Spandidos Publications Logo
  • About
    • About Spandidos
    • Aims and Scopes
    • Abstracting and Indexing
    • Editorial Policies
    • Reprints and Permissions
    • Job Opportunities
    • Terms and Conditions
    • Contact
  • Journals
    • All Journals
    • Oncology Letters
      • Oncology Letters
      • Information for Authors
      • Editorial Policies
      • Editorial Board
      • Aims and Scope
      • Abstracting and Indexing
      • Bibliographic Information
      • Archive
    • International Journal of Oncology
      • International Journal of Oncology
      • Information for Authors
      • Editorial Policies
      • Editorial Board
      • Aims and Scope
      • Abstracting and Indexing
      • Bibliographic Information
      • Archive
    • Molecular and Clinical Oncology
      • Molecular and Clinical Oncology
      • Information for Authors
      • Editorial Policies
      • Editorial Board
      • Aims and Scope
      • Abstracting and Indexing
      • Bibliographic Information
      • Archive
    • Experimental and Therapeutic Medicine
      • Experimental and Therapeutic Medicine
      • Information for Authors
      • Editorial Policies
      • Editorial Board
      • Aims and Scope
      • Abstracting and Indexing
      • Bibliographic Information
      • Archive
    • International Journal of Molecular Medicine
      • International Journal of Molecular Medicine
      • Information for Authors
      • Editorial Policies
      • Editorial Board
      • Aims and Scope
      • Abstracting and Indexing
      • Bibliographic Information
      • Archive
    • Biomedical Reports
      • Biomedical Reports
      • Information for Authors
      • Editorial Policies
      • Editorial Board
      • Aims and Scope
      • Abstracting and Indexing
      • Bibliographic Information
      • Archive
    • Oncology Reports
      • Oncology Reports
      • Information for Authors
      • Editorial Policies
      • Editorial Board
      • Aims and Scope
      • Abstracting and Indexing
      • Bibliographic Information
      • Archive
    • Molecular Medicine Reports
      • Molecular Medicine Reports
      • Information for Authors
      • Editorial Policies
      • Editorial Board
      • Aims and Scope
      • Abstracting and Indexing
      • Bibliographic Information
      • Archive
    • World Academy of Sciences Journal
      • World Academy of Sciences Journal
      • Information for Authors
      • Editorial Policies
      • Editorial Board
      • Aims and Scope
      • Abstracting and Indexing
      • Bibliographic Information
      • Archive
    • International Journal of Functional Nutrition
      • International Journal of Functional Nutrition
      • Information for Authors
      • Editorial Policies
      • Editorial Board
      • Aims and Scope
      • Abstracting and Indexing
      • Bibliographic Information
      • Archive
    • International Journal of Epigenetics
      • International Journal of Epigenetics
      • Information for Authors
      • Editorial Policies
      • Editorial Board
      • Aims and Scope
      • Abstracting and Indexing
      • Bibliographic Information
      • Archive
    • Medicine International
      • Medicine International
      • Information for Authors
      • Editorial Policies
      • Editorial Board
      • Aims and Scope
      • Abstracting and Indexing
      • Bibliographic Information
      • Archive
  • Articles
  • Information
    • Information for Authors
    • Information for Reviewers
    • Information for Librarians
    • Information for Advertisers
    • Conferences
  • Language Editing
Spandidos Publications Logo
  • About
    • About Spandidos
    • Aims and Scopes
    • Abstracting and Indexing
    • Editorial Policies
    • Reprints and Permissions
    • Job Opportunities
    • Terms and Conditions
    • Contact
  • Journals
    • All Journals
    • Biomedical Reports
      • Information for Authors
      • Editorial Policies
      • Editorial Board
      • Aims and Scope
      • Abstracting and Indexing
      • Bibliographic Information
      • Archive
    • Experimental and Therapeutic Medicine
      • Information for Authors
      • Editorial Policies
      • Editorial Board
      • Aims and Scope
      • Abstracting and Indexing
      • Bibliographic Information
      • Archive
    • International Journal of Epigenetics
      • Information for Authors
      • Editorial Policies
      • Editorial Board
      • Aims and Scope
      • Abstracting and Indexing
      • Bibliographic Information
      • Archive
    • International Journal of Functional Nutrition
      • Information for Authors
      • Editorial Policies
      • Editorial Board
      • Aims and Scope
      • Abstracting and Indexing
      • Bibliographic Information
      • Archive
    • International Journal of Molecular Medicine
      • Information for Authors
      • Editorial Policies
      • Editorial Board
      • Aims and Scope
      • Abstracting and Indexing
      • Bibliographic Information
      • Archive
    • International Journal of Oncology
      • Information for Authors
      • Editorial Policies
      • Editorial Board
      • Aims and Scope
      • Abstracting and Indexing
      • Bibliographic Information
      • Archive
    • Medicine International
      • Information for Authors
      • Editorial Policies
      • Editorial Board
      • Aims and Scope
      • Abstracting and Indexing
      • Bibliographic Information
      • Archive
    • Molecular and Clinical Oncology
      • Information for Authors
      • Editorial Policies
      • Editorial Board
      • Aims and Scope
      • Abstracting and Indexing
      • Bibliographic Information
      • Archive
    • Molecular Medicine Reports
      • Information for Authors
      • Editorial Policies
      • Editorial Board
      • Aims and Scope
      • Abstracting and Indexing
      • Bibliographic Information
      • Archive
    • Oncology Letters
      • Information for Authors
      • Editorial Policies
      • Editorial Board
      • Aims and Scope
      • Abstracting and Indexing
      • Bibliographic Information
      • Archive
    • Oncology Reports
      • Information for Authors
      • Editorial Policies
      • Editorial Board
      • Aims and Scope
      • Abstracting and Indexing
      • Bibliographic Information
      • Archive
    • World Academy of Sciences Journal
      • Information for Authors
      • Editorial Policies
      • Editorial Board
      • Aims and Scope
      • Abstracting and Indexing
      • Bibliographic Information
      • Archive
  • Articles
  • Information
    • For Authors
    • For Reviewers
    • For Librarians
    • For Advertisers
    • Conferences
  • Language Editing
Login Register Submit
  • This site uses cookies
  • You can change your cookie settings at any time by following the instructions in our Cookie Policy. To find out more, you may read our Privacy Policy.

    I agree
Search articles by DOI, keyword, author or affiliation
Search
Advanced Search
presentation
International Journal of Molecular Medicine
Join Editorial Board Propose a Special Issue
Print ISSN: 1107-3756 Online ISSN: 1791-244X
Journal Cover
January-2019 Volume 43 Issue 1

Full Size Image

Sign up for eToc alerts
Recommend to Library

Journals

International Journal of Molecular Medicine

International Journal of Molecular Medicine

International Journal of Molecular Medicine is an international journal devoted to molecular mechanisms of human disease.

International Journal of Oncology

International Journal of Oncology

International Journal of Oncology is an international journal devoted to oncology research and cancer treatment.

Molecular Medicine Reports

Molecular Medicine Reports

Covers molecular medicine topics such as pharmacology, pathology, genetics, neuroscience, infectious diseases, molecular cardiology, and molecular surgery.

Oncology Reports

Oncology Reports

Oncology Reports is an international journal devoted to fundamental and applied research in Oncology.

Experimental and Therapeutic Medicine

Experimental and Therapeutic Medicine

Experimental and Therapeutic Medicine is an international journal devoted to laboratory and clinical medicine.

Oncology Letters

Oncology Letters

Oncology Letters is an international journal devoted to Experimental and Clinical Oncology.

Biomedical Reports

Biomedical Reports

Explores a wide range of biological and medical fields, including pharmacology, genetics, microbiology, neuroscience, and molecular cardiology.

Molecular and Clinical Oncology

Molecular and Clinical Oncology

International journal addressing all aspects of oncology research, from tumorigenesis and oncogenes to chemotherapy and metastasis.

World Academy of Sciences Journal

World Academy of Sciences Journal

Multidisciplinary open-access journal spanning biochemistry, genetics, neuroscience, environmental health, and synthetic biology.

International Journal of Functional Nutrition

International Journal of Functional Nutrition

Open-access journal combining biochemistry, pharmacology, immunology, and genetics to advance health through functional nutrition.

International Journal of Epigenetics

International Journal of Epigenetics

Publishes open-access research on using epigenetics to advance understanding and treatment of human disease.

Medicine International

Medicine International

An International Open Access Journal Devoted to General Medicine.

