Archive
    • Molecular Medicine Reports
      • Molecular Medicine Reports
      • Information for Authors
      • Editorial Policies
      • Editorial Board
      • Aims and Scope
      • Abstracting and Indexing
      • Bibliographic Information
      • Archive
    • World Academy of Sciences Journal
      • World Academy of Sciences Journal
      • Information for Authors
      • Editorial Policies
      • Editorial Board
      • Aims and Scope
      • Abstracting and Indexing
      • Bibliographic Information
      • Archive
    • International Journal of Functional Nutrition
      • International Journal of Functional Nutrition
      • Information for Authors
      • Editorial Policies
      • Editorial Board
      • Aims and Scope
      • Abstracting and Indexing
      • Bibliographic Information
      • Archive
    • International Journal of Epigenetics
      • International Journal of Epigenetics
      • Information for Authors
      • Editorial Policies
      • Editorial Board
      • Aims and Scope
      • Abstracting and Indexing
      • Bibliographic Information
      • Archive
    • Medicine International
      • Medicine International
      • Information for Authors
      • Editorial Policies
      • Editorial Board
      • Aims and Scope
      • Abstracting and Indexing
      • Bibliographic Information
      • Archive
  • Articles
  • Information
    • Information for Authors
    • Information for Reviewers
    • Information for Librarians
    • Information for Advertisers
    • Conferences
  • Language Editing
Spandidos Publications Logo
  • About
    • About Spandidos
    • Aims and Scopes
    • Abstracting and Indexing
    • Editorial Policies
    • Reprints and Permissions
    • Job Opportunities
    • Terms and Conditions
    • Contact
  • Journals
    • All Journals
    • Biomedical Reports
      • Information for Authors
      • Editorial Policies
      • Editorial Board
      • Aims and Scope
      • Abstracting and Indexing
      • Bibliographic Information
      • Archive
    • Experimental and Therapeutic Medicine
      • Information for Authors
      • Editorial Policies
      • Editorial Board
      • Aims and Scope
      • Abstracting and Indexing
      • Bibliographic Information
      • Archive
    • International Journal of Epigenetics
      • Information for Authors
      • Editorial Policies
      • Editorial Board
      • Aims and Scope
      • Abstracting and Indexing
      • Bibliographic Information
      • Archive
    • International Journal of Functional Nutrition
      • Information for Authors
      • Editorial Policies
      • Editorial Board
      • Aims and Scope
      • Abstracting and Indexing
      • Bibliographic Information
      • Archive
    • International Journal of Molecular Medicine
      • Information for Authors
      • Editorial Policies
      • Editorial Board
      • Aims and Scope
      • Abstracting and Indexing
      • Bibliographic Information
      • Archive
    • International Journal of Oncology
      • Information for Authors
      • Editorial Policies
      • Editorial Board
      • Aims and Scope
      • Abstracting and Indexing
      • Bibliographic Information
      • Archive
    • Medicine International
      • Information for Authors
      • Editorial Policies
      • Editorial Board
      • Aims and Scope
      • Abstracting and Indexing
      • Bibliographic Information
      • Archive
    • Molecular and Clinical Oncology
      • Information for Authors
      • Editorial Policies
      • Editorial Board
      • Aims and Scope
      • Abstracting and Indexing
      • Bibliographic Information
      • Archive
    • Molecular Medicine Reports
      • Information for Authors
      • Editorial Policies
      • Editorial Board
      • Aims and Scope
      • Abstracting and Indexing
      • Bibliographic Information
      • Archive
    • Oncology Letters
      • Information for Authors
      • Editorial Policies
      • Editorial Board
      • Aims and Scope
      • Abstracting and Indexing
      • Bibliographic Information
      • Archive
    • Oncology Reports
      • Information for Authors
      • Editorial Policies
      • Editorial Board
      • Aims and Scope
      • Abstracting and Indexing
      • Bibliographic Information
      • Archive
    • World Academy of Sciences Journal
      • Information for Authors
      • Editorial Policies
      • Editorial Board
      • Aims and Scope
      • Abstracting and Indexing
      • Bibliographic Information
      • Archive
  • Articles
  • Information
    • For Authors
    • For Reviewers
    • For Librarians
    • For Advertisers
    • Conferences
  • Language Editing
Login Register Submit
  • This site uses cookies
  • You can change your cookie settings at any time by following the instructions in our Cookie Policy. To find out more, you may read our Privacy Policy.

    I agree
Search articles by DOI, keyword, author or affiliation
Search
Advanced Search
presentation
Experimental and Therapeutic Medicine
Join Editorial Board Propose a Special Issue
Print ISSN: 1792-0981 Online ISSN: 1792-1015
Journal Cover
May-2024 Volume 27 Issue 5

Full Size Image

Sign up for eToc alerts
Recommend to Library

Journals

International Journal of Molecular Medicine

International Journal of Molecular Medicine

International Journal of Molecular Medicine is an international journal devoted to molecular mechanisms of human disease.

International Journal of Oncology

International Journal of Oncology

International Journal of Oncology is an international journal devoted to oncology research and cancer treatment.

Molecular Medicine Reports

Molecular Medicine Reports

Covers molecular medicine topics such as pharmacology, pathology, genetics, neuroscience, infectious diseases, molecular cardiology, and molecular surgery.

Oncology Reports

Oncology Reports

Oncology Reports is an international journal devoted to fundamental and applied research in Oncology.

Experimental and Therapeutic Medicine

Experimental and Therapeutic Medicine

Experimental and Therapeutic Medicine is an international journal devoted to laboratory and clinical medicine.

Oncology Letters

Oncology Letters

Oncology Letters is an international journal devoted to Experimental and Clinical Oncology.

Biomedical Reports

Biomedical Reports

Explores a wide range of biological and medical fields, including pharmacology, genetics, microbiology, neuroscience, and molecular cardiology.

Molecular and Clinical Oncology

Molecular and Clinical Oncology

International journal addressing all aspects of oncology research, from tumorigenesis and oncogenes to chemotherapy and metastasis.

World Academy of Sciences Journal

World Academy of Sciences Journal

Multidisciplinary open-access journal spanning biochemistry, genetics, neuroscience, environmental health, and synthetic biology.

International Journal of Functional Nutrition

International Journal of Functional Nutrition

Open-access journal combining biochemistry, pharmacology, immunology, and genetics to advance health through functional nutrition.

International Journal of Epigenetics

International Journal of Epigenetics

Publishes open-access research on using epigenetics to advance understanding and treatment of human disease.

Medicine International

Medicine International

An International Open Access Journal Devoted to General Medicine.

