Spandidos Publications Logo
  • About
    • About Spandidos
    • Aims and Scopes
    • Abstracting and Indexing
    • Editorial Policies
    • Reprints and Permissions
    • Job Opportunities
    • Terms and Conditions
    • Contact
  • Journals
    • All Journals
    • Oncology Letters
      • Oncology Letters
      • Information for Authors
      • Editorial Policies
      • Editorial Board
      • Aims and Scope
      • Abstracting and Indexing
      • Bibliographic Information
      • Archive
    • International Journal of Oncology
      • International Journal of Oncology
      • Information for Authors
      • Editorial Policies
      • Editorial Board
      • Aims and Scope
      • Abstracting and Indexing
      • Bibliographic Information
      • Archive
    • Molecular and Clinical Oncology
      • Molecular and Clinical Oncology
      • Information for Authors
      • Editorial Policies
      • Editorial Board
      • Aims and Scope
      • Abstracting and Indexing
      • Bibliographic Information
      • Archive
    • Experimental and Therapeutic Medicine
      • Experimental and Therapeutic Medicine
      • Information for Authors
      • Editorial Policies
      • Editorial Board
      • Aims and Scope
      • Abstracting and Indexing
      • Bibliographic Information
      • Archive
    • International Journal of Molecular Medicine
      • International Journal of Molecular Medicine
      • Information for Authors
      • Editorial Policies
      • Editorial Board
      • Aims and Scope
      • Abstracting and Indexing
      • Bibliographic Information
      • Archive
    • Biomedical Reports
      • Biomedical Reports
      • Information for Authors
      • Editorial Policies
      • Editorial Board
      • Aims and Scope
      • Abstracting and Indexing
      • Bibliographic Information
      • Archive
    • Oncology Reports
      • Oncology Reports
      • Information for Authors
      • Editorial Policies
      • Editorial Board
      • Aims and Scope
      • Abstracting and Indexing
      • Bibliographic Information
      • Archive
    • Molecular Medicine Reports
      • Molecular Medicine Reports
      • Information for Authors
      • Editorial Policies
      • Editorial Board
      • Aims and Scope
      • Abstracting and Indexing
      • Bibliographic Information
      • Archive
    • World Academy of Sciences Journal
      • World Academy of Sciences Journal
      • Information for Authors
      • Editorial Policies
      • Editorial Board
      • Aims and Scope
      • Abstracting and Indexing
      • Bibliographic Information
      • Archive
    • International Journal of Functional Nutrition
      • International Journal of Functional Nutrition
      • Information for Authors
      • Editorial Policies
      • Editorial Board
      • Aims and Scope
      • Abstracting and Indexing
      • Bibliographic Information
      • Archive
    • International Journal of Epigenetics
      • International Journal of Epigenetics
      • Information for Authors
      • Editorial Policies
      • Editorial Board
      • Aims and Scope
      • Abstracting and Indexing
      • Bibliographic Information
      • Archive
    • Medicine International
      • Medicine International
      • Information for Authors
      • Editorial Policies
      • Editorial Board
      • Aims and Scope
      • Abstracting and Indexing
      • Bibliographic Information
      • Archive
  • Articles
  • Information
    • Information for Authors
    • Information for Reviewers
    • Information for Librarians
    • Information for Advertisers
    • Conferences
  • Language Editing
Spandidos Publications Logo
  • About
    • About Spandidos
    • Aims and Scopes
    • Abstracting and Indexing
    • Editorial Policies
    • Reprints and Permissions
    • Job Opportunities
    • Terms and Conditions
    • Contact
  • Journals
    • All Journals
    • Biomedical Reports
      • Information for Authors
      • Editorial Policies
      • Editorial Board
      • Aims and Scope
      • Abstracting and Indexing
      • Bibliographic Information
      • Archive
    • Experimental and Therapeutic Medicine
      • Information for Authors
      • Editorial Policies
      • Editorial Board
      • Aims and Scope
      • Abstracting and Indexing
      • Bibliographic Information
      • Archive
    • International Journal of Epigenetics
      • Information for Authors
      • Editorial Policies
      • Editorial Board
      • Aims and Scope
      • Abstracting and Indexing
      • Bibliographic Information
      • Archive
    • International Journal of Functional Nutrition
      • Information for Authors
      • Editorial Policies
      • Editorial Board
      • Aims and Scope
      • Abstracting and Indexing
      • Bibliographic Information
      • Archive
    • International Journal of Molecular Medicine
      • Information for Authors
      • Editorial Policies
      • Editorial Board
      • Aims and Scope
      • Abstracting and Indexing
      • Bibliographic Information
      • Archive
    • International Journal of Oncology
      • Information for Authors
      • Editorial Policies
      • Editorial Board
      • Aims and Scope
      • Abstracting and Indexing
      • Bibliographic Information
      • Archive
    • Medicine International
      • Information for Authors
      • Editorial Policies
      • Editorial Board
      • Aims and Scope
      • Abstracting and Indexing
      • Bibliographic Information
      • Archive
    • Molecular and Clinical Oncology
      • Information for Authors
      • Editorial Policies
      • Editorial Board
      • Aims and Scope
      • Abstracting and Indexing
      • Bibliographic Information
      • Archive
    • Molecular Medicine Reports
      • Information for Authors
      • Editorial Policies
      • Editorial Board
      • Aims and Scope
      • Abstracting and Indexing
      • Bibliographic Information
      • Archive
    • Oncology Letters
      • Information for Authors
      • Editorial Policies
      • Editorial Board
      • Aims and Scope
      • Abstracting and Indexing
      • Bibliographic Information
      • Archive
    • Oncology Reports
      • Information for Authors
      • Editorial Policies
      • Editorial Board
      • Aims and Scope
      • Abstracting and Indexing
      • Bibliographic Information
      • Archive
    • World Academy of Sciences Journal
      • Information for Authors
      • Editorial Policies
      • Editorial Board
      • Aims and Scope
      • Abstracting and Indexing
      • Bibliographic Information
      • Archive
  • Articles
  • Information
    • For Authors
    • For Reviewers
    • For Librarians
    • For Advertisers
    • Conferences
  • Language Editing
Login Register Submit
  • This site uses cookies
  • You can change your cookie settings at any time by following the instructions in our Cookie Policy. To find out more, you may read our Privacy Policy.

    I agree
Search articles by DOI, keyword, author or affiliation
Search
Advanced Search
presentation
Experimental and Therapeutic Medicine
Join Editorial Board Propose a Special Issue
Print ISSN: 1792-0981 Online ISSN: 1792-1015
Journal Cover
August-2024 Volume 28 Issue 2

Full Size Image

Sign up for eToc alerts
Recommend to Library

Journals

International Journal of Molecular Medicine

International Journal of Molecular Medicine

International Journal of Molecular Medicine is an international journal devoted to molecular mechanisms of human disease.