Journal Cover
January-2019 Volume 43 Issue 1

Full Size Image

Sign up for eToc alerts
Recommend to Library

  • Article
  • Citations
    • Cite This Article
    • Download Citation
    • Create Citation Alert
    • Remove Citation Alert
    • Cited By
  • Similar Articles
    • Related Articles (in Spandidos Publications)
    • Similar Articles (Google Scholar)
    • Similar Articles (PubMed)
  • Download PDF
  • Download XML
  • View XML
Article

Anti-obesity effects of Diospyros lotus leaf extract in mice with high-fat diet-induced obesity

  • Authors:
    • Bo‑Mi Kim
    • Byoung Ok Cho
    • Seon Il Jang
  • View Affiliations / Copyright

    Affiliations: Department of Chemical Engineering, Wonkwang University, Iksan, Jeonbuk 54538, Republic of Korea, Research Institute, Ato Q&A Co., Ltd., Jeonju, Jeonbuk 54840, Republic of Korea
  • Pages: 603-613
    |
    Published online on: October 18, 2018
       https://doi.org/10.3892/ijmm.2018.3941
  • Expand metrics +
Metrics: Total Views: 0 (Spandidos Publications: | PMC Statistics: )
Metrics: Total PDF Downloads: 0 (Spandidos Publications: | PMC Statistics: )
Cited By (CrossRef): 0 citations Loading Articles...

This article is mentioned in:


Abstract

Diospyros (D.) lotus has been demonstrated to have antioxidant and anti‑inflammatory properties. The purpose of the present study was to evaluate the effect of D. lotus leaf water extract (DLE) on high‑fat diet (HFD)‑induced obesity in C57BL/6 mice. The present study first investigated the effect of DLE on the lipid accumulation and triglyceride (TG) contents in 3T3‑L1 cells, and the results revealed that treatment with DLE suppressed the lipid accumulation and TG level. Subsequently, the anti‑obesity effects of DLE were investigated in vivo. Oral administration of DLE reduced the body weight gain, food efficiency ratio, and liver and visceral fat weight in mice fed with a HFD. DLE administration in these mice also reduced TG, total cholesterol, low‑density lipoprotein cholesterol, glucose, insulin and leptin levels, as well as the atherogenic index. Furthermore, DLE administration decreased hepatic steatosis, as well as serum aspartate transaminase, alanine transaminase and alkaline phosphatase levels in mice fed with HFD. It was further observed that treatment of the HFD‑fed mice with DLE prevented lipid peroxidation, while it recovered glutathione depletion and the activities of superoxide dismutase, catalase and glutathione peroxidase. In conclusion, the current study suggests that the anti‑obesity effect of DLE may provide positive insights as a potential functional food ingredient for the prevention of obesity.

Introduction

While developing countries are fighting against the spread of infectious diseases, developed countries are currently focusing on combating non-communicable diseases, including obesity, which has exhibited a progressive rise in prevalence over the past years. However, although obesity is a disease of developed countries, its prevalence in developing countries is also on a rise (1). Thus, it can be seen as one of the most serious public health challenges of the 21st century. Obesity can actually be defined as the accumulation of excess body fat. The accumulation of fat results from a high-fat diet (HFD), caloric-dense diet, sedentary lifestyle, increased urbanization and psychosocial stress (2). Obesity is a risk factor for atherosclerosis, cancer, type 2 diabetes, dyslipidemia and metabolic syndrome. A study has even linked obesity with excess adipocyte accumulation, lung problems, and respiratory symptoms. In that study, accumulation of fat tissue in the abdominal wall and around the abdominal organs hampered the movement of diaphragm, reduced lung expansion during inspiration and also decreased lung capacity (3). In addition, the increase in adipose tissue in obesity has been linked to the production of systemic oxidative stress, through the peroxisomal and mitochondrial oxidation of fatty acids, and the overconsumption of oxygen, producing reactive oxygen species (4). Furthermore, liver damage in obesity has been reported, as diet-induced obesity is associated with liver inflammation (5).

Several drugs, including phentermine, fluoxetine, orlistat, sibutramine and rimonabant, as well as lifestyle modifications and even surgery are used for the treatment of obesity. However, the associated side effects of nausea, dizziness, insomnia, diarrhea, dyspepsia and constipation cannot be overlooked. A healthy lifestyle can be difficult to maintain, while surgery is reserved for terminal obesity cases. Thus, researchers are focusing on the need for new natural therapies and different methods of combating obesity. Plant extracts with phytochemicals including polyphenols, curcumin, resveratrol and proanthocyanidins have become increasingly popular in the past decades due to their anti-adipogenic properties (6-8). Herbal medicines have been used to control weight and for the treatment of obesity. For instance, the Garcinia cambogia fruit extract, containing hydroxycitric acid, has frequently been used for weight control, and has demonstrated no toxic effects (9).

Diospyros (D.) lotus, which belongs to the Ebenaceae family, is a deciduous tree native to China, Korea, Japan, Brazil, Turkey and Italy, and its fruit is widely consumed for its sedative, antidiabetic, antiseptic and antitumor properties (10). Notably, compounds isolated from D. lotus fruit and three new dimeric naphthoquinones isolated from D. lotusroots have been demonstrated to have antiproliferative and cytotoxic effects on a series of cancer cell lines, including COR-L23, C32, A375, CaCo-2 and mouse T-cell lymphoma cell lines (11-13). Furthermore, D. lotus leaves have been widely used for the treatment of muscle and joint pain of the lower back (14).

A study on the leaf extract of another species, D. kaki, revealed that this extract improved hyperglycemia, dyslipidemia and liver fat accumulation in type 2 diabetic db/db mice (15). Another recently published study indicated that D. kaki fruit in synergy with Citrus unshiu peel demonstrated an anti-obesity effect by inhibiting pancreatic lipase (16). However, to the best of our knowledge, no studies have examined the anti-obesity effect of D. lotus leaves. The present study was, therefore, conducted to investigate the anti-obesity effect of D. lotus leaf water extract (DLE) on adipocyte differentiation in both in vitro and in vivo studies, using a cell model and an HFD-induced obesity model in mice.

Materials and methods

Chemicals

Glucose, triglyceride (TG), total cholesterol (TC) and high-density lipoprotein cholesterol (HDL-C) assay kits were purchased from Asan Pharmaceutical Co., Ltd. (Seoul, Korea). Apigenin, 3-isobutyl-1-methylxanthine (IBMX) and Oil red O were from Sigma-Aldrich (Merck KGaA, Darmstadt, Germany). Aspartate transaminase (AST), alanine transaminase (ALT) and alkaline phosphatase (ALP) activity colorimetric assay kits were purchased from BioVision, Inc. (Milpitas, CA, USA). Catalase (CAT), glutathione (GSH), and glutathione peroxidase (GPx) assay kits were obtained from Cayman Chemical Company (Ann Arbor, MI, USA). Superoxide dismutase (SOD) and malondialdehyde (MDA) quantification kits were purchased from Calbiochem (EMD Millipore, Billerica, MA, USA) and Cell Biolabs, Inc. (San Diego, CA, USA), respectively. A Mouse Leptin Quantikine enzyme-linked immunosorbent assay (ELISA) kit and ultra-sensitive mouse insulin ELISA kit were from R&D Systems, Inc. (Minneapolis, MN, USA) and Crystal Chem, Inc. (Elk Grove Village, IL, USA), respectively. Ethanol, xylene, and paraffin wax came from Daejung Co., Ltd., (Busan, Korea), Junsei Chemical Co., Ltd., (Tokyo, Japan) and Leica Biosystems (Wetzlar, Germany), respectively. All other chemicals used were of reagent grade and purchased from Sigma-Aldrich (Merck KGaA), unless otherwise stated.

Plant material and extract preparation

D. lotus leaves used in the present study were harvested from Bugwi-Myeon, Jinan-Gun, Jeonbuk, Korea on June 30th, 2015. The plant was identified and authenticated by Professor Hong-Jun Kim from the College of Oriental Medicine, Woosuk University (Jeonju, Korea) and a voucher specimen (no. 2015-06-30-DLE) was deposited in our laboratory. The leaves were washed four times with distilled water, steamed for 5 min, dried at 40°C for 12 h and then extracted (100 g) in distilled water (2,000 ml) at 100°C for 30 min. The extract was passed through a 0.45-μm pore size filter paper (ADVANTEC, Togo, Japan). The filtered extract was concentrated by vacuum evaporation and lyophilized to obtain the dry extract (15.2 g), which was stored at −20°C for use in further experiments.

Cell culture and Oil Red O staining

3T3-L1 pre-adipocytes obtained from American Type Culture Collection (Manassas, VA, USA) were cultured in Dulbecco’s modified Eagle’s medium (DMEM) supplemented with 10% fetal bovine serum (FBS), 100 units/ml penicillin and 0.1 mg/ml streptomycin in an incubator with temperature of 37°C and 5% CO2. To induce adipocyte differentiation, the 3T3-L1 pre-adipocytes were seeded in 6-mm cell culture dishes at a density of 5×104 cells/ml. After 2 days, when the cells had reached 100% confluence, differentiation was induced by replacing the media with DMEM containing 10% FBS and 0.5 mM IBMX, 1 μM dexamethasone and 1 μg/ml insulin (designated hereafter as MDI), along with 200 or 400 μg/ml DLE, or with 10 μg/ml apigenin as the positive control. After 3 days of culture, the medium was replaced with DMEM containing serum, insulin, and DLE or apigenin, followed by replacement with fresh DMEM with the same constituents after a further 2 days of incubation (temperature 37°C and 5% CO2).