Journal Cover
May-2024 Volume 27 Issue 5

Full Size Image

Sign up for eToc alerts
Recommend to Library

  • Article
  • Citations
    • Cite This Article
    • Download Citation
    • Create Citation Alert
    • Remove Citation Alert
    • Cited By
  • Similar Articles
    • Related Articles (in Spandidos Publications)
    • Similar Articles (Google Scholar)
    • Similar Articles (PubMed)
  • Download PDF
  • Download XML
  • View XML

  • Supplementary Files
    • Supplementary_Data.pdf
Article Open Access

Serum cell division cycle 42 reflects the development and progression of diabetic nephropathy in patients with diabetes mellitus

  • Authors:
    • Hongyu Yu
    • Jian Ma
    • Yueru Gu
    • Wei Zou
    • Na Zhao
  • View Affiliations / Copyright

    Affiliations: Clinic of Integrated Traditional and Chinese Medicine, Heilongjiang University of Chinese Medicine, Harbin, Heilongjiang 150040, P.R. China, Department of Endocrinology, First Affiliated Hospital, Heilongjiang University of Chinese Medicine, Harbin, Heilongjiang 150040, P.R. China, Department of Gynecology, First Affiliated Hospital, Heilongjiang University of Chinese Medicine, Harbin, Heilongjiang 150040, P.R. China
    Copyright: © Yu et al. This is an open access article distributed under the terms of Creative Commons Attribution License.
  • Article Number: 185
    |
    Published online on: March 7, 2024
       https://doi.org/10.3892/etm.2024.12473
  • Expand metrics +
Metrics: Total Views: 0 (Spandidos Publications: | PMC Statistics: )
Metrics: Total PDF Downloads: 0 (Spandidos Publications: | PMC Statistics: )
Cited By (CrossRef): 0 citations Loading Articles...

This article is mentioned in:



Abstract

Cell division cycle 42 (CDC42) regulates podocyte apoptosis to take part in the development and progression of diabetic nephropathy (DN), but currently the clinical evidence is limited. The aim of the present study was to investigate the capability of serum CDC42 expression level to estimate the development and progression of DN in patients with diabetes mellitus (DM). Patients with type 2 DM (n=306) were enrolled and divided into normoalbuminuria (n=185), microalbuminuria (n=72) and macroalbuminuria (n=49) groups based on the urinary albumin‑to‑creatinine ratio. Serum CDC42 was measured in all subjects using enzyme‑linked immunosorbent assay. The median (interquartile range) CDC42 in patients with DM was 0.461 (0.314‑0.690) ng/ml (range, 0.087‑1.728 ng/ml). CDC42 was positively associated with the estimated glomerular filtration rate (P<0.001), but negatively correlated with body mass index, systolic blood pressure, hemoglobin A1c, serum creatine, serum uric acid and C reactive protein (all P<0.050). CDC42 levels were lowest in the macroalbuminuria group, followed by the microalbuminuria group, and were highest in the normoalbuminuria group (P<0.001). CDC42 indicated that it was a favorable estimator for the presence of albuminuria [area under the curve (AUC), 0.792; 95% confidence interval (CI), 0.736‑0.848] and macroalbuminuria (AUC, 0.845; 95% CI, 0.775‑0.915). By analyses in four different multivariate logistic regression models, increased CDC42 was independently associated with the presence of microalbuminuria (all P<0.001), macroalbuminuria (most P<0.001) and microalbuminuria + macroalbuminuria (all P<0.001). Serum CDC42 level negatively correlated with microalbuminuria and macroalbuminuria in patients with DM, suggesting its ability for estimating the development and progression of DN.

Introduction

Diabetes mellitus (DM) is a metabolic disorder with the presence of hyperglycemia that is due to the impairment of insulin secretion, defective insulin action or both (1). The prevalence of DM has increased globally over the past decade, which is mainly due to the continuous rise in the incidence of type 2 DM (2). Diabetic nephropathy (DN) is one of the common complications in patients with DM (3,4). It is reported that 5.02 million patients with type 1 DM suffer from DN and 129.56 million patients with type 2 DM encounter DN in 2019(5). Clinically, albuminuria is classic evidence for a DN diagnosis, with an aberrant level representing a decrease in renal function that is associated with DN progression (6-8). As DN is a main cause of end-stage kidney disease and increases the risk of mortality in patients with DM (5,6,9,10), finding biomarkers that reflect the albuminuria level to further estimate the development and progression of DN is important.

Cell division cycle 42 (CDC42), a member of the guanosine triphosphatases (GTPase) family, regulates blood lipids, inflammation, glycolysis and insulin secretion (11-13). It has been recognized as an essential regulator in DM in several studies (14-16). For example, a previous study indicated that CDC42 promotes insulin secretion via the Wnt/β-catenin pathway (14). Another study demonstrated that inhibition of CDC42/β-catenin signaling suppresses the glucose-stimulated insulin secretion, which leads to DM progression (15). A previous mouse model demonstrated that deletion of the CDC42 gene in pancreatic β cells attenuates the insulin expression through inhibiting the extracellular signal-regulated kinase 1/2 (ERK1/2)-neurogenic differentiation 1 (NeuroD1) signaling pathway (16).

Furthermore, studies have indicated that CDC42 participates in the incidence and progression of DN (17,18). For example, in a mouse model with DM decreased expression levels and activity of CDC42 leads to podocyte apoptosis and proteinuria (17). Another study reported that CDC42 reduction under high glucose inhibits podocyte apoptosis and affects β-cell insulin secretion in a type 2 DM-induced DN mouse model (18). However, the clinical role of CDC42 for estimating the development and progression of DN in patients with DM is currently unknown.

Therefore, the aim of the present study was to detect the serum CDC42 levels in patients with DM to investigate its use in estimating the development and progression of DN in these patients.

Materials and methods

Patients

During the period from February 2022 to November 2022, 306 patients with DM were consecutively enrolled in the present study. The enrollment criteria were: i) Diagnosed with type 2 DM according to the criteria of the American Diabetes Association (19); ii) ≥18 years old; and iii) had the willingness for participation and the collection of peripheral blood (PB). The exclusion criteria were: i) Had autoimmune systemic immune diseases; ii) had hematological disease; iii) had malignant disease; iv) had active infections; v) had other documented renal diseases; and vi) had a history of renal surgery. Clinicopathological characteristics of patients (including sex and age distribution) are included in Table I. The present study was approved by the Ethics Committee of Heilongjiang University of Chinese Medicine (Harbin, China; approval no. HZYLL202000302). Written informed consent was obtained from all patients.

Table I

Comparison of demographic characteristics, disease features and biochemical indexes among normoalbuminuria, microalbuminuria and macroalbuminuria groups.

Table I

Comparison of demographic characteristics, disease features and biochemical indexes among normoalbuminuria, microalbuminuria and macroalbuminuria groups.