International Journal of Oncology

International Journal of Oncology

International Journal of Oncology is an international journal devoted to oncology research and cancer treatment.

Molecular Medicine Reports

Molecular Medicine Reports

Covers molecular medicine topics such as pharmacology, pathology, genetics, neuroscience, infectious diseases, molecular cardiology, and molecular surgery.

Oncology Reports

Oncology Reports

Oncology Reports is an international journal devoted to fundamental and applied research in Oncology.

Experimental and Therapeutic Medicine

Experimental and Therapeutic Medicine

Experimental and Therapeutic Medicine is an international journal devoted to laboratory and clinical medicine.

Oncology Letters

Oncology Letters

Oncology Letters is an international journal devoted to Experimental and Clinical Oncology.

Biomedical Reports

Biomedical Reports

Explores a wide range of biological and medical fields, including pharmacology, genetics, microbiology, neuroscience, and molecular cardiology.

Molecular and Clinical Oncology

Molecular and Clinical Oncology

International journal addressing all aspects of oncology research, from tumorigenesis and oncogenes to chemotherapy and metastasis.

World Academy of Sciences Journal

World Academy of Sciences Journal

Multidisciplinary open-access journal spanning biochemistry, genetics, neuroscience, environmental health, and synthetic biology.

International Journal of Functional Nutrition

International Journal of Functional Nutrition

Open-access journal combining biochemistry, pharmacology, immunology, and genetics to advance health through functional nutrition.

International Journal of Epigenetics

International Journal of Epigenetics

Publishes open-access research on using epigenetics to advance understanding and treatment of human disease.

Medicine International

Medicine International

An International Open Access Journal Devoted to General Medicine.

Journal Cover
August-2024 Volume 28 Issue 2

Full Size Image

Sign up for eToc alerts
Recommend to Library

  • Article
  • Citations
    • Cite This Article
    • Download Citation
    • Create Citation Alert
    • Remove Citation Alert
    • Cited By
  • Similar Articles
    • Related Articles (in Spandidos Publications)
    • Similar Articles (Google Scholar)
    • Similar Articles (PubMed)
  • Download PDF
  • Download XML
  • View XML

  • Supplementary Files
    • Supplementary_Data1.pdf
    • Supplementary_Data2.pdf
Article

Triiodothyronine supplementation in a sheep model of intensive care

  • Authors:
    • Matthew J. Maiden
    • David J. Torpy
    • Guy L. Ludbrook
    • Iain J. Clarke
    • Binila Chacko
    • Coralie H. Nash
    • Loren Matthews
    • Susan Porter
    • Tim R. Kuchel
  • View Affiliations / Copyright

    Affiliations: Discipline of Acute Care Medicine, Adelaide Medical School, The University of Adelaide, Adelaide, South Australia 5005, Australia, Endocrine and Metabolic Unit, Department of Medicine, Royal Adelaide Hospital, Central Adelaide Local Health Network, Adelaide, South Australia 5000, Australia, Department of Physiology, Faculty of Science, Monash University, Clayton, Victoria 3800, Australia, Intensive Care Unit, Royal Adelaide Hospital, Central Adelaide Local Health Network, Adelaide, South Australia 5000, Australia, Preclinical, Imaging and Research Laboratories, South Australian Health and Medical Research Institute, Hillcrest, South Australia 5086, Australia
  • Article Number: 321
    |
    Published online on: June 17, 2024
       https://doi.org/10.3892/etm.2024.12611
  • Expand metrics +
Metrics: Total Views: 0 (Spandidos Publications: | PMC Statistics: )
Metrics: Total PDF Downloads: 0 (Spandidos Publications: | PMC Statistics: )
Cited By (CrossRef): 0 citations Loading Articles...

This article is mentioned in:



Abstract

Triiodothyronine (T3) concentrations in plasma decrease during acute illness and it is unclear if this contributes to disease. Clinical and laboratory studies of T3 supplementation in disease have revealed little or no effect. It is uncertain if short term supplementation of T3 has any discernible effect in a healthy animals. Observational study of intravenous T3 (1 µg/kg/h) for 24 h in a healthy sheep model receiving protocol‑guided intensive care supports (T3 group, n=5). A total of 45 endpoints were measured including hemodynamic, respiratory, renal, hematological, metabolic and endocrine parameters. Data were compared with previously published studies of sheep subject to the same support protocol without administered T3 (No T3 group, n=5). Plasma free T3 concentrations were elevated 8‑fold by the infusion (pmol/l at 24 h; T3 group 34.9±9.9 vs. No T3 group 4.4±0.3, P<0.01, reference range 1.6 to 6.8). There was no significant physiological response to administration of T3 over the study duration. Supplementation of intravenous T3 for 24 h has no physiological effect on relevant physiological endpoints in healthy sheep. Further research is required to understand if the lack of effect of short‑term T3 may be related to kinetics of T3 cellular uptake, metabolism and action, or acute counterbalancing hormone resistance. This information may be helpful in design of clinical T3 supplementation trials.

Introduction

Thyroid hormone concentrations in blood change during acute illness. This typically involves a rapid decrease in triiodothyronine (T3) with reciprocal increase of reverse-T3, a slow decline of thyroxine (T4), while thyroid stimulating hormone levels are preserved. The extent of these hormonal changes is proportional to severity of disease and it remains unclear if this contributes to disease, or represents an epiphenomenon (1-11).

Controlled clinical trials of T3 supplementation in patients having cardiac surgery and in organ transplantation have reported little effect (12,13). A randomized, blinded, placebo-controlled trial of T3 (with and without hydrocortisone) in a sheep model of septic shock illustrated that increasing plasma T3 concentrations in blood did not markedly alter hemodynamics, nor any other physiological variable (14). Nevertheless, further clinical studies of T3 have been proposed in patients with COVID-19, sepsis, acute respiratory distress syndrome and myocardial infarction (15).

While administration of T3 in critical illness has appeared safe, there have been concerns about adverse effects (11,16-18). These have been based on clinical features seen in those with prolonged exposure to excessive thyroid hormone and established hyperthyroidism, such as tachycardia, increased metabolism and hyperthermia. Studying the effects of short-term T3 supplementation in a non-diseased state may further clarify safety, provide insights why T3 has not been efficacious and facilitate studies of thyroid hormone physiology. For these reasons we examined the clinical effects of a 24-h infusion of T3 administered to a healthy sheep receiving intensive care support.

Materials and methods

Study design

This was an observational prospective study of administering T3 in a healthy sheep model of intensive care. Ethics approval was obtained from the Institute of Medical and Veterinary Science/Central Northern Adelaide Health Service and The University of Adelaide Animal Ethics Committees (project numbers 157/08, 80/10 and M-2010-089). The study was conducted according to the Australian Code of Practice for the Care and Use of Animals for Scientific Purposes (2004) (19).

Sheep model

Five female sheep (Ovis aries) aged at least 3 years and not lactating, were randomly chosen from a herd of similarly aged paddock-raised healthy agricultural stock, then housed with other animals in pens with free access to food and water. Individual sheep were managed according to an intensive care model described previously (14). Briefly, female sheep (weight, 56-65 kg) were anaesthetized with isoflurane for insertion of carotid and pulmonary artery catheters, tracheostomy, urinary catheter and venous cannula placed with radiological guidance into the coronary sinus, renal, hepatic and iliac veins. Following instrumentation (time 0 h), animals received protocol-directed sedation [ketamine (7.1±2.3 mg/kg/h) and midazolam (0.4±0.2 mg/kg/h)], ventilation, parenteral fluids and a noradrenaline infusion titrated to maintain the normal mean arterial pressure of sheep (75 mmHg).

After 2 h, animals were administered a 24-h intravenous infusion of T3 (liothyronine; GlobalRx Inc.) 1 µg/kg/h (time 2-26 h). This was the same dose administered previously in a septic sheep model (14). A pharmacist prepared the study drug solution each day of study. Sacrifice with phenobarbitone (6.5 g, iv) was performed at the completion of the study.

Endpoints

Clinical endpoints measured through the study period included hemodynamic, respiratory, renal, hematological, metabolic and endocrine parameters (Table SI). These 45 clinical endpoints were compared with a previously reported group of five non-septic sheep subjected to the same protocol but not administered T3(14).

Assays

Biochemical analyses included serum electrolytes (Na+, K+, Cl-, HCO3-), creatinine, urea, bilirubin, alkaline phosphatase, alanine aminotransferase (ALT) and lactate (Olympus AU5400 chemistry analyzer; Olympus Corporation). Blood cell counts were obtained with a SYSMEX-XE-2100 hematology analyzer (TOA Medical Electronics, Co., Ltd.) and clotting times using STA-R Evolution (Stago Diagnostica). Blood pH, gases and haemoglobin-O2 saturation were analyzed on a RAPID-Point 405 Blood-gas analyzer (Siemens Healthineers).

Plasma free-T3 and free-T4 concentrations were measured by Chemiluminescent Micro-particle Immuno-Assay using commercially available reagents and calibration solutions (Unicel DXi 800; Beckman Coulter, Inc.). Plasma cortisol concentrations were determined by radioimmunoassay (14,20).

Blood cultures were taken aseptically from the jugular vein at baseline, repeated at 12 and 26 h and analyzed on the Bactec system (Becton, Dickinson and Company).

Statistical analysis

Data are presented as means (± SD in tables; ± SEM in graphs). Group data over multiple time points were tested for statistical difference by linear mixed-effects models. If a statistically significant (P<0.05) ‘group x time’ interaction effect was found, a post-hoc test with Bonferroni correction was performed to determine the difference of adjusted means at each time point. Data were analyzed with SPSS (version 21; IBM Corp.) and GraphPad (version 8.2; Dotmatics).

Results

All sheep survived the study and maintained sterile blood cultures. Study groups were of comparable size and received similar amounts of parenteral fluids and sedation (Table SII).

Plasma hormone concentrations

Free-T3 plasma levels were markedly increased by T3 infusion, being nearly eight times higher than the group not given T3 (Table I). Free-T4 decreased over time and was not markedly different between groups. Cortisol declined from elevated baseline levels before increasing by the end of the study. This pattern of change and cortisol plasma concentration did not markedly differ between groups.

Table I

Plasma free-T3, free-T4 and cortisol in healthy sheep with (n=5) and without (n=5) a 24-h intravenous infusion of T3 (1 µg/kg/h commenced at 2 h). Means ± SD.

Table I

Plasma free-T3, free-T4 and cortisol in healthy sheep with (n=5) and without (n=5) a 24-h intravenous infusion of T3 (1 µg/kg/h commenced at 2 h). Means ± SD.

  0 h12 h26 hGroup x timeTimeGroup
Free-T3, pmol/)No T35.6±0.54.8±0.44.4±0.3P<0.01  
 T34.1±0.8 26.9±14.4a 34.9±9.9a   
Free-T4, pmol/lNo T310.8±1.69.2±2.47.0±1.2P=0.26P<0.01P=0.15
 T310.2±2.36.6±2.74.7±1.7   
Cortisol, nmol/lNo T3241±4537±27144±169P=0.24P<0.01P=0.40
 T3150±4166±44126±70   

[i] aP<0.05 for differences of adjusted means between No-T3 vs. T3 groups. T3, triiodothyronine; T4, thyroxine.

Clinical endpoints

There were no significant differences between study groups. Cardiac index, heart rate, circulatory pressures and the derived hemodynamic indices did not differ between the two groups over time (Figs. 1, S1 and S2). No animals required noradrenaline.

Figure 1

Heart rate, mean arterial pressure and cardiac index in a healthy sheep model of intensive care with (n=5) and without (n=5) a 24-h infusion of T3 (commenced at h 2). Mean ± SEM. The T3 group had a slightly higher mean arterial pressure [mean mmHg (95% confidence interval); No T3 105 (99-111) vs. T3 119 (114-124); P<0.01)] and this relationship did not change during the 24-h infusion of T3. Heart rate: Group x Time P=0.74, Group P=0.82, Time P=0.10. Mean arterial pressure: Group x Time P=0.99, Group P<0.01, Time P=0.68. Cardiac index: Group x Time P=0.62, Group P=0.89, Time P=0.79. T3, triiodothyronine.

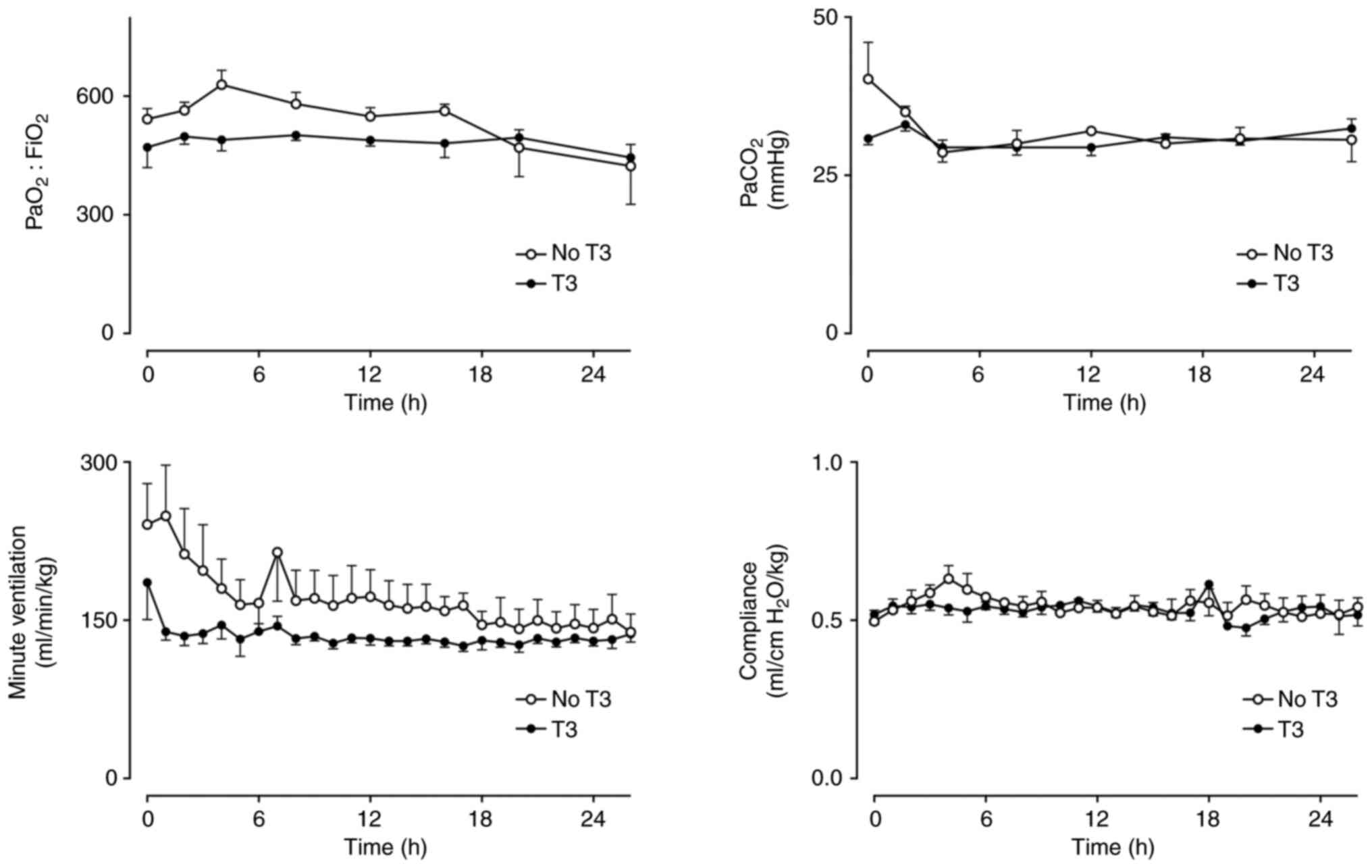
Partial pressure of carbon dioxide (PaCO2) was similar in both groups with no difference in the amount of ventilation required or pulmonary compliance (Fig. 2). Arterial pH was not markedly different between groups, but lactate was slightly lower in the T3 group in the first 8 h (Fig. 3).

Figure 2

PaO2:FiO2, PaCO2, VA and pulmonary compliance in a healthy sheep model of intensive care with (n=5) and without (n=5) a 24-h infusion of T3 (commenced at h 2). Mean ± SEM. PaO2:FiO2: Group x Time P=0.46, Group P=0.24, Time P=0.22. PaCO2: Group x Time P=0.24, Group P=0.31, Time P=0.13. VA: Group x Time P=0.47, Group P=0.06, Time P=0.04. Compliance: Group x Time P=0.77, Group P=0.55, Time P=0.22. PaO2, partial pressure of oxygen; FiO2, fraction of inspired oxygen; PaCO2, partial pressure of carbon dioxide; VA, minute ventilation; T3, triiodothyronine.

Figure 3

Arterial blood pH, serum lactate concentration, urine flow and core temperature in a healthy sheep model of intensive care with (n=5) and without (n=5) a 24-h infusion of T3 (commenced at h 2). Mean ± SEM. Urine data are missing for the T3 group at h 1 and 2. pH: Group x Time P=0.22, Group P=0.92, Time P<0.01. Lactate: Group x Time P=0.04, P<0.05 between groups at 2, 4 and 8 h. Urine: Group x Time P=0.36, Group P=0.40, Time P<0.01. Temperature: Group x Time P=0.95, Group P=0.28, Time P=0.01. T3, triiodothyronine.

Urine flow, serum creatine, electrolytes, hematology and temperature did not differ between groups over time (Table II, Fig. 3). There was a slight difference in ALT between groups over time, but clinically insignificant. Haemoglobin-O2 saturation in the pulmonary artery, coronary sinus, renal, hepatic and iliac veins was no different between the groups over time (Fig. S3).

Table II

Biochemistry and haematological parameters in healthy sheep with (n=5) and without (n=5) a 24-h infusion of T3 (1 µg/kg/h commenced at 2 h). Means ± SD.

Table II

Biochemistry and haematological parameters in healthy sheep with (n=5) and without (n=5) a 24-h infusion of T3 (1 µg/kg/h commenced at 2 h). Means ± SD.

  0 h2 h12 h26 hGroup x TimeTimeGroup
Na+, mmol/lNo T3146±1147±1147±2148±1P=0.14P=0.83P<0.01
 T3143±1143±1142±3142±1   
K+, mmol/lNo T33.8±0.33.3±0.43.7±0.53.8±0.2P=0.87P=0.11P=0.05
 T33.5±0.33.0±0.23.5±0.33.6±0.3   
Cl-, mmol/lNo T3107±3110±2118±2121±3P=0.28P<0.01P=0.01
 T3105±2106±2112±2118±3   
HCO3-, mmol/lNo T329±324±218±117±2P=0.27P<0.01P=0.06
 T331±229±321±416±6   
Anion Gap, mmol/lNo T314±316±315±213±1P=0.89P=0.67P=0.10
 T311±210±312±312±7   
Urea, mmol/lNo T39±28±27±27±2P=0.72P<0.01P=0.02
 T35±25±24±24±2   
Creatinine, µmol/lNo T397±1984±1075±1476±16P=0.10P=0.22P=0.71
 T383±2077±1584±40110±39   
ALP, U/lNo T385±29a64±1651±1642±10P=0.27P<0.01P=0.11
 T353±2345±1438±832±17   
Bilirubin, µmol/lNo T34±27±111±510±3P=0.91P<0.01P=0.21
 T32±14±28±58±8   
ALT, U/lNo T311±312±419±625±7aP=0.01  
 T310±712±612±713±7   
aPTT, secNo T333±933±434±639±5P=0.26P=0.02P=0.65
 T330±432±641±942±8   
PT, secNo T322±122±123±124±2P=0.46P=0.08P=0.65
 T322±422±326±926±8   
Fibrinogen, g/lNo T31.6±0.31.5±0.31.9±0.52.7±0.7P=0.42P<0.01P=0.12
 T32.0±0.22.1±0.32.3±0.43.3±0.3   
Hb, g/lNo T399±3106±895±1492±7P=0.06P=0.34P<0.01
 T380±1084±791±586±11   
WCC, x109/lNo T36.5±3.07.2±3.69.1±3.85.6±3.5P=0.57P<0.01P=0.31
 T34.5±1.75.9±1.47.0±1.24.9±0.9   
PLTs, x109/lNo T3163±79160±61115±36106±27P=0.20P<0.01P=0.70
 T3192±46174±3585±38108±26   

[i] aP<0.05 for differences of adjusted means between No-T3 vs. T3 groups. T3, triiodothyronine; ALP, alkaline phosphatase; ALT, alanine aminotransferase; aPTT, activated partial thromboplastin time; Hb, hemoglobin; PT, prothrombin time; WCC, white cell count; PLTs, platelets.

Discussion

A 24-h intravenous infusion of T3 in healthy sheep managed with intensive care support produced supra-physiological plasma T3 concentrations, yet was associated with little or no significant physiological change when compared with a similarly managed group of sheep not administered T3. This is an important finding given the ongoing interest in clinical trials of T3 and adds further evidence that short term administration of T3 appears safe.

While there was no significant difference between groups for the vast majority of the 45 endpoints measured, there were some parameters that differed slightly. Mean arterial, central venous and pulmonary artery pressures were slightly higher in the T3 group. However, these parameters differed between groups before the commencement of T3 infusion and did not change over time. Hence it is unlikely there is an obvious treatment effect of T3 within 24 h on hemodynamic pressures. Lactate concentrations were markedly higher in the group not given T3. This is unlikely to be important given that differences appeared early in the present study, concentrations were not markedly elevated and the large number of other parameters that did not differ.

Failing to observe a significant increase of cardiac index in animals given T3 was unexpected. Laboratory studies in cardiac myocytes and isolated hearts have reported prompt increases in contractility with T3 added to perfusate (21-24). Subsequently, several clinical trials have been conducted in patients having cardiac surgery. A meta-analysis of these studies concluded that T3 increased cardiac index but had inconclusive effects on other parameters (12). Most of these clinical studies used intravenous T3 doses of 0.175-0.333 µg/kg/h for 6-9 h, which is less than 1 µg/kg/h used for 24 h, and reported an effect on cardiac index at 4-6 h. Possibly there was some aspect of the sheep model that limited the ability to detect a change to cardiac output following T3. Ketamine, used as a sedating agent, is known to increase cardiac output in humans (25) and sheep (26) and may have obscured any hemodynamic effect of T3.

T3 rapidly stimulates Na+/K+-ATPase on alveolar membranes (27,28) and renal tubule cells (29) in vitro. This was not clinically apparent in the present study, as supra-physiological plasma T3 levels were not associated with any significant change to respiratory or renal function, or serum biochemistry. Lack of change to these variables has also been reported in clinical trials of T3 in neonatal respiratory failure (30) and renal transplant dysfunction (31).

Concerns that supplementing T3 would stimulate metabolism and O2 demand (16), were not supported in the present study. While temperatures were higher in the group of sheep given T3, this did not differ between groups over time and likely reflects baseline differences and data variability. Sheep given T3 did not require more ventilation to control PaCO2 compared with those not given T3. Haemoglobin-O2 saturation of mixed venous blood and from the different organs remained stable over the duration of the study and did not differ between groups.

There were no obvious effects of supplementary T3 on plasma concentrations of T4 or cortisol. T3 can increase deiodinase-1 synthesis (32,33) and upregulate deiodinase-3 activity (34) favoring increased clearance of T4. Exogenous T3 can also suppress deiodinase-2 which would limit deiodination of T4(35). Thus, T3 therapy could theoretically increase and/or decrease deiodination of T4. In the present study, T3 did not alter plasma levels of T4 and understanding how supra-physiological T3 alters the deiodinase enzymes requires further investigation. T3 can also upregulate steroid dehydrogenase and reductase enzymes leading to increased clearance of cortisol (36). However, this may take more than 24 h to become evident, or be balanced by increased cortisol secretion, as there were no changes to plasma cortisol concentrations in sheep given T3.

Why would the supra-physiological plasma levels of T3 achieved in this healthy sheep model not produce obvious clinical changes? First, a 24-h infusion of T3 may have been too short to allow T3 to exert any noticeable effect. Although T3 has rapid cell membrane effects in vitro (37), these may not manifest in vivo within 24 h in sheep. The genomic and mitochondrial effects of T3 may be responsible for clinical change, but require >24 h to manifest. Of note, studies that have reported T3-induced changes in heart rate (38), venous compliance (39), diastolic function (40), myocardial contractility (41) and metabolic rate (42) have administered hormone for at least seven days. Second, cellular concentration of T3 may not reflect those in plasma. Cells may exhibit homeostatic mechanisms, such as deiodination, modulation of cell receptors and hormone transport mechanisms, that may limit exposure to excess plasma hormone concentrations. This will require further study. Third, an acute clinical change following T3 administration may be more likely when restoring hormone levels in established hypothyroid states (38,42), rather than in euthyroid animals. Fourth, the effect of exogenous T3 may be species-specific, with sheep having limited response to acute therapy. When tested on hypothyroid lambs, T3 increased high energy phosphate compounds within 20 min but did not alter hemodynamics, coronary blood flow or myocardial O2 consumption (43). Another sheep study reported increased cardiac output 2 h after a T3 bolus (1.2 µg/kg) that yielded much higher plasma concentrations (80 pmol/l) than the present study (44). Finally, most studies of T3 administered to euthyroid animals and humans have been unblinded and not randomized. This may have led to a greater likelihood to report an effect of T3 therapy. Notably, the only randomized, blinded, placebo-controlled study of T3 (100 µg i.v. bolus) administered to euthyroid human volunteers, reported no effect on cardiac output, heart rate or mean arterial pressure over 45 min (45). It is thus reasonable to conclude that T3 does not exert an acute effect on hemodynamics in euthyroid subjects.

There were several limitations to the present study. It was not randomized or blinded and the group of sheep given T3 were compared with a group of historical controls studied up to three years earlier. Despite the lag time between studies, sheep were obtained from the same herd, were of a similar size, received an identical management protocol and staffing expertise of the model was consistent over all studies. The number of sheep in each group was relatively small, which limits power of the study to detect a subtle effect of T3. A total of five animals were chosen, as this was the number of non-septic sheep in the earlier model validation studies.

The effects of supplementary T3 were studied in a group of healthy sheep receiving intensive care supports and compared with an earlier group not administered T3. The two groups of animals had similar baseline characteristics and were managed with identical protocols. The group receiving a 24-h infusion of T3 developed supra-physiological plasma levels while hemodynamic, metabolic and all other physiological parameters did not differ markedly between the groups over time. Administration of T3 for 24 h does not have substantial physiological effect in this healthy animal model and further study is required to understand cellular function and thyroid hormone metabolism with short-term T3 supplementation.

Supplementary Material

CVP and mean PAP in sheep with (n=5) and without (n=5) a 24-h infusion of T3 (commenced at h 2). Mean ± SEM. CVP: Group x Time P=0.05. PAP: Group x Time P=0.25, Group P<0.01 Time P=0.01. CVP, central venous pressure; PAP, pulmonary artery pressure; T3, triiodothyronine.
SVRI, PVRI, LVSWI and RVSWI in sheep, with (n=5) and without (n=5) a 24-h infusion of T3 (commenced at h 2). Mean ± SEM. SVRI: Group x Time P=0.07, Group P=0.74, Time P=0.16. PVRI: Group x Time P=0.69, Group P=0.53, Time P=0.46. LVSWI: Group x Time P=0.39, Group P=0.94, Time P=0.49. RVSWI: Group x Time P=0.59, Group P=0.39, Time P<0.01. SVRI, systemic vascular resistance index; PVRI, pulmonary vascular resistance index; LVSWI, left ventricular stroke work index; RVSWI, right ventricular stroke work index; T3, triiodothyronine.
Hb-O2 saturation in blood from MV, CS, RV, HV and IV in sheep, with (n=5) and without (n=5) a 24-h infusion of T3 (commenced at h 2). Mean ± SEM. MV: Group x Time P=0.22, Group P=0.07, Time P=0.97. CS: Group x Time P=0.81, Group P=0.88, Time P=0.76. RV: Group x Time P=0.88, Group P=0.15, Time P=0.31. HV: Group x Time P=0.33, Group P=0.06, Time P=0.94. IV: Group x Time P=0.22, Group P=0.48, Time P=0.80. Hb, hemoglobin; O2, oxygen; MV, mixed venous; CS, coronary sinus; RV, renal vein; HV, hepatic vein; IV, iliac vein; T3, triiodothyronine.
Physiological variables measured in an ovine model of intensive care.
Characteristics of sheep managed with ICU supports for 26 h, with (n=5) and without (n=5) an intravenous infusion of T3 (1 μg/kg/h for 24 h). Mean ± SD.

Acknowledgements

Ms Alison Ankor, Mr Luke Chester, Mr Jason Edwards and Mr Alex Poole (Royal Adelaide Hospital ICU; Adelaide, Australia) provided staffing assistance in the sheep laboratory. Study drug preparation was overseen by Mr Peter Slobodian (Department of Pharmacy, Investigational Drugs, Royal Adelaide Hospital; Adelaide, Australia). Ms Alix Rao (Department of Physiology, Monash University; Clayton, Australia) performed hormonal assay of sheep plasma. Mr Tom Sullivan (Discipline of Public Health, University of Adelaide; Adelaide, Australia) provided statistical advice.

Funding

Funding: The present study received funding from a Royal Adelaide Hospital Research Committee Project Grant (grant no. 6047), a donation from Ms. Deidre Tidswell (dec.) and institutional departmental funds.

Availability of data and materials

The data generated in the present study may be requested from the corresponding author.

Authors' contributions

MJM was responsible for study conception, model development, study design and conduct, data collection and analysis and manuscript preparation. MJM, DJT and GLL were responsible for study design, project supervision and manuscript review. IJC was responsible for study design, assays and manuscript review. CHN was responsible for study conduct, data collection and manuscript review. LM was responsible for study conduct, animal care and manuscript review. SP was responsible for study conduct, animal care, data collection and manuscript review. BC was responsible for study conduct, animal care, data collection and manuscript review. TRK was responsible for model development, animal surgery, animal care and study conduct. All authors (TRK deceased) read and approved the final manuscript. MJM and CHN confirm the authenticity of all the raw data.

Ethics approval and consent to participate

Ethics approval was obtained from the Institute of Medical and Veterinary Science/Central Northern Adelaide Health Service and The University of Adelaide Animal Ethics Committees (approval nos. 157/08, 80/10 and M-2010-089). The study was conducted according to the Australian Code of Practice for the Care and Use of Animals for Scientific Purposes (2004).

Patient consent for publication

Not applicable.

Competing interests

The authors declare that they have no competing interests.

References

1 

Maiden MJ and Torpy DJ: Thyroid hormones in critical illness. Crit Care Clin. 35:375–388. 2019.PubMed/NCBI View Article : Google Scholar

2 

Ray DC, Macduff A, Drummond GB, Wilkinson E, Adams B and Beckett GJ: Endocrine measurements in survivors and non-survivors from critical illness. Intensive Care Med. 28:1301–1308. 2002.PubMed/NCBI View Article : Google Scholar

3 

Meyer S, Schuetz P, Wieland M, Nusbaumer C, Mueller B and Christ-Crain M: Low triiodothyronine syndrome: A prognostic marker for outcome in sepsis? Endocrine. 39:167–174. 2011.PubMed/NCBI View Article : Google Scholar

4 

den Brinker M, Dumas B, Visser TJ, Hop WC, Hazelzet JA, Festen DA, Hokken-Koelega AC and Joosten KF: Thyroid function and outcome in children who survived meningococcal septic shock. Intensive Care Med. 31:970–976. 2005.PubMed/NCBI View Article : Google Scholar

5 

Joosten KF, de Kleijn ED, Westerterp M, de Hoog M, Eijck FC, Hop WCJ, Voort EV, Hazelzet JA and Hokken-Koelega AC: Endocrine and metabolic responses in children with meningoccocal sepsis: Striking differences between survivors and nonsurvivors. J Clin. Endocrinol. Metab. 85:3746–3753. 2000.PubMed/NCBI View Article : Google Scholar

6 

Yildizdas D, Onenli-Mungan N, Yapicioglu H, Topaloglu AK, Sertdemir Y and Yuksel B: Thyroid hormone levels and their relationship to survival in children with bacterial sepsis and septic shock. J Pediatr Endocrinol Metab. 17:1435–1442. 2004.PubMed/NCBI

7 

Angelousi AG, Karageorgopoulos DE, Kapaskelis AM and Falagas ME: Association between thyroid function tests at baseline and the outcome of patients with sepsis or septic shock: A systematic review. Eur J Endocrinol. 164:147–155. 2011.PubMed/NCBI View Article : Google Scholar

8 

Fliers E and Boelen A: An update on non-thyroidal illness syndrome. J Endocrinol Invest. 44:1597–1607. 2021.PubMed/NCBI View Article : Google Scholar

9 

Beltrao FEL, Beltrao DCA, Carvalhal G, Beltrão FEL, Brito ADS, Capistrano KHRD, Bastos IHA, Hecht F, Daltro CHDC, Bianco AC, et al: Thyroid hormone levels during hospital admission inform disease severity and mortality in COVID-19 patients. Thyroid. 31:1639–1649. 2021.PubMed/NCBI View Article : Google Scholar

10 

Van den Berghe G: Non-thyroidal illness in the ICU: A syndrome with different faces. Thyroid. 24:1456–1465. 2014.PubMed/NCBI View Article : Google Scholar

11 

Adler SM and Wartofsky L: The nonthyroidal illness syndrome. Endocrinol Metab Clin North Am. 36:657–672, vi. 2007.PubMed/NCBI View Article : Google Scholar

12 

Kaptein EM, Sanchez A, Beale E and Chan LS: Clinical review: Thyroid hormone therapy for postoperative nonthyroidal illnesses: A systematic review and synthesis. J Clin Endocrinol Metab. 95:4526–4534. 2010.PubMed/NCBI View Article : Google Scholar

13 

Macdonald PS, Aneman A, Bhonagiri D, Jones D, O'Callaghan G, Silvester W, Watson A and Dobb G: A systematic review and meta-analysis of clinical trials of thyroid hormone administration to brain dead potential organ donors. Crit Care Med. 40:1635–1644. 2012.PubMed/NCBI View Article : Google Scholar

14 

Maiden MJ, Chapman MJ, Torpy DJ, Kuchel TR, Clarke IJ, Nash CH, Fraser JD and Ludbrook GL: Triiodothyronine administration in a model of septic shock: A randomized blinded placebo-controlled trial. Crit Care Med. 44:1153–1160. 2016.PubMed/NCBI View Article : Google Scholar

15 

Maiden MJ and Forehan S: The use of triiodothyronine during critical illness. Curr Opin Clin Nutr Metab Care. 27:163–167. 2024.PubMed/NCBI View Article : Google Scholar

16 

Burman KD and Wartofsky L: Thyroid function in the intensive care unit setting. Crit Care Clin. 17:43–57. 2001.PubMed/NCBI View Article : Google Scholar

17 

Gardner DF, Kaplan MM, Stanley CA and Utiger RD: Effect of tri-iodothyronine replacement on the metabolic and pituitary responses to starvation. N Engl J Med. 300:579–584. 1979.PubMed/NCBI View Article : Google Scholar

18 

Stathatos N, Levetan C, Burman KD and Wartofsky L: The controversy of the treatment of critically ill patients with thyroid hormone. Best Pract Res Clin Endocrinol Metab. 15:465–478. 2001.PubMed/NCBI View Article : Google Scholar

19 

National Health and Medical Research Council (Australian Government): Australian Code of Practice for the Care and Use of Animals for Scientific Purposes. 7th edition. National Health and Medical Research Council, Canberra, p85, 2004.

20 

Bocking AD, McMillen IC, Harding R and Thorburn GD: Effect of reduced uterine blood flow on fetal and maternal cortisol. J Dev Physiol. 8:237–245. 1986.PubMed/NCBI

21 

Snow TR, Deal MT, Connelly TS, Yokoyama Y and Novitzky D: Acute inotropic response of rabbit papillary muscle to triiodothyronine. Cardiology. 80:112–117. 1992.PubMed/NCBI View Article : Google Scholar

22 

Tielens ET, Forder JR, Chatham JC, Marrelli SP and Ladenson PW: Acute L-triiodothyronine administration potentiates inotropic responses to beta-adrenergic stimulation in the isolated perfused rat heart. Cardiovasc Res. 32:306–310. 1996.PubMed/NCBI View Article : Google Scholar

23 

Wang YG, Dedkova EN, Fiening JP, Ojamaa K, Blatter LA and Lipsius SL: Acute exposure to thyroid hormone increases Na+ current and intracellular Ca2+ in cat atrial myocytes. J Physiol. 546:491–499. 2003.PubMed/NCBI View Article : Google Scholar

24 

Walker JD, Crawford FA Jr, Mukherjee R and Spinale FG: The direct effects of 3,5,3'-triiodo-L-thyronine (T3) on myocyte contractile processes. Insights into mechanisms of action. J Thorac Cardiovasc Surg. 110:1369–1380. 1995.PubMed/NCBI View Article : Google Scholar

25 

Sigtermans M, Dahan A, Mooren R, Bauer M, Kest B, Sarton E and Olofsen E: S(+)-ketamine effect on experimental pain and cardiac output: A population pharmacokinetic-pharmacodynamic modeling study in healthy volunteers. Anesthesiology. 111:892–903. 2009.PubMed/NCBI View Article : Google Scholar

26 

Coulson NM, Januszkiewicz AJ and Ripple GR: Physiological responses of sheep to two hours anaesthesia with diazepam-ketamine. Vet Rec. 129:329–332. 1991.PubMed/NCBI View Article : Google Scholar

27 

Folkesson HG, Norlin A, Wang Y, Abedinpour P and Matthay MA: Dexamethasone and thyroid hormone pretreatment upregulate alveolar epithelial fluid clearance in adult rats. J Appl Physiol (1995). 88:416–424. 2000.PubMed/NCBI View Article : Google Scholar

28 

Lei J, Nowbar S, Mariash CN and Ingbar DH: Thyroid hormone stimulates Na-K-ATPase activity and its plasma membrane insertion in rat alveolar epithelial cells. Am J Physiol Lung Cell Mol Physiol. 285:L762–L772. 2003.PubMed/NCBI View Article : Google Scholar

29 

Lin HH and Tang MJ: Thyroid hormone upregulates Na,K-ATPase alpha and beta mRNA in primary cultures of proximal tubule cells. Life Sci. 60:375–382. 1997.PubMed/NCBI View Article : Google Scholar

30 

Amato M, Guggisberg C and Schneider H: Postnatal triiodothyronine replacement and respiratory distress syndrome of the preterm infant. Horm Res. 32:213–217. 1989.PubMed/NCBI View Article : Google Scholar

31 

Acker CG, Flick R, Shapiro R, Scantlebury VP, Jordan ML, Vivas C, Greenberg A and Johnson JP: Thyroid hormone in the treatment of post-transplant acute tubular necrosis (ATN). Am J Transplant. 2:57–61. 2002.PubMed/NCBI View Article : Google Scholar

32 

St Germain DL and Galton VA: The deiodinase family of selenoproteins. Thyroid. 7:655–668. 1997.PubMed/NCBI View Article : Google Scholar

33 

Debaveye Y, Ellger B, Mebis L, Visser TJ, Darras VM and Van den Berghe G: Effects of substitution and high-dose thyroid hormone therapy on deiodination, sulfoconjugation, and tissue thyroid hormone levels in prolonged critically ill rabbits. Endocrinology. 149:4218–4228. 2008.PubMed/NCBI View Article : Google Scholar

34 

Tu HM, Legradi G, Bartha T, Salvatore D, Lechan RM and Larsen PR: Regional expression of the type 3 iodothyronine deiodinase messenger ribonucleic acid in the rat central nervous system and its regulation by thyroid hormone. Endocrinology. 140:784–790. 1999.PubMed/NCBI View Article : Google Scholar

35 

Kim SW, Harney JW and Larsen PR: Studies of the hormonal regulation of type 2 5'-iodothyronine deiodinase messenger ribonucleic acid in pituitary tumor cells using semiquantitative reverse transcription-polymerase chain reaction. Endocrinology. 139:4895–4905. 1998.PubMed/NCBI View Article : Google Scholar

36 

Kronenberg H and Williams RH: Williams Textbook of Endocrinology. Saunders Elsevier, Philadelphia, PA, 2008.

37 

Bassett JH, Harvey CB and Williams GR: Mechanisms of thyroid hormone receptor-specific nuclear and extra nuclear actions. Mol Cell Endocrinol. 213:1–11. 2003.PubMed/NCBI View Article : Google Scholar

38 

Brooks I, Flynn SB, Owen DA and Underwood AH: Changes in cardiac function following administration of thyroid hormones in thyroidectomised rats: Assessment using the isolated working rat heart preparation. J Cardiovasc Pharmacol. 7:290–296. 1985.PubMed/NCBI View Article : Google Scholar

39 

Gay RG, Raya TE, Lancaster LD, Lee RW, Morkin E and Goldman S: Effects of thyroid state on venous compliance and left ventricular performance in rats. Am J Physiol. 254:H81–H88. 1988.PubMed/NCBI View Article : Google Scholar

40 

Ojamaa K, Kenessey A, Shenoy R and Klein I: Thyroid hormone metabolism and cardiac gene expression after acute myocardial infarction in the rat. Am J Physiol Endocrinol Metab. 279:E1319–E1324. 2000.PubMed/NCBI View Article : Google Scholar

41 

Marcus RH, Butkow N, Wheatley AM, Lippe I, Norton G and Rosendorff C: Independent mechanisms for the chronotropic and inotropic responses in hyperthyroidism. Basic Res Cardiol. 82:261–270. 1987.PubMed/NCBI View Article : Google Scholar

42 

Ladenson PW, Goldenheim PD and Ridgway EC: Rapid pituitary and peripheral tissue responses to intravenous L-triiodothyronine in hypothyroidism. J Clin Endocrinol Metab. 56:1252–1259. 1983.PubMed/NCBI View Article : Google Scholar

43 

Portman MA, Qian K, Krueger J and Ning XH: Direct action of T3 on phosphorylation potential in the sheep heart in vivo. Am J Physiol Heart Circ Physiol. 288:H2484–H2490. 2005.PubMed/NCBI View Article : Google Scholar

44 

DiPierro FV, Bavaria JE, Lankford EB, Polidori DJ, Acker MA, Streicher JT and Gardner TJ: Triiodothyronine optimizes sheep ventriculoarterial coupling for work efficiency. Ann Thorac Surg. 62:662–669. 1996.PubMed/NCBI View Article : Google Scholar

45 

Schmidt BM, Martin N, Georgens AC, Tillmann HC, Feuring M, Christ M and Wehling M: Nongenomic cardiovascular effects of triiodothyronine in euthyroid male volunteers. J Clin Endocrinol Metab. 87:1681–1686. 2002.PubMed/NCBI View Article : Google Scholar

Related Articles

  • Abstract
  • View
  • Download
  • Twitter
Copy and paste a formatted citation
Spandidos Publications style
Maiden MJ, Torpy DJ, Ludbrook GL, Clarke IJ, Chacko B, Nash CH, Matthews L, Porter S and Kuchel TR: Triiodothyronine supplementation in a sheep model of intensive care. Exp Ther Med 28: 321, 2024.
APA
Maiden, M.J., Torpy, D.J., Ludbrook, G.L., Clarke, I.J., Chacko, B., Nash, C.H. ... Kuchel, T.R. (2024). Triiodothyronine supplementation in a sheep model of intensive care. Experimental and Therapeutic Medicine, 28, 321. https://doi.org/10.3892/etm.2024.12611
MLA
Maiden, M. J., Torpy, D. J., Ludbrook, G. L., Clarke, I. J., Chacko, B., Nash, C. H., Matthews, L., Porter, S., Kuchel, T. R."Triiodothyronine supplementation in a sheep model of intensive care". Experimental and Therapeutic Medicine 28.2 (2024): 321.
Chicago
Maiden, M. J., Torpy, D. J., Ludbrook, G. L., Clarke, I. J., Chacko, B., Nash, C. H., Matthews, L., Porter, S., Kuchel, T. R."Triiodothyronine supplementation in a sheep model of intensive care". Experimental and Therapeutic Medicine 28, no. 2 (2024): 321. https://doi.org/10.3892/etm.2024.12611
Copy and paste a formatted citation
x
Spandidos Publications style
Maiden MJ, Torpy DJ, Ludbrook GL, Clarke IJ, Chacko B, Nash CH, Matthews L, Porter S and Kuchel TR: Triiodothyronine supplementation in a sheep model of intensive care. Exp Ther Med 28: 321, 2024.
APA
Maiden, M.J., Torpy, D.J., Ludbrook, G.L., Clarke, I.J., Chacko, B., Nash, C.H. ... Kuchel, T.R. (2024). Triiodothyronine supplementation in a sheep model of intensive care. Experimental and Therapeutic Medicine, 28, 321. https://doi.org/10.3892/etm.2024.12611
MLA
Maiden, M. J., Torpy, D. J., Ludbrook, G. L., Clarke, I. J., Chacko, B., Nash, C. H., Matthews, L., Porter, S., Kuchel, T. R."Triiodothyronine supplementation in a sheep model of intensive care". Experimental and Therapeutic Medicine 28.2 (2024): 321.
Chicago
Maiden, M. J., Torpy, D. J., Ludbrook, G. L., Clarke, I. J., Chacko, B., Nash, C. H., Matthews, L., Porter, S., Kuchel, T. R."Triiodothyronine supplementation in a sheep model of intensive care". Experimental and Therapeutic Medicine 28, no. 2 (2024): 321. https://doi.org/10.3892/etm.2024.12611
Follow us
  • Twitter
  • LinkedIn
  • Facebook
About
  • Spandidos Publications
  • Careers
  • Cookie Policy
  • Privacy Policy
How can we help?
  • Help
  • Live Chat
  • Contact
  • Email to our Support Team