For Oil red O staining, cells (5×105 cells/ml) in 60 mm culture dishes were fixed with 10% formalin for 1 h and then washed with 60% isopropanol, followed by incubation in 5 ml Oil red O working solution for 5 min at room temperature. Subsequent to incubation, the cells were immediately washed five times with distilled water, and images were captured using a Leica light microscope (Leica Microsystems GmbH, Wetzlar, Germany). Next, Oil red O was dissolved in 100% isopropanol, and the absorbance were measured by a micro-plate reader (Molecular Devices LLC, Sunnyvale, CA, USA) at 540 nm.

TG content in 3T3-L1 adipocytes

Total TG content in 3T3-L1 adipocytes was determined using a commercial TG assay kit according to the manufacturer’s protocol.

Animals and diet

The in vivo study involved 4-week-old male C57BL/6J mice, obtained from Orient Bio, Inc. (Iksan, Korea). The mice were fed with commercial standard laboratory diet and water ad libitum, and maintained in an air-conditioned room with a temperature of 22±2°C, humidity of 50-60%, and a 12-h light-dark cycle. The animal experiment was approved by Jeonju University Institutional Animal Care and Used Committee (no. JJU-IACUC-2015-04) and the protocols were performed following the guidelines set by the institution.

Following 1 week of acclimation, the mice were randomly divided into five groups of 6 mice each, including the normal control, HFD control, HFD + 200 mg/kg DLE, HFD + 400 mg/kg DLE, and HFD + 20 mg/kg apigenin groups. The normal control group received a commercial standard diet (AIN-76A; Research Diet, Inc., New Brunswick, NJ, USA), throughout the experimental period, while the HFD model and experimental groups were fed with a diet high in fat content (Rodent Diet with 45 kcal% fat; Research Diet Inc.) for 8 weeks to induce obesity. After obesity was induced, the mice in the HFD control and experimental groups were maintained on the high-fat diet while being administered orally with DLE and Apigenin for a further 10 weeks. Apigenin was used as a positive control.

Following completion of all treatments, the mice were fasted for 12 h and then anesthetized with ether. Blood was collected by a cardiac puncture and then the mice were euthanized. The blood samples were allowed to clot for 30 min at room temperature and centrifuged at 2,000 x g for 15 min at 4°C. The liver and abdominal fat tissues were also completely excised and cleansed with saline. Moisture was completely removed with a filter paper, and the weights were measured using an electronic balance. The tissue samples were quickly frozen with liquid nitrogen and stored at -80°C until used for further studies.

Weight gain, food intake and food efficiency ratio (FER)

The body weight and food intake of mice were measured once per week. The FER was calculated according to the following formula: FER (%)=[body weight gain (g/day)/food intake (g/day)] ×100.

Biochemical analysis

Serum glucose, TG, TC and HDL-C levels were measured using the corresponding assay kits, according to the manufacturer’s protocol. Low-density lipoprotein cholesterol (LDL-C) was calculated according to previously described methods (17), using the following formula: LDL-C=[TC-HDL-C-(TG/5)]. Insulin and leptin levels in the serum samples were evaluated via commercial ELISA kits, according to the manufacturer’s instructions. The atherogenic index was calculated using the following formula: (TC-HDL-C)/HDL-C. Furthermore, the activities of hepatic enzymes AST and ALT in the serum were measured using commercial assay kits, according to the manufacturer’s protocol.

Histological analysis

For histological analysis, the liver tissues were fixed in 10% neutral formalin for 3 days at room temperature, washed in 4 changes of phosphate-buffered saline (1 h each), dehydrated in a series of graded ethanol (from 60-100%, 30 min each), cleared twice in xylene (30 min each) and embedded in of paraffin wax three separate times at 70°C (30 min each). The tissues were then fixed with paraffin wax overnight at 4°C and sectioned (5-μm) using a microtome. Next, the tissues sections were stained with hematoxylin for 3 min and eosin for 0.5 min (H&E) at room temperature.

Determination of oxidative stress and antioxidant markers

After the mice were sacrificed, liver tissues (0.3 g) were homogenized in 0.5 ml phosphate-buffered saline and then centrifuged at 2,000 x g for 15 min at 4°C to obtain the supernatant which was stored at -70°C for subsequent use. Hepatic MDA and GSH levels were measured using commercially available assay kits, according to the manufacturer’s protocol. Liver SOD, CAT, and GPx activities were also measured as described in the corresponding kit manuals.

High-performance liquid chromatography (HPLC) analysis

HPLC was performed to determine the active compounds in DLE using an Agilent 1100 series system (Agilent Technologies, Inc., Santa Clara, CA, USA), equipped with a binary pump delivery system, a degasser (G1379A), an autosampler (G1313A), a diode array detector (G1315B) and Agilent Eclipse XDB-C18 column (4.6×250 mm, 5-μm particles). The mobile phase was composed of 0.5% formic acid in water (solvent A) and acetonitrile (solvent B), and the gradient elution were as follows: 0 min, 5% solvent B; 10 min, 10% solvent B; 50 min, 40% solvent B; 54 min, 100% solvent B; and then held for 10 min prior to returning to the initial conditions. Other HPLC conditions were as follows: Flow rate, 1 ml/min; UV detection wavelength, 280 nm; sample injection volume, 20 μl; and column temperature, 30°C. All standards were identified based on retention time. The integration of each component on the chromatogram was processed using the Agilent Chemstation software (Agilent Technologies, Inc.).

Statistical analysis

The data were analyzed using the IBM SPSS statistics program (version 22; IBM Corp., Armonk, NY, USA) with one-way analysis of variance, followed by Duncan’s multiple range test. A P<0.05 was considered to indicate a statistically significant difference. All data are presented as the mean ± standard deviation.

Results

Inhibitory effect of DLE on lipid accumulation in 3T3-L1 cells

To evaluate the effect of DLE on adipocyte differentiation, lipid accumulation was evaluated using the Oil red O staining method. As presented in Fig. 1A and B, DLE treatment significantly inhibited lipid accumulation at the doses of 200 and 400 μg/ml in 3T3-L1 adipocytes. TG accumulation was also examined in differentiated 3T3-L1 adipocytes. DLE treatment significantly diminished the TG content in 3T3-L1 adipocytes (Fig. 1C). Apigenin used as a positive control demonstrated similar effects.

Figure 1

(A) Images of dishes and microscopic view (magnification, ×100) of lipid accumulation in the control and experimental adipocytes treated with or without DLE and apigenin. (B) Oil red O stain was dissolved using isopropyl alcohol, and the lipid contents were measured using a microplate reader. (C) Adipocyte cell lysates were used to quantify triglycerides levels. Results are presented as the mean ± standard deviation. ***P<0.001 vs. the MDI (control) treatment. DLE, Diospyros lotus leaf water extract; MDI, 0.5 mM IBMX, 1 μM dexamethasone and 1 μg/ml insulin.

DLE reduces body weight, food intake, visceral fat and liver weight in mice with HFD-induced obesity

To investigate the anti-obesity effect of DLE, mice were fed with HFD in the presence or absence of DLE (200 and 400 mg/kg), and the body, liver and visceral fat weights of the mice were measured. As presented in Table I, the final body weight gain in the HFD model group was significantly higher compared with that in the normal control group. However, body weight gain was markedly decreased by DLE administration at doses of 200 and 400 mg/kg, without significantly altering the food intake. The FER (%) was significantly higher in the HFD group as compared with that in the normal control group, whereas this ratio was significantly reduced by oral administration of DLE at doses of 200 and 400 mg/kg. Furthermore, the liver and visceral fat weights were significantly increased in the HFD group, while DLE administration at 200 and 400 mg/kg markedly decreased these weights. Apigenin administration also suppressed the body weight gain, FER, and liver and visceral fat weights in HFD-fed mice.

Table I

Effect of DLE on body weight, weight gain, food intake, FER, liver weight and visceral fat weight in HFD-induced obese mice.

Table I

Effect of DLE on body weight, weight gain, food intake, FER, liver weight and visceral fat weight in HFD-induced obese mice.

GroupNormal controlHFDHFD + 200 mg/kg DLEHFD + 400 mg/kg DLEHFD + apigenin
Initial body weight (g)29.83±0.9939.53±2.49b39.63±1.8839.33±5.7738.54±2.08
Final body weight (g)31.13±1.0047.13±1.43b44.50±2.2542.95±5.3743.42±1.69c
Weight gain (g)1.30±0.347.60±1.17b4.88±0.48d3.63±1.90c4.88±1.31c
Food intake (g/day)3.12±0.332.35±0.33b2.14±0.212.42±0.362.43±0.32
FER (%)3.21±1.2629.58±5.06b19.81±6.91c17.27±8.52c20.04±5.37c
Liver weight (g)1.21±0.351.84±0.24a1.55±0.151.39±0.261.48±0.21
Visceral fat weight (g)0.38±0.092.11±0.15b1.46±0.39c1.34±0.26c1.84±0.37

{ label (or @symbol) needed for fn[@id='tfn1-ijmm-43-01-0603'] } Results are presented as the mean ± standard deviation.

a P<0.05 and

b P<0.001 vs. the control group;

c P<0.05 and

d P<0.01 vs. the HFD group. The FER was calculated as follows: FER (%)=body weight gain (g/day)/food intake (g/day) ×100. DLE, Diospyros lotus leaf water extract; HFD, high-fat diet; FER, food efficiency ratio.