CharacteristicsNormoalbuminuria (N=185)Microalbuminuria (N=72)Macroalbuminuria (N=49)P-value
Median age (IQR), years56.0 (47.5-64.0)57.5 (51.3-64.0)63.0 (55.5-68.5)<0.001
Sex, n (%)   0.295
     Female79 (42.7)25 (34.7)16 (32.7) 
     Male106 (57.3)47 (65.3)33 (67.3) 
Median BMI (IQR), kg/m224.6 (22.5-27.0)25.6 (23.7-27.7)25.3 (23.0-30.1)0.124
Smoking status, n (%)   0.151
     Never141 (76.2)47 (65.3)33 (67.3) 
     Former/current44 (23.8)25 (34.7)16 (32.7) 
Median DM duration (IQR), years11.0 (7.5-15.0)14.0 (10.3-17.0)15.0 (11.0-21.0)<0.001
Median SBP (IQR), mmHg129.0 (121.0-137.0)131.0 (123.3-138.8)136.0 (130.0-146.0)0.001
Median DBP (IQR), mmHg77.0 (71.0-85.0)78.0 (71.3-88.8)85.0 (72.5-93.5)0.042
Median FBG (IQR), mmol/l5.9 (4.9-8.0)6.4 (5.3-8.0)6.3 (5.4-8.8)0.109
Median HbA1c (IQR), %7.4 (6.5-8.1)7.6 (6.9-8.6)7.6 (6.8-8.8)0.040
Median Scr (IQR), mg/dl0.9 (0.8-1.0)1.0 (0.9-1.3)1.4 (1.1-1.8)<0.001
Median eGFR (IQR), ml/min/1.73 m282.0 (69.2-97.7)72.6 (59.4-89.6)52.8 (35.9-63.7)<0.001
Median SUA (IQR), µmol/l301.0 (259.0-351.5)320.0 (278.0-382.0)380.0 (322.0-451.5)<0.001
Median TG (IQR), mmol/l1.2 (0.7-1.7)1.5 (0.9-2.2)1.3 (0.6-2.2)0.089
Median TC (IQR), mmol/l4.3 (3.7-5.2)4.9 (3.7-5.6)4.5 (4.0-5.4)0.156
Median LDL-C (IQR), mmol/l2.9 (2.3-3.6)3.2 (2.3-3.9)3.1 (2.5-3.9)0.213
Median HDL-C (IQR), mmol/l1.0 (0.9-1.2)1.1 (0.9-1.2)1.0 (0.9-1.1)0.634
Median CRP (IQR), mg/l3.8 (2.8-5.8)4.8 (3.4-7.0)5.9 (2.8-10.5)0.002

[i] DM, diabetes mellitus; IQR, interquartile range; BMI, body mass index; SBP, systolic blood pressure; DBP, diastolic blood pressure; FBG, fasting blood glucose; HbA1c, hemoglobin A1c; Scr, serum creatine; eGFR, estimated glomerular filtration rate; SUA, serum uric acid; TG, triglycerides; TC, total cholesterol; LDL-C, low density lipoprotein cholesterol; HDL-C, high density lipoprotein cholesterol; CRP, C reactive protein.

Grouping

In the present study, patients were divided into three groups based on the urinary albumin-to-creatinine ratio (UACR): i) Normoalbuminuria, UACR <30 mg/g (n=185); ii) microalbuminuria, UACR of 30-300 mg/g (n=72); and iii) macroalbuminuria, UACR >300 mg/g (n=49).

Measurements

Characteristics of the patients were collected after enrollment, which included age, sex, body mass index (BMI), smoking status, DM duration, blood pressure, fasting blood glucose (FBG), hemoglobin A1c (HbA1c), serum creatine (Scr), serum uric acid (SUA), lipid-related indexes and C reactive protein (CRP). Furthermore, the estimated glomerular filtration rate (eGFR) was calculated based on age and Scr according to the Chronic Kidney Disease Epidemiology Collaboration equation (20).

Additionally, PB samples of the patients were collected after enrollment, then the serum was isolated using a centrifuge for 10 min (2,054 x g, 4˚C). The serum CDC42 was measured using enzyme-linked immunosorbent assay (ELISA) using human CDC42 ELISA kits (cat. no. YJ908876; Shanghai Enzyme Link Biotechnology Co.) according to the manufacturer's protocols.

Statistical analysis

Data were processed using SPSS 26.0 (IBM Corp.). Normality was determined using the Kolmogorov-Smirnov test. Median values with interquartile range (IQR) were used to indicate non-normally distributed variables. Comparisons were made using the Wilcoxon rank sum, Kruskal-Wallis H rank sum and Chi-squared tests. The post hoc comparisons were achieved using the Bonferroni test. Correlations were assessed using Spearman's rank correlation test. Whether CDC42 could distinguish between different patients was assessed using receiver operating characteristic curves with area under the curve (AUC) and the Youden index (sensitivity plus specificity minus 1). Factors associated with microalbuminuria or macroalbuminuria were screened using logistic regression analyses with enter method. The model 1 included age and sex as factors, which were the most common confounders; the model 2 adjusted for factors included in model 1 and other factors including smoking status, DM duration, systolic blood pressure (SBP), and diastolic blood pressure (DBP); the model 3 adjusted for factors included in model 2 and other factors including FBG, HbA1c, triglycerides (TG), total cholesterol (TC), low density lipoprotein cholesterol (LDL-C), high-density lipoprotein cholesterol (HDL-C), and CRP; the model 4 adjusted for factors included in model 3 and other factors including Scr, eGFR, and SUA. P<0.05 was considered to indicate a statistically significant difference.

Results

Clinical characteristics

The median age was 56.0 (IQR, 47.5-64.0), 57.5 (IQR, 51.3-64.0) and 63.0 (IQR, 55.5-68.5) years in the normoalbuminuria, microalbuminuria and macroalbuminuria groups, respectively (P<0.001). There were 79 (42.7%) female and 106 (57.3%) male patients in the normoalbuminuria group, 25 (34.7%) female and 47 (65.3%) male patients in the microalbuminuria group, and 16 (32.7%) female and 33 (67.3%) male patients in the macroalbuminuria group (P=0.295). The median DM duration was 11.0 (IQR, 7.5-15.0), 14.0 (IQR, 10.3-17.0) and 15.0 (IQR, 11.0-21.0) years in the normoalbuminuria, microalbuminuria and macroalbuminuria groups, respectively (P<0.001). Blood pressure indexes [including SBP and DBP] and blood biochemical indexes (including HbA1c, Scr, SUA and CRP) exhibited the highest levels in the macroalbuminuria group, followed by the microalbuminuria group, and the lowest levels in the normoalbuminuria group (all P<0.05). While eGFR was at its lowest in the macroalbuminuria group, followed by the microalbuminuria group, and highest in the normoalbuminuria group (P<0.001). The detailed information is presented in Table I.

Serum CDC42 levels in patients with DM

The median serum CDC42 level was 0.461 (IQR, 0.314-0.690) ng/ml in patients with DM, ranging from 0.087 to 1.728 ng/ml. The distribution of serum CDC42 levels in patients with DM is presented in Fig. 1.

Figure 1

Distribution of serum CDC42 levels in patients with DM. CDC42, cell division cycle 42; DM, diabetes mellitus.

Correlation of serum CDC42 levels with clinical characteristics of patients with DM

Serum CDC42 levels were negatively correlated with BMI (P=0.020), SBP (P=0.016), HbA1c (P=0.027), Scr (P<0.001), SUA (P=0.001) and CRP (P<0.001). While serum CDC42 level was positively associated with eGFR (P<0.001). Additionally, serum CDC42 levels were not associated with other clinical characteristics, including age, sex, smoking status, DM duration, DBP, FBG, TG, TC, LDL-C or HDL-C (all P>0.05) in all patients with DM (Table II).

Table II

Correlation of CDC42 with demographic characteristics, disease features and biochemical indexes in patients with DM.

Table II

Correlation of CDC42 with demographic characteristics, disease features and biochemical indexes in patients with DM.

CharacteristicsCDC42 (ng/ml), median (IQR)r/Z valueP-value
Age, yearsa--0.0920.108
BMI, kg/m2a--0.1330.020
DM duration, yearsa--0.1110.053
SBP, mmHga--0.1380.016
DBP, mmHga--0.1030.073
FBG, mmol/la--0.0980.085
HbA1c, %a--0.1270.027
Scr, mg/dla--0.329<0.001
eGFR, ml/min/1.73 m2a-0.305<0.001
SUA, µmol/la--0.1900.001
TG, mmol/la--0.0970.090
TC, mmol/la--0.1020.076
LDL-C, mmol/la--0.1120.051
HDL-C, mmol/la-0.0230.684
CRP, mg/la--0.213<0.001
Sexb -0.8280.407
     Female0.459 (0.357-0.716)  
     Male0.463 (0.297-0.680)  
Smoking statusb -1.2200.222
     Never0.477 (0.336-0.702)  
     Former/current0.431 (0.273-0.675)  

[i] aContinuous variables are shown using Spearman's rank correlation test by r value and P-value;

[ii] bcategorical variables are shown using Wilcoxon rank sum test by median value, IQR, Z value, and P value; -, values are not available for showing. CDC42, cell division cycle 42; DM, diabetes mellitus; IQR, interquartile range; BMI, body mass index; SBP, systolic blood pressure; DBP, diastolic blood pressure; FBG, fasting blood glucose; HbA1c, hemoglobin A1c; Scr, serum creatine; eGFR, estimated glomerular filtration rate; SUA, serum uric acid; TG, triglycerides; TC, total cholesterol; LDL-C, low density lipoprotein cholesterol; HDL-C, high density lipoprotein cholesterol; CRP, C reactive protein.

Serum CDC42 levels in normoalbuminuria, microalbuminuria and macroalbuminuria groups

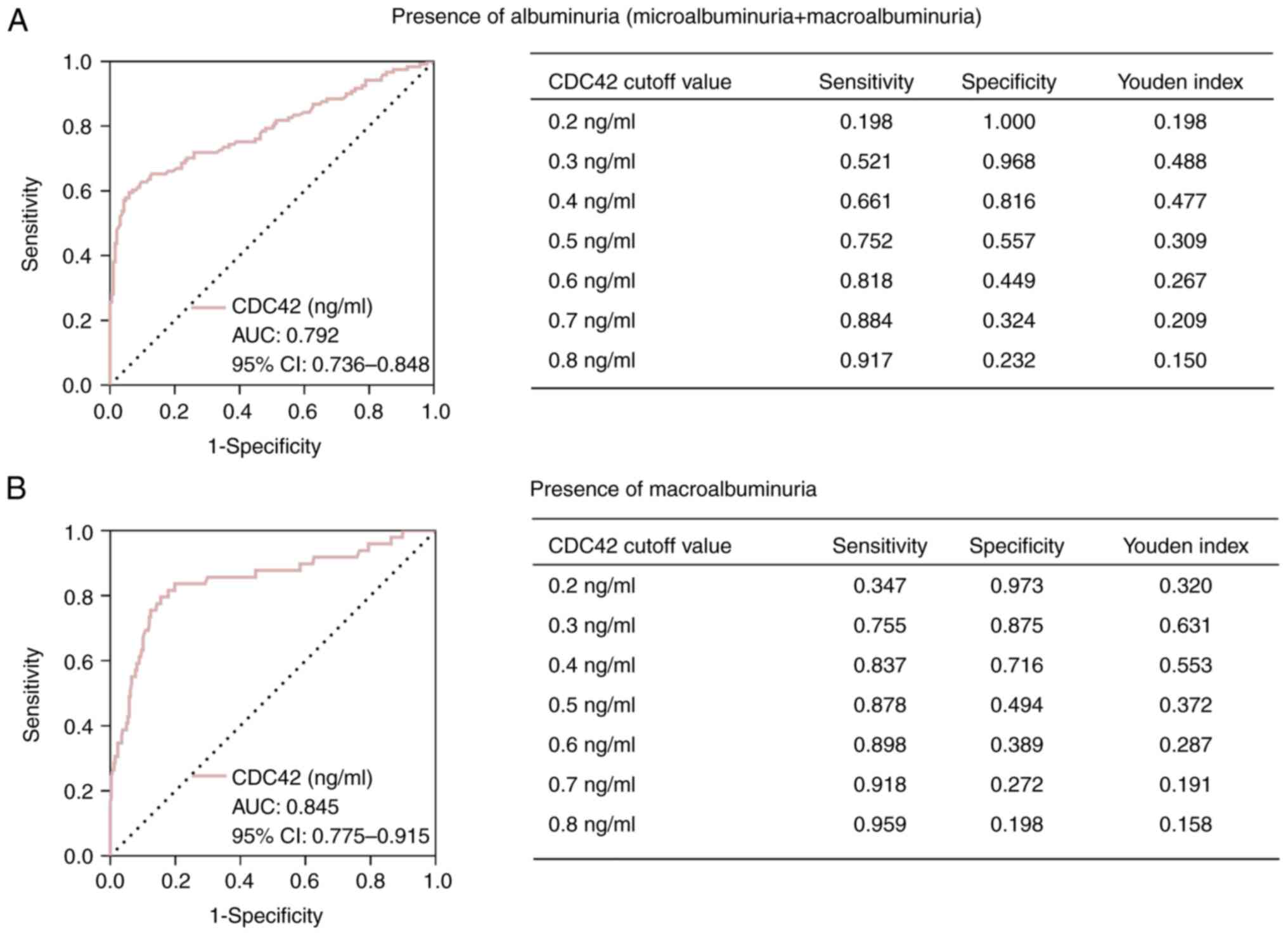
Serum CDC42 level was lowest in the macroalbuminuria group (median, 0.245 ng/ml; IQR, 0.154-0.304 ng/ml), followed by the microalbuminuria group (median, 0.372 ng/ml; IQR, 0.264-0.562 ng/ml) and highest in the normoalbuminuria group (median, 0.545 ng/ml; IQR, 0.435-0.794 ng/ml) (P<0.001). Two-group comparison revealed that the serum CDC42 level was increased in the normoalbuminuria group vs. microalbuminuria group (P<0.001), in the normoalbuminuria group vs. macroalbuminuria group (P<0.001) and in the microalbuminuria group vs. macroalbuminuria group (P=0.001) (Fig. 2). In addition, serum CDC42 levels indicated a value to distinguish albuminuria (microalbuminuria + macroalbuminuria) from normoalbuminuria [AUC, 0.792; 95% confidence interval (CI), 0.736-0.848], with the optimal cutoff value of 0.3 ng/ml among seven values (0.2-0.8 ng/ml) (sensitivity, 0.521; specificity, 0.968; Youden index, 0.488) (Fig. 3A). Furthermore, serum CDC42 levels revealed a favorable capability for differentiating macroalbuminuria from normoalbuminuria + microalbuminuria (AUC, 0.845; 95% CI, 0.775-0.915), with the optimal cutoff value of 0.3 ng/ml among seven values (sensitivity, 0.755; specificity, 0.875; Youden index, 0.631) (Fig. 3B).

Figure 2

Serum CDC42 levels were varied among patients with DM and normoalbuminuria, microalbuminuria and macroalbuminuria groups. CDC42, cell division cycle 42; DM, diabetes mellitus.

Figure 3

Serum CDC42 levels indicated a value to estimate the presence of albuminuria and macroalbuminuria in patients with DM. (A) ROC curve of serum CDC42 levels for differentiating albuminuria from normoalbuminuria in patients with DM. (B) ROC curve of serum CDC42 levels for distinguishing macroalbuminuria from normoalbuminuria + microalbuminuria in patients with DM. ROC, receiver operating characteristic; CDC42, cell division cycle 42; DM, diabetes mellitus.

Associated factors for albuminuria

Serum CDC42 levels (P<0.001) and eGFR (P<0.001) were negatively associated with albuminuria, while age (P<0.001), BMI (P=0.021), DM duration (P<0.001), SBP (P=0.004), DBP (P=0.031), HbA1c (P=0.004), Scr (P<0.001), SUA (P<0.001), TG (P=0.017) and CRP (P=0.001) were positively correlated with albuminuria. Furthermore, serum CDC42 levels (P<0.001) and eGFR (P<0.001) had a negative association with macroalbuminuria, whereas age (P<0.001), BMI (P=0.025), DM duration (P<0.001), SBP (P<0.001), DBP (P=0.020), HbA1c (P=0.035), Scr (P<0.001), SUA (P<0.001) and CRP (P=0.001) had a positive correlation with macroalbuminuria (Table SI). To further investigate the predictive value of serum CDC42 levels for the presence of albuminuria, four multivariate logistic models were established. The four models elucidated that serum CDC42 levels were independently negatively associated with the presence of microalbuminuria (vs. normoalbuminuria) (all P<0.001), macroalbuminuria (vs. normoalbuminuria) (most P<0.001), microalbuminuria or macroalbuminuria (vs. normoalbuminuria) (all P<0.001) and macroalbuminuria (vs. normoalbuminuria or microalbuminuria) (all P<0.001). The detailed information is listed in Table III.

Table III

Four different multivariate logistic regression models for analyzing the correlation of CDC42 with the presence of microalbuminuria, macroalbuminuria and microalbuminuria + macroalbuminuria in patients with DM.

Table III

Four different multivariate logistic regression models for analyzing the correlation of CDC42 with the presence of microalbuminuria, macroalbuminuria and microalbuminuria + macroalbuminuria in patients with DM.

 Model 1Model 2 
CharacteristicsP-valueOR (95% CI)P-valueOR (95% CI)P-valueOR (95% CI)P-valueOR (95% CI)
Presence of microalbuminuria and macroalbuminuria        
NormoalbuminuriaRef. Ref. Ref. Ref. 
Microalbuminuria<0.0010.042 (0.010-0.172)<0.0010.045 (0.011-0.188)<0.0010.055 (0.013-0.237)<0.0010.050 (0.010-0.257)
Macroalbuminuria<0.001<0.001 (<0.001-0.001)<0.001<0.001 (<0.001-0.003)<0.001<0.001 (<0.001-0.004)0.007<0.001 (<0.001-0.044)
Presence of microalbuminuria or macroalbuminuria        
NormoalbuminuriaRef. Ref. Ref. Ref. 
Microalbuminuria or macroalbuminuria<0.0010.017 (0.005-0.058)<0.0010.019 (0.005-0.069)<0.0010.023 (0.006-0.087)<0.0010.037 (0.008-0.169)
Presence of macroalbuminuria        
Normoalbuminuria or microalbuminuriaRef. Ref.   Ref. 
Macroalbuminuria<0.0010.001 (<0.001-0.008)<0.0010.001 (<0.001-0.016)<0.0010.001 (<0.001-0.019)<0.0010.006 (<0.001-0.094)

[i] Model 1, adjusted for age, sex; Model 2, adjusted for age, sex, BMI, smoking status, DM duration, SBP, DBP; Model 3, adjusted for age, sex, BMI, smoking status, DM duration, SBP, DBP, FBG, HbA1c, TG, TC, LDL-C, HDL-C, CRP; Model 4, adjusted for age, sex, BMI, smoking status, DM duration, SBP, DBP, FBG, HbA1c, Scr, eGFR, SUA, TG, TC, LDL-C, HDL-C, CRP. CDC42, cell division cycle 42; OR, odds ratio; CI, confidence interval; BMI, body mass index; DM, diabetes mellitus; SBP, systolic blood pressure; DBP, diastolic blood pressure; FBG, fasting blood glucose; HbA1c, hemoglobin A1c; Scr, serum creatine; eGFR, estimated glomerular filtration rate; SUA, serum uric acid; TG, triglycerides; TC, total cholesterol; LDL-C, low density lipoprotein cholesterol; HDL-C, high density lipoprotein cholesterol; CRP, C reactive protein; ref, reference.

Discussion

There have been a small number of studies demonstrating the dysregulation of CDC42 in patients with metabolic disorders (21,22). For example, a previous study indicated that the PB CDC42 mRNA was decreased in patients with obesity-associated metabolic syndrome compared with healthy controls (21). Another study demonstrated that CDC42 levels were increased in obesity-associated asthma patients compared with normal-weight asthma patients (22). Diabetes is also a chronic metabolic disease, but currently, to the best of our knowledge, no study has indicated CDC42 levels in patients with DM. The present study quantified serum CDC42 levels and revealed the median was 0.461 ng/ml (IQR, 0.314-0.690 ng/ml) in patients with DM; range, 0.087 to 1.728 ng/ml. Compared with healthy controls in one previous study (median, 0.668 ng/ml; IQR, 0.507-0.841 ng/ml) (23), the serum CDC42 levels were reduced in patients with DM in the present study. However, the comparison of CDC42 levels between patients with DM and healthy controls required further verification. Additionally, the present study also revealed that serum CDC42 levels were negatively associated with the microalbuminuria and macroalbuminuria in patients with DM. The possible explanation could be that decreased CDC42 inhibited actin cytoskeleton rearrangement of podocyte to impair podocyte and induce podocyte apoptosis, while the podocyte was essential for differentiation of glomerular epithelial cells and the structure and function of the glomerular filtration barrier (24,25). In addition, podocyte was exposed to plasminogen due to the impaired glomerular filtration barrier, resulting in further injury to kidney mediated by oxidative stress (24-27). Additionally, the present study also indicated that the optimal cutoff value of serum CDC42 for identifying albuminuria and macroalbuminuria in patients with DM might be 0.3 ng/ml, while its utilization needed further validation.

Findings from the present study demonstrated that increased serum CDC42 levels were correlated with increased eGFR in patients with DM, suggesting its positive association with renal function. The probable explanation could be: The formation and function of glomerular filtration barrier relied on the actin-based cytoskeleton podocyte, which was positively regulated by CDC42(28). Moreover, CDC42 promoted the development of kidney tubules through regulating epithelial cell polarity, lumen formation and the actin cytoskeleton, leading to the promoted function of tubular function (26). Meanwhile, CDC42 could positively regulate the formation and function tubular cilia to inhibit tubular cell apoptosis and fibrosis, leading to impaired tubular function (29). According to the aforementioned positive regulation of CDC42 on glomerular and tubular function, elevated serum CDC42 levels could promote the renal function in patients with DM. Additionally, the present study also observed the negative correlation of serum CDC42 levels with several indexes, including BMI, SBP, HbA1c, Scr, SUA and CRP, in patients with DM. The possible reasons could be: First, CDC42 is involved in cholesterol metabolism through regulating cytoskeleton, therefore, impacting BMI (30). Second, CDC42 participated in insulin secretion to affect blood glucose concentration and its decrement led to increased HbA1c (11,13). Third, CDC42 could negatively regulate glucose as aforementioned, and the latter influenced SBP (31). Fourth, as CDC42 was negatively associated with glucose (as aforementioned) and SUA was affected by glycemia, CDC42 was negatively associated with SUA (32). Fifth, CDC42 was associated with renal injury, which might result in increased Scr (26,28). Finally, CDC42 was correlated with T cell activation and inflammatory factor and suppressed immune response, affecting CRP (33). Thus, serum CDC42 levels were negatively correlated with these clinical characteristics in patients with DM.

Sustained diabetes-associated metabolic and hemodynamic perturbations can induce renal inflammation and drive renal damage, eventually leading to renal fibrosis (34). Renal outcomes are worse in patients with DM and albuminuria compared with normoalbuminuria; meanwhile, patients with DN and higher levels of albuminuria exhibit worse prognosis (35,36). Apart from previous studies in mice with DM (17,18,26,37), the present study confirmed that serum CDC42 levels were independently negatively correlated with the presence of microalbuminuria and macroalbuminuria in patients with DM, suggesting it could estimate the attenuated severity of DN. One possible reason could be that the low level of CDC42 under the high glucose conditions induced podocyte apoptosis, which resulted in unstable kidney barrier function in glomeruli and contributed to protein loss, accelerating the development and progression of DN (17,24,25,38,39). Another possible reason could be that the deficiency of CDC42 promoted renal tubular epithelial cell-induced inflammation through regulating cytoskeletal function, impacting albumin absorption and aggravating DN (11,26,40). Thus, the increased serum CDC42 levels reflected the attenuated severity of DN, which might be a therapeutic strategy for predicting DN in patients with DM. In addition, considering that urinary albumin detection was a simple measurement for DN diagnosis. Albuminuria was one of the most common clinical characteristics of DN, but it was only a symptom. It was considered that the detection of more biomarkers might help to understand the pathogenesis of DN. Especially that CDC42 could regulate podocyte apoptosis to take part in the development and progression of DN.

However, the present study had a number of limitations. First, the present study was a single-center study, which might result in selective bias. Furthermore, the present study only detected serum CDC42 levels in patients with DM at the enrollment, and its level at multiple time points in the long term as well as the corresponding value for predicting the development and progression DN in patients with DM remained unclear. Third, the present study found the negative correlation of serum CDC42 level with the presence of microalbuminuria and macroalbuminuria, but not DN risk, which required further exploration. Finally, the present study estimated development and progression of DN through microalbuminuria and macroalbuminuria in patients with DM; however, the results needed to be further validated in patients who were pathologically diagnosed as DN.

In conclusion, serum CDC42 levels were independently negatively associated with the presence of albuminuria in patients with DM, which may be a useful biomarker for estimating the development and progression of DN in these patients.

Supplementary Material

Univariate logistic regression analyses for correlation of affecting factors with the presence of microalbuminuria + macroalbuminuria and macroalbuminuria in patients with DM.

Acknowledgements

Not applicable.

Funding

Funding: The present study was supported by the Heilongjiang University of Traditional Chinese Medicine ‘Double First Class’ Discipline Development Assistance Fund (grant no. HLJSYL21006) and the Postdoctoral Foundation of Heilongjiang Province (grant no. LBH-Z23284).

Availability of data and materials

The datasets used and/or analyzed during the current study are available from the corresponding author on reasonable request.

Authors' contributions

HY, JM and NZ designed the study. YG and WZ collected the data. HY, JM, WZ and NZ analyzed the data. HY, JM and WZ drafted the manuscript. YG and NZ revised the manuscript. JM and NZ confirm the authenticity of all the raw data. All authors read and approved the final manuscript.

Ethics approval and consent to participate

The present study was approved by the Ethics Committee of Heilongjiang University of Chinese Medicine (Harbin, China; approval no. HZYLL202000302). Written informed consent was obtained from all patients.

Patient consent for publication

Not applicable.

Competing interests

The authors declare that they have no competing interests.

References

1 

Schleicher E, Gerdes C, Petersmann A, Muller-Wieland D, Muller UA, Freckmann G, Heinemann L, Nauck M and Landgraf R: Definition, Classification and Diagnosis of Diabetes Mellitus. Exp Clin Endocrinol Diabetes. 130(S 01):S1–S8. 2022.PubMed/NCBI View Article : Google Scholar

2 

Lovic D, Piperidou A, Zografou I, Grassos H, Pittaras A and Manolis A: The growing epidemic of diabetes mellitus. Curr Vasc Pharmacol. 18:104–109. 2020.PubMed/NCBI View Article : Google Scholar

3 

Yeram PB and Kulkarni YA: Glycosides and vascular complications of diabetes. Chem Biodivers. 19(e202200067)2022.PubMed/NCBI View Article : Google Scholar

4 

Eid S, Sas KM, Abcouwer SF, Feldman EL, Gardner TW, Pennathur S and Fort PE: New insights into the mechanisms of diabetic complications: Role of lipids and lipid metabolism. Diabetologia. 62:1539–1549. 2019.PubMed/NCBI View Article : Google Scholar

5 

Deng Y, Li N, Wu Y, Wang M, Yang S, Zheng Y, Deng X, Xiang D, Zhu Y, Xu P, et al: Global, Regional, and National Burden of diabetes-related chronic kidney disease from 1990 to 2019. Front Endocrinol (Lausanne). 12(672350)2021.PubMed/NCBI View Article : Google Scholar

6 

Natesan V and Kim SJ: Diabetic Nephropathy-a review of risk factors, progression, mechanism, and dietary management. Biomol Ther (Seoul). 29:365–372. 2021.PubMed/NCBI View Article : Google Scholar

7 

Kopel J, Pena-Hernandez C and Nugent K: Evolving spectrum of diabetic nephropathy. World J Diabetes. 10:269–279. 2019.PubMed/NCBI View Article : Google Scholar

8 

Sagoo MK and Gnudi L: Diabetic nephropathy: An overview. Methods Mol Biol. 2067:3–7. 2020.PubMed/NCBI View Article : Google Scholar

9 

Faselis C, Katsimardou A, Imprialos K, Deligkaris P, Kallistratos M and Dimitriadis K: Microvascular complications of type 2 diabetes mellitus. Curr Vasc Pharmacol. 18:117–124. 2020.PubMed/NCBI View Article : Google Scholar

10 

Selby NM and Taal MW: An updated overview of diabetic nephropathy: Diagnosis, prognosis, treatment goals and latest guidelines. Diabetes Obes Metab. 22 (Suppl 1):S3–S15. 2020.PubMed/NCBI View Article : Google Scholar

11 

Huang QY, Lai XN, Qian XL, Lv LC, Li J, Duan J, Xiao XH and Xiong LX: Cdc42: A novel regulator of insulin secretion and diabetes-associated diseases. Int J Mol Sci. 20(179)2019.PubMed/NCBI View Article : Google Scholar

12 

Tackenberg H, Moller S, Filippi MD and Laskay T: The Small GTPase Cdc42 is a major regulator of neutrophil effector functions. Front Immunol. 11(1197)2020.PubMed/NCBI View Article : Google Scholar

13 

Moller LLV, Klip A and Sylow L: Rho GTPases-Emerging regulators of glucose homeostasis and metabolic health. Cells. 8(434)2019.PubMed/NCBI View Article : Google Scholar

14 

Xiao XH, Huang QY, Qian XL, Duan J, Jiao XQ, Wu LY, Huang QY, Li J, Lai XN, Shi YB and Xiong LX: Cdc42 Promotes ADSC-Derived IPC induction, proliferation, and insulin secretion via wnt/beta-catenin signaling. Diabetes Metab Syndr Obes. 12:2325–2339. 2019.PubMed/NCBI View Article : Google Scholar

15 

Duan J, Qian XL, Li J, Xiao XH, Lu XT, Lv LC, Huang QY, Ding W, Zhang HY and Xiong LX: miR-29a negatively affects glucose-stimulated insulin secretion and MIN6 cell proliferation via Cdc42/β-Catenin signaling. Int J Endocrinol. 2019(5219782)2019.PubMed/NCBI View Article : Google Scholar

16 

He XQ, Wang N, Zhao JJ, Wang D, Wang CJ, Xie L, Zheng HY, Shi SZ, He J, Zhou J, et al: Specific deletion of CDC42 in pancreatic beta cells attenuates glucose-induced insulin expression and secretion in mice. Mol Cell Endocrinol. 518(111004)2020.PubMed/NCBI View Article : Google Scholar

17 

Huang Z, Zhang L, Chen Y, Zhang H, Zhang Q, Li R, Ma J, Li Z, Yu C, Lai Y, et al: Cdc42 deficiency induces podocyte apoptosis by inhibiting the Nwasp/stress fibers/YAP pathway. Cell Death Dis. 7(e2142)2016.PubMed/NCBI View Article : Google Scholar

18 

Jiang S, Xu CM, Yao S, Zhang R, Li XZ, Zhang RZ, Xie TY, Xing YQ, Zhang Q, Zhou XJ, et al: Cdc42 upregulation under high glucose induces podocyte apoptosis and impairs β-cell insulin secretion. Front Endocrinol (Lausanne). 13(905703)2022.PubMed/NCBI View Article : Google Scholar

19 

American Diabetes Association. Diagnosis and classification of diabetes mellitus. Diabetes Care. 35 (Suppl 1):S64–S71. 2012.PubMed/NCBI View Article : Google Scholar

20 

Levey AS, Stevens LA, Schmid CH, Zhang YL, Castro AF III, Feldman HI, Kusek JW, Eggers P, Van Lente F, Greene T, et al: A new equation to estimate glomerular filtration rate. Ann Intern Med. 150:604–612. 2009.PubMed/NCBI View Article : Google Scholar

21 

Tabur S, Oztuzcu S, Oguz E, Korkmaz H, Eroglu S, Ozkaya M and Demiryurek AT: Association of Rho/Rho-kinase gene polymorphisms and expressions with obesity-related metabolic syndrome. Eur Rev Med Pharmacol Sci. 19:1680–1688. 2015.PubMed/NCBI

22 

Rastogi D, Nico J, Johnston AD, Tobias TAM, Jorge Y, Macian F and Greally JM: CDC42-related genes are upregulated in helper T cells from obese asthmatic children. J Allergy Clin Immunol. 141:539–548 e7. 2018.PubMed/NCBI View Article : Google Scholar

23 

Feng Q, Guo J, Hou A, Guo Z, Zhang Y, Guo Y, Liu S, Cheng Z, Sun L, Meng L and Han S: The clinical role of serum cell division control 42 in coronary heart disease. Scand J Clin Lab Invest. 83:45–50. 2023.PubMed/NCBI View Article : Google Scholar

24 

Ahmadian E, Eftekhari A, Atakishizada S, Valiyeva M, Ardalan M, Khalilov R and Kavetskyy T: Podocytopathy: The role of actin cytoskeleton. Biomed Pharmacother. 156(113920)2022.PubMed/NCBI View Article : Google Scholar

25 

Sun Y, Cui S, Hou Y and Yi F: The updates of podocyte lipid metabolism in proteinuric kidney disease. Kidney Dis (Basel). 7:438–451. 2021.PubMed/NCBI View Article : Google Scholar

26 

Elias BC, Das A, Parekh DV, Mernaugh G, Adams R, Yang Z, Brakebusch C, Pozzi A, Marciano DK, Carroll TJ and Zent R: Cdc42 regulates epithelial cell polarity and cytoskeletal function during kidney tubule development. J Cell Sci. 128:4293–4305. 2015.PubMed/NCBI View Article : Google Scholar

27 

Raij L, Tian R, Wong JS, He JC and Campbell KN: Podocyte injury: The role of proteinuria, urinary plasminogen, and oxidative stress. Am J Physiol Renal Physiol. 311:F1308–F1317. 2016.PubMed/NCBI View Article : Google Scholar

28 

Steichen C, Herve C, Hauet T and Bourmeyster N: Rho GTPases in kidney physiology and diseases. Small GTPases. 13:141–161. 2022.PubMed/NCBI View Article : Google Scholar

29 

Choi SY, Chacon-Heszele MF, Huang L, McKenna S, Wilson FP, Zuo X and Lipschutz JH: Cdc42 deficiency causes ciliary abnormalities and cystic kidneys. J Am Soc Nephrol. 24:1435–1450. 2013.PubMed/NCBI View Article : Google Scholar

30 

Nofer JR, Feuerborn R, Levkau B, Sokoll A, Seedorf U and Assmann G: Involvement of Cdc42 signaling in apoA-I-induced cholesterol efflux. J Biol Chem. 278:53055–53062. 2003.PubMed/NCBI View Article : Google Scholar

31 

Cinar Y, Senyol AM and Duman K: Blood viscosity and blood pressure: Role of temperature and hyperglycemia. Am J Hypertens. 14 (5 Pt 1):433–438. 2001.PubMed/NCBI View Article : Google Scholar

32 

Volpe A, Ye C, Hanley AJ, Connelly PW, Zinman B and Retnakaran R: Changes over time in uric acid in relation to changes in insulin sensitivity, beta-cell function, and glycemia. J Clin Endocrinol Metab. 105:e651–e659. 2020.PubMed/NCBI View Article : Google Scholar

33 

Li Y, Yang W and Wang F: The relationship of blood CDC42 level with Th1 cells, Th17 cells, inflammation markers, disease risk/activity, and treatment efficacy of rheumatoid arthritis. Ir J Med Sci. 191:2155–2161. 2022.PubMed/NCBI View Article : Google Scholar

34 

Bai S, Zeng R, Zhou Q, Liao W, Zhang Y, Xu C, Han M, Pei G, Liu L, Liu X, et al: Cdc42-interacting protein-4 promotes TGF-B1-induced epithelial-mesenchymal transition and extracellular matrix deposition in renal proximal tubular epithelial cells. Int J Biol Sci. 8:859–869. 2012.PubMed/NCBI View Article : Google Scholar

35 

Lee YH, Kim KP, Kim YG, Moon JY, Jung SW, Park E, Kim JS, Jeong KH, Lee TW, Ihm CG, et al: Clinicopathological features of diabetic and nondiabetic renal diseases in type 2 diabetic patients with nephrotic-range proteinuria. Medicine (Baltimore). 96(e8047)2017.PubMed/NCBI View Article : Google Scholar

36 

Wada T, Shimizu M, Toyama T, Hara A, Kaneko S and Furuichi K: Clinical impact of albuminuria in diabetic nephropathy. Clin Exp Nephrol. 16:96–101. 2012.PubMed/NCBI View Article : Google Scholar

37 

Blattner SM, Hodgin JB, Nishio M, Wylie SA, Saha J, Soofi AA, Vining C, Randolph A, Herbach N, Wanke R, et al: Divergent functions of the Rho GTPases Rac1 and Cdc42 in podocyte injury. Kidney Int. 84:920–930. 2013.PubMed/NCBI View Article : Google Scholar

38 

Rico-Fontalvo J, Aroca G, Cabrales J, Daza-Arnedo R, Yanez-Rodriguez T, Martinez-Avila MC, Uparella-Gulfo I and Raad-Sarabia M: Molecular mechanisms of diabetic kidney disease. Int J Mol Sci. 23(8668)2022.PubMed/NCBI View Article : Google Scholar

39 

Samsu N: Diabetic nephropathy: Challenges in pathogenesis, diagnosis, and treatment. Biomed Res Int. 2021(1497449)2021.PubMed/NCBI View Article : Google Scholar

40 

Jia Y, Zheng Z, Xue M, Zhang S, Hu F, Li Y, Yang Y, Zou M, Li S, Wang L, et al: Extracellular vesicles from albumin-induced tubular epithelial cells promote the M1 macrophage phenotype by targeting klotho. Mol Ther. 27:1452–1466. 2019.PubMed/NCBI View Article : Google Scholar

Related Articles

  • Abstract
  • View
  • Download
  • Twitter
Copy and paste a formatted citation
Spandidos Publications style
Yu H, Ma J, Gu Y, Zou W and Zhao N: Serum cell division cycle 42 reflects the development and progression of diabetic nephropathy in patients with diabetes mellitus. Exp Ther Med 27: 185, 2024.
APA
Yu, H., Ma, J., Gu, Y., Zou, W., & Zhao, N. (2024). Serum cell division cycle 42 reflects the development and progression of diabetic nephropathy in patients with diabetes mellitus. Experimental and Therapeutic Medicine, 27, 185. https://doi.org/10.3892/etm.2024.12473
MLA
Yu, H., Ma, J., Gu, Y., Zou, W., Zhao, N."Serum cell division cycle 42 reflects the development and progression of diabetic nephropathy in patients with diabetes mellitus". Experimental and Therapeutic Medicine 27.5 (2024): 185.
Chicago
Yu, H., Ma, J., Gu, Y., Zou, W., Zhao, N."Serum cell division cycle 42 reflects the development and progression of diabetic nephropathy in patients with diabetes mellitus". Experimental and Therapeutic Medicine 27, no. 5 (2024): 185. https://doi.org/10.3892/etm.2024.12473
Copy and paste a formatted citation
x
Spandidos Publications style
Yu H, Ma J, Gu Y, Zou W and Zhao N: Serum cell division cycle 42 reflects the development and progression of diabetic nephropathy in patients with diabetes mellitus. Exp Ther Med 27: 185, 2024.
APA
Yu, H., Ma, J., Gu, Y., Zou, W., & Zhao, N. (2024). Serum cell division cycle 42 reflects the development and progression of diabetic nephropathy in patients with diabetes mellitus. Experimental and Therapeutic Medicine, 27, 185. https://doi.org/10.3892/etm.2024.12473
MLA
Yu, H., Ma, J., Gu, Y., Zou, W., Zhao, N."Serum cell division cycle 42 reflects the development and progression of diabetic nephropathy in patients with diabetes mellitus". Experimental and Therapeutic Medicine 27.5 (2024): 185.
Chicago
Yu, H., Ma, J., Gu, Y., Zou, W., Zhao, N."Serum cell division cycle 42 reflects the development and progression of diabetic nephropathy in patients with diabetes mellitus". Experimental and Therapeutic Medicine 27, no. 5 (2024): 185. https://doi.org/10.3892/etm.2024.12473
Follow us
  • Twitter
  • LinkedIn
  • Facebook
About
  • Spandidos Publications
  • Careers
  • Cookie Policy
  • Privacy Policy
How can we help?
  • Help
  • Live Chat
  • Contact
  • Email to our Support Team