Spandidos Publications Logo
  • About
    • About Spandidos
    • Aims and Scopes
    • Abstracting and Indexing
    • Editorial Policies
    • Reprints and Permissions
    • Job Opportunities
    • Terms and Conditions
    • Contact
  • Journals
    • All Journals
    • Oncology Letters
      • Oncology Letters
      • Information for Authors
      • Editorial Policies
      • Editorial Board
      • Aims and Scope
      • Abstracting and Indexing
      • Bibliographic Information
      • Archive
    • International Journal of Oncology
      • International Journal of Oncology
      • Information for Authors
      • Editorial Policies
      • Editorial Board
      • Aims and Scope
      • Abstracting and Indexing
      • Bibliographic Information
      • Archive
    • Molecular and Clinical Oncology
      • Molecular and Clinical Oncology
      • Information for Authors
      • Editorial Policies
      • Editorial Board
      • Aims and Scope
      • Abstracting and Indexing
      • Bibliographic Information
      • Archive
    • Experimental and Therapeutic Medicine
      • Experimental and Therapeutic Medicine
      • Information for Authors
      • Editorial Policies
      • Editorial Board
      • Aims and Scope
      • Abstracting and Indexing
      • Bibliographic Information
      • Archive
    • International Journal of Molecular Medicine
      • International Journal of Molecular Medicine
      • Information for Authors
      • Editorial Policies
      • Editorial Board
      • Aims and Scope
      • Abstracting and Indexing
      • Bibliographic Information
      • Archive
    • Biomedical Reports
      • Biomedical Reports
      • Information for Authors
      • Editorial Policies
      • Editorial Board
      • Aims and Scope
      • Abstracting and Indexing
      • Bibliographic Information
      • Archive
    • Oncology Reports
      • Oncology Reports
      • Information for Authors
      • Editorial Policies
      • Editorial Board
      • Aims and Scope
      • Abstracting and Indexing
      • Bibliographic Information
      • Archive
    • Molecular Medicine Reports
      • Molecular Medicine Reports
      • Information for Authors
      • Editorial Policies
      • Editorial Board
      • Aims and Scope
      • Abstracting and Indexing
      • Bibliographic Information
      • Archive
    • World Academy of Sciences Journal
      • World Academy of Sciences Journal
      • Information for Authors
      • Editorial Policies
      • Editorial Board
      • Aims and Scope
      • Abstracting and Indexing
      • Bibliographic Information
      • Archive
    • International Journal of Functional Nutrition
      • International Journal of Functional Nutrition
      • Information for Authors
      • Editorial Policies
      • Editorial Board
      • Aims and Scope
      • Abstracting and Indexing
      • Bibliographic Information
      • Archive
    • International Journal of Epigenetics
      • International Journal of Epigenetics
      • Information for Authors
      • Editorial Policies
      • Editorial Board
      • Aims and Scope
      • Abstracting and Indexing
      • Bibliographic Information
      • Archive
    • Medicine International
      • Medicine International
      • Information for Authors
      • Editorial Policies
      • Editorial Board
      • Aims and Scope
      • Abstracting and Indexing
      • Bibliographic Information
      • Archive
  • Articles
  • Information
    • Information for Authors
    • Information for Reviewers
    • Information for Librarians
    • Information for Advertisers
    • Conferences
  • Language Editing
Spandidos Publications Logo
  • About
    • About Spandidos
    • Aims and Scopes
    • Abstracting and Indexing
    • Editorial Policies
    • Reprints and Permissions
    • Job Opportunities
    • Terms and Conditions
    • Contact
  • Journals
    • All Journals
    • Biomedical Reports
      • Information for Authors
      • Editorial Policies
      • Editorial Board
      • Aims and Scope
      • Abstracting and Indexing
      • Bibliographic Information
      • Archive
    • Experimental and Therapeutic Medicine
      • Information for Authors
      • Editorial Policies
      • Editorial Board
      • Aims and Scope
      • Abstracting and Indexing
      • Bibliographic Information
      • Archive
    • International Journal of Epigenetics
      • Information for Authors
      • Editorial Policies
      • Editorial Board
      • Aims and Scope
      • Abstracting and Indexing
      • Bibliographic Information
      • Archive
    • International Journal of Functional Nutrition
      • Information for Authors
      • Editorial Policies
      • Editorial Board
      • Aims and Scope
      • Abstracting and Indexing
      • Bibliographic Information
      • Archive
    • International Journal of Molecular Medicine
      • Information for Authors
      • Editorial Policies
      • Editorial Board
      • Aims and Scope
      • Abstracting and Indexing
      • Bibliographic Information
      • Archive
    • International Journal of Oncology
      • Information for Authors
      • Editorial Policies
      • Editorial Board
      • Aims and Scope
      • Abstracting and Indexing
      • Bibliographic Information
      • Archive
    • Medicine International
      • Information for Authors
      • Editorial Policies
      • Editorial Board
      • Aims and Scope
      • Abstracting and Indexing
      • Bibliographic Information
      • Archive
    • Molecular and Clinical Oncology
      • Information for Authors
      • Editorial Policies
      • Editorial Board
      • Aims and Scope
      • Abstracting and Indexing
      • Bibliographic Information
      • Archive
    • Molecular Medicine Reports
      • Information for Authors
      • Editorial Policies
      • Editorial Board
      • Aims and Scope
      • Abstracting and Indexing
      • Bibliographic Information
      • Archive
    • Oncology Letters
      • Information for Authors
      • Editorial Policies
      • Editorial Board
      • Aims and Scope
      • Abstracting and Indexing
      • Bibliographic Information
      • Archive
    • Oncology Reports
      • Information for Authors
      • Editorial Policies
      • Editorial Board
      • Aims and Scope
      • Abstracting and Indexing
      • Bibliographic Information
      • Archive
    • World Academy of Sciences Journal
      • Information for Authors
      • Editorial Policies
      • Editorial Board
      • Aims and Scope
      • Abstracting and Indexing
      • Bibliographic Information
      • Archive
  • Articles
  • Information
    • For Authors
    • For Reviewers
    • For Librarians
    • For Advertisers
    • Conferences
  • Language Editing
Login Register Submit
  • This site uses cookies
  • You can change your cookie settings at any time by following the instructions in our Cookie Policy. To find out more, you may read our Privacy Policy.

    I agree
Search articles by DOI, keyword, author or affiliation
Search
Advanced Search
presentation
International Journal of Molecular Medicine
Join Editorial Board Propose a Special Issue
Print ISSN: 1107-3756 Online ISSN: 1791-244X
Journal Cover
December 2012 Volume 30 Issue 6

Full Size Image

Sign up for eToc alerts
Recommend to Library

Journals

International Journal of Molecular Medicine

International Journal of Molecular Medicine

International Journal of Molecular Medicine is an international journal devoted to molecular mechanisms of human disease.

International Journal of Oncology

International Journal of Oncology

International Journal of Oncology is an international journal devoted to oncology research and cancer treatment.

Molecular Medicine Reports

Molecular Medicine Reports

Covers molecular medicine topics such as pharmacology, pathology, genetics, neuroscience, infectious diseases, molecular cardiology, and molecular surgery.

Oncology Reports

Oncology Reports

Oncology Reports is an international journal devoted to fundamental and applied research in Oncology.

Experimental and Therapeutic Medicine

Experimental and Therapeutic Medicine

Experimental and Therapeutic Medicine is an international journal devoted to laboratory and clinical medicine.

Oncology Letters

Oncology Letters

Oncology Letters is an international journal devoted to Experimental and Clinical Oncology.

Biomedical Reports

Biomedical Reports

Explores a wide range of biological and medical fields, including pharmacology, genetics, microbiology, neuroscience, and molecular cardiology.

Molecular and Clinical Oncology

Molecular and Clinical Oncology

International journal addressing all aspects of oncology research, from tumorigenesis and oncogenes to chemotherapy and metastasis.

World Academy of Sciences Journal

World Academy of Sciences Journal

Multidisciplinary open-access journal spanning biochemistry, genetics, neuroscience, environmental health, and synthetic biology.

International Journal of Functional Nutrition

International Journal of Functional Nutrition

Open-access journal combining biochemistry, pharmacology, immunology, and genetics to advance health through functional nutrition.

International Journal of Epigenetics

International Journal of Epigenetics

Publishes open-access research on using epigenetics to advance understanding and treatment of human disease.

Medicine International

Medicine International

An International Open Access Journal Devoted to General Medicine.

Journal Cover
December 2012 Volume 30 Issue 6

Full Size Image

Sign up for eToc alerts
Recommend to Library

  • Article
  • Citations
    • Cite This Article
    • Download Citation
    • Create Citation Alert
    • Remove Citation Alert
    • Cited By
  • Similar Articles
    • Related Articles (in Spandidos Publications)
    • Similar Articles (Google Scholar)
    • Similar Articles (PubMed)
  • Download PDF
  • Download XML
  • View XML
Article

HBV promotes the proliferation of hepatic stellate cells via the PDGF-B/PDGFR-β signaling pathway in vitro

  • Authors:
    • Qixuan Bai
    • Jing An
    • Xiaoning Wu
    • Hong You
    • Hong Ma
    • Tianhui Liu
    • Na Gao
    • Jidong Jia
  • View Affiliations / Copyright

    Affiliations: Liver Research Center, Beijing Friendship Hospital, Capital Medical University, Beijing, P.R. China, Department of Microbiology, School of Basic Medical Sciences, Capital Medical University, Beijing, P.R. China
  • Pages: 1443-1450
    |
    Published online on: October 4, 2012
       https://doi.org/10.3892/ijmm.2012.1148
  • Expand metrics +
Metrics: Total Views: 0 (Spandidos Publications: | PMC Statistics: )
Metrics: Total PDF Downloads: 0 (Spandidos Publications: | PMC Statistics: )
Cited By (CrossRef): 0 citations Loading Articles...

This article is mentioned in:



Abstract

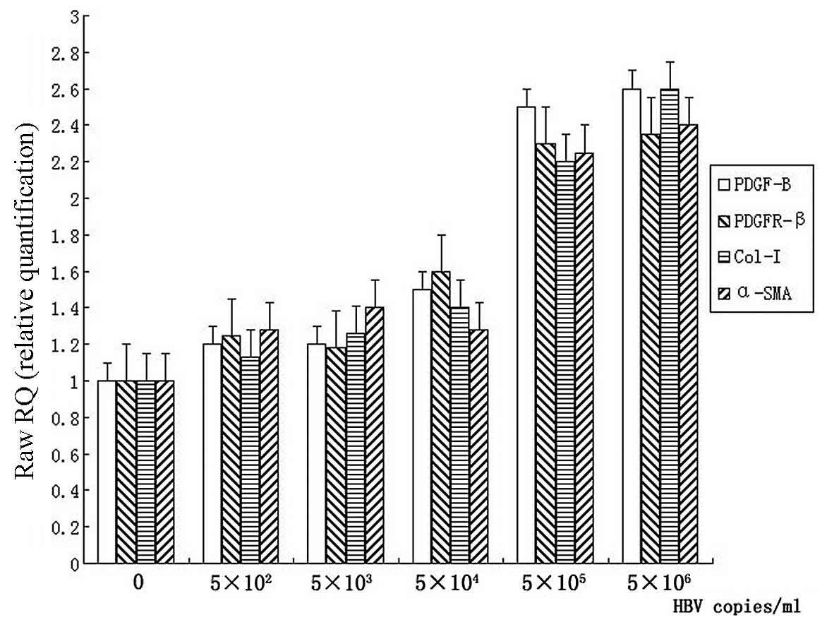
The activation of hepatic stellate cells (HSCs) is closely associated with liver fibrosis in chronic hepatitis B virus (HBV) infection. However, the molecular mechanisms leading to HSC activation remain unclear. It has been reported that the platelet-derived growth factor-B (PDGF-B)/PDGF receptor-β (PDGFR-β) signaling pathway is involved in this process. Thus, we investigated whether HBV and its protein contribute to HSC proliferation by the PDGF-B/PDGFR-β signaling pathway. HBV particles were purified from the supernatant of HepG2.2.15 cells by ultracentrifugation and the cell lines carrying HBV preS, e, c or x genes were obtained. After incubation with HBV particles or co-cultured with the cell lines expressed in the viral protein, the proliferation of LX-2 cells, an HSC cell line, were detected by flow cyto-metry and real-time PCR and the expression of molecules related to the PDGF-B/PDGFR-β signaling pathway were further measured. Our results indicated that HBV particles, c and x proteins promoted LX-2 proliferation and increased the mRNA levels of PDGF-B, PDGFR-β, collagen-I and α-smooth muscle actin (α-SMA), as well as the phosphorylation of PDGFR-β; however, the expression protein levels of PDGF-B and PDGFR-β remained unchanged. In conclusion, HBV particles and HBV c and x proteins promote HSC proliferation and fibrogenesis in vitro and the PDGF-B/PDGFR-β signaling pathway is important in this process.
View Figures

Figure 1

Figure 2

Figure 3

Figure 4

Figure 5

Figure 6

Figure 7

View References

1. 

G Gutierrez-ReyesMC Gutierrez-RuizD KershenobichLiver fibrosis and chronic viral hepatitisArch Med Res38644651200710.1016/j.arcmed.2006.10.00117613356

2. 

K BreitkopfC RoeyenI SawitzaL WickertJ FloegeAM GressnerExpression patterns of PDGF-A, -B, -C and -D and the PDGF-receptors alpha and beta in activated rat hepatic stellate cells (HSC)Cytokine31349357200510.1016/j.cyto.2005.06.00516039137

3. 

M PinzaniS MilaniH HerbstExpression of platelet-derived growth factor and its receptors in normal human liver and during active hepatic fibrogenesisAm J Pathol14878580019968774134

4. 

M PinzaniPDGF and signal transduction in hepatic stellate cellsFront Biosci7d1720d1726200210.2741/pinzani12133817

5. 

F MarraM PinzaniR DeFrancoG LaffiP GentiliniInvolvement of phosphatidylinositol 3-kinase in the activation of extracellular signal-regulated kinase by PDGF in hepatic stellate cellsFEBS Lett376141145199510.1016/0014-5793(95)01261-07498528

6. 

P CzochraB KlopcicE MeyerLiver fibrosis induced by hepatic overexpression of PDGF-B in transgenic miceJ Hepatol45419428200610.1016/j.jhep.2006.04.01016842882

7. 

M PinzaniL GesualdoGM SabbahHE AbboudEffects of platelet-derived growth factor and other polypeptide mitogens on DNA synthesis and growth of cultured rat liver fat-storing cellsJ Clin Invest8417861793198910.1172/JCI1143632592560

8. 

F MarraGG ChoudhuryM PinzaniHE AbboudRegulation of platelet-derived growth factor secretion and gene expression in human liver fat-storing cellsGastroenterology1071110111719947926460

9. 

K LehtiE AllenH Birkedal-HansenAn MT1-MMPPDGF receptor-beta axis regulates mural cell investment of the microvasculatureGenes Dev19979991200510.1101/gad.129460515805464

10. 

P LindahlM HellstromM KalenParacrine PDGF-B/PDGF-Rbeta signaling controls mesangial cell development in kidney glomeruliDevelopment1253313332219989693135

11. 

MA FeitelsonHM ReisNL TufanB SunJ PanZ LianPutative roles of hepatitis B x antigen in the pathogenesis of chronic liver diseaseCancer Lett2866979200910.1016/j.canlet.2008.12.01019201080

12. 

GH GuoDM TanPA ZhuF LiuHepatitis B virus X protein promotes proliferation and upregulates TGF-beta1 and CTGF in human hepatic stellate cell line, LX-2Hepatobiliary Pancreat Dis Int85964200919208517

13. 

S Martin-VilchezP Sanz-CamenoY Rodriguez-MunozThe hepatitis B virus X protein induces paracrine activation of human hepatic stellate cellsHepatology4718721883200810.1002/hep.2226518449922

14. 

SM LouYM LiKM WangWM CaiHL WengExpression of platelet-derived growth factor-BB in liver tissues of patients with chronic hepatitis BWorld J Gastroenterol10385388200414760763

15. 

WM CaiBB ZhangHL WengThe diagnostic value of eight serum indices for liver fibrosisZhonghua Gan Zang Bing Za Zhi122192222004(In Chinese).

16. 

BB ZhangWM CaiHL WengDiagnostic value of platelet derived growth factor-BB, transforming growth factor-beta1, matrix metalloproteinase-1, and tissue inhibitor of matrix metalloproteinase-1 in serum and peripheral blood mononuclear cells for hepatic fibrosisWorld J Gastroenterol9249024962003

17. 

M SeiferKH HeermannWH GerlichReplication of hepatitis B virus in transfected nonhepatic cellsVirology179300311199010.1016/0042-6822(90)90298-62219725

18. 

XB PanJC HanY GaoL WeiHigh replicated hepatitis B virus induces apoptosis of hepatocytesZhonghua Yi Xue Za Zhi888408432008(In Chinese).

19. 

N GaoW ChenQ ZhengCo-expression of Japanese encephalitis virus prM-E-NS1 antigen with granulocyte-macrophage colony-stimulating factor enhances humoral and anti-virus immunity after DNA vaccinationImmunol Lett1292331201010.1016/j.imlet.2009.12.023

20. 

E HintermannM BayerJM PfeilschifterAD LusterU ChristenCXCL10 promotes liver fibrosis by prevention of NK cell mediated hepatic stellate cell inactivationJ Autoimmun35424435201010.1016/j.jaut.2010.09.00320932719

21. 

J KitagawaT HaraH TsurumiCell cycle-dependent priming action of granulocyte colony-stimulating factor (G-CSF) enhances in vitro apoptosis induction by cytarabine and etoposide in leukemia cell linesJ Clin Exp Hematop5099105201010.3960/jslrt.50.99

22. 

P Melgar-LesmesG CasalsM PautaApelin mediates the induction of profibrogenic genes in human hepatic stellate cellsEndocrinology15153065314201010.1210/en.2010-075420843995

23. 

X LiuST ZhuH YouHepatitis B virus infects hepatic stellate cells and affects their proliferation and expression of collagen type IChin Med J (Engl)12214551461200919567171

24. 

S ClementS PascarellaS ConzelmannC Gonelle-GispertK GuillouxF NegroThe hepatitis C virus core protein indirectly induces alpha-smooth muscle actin expression in hepatic stellate cells via interleukin-8J Hepatol52635643201010.1016/j.jhep.2009.10.03520347177

25. 

M CoenenHD NischalkeB KramerHepatitis C virus core protein induces fibrogenic actions of hepatic stellate cells via toll-like receptor 2Lab Invest9113751382201110.1038/labinvest.2011.7821537327

26. 

T GonzaloL BeljaarsM van de BovenkampLocal inhibition of liver fibrosis by specific delivery of a platelet-derived growth factor kinase inhibitor to hepatic stellate cellsJ Pharmacol Exp Ther321856865200710.1124/jpet.106.11449617369283

27. 

S OgawaT OchiH ShimadaAnti-PDGF-B monoclonal antibody reduces liver fibrosis developmentHepatol Res4011281141201010.1111/j.1872-034X.2010.00718.x20880061

28. 

E Borkham-KamphorstCR van RoeyenT OstendorfJ FloegeAM GressnerR WeiskirchenPro-fibrogenic potential of PDGF-D in liver fibrosisJ Hepatol4610641074200710.1016/j.jhep.2007.01.02917397961

29. 

H IwamotoM NakamutaS TadaR SugimotoM EnjojiH NawataPlatelet-derived growth factor receptor tyrosine kinase inhibitor AG1295 attenuates rat hepatic stellate cell growthJ Lab Clin Med135406412200010.1067/mlc.2000.10597410811056

30. 

HF SiX LvA GuoH JiangJ LiSuppressive effect of leflunomide on rat hepatic stellate cell proliferation involves on PDGF-BB-elicited activation of three mitogen-activated protein kinasesCytokine422431200810.1016/j.cyto.2008.01.01718343153

31. 

N KinnmanC FrancozV BarbuThe myofibroblastic conversion of peribiliary fibrogenic cells distinct from hepatic stellate cells is stimulated by platelet-derived growth factor during liver fibrogenesisLab Invest83163173200310.1097/01.LAB.0000054178.01162.E4

Related Articles

  • Abstract
  • View
  • Download
  • Twitter
Copy and paste a formatted citation
Spandidos Publications style
Bai Q, An J, Wu X, You H, Ma H, Liu T, Gao N and Jia J: HBV promotes the proliferation of hepatic stellate cells via the PDGF-B/PDGFR-β signaling pathway in vitro. Int J Mol Med 30: 1443-1450, 2012.
APA
Bai, Q., An, J., Wu, X., You, H., Ma, H., Liu, T. ... Jia, J. (2012). HBV promotes the proliferation of hepatic stellate cells via the PDGF-B/PDGFR-β signaling pathway in vitro. International Journal of Molecular Medicine, 30, 1443-1450. https://doi.org/10.3892/ijmm.2012.1148
MLA
Bai, Q., An, J., Wu, X., You, H., Ma, H., Liu, T., Gao, N., Jia, J."HBV promotes the proliferation of hepatic stellate cells via the PDGF-B/PDGFR-β signaling pathway in vitro". International Journal of Molecular Medicine 30.6 (2012): 1443-1450.
Chicago
Bai, Q., An, J., Wu, X., You, H., Ma, H., Liu, T., Gao, N., Jia, J."HBV promotes the proliferation of hepatic stellate cells via the PDGF-B/PDGFR-β signaling pathway in vitro". International Journal of Molecular Medicine 30, no. 6 (2012): 1443-1450. https://doi.org/10.3892/ijmm.2012.1148
Copy and paste a formatted citation
x
Spandidos Publications style
Bai Q, An J, Wu X, You H, Ma H, Liu T, Gao N and Jia J: HBV promotes the proliferation of hepatic stellate cells via the PDGF-B/PDGFR-β signaling pathway in vitro. Int J Mol Med 30: 1443-1450, 2012.
APA
Bai, Q., An, J., Wu, X., You, H., Ma, H., Liu, T. ... Jia, J. (2012). HBV promotes the proliferation of hepatic stellate cells via the PDGF-B/PDGFR-β signaling pathway in vitro. International Journal of Molecular Medicine, 30, 1443-1450. https://doi.org/10.3892/ijmm.2012.1148
MLA
Bai, Q., An, J., Wu, X., You, H., Ma, H., Liu, T., Gao, N., Jia, J."HBV promotes the proliferation of hepatic stellate cells via the PDGF-B/PDGFR-β signaling pathway in vitro". International Journal of Molecular Medicine 30.6 (2012): 1443-1450.
Chicago
Bai, Q., An, J., Wu, X., You, H., Ma, H., Liu, T., Gao, N., Jia, J."HBV promotes the proliferation of hepatic stellate cells via the PDGF-B/PDGFR-β signaling pathway in vitro". International Journal of Molecular Medicine 30, no. 6 (2012): 1443-1450. https://doi.org/10.3892/ijmm.2012.1148
Follow us
  • Twitter
  • LinkedIn
  • Facebook
About
  • Spandidos Publications
  • Careers
  • Cookie Policy
  • Privacy Policy
How can we help?
  • Help
  • Live Chat
  • Contact
  • Email to our Support Team