Effect of DLE on serum lipid and glucose levels

The effects of DLE on the serum lipid levels of HFD-fed mice were investigated at the end of the experimental period (Fig. 2A–E). Serum TG, TC, LDL-C and LDL-C/HDL-C ratio levels in the HFD group were significantly higher compared with those in the normal control group (P<0.05). However, oral administration of DLE at doses of 200 and 400 mg/kg led to a decrease in the level of TG, and TC, with a significant difference obtained only with the group treated with 400 mg/kg of DLE (P<0.01). Also, the levels of LDL-C and LDL-C/HDL-C ratio were significantly decreased with 200 and 400 mg/kg DLE treatment (P<0.05). Apigenin significantly reduced these levels, with the exception of TC levels (Fig. 2A, B, D, and E). HDL-C levels were markedly increased in the HFD group, while DLE and apigenin administration slightly increased HDL-C levels (Fig. 2C). However, there was no significant difference in the HDL-C levels between the HFD group and the DLE or apigenin-treated groups. Furthermore, the serum glucose levels were significantly increased in the HFD group compared with the control. However, the glucose levels were decreased in HFD-fed mice following treatment with 200 and 400 mg/kg DLE, with significant difference obtained only with 400 mg/kg treatment group. Apigenin treatment demonstrated a similar effect with DLE 400 mg/kg treatment (Fig. 2F).

Figure 2

Effect of DLE on lipid profile and glucose levels in the serum of mice with HFD-induced obesity. At the end of the experimental period, serum lipid profiles and glucose levels were measured. (A) TG, (B) TC, (C) HDL-C, (D) LDL-C, (E) LDL-C/HDL-C ratio, and (F) glucose levels. Results are presented as the mean ± standard deviation. #P<0.05, ##P<0.01, and ###P<0.001 vs. the control group; *P<0.05 and **P<0.01 vs. the HFD group. DLE, Diospyros lotus leaf water extract; HFD, high-fat diet; TG, triglyceride; TC, total cholesterol; HDL-C, high-density lipoprotein cholesterol; LDL-C, low-density lipoprotein cholesterol.

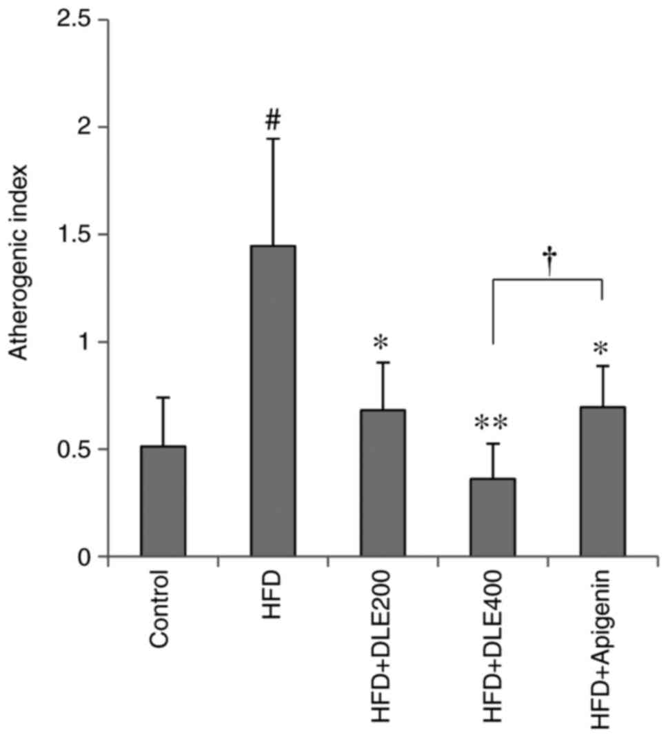
Effect of DLE on the atherogenic index

The atherogenic index was determined using the values of TC and HDL-C. As presented in Fig. 3, the atherogenic index was signifi-cantly higher in the HFD group as compared with that in the normal control group. However, this increase in the atherogenic index was significantly reduced by oral administration of DLE at doses of 200 and 400 mg/kg. Apigenin had a similar effect, although DLE at the dose of 400 mg/kg significantly decreased the atherogenic index in comparison with apigenin (P<0.05).

Figure 3

Effect of DLE on atherogenic index in the serum of mice with HFD-induced obesity. Atherogenic index was calculated by the following formula: (TC-HDL-C)/HDL-C. Results are presented as the mean ± standard deviation. #P<0.05 vs. the control group, *P<0.05 and **P<0.01 vs. the HFD group. †P<0.05 vs. the Apigenin group. DLE, Diospyros lotus leaf water extract; HFD, high-fat diet; TC, total cholesterol; HDL-C, high-density lipoprotein cholesterol.

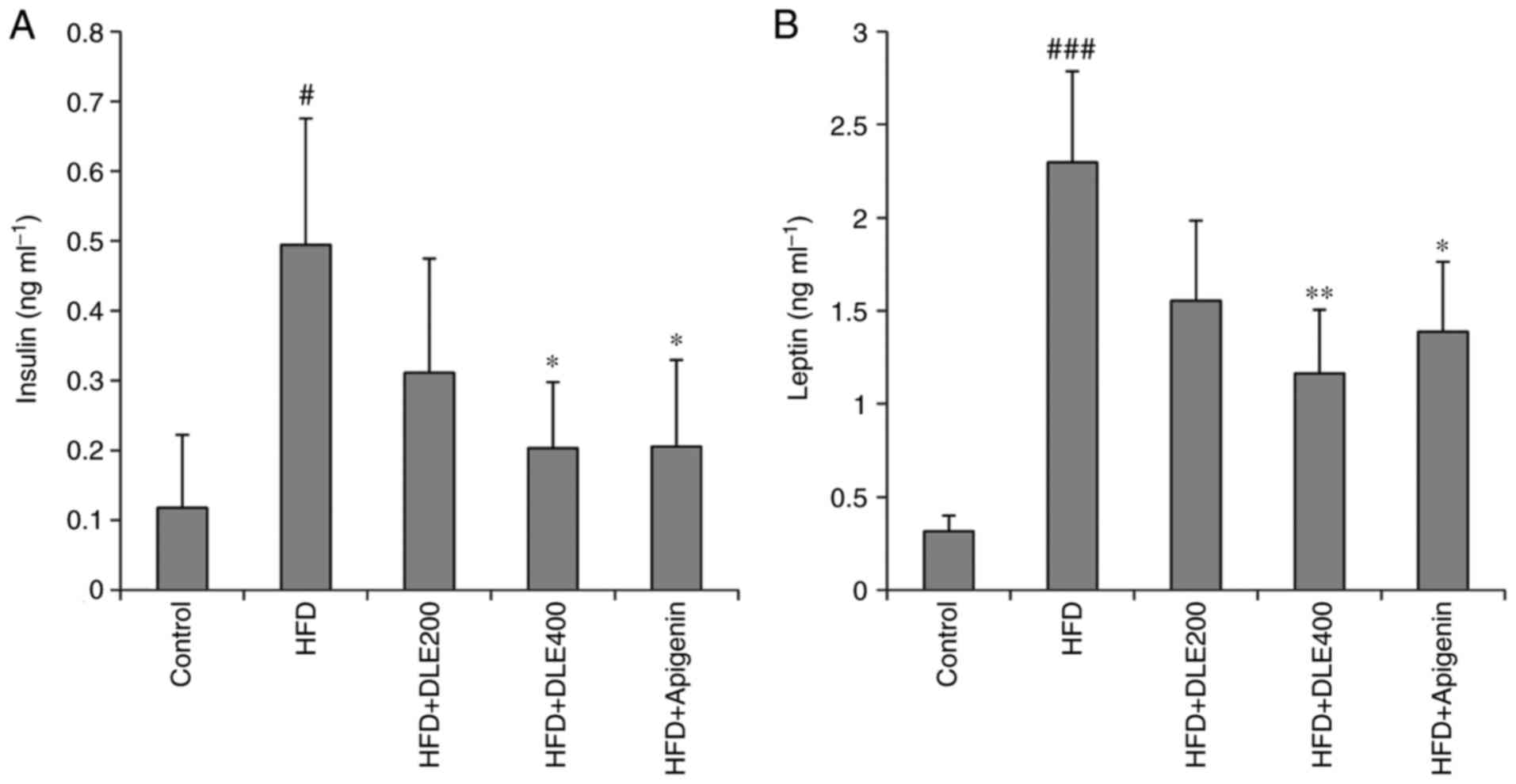
Effect of DLE on serum insulin and leptin levels

The serum insulin and leptin levels were also determined. As presented in Fig. 4A, serum insulin was increased significantly in the HFD group, while oral administration of DLE at the doses of 200 and 400 mg/kg decreased the serum insulin levels with a significant difference obtained with the 400 mg/kg DLE-treated group (P<0.05). The serum leptin levels were also significantly increased in the HFD group (P>0.001), whereas they were decreased in the DLE-treated group at doses of 200 and 400 mg/kg (Fig. 4B). However, only the 400 mg/kg treated group exhibited a significant difference. Apigenin administration also reduced the elevation of serum insulin and leptin levels similar to the effect of DLE at both doses, in mice fed with the high-fat diet.

Figure 4

Effect of DLE on (A) insulin and (B) leptin levels in the serum of mice with HFD-induced obesity. Results are presented as the mean ± standard deviation. #P<0.05 and ###P<0.001 vs. the normal control; *P<0.05 and **P<0.01 vs. the HFD group. DLE, Diospyros lotus leaf water extract; HFD, high-fat diet.

Effect of DLE on liver function parameters

Changes in serum liver function parameters, including AST, ALT and ALP levels, are indicated in Fig. 5. The levels of the liver function parameters were significantly increased in the HFD group when compared with those in the normal control group. However, DLE administration at both doses, significantly decreased the ALT and ALP levels in HFD-fed mice, except for AST levels which demonstrated a significant difference only in the 400 mg/kg-treated group. Similar to the DLE 200 and 400 mg/kg treated, apigenin treatment also resulted in a reduction of these parameters in the mice with HFD-induced obesity, with no significant differences among the group.

Figure 5

Effect of DLE on liver function parameters levels in the serum of mice with HFD-induced obesity. (A) AST, (B) ALT and (C) ALP levels. Results are presented as the mean ± standard deviation. ##P<0.01 and ###P<0.001 vs. the control group; *P<0.05 and **P<0.01 vs. the HFD group. DLE, Diospyros lotus leaf water extract; HFD, high-fat diet; AST, aspartate transaminase; ALT, alanine transaminase; ALP, alkaline phosphatase.

Effect of DLE on liver histology

Next, the study evaluated the effect of DLE on liver morphology by H&E staining. As presented in Fig. 6, the lipid droplets were increased significantly in the HFD group in comparison with those observed in the normal control group. However, DLE at 400 mg/kg and apigenin administration significantly decreased the lipid droplets in the mice with HFD-induced obesity.

Figure 6

Effect of DLE on hepatic morphology in HFD-induced obese mice, examined by hematoxylin and eosin staining (magnification, ×100; scale bar, 200 μm). DLE, Diospyros lotus leaf water extract; HFD, high-fat diet.

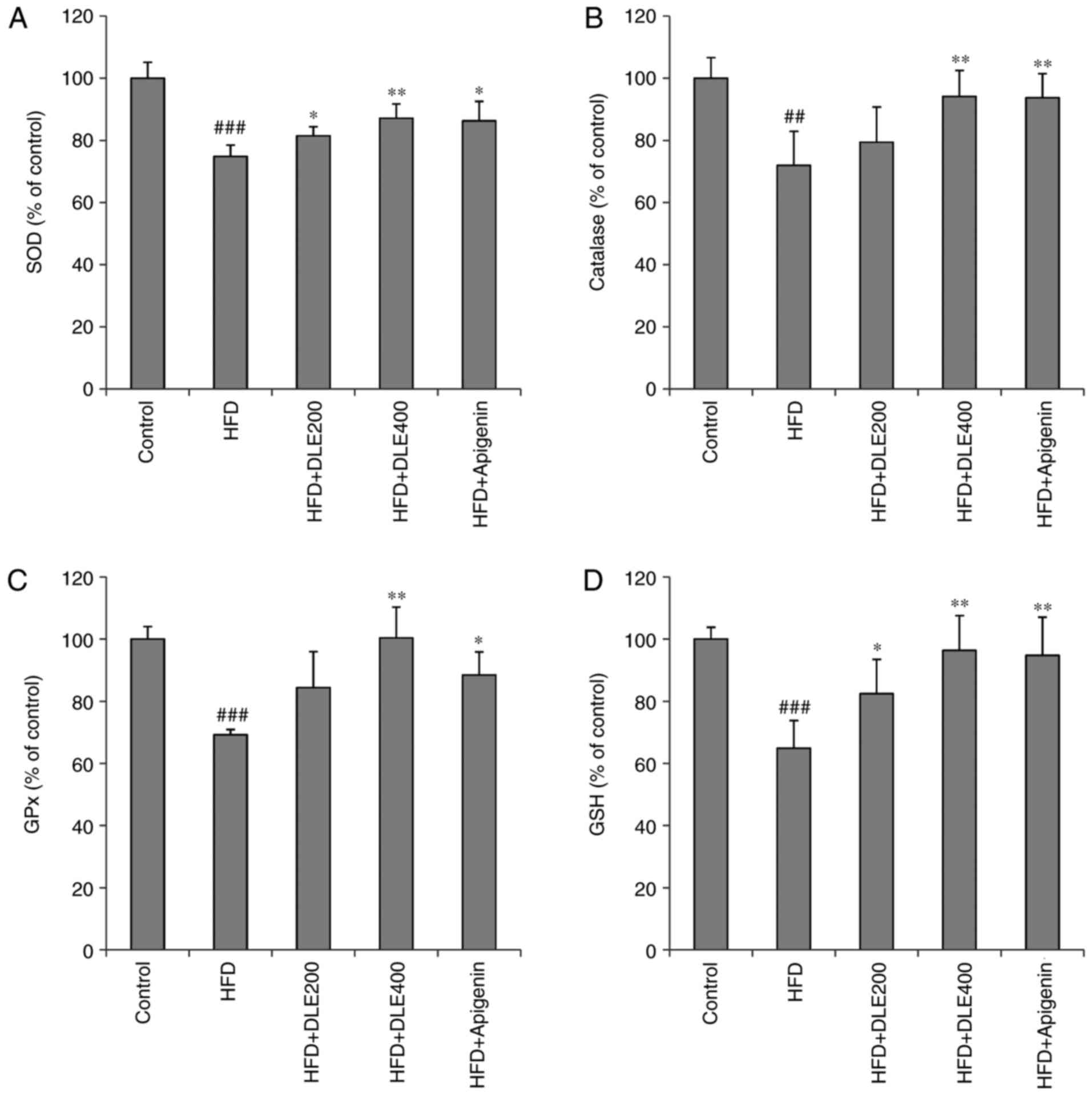
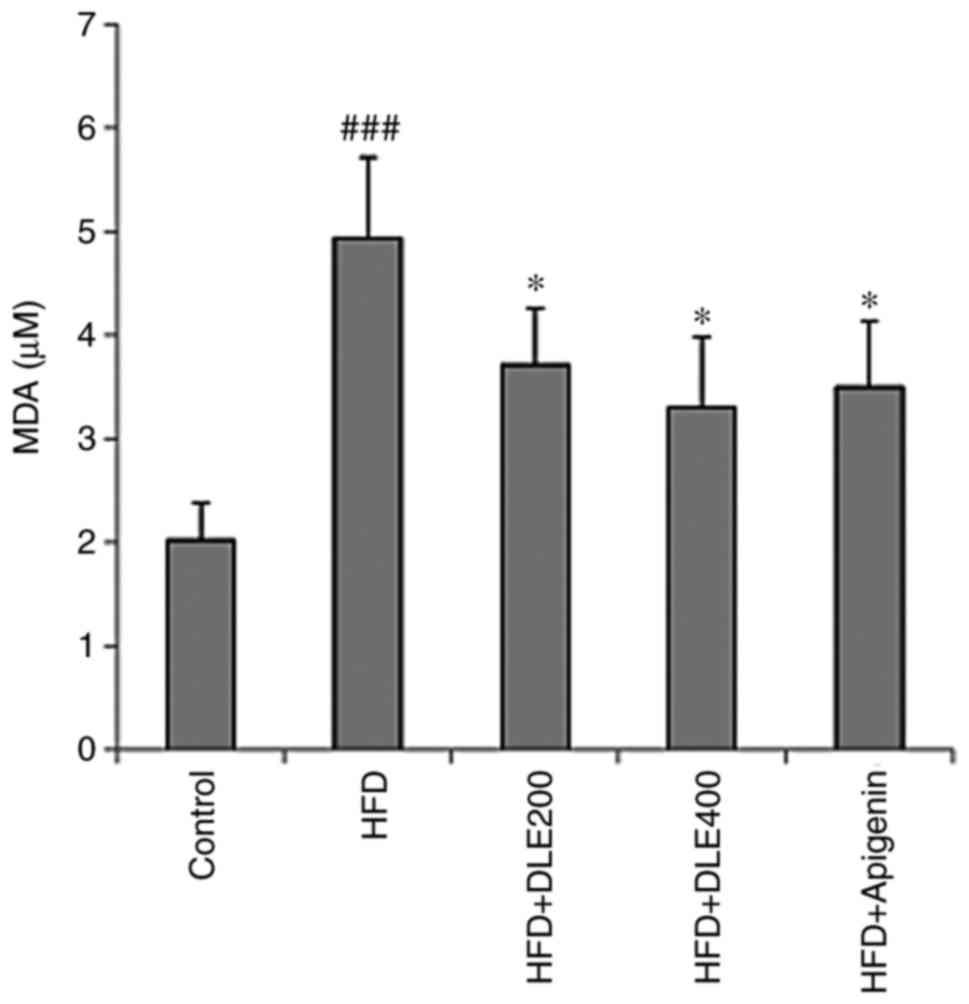
DLE treatment reduces oxidative stress in HFD-induced obese mice

MDA is a known marker of lipid peroxidation involved in oxidative stress. In the present study, hepatic MDA levels were significantly increased in the HFD group. However, DLE at both doses and apigenin administration significantly reduced the MDA levels (Fig. 7). There was no statistically significant difference between the DLE and apigenin groups. In addition, the activities of antioxidant enzymes SOD, CAT and GPx were markedly diminished, while the hepatic GSH antioxidant was significantly reduced in the HFD group, compared with the normal control group. However, DLE administration at doses of 200 and 400 mg/kg resulted in a significant increase in SOD and CAT activities, while GPx activities and GSH levels were significantly increased only with 400 mg/kg treatment, compared with the HFD group levels. Apigenin administration demonstrated similar effects as those observed by treatment with 400 mg/kg DLE (Fig. 8).

Figure 7

Effect of DLE on lipid peroxidation levels in the liver tissue of mice with HFD-induced obesity. MDA levels in the different groups are shown. Results are presented as the mean ± standard deviation. ###P<0.001 vs. the control group; *P<0.05 vs. the HFD group. DLE, Diospyros lotus leaf water extract; HFD, high-fat diet; MDA, malondialdehyde.

Figure 8

Effect of DLE on antioxidant defense system in liver tissue of mice with HFD-induced obesity. (A) SOD, (B) CAT and (C) GPx activities, and (D) GSH levels. Results are presented as the mean ± standard deviation. ##P<0.01 and ###P<0.001 vs. the control group; *P<0.05 and **P<0.01 vs. the HFD group. DLE, Diospyros lotus leaf water extract; HFD, high-fat diet; SOD, superoxide dismutase; CAT, catalase; GPx, glutathione peroxidase; GSH, glutathione.

Chemical composition of DLE

HPLC analysis was performed to characterize the active compounds in DLE. The results of the HPLC analysis revealed that gallic acid (peak 1), myricitrin (peak 2) and astragalin (peak 3) were the active compounds in DLE (Fig. 9).

Figure 9

Phytochemicals identified in the Diospyros lotus leaf water extract. Comparative chromatograms of D. lotus leaf extracts obtained by high-performance liquid chromatography at 280 nm. Peak numbers represents the following compounds: Peak 1, gallic acid; peak 2, myricitrin; peak 3, astragalin.

Discussion

Previous studies by Uddin et al (10), Rauf et al (11,12,14), and Loizzo et al (13) have verified various functions of D. lotus, including its antioxidant, anti-inflammatory, antiseptic, antidi-abetic, antitumor and sedative properties. In the current study, in order to elucidate the potential of DLE as a food ingredient for preventing obesity, we focused on the regulation of adipo-genesis and lipogenesis in vitro and in vivo. The in vitro results revealed that DLE treatment ameliorated lipid and TG accumulation in 3T3-L1 adipocytes, indicating that DLE was able to inhibit adipocyte differentiation. Next, the present study demonstrated the anti-obesity effects of DLE in HFD-induced obesity in mice. The results indicated that DLE inhibited HFD-induced obesity by preventing the increase of body weight and visceral fat weight, the alteration of lipid profile and liver function parameters, and the increase in insulin and leptin levels, as well as by improving the antioxidant defense system. According to the findings of a previous study (18), apigenin was used as a positive control, and it was also able to reverse these conditions in mice with HFD-induced obesity.

Obesity is associated with numerous diseases, including atherosclerosis, cancer, type 2 diabetes, dyslipidemia and metabolic syndrome (3). Several studies have demonstrated that HFD causes elevation of body weight, liver weight and fat mass, as well as increased TG, TC, HDL-C, LDL-C and glucose levels in the serum (19-21). In the present study, DLE clearly decreased body weight gain, liver weight, visceral fat accumulation and FER levels, while it also reduced serum TG, TC, LDL-C, and glucose levels, with the exception of HDL-C levels. TG, TC, and LDL-C are associated with fat accumulation and are major risk factors for dyslipidemia (22). The ratio of LDL-C to HDL-C is associated with cardiovascular disease and dyslipidemia (19,23). The TC/HDL-C and TG/HDL-C molar ratios are associated with coronary heart disease (24). Furthermore, the atherogenic index is used as a predictor of atherosclerosis and coronary artery disease (25,26). The increase in cholesterol is associated with the risk of fatty liver and atherosclerosis (5). The results of the current study indicated that these levels were lower in the DLE-treated mice in comparison with the untreated HFD-fed group. Therefore, the presented results imply that DLE was able to decrease the levels of the lipid profile, and ameliorate cardiovascular disease, atherosclerosis and dyslipidemia in HFD-induced obesity.

Obesity is also known to cause insulin resistance, which serves a key role in type 2 diabetes. Previous studies have indicated that in mice fed with HFD, an increase in fasting blood glucose and insulin levels was induced, while plant extracts were demonstrated to suppress the HFD-induced increase in these levels in obese animals (27-29). In the present study, the HFD also led to an increase in serum glucose and insulin levels and this increase in glucose and insulin levels were markedly decreased when mice fed with the HFD were administered DLE.

Leptin is secreted by adipocytes and is a hormone involved in energy balance and in the regulation of glucose metabolism. It serves a role in reducing appetite and increasing energy consumption (30,31). It has been reported that leptin levels in the serum are increased in HFD-induced obese mice (32,33), causing leptin resistance (34). In the present study, it was proven that DLE reduced serum leptin levels in HFD-induced obese mice. Therefore, the results suggested that DLE may ameliorate insulin and leptin resistance induced by HFD in obese mice.

Serum AST, ALT and ALP levels have been widely used as major markers of liver damage. It has been reported that HFD administration increased serum AST, ALT and ALP levels in obese animals (35-37). To assess liver function in the current study, these markers were measured in the serum of mice with HFD-induced obesity. The results revealed that DLE administration reduced the levels of AST, ALT and ALP, suggesting that DLE attenuated the liver damage caused by HFD. The author’s previous study has also demonstrated similar activities in acetaminophen-induced acute liver damage in mice (38).

It has been reported that obesity also induces hepatic steatosis, characterized by excessive fat accumulation in the liver, and exhibits liver cell injury caused by oxidative stress (27,37). The data of the current study indicated that DLE diminished hepatic steatosis caused by HFD, corresponding with the reduction of liver parameters. Furthermore, HFD-induced obesity is known to cause oxidative damage through lipid peroxidation, the depletion of endogenous antioxidants and the reduction of the activities of antioxidant enzymes, such as SOD, CAT and GPx (19,39,40). In the present study, HFD feeding of mice resulted in oxidative damage as seen by the reduction of the major endogenous antioxidant GSH, the decrease in SOD, CAT and GPx activities, and the induction of lipid peroxidation products. However, DLE administration not only significantly prevented lipid peroxidation, but also recovered GSH levels, and SOD, CAT and GPx activities in the liver. These results suggest that DLE may ameliorate HFD-induced hepatic steatosis through inhibition of oxidative stress. In previous studies, plant extracts have been reported to protect against obesity-induced oxidative damage in mice (41,42). Our previous study also demonstrated that DLE protects against UVB-induced oxidative damage and acetaminophen-induced oxidative liver damage in mice (38,43). Therefore, it can be suggested that DLE may be a potent antioxidant used for preventing the oxidative stress associated with HFD-induced obesity.

HPLC analysis revealed that DLE contains myricitrin, gallic acid and astragalin. In a previous study, we reported that ethanol extracts of D. lotus leaf contained myricitrin as the main flavonoid compound (43). It has been demonstrated that plant extracts containing myricitrin exhibit anti-obesity effects in HFD-induced obese mice (4). A recent study has demonstrated that myricitrin protects against diabetic cardiomyopathy in mice (44). In addition, oral administration of gallic acid in HFD-induced obese mice ameliorated impaired glucose and lipid homeostasis (45). A previous study has also reported that astragalin stimulate lipolysis in the visceral adipose tissue of mice (46). Therefore, the anti-obesity effect of DLE may be attributed to myricitrin, gallic acid and astragalin flavonoids. However, this needs to be confirmed by further studies.

In conclusion, the present study demonstrated that DLE administration restored the body, liver and visceral fat weights, as well as the TG, TC, HDL-C, LDL-C, glucose, insulin, leptin, AST, ALP and ALP levels in mice with HFD-induced obesity. In addition, it was also revealed that DLE was able to reverse the obesity-induced the hepatic steatosis, lipid peroxidation, and GSH depletion, as well as activities of antioxidant enzymes, including SOD, CAT, and GPx in the liver of obese mice. These data suggest that DLE may be an effective ingredient for the treatment and prevention of HFD-induced obesity.

Acknowledgments

The authors would like to thank Mr. Denis Nchang Che (Department of Food Science and Technology, Chonbuk National University, Jeonju, Republic of Korea) for grammar editing and Mr. Jae Young Shin (Department of Health Management, Jeonju University, Jeonju, Republic of Korea) for animal care.

Funding

The present study was financially supported by the Ministry of SMEs and Startups, Korea, under the ‘Regional Specialized Industry Development Program (R&D, Project number R0006168)’ supervised by the Korea Institute for Advancement of Technology.

Availability of data and materials

The datasets used and/or analyzed during the current study are available from the corresponding author on reasonable request.

Authors’ contributions

BMK, BOC and SIJ designed the research. BMK and BOC performed the study. BMK, BOC and SIJ analyzed the data and wrote the manuscript. SIJ supervised the research project. All authors read and approved the final manuscript.

Ethics approval and consent to participate

The animal protocols were performed following approval from Jeonju University Institutional Animal Care and Use Committee (no. JJU-IACUC-2015-04).

Patient consent for publication

Not applicable.

Competing interests

The authors declare that there are no competing interests.

References

1 

Popkin BM and Doak CM: The obesity epidemic is a worldwide phenomenon. Nutr Rev. 56:106–114. 1998. View Article : Google Scholar : PubMed/NCBI

2 

Nguyen XM, Lane J, Smith BR and Nguyen NT: Changes in inflammatory biomarkers across weight classes in a representative US population: A link between obesity and inflammation. J Gastrointest Surg. 13:1205–1212. 2009. View Article : Google Scholar : PubMed/NCBI

3 

Shore SA: Obesity and asthma: Implications for treatment. Curr Opin Pulm Med. 13:56–62. 2007. View Article : Google Scholar

4 

White PA, Cercato LM, Batista VS, Camargo EA, De Lucca W Jr, Oliveira AS, Silva FT, Goes TC, Oliveira ER, Moraes VR, et al: Aqueous extract of Chrysobalanus icaco leaves, in lower doses, prevent fat gain in obese high-fat fed mice. J Ethnopharmacol. 179:92–100. 2016. View Article : Google Scholar : PubMed/NCBI

5 

Huang TW, Chang CL, Kao ES and Lin JH: Effect of Hibiscus sabdariffa extract on high fat diet-induced obesity and liver damage in hamsters. Food Nutr Res. 59:290182015. View Article : Google Scholar : PubMed/NCBI

6 

Li KK, Liu CL, Shiu HT, Wong HL, Siu WS, Zhang C, Han XQ, Ye CX, Leung PC and Ko CH: Cocoa tea (Camellia ptilophylla) water extract inhibits adipocyte differentiation in mouse 3T3-L1 preadipocytes. Sci Rep. 6:201722016. View Article : Google Scholar :

7 

Noh JR, Kim YH, Hwang JH, Gang GT, Yeo SH, Kim KS, Oh WK, Ly SY, Lee IK and Lee CH: Scoparone inhibits adipo-cyte differentiation through down-regulation of peroxisome proliferators-activated receptor γ in 3T3-L1 preadipocytes. Food Chem. 141:723–730. 2013. View Article : Google Scholar : PubMed/NCBI

8 

Ku HC, Liu HS, Hung PF, Chen CL, Liu HC, Chang HH, Tsuei YW, Shih LJ, Lin CL, Lin CM and Kao YH: Green tea (-)-epigallocatechin gallate inhibits IGF-I and IGF-II stimulation of 3T3-L1 preadipocyte mitogenesis via the 67-kDa laminin receptor, but not AMP-activated protein kinase pathway. Mol Nutr Food Res. 56:580–592. 2012. View Article : Google Scholar : PubMed/NCBI

9 

Sethi A: A review on Garcinia cambogia-a weight controlling agent. Int J Pharm Res Dev. 3:13–24. 2011.

10 

Uddin G, Rauf A, Siddiqui BS and Shah SQ: Preliminary comparative phytochemical screening of Diospyros lotus Stewart. Middle-East J Sci Res. 10:78–81. 2011.

11 

Rauf A, Uddin G, Siddiqui BS, Molnár J, Csonka Á, Ahmad B, Szabó D, Farooq U and Khan A: A rare class of new dimeric naphthoquinones from Diospyros lotus have multidrug reversal and antiproliferative effects. Front Pharmacol. 6:2932015. View Article : Google Scholar

12 

Rauf A, Shaheen U, Raza M, Uddin G, Hadda TB, Mabkhot YN, Jehan N, Ahmad B, Raza S, Molnar J, et al: Multidrug resistance reversal activity of extract and a rare dimeric naphthoquinone from Diospyros lotus. Pak J Pharm Sci. 31:821–825. 2018.PubMed/NCBI

13 

Loizzo MR, Said A, Tundis R, Hawas UW, Rashed K and Menichini F, Frega NG and Menichini F: Antioxidant and anti-proliferative activity of Diospyros lotus L. extract and isolated compounds. Plant Foods Hum Nutr. 64:264–270. 2009. View Article : Google Scholar : PubMed/NCBI

14 

Rauf A, Uddin G, Siddiqui BS, Muhammad N and Khan H: Antipyretic and antinociceptive activity of Diospyros lotus L. in animals. Asian Pac J Trop Biomed. 4(Suppl 1): S382–S386. 2014. View Article : Google Scholar : PubMed/NCBI

15 

Jung UJ, Park YB, Kim SR and Choi MS: Supplementation of persimmon leaf ameliorates hyperglycemia, dyslipidemia and hepatic fat accumulation in type 2 diabetic mice. PLoS One. 7:e490302012. View Article : Google Scholar : PubMed/NCBI

16 

Kim GN, Shin MR, Shin SH, Lee AR, Lee JY, Seo BI, Kim MY, Kim TH, Noh JS, Rhee MH and Roh SS: Study of antiobesity effect through inhibition of pancreatic lipase activity of Diospyros kaki fruit and Citrus unshiu peel. Biomed Res Int. 2016:17230422016. View Article : Google Scholar : PubMed/NCBI

17 

Friedewald WT, Levy RI and Fredrickson DS: Estimation of the concentration of low-density lipoprotein cholesterol in plasma, without use of the preparative ultracentrifuge. Clin Chem. 18:499–502. 1972.PubMed/NCBI

18 

Jung UJ, Cho YY and Choi MS: Apigenin ameliorates dyslipidemia, hepatic steatosis and insulin resistance by modulating metabolic and transcriptional profiles in the liver of high-fat diet-induced obese mice. Nutrients. 8:E3052016. View Article : Google Scholar : PubMed/NCBI

19 

El Ayed M, Kadri S, Smine S, Elkahoui S, Limam F and Aouani E: Protective effects of grape seed and skin extract against high-fat-diet-induced lipotoxicity in rat lung. Lipids Health Dis. 16:1742017. View Article : Google Scholar : PubMed/NCBI

20 

Sunil V, Shree N, Venkataranganna MV, Bhonde RR and Majumdar M: The anti diabetic and anti obesity effect of Memecylon umbellatum extract in high fat diet induced obese mice. Biomed Pharmacother. 89:880–886. 2017. View Article : Google Scholar : PubMed/NCBI

21 

Rahman HA, Sahib NG, Saari N, Abas F, Ismail A, Mumtaz MW and Hamid AA: Anti-obesity effect of ethanolic extract from Cosmos caudatus Kunth leaf in lean rats fed a high fat diet. BMC Complement Altern Med. 17:1222017. View Article : Google Scholar : PubMed/NCBI

22 

Hokanson JE and Austin MA: Plasma triglyceride level is a risk factor for cardiovascular disease independent of high-density lipoprotein cholesterol level: A meta-analysis of population-based prospective studies. J Cardiovasc Risk. 3:213–219. 1996. View Article : Google Scholar : PubMed/NCBI

23 

Jukema JW, Liem AH, Dunselman PH, van der Sloot JA, Lok DJ and Zwinderman AH: LDL-C/HDL-C ratio in subjects with cardiovascular disease and a low HDL-C: Results of the RADAR (Rosuvastatin and Atorvastatin in different Dosages and Reverse cholesterol transport) study. Curr Med Res Opin. 21:1865–1874. 2005. View Article : Google Scholar : PubMed/NCBI

24 

Tan MH, Johns D and Glazer NB: Pioglitazone reduces athero-genic index of plasma in patients with type 2 diabetes. Clin Chem. 50:1184–1188. 2004. View Article : Google Scholar : PubMed/NCBI

25 

Cai G, Shi G, Xue S and Lu W: The atherogenic index of plasma is a strong and independent predictor for coronary artery disease in the Chinese Han population. Medicine (Baltimore). 96:e80582017. View Article : Google Scholar

26 

Nikniaz Z, Mahdavi R, Nikniaz L, Ebrahimi A and Ostadrahimi A: Effects of Elaeagnus angustifolia L. on lipid profile and atherogenic indices in obese females: A randomized controlled clinical trial. J Diet Suppl. 13:595–606. 2016. View Article : Google Scholar : PubMed/NCBI

27 

Kim YJ, Choi JY, Ryu R, Lee J, Cho SJ, Kwon EY, Lee MK, Liu KH, Rina Y, Sung MK and Choi MS: Platycodon grandi-florus root extract attenuates body fat mass, hepatic steatosis and insulin resistance through the interplay between the liver and adipose tissue. Nutrients. 8:E5322016. View Article : Google Scholar

28 

Sabater AG, Ribot J, Priego T, Vazquez I, Frank S, Palou A and Buchwald-Werner S: Consumption of a mango fruit powder protects mice from high-fat induced insulin resistance and hepatic fat accumulation. Cell Physiol Biochem. 42:564–578. 2017. View Article : Google Scholar : PubMed/NCBI

29 

Leng J, Chen MH, Zhou ZH, Lu YW, Wen XD and Yang J: Triterpenoids-enriched extract from the aerial parts of Salvia miltiorrhiza regulates macrophage polarization and ameliorates insulin resistance in high-fat fed mice. Phytother Res. 31:100–107. 2017. View Article : Google Scholar

30 

Myers MG, Cowley MA and Münzberg H: Mechanisms of leptin action and leptin resistance. Annu Rev Physiol. 70:537–556. 2008. View Article : Google Scholar

31 

Gilbert ER, Fu Z and Liu D: Development of a nongenetic mouse model of type 2 diabetes. Exp Diabetes Res. 2011:4162542011. View Article : Google Scholar : PubMed/NCBI

32 

Sung YY, Kim DS, Kim SH and Kim HK: Anti-obesity activity, acute toxicity, and chemical constituents of aqueous and ethanol Viola mandshurica extracts. BMC Complement Altern Med. 17:2972017. View Article : Google Scholar : PubMed/NCBI

33 

Kim Y, Kwon MJ, Choi JW, Lee MK, Kim C, Jung J, Aprianita H, Nam H and Nam TJ: Anti-obesity effects of boiled tuna extract in mice with obesity induced by a high-fat diet. Int J Mol Med. 38:1281–1288. 2016. View Article : Google Scholar : PubMed/NCBI

34 

Myers MG Jr, Leibel RL, Seeley RJ and Schwartz MW: Obesity and leptin resistance: Distinguishing cause from effect. Trends Endocrinol Metab. 21:643–651. 2010. View Article : Google Scholar : PubMed/NCBI

35 

Parasuraman S, Zhen KM, Banik U and Christapher PV: Ameliorative effect of curcumin on olanzapine-induced obesity in sprague-dawley rats. Pharmacognosy Res. 9:247–252. 2017. View Article : Google Scholar : PubMed/NCBI

36 

Zhou X, Chen S and Ye X: The anti-obesity properties of the proanthocyanidin extract from the leaves of Chinese bayberry (Myrica rubra Sieb. et Zucc). Food Funct. 8:3259–3270. 2017. View Article : Google Scholar : PubMed/NCBI

37 

Seo M, Goo TW, Chung MY, Baek M, Hwang JS, Kim MA and Yun EY: Tenebrio molitor larvae inhibit adipogenesis through AMPK and MAPKs signaling in 3T3-L1 adipocytes and obesity in high-fat diet-induced obese mice. Int J Mol Sci. 18:E5182017. View Article : Google Scholar : PubMed/NCBI

38 

Cho BO, Yin HH, Fang CZ, Kim SJ, Jeong SI and Jang SI: Hepatoprotective effect of Diospyros lotus leaf extract against acetaminophen-induced acute liver injury in mice. Food Sci Biotechnol. 24:2205–2212. 2015. View Article : Google Scholar

39 

Annamalai S, Mohanam L, Raja V, Dev A and Prabhu V: Antiobesity, antioxidant and hepatoprotective effects of Diallyl trisulphide (DATS) alone or in combination with Orlistat on HFD induced obese rats. Biomed Pharmacother. 93:81–87. 2017. View Article : Google Scholar : PubMed/NCBI

40 

Agil R, Patterson ZR, Mackay H, Abizaid A and Hosseinian F: Triticale bran alkylresorcinols enhance resistance to oxidative stress in mice fed a high-fat diet. Foods. 5:E52016. View Article : Google Scholar

41 

Perez Gutierrez RM, Madrigales Ahuatzi D, Horcacitas Mdel C, Garcia Baez E, Cruz Victoria T and Mota-Flores JM: Ameliorative effect of hexane extract of Phalaris canariensis on high fat diet-induced obese and streptozotocin-induced diabetic mice. Evid Based Complement Alternat Med. 2014:1459012014. View Article : Google Scholar : PubMed/NCBI

42 

Veeramani C, Alsaif MA and Al-Numair KS: Lavatera critica, a green leafy vegetable, controls high fat diet induced hepatic lipid accumulation and oxidative stress through the regulation of lipogenesis and lipolysis genes. Biomed Pharmacother. 96:1349–1357. 2017. View Article : Google Scholar : PubMed/NCBI

43 

Cho BO, Che DN, Shin JY, Kang HJ, Kim JH, Kim HY, Cho WG and Jang SI: Ameliorative effects of Diospyros lotus leaf extract against UVB-induced skin damage in BALB/c mice. Biomed Pharmacother. 95:264–274. 2017. View Article : Google Scholar : PubMed/NCBI

44 

Zhang B, Shen Q, Chen Y, Pan R, Kuang S, Liu G, Sun G and Sun X: Myricitrin alleviates oxidative stress-induced inflammation and apoptosis and protects mice against diabetic cardiomyopathy. Sci Rep. 7:442392017. View Article : Google Scholar : PubMed/NCBI

45 

Chao J, Huo TI, Cheng HY, Tsai JC, Liao JW, Lee MS, Qin XM, Hsieh MT, Pao LH and Peng WH: Gallic acid ameliorated impaired glucose and lipid homeostasis in high fat diet-induced NAFLD mice. PLoS One. 9:e969692014. View Article : Google Scholar : PubMed/NCBI

46 

Ohkoshi E, Miyazaki H, Shindo K, Watanabe H, Yoshida A and Yajima H: Constituents from the leaves of Nelumbo nucifera stimulate lipolysis in the white adipose tissue of mice. Planta Med. 73:1255–1259. 2007. View Article : Google Scholar : PubMed/NCBI

Related Articles

  • Abstract
  • View
  • Download
  • Twitter
Copy and paste a formatted citation
Spandidos Publications style
Kim BM, Cho BO and Jang SI: Anti-obesity effects of Diospyros lotus leaf extract in mice with high-fat diet-induced obesity. Int J Mol Med 43: 603-613, 2019.
APA
Kim, B., Cho, B.O., & Jang, S.I. (2019). Anti-obesity effects of Diospyros lotus leaf extract in mice with high-fat diet-induced obesity. International Journal of Molecular Medicine, 43, 603-613. https://doi.org/10.3892/ijmm.2018.3941
MLA
Kim, B., Cho, B. O., Jang, S. I."Anti-obesity effects of Diospyros lotus leaf extract in mice with high-fat diet-induced obesity". International Journal of Molecular Medicine 43.1 (2019): 603-613.
Chicago
Kim, B., Cho, B. O., Jang, S. I."Anti-obesity effects of Diospyros lotus leaf extract in mice with high-fat diet-induced obesity". International Journal of Molecular Medicine 43, no. 1 (2019): 603-613. https://doi.org/10.3892/ijmm.2018.3941
Copy and paste a formatted citation
x
Spandidos Publications style
Kim BM, Cho BO and Jang SI: Anti-obesity effects of Diospyros lotus leaf extract in mice with high-fat diet-induced obesity. Int J Mol Med 43: 603-613, 2019.
APA
Kim, B., Cho, B.O., & Jang, S.I. (2019). Anti-obesity effects of Diospyros lotus leaf extract in mice with high-fat diet-induced obesity. International Journal of Molecular Medicine, 43, 603-613. https://doi.org/10.3892/ijmm.2018.3941
MLA
Kim, B., Cho, B. O., Jang, S. I."Anti-obesity effects of Diospyros lotus leaf extract in mice with high-fat diet-induced obesity". International Journal of Molecular Medicine 43.1 (2019): 603-613.
Chicago
Kim, B., Cho, B. O., Jang, S. I."Anti-obesity effects of Diospyros lotus leaf extract in mice with high-fat diet-induced obesity". International Journal of Molecular Medicine 43, no. 1 (2019): 603-613. https://doi.org/10.3892/ijmm.2018.3941
Follow us
  • Twitter
  • LinkedIn
  • Facebook
About
  • Spandidos Publications
  • Careers
  • Cookie Policy
  • Privacy Policy
How can we help?
  • Help
  • Live Chat
  • Contact
  • Email to our Support